Патент на изобретение №2332441
|
||||||||||||||||||||||||||
(54) СПОСОБ ОЧИСТКИ РАСТВОРОВ, СОДЕРЖАЩИХ ДИСПЕРСНЫЕ И КОЛЛОИДНЫЕ ЧАСТИЦЫ
(57) Реферат:
Изобретение относится к химической технологии очистки дисперсных сред и коллоидных растворов. Техническая задача – упрощение и повышение эффективности процесса, снижение энергетических затрат, обеспечение доступности и простоты применения в различных технологических процессах. Предложен способ очистки растворов, содержащих дисперсные и коллоидные частицы, с использованием сверхвысокомолекулярного элементорганического флокулянта или интерполимерных комплексов на его основе, общей формулы
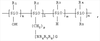
где m=1-9; радикалы: R1=(CH2)nPol, где n=2-4; R2 и R3 выбраны из Н; СН3; С2Н5; С3Н5; С3Н7; С4Н9; R4 и R5 выбраны из СН3; С2Н5; С3Н5; С3Н7; С4Н9; С6Н5; ОН; ОМ; M=Na; К; Cs; R6=(CH2)k, О; где k=1-4; R7=R4; [NR1R2R3]O; Pol = органический полимер, например полиакрилат. Изобретение может быть использовано для очистки жидких растительных, минеральных и синтетических масел, очистки сахаросодержащих растворов, подготовке и очистке сточных вод, а также во всех производствах, где требуется очистка растворов от дисперсных и коллоидных компонентов. 2 з.п. ф-лы.
Изобретение относится к химической технологии очистки дисперсных сред и коллоидных растворов и может быть использовано для очистки жидких растительных, минеральных и синтетических масел, очистки сахаросодержащих растворов, подготовке и очистке сточных вод, а также во всех производствах, где требуется очистка растворов от дисперсных и коллоидных компонентов. Известен способ очистки отработанных смазочных масел путем нагревания, отгонки воды и легких фракций от регенерируемого масла, обработкой последнего растворителем с последующей вакуумной разгонкой выделенного масла, отличающийся тем, что в качестве растворителя используется полиметилсилоксан при объемном соотношении растворителя и масла 2-10:1 и обработку проводят при 15-50°С, давлении 1,0-1,5 кгс/см2, вакуумную разгонку проводят в тонкопленочном испарителе при 240-350°С и давлении 2-20 мм рт.ст. (RU 2061741 С1, 10/06/1996). Недостатком способа является его ограниченная применимость только для отработанных смазочных масел, высокая стоимость из-за затрат, связанных с необходимостью применения высоких температур, давления, вакуума и дорогостоящего полиметилсилоксана, используемого в качестве растворителя. В этом способе используется принцип различной растворимости масла и примесей, входящих в его состав, однако, очевидно, что таким способом отработанное масло от всех примесей очистить невозможно. Именно этим и объясняется необходимость вакуумной перегонки целевого продукта. Кроме того, применение этого способа возможно только для низкомолекулярных полиметилсилоксанов, которые могут быть перегнаны в вакууме. Известен способ очистки кислых растворов от кремния, включающий обработку их при перемешивании кремнийсодержащим веществом и последующее отделение образовавшегося продукта от раствора, отличающийся тем, что в качестве кремнийсодержащего вещества используют кремнийорганический флокулянт, выбранный из соединений класса органосиликонатов щелочных металлов или металлорганосиликонатов щелочных металлов и их смесей. Объемное отношение – обрабатываемый раствор: флокулянт 1:0,0001-0,015. Способ отличается тем, что в соединениях класса органосиликонатов или металлорганосиликонатов органическими радикалами являются метил, этил, пропил, изопропил, винил или фенил; металл выбран из ряда: алюминий, цинк или магний, а щелочными металлами являются натрий или калий. (RU 2077506 С1, 20/04/1997). Недостатком способа является его ограниченная применимость, только для очистки кислых водных растворов от кремния методом, вызывающим полимеризацию кремниевой кислоты. Ближайшим аналогом предложенного способа является способ очистки и разделения дисперсных сред и коллоидных растворов, включающий обработку их при перемешивании кремнийсодержащим веществом и последующее отделение образовавшегося продукта от раствора, отличающийся тем, что в качестве кремнийсодержащего вещества используют кремнийорганический флокулянт общей формулы где – индексы р=(1-8); k, l=(0-1); m=(0,05-0,5); n=(0,0-0,8); при этом сумма k+l+m+n=1. Радикалы R1, R2, R3=СН3; С2Н5; С6Н5; С3Н7; С4Н9; O-[SiO2]qOJ, где q=1-9; R4, R5=СН3; С2Н5; С6Н5; С3Н7; С4Н9; С3Н4F3; С3Н5; С3Н4Cl3; С3Н8N; R6, R7, R8=Н; СН3; С2Н5; С3Н7; С3Н5; J=Li; Na; K; Cs. Активные группы и M=J; R6; комплексообразователи: G=Cl; Br; I (RU 2246447 С1, 20.02.2005). Недостатком способа является высокая стоимость продукта, связанная с тем, что даже для одного и того же технологического процесса в зависимости от меняющихся внешних факторов, например, качества исходного сырья, необходимо заново делать расчет количества звеньев (k, l, m, n) и типа углеводородного радикала. Это, в свою очередь, приводит к необходимости синтеза целой гаммы флокулянтов для каждого технологического процесса, что резко ограничивает возможность применения этого способа практически во всех областях очистки растворов от дисперсных и коллоидных частиц. Технический результат изобретения заключается в упрощении и повышении эффективности процесса очистки растворов от различных дисперсных и коллоидных частиц, обеспечении доступности и простоты применения в различных технологических процессах, снижении энергетических затрат за счет пониженных температур и времени очистки. Указанный технический результат достигается тем, что способ очистки растворов, содержащих дисперсные и коллоидные частицы, предусматривает применение сверхвысокомолекулярного элементорганического флокулянта, содержащего в обрамлении основной цепи функциональные группы, обеспечивающие его растворимость в различных средах, образование прочных связей не только с поверхностью дисперсной фазы, но и с другими макромолекулами, общей формулы
где m=1-9; радикалы: R1=(CH2)nPol, где n=2-4; R2 и R3, выбранные из Н; СН3; С2Н5; С3Н5; С3Н7; С4Н9; R4 и R5, выбранные из СН3; С2Н5; С3Н5; С3Н7; С4Н9; С6Н5; ОН; ОМ; M=Na; K; Cs; R6=(CH2)k, O; k=1-4; R7=R4; [NR1R2R3]O; Pol = органический полимер из ряда поливиниламинов, полиаллиламинов, поли-N-виниламидов, полидиметилдиаллиламмоний галогенидов, полиакрилатов, полиметилакрилатов, а также сополимеры и блоксополимеры из мономеров, соответствующих вышеперечисленным полимерам. Сверхвысокомолекулярный элементорганический флокулянт (СВЭФ), содержащий в качестве одного из радикалов соединение комплексной природы, четвертичную аммониевую соль, обеспечивает синергизм межмолекулярных взаимодействий дисперсных и коллоидных частиц, снижение величины градиента потенциала электрических зарядов, обеспечивает разрушение структурно-механических барьеров и сцепление с поверхностью частиц, одновременно сохраняя связь с другими высокомолекулярными молекулами. При использовании СВЭФ для очистки растительных масел, полученных методом прессования, удаление коллоидных частиц шрота и гидратируемых фосфатидов происходит в широком интервале температур (от 0 до 90°С). Поэтому процесс очистки можно вести без нагревания, при этом R4=R5=С3Н5; С3Н7; С4Н9; С6Н5, R4=ОМ, m=1-4, что обеспечивает высокую совместимость СВЭФ с растительными маслами, способствует глубокой конверсии карбоновых кислот в соли и выведению растворенных в масле фосфатидов из зоны взаимодействия в виде нерастворимого в масле осадка. Применение СВЭФ обеспечивает полную очистку масел, их хорошую фильтруемость, получение масла с кислотным числом до 0,6 мг КОН на грамм масла, что соответствует гидратированному рафинированному маслу. Отработанные трансмиссионные и моторные масла могут быть очищены от мелкодисперсных примесей масляных нагаров, металлических частиц и других образований в две стадии. На первой стадии в смесь при перемешивании вводится многоосновная кислота (серная, сернистая, фосфорная и т.д.), после чего смесь нагревается до температуры (70-90°С). На второй стадии при перемешивании смесь нейтрализуют основанием до значения рН 6,5-7,5, после чего вводят СВЭФ, при этом R4=R5=С3Н7; С4Н9; С6Н5, m=3-5, n=3. Такая схема применения СВЭФ позволяет удалить примеси в виде осадка, очищая масло до первоначальной оптической прозрачности. Сахаросодержащие растворы могут быть очищены по этому способу в одну или несколько стадий, включающих их обработку при перемешивании СВЭФ и последующим удалением образовавшегося осадка в присутствии СаО или без него при следующих значениях R4=R5=СН3; С2Н5; С3Н5; С3Н7; ОН, m=4-9. Значение R6 зависит от рН среды. Для рН<7 R6=0, для других значений водородного показателя R6=(CH2)k. Предложенный способ позволяет проводить очистку сахаросодержащих растворов с чистотой менее 80%, причем в случае очистки диффузионного сока в технологическом процессе переработки сахарной свеклы большинство несахаров выводится со стружкой уже в процессе экстракции сахарозы в диффузионном аппарате. Кроме того, предложенная технология позволяет стабилизировать технологический процесс и сделать его менее чувствительным к изменению качества сырья и других технологических параметров. За счет высокого эффекта очистки (45-60%) отпадает необходимость в таких стадиях технологического процесса, как сульфитация, вторая дефекация и сатурация и т.п. Пример 1. К 1 кг растительного масла, полученного методом холодного прессования, при температуре 18°С добавляют при перемешивании 25 мл, 5% раствора СВЭФ при следующих значениях индексов: R1=(СН2)3Pol, R2=R3=С3Н5, R4=R7=ONa, R5=C2H5, R6=О, m=2, Pol = полиакрилат. Смесь перемешивают в течение 15 минут, образовавшийся осадок удаляют методом фильтрации или центрифугирования. Очищенное масло имеет кислотное число менее 0,4 мг КОН на грамм масла, что соответствует гидратированному рафинированному маслу. Пример 2. К 1 кг отработанного машинного масла при перемешивании добавляют 8 мл 40% раствора ортофосфорной кислоты, смесь нагревают до 80°С, затем при перемешивании вводят 20 мл известкового молока, после чего добавляют 2 мл 10% СВЭФ при следующих значениях индексов: (СН2)3Pol, R2=C4H9, R3=С3Н5, R4=СН3, R5=С6H5, R6=(CH2)2, m=1, Pol = полидиметилдиаллиламмоний. Смесь перемешивают 10 минут и отправляют на фильтрацию или центрифугирование, после чего удаляют легкокипящую фракцию при остаточном давлении 2-10 мм рт.ст. и температуре 70-90°С. Затем нагретую смесь фильтруют на нутч-фильтре. Очищенное масло представляет собой прозрачную вязкую жидкость, без механических примесей и неприятного запаха. Пример 3. Очистка сахаросодержащего раствора полученного из сахара-сырца с чистотой 98,0% проводится в аппарате с мешалкой. К 1 кг сахаросодержащего раствора с содержанием сухих веществ 56% при перемешивании добавляют 1,5 гр СаО и 0,05 гр СВЭФ при следующих значениях индексов: (СН2)2Pol, R2=СН3, R3=С3Н5, R4=СН3, R5=С2H5, R6=(СН2)2, R7=[NR1R2R3]O; m=9, Pol = поли-N-виниламид. Смесь перемешивают 10 минут, образовавшийся осадок удаляют фильтрацией или центрифугированием. Эффект обесцвечивания составил 92,5%.
Формула изобретения
1. Способ очистки растворов, содержащих дисперсные и коллоидные частицы, включающий обработку их при перемешивании сверхвысокомолекулярным элементорганическим веществом и последующее отделение образовавшегося осадка, отличающийся тем, что в качестве сверхвысокомолекулярного элементорганического вещества используют кремнийорганическое вещество или интерполимерные комплексы на его основе, содержащие в обрамлении основной цепи функциональные группы, обеспечивающие его растворимость в различных средах, а также образование прочных связей не только с поверхностью дисперсной фазы, но и с другими макромолекулами, общей формулы
где m=1-9; R1=(CH2)nPol, где n=2-4; R2 и R3, выбранные из Н; СН3; С2Н5; C3H5; С3Н7; С4H9; R4 и R5, выбранные из СН3; C2H5; С3Н5; С3Н7; С4Н9; С6Н5; ОН; ОМ; M=Na; К; Cs; R6=(СН2)k, O; где k=1-4; R7=R4; [NR1R2R3]O; Pol – органический полимер из ряда поливиниламинов, полиаллиламинов, поли-Н-виниламидов, полидиметилдиаллиламмоний галогенидов, полиакрилатов, полиметилакрилатов, а также сополимеры и блоксополимеры из мономеров, соответствующих вышеперечисленным полимерам. 2. Способ по п.1, отличающийся тем, что очистку ведут в присутствии щелочных агентов таких, как гидроксиды натрия и кальция. 3. Способ по п.2, отличающийся тем, что предварительно в очищаемую среду вводят окислитель, например серную кислоту, фосфорную кислоту, полифосфорную кислоту, перекись водорода, гипохлорид натрия или кальция.
QB4A – Регистрация лицензионного договора на использование изобретения
Лицензиар(ы): Гольцев Михаил Юрьевич, Артамонов Николай Алексеевич, Платонов Владимир Николаевич
Вид лицензии*: НИЛ
Лицензиат(ы): Общество с ограниченной ответственностью Научно-производственный центр “Новые технологии”
Договор № РД0043614 зарегистрирован 21.11.2008
Извещение опубликовано: 10.01.2009 БИ: 01/2009
* ИЛ – исключительная лицензия НИЛ – неисключительная лицензия
|
||||||||||||||||||||||||||




