|
|
(21), (22) Заявка: 2007113564/28, 11.04.2007
(24) Дата начала отсчета срока действия патента:
11.04.2007
(46) Опубликовано: 27.08.2008
(56) Список документов, цитированных в отчете о поиске:
RU 2277223 C1, 27.05.2006. РИВКИН С.С. и др. Гироскопическая стабилизация морских гравиметров. – М.: Наука, 1985, с.131. RU 2244261 C1, 10.01.2005. RU 2282147 C1, 20.08.2006. RU 2191351 C1, 20.10.2002. RU 2056642 C1, 20.03.1996. GB 1408636 A, 01.10.1975.
Адрес для переписки:
300600, г.Тула, пр. Ленина, 92, ТулГУ, патентно-лицензионный сектор
|
(72) Автор(ы):
Малютин Дмитрий Михайлович (RU), Малютина Марина Дмитриевна (RU), Лыгин Владимир Алексеевич (RU), Мирошниченко Иван Владимирович (RU), Пироженко Илья Васильевич (RU), Ларин Игорь Иванович (RU)
(73) Патентообладатель(и):
Государственное образовательное учреждение высшего профессионального образования ТУЛЬСКИЙ ГОСУДАРСТВЕННЫЙ УНИВЕРСИТЕТ (ТулГУ) (RU)
|
(54) СИСТЕМА КОРРЕКЦИИ ГИРОСТАБИЛИЗАТОРА МОРСКОГО ГРАВИМЕТРА
(57) Реферат:
Изобретение относится к гироскопической технике и предназначено для использования в составе двухосного гиростабилизатора морского гравиметра. Устройство содержит два канала, каждый из которых содержит акселерометр, апериодические звенья, изодромное устройство, датчик момента одного из двухстепенных поплавковых гироскопов, интегратор, усилитель обратной связи, вычитатель, фильтр верхних частот, измеритель спектра, управляющее устройство, фильтры верхних частот первого порядка, сумматоры. Кроме того, устройство содержит датчик угловой скорости, ось чувствительности которого перпендикулярна плоскости стабилизируемой площадки, фильтр верхних частот и измеритель спектра. Техническим результатом является повышение точности измерения ускорения силы тяжести гиростабилизированным гравиметром. 3 ил.
Изобретение относится к гироскопической технике, а более конкретно к двухосным гиростабилизаторам, работающим на подвижных объектах, выполняющим функцию гировертикали и предназначенным для стабилизации гравиметров.
Известно устройство системы коррекции двухосного гиростабилизатора
[Ривкин С.С., Береза А.Д. Гироскопическая стабилизация морских гравиметров. – М.: Наука, 1985, стр.131], содержащее два идентичных канала, включающее в каждом канале последовательно соединенные акселерометр, апериодическое звено первого порядка, изодромное устройство и датчик момента гироскопа. Передаточная функция гиростабилизатора с таким устройством системы коррекции имеет наклон логарифмической амплитудно-частотной характеристики в полосе частот выше частоты среза системы – 40 дБ/дек.
Недостатком такой системы коррекции является то, что гиростабилизатор имеет фазовый сдвиг на частоте качки основания между горизонтальными ускорениями и ошибкой стабилизации, близкий к -180°, что приводит к большой систематической погрешности измерения величины ускорения силы тяжести гравиметром, установленным на стабилизированной площадке, из-за совместного влияния горизонтальных ускорений качки и наклонов гиростабилизированной площадки.
Наиболее близким (прототипом) является устройство системы коррекции двухосного гиростабилизатора [патент на изобретение РФ RU №2277223 С1 G01С 19/54 «Система коррекции гиростабилизатора морского гравиметра», опубликовано 27.05.2006. Бюл. №15]. Устройство содержит два идентичных канала, включает в каждом канале акселерометр, апериодическое звено, изодромное устройство, датчик момента гироскопа, интегратор, усилитель обратной связи, вычитатель, второе апериодическое звено, фильтр верхних частот, измеритель спектра, управляющее устройство, фильтр верхних частот первого порядка, сумматор, причем выход акселерометра связан с первым входом вычитателя, выход которого связан с входом интегратора, выход которого связан с входом апериодического звена, выход которого связан с входом усилителя обратной связи, выход которого связан со вторым входом вычитателя, выход апериодического звена связан также с входом изодромного устройства, выход которого связан с входом второго апериодического звена, выход которого связан с первым входом сумматора, выход которого связан с входом датчика момента, второй вход сумматора связан с выходом фильтра верхних частот первого порядка, вход которого связан с выходом изодромного устройства, кроме того, выход акселерометра связан со входом фильтра верхних частот, выход фильтра верхних частот посредством измерителя спектра связан с входом управляющего устройства, выход которого связан с вторым апериодическим звеном, а также связан с фильтром верхних частот первого порядка.
Наличие вычитателя, интегратора, апериодического звена, усилителя обратной связи, выполняющих роль фильтра нижних частот второго порядка, эффективно сглаживающего высокочастотную составляющую сигнала акселерометра, обеспечивает увеличение точности стабилизации гравиметра, а следовательно, повышение точности измерения ускорения силы тяжести. Управляющее устройство в соответствии с текущим значением преобладающей частоты качки изменяет величину постоянной времени второго апериодического звена, а также постоянную времени и переменный параметр фильтра верхних частот первого порядка таким образом, что фазовый сдвиг между горизонтальными ускорениями качки и ошибкой стабилизации точно равен -270 град, что, в свою очередь, увеличивает точность измерения ускорения силы тяжести гиростабилизированным гравиметром.
Недостатком такой системы коррекции является следующее.
Введем системы координат O  , Oxyz.
O  – система координат, оси которой движутся поступательно с кораблем, относительно системы координат, оси которой связаны с Землей, причем О – горизонтальная ось, направленная по линии заданного курса, O – ось, направленная вертикально вниз, ось О вместе с осями O , О образует правую систему координат. Координаты , , характеризуют положение центра тяжести корабля относительно системы координат, связанной с Землей. Oxyz – система координат, связанная с кораблем, причем ось Ох совпадает с продольной осью корабля, ось Оу совпадает с поперечной осью корабля, ось Oz расположена перпендикулярно палубе корабля. Положение осей Oxyz относительно осей O  определяется углами рыскания – , дифферента – и крена – корабля.
Результирующее горизонтальное ускорение, обусловленное качкой и орбитальным движением корабля, измеряемое акселерометром первого канала системы коррекции, имеет следующие составляющие:
– линейное ускорение орбитального движения центра тяжести корабля,
– ускорение, обусловленное рысканием и наличием хода корабля (v – скорость движения корабля, – угловая скорость рыскания корабля),
– ускорение, обусловленное рысканием корабля (х – координата места установки прибора на корабле, – угловое ускорение рыскания корабля),
– – ускорение, обусловленное бортовой качкой корабля (z – координата места установки прибора на корабле, – угловое ускорение бортовой качкой корабля).
Результирующее горизонтальное ускорение, обусловленное качкой и орбитальным движением корабля, измеряемое акселерометром второго канала системы коррекции, имеет следующие составляющие:
– линейное ускорение орбитального движения центра тяжести корабля,
– – ускорение, обусловленное рысканием корабля (у – координата места установки прибора на корабле, – угловое ускорение рыскания корабля),
– ускорение, обусловленное килевой качкой корабля (z – координата места установки прибора на корабле, – угловое ускорение килевой качки корабля).
Преобладающая частота k1 результирующего горизонтального ускорения, измеряемого акселерометром первого канала системы коррекции, соответствует преобладающей частоте линейного ускорения орбитального движения центра тяжести корабля или преобладающей частоте ускорения, обусловленного бортовой качкой – 
Преобладающая частота k2 горизонтального ускорения, измеряемого акселерометром второго канала системы коррекции, соответствует преобладающей частоте линейного ускорения орбитального движения центра тяжести корабля или преобладающей частоте ускорения, обусловленного килевой качкой 
Преобладающая частота k3 составляющих результирующего горизонтального ускорения качки, обусловленных рысканием корабля и составляющей, обусловленной рысканием и наличием хода корабля лежит в низкочастотной области и по величине значительно меньше преобладающих частот k1, k2. Система коррекции прототипа обеспечивает фазовый сдвиг -270° между горизонтальными ускорениями и ошибкой стабилизации по первому каналу на частоте k1, а по второму каналу на частоте k2. Фазовый сдвиг между горизонтальными ускорениями и ошибкой стабилизации на частоте k3 не равен -270°, что приводит к большой систематической погрешности измерения величины ускорения силы тяжести гравиметром, установленным на стабилизированной площадке, из-за совместного влияния составляющих горизонтального ускорения (обусловленных рысканием корабля, рысканием и наличием хода корабля) и наклонов гиростабилизированной площадки.
Задачей изобретения является повышение точности измерения ускорения силы тяжести гиростабилизированным гравиметром.
Задача решается тем, что предлагаемое устройство системы коррекции гиростабилизатора морского гравиметра содержит два канала, включает в первом канале первый акселерометр, первое апериодическое звено, первое изодромное устройство, датчик момента первого двухстепенного поплавкового гироскопа, первый интегратор, первый усилитель обратной связи, первый вычитатель, второе апериодическое звено, первый фильтр верхних частот, первый измеритель спектра, первое управляющее устройство, первый фильтр верхних частот первого порядка, первый сумматор, третье апериодическое звено, второй фильтр верхних частот первого порядка, второй сумматор, четвертое апериодическое звено, третий фильтр верхних частот первого порядка, третий сумматор, пятое апериодическое звено, четвертый фильтр верхних частот первого порядка, четвертый сумматор, включает во втором канале второй акселерометр, шестое апериодическое звено, второе изодромное устройство, датчик момента второго двухстепенного поплавкового гироскопа, второй интегратор, второй усилитель обратной связи, второй вычитатель, седьмое апериодическое звено, второй фильтр верхних частот, второй измеритель спектра, второе управляющее устройство, пятый фильтр верхних частот первого порядка, пятый сумматор, восьмое апериодическое звено, шестой фильтр верхних частот первого порядка, шестой сумматор, девятое апериодическое звено, седьмой фильтр верхних частот первого порядка, седьмой сумматор, десятое апериодическое звено, восьмой фильтр верхних частот первого порядка, восьмой сумматор, кроме того, устройство системы коррекции гиростабилизатора морского гравиметра содержит датчик угловой скорости (ДУС), ось чувствительности которого перпендикулярна плоскости стабилизируемой площадки, третий фильтр верхних частот, третий измеритель спектра, причем выход первого акселерометра связан с первым входом первого вычитателя, выход которого связан с входом первого интегратора, выход которого связан с входом первого апериодического звена, выход которого связан с входом первого усилителя обратной связи, выход которого связан со вторым входом первого вычитателя, выход первого апериодического звена связан также с входом первого изодромного устройства, выход которого связан с входом второго апериодического звена, выход которого связан с первым входом первого сумматора, второй вход первого сумматора связан с выходом первого фильтра верхних частот первого порядка, вход которого связан с выходом первого изодромного устройства, выход первого сумматора связан с входом третьего апериодического звена, выход которого связан с первым входом второго сумматора, второй вход которого связан с выходом второго фильтра верхних частот первого порядка, вход которого связан с выходом первого сумматора, выход второго сумматора связан с входом четвертого апериодического звена, выход которого связан с первым входом третьего сумматора, второй вход которого связан с выходом третьего фильтра верхних частот второго порядка, вход которого связан с выходом второго сумматора, выход третьего сумматора связан с первым входом пятого апериодического звена, выход которого связан с первым входом четвертого сумматора, второй вход которого связан с выходом четвертого фильтра верхних частот первого порядка, вход которого связан с выходом третьего сумматора, выход четвертого сумматора связан с входом датчика моментов первого двухстепенного поплавкового гироскопа, кроме того, выход первого акселерометра связан со входом первого фильтра верхних частот, выход фильтра верхних частот посредством первого измерителя спектра связан с первым входом первого управляющего устройства, выход которого связан с вторым апериодическим звеном, а также связан с первым фильтром верхних частот первого порядка, а также связан с третьим апериодическим звеном, а также связан с вторым фильтром верхних частот первого порядка, а также связан с четвертым апериодическим звеном, а также связан с третьим фильтром верхних частот первого порядка, а также связан с пятым апериодическим звеном, а также связан с четвертым фильтром верхних частот первого порядка, выход второго акселерометра связан с первым входом второго вычитателя, выход которого связан с входом второго интегратора, выход которого связан с входом шестого апериодического звена, выход которого связан с входом второго усилителя обратной связи, выход которого связан со вторым входом второго вычитателя, выход шестого апериодического звена связан также с входом второго изодромного устройства, выход которого связан с входом седьмого апериодического звена, выход которого связан с первым входом пятого сумматора, второй вход пятого сумматора связан с выходом пятого фильтра верхних частот первого порядка, вход которого связан с выходом второго изодромного устройства, выход пятого сумматора связан с входом восьмого апериодического звена, выход которого связан с первым входом шестого сумматора, второй вход которого связан с выходом шестого фильтра верхних частот первого порядка, вход которого связан с выходом пятого сумматора, выход шестого сумматора связан с входом девятого апериодического звена, выход которого связан с первым входом седьмого сумматора, второй вход которого связан с выходом седьмого фильтра верхних частот первого порядка, вход которого связан с выходом шестого сумматора, выход седьмого сумматора связан с первым входом десятого апериодического звена, выход которого связан с первым входом восьмого сумматора, второй вход которого связан с выходом восьмого фильтра верхних частот первого порядка, вход которого связан с выходом седьмого сумматора, выход восьмого сумматора связан с входом датчика моментов второго двухстепенного поплавкового гироскопа, кроме того, выход второго акселерометра связан со входом второго фильтра верхних частот, выход второго фильтра верхних частот посредством второго измерителя спектра связан с первым входом второго управляющего устройства, выход которого связан с седьмым апериодическим звеном, а также связан с пятым фильтром верхних частот первого порядка, а также связан с восьмым апериодическим звеном, а также связан с шестым фильтром верхних частот первого порядка, а также связан с девятым апериодическим звеном, а также связан с седьмым фильтром верхних частот первого порядка, а также связан с десятым апериодическим звеном, а также связан с восьмым фильтром верхних частот первого порядка, кроме того, выход ДУС связан с входом третьего фильтра верхних частот, выход которого связан с входом третьего измерителя спектра, выход которого связан со вторым входом первого управляющего устройства, а также связан со вторым входом второго управляющего устройства.
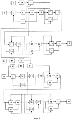
На фиг.1 показана структурная схема устройства системы коррекции гиростабилизатора морского гравиметра.
Выход первого акселерометра 1 соединен с первым входом первого вычитателя 2, выход первого вычитателя 2 соединен с входом первого интегратора 3, выход первого интегратора 3 соединен с входом первого апериодического звена 4, выход первого апериодического звена 4 соединен с входом первого усилителя отрицательной обратной связи 5, выход первого усилителя отрицательной обратной связи 5 соединен со вторым входом первого вычитателя 2, выход первого апериодического звена 4 соединен также со входом первого изодромного устройства 6, выход первого изодромного устройства 6 соединен со входом второго апериодического звена 7, выход которого соединен с первым входом первого сумматора 12, второй вход первого сумматора 12 соединен с выходом первого фильтра верхних частот первого порядка 13, вход которого соединен с выходом первого изодромного устройства 6, выход первого сумматора 12 соединен с входом третьего апериодического звена 17, выход которого соединен с первым входом второго сумматора 19, второй вход которого соединен с выходом второго фильтра верхних частот первого порядка 18, вход которого соединен с выходом первого сумматора 12, выход второго сумматора 19 соединен с входом четвертого апериодического звена 20, выход которого соединен с первым входом третьего сумматора 22, второй вход которого соединен с выходом третьего фильтра верхних частот первого порядка 21, вход которого соединен с выходом второго сумматора 19, выход третьего сумматора 22 соединен с входом пятого апериодического звена 23, выход которого соединен с входом четвертого сумматора 25, второй вход которого соединен с выходом четвертого фильтра верхних частот первого порядка 24, вход которого соединен с выходом третьего сумматора 22, выход четвертого сумматора 25 соединен с входом датчика моментов 8 первого двухстепенного поплавкового гироскопа, кроме того, выход первого акселерометра 1 соединен с входом первого фильтра верхних частот 9, выход первого фильтра верхних частот 9 соединен со входом первого измерителя спектра 10, выход которого соединен с первым входом первого управляющего устройства 11, выход первого управляющего устройства 11 соединен со вторым апериодическим звеном 7, а также соединен с первым фильтром верхних частот первого порядка 13, а также соединен с третьим апериодическим звеном 17, а также соединен с вторым фильтром верхних частот первого порядка 18, а также соединен с четвертым апериодическим звеном 20, а также соединен с третьим фильтром верхних частот первого порядка 21, а также соединен с пятым апериодическим звеном 23, а также соединен с четвертым фильтром верхних частот первого порядка 24.
Выход второго акселерометра 26 соединен с первым входом второго вычитателя 27, выход второго вычитателя 27 соединен с входом второго интегратора 28, выход второго интегратора 28 соединен с входом шестого апериодического звена 29, выход шестого апериодического звена 29 соединен с входом второго усилителя отрицательной обратной связи 30, выход второго усилителя отрицательной обратной связи 30 соединен со вторым входом второго вычитателя 27, выход шестого апериодического звена 29 соединен также со входом второго изодромного устройства 31, выход второго изодромного устройства 31 соединен со входом седьмого апериодического звена 32, выход которого соединен с первым входом пятого сумматора 33, второй вход пятого сумматора 33 соединен с выходом пятого фильтра верхних частот первого порядка 34, вход которого соединен с выходом второго изодромного устройства 31, выход пятого сумматора 33 соединен с входом восьмого апериодического звена 35, выход которого соединен с первым входом шестого сумматора 36, второй вход которого соединен с выходом шестого фильтра верхних частот первого порядка 37, вход которого соединен с выходом пятого сумматора 33, выход шестого сумматора 36 соединен с входом девятого апериодического звена 38, выход которого соединен с первым входом седьмого сумматора 39, второй вход которого соединен с выходом седьмого фильтра верхних частот первого порядка 40, вход которого соединен с выходом шестого сумматора 36, выход седьмого сумматора 39 соединен с входом десятого апериодического звена 41, выход которого соединен с входом восьмого сумматора 42, второй вход которого соединен с выходом восьмого фильтра верхних частот первого порядка 43, вход которого соединен с выходом седьмого сумматора 39, выход восьмого сумматора 42 соединен с входом датчика моментов 44 второго двухстепенного поплавкового гироскопа. Кроме того, выход второго акселерометра 26 соединен с входом второго фильтра верхних частот 45, выход второго фильтра верхних частот 45 соединен со входом второго измерителя спектра 46, выход которого соединен с первым входом второго управляющего устройства 47. Выход второго управляющего устройства 47 соединен с седьмым апериодическим звеном 32, а также соединен с пятым фильтром верхних частот первого порядка 34, а также соединен с восьмым апериодическим звеном 35, а также соединен с шестым фильтром верхних частот первого порядка 37, а также соединен с девятым апериодическим звеном 38, а также соединен с седьмым фильтром верхних частот первого порядка 40, а также соединен с десятым апериодическим звеном 41, а также соединен с восьмым фильтром верхних частот первого порядка 43, кроме того, выход датчика угловой скорости 14 соединен со входом третьего фильтра верхних частот 15, выход которого соединен со входом третьего измерителя спектра 16, выход которого соединен со вторым входом первого управляющего устройства 11, а также соединен со вторым входом второго управляющего устройства 47.
Работа устройства происходит следующим образом.
Сигнал на выходе первого акселерометра 1, содержащий низкочастотную составляющую, обусловленную собственным движением стабилизированной площадки к горизонту от начального угла отклонения, и переменную составляющую, обусловленную горизонтальными ускорениями качки и орбитального движения корабля, поступает на первый вход первого вычитателя 2. Первый вычитатель 2, первый интегратор 3, первое апериодическое звено 4 и первый усилитель обратной связи 5, выход которого соединен со вторым входом первого вычитателя 2, образуют первое колебательное звено с передаточной функцией

где Т2 – постоянная времени первого колебательного звена, полученного в результате охвата первого интегратора 3 и первого апериодического звена 4 отрицательной обратной связью, – относительный коэффициент демпфирования первого колебательного звена, k2 – коэффициент передачи первого колебательного звена, р – оператор Лапласа.
Причем постоянная времени, относительный коэффициент демпфирования и коэффициент передачи первого колебательного звена могут быть выражены через постоянную времени первого интегратора 3 – Т, постоянную времени первого апериодического звена 4 – T1, коэффициент передачи первого апериодического звена 4 – k и коэффициент передачи первого усилителя обратной связи 5 – k1 следующим образом:

Значение коэффициента обеспечивается равным 0,707. Колебательное звено (1) пропускает низкочастотную составляющую сигнала первого акселерометра 1 и эффективно сглаживает переменную составляющую сигнала первого акселерометра 1. Сигнал с выхода первого апериодического звена 4 поступает на вход первого изодромного устройства 6, имеющего передаточную функцию:

где Т3 – постоянная времени первого изодромного устройства 6. Первое изодромное устройство 6 обеспечивает интегрирование входного сигнала в области низких частот и требуемые запасы устойчивости на частоте среза системы.
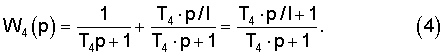
Постоянная времени Т3 выбирается большей постоянной времени Тcp, характеризующей частоту среза системы. Сигнал с выхода первого изодромного устройства 6 поступает на вход второго апериодического звена 7, имеющего переменную постоянную времени Т4, кроме того, сигнал с выхода первого изодромного устройства 6 поступает на вход первого фильтра верхних частот первого порядка 13, имеющего передаточную функцию вида

где Т4 – переменная постоянная времени первого фильтра верхних частот первого порядка 13, а l – переменный параметр первого фильтра верхних частот первого порядка 13. Первый сумматор 12 осуществляет суммирование выходных сигналов второго апериодического звена 7 и первого фильтра верхних частот первого порядка 13. Второе апериодическое звено 7, первый фильтр верхних частот первого порядка 13, входы которых соединены с выходом первого изодромного устройства 6, и первый сумматор 12, первый вход которого соединен с выходом второго апериодического звена 7, а второй вход которого соединен с выходом первого фильтра верхних частот первого порядка 13, образуют звено с передаточной функцией:

Сигнал с выхода первого сумматора 12 поступает на вход третьего апериодического звена 17, имеющего переменную постоянную времени Т6, кроме того, сигнал с выхода первого сумматора 12 поступает на вход второго фильтра верхних частот первого порядка 18, имеющего передаточную функцию вида:

где Т5 – переменная постоянная времени второго фильтра верхних частот первого порядка 18,
Т6 – переменная постоянная времени второго фильтра верхних частот первого порядка 18.
Второй сумматор 19 осуществляет суммирование выходных сигналов третьего апериодического звена 17 и второго фильтра верхних частот первого порядка 18. Третье апериодическое звено 17, второй фильтр верхних частот первого порядка 18, входы которых соединены с выходом первого сумматора 12, и второй сумматор 19, первый вход которого соединен с выходом третьего апериодического звена 17, а второй вход которого соединен с выходом второго фильтра верхних частот первого порядка 18, образуют звено с передаточной функцией:

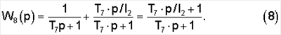
Сигнал с выхода второго сумматора 19 поступает на вход четвертого апериодического звена 20, имеющего переменную постоянную времени Т7, кроме того, сигнал с выхода второго сумматора 19 поступает на вход третьего фильтра верхних частот первого порядка 21, имеющего передаточную функцию вида:

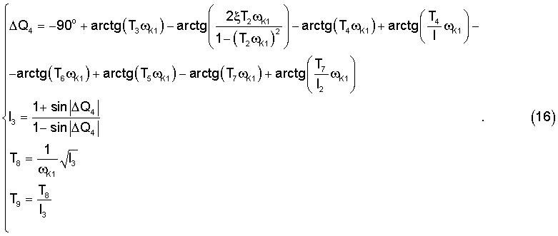
где Т7 – переменная постоянная времени третьего фильтра верхних частот первого порядка 21, а l2 – переменный параметр третьего фильтра верхних частот первого порядка 21. Третий сумматор 22 осуществляет суммирование выходных сигналов четвертого апериодического звена 20 и третьего фильтра верхних частот первого порядка 21. Четвертое апериодическое звено 20, третий фильтр верхних частот первого порядка 21, входы которых соединены с выходом второго сумматора 19, и третий сумматор 22, первый вход которого соединен с выходом четвертого апериодического звена 20, а второй вход которого соединен с выходом третьего фильтра верхних частот первого порядка 21, образуют звено с передаточной функцией

Сигнал с выхода третьего сумматора 22 поступает на вход пятого апериодического звена 23, имеющего переменную постоянную времени Т9, кроме того, сигнал с выхода третьего сумматора 22 поступает на вход четвертого фильтра верхних частот первого порядка 24, имеющего передаточную функцию вида:

где T8 – переменная постоянная времени четвертого фильтра верхних частот первого порядка 24,
Т9 – переменная постоянная времени четвертого фильтра верхних частот первого порядка 24.
Четвертый сумматор 25 осуществляет суммирование выходных сигналов пятого апериодического звена 23 и четвертого фильтра верхних частот первого порядка 24. Пятое апериодическое звено 23, четвертый фильтр верхних частот первого порядка 24, входы которых соединены с выходом третьего сумматора 22, и четвертый сумматор 25, первый вход которого соединен с выходом пятого апериодического звена 23, а второй вход которого соединен с выходом четвертого фильтра верхних частот первого порядка 24, образуют звено с передаточной функцией

Кроме того, сигнал с выхода первого акселерометра 1 поступает также на вход первого фильтра верхних частот 9. Первый фильтр верхних частот 9 имеет передаточную функцию вида

где T10 – постоянная времени первого фильтра верхних частот 9.
Первый фильтр верхних частот 9 пропускает высокочастотную составляющую сигнала первого акселерометра 1 и эффективно сглаживает низкочастотную составляющую сигнала первого акселерометра 1. Сигнал с выхода первого фильтра верхних частот 9 поступает на вход первого устройства измерения спектра 10, в котором определяется преобладающая частота k1 результирующего линейного ускорения, измеряемого первым акселерометром 1. Сигнал, пропорциональный преобладающей частоте k1 с выхода первого устройства измерения спектра 10, поступает на первый вход первого управляющего устройства 11.
Сигнал с выхода ДУС 14, ось чувствительности которого перпендикулярна плоскости стабилизируемой площадки, поступает на вход третьего фильтра верхних частот 15. Третий фильтр верхних частот 15 имеет передаточную функцию вида

где Т11 – постоянная времени третьего фильтра верхних частот 15.
Третий фильтр верхних частот 15 пропускает высокочастотную составляющую сигнала ДУС 14 и эффективно сглаживает низкочастотную составляющую сигнала сигнала ДУС 14. Сигнал с выхода третьего фильтра верхних частот 15 поступает на вход третьего устройства измерения спектра 16, в котором определяется преобладающая частота k3 составляющих горизонтального ускорения, обусловленных рысканием корабля, а также рысканием и наличием хода корабля. Сигнал, пропорциональный преобладающей частоте k3 с выхода третьего устройства измерения спектра 16, поступает на второй вход первого управляющего устройства 11.
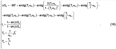
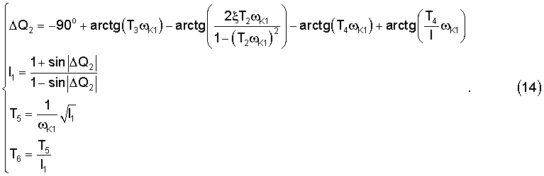
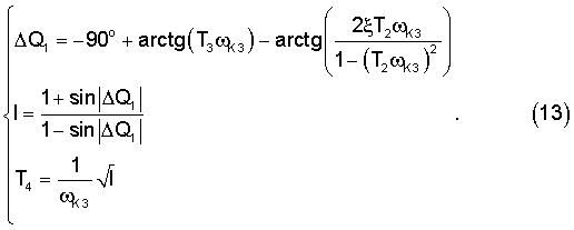
Первое управляющее устройство 11 в соответствии с текущим значением преобладающей частоты k3 изменяет величину постоянной времени Т4 второго апериодического звена 7, а также постоянную времени T4 и переменный параметр l первого фильтра верхних частот первого порядка 13 в соответствии с условием

При этом значение фазовой частотной характеристики передаточной функции гиростабилизатора морского гравиметра по первому каналу на частоте k3 становится точно равным -270 град.
Далее первое управляющее устройство 11 в соответствии с текущим значением преобладающей частоты k1 изменяет величину постоянной времени Т6 третьего апериодического звена 17 и переменные постоянные времени T6, Т5 второго фильтра верхних частот первого порядка 18 в соответствии с условием

При этом значение фазовой частотной характеристики передаточной функции гиростабилизатора морского гравиметра по первому каналу на частоте k1 становится точно равным -270 град.
Далее первое управляющее устройство 11 в соответствии с текущим значением преобладающей частоты качки k3 изменяет величину постоянной времени Т7 четвертого апериодического звена 20, а также постоянную времени T7 и переменный параметр l2 третьего фильтра верхних частот первого порядка 21 в соответствии с условием

При этом значение фазовой частотной характеристики передаточной функции гиростабилизатора морского гравиметра по первому каналу на частоте k3 становится вновь точно равным -270 град.
Далее первое управляющее устройство 11 в соответствии с текущим значением преобладающей частоты качки k1 изменяет величину постоянной времени T8 пятого апериодического звена 23, а также постоянные времени T8 и Т9 четвертого фильтра верхних частот первого порядка 24 в соответствии с условием

При этом значение фазовой частотной характеристики передаточной функции гиростабилизатора морского гравиметра по первому каналу на частоте k1 становится точно равным -270 град, а значение фазовой частотной характеристики передаточной функции гиростабилизатора морского гравиметра по первому каналу на частоте качки k3 с высокой точностью стремится к -270 град.
Сигнал с выхода четвертого сумматора 25 поступает на вход датчика момента 8 первого поплавкового гироскопа (ось чувствительности которого лежит в плоскости стабилизируемой площадки и параллельна оси вращения стабилизируемой площадки) и обеспечивает приведение к горизонту и удержание в горизонте стабилизируемой площадки с гравиметром по оси стабилизируемой площадки при качке основания.
Таким образом первый канал предлагаемого устройства системы коррекции обеспечивает фазовый сдвиг -270 град не только на преобладающей частоте k1, результирующего горизонтального ускорения качки, но и на преобладающей частоте k3 составляющих горизонтального ускорения, обусловленных рысканием судна, а также рысканием судна и наличием хода, что приводит к уменьшению систематической составляющей измерения ускорения силы тяжести гиростабилизированным гравиметром из-за совместного влияния горизонтальных ускорений и наклонов гиростабилизированной площадки по сравнению с прототипом.
Сигнал на выходе второго акселерометра 26, содержащий низкочастотную составляющую, обусловленную собственным движением стабилизированной площадки к горизонту от начального угла отклонения, и переменную составляющую, обусловленную горизонтальными ускорениями качки и орбитального движения корабля, поступает на первый вход второго вычитателя 27. Второй вычитатель 27, второй интегратор 28, шестое апериодическое звено 29 и второй усилитель обратной связи 30, выход которого соединен со вторым входом второго вычитателя 27, образуют второе колебательное звено с передаточной функцией

где T2 – постоянная времени второго колебательного звена, полученного в результате охвата второго интегратора 28 и шестого апериодического звена 29 отрицательной обратной связью, – относительный коэффициент демпфирования второго колебательного звена, k2 – коэффициент передачи второго колебательного звена, р – оператор Лапласа.
Причем постоянная времени, относительный коэффициент демпфирования и коэффициент передачи второго колебательного звена могут быть выражены через постоянную времени второго интегратора 28 – Т, постоянную времени шестого апериодического звена 29 – Т1, коэффициент передачи шестого апериодического звена 29 – k и коэффициент передачи второго усилителя обратной связи 30 – k1, следующим образом:

Значение коэффициента обеспечивается равным 0,707. Колебательное звено (17) пропускает низкочастотную составляющую сигнала второго акселерометра 26 и эффективно сглаживает переменную составляющую сигнала второго акселерометра 26. Сигнал с выхода шестого апериодического звена 29 поступает на вход второго изодромного устройства 31, имеющего передаточную функцию:

где Т3 – постоянная времени второго изодромного устройства 31. Второе изодромное устройство 31 обеспечивает интегрирование входного сигнала в области низких частот и требуемые запасы устойчивости на частоте среза системы.
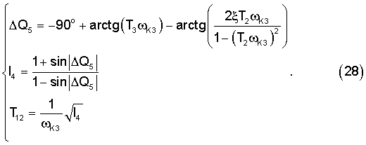
Постоянная времени Т3 выбирается большей постоянной времени Тcp, характеризующей частоту среза системы. Сигнал с выхода второго изодромного устройства 31 поступает на вход седьмого апериодического звена 32, имеющего переменную постоянную времени T12, кроме того, сигнал с выхода второго изодромного устройства 32 поступает на вход пятого фильтра верхних частот первого порядка 34, имеющего передаточную функцию вида:

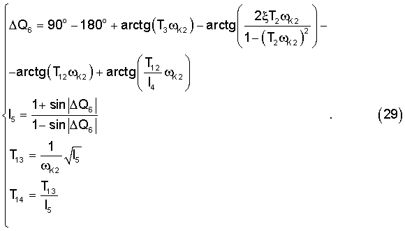
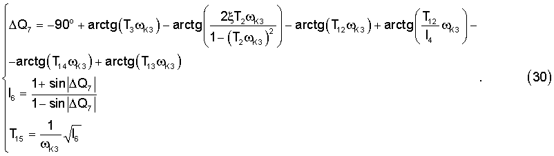
где Т12 – переменная постоянная времени пятого фильтра верхних частот первого порядка 34, а l4 – переменный параметр пятого фильтра верхних частот первого порядка 34. Пятый сумматор 33 осуществляет суммирование выходных сигналов седьмого апериодического звена 32 и пятого фильтра верхних частот первого порядка 34. Седьмое апериодическое звено 32, пятый фильтр верхних частот первого порядка 34, входы которых соединены с выходом второго изодромного устройства 31, и пятый сумматор 33, первый вход которого соединен с выходом седьмого апериодического звена 32, а второй вход которого соединен с выходом пятого фильтра верхних частот первого порядка 34, образуют звено с передаточной функцией

Сигнал с выхода пятого сумматора 33 поступает на вход восьмого апериодического звена 35, имеющего переменную постоянную времени Т14, кроме того, сигнал с выхода пятого сумматора 33 поступает на вход шестого фильтра верхних частот первого порядка 36, имеющего передаточную функцию вида:

где Т13 – переменная постоянная времени шестого фильтра верхних частот первого порядка 37,
T14 – переменная постоянная времени шестого фильтра верхних частот первого порядка 37.
Шестой сумматор 36 осуществляет суммирование выходных сигналов восьмого апериодического звена 35 и шестого фильтра верхних частот первого порядка 37. Восьмое апериодическое звено 35, шестой фильтр верхних частот первого порядка 37, входы которых соединены с выходом пятого сумматора 33, и шестой сумматор 36, первый вход которого соединен с выходом восьмого апериодического звена 35, а второй вход которого соединен с выходом шестого фильтра верхних частот первого порядка 37, образуют звено с передаточной функцией:

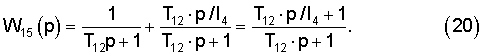
Сигнал с выхода шестого сумматора 36 поступает на вход девятого апериодического звена 38, имеющего переменную постоянную времени Т15, кроме того, сигнал с выхода шестого сумматора 36 поступает на вход седьмого фильтра верхних частот первого порядка 40, имеющего передаточную функцию вида:

где T15 – переменная постоянная времени седьмого фильтра верхних частот первого порядка 40, а l6 – переменный параметр седьмого фильтра верхних частот первого порядка 40. Седьмой сумматор 39 осуществляет суммирование выходных сигналов девятого апериодического звена 38 и седьмого фильтра верхних частот первого порядка 40. Девятое апериодическое звено 38, седьмой фильтр верхних частот первого порядка 40, входы которых соединены с выходом шестого сумматора 36, и седьмой сумматор 39, первый вход которого соединен с выходом девятого апериодического звена 38, а второй вход которого соединен с выходом седьмого фильтра верхних частот первого порядка 40, образуют звено с передаточной функцией

Сигнал с выхода седьмого сумматора 39 поступает на вход десятого апериодического звена 41, имеющего переменную постоянную времени Т17, кроме того, сигнал с выхода седьмого сумматора 39 поступает на вход восьмого фильтра верхних частот первого порядка 43, имеющего передаточную функцию вида:

где T16 – переменная постоянная времени восьмого фильтра верхних частот первого порядка 43,
Т17 – переменная постоянная времени восьмого фильтра верхних частот первого порядка 43.
Восьмой сумматор 42 осуществляет суммирование выходных сигналов десятого апериодического звена 41 и восьмого фильтра верхних частот первого порядка 43. Десятое апериодическое звено 41, восьмой фильтр верхних частот первого порядка 43, входы которых соединены с выходом седьмого сумматора 39, и восьмой сумматор 42, первый вход которого соединен с выходом десятого апериодического звена 41, а второй вход которого соединен с выходом восьмого фильтра верхних частот первого порядка 43, образуют звено с передаточной функцией

Кроме того, сигнал с выхода второго акселерометра 26 поступает также на вход второго фильтра верхних частот 45. Второй фильтр верхних частот 45 имеет передаточную функцию вида

где T18 – постоянная времени второго фильтра верхних частот 45.
Второй фильтр верхних частот 45 пропускает высокочастотную составляющую сигнала второго акселерометра 26 и эффективно сглаживает низкочастотную составляющую сигнала второго акселерометра 26. Сигнал с выхода второго фильтра верхних частот 45 поступает на вход второго устройства измерения спектра 46, в котором определяется преобладающая частота k2, результирующего горизонтального ускорения, измеряемого вторым акселерометром 26. Сигнал, пропорциональный преобладающей частоте k2, с выхода второго устройства измерения спектра 46 поступает на первый вход второго управляющего устройства 47, на второй вход которого поступает сигнал с выхода третьего измерителя спектра 16, пропорциональный преобладающей частоте качки k3.
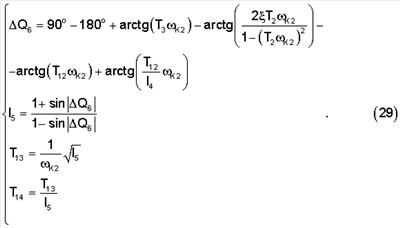
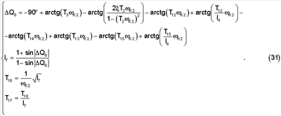
Второе управляющее устройство 47 в соответствии с текущим значением преобладающей частоты качки k3 изменяет величину постоянной времени Т12 седьмого апериодического звена 32, а также постоянную времени T12 и переменный параметр l4 пятого фильтра верхних частот первого порядка 34 в соответствии с условием

При этом значение фазовой частотной характеристики передаточной функции гиростабилизатора морского гравиметра по второму каналу на частоте k3 становится точно равным -270 град.
Далее второе управляющее устройство 47 в соответствии с текущим значением преобладающей частоты k2 изменяет величину постоянной времени T14 восьмого апериодического звена 35 и переменные постоянные времени Т13, Т14 шестого фильтра верхних частот первого порядка 37 в соответствии с условием

При этом значение фазовой частотной характеристики передаточной функции гиростабилизатора морского гравиметра по второму каналу на частоте k2 становится точно равным -270 град.
Далее второе управляющее устройство 47 в соответствии с текущим значением преобладающей частоты качки k3 изменяет величину постоянной времени T15 девятого апериодического звена 38, а также постоянную времени T15 и переменный параметр l6 седьмого фильтра верхних частот первого порядка 40 в соответствии с условием
При этом значение фазовой частотной характеристики передаточной функции гиростабилизатора морского гравиметра по второму каналу на частоте k3 становится вновь точно равным -270 град.
Далее второе управляющее устройство 47 в соответствии с текущим значением преобладающей частоты качки k2 изменяет величину постоянной времени T17 десятого апериодического звена 41, а также постоянные времени T17 и T16 восьмого фильтра верхних частот первого порядка 43 в соответствии с условием

При этом значение фазовой частотной характеристики передаточной функции гиростабилизатора морского гравиметра по второму каналу на частоте k2 становится вновь точно равным -270 град, а значение фазовой частотной характеристики передаточной функции гиростабилизатора морского гравиметра по второму каналу на частоте k3 с высокой точностью стремится к -270 град.
Сигнал с выхода восьмого сумматора 42 поступает на вход датчика момента 44 второго поплавкового гироскопа (ось чувствительности которого лежит в плоскости стабилизированной площадки и перпендикулярна оси чувствительности первого гироскопа) и обеспечивает приведение к горизонту и удержание в горизонте стабилизируемой площадки с гравиметром по оси наружной рамы при качке основания.
Эффективность предлагаемого устройства системы коррекции гиростабилизатора морского гравиметра может быть оценена на примере первого канала.
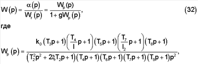
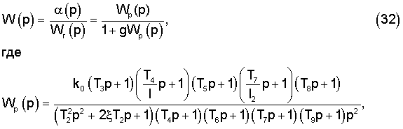
Передаточная функция гиростабилизатора с предлагаемой системой коррекции по первому каналу имеет вид

(р)- ошибка стабилизации, Wг – горизонтальное ускорение качки,
kA – коэффициент передачи акселерометра,
kг – коэффициент передачи гироскопа по управляющему воздействию,
g – ускорение силы тяжести,
k0=kA·k2·kг.
Систематическая составляющая измерения ускорения силы тяжести гиростабилизированным гравиметром из-за совместного влияния составляющей горизонтального ускорения, обусловленной рысканием корабля и наклоном гиростабилизированной площадки в случае нерегулярной качки, определяется по формуле

Спектральная плотность горизонтального ускорения, обусловленного рысканием корабля, имеет вид

где А – дисперсия углов рыскания,
 – коэффициент нерегулярности,

Систематическая составляющая измерения ускорения силы тяжести гиростабилизированным гравиметром из-за совместного влияния составляющей горизонтального ускорения, обусловленной рысканием и наличием хода корабля и наклоном гиростабилизированной площадки в случае нерегулярной качки, определяется по формуле

Спектральная плотность горизонтального ускорения, обусловленного рысканием и наличием хода корабля, имеет вид

где v – скорость хода корабля.
При числовых значениях параметров устройства системы коррекции прототипа k0=1,3·10-5, =0,707, Т3=150 с, Т2=17 с, Т1=1,08 с, l=1,1664 (параметры Т4, l определены в соответствии с частотой к1=1 с-1) и для значений параметров спектральной плотности горизонтального ускорения А =0,000847 рад2,  =0,03 с-1, х=10 м, v=10 м/с

При числовых значениях параметров первого канала предлагаемого устройства системы коррекции k0=1,3·10-5, =0,707, Т3=150 с, Т2=17 с и параметрах Т4=7,033528662 с, l=2,160922022, Т5=1,083643444, Т6=0,922812762, Т7=4,941269339, l2=1,066521529, Т8=1,012982185, Т9=0,987184193, которые определены на основании критериев самонастройки (13), (14), (15), (16) при k1=1 с-1, k3=0,209 c-1 и для значений параметров спектральной плотности горизонтального ускорения A =0,000847 рад2,  =0,03 с-1, х=10 м, =10 м/с

Графики подинтегральных выражений (33) прототипа (кривая 1) и предлагаемого устройства системы коррекции (кривая 2) приведены на фиг.2.
Графики подинтегральных выражений (34) прототипа (кривая 1) и предлагаемого устройства системы коррекции (кривая 2) приведены на фиг.3.
Проведенные расчеты показывают, что величина погрешности первого канала предлагаемого устройства системы коррекции в 9,427 раза меньше, чем у прототипа, а величина погрешности в 2,36 раз меньше, чем у прототипа.
Таким образом, совокупность признаков предлагаемого устройства системы коррекции, реализация которых может быть выполнена в соответствии с фиг.1, позволяет повысить точность измерения ускорения силы тяжести гиростабилизированным гравиметром.
Формула изобретения
Система коррекции гиростабилизатора морского гравиметра, содержащая два канала, включающая в первом канале первый акселерометр, первое апериодическое звено, первое изодромное устройство, датчик момента первого поплавкового гироскопа, первый интегратор, первый усилитель обратной связи, первый вычитатель, второе апериодическое звено, первый фильтр верхних частот первого порядка, первый сумматор, первый фильтр верхних частот, первый измеритель спектра, первое управляющее устройство, включающая во втором канале второй акселерометр, шестое апериодическое звено, второе изодромное устройство, датчик момента второго поплавкового гироскопа, второй интегратор, второй усилитель обратной связи, второй вычитатель, седьмое апериодическое звено, пятый фильтр верхних частот первого порядка, пятый сумматор, второй фильтр верхних частот, второй измеритель спектра, второе управляющее устройство, причем выход первого акселерометра связан с первым входом первого вычитателя, выход которого связан с входом первого интегратора, выход которого связан с входом первого апериодического звена, выход которого связан с входом первого усилителя обратной связи, выход которого связан со вторым входом первого вычитателя, выход первого апериодического звена связан также с входом первого изодромного устройства, выход которого связан с входом второго апериодического звена, выход которого связан с первым входом первого сумматора, второй вход которого связан с выходом первого фильтра верхних частот первого порядка, вход которого связан с выходом первого изодромного устройства, кроме того, выход первого акселерометра связан со входом первого фильтра верхних частот, выход первого фильтра верхних частот посредством первого измерителя спектра связан с первым входом первого управляющего устройства, выход которого связан со вторым апериодическим звеном, а также связан с первым фильтром верхних частот первого порядка, причем выход второго акселерометра связан с первым входом второго вычитателя, выход которого связан с входом второго интегратора, выход которого связан с входом шестого апериодического звена, выход которого связан с входом второго усилителя обратной связи, выход которого связан со вторым входом второго вычитателя, выход шестого апериодического звена связан также с входом второго изодромного устройства, выход которого связан с входом седьмого апериодического звена, выход которого связан с первым входом пятого сумматора, второй вход которого связан с выходом пятого фильтра верхних частот первого порядка, вход которого связан с выходом второго изодромного устройства, кроме того, выход второго акселерометра связан со входом второго фильтра верхних частот, выход второго фильтра верхних частот посредством второго измерителя спектра связан с первым входом второго управляющего устройства, выход которого связан с седьмым апериодическим звеном, а также связан с пятым фильтром верхних частот первого порядка, отличающаяся тем, что в первый канал дополнительно введены третье апериодическое звено, второй сумматор, второй фильтр верхних частот первого порядка, четвертое апериодическое звено, третий сумматор, третий фильтр верхних частот первого порядка, пятое апериодическое звено, четвертый сумматор, четвертый фильтр верхних частот первого порядка, во второй канал дополнительно введены восьмое апериодическое звено, шестой сумматор, шестой фильтр верхних частот первого порядка, девятое апериодическое звено, седьмой сумматор, седьмой фильтр верхних частот первого порядка, десятое апериодическое звено, восьмой сумматор, восьмой фильтр верхних частот первого порядка, кроме того, дополнительно введены датчик угловой скорости, третий фильтр верхних частот, третий измеритель спектра, причем выход первого сумматора связан с входом третьего апериодического звена, выход которого связан с первым входом второго сумматора, второй вход которого связан с выходом второго фильтра верхних частот первого порядка, вход которого связан с выходом первого сумматора, выход второго сумматора связан с входом четвертого апериодического звена, выход которого связан с первым входом третьего сумматора, второй вход которого связан с выходом третьего фильтра верхних частот первого порядка, вход которого связан с выходом второго сумматора, выход третьего сумматора связан с первым входом пятого апериодического звена, выход которого связан с первым входом четвертого сумматора, второй вход которого связан с выходом четвертого фильтра верхних частот первого порядка, вход которого связан с выходом третьего сумматора, выход четвертого сумматора связан с входом датчика моментов первого двухстепенного поплавкового гироскопа, выход первого управляющего устройства связан с третьим апериодическим звеном, а также связан со вторым фильтром верхних частот первого порядка, а также связан с четвертым апериодическим звеном, а также связан с третьим фильтром верхних частот первого порядка, а также связан с пятым апериодическим звеном, а также связан с четвертым фильтром верхних частот первого порядка, выход пятого сумматора связан с входом восьмого апериодического звена, выход которого связан с первым входом шестого сумматора, второй вход которого связан с выходом шестого фильтра верхних частот первого порядка, вход которого связан с выходом пятого сумматора, выход шестого сумматора связан с входом девятого апериодического звена, выход которого связан с первым входом седьмого сумматора, второй вход которого связан с выходом седьмого фильтра верхних частот первого порядка, вход которого связан с выходом шестого сумматора, выход седьмого сумматора связан с первым входом десятого апериодического звена, выход которого связан с первым входом восьмого сумматора, второй вход которого связан с выходом восьмого фильтра верхних частот первого порядка, вход которого связан с выходом седьмого сумматора, выход восьмого сумматора связан с входом датчика моментов второго двухстепенного поплавкового гироскопа, выход второго управляющего устройства связан с восьмым апериодическим звеном, а также связан с шестым фильтром верхних частот первого порядка, а также связан с девятым апериодическим звеном, а также связан с седьмым фильтром верхних частот первого порядка, а также связан с десятым апериодическим звеном, а также связан с восьмым фильтром верхних частот первого порядка, кроме того выход датчика угловой скорости связан с входом третьего фильтра верхних частот, выход которого связан с входом третьего измерителя спектра, выход которого связан со вторым входом первого управляющего устройства, а также связан со вторым входом второго управляющего устройства.
РИСУНКИ
|
|