Патент на изобретение №2332427
|
||||||||||||||||||||||||||||||||||||||||||||||||||||||||||||||||||||||||||||||||||||||||||||||||||||||||||||||||||||||||||||||||
(54) ФТОРПОЛИМЕРНЫЕ КОМПОЗИЦИИ
(57) Реферат:
Изобретение относится к фторполимерным композициям с амидинсодержащими вулканизующими веществами. Описана композиция, содержащая: (а) фторполимер, включающий интерполимеризованные блоки, полученные из мономера с азотсодержащим центром сшивки; и (b) амидинсодержащее вулканизующее вещество, где вулканизующее вещество представляет собой бис-амидин, перфорированный амидин или соль одного из этих соединений; причем фторполимер является факультативно перфторированным. Техническим результатом является уменьшение показателей остаточной деформации при сохранении высокотемпературных показателей. 9 з.п. ф-лы, 1 табл.
ТЕХНИЧЕСКАЯ ОБЛАСТЬ ИЗОБРЕТЕНИЯ Настоящее изобретение представляет фторполимерные композиции с амидинсодержащими вулканизующими веществами, способы вулканизации таких композиций и изделия, содержащие такие композиции. ПРЕДПОСЫЛКИ В число фторполимеров входят, например, фторэластомеры с поперечными связями, вулканизируемые фторэластомерные смолы и полукристаллические фторопластики. Фторэластомеры обычно устойчивы к действию высоких температур и агрессивных химических сред. Поэтому они находят широкое применение в качестве герметизующих элементов, прокладок и формованных деталей в системах, которые подвергаются воздействию повышенных температур и/или едких химических веществ. Такие детали и изделия находят применение в автомобильной, химической, полупроводниковой, авиакосмической и нефтеперерабатывающей промышленности, а также в других отраслях. Фторэластомеры часто содержат компонент с центром поперечной сшивки, который облегчает вулканизацию в присутствии соответствующего катализатора. Одним из классов подходящих компонентов с центром сшивки являются мономеры, содержащие нитрильную группу, для которых в качестве вулканизующих компонентов используются оловоорганические катализаторы. Такие вулканизующие компоненты могут оставлять нежелательные экстрагируемые металлические остатки в составе вулканизированного продукта и неприемлемы по экологическим соображениям. В качестве компонента для вулканизации системы можно также использовать аммоний-образующие вещества. Эти вулканизационные системы не обладают нужным уровнем реологических показателей в процессе переработки. Кроме того, большая часть известных фторэластомеров вулканизуется с образованием окрашенных или полупрозрачных материалов. Известно, что перфторэластомеры характеризуются как бесцветные и/или прозрачные материалы, однако остаточная деформация при сжатии у этих материалов довольно высока даже в условиях относительно низких температур (до 200°С). СУЩНОСТЬ ИЗОБРЕТЕНИЯ С одной стороны, настоящее изобретение представляет композицию, которая включает композицию, содержащую фторполимер из сополимеризованных блоков, состоящих из мономера с азотсодержащим центром сшивки и амидинсодержащим вулканизующим веществом. Другой аспект изобретения связан с представлением способа получения фторполимерной композиции, заключающегося в формировании смеси, включающей фторполимер с сополимеризованными блоками, состоящими из мономера с азотсодержащим центром сшивки и амидинсодержащего вулканизующего вещества, формования смеси, вулканизации сформованной смеси и факультативно термостарении вулканизованной смеси. Кроме того, изобретение представляет также изделия, содержащие вулканизируемые или вулканизированные композиции, такие как листы, пленки, шланги, прокладки и уплотнительные кольца. Изобретение особенно хорошо подходит для изделий с хорошими физическими свойствами и низкой остаточной деформацией при высоких температурах, которые остаются полупрозрачными или полностью прозрачными для видимого света. Такие прозрачные перфторэластомеры долгое время были предметом поисков и к настоящему времени стали доступны. Композиции, представленные в настоящем изобретении, сохраняют преимущества использования мономеров с азотсодержащим центром сшивки (например, мономеры с центром сшивки, содержащим нитрильную группу), такие как высокотемпературные показатели, которые характерны для композиций, полученных с применением оловоорганических соединений или аммоний-образующих соединений в качестве каталитических систем с такими мономерами с центрами сшивки. В то же время эти композиции демонстрируют улучшенные свойства, такие как менее высокие показатели остаточной деформации, по сравнению с материалами, полученными с помощью оловоорганических соединений. Композиции, представленные в настоящем изобретении, используются для тех процессов, в которых предполагается воздействие высоких температур и/или агрессивных химических веществ. Более подробное описание вариантов реализации данного изобретения представлено в следующем разделе. Другие особенности, приложения и достоинства настоящего изобретения будут ясны из этого описания и представленных ниже пунктов патентной формулы. ПОДРОБНОЕ ОПИСАНИЕ ИЗОБРЕТЕНИЯ Композиция, представленная в настоящем изобретении, содержит фторполимер, содержащий сополимеризованные блоки, состоящие из мономера с азотсодержащим центром сшивки и амидинсодержащего вулканизующего вещества. Вулканизующие вещества будут описаны далее в этом документе. Амидинсодержащее вулканизующее вещество может быть представлено бис-амидином, трис-амидином или тетра-амидином или солью одного из этих веществ. Кроме того, можно использовать комбинации двух или нескольких амидинов и/или амидиновых солей. В одном из вариантов амидинсодержащее вулканизующее вещество представляет собой соединение, описываемое обобщенной формулой X-Y(-Z)n. В этой формуле Х – это остаток, соответствующий формуле I:
где каждый из остатков R – это, независимо друг от друга, Н, факультативно замещенная алкильная, алкенильная, арильная, алкарильная или алкениларильная группа, Y – ковалентная связь или связующая группа, Х – это Н или остаток, соответствующий формуле I, который может быть таким же, как X, или отличаться от него, a n – целое число от 1 до 3. Кроме того, амидинсодержащее вулканизующее вещество может содержать соль материала XYZn, или предшественники соли материала XYZn могут быть представлены отдельно или в виде смеси. “Алкил” означает алифатическую углеводородную группу, которая может быть линейной или разветвленной, содержащей от 1 до примерно 15 атомов углерода, в некоторых вариантах от 1 до примерно 10 атомов углерода. “Разветвленный” означает, что одна или несколько низкомолекулярных алкильных групп, таких как метил, этил или пропил прикреплены к линейной алкильной цепи. “Низкомолекулярная алкильная ” означает наличие от 1 до примерно 6 атомов углерода в цепи, которая может быть линейной или разветвленной. Алкильная группа может быть замещенной одним или несколькими атомами галогенов, циклоалкильной или циклоалкенильной группами. “Алкенил” означает алифатическую углеводородную группу, которая содержит углерод-углеродную двойную связь и которая может быть прямой или разветвленной и иметь длину от 2 до примерно 15 атомов углерода в цепи. Предпочтительными являются алкенильные группы длиной от 2 до примерно 10 атомов углерода в цепи, и наиболее предпочтительными – содержащие от 2 до примерно 6 атомов углерода в цепи. “Низкомолекулярные алкенильные” означает группы длиной от 2 до примерно 4 атомов углерода в цепи, которые могут быть линейными или разветвленными. Алкенильная группа может быть замещенной одним или несколькими атомами галогенов, циклоалкенильной или циклоалкенильной группой. Термин “циклоалкильная” означает неароматическую моно- или мультициклическую кольцевую систему, содержащую от примерно 3 до примерно 12 атомов углерода. В качестве примеров циклоалкильных колец можно назвать циклопентил, циклогексил и циклогептил. Циклоалкильная группа может быть замещенной одним или несколькими атомами галогенов, метиленом, алкильной, циклоалкильной, гетероциклической, аралкильной, гетероаралкильной, арильной или гетероарильной группой. Термин “гетеро” означает наличие атома кислорода, азота или серы вместо одного или нескольких атомов углерода. Термин “циклоалкенильный” означает неароматическую моноциклическую или мультициклическую кольцевую систему, содержащую углерод-углеродную двойную связь и длину от примерно 3 до примерно 10 атомов углерода. Циклоалкенильная группа может быть замещенной одним или несколькими атомами галогенов, или метиленом, алкильной, циклоалкильной, гетероциклической, аралкильной, гетероаралкильной, арильной или гетероарильной группой. Термин “арильная” означает ароматический карбоциклический радикал, содержащий от примерно 6 до примерно 12 атомов углерода. В качестве примеров арильных групп можно назвать фенильные или нафтильные, факультативно замещенные одним или несколькими заместителями арильных групп, которые могут быть одинаковыми или разными, где термин “заместитель арильных групп” включает водород, алкил, циклоалкил, факультативно замещенный арил, факультативно замещенный гетероарил, аралкил, аралкенил, аралкинил, гетероаралкил, гетероаралкенил, гетероаралкинил, гидрокси, гидроксиалкил, алкокси, арилокси, аралкокси, карбокси, ацил, ароил, гало, нитро, циано, карбокси, алкоксикарбонил, арилоксикарбонил, аралкоксикарбонил, ациламино, ароиламино, алкилсульфонил, арилсульфонил и другие известные группы. Термин “алкарил” означает арил-алкильную группу, в которой арил и алкил описаны выше. “Алкениларил” означает арил-алкенильную группу, в которой арил и алкенил описаны выше. Описания приведенных выше химических групп хорошо известны, и эти описания не расходятся с общепринятыми значениями. В общей формуле X-Y(-Z)n Y может являться ковалентной связью или связующей группой R’, которая может представлять собой или включать гетероатом, например кислород, серу, фосфор или азот и т.п. Связующая группа R’ может быть представлена алкильной, алкенильной, арильной или алкарильной группой, содержащей от 1 до примерно 15 атомов углерода, которая может быть линейной или разветвленной и которая может быть нефторированной, фторированной или перфторированной. Если n=1, то Y – ковалентная связь или О, S или двухвалентная R’-группа. Если n=2, то связующая группа – N или трехвалентная R’-группа. Если n=3, то связующая группа – N(+) или четырехвалентная R’-группа, R’ может быть замещенной или незамещенной метильной, метиленовой или метиновой группой. Таким образом, вулканизующим веществом в рамках настоящего изобретения может быть бис-амидин, трис-амидин или тетра-амидин. В общей формуле X-Y(-Z)n Z может представлять собой водород или остаток, соответствующий формуле I, который может быть таким же, как X, или отличаться от него. В одном из вариантов амидинсодержащее вулканизующее вещество выбирается из карбоксилатных солей амидина, причем амидин и/или соответствующая соль факультативно могут быть фторированными или перфторированными. В другом варианте вулканизующее вещество представляет собой соединение, соответствующее формуле (II):
где R’ – это Н или факультативно замещенный алкил, алкенил, арил, алкарил или алкениларил, который может быть нефторированным, частично фторированным или перфторированным. В качестве конкретных примеров R’ можно назвать вещества согласно формуле CF3(CF2)k и CF3О(CF2)k, где k – целое число от 1 до 10. В одну из таких подгрупп входят вещества, в которых каждый из R – водород. Более специфическими примерами являются вещества, в которых R’ имеет формулу CF3CF2, CF3CF2CF2, CF3OCF2CF3 и факультативно в которых каждый из R – это Н. В другом варианте вулканизующее вещество, включающее материал согласно формуле II может также включать карбоксильное соединение согласно формуле (III):
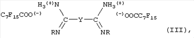
Например, в рамках настоящего изобретения применяются композиции, соответствующие формуле III, описываемые формулой CF3О(CF2)kСООН, где k – целое число от 1 до 10. Кроме того, пригодными являются композиции, в которых карбоксильное соединение имеет формулу CF3(CF2)jCOOH, где j – целое число от 1 до 15, предпочтительно от 1 до 8, и в некоторых случаях более предпочтительно от 1 до 3. Амидинсодержащие вулканизующие вещества, используемые в рамках настоящего изобретения, включают соединения, соответствующие формуле:
где Y – связующая группа согласно приведенному выше описанию, например, СХ2ОСХ2, (СХ2ОСХ2)p или (CX2CX2)p, где р – целое число от 1 до 5, каждая из групп X, независимо друг от друга, – Н, F или Cl, каждый из R независимо выбирается из группы Н, С1-С8 алкил, алкенил, С6-С15 арил, алкарил или алкенарил, и где R является факультативно замещенным радикалом. В некоторых случаях каждый из остатков R, используемых в рамках настоящего изобретения, – Н, С1-С6 алкил или алкенил, а R факультативно является замещенным, в отдельных случаях, каждый из остатков R – Н. В одном из вариантов в веществе, соответствующем общей формуле XYZn, n=1, a Z – это Х. В число других примеров амидинсодержащих вулканизующих веществ входят соединения, соответствующие формуле:
где Y – это связующая группа согласно приведенному выше описанию, и эти вещества используются в комбинации с анионом, например, таким как описано ниже и в том числе Cl–, Br–, I–, RCOO– и т.п. В качестве еще одной группы амидинсодержащих вулканизующих веществ можно назвать соединения, соответствующие формуле:
где j и k находятся в диапазоне от 1 до примерно 12, n – целое число от 1 до 5. Y соответствует приведенному выше описанию, каждая из групп Х независимо – Н, F или Cl, каждый из остатков R независимо выбирается из группы Н, а С1-С8 алкил, алкенил, а С6-С15 арил, алкарил, или алкенарил, и где R является факультативно замещенным, а А – это анион. В число подходящих анионов входят любые известные анионы, которые не оказывают отрицательного действия на существенные свойства конечного продукта. Например, анион может быть анионом кислоты или анионом производного кислоты, как органической, так и неорганической. В качестве конкретных примеров анионов можно назвать СОО, SO3, SO2, SO2NH, РО3, С6Н4O, OSO3, SO2NSO2, SO2NSO2R’ и SO2CRSO2R’, предпочтительно СОО, С6Н4O, SO3, OSO3 или SO2NR’, и в некоторых вариантах наиболее предпочтительно СОО, SO3, и OSO3. Другими примерами амидинсодержащих вулканизующих веществ являются соединения, соответствующие формуле:
где R” – факультативно замещенная алкильная, алкенильная, арильная, алкарильная или алкениларильная группа, которая может быть нефторированной, частично фторированной или перфторированной. В качестве еще одной группы амидинсодержащих вулканизующих веществ можно назвать соединения, соответствующие формуле:
где каждый из остатков R – это факультативно замещенная алкильная, алкенильная, арильная, алкарильная или алкениларильная группа, которая может быть нефторированной, частично фторированной или перфторированной, a Y – связующая группа. В этом варианте Y может быть выбран из (СХ2OCX2)р или (СХ2СХ2)р, где Х соответствует приведенному выше описанию и где р – целое число от 1 до 10, предпочтительно от 1 до 5, а в одном случае р=3. В число надежных фторполимеров входят сополимеризованные блоки, состоящие азотсодержащего мономера и, предпочтительно, по меньшей мере, двух главных мономеров. В качестве примеров подходящих кандидатов для главных мономеров можно назвать перфторолефины (например, тетрафторэтилен (TFE) и гексафторпропилен (HFP)), хлортрифторэтилен (CTFE), перфторвиниловые эфиры (например, перфторалкил виниловые эфиры и перфторалкокси виниловые эфиры), и факультативно, водородсодержащие мономеры, такие как олефины (например, этилен, пропилен и т.п.) и винилиденфторид (VDF). В число таких фторполимеров входят, например, фторэластомерные смолы и полукристаллические фторопласты. Если фторполимер пергалогенизирован, предпочтительно перфторирован, то он содержит, по меньшей мере, 50 моль-процентов (моль%) сополимеризованных блоков, состоящих из TFE и/или CTFE, факультативно включая HFP. Соотношение таких сополимеризованных блоков фторполимера (от 10 до 50 моль%) достигается за счет одного или нескольких перфторвиниловых эфиров и азотсодержащего мономера с центром сшивки (например, нитрилсодержащего винилового эфира или имидатсодержащего винилового эфира). Содержание такого мономера с центром сшивки составляет от примерно 0,1 до примерно 5 моль% (более предпочтительно от примерно 0,3 до примерно 2 моль%) от количества эластомера. Настоящее изобретение особенно хорошо подходит для получения таких перфторполимеров, как перфторэластомеры. Если фторполимер не перфторирован, то он содержит от примерно 5 до примерно 90 моль% сополимеризованных блоков, состоящих из TFE, CTFE и/или HFP, от примерно 5 до примерно 90 моль% сополимеризованных блоков, состоящих из VDF, этилена и/или пропилена, до примерно 40 моль% сополимеризованных блоков, состоящих из винилового эфира, и от примерно 0,1 до примерно 5 моль% (более предпочтительно от примерно 0,3 до примерно 2 моль%) мономера с азотсодержащим центром сшивки. Фторэластомерные композиции в рамках настоящего изобретения состоят из сополимеризованных блоков фторированных мономеров, таких, например, как описываемые формулой CF2=CF-Rf, где Rf – это фтор или C1-C8перфторалкил, наряду с водородсодержащими C2-C9олефинами, в которых менее половины атомов водорода замещено на фтор, более предпочтительно менее четверти всех атомов водорода замещено на фтор и которые не фторированы в других вариантах реализации данного изобретения. В некоторых вариантах нефторированный олефин отсутствует. Водородсодержащие олефины, используемые в рамках настоящего изобретения, включают соединения, соответствующие формуле СХ2=СХ-R, где каждый из Х – это, независимо друг от друга, водород или фтор или хлор, R – это водород, фтор или алкил длиной C1-C12, предпочтительно C1-С3. В число предпочтительных олефинов входят частично фторированные мономеры (например, винилиденфторид) или водородсодержащие мономеры, такие как олефины, в том числе Перфторирован виниловые эфиры также подходят для использования в качестве сомономеров, применяемых в рамках настоящего изобретения. Такие перфторвиниловые эфиры содержат, например, CF2=CFOCF3, CF2=CFOCF2CF2OCF3, CF2=CFOCF2CF2CF2OCF3, CF2=CFOCF2CF2CF3, CF2=CFOCF2CF(CF3)OCF2CF2CF3 и CF2=CFOCF2CF(CF3)OCF2CF(CF3)OCF2CF2CF3. В одном из примеров подходящий фторполимер состоит из главных мономерных блоков, содержащих тетрафторэтилен и, по меньшей мере, один перфторалкильный виниловый эфир. В таких сополимерах сополимеризованные перфторированные эфирные блоки составляют от примерно 1 до примерно 60 моль% (более предпочтительно 10 – 40 моль%) от общего количества мономерных блоков в полимере. Один или несколько других фторполимеров может быть включено в состав фторполимера с сополимеризованными блоками, состоящими из мономера с азотсодержащим центром сшивки. Кроме того, один или несколько других фторполимеров (которые могут содержать один или несколько сополимеров) могут быть смешаны с фторполимером (который может содержать сополимер) с интерполимеризованными блоками, состоящими из мономера с азотсодержащим центром сшивки. Такие другие фторполимеры, используемые в смеси, и/или сополимер включают полную структуру, описанную выше, и в том числе гомополимеры и сополимеры, содержащие интерполимеризованные блоки, указанные выше. Например, можно использовать политетрафторэтилен (PTFE) и PFA (тетрафторэтилен-перфторвиниловый эфир). Другие фторполимер(ы) могут характеризоваться отсутствием интерполимеризованных блоков, состоящих из мономера с азотсодержащим центром сшивки и/или могут включать активные центры, адаптированные к выбранной системе вулканизации. Например, два разных фторполимера, каждый из которых содержит интерполимеризованные блоки, состоящие из мономера с азотсодержащим центром сшивки, например мономер, содержащий нитриловую группу, может быть смешан для получения фторполимера, рассматриваемого в рамках настоящего изобретения. Еще один фторполимер может быть включен в процесс вместе с другим вулканизующим веществом, таким как описано ниже, для достижения определенных свойств. Например, фторполимер, подходящий для пероксидной вулканизации, и пероксидное вулканизующее вещество может быть включено для повышения химической устойчивости. Использование такой смеси приводит к удачному сочетанию термической и химической устойчивости конечного продукта, а, кроме того, может обеспечить определенную экономическую выгоду. Эти другие вулканизующие вещества можно также использовать для вулканизации смеси фторполимеров, содержащих мономеры с азотсодержащим центром сшивки без необходимости включать фторполимер без мономеров с азотсодержащим центром сшивки. Фторполимер(ы) с мономерами, имеющими азотсодержащий центр сшивки, предпочтительно составляют достаточно большое количество от общего состава фторполимера, чтобы обеспечивать повышенную термическую устойчивость по сравнению с фторполимером, не содержащим композиции, представленной в настоящем изобретении. Это количество обычно составляет, по меньшей мере, 25 весовых процентов (вес.%), более предпочтительно, по меньшей мере, 50 вес.%, от общего количества фторполимера, патентуемого в настоящем изобретении. В некоторых вариантах фторполимерный компонент полностью состоит из фторполимера (фторполимеров) с азотсодержащими сополимеризованными блоками. Подходящие фторполимеры можно получить с помощью известных способов. Например, процесс полимеризации можно провести способом свободно-радикальной полимеризации мономеров, например способом водоэмульсионной полимеризации или способом полимеризации в растворе с органическим растворителем. Если требуются смеси фторполимеров, то предпочтительным способом включения является смешивание фторполимерных латексов в выбранном соотношении с последующей коагуляции и высушивании. Природа и количество концевых групп не являются критичными для фторэластомеров, представленных в настоящем изобретении. Например, полимер может содержать SO3 (-)-концевые группы, образованные с помощью APS/сульфитной системы, или полимер может содержать СОО(-)-концевые группы, полученные с помощью APS-системы инициации, или фторэластомер может иметь в концевой части “нейтральные” группы, например группы, образованные путем с помощью фторсульфинатной системы инициации или органических пероксидов. Вещества-переносчики цепей могут значительно снизить количество концевых групп. Если необходимо, например, для улучшения обрабатываемости, наличие сильно полярных концевых групп, таких как SO3 (-), может быть доведено до минимума, и в случае СОО(-) или других нестабильных концевых групп, это количество может быть снижено известными способами поствулканизационной обработки (например, декарбоксилированием, пост-фторированием). Компонент с центром поперечной сшивки дает возможность вулканизировать фторполимер. Компонент с центром поперечной сшивки может быть частично или полностью фторированным. По меньшей мере, один компонент с центром поперечной сшивки, по меньшей мере, одного фторполимера содержит азотсодержащую группу. В качестве примеров азотсодержащих групп, подходящих для мономеров с центром сшивки, представленных в настоящем изобретении, можно назвать нитрильную, имидатную, амидиновую, амидную, имидную и амин-оксидную группы. В число подходящих мономеров с азотсодержащим центром сшивки входят нитрилсодержащие фторированные олефины и нитрилсодержащие фторированные виниловые эфиры, такие как: CF2=CFO(CF2)LCN; CF2=CFO[CF2CF(CF3)O]q(CF2O)yCF(CF3)CN; CF2=CF[OCF2CF(CF3)]rO(CF2)tCN; и CF2=CFO(CF2)UOCF(CF3)CN, где L=2-12; q=0-4; r=1-2; y=0-6; t=1-4 и u=2-6. В качестве представительных примеров таких мономеров можно назвать CF2=CFO(CF2)3OCF(CF3)CN, перфтор(8-циано-5-метил-3,6-диокса-1-октен) и CF2=CFO(CF2)5CN. Еще одним подходящим компонентом с центром поперечной сшивки, используемым в рамках настоящего изобретения, является фторполимер или материал из фторированных мономеров, содержащий галоген, который способен вступать в реакцию пероксидной вулканизации. Такой галоген может находиться вдоль фторполимерной цепи и/или находиться в терминальном положении. Обычно таким галогеном является бром или йод. Предпочтительно проводить сополимеризацию таким образом, чтобы ввести галоген в положение вдоль фторполимерной цепи. При применении этого способа выбранные вышеупомянутые компоненты фторполимера комбинируются с подходящим фторированным мономером с центром сшивки. В качестве примеров бром- или йодо-фторолефинов можно назвать: бромдифторэтилен, бромтрифторэтилен, йодотрифторэтилен, 1-бром-2,2-дифторэтилен и -1-бром-3,3,1,4-тетрафторбутен-1 и т.п., а в качестве примеров бром- или йодо-фторвиниловых эфиров можно назвать: BrCF2OCF-CF2, BrCF2CF2OCF-CF2, BrCF2CF2CF2OCF=CF2, CF3CF(Br)CF2OCF=CF2 и т.п. Кроме того, можно использовать нефторированные бром- или йодо-олефины, например винилбромид и 4-бром-1-бутен. Количество компонента с центром поперечной сшивки на боковой цепи фторполимера обычно составляет от примерно 0,05 до примерно 5 моль% (более предпочтительно от 0,1 до 2 моль%). Компонент с центром поперечной сшивки может также находиться в терминальном положении фторполимерной цепи. Для введения галогена в терминальное положение можно применять агенты-переносчики цепей или инициаторы. Как правило, подходящий агент-переносчик вводится в реакционную среду в процессе получения полимера или образуется из соответствующего инициатора. В качестве примеров подходящих агентов-переносчиков цепей можно назвать вещества с формулой RfZx, где Rf – замещенный или незамещенный С1-С12 фторалкильный радикал, который может быть перфторирован, Z – Br или I, a x – 1 или 2. В качестве конкретных примеров соединений, содержащих бромид, можно назвать: CF2Br2, Br(CF)2Br, Br(CF2)4Br, CF2(Cl)Br, CF3CF(Br)CF2Br и т.п. В качестве примеров подходящих инициаторов можно назвать NaO2S(CF2)nX, где Х – Br или I, a n – целое число от 1 до 10. Количество компонента с центром поперечной сшивки в терминальном положении в составе фторполимера обычно составляет от примерно 0,05 до примерно 5 моль% (более предпочтительно от 0,1 до 2 моль%). В рамках настоящего изобретения можно также использовать комбинации компонентов с центром поперечной сшивки. Например, фторполимер, содержащий галоген, который способен участвовать в реакции пероксидной вулканизации, может содержать также компонент с азотсодержащим центром сшивки, например компонент с центром поперечной сшивки, содержащий нитриловую группу. Как правило, в состав фторполимера включается от примерно 0,1 до примерно 5 моль% (более предпочтительно от примерно 0,3 до примерно 2 моль%) общего количества компонента с центром поперечной сшивки. Для поперечных сшивок в составе фторполимера используется эффективное количество вулканизующего вещества. Если количество вулканизующего вещества слишком низкое, то фторполимер может не образовать достаточное количество поперечных связей и полученный фторполимер не будет иметь нужных физических свойств и/или может образовывать поперечные связи медленнее, чем нужно. Если количество вулканизующего вещества слишком велико, то фторполимер будет связан поперечными связями в такой материал, который не соответствует заданным требованиям и/или может образовывать поперечные связи слишком быстро для требуемых условий обработки. Выбор определенных компонентов композиции может повлиять на количество нужного вулканизующего вещества. Например, тип и/или количество выбранного наполнителя могут задержать или ускорить вулканизацию по сравнению с аналогичной композицией, но без наполнителя, что требует соответствующей корректировки в количестве вулканизующего вещества, что хорошо известно опытным специалистам в этой области. Композиция фторполимера также влияет на количество одного или нескольких вулканизующих веществ. Например, если используется смесь фторполимера, содержащего нитрильную группу, и другого фторполимера без нитрилсодержащих центров сшивки, то для получения поперечных сшивок в составе фторполимера с сополимеризованными блоками, состоящими из нитрилсодержащего мономера, используется эффективное количество первого выбранного вулканизующего вещества, а для поперечных сшивок в составе другого фторполимера используется эффективное количество второго выбранного вулканизующего вещества. Первое и второе подобранные вулканизующие вещества могут иметь одинаковый или разный состав. То есть или одно, или оба выбранных вулканизующих вещества могут быть использованы для образования поперечных связей в молекулах одного или обоих фторполимеров. Как правило, эффективное количество вулканизующего вещества, которое может включать более одной композиции, находится в диапазоне от 0,1 до 10 весовых частей вулканизующего вещества на сто весовых частей смолы (phr) (более предпочтительно от 0,5 до 5 phr). Одним из преимуществ, представленных в настоящем изобретении, является прозрачность фторэластомера или перфторэластомера. Разумеется, такие наполнители, как углеродная сажа, смазочное вещество, масло, порошок и т.п., не следует использовать при компаундировании фторполимеров, представленных в настоящем изобретении, чтобы сохранение не подвергалось риску со стороны примесей. На вулканизацию фторполимерной композиции может также повлиять использование других классов вулканизующих веществ наряду с катализаторами, представленными в настоящем изобретении. Примеры таких вулканизующих веществ хорошо известны и включают бис-аминофенолы (например, U.S. 5,767,204 и U.S. 5,700,879), бис-амидооксимы (например, U.S. 5,621,145), и соли аммония (например, U.S. 5,565,512). Кроме того, могут быть использованы металлорганические соединения мышьяка, сурьмы и олова (например, U.S. 4,281,092 и U.S. 5,554,680). В качестве конкретных примеров можно назвать аллил-, пропаргил-, трифенил-, алленил- и тетрафенилолово и трифенилолова гидроксид. Фторэластомерные композиции, представленные в настоящем изобретении, можно вулканизировать с помощью одного или нескольких аммоний-образующих соединений наряду с описанными выше вулканизующими веществами. “Аммоний-образующие соединения” – это соединения, которые являются твердыми или жидкими в нормальных условиях и образуют аммоний в условиях вулканизации. Среди таких соединений можно назвать, например, гексаметилентетрамин (уротропин), дициандиамид и металлсодержащие соединения, соответствующие формуле Также в качестве аммоний-образующих соединений могут быть использованы замещенные и незамещенные производные триазина, например такие, которые описываются формулой:
где R – атом водорода или замещенная или незамещенная алкильная, арильная или аралкильная группа, содержащая от 1 до примерно 20 атомов углерода. Среди особенно подходящих производных триазина можно назвать гексагидро-1,3,5-s-триазин и тример ацетальдегида аммония. Фторэластомерные композиции, представленные в настоящем изобретении, включающие один фторполимер, состоящий из мономера с азотсодержащим центром сшивки, могут быть вулканизированы с помощью одного или нескольких пероксидных вулканизующих веществ наряду с применением вулканизующего вещества, соответствующего приведенному выше описанию. Подходящие пероксидные вулканизующие вещества – это, как правило, вещества, которые образуют свободные радикалы при температурах вулканизации, такие, например, какие описаны в WO 99/48939. Особенно предпочтительными являются диалкил-пероксид и бис-(диалкил-пероксид), каждый из которых разлагается при температуре свыше 50°С. Во многих случаях предпочтительно использовать ди-трет-бутил-пероксид, содержащий четвертичный атом углерода, связанный с перокси-атомом кислорода. Среди наиболее подходящих пероксидов этого типа можно назвать 2,5-диметил-2,5-ди(трет-бутил-перокси)-гексин-3 и 2,5-диметил-2,5-ди(трет-бутил-перокси)-гексан. Другие пероксиды могут быть выбраны из таких соединений, как дикумил-пероксид, дибензоил-пероксид, третичный бутил-пербензоат, а,а’-бис-(трет-бутил-перокси-диизопропилбензол), и ди-[1,3-диметил-3-(трет-бутил-перокси)-бутил]-карбонат. Как правило, используется от примерно 1 до 3 частей пероксида на 100 частей перфторэластомера. Другое вулканизующее вещество, используемое в рамках настоящего изобретения, имеет общую формулу CH2=CHRfCH=CH2, где один или несколько атомов водорода могут быть замещены атомами галогенов, такими как F, a Rf – это C1-C8 линейная или разветвленная и, по меньшей мере, частично фторированная алкиленовая, циклоалкиленовая или оксиалкиленовая группа. Аналогичным образом, полимеры, содержащие боковые группы типа СН2=CHRf – также используются в качестве вулканизующих веществ в рамках настоящего изобретения. Такие вулканизующие вещества описаны, например, в патенте U.S. 5,585,449. Комбинация одного или нескольких вулканизующих веществ составляет, как правило, от примерно 0,01 до примерно 10 моль% (более предпочтительно от примерно 0,1 до примерно 5 моль%) от общего количества фторполимера. Фторполимерные композиции могут включать любую из добавок, обычно применяемых в вулканизируемых фторполимерных составах. Например, один из материалов, часто применяемых в смесовых фторполимерных композициях в качестве компонента вулканизующей системы, – это соагент вулканизации (иногда этот компонент называют также “со-вулканизующее вещество”), состоящий из полиненасыщенного вещества, которое способно взаимодействовать с пероксидным вулканизующим веществом, обеспечивая надлежащий уровень вулканизации. Эти соагенты особенно хорошо работают в комбинации с пероксидным вулканизующим веществом. Такой соагент или соагенты можно, как правило, добавлять в количестве, находящемся в диапазоне от 0,1 до 10 частей соагента на сто частей фторполимера (phr), предпочтительно от 1 до 5 phr. В качестве примеров соагентов, применяемых вместе с органо-ониевым соединением, представленным в настоящем изобретении, можно назвать триаллил-цианурат; триаллил изоцианурат; три(метилаллил) изоцианурат; трис(диаллиламин)-s-триазин; триаллилфосфит; N,N-диаллилакриламид; гексааллилфосфорамид; N,N,N’,N’-тетраалкил-тетрафталамид; N,N,N’,N’-тетрааллилмалонамид; тривинил-изоцианурат; 2,4,6-тривинил-метилтрисилоксан; и три-(5-норборнен-2-метилен)-цианурат. Особенно удобным является триаллил изоцианурат. В качестве других подходящих соагентов можно назвать бис-олефины, представленные в патентах ЕР 0661304 А1, ЕР 0784004 А1, ЕР 0769521 А1 и US 5,585,449. Так, композиция, представленная в настоящем изобретении, может содержать два или более фторполимеров (при условии, что, по меньшей мере, один фторполимер включает интерполимеризованные блоки, состоящие из мономера с азотсодержащим центром сшивки), амидинсодержащее вулканизующее вещество, пероксидное вулканизующее вещество, выбранное для образования поперечных связей одного или нескольких фторполимеров, и факультативно соагент, такой как триаллил-изоцианурат. Такие добавки, как углеродная сажа, стабилизаторы, пластификаторы, смазочные материалы, наполнители, в том числе фторполимерные наполнители и технологические добавки, обычно используемые для компаундирования фторполимерных смесей, могут быть введены в состав композиций при условии, что они характеризуются достаточным уровнем устойчивости при выбранных условиях обработки. В некоторых вариантах реализации изобретения добавки, которые оказывают отрицательный эффект на прозрачность композиции, исключаются. В частности, низкотемпературные показатели могут быть улучшены путем встраивания перфторполиэфиров. См., например, патент США №5,268,405. Наполнители из углеродной сажи можно использовать для балансировки таких показателей, как модуль упругости, предел прочности на разрыв, удлинение, твердость, прочность на истирание, электропроводность и технологичность композиций. Подходящими в качестве примеров можно назвать сажи МТ (среднетермическая сажа), обозначаемые N-991, N-990, N-908 и N-907, а также FEF N-550, и крупноразмерную печную сажу. Если используется крупноразмерная печная сажа, то, как правило, достаточно использовать от 1 до 70 частей наполнителя на сто частей фторполимера (phr). Можно также добавить в состав формулы один или несколько кислотных акцепторов. Однако в тех случаях, когда нежелательно наличие экстрагируемых металлических соединений (например, при применении для производства полупроводников) использование неорганических акцепторов кислот должно быть сведено к минимуму, а предпочтительно полностью исключить использование и таких соединений. В качестве широко используемых кислотных акцепторов можно назвать, например, оксид цинка, гидроксид кальция, карбонат кальция, оксид магния, диоксид кремния (силикагель) и т.д. Эти соединения, как правило, используются во фторполимерных составах для связывания HF или других кислот, которые могут образоваться при высоких температурах, возникающих на отдельных этапах вулканизации или при температурах, с которыми связано предполагаемое использование фторполимеров. Вулканизируемые фторполимерные композиции, представленные в настоящем изобретении, могут быть также скомбинированы с другими вулканизируемыми фторполимерными композициями, такими как пероксид-вулканизируемые фторполимерные композиции. Эти дополнительные вулканизируемые фторполимерные композиции могут также могут также включать небольшие количества мономеров с центром сшивки в качестве сомономера. Подходящими мономерами с центром сшивки являются мономеры, которые при объединении с вулканизующим веществом (например, пероксидным) и, предпочтительно, соагентом обеспечивают создание вулканизационной композиции. Предпочтительно, чтобы эти мономеры с центром сшивки включали, по меньшей мере, один остаток галогена (например, брома или йода). Вулканизируемые фторполимерные композиции можно приготовить путем смешивания одного или нескольких фторполимеров, катализатора, любой выбранной добавки или нескольких добавок, любых дополнительных вулканизующих веществ (если необходимо) и любых других вспомогательных веществ (при необходимости) в обычных устройствах для обработки каучуков. Соответствующие количества компаундированных ингредиентов и других обычных вспомогательных веществ или ингредиентов можно добавлять в невулканизированные фторуглеродные смолы и тщательно перемешивать или компаундировать с помощью любого из обычных устройств для смешивания каучуков, таких как закрытые резиносмесители (например, смесители Banbury), валковые мельницы или любые другие смесители. Для достижения наилучших результатов температура не должна подниматься выше примерно 120°С. В ходе смешивания необходимо добиваться равномерного распределения компонентов и добавок. Затем смесь перерабатывают и формуют, например, путем экструзии (например, в форме пленки, трубки или шланга) или литья (например, в форме листа или кольцевого уплотнителя). После этого полученное изделие можно нагреть для отверждения фторполимерной композиции и получения вулканизированного изделия. Прессование компаундированной смеси (т.е. вулканизация под давлением) обычно проводится при температуре, достаточной для вулканизации смеси, в течение необходимого промежутка времени при соответствующем давлении. Как правило, температура находится в диапазоне от примерно 95 до примерно 230°С, предпочтительно от примерно 150 до примерно 205°С, в течение периода времени продолжительностью примерно от 1 минуты до 15 часов, обычно от 5 до 30 минут. Формы для литья могут быть предварительно покрыты противоадгезивным материалом и прогреты. Впоследствии отлитый вулканизат или прессованное изделие обычно подвергают поствулканизационной обработке (например, в сушильной печи) при температурах и в течение времени, достаточных для завершения вулканизации, обычно примерно от 150 и до 315°С, как правило, примерно при 230°С, в течение периода времени продолжительностью от примерно 2 часов до 50 часов или более, обычно увеличиваясь с ростом поперечной толщины образца. При поствулканизационной обработке толстых образцов температуру обычно повышают постепенно от нижнего предела диапазона до требуемой максимальной температуры. Используется максимальная температура предпочтительно на уровне примерно 300°С, и эта величина поддерживается в течение около 4 часов или более. Этот поствулканизационный этап, как правило, завершает образование поперечных связей и может, кроме того, привести к удалению летучих веществ из вулканизированных композиций. В качестве примера подходящего поствулканизационного цикла можно назвать обработку сформованных изделий нагреванием в атмосфере азота в ходе 6-этапного процесса. Сначала температуру увеличивают с 25 до 200°С в течение 6 часов, затем изделия выдерживают при 200°С в течение 16 часов, после чего температуру повышают с 200 до 250°С на протяжении 2 часов. Затем изделия выдерживают при 250°С в течение 8 часов, после чего температуру повышают с 250 до 300°С на протяжении 2 часов. Затем изделия выдерживают при 300°С в течение 16 часов. В заключение изделиям дают остыть до комнатной температуры, например, просто отключив нагрев в сушильной печи. Оптически прозрачный фторполимер, представленный в настоящем изобретении, внутренне способен пропускать электромагнитное излучение в диапазоне волн, соответствующем видимой области светового диапазона (примерно 390-800 нанометров). В некоторых вариантах, фторполимер задерживает часть светового потока, пропуская при этом от примерно 25% до примерно 95%. В отдельных вариантах, от примерно 35% до примерно 75% света может пройти сквозь полимер. Эти диапазоны включают все уровни между их конечными точками. Поскольку большая часть света задерживается, фторполимер можно назвать полупрозрачным. В некоторых вариантах, представленных в настоящем изобретении, фторполимер имеет уровень мутности менее примерно 50%, а прозрачность более чем около 25%. Оптические свойства патентуемых фторполимеров можно измерить с помощью фотометра “haze-gard plus” производства компании BYK-Gardner USA, Silver Spring, MD, или спектрофотометра Lambda 20 UV-VIS компании Perkin-Elmer, с помощью известных способов. Дополнительные инструкции можно найти в ASTM D-1033 – “Стандартные способы определения мутности” и “Светопроницаемость прозрачных пластиков” – и ASTM D 1003-92. Фторполимерные композиции используются при производстве таких изделий, как кольцевые уплотнители, прокладки, шланги, герметизирующие элементы, особенно если необходимо, чтобы это изделие было сделано из прозрачного перфторэластомера. Такие изделия производятся путем штамповки компаундированной формулы фторполимерной композиции с различными добавками под давлением, вулканизации изделия, с последующей поствулканизационой обработкой этого изделия. Вулканизируемые композиции, составленные без неорганических акцепторов кислот, особенно хорошо подходят для производства таких изделий, как сальники и прокладки при изготовлении полупроводниковых устройств и герметичных элементов для автомобильных моторов. Далее настоящее изобретение будет проиллюстрировано следующими примерами. ПРИМЕРЫ Представленные результаты получены с помощью следующих способов тестирования, если не указано иное. Результаты тестов представлены в приведенных ниже таблицах. Реология при вулканизации: Анализ проводили на невулканизированных компаундированных образцах с помощью матричного реометра Monsanto Moving Die Rheometer (MDR), модель 2000, в соответствии с требованиями ASTM D 5289-93а при температуре 177°С), без предварительного прогрева. Фактическая продолжительность 30 минут, угол – 0,5 градуса. Измеряли как минимальный момент вращения (ML) и самый высокий момент вращения (МН), полученный в течение указанного периода времени, пока не будет достигнут уровень плато или максимум. Кроме того, измеряли время увеличения момента вращения на 2 единицы выше ML (“ts2″), время, за которое момент вращения достигает величины, равной ML+0,5[МН-ML] (“t’50”), и время, за которое момент вращения достигает величины, равной ML+0,9[МН-ML] (“t’90”). Вулканизация под давлением. Образцы в виде листов размером 150×150×2,0 мм готовили для определения физических свойств под давлением от примерно 6,9 мегапаскалей (МПа) в течение 15 минут при 177°С, если не указано иное. Поствулканизационная обработка. Поствулканизационные образцы в виде листов подвергали прогреву в атмосфере азота в следующих условиях: 150°С в течение 16 ч; 230°С в течение 8 ч и 250°С в течение 16 ч в Примере 1; 175°С в течение 16 ч; 230°С в течение 8 ч и 250°С в течение 4 ч и 300°С в течение 20 ч в Примере 2; 150°С в течение 8 ч; 200°С в течение 16 ч; 250°С в течение 24 ч и 300°С в течение 24 ч в Примере 3 и 150°С в течение 16 ч; 230°С в течение 2 ч и 250°С в течение 6 ч в Примере 4. Перед проведением теста образцам давали остыть до комнатной температуры. Физические свойства. Измеряли предел прочности при растяжении, относительное удлинение при разрыве и модуль при 100% растяжении в соответствии с ASTM D 412-92 на образцах, вырезанных из листов после вулканизации под давлением и после поствулканизационной обработки с матрицей ASTM Die D. Единица измерения – проценты и МПа. Твердость. Образцы измеряли в соответствии с ASTM D 2240-85, способа А, с помощью дюрометра типа А-2 Shore. Единицы измерения – единицы шкалы на дюрометре Shore A. Остаточную деформацию при сжатии определяли на кольцевых уплотнителях в соответствии с ASTM D 395-89, Способ В. Кольцевые уплотнители имели толщину 3,5 мм (0,139 дюйма) в поперечнике. Результаты приведены в процентах от исходного отклонения. Цвет, мутность и оптические свойства. Образцы были измерены с помощью спектрофотометра Perkin Elmer Lambda 20 UV-VIS и с применением светомерного шара диаметром 5 см (2 дюйма). Источником света служил С1Е D65 с углом обзора 10 градусов. Мутность измеряли в соответствии с требованиями ASTM D 1003-92 в диапазоне 380-780 нм с интервалами 5 нм. Все материалы были получены от компании Олдрич Кемиклз, США (Aldrich Chemical Co., Milwaukee, WI), если не указано иное. Получение вулканизующего вещества Вулканизующее вещество А. Перфторадипонитрил бис-амидин, NH2(NH=)C(CF2)4C(=NH)NH2 В 4 л пластиковый сосуд, оборудованный магнитной мешалкой, загружали метанол (188 г, 5,9 моль), и добавляли перфторадипоил-фторид (454 г, 1,5 моль), производитель – компания 3М, на протяжении одного часа. Для обработки побочных продуктов плавиковой кислоты использовали каустический скруббер. Выделяли перфторадипат (446 г, 1,4 моль) добавлением воды с последующей перегонкой нижней фазы, содержащей фтористые вещества. В 2 л колбу с механической мешалкой загружали перфторадипат (446 г, 1,4 моль) в метаноле и проводили реакцию с избытком аммиака (54 г, 3,2 моль) с получением перфторадипоиламида (385 г, 1,3 моль) после сушки в вакууме. В 3 л колбу с механической мешалкой загружали раствор перфторадипоиламида (385 г, 1,3 моль) в диметилформамиде и проводили реакцию при -10°С сначала с пиридином (508 г, 6,4 моль), а затем с трифторуксусным ангидридом (674 г, 3,2 моль), производитель – Aldrich. перфторадипонитрил (235 г, 0,9 моль) с точкой кипения 64°С выделяли путем добавления воды с последующей перегонкой нижней фазы, содержащей фторхимические продукты реакции. В 1 л колбу, оборудованную механической мешалкой, загружали перфторадипонитрил (108 г, 0,4 моль) в диэтиловом эфире и проводили реакцию при -10°С с аммиаком (17 г, 1,0 моль), после вакуумной сушки получали перфторадипонитрил-бис-амидин (112 г, 0,9 моль) с точкой кипения 132°С и структурой, подтвержденной фтор- и протонной ЯМР. Вулканизующее вещество В. Соль ди-перфторметоксипропионовой кислоты Перфторадипонитрил бис-амидина, CF3OCF2CF2СОО-NH3+(NH=)C(CF2)4C(=NH)NH3 +-OOCCF2CF2OCF3 В 100 мл колбу, оборудованную магнитной мешалкой, загружали перфторадипонитрил бис-амидин (26 г, 0,1 моль), приготовленном как описано в разделе “Вулканизующее вещество А” (см. выше), растворяли в метаноле и титровали перфторметоксипропионовой кислотой (46 г, 0,2 моль), полученной путем гидролиза в воде перфторметоксипропионил фторида, как описано в патенте WO 01/46116. Соль ди-перфторметоксипропионовой кислоты и перфторадипонитрил-бис-амидина (59 г, 0,8 моль) выделяли способом сушки в вакууме. Структуру подтвердили способами фтор- и протонной ЯМР. Вулканизующее вещество С. Соль ди-перфтороктановой кислоты и перфтортетраэтилен-оксид-динитрил-бис-амидина, C7F15COO-NH3+(NH-)-C-(CF2OCF2)3C(=NH)NH3+-OOCC7F15. Это вещество может быть приготовлено путем прямого фторирования тетраэтиленгликольдиацетата, как описано в патенте США US 5488142 с получением перфтортетраэтиленокисддиметилового эфира. Затем после серии реакций синтеза, описанных выше в разделе “Вулканизующее вещество А”. В первой реакции с аммиаком с получением бисамида, в результате сушки получали биснитрил, а затем проводили реакцию с аммиаком с получением фторсодержащего бис-амидина. Титрование фторсодержащего бис-амидина перфтороктановой кислотой (производитель – компания 3М) проводили как описано в разделе “Вулканизующее вещество В” и получали соль ди-перфтороктановой кислоты и перфтортетраэтилен-оксид-динитрил-бис-амидина. Вулканизующее вещество D. Диацетат перфтортетраэтилен-оксид-динитрил-бис-амидина, CH3COO-NH3+(NH=)C(CF2OCF2)3C(=NH)NH3 +-OOCCH3 Это вещество можно получить как описано в разделе “Вулканизующее вещество С” до получения фторсодержащего бисамидина. Титрование фторсодержащего бис-амидина уксусной кислотой проводили как описано в разделе “Вулканизующее вещество В” и получали диацетат перфтортетраэтилен-оксиддинитрил-бис-амидина. Пример 1 Применяли способ эмульсионной полимеризации для получения фторэластомера, который содержал интерполимеризованные блоки из 65,7 моль-процентов тетрафторэтилена (моль% TFE), 33,0 моль% перфторметилвинилового эфира (PMVE) и 1,3 моль% мономера с нитрилсодержащим центром сшивки, CF2=CFO(CF2)5CN. Фторполимер (в пересчете на 100 г) содержал 3.8 phr бис-амидина согласно формуле:
где Y – это (CF2OCF2)3, а каждый из R – атом водорода. Это вулканизующее вещество можно получить согласно методике, описанной в разделе “Вулканизующее вещество С” (см. выше). Тесты на реологию при вулканизации проводили на невулканизированном компаундированном образце. Результаты представлены в приведенной ниже таблице. Лист компаундированной смеси с добавками вулканизировали под давлением, тестировали, а затем подвергали поствулканизационной обработке, и определяли физические свойства, в том числе остаточную деформацию. Результаты тестов представлены в приведенной ниже таблице. Пример 2 Фторполимер из Примера 1 (в пересчете на 100 г) компаундировали с 2,6 phr бис-амидина согласно формуле:
Это вулканизующее вещество получали как описано в разделе “Вулканизующее вещество А” (см. выше). Компаунд получали и тестировали как описано в Примере 1. Результаты тестов представлены в приведенной ниже таблице. Пример 3 Фторполимер из примера 1 (в пересчете на 100 г) компаундировали с 1 phr бис-амидина согласно формуле:
Это вулканизующее вещество получали как описано в разделе “Вулканизующее вещество А (см. выше). Компаунд получали и тестировали как описано в Примере 1. Образец был кристально прозрачным после проведения вулканизации под давлением и пост-вулканизационной обработки. Результаты тестов представлены в приведенной ниже таблице. Оптические свойства образцов из Примера 3:
Пример 4 Фторполимер из примера 1 (в пересчете на 100 г) компаундировали с 1,66 phr бис-амидина согласно формуле:
и 2,7 phr амидина согласно формуле C7F15C(-NH)(NH2) (можно получить тем же способом, который описан в разделе “Вулканизующее вещество А” начиная с перфтороктаноилфторида, реагирующего с метанолом, затем с NH3, с последующим обезвоживанием до нитрила и реакцией с NH3 с получением амидина. Это вулканизующее вещество можно получить как описано в разделе “Вулканизующее вещество D” (см. выше). Компаунд получали как описано в Примере 1. Образец был кристально прозрачным после проведения вулканизации под давлением и пост-вулканизационной обработки. С полученным материалом проводили тест на определение остаточной деформации при сжатии, результаты тестов представлены в приведенной ниже таблице. В следующей таблице N/A означает, что измерений не проводилось, TS означает предел прочности при растяжении, а ЕВ означает относительное удлинение при разрыве.
Лист фторполимера из примера 2 был прозрачным, хотя образец содержал машинное масло и загрязнения. Доведение этих загрязнений до минимума улучшает внешний вид образца. Описан целый ряд вариантов, представленных в настоящем изобретении. Тем не менее, необходимо учитывать, что разные модификации могут быть сделаны без отступления от духа и буквы настоящей разработки. Все публикации и патенты, процитированные в данном документе, включены в него по ссылкам в той же степени, в какой на каждую индивидуальную публикацию или патент в специфическом и индивидуальном порядке указывает ссылка, включенная в документ.
Формула изобретения
1. Композиция, содержащая (a) фторполимер, включающий интерполимеризованные блоки, полученные из мономера с азотсодержащим центром сшивки; и (b) амидинсодержащее вулканизующее вещество, причем вулканизующее вещество представляет собой бис-амидин, перфорированный амидин или соль одного из этих соединений; причем фторполимер является факультативно перфорированным. 2. Композиция по п.1, отличающаяся тем, что вулканизующее вещество представляет собой соединение с общей формулой
в которой каждый из остатков R – это независимо друг от друга Н, факультативно замещенная алкильная, алкенильная, арильная, алкарильная или алкениларильная группа, Y – ковалентная связь или связующая группа, Z – это Н или остаток в соответствии с формулой I, который может быть таким же, как X, или отличаться от него, a n – целое число от 1 до 3, причем по крайней мере один Z это остаток в соответствии с формулой I, или соль такого вещества, или предшественники такой соли, представленные по отдельности или в виде смеси. 3. Композиция по п.1, отличающаяся тем, что вулканизующее вещество представляет собой соединение, соответствующее формуле
где Y выбирается из связующей группы, или формуле
где Y – это связующая группа или СХ2ОСХ2, причем каждый Х – независимо друг от друга Н, F или Cl, каждый из R независимо выбирается из группы Н, С1-С8 алкил или алкенил, факультативно С1-С6 алкил или алкенил, С6-С15 арил, алкарил, алкенарил, и где R является факультативно замещенным или где каждый из R – это Н. 4. Композиция по п.1, отличающаяся тем, что вулканизующее вещество представляет собой соединение, соответствующее формуле
где j и k находятся в диапазоне от 1 до примерно 12, Y – связующая группа, причем Y факультативно СХ2ОСХ2, (СХ2ОСХ2)p или (СХ2СХ2)р, где р – целое число от 1 до 5, каждый Х независимо друг от друга Н, F или Cl, каждый из R независимо выбран из группы С6-С15 арил, алкарил или алкенарил, и где R является факультативно замещенным, а А – анион; или соответствующее формуле
где R” – это факультативно замещенная алкильная, алкенильная, арильная, алкарильная или алкениларильная группа, которая может быть нефторированной, частично фторированной или перфторированной, а Y – связующая группа. или формуле где каждый из R это факультативно замещенная алкильная, алкенильная, арильная, алкарильная или алкениларильная группа, которая может быть нефторированной, частично фторированной или перфторированной, а Y – связующая группа. 5. Композиция по п.3 или 4, отличающаяся тем, что Y выбирается из (CF2OCF2)m, где m – целое число от 1 до 10, факультативно m=3. 6. Композиция по любому из предшествующих пунктов, отличающаяся тем, что фторполимер содержит (i) тетрафторэтилен и (ii) фторированный сомономер и факультативно, (iii) один или несколько перфторвиниловых эфиров; причем фторированный сомономер выбирается из перфторолефинов, частично фторированных олефинов, нефторированных олефинов, винилиден-фторида, и комбинаций этих соединений. 7. Композиция по любому из предшествующих пунктов, отличающаяся тем, что упомянутый мономер с центром сшивки представляет собой нитрилсодержащий мономер, факультативно выбранный из соединений с формулой где L=2-12; q=0-4; r=1-2; y=0-6; t=1-4, a u=2-6; перфтор(8-циано-5-метил-3,6-диокса-1-октен), и CF2=CFO(CF2)5CN. 8. Композиция по любому из предшествующих пунктов, отличающаяся тем, что дополнительно содержит наполнитель, факультативно выбранный из фторполимерного наполнителя, углеродной сажи и комбинации этих материалов. 9. Композиция по любому из предшествующих пунктов, отличающаяся тем, что фторполимер выбирается из фторэластомера и фторопластика. 10. Композиция по любому из предшествующих пунктов, отличающаяся тем, что в ней дополнительно содержится дополнительное вулканизующее вещество, факультативно выбранное из аммоний-образующих соединений, замещенных производных триазина, незамещенных производных триазина, пероксидов, бис-аминофенолов, бис-амидооксимов и оловоорганических соединений.
MM4A – Досрочное прекращение действия патента СССР или патента Российской Федерации на изобретение из-за неуплаты в установленный срок пошлины за поддержание патента в силе
Дата прекращения действия патента: 24.09.2009
Извещение опубликовано: 20.09.2010 БИ: 26/2010
|
||||||||||||||||||||||||||||||||||||||||||||||||||||||||||||||||||||||||||||||||||||||||||||||||||||||||||||||||||||||||||||||||









-олефины (например, этилен, пропилен, бутен, пентен, гексен и т.п.). Можно использовать также и комбинации перечисленных выше материалов.
, Aw+ – это катион металла, например Cu2+, Co2+, Co3+, Cu+ и Ni2+; w равняется валентности катиона металла; Yw- – контр-ион, как правило, галид, сульфат, нитрат, ацетат или т.п., а х – целое число от 1 до примерно 7.




, где Х – это остаток с формулой I





;
;
или
;