Патент на изобретение №2332429
|
||||||||||||||||||||||||||
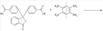
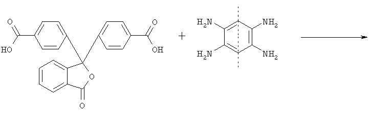
(54) СПОСОБ ПОЛУЧЕНИЯ ПОЛИБЕНЗИМИДАЗОЛОВ НА ОСНОВЕ 4,4′-ДИФЕНИЛФТАЛИДДИКАРБОНОВОЙ КИСЛОТЫ
(57) Реферат:
Изобретение относится к способу получения полибензимидазолов на основе 4,4′-дифенилфталиддикарбоновой кислоты, применяемых в качестве протонпроводящих полимерных мембран, используемых в твердополимерных топливных элементах. Способ получения полибензимидазолов заключается в том, что проводят реакцию поликонденсации 4,4′-дифенилфталиддикарбоновой кислоты и ароматического тетраамина при нагревании в среде реагента Итона при ступенчатом подъеме температуры от 80 до 150°С. В процессе синтеза добавляют пентаоксид фосфора в количестве от 1 до 2 моль на моль мономеров. Изобретение позволяет улучшить экологическую безопасность процесса, уменьшить его энергоемкость и получить за один этап с количественным выходом высокомолекулярный растворимый в органических растворителях пленкообразующий полимер с молекулярным весом 40000-100000, способный к реакциям структурирования.
(56) (продолжение): CLASS=”b560m”v.50, is.154, p.511-539. Journal of polymer science part A: General papers, «Polyphenylenebenzimidazoles», 1964, v.2, is.6, p.2605-2615. US 4535144 A, 13.08.1985. SU 253351 A1, 30.09.1969.
Изобретение относится к химии высокомолекулярных соединений, а точнее к способу получения полибензимидазолов на основе 4,4′-дифенилфталиддикарбоновой кислоты и ароматических тетрааминов, а также к водородной энергетике и топливным элементам, в частности к способам получения протонпроводящих полимерных мембран, используемых в твердополимерных топливных элементах. Данный способ характеризуется рядом недостатков, в том числе необходимостью использования в качестве исходных соединений свободных ароматических тетрааминов, отдельные представители которых очень неустойчивы к окислению; необходимостью использования для достижения высоких степеней циклизации и молекулярных масс полимеров высокой (до 673 К) температуры и желательно вакуума, что в комплексе создает значительные трудности в аппаратурном оформлении процессов. Синтез полибензимидазолов при столь высоких температурах приводит к протеканию нежелательных побочных и вторичных процессов (сшивки, деструкции и т.д.), зачастую негативно отражающихся на свойствах целевых полимеров, и не применим в случае использования в качестве дикарбоновой кислоты – 4,4′-дифенилфталиддикарбоновой кислоты. Известен способ получения полибензимидазолов в среде 84% полифосфорной кислоты при температурах 180-230°C (Y. Ivakura, K. Uno, Y. Imai, J. Polym. Sci. 1964, part A, 2, 2605). Данный способ характеризуется рядом недостатков, в том числе высокой коррозионной активностью ПФК; высокой вязкостью растворов полимеров в ПФК и высокой температурой процесса (180-230°C), необходимостью разбавления реакционных растворов в ПФК для получения полимеров в виде тонкодисперсных порошков, что резко увеличивает объем кислотных стоков производства. Способ получения полибензимидазолов ограниченно применим в случае использования в качестве дикарбоновой кислоты – 4,4′-дифенилфталиддикарбоновой кислоты, поскольку в результате поликонденсации образуются либо низкомолекулярные (приведенная вязкость в 2-метилпирролидоне <0,5 дл/г), растворимые при комнатной температуре в о-фосфорной кислоте полимеры (что делает невозможным использование таких полимеров в качестве мембран среднетемпературного топливного элемента), либо высокомолекулярные, но сшитые, нерастворимые в органических растворителях системы (Изынеев А.А и др. ДАН СССР, 1976, №6, 1370). Известен способ получения полибензимидазолов в среде реагента Итона (М. Ueda, М. Sato, A. Mochizuki. Macromolecules 1985, 18, Р.2723). Последний представляет собой раствор P2O5 в метансульфокислоте в весовом соотношении 1:10. Данный метод, несомненно, имеет преимущества перед вышеизложенными методами синтеза благодаря высокой скорости процесса при относительно невысоких температурах (100÷150°C), что обеспечивается эффективным действием смеси Р2O5:СН3SO3Н, как растворителя так и конденсирующего агента, а также хорошей растворяющей способностью исходных соединений для получения полибензимидазолов. Полициклоконденсация протекает в гомогенных условиях при сравнительно невысокой вязкости высококонцентрированных растворов полимеров (10-25 г/100 мл). Недостатком данного способа синтеза является возможность использования в синтезе полибензимидазолов только дикарбоновых кислот с эфирными мостиковыми группами. Цель предлагаемого изобретения заключается в получении высокомолекулярных, растворимых в органических растворителях, пленкообразующих полибензимидазолов, способных к реакциям структурирования, одностадийной полициклоконденсацией при высоких концентрациях и пониженной температуре, что способствует улучшению экологической безопасности процесса и уменьшению его энергоемкости. А также получение полибензимидазольных пленочных материалов, пригодных для получения мембран среднетемпературных топливных элементов. Поставленная задача решается тем, что в качестве кислотного мономера используется 4,4′-дифенилфталиддикарбоновая кислота и ее реакция с ароматическими тетрааминами проводится при нагревании в среде реагента Итона при ступенчатом подъеме температуры от 80 до 150°C и добавлении в процессе синтеза для связывания конденсационной воды пентаоксида фосфора в количестве 1-2 моль/моль мономеров. Существенным отличием заявляемого способа от прототипа является возможность получения высокомолекулярных, пленкообразующих, пригодных для получения мембран для среднетемпературного топливного элемента полибензимидазолов на основе 4,4′-дифенилфталиддикарбоновой кислоты и ароматических тетрааминов в среде реагента Итона при высоких концентрациях и ступенчатом подъеме температуры от 80 до 150°C и добавлении в процессе синтеза для связывания конденсационной воды пентаоксида фосфора в количестве 1-2 моль/моль мономеров. Реакция поликонденсации проводится по следующей схеме: 3,3′,4,4′-Тетрааминодифенилсульфон (1) очищали перекристаллизацией из обескислороженной воды в токе аргона и сушили в вакууме (0,133 Па) при 60-70°C. Выход 71,5%, Тпл=174°C. Лит. Тпл=174°C. 3,3′,4,4′-Тетрааминодифенилоксид (2) (Продукт Рубежанского химкомбината) очищали перекристаллизацией из обескислороженной воды в токе аргона и сушили в вакууме (0,133 Па) при 60-70°C. Выход 65,7%, Тпл=151,0-151,5°C. Лит. Тпл=151°С. 3,3′-Диаминобензидин (3) (продукт фирмы Fluka, ФРГ) очищали перекристаллизацией из метанола в токе аргона и сушили в вакууме (0,133 Па) при 40-50°C. Выход 77,18%, Тпл=178-179°C. Лит. Тпл=178-179°С. 1,2,4,5-тетрааминобензол (4) (продукт фирмы Aldrich) использовали без дополнительной очистки. 4,4′-дифенилфталиддикарбоновая кислота (продукт Союзглавреактив). Очищали перекристаллизацией из метанола с активированным углем и сушили в вакууме (0,133 Па) при 90-100°C. Реагент Итона (смесь Р2О5:MeSO3Н=9:1% вес.). Получали растворением Р2О5 в метансульфокислоте при 80°C в токе аргона. Дополнительной очистке не подвергали. Строение полученных полимеров подтверждается данными ИКС. В ИК-спектрах всех полимеров имеется набор широких полос поглощения -NH-групп бензимидазольного цикла в области 3200-3600 см-1; 1755 и 1775 см-1, относящихся к -С=О группам фталидного цикла; 1640-1660 см-1, относящихся к -C=N бензимидазольных циклов. Строение и химический состав полимеров подтверждаются также методами ЯМР 1Н и элементного анализа. Полимеры характеризуются высокой термической устойчивостью. Согласно данным динамического ТГА на воздухе (скорость подъема температуры 5 град/мин) температуры начала их интенсивного разложения лежат в интервале 450-500°C. Молекулярный вес полимеров характеризовали измерениями их характеристической вязкости в растворе 2-метилпирролидона при 25°C. По своим прочностным свойствам пленки синтезированных полибензимидазолов находятся на уровне лучших образцов известных гетероциклических полимеров. Изобретение иллюстрируется следующими примерами. Пример 1. В трехгорлую колбу, снабженную мешалкой и капилляром для ввода аргона загружали 0,557 г (0,002 моль) 3,3′,4,4′-тетрааминодифенилсульфона (1), 0,749 г (0,002 моль) 4,4′-дифенилфталиддикарбоновой кислоты и 2,8 мл свежеприготовленного реагента Итона и интенсивно перемешивали в токе аргона при 80°C в течение 2 ч, затем нагревали 1 ч при 100°C, 1 ч при 120°C, «укрепляли» 0,57 г (0,004 моль) P2O5 и выдерживали 2 ч при этой температуре. Затем поднимали температуру до 145-150°C и вели синтез в течение 2-5 ч. Реакционную смесь разбавляли равным объемом 85%-ной Н3РО4 до получения гомогенного раствора, который выливали в воду и измельчали ультрадиспергатором. Осадок полимера отфильтровывали, промывали дистиллированной водой до нейтральной реакции, экстрагировали метанолом в аппарате Сокслета и сушили в вакууме при 100°C в течение 5 ч. Получено 1,16 г полимера (выход количественный). Полимер растворим в 2-метилпирролидоне ([ Пример 2. По методике, представленной в примере 1, проводили поликонденсацию 0,461 г (0,002 моль) 3,3′,4,4′-тетрааминодифенилового эфира (2), 0,749 г (0,002 моль) 4,4′-дифенилфталиддикарбоновой кислоты в 2,8 мл свежеприготовленного реагента Итона. Получено 1,06 г полимера (выход количественный). Полимер растворим в 2-метилпирролидоне ([ Пример 3. По методике, представленной в примере 1, проводили поликонденсацию 0,428 г (0,002 моль) 3,3′-диаминобензидина (3), 0,749 г (0,002 моль) 4,4′-дифенилфталиддикарбоновой кислоты в 3,8 мл свежеприготовленного реагента Итона. Получено 1,02 г полимера (выход количественный). Полимер растворим в 2-метилпирролидоне ([ Пример 4. По методике, представленной в примере 1, проводили поликонденсацию 0,276 г (0,002 моль) 1,2,4,5-тетрааминобензола (4), 0,749 г (0,002 моль) 4,4′-дифенилфталиддикарбоновой кислоты в 4,0 мл свежеприготовленного реагента Итона. Получено 0,95 г полимера (выход количественный). Полимер растворим в 2-метилпирролидоне ([
Формула изобретения
Способ получения полибензимидазолов реакцией поликонденсации 4,4′-дифенилфталиддикарбоновой кислоты и ароматического тетраамина при нагревании, отличающийся тем, что реакцию полициклоконденсации проводят в среде реагента Итона при ступенчатом подъеме температуры от 80 до 150°С, при этом в процессе синтеза добавляют пентаоксид фосфора в количестве от 1 до 2 моля на моль мономеров.
|
||||||||||||||||||||||||||




]=1,52 дл/г), диметилформамиде, НСООН, CF3СООН. Согласно данным динамического ТГА на воздухе полимер устойчив до 460°C. Его строение и химический состав подтверждены данными ИКС, ЯМР 1Н и элементного анализа. Из раствора полимера в 2-метилпирролидоне на стеклянную подложку отлиты прочные и эластичные пленки с разрывной прочностью 140-160 МПа, относительным удлинением при разрыве 6-12% и модулем упругости 3600-4200 МПа.