Патент на изобретение №2332424
|
|||||||||||||||||||||||||||||||||||||||||||||||||
(54) СМЕСЬ ПОЛИСАХАРИДОВ, ЯВЛЯЮЩИХСЯ ПРОИЗВОДНЫМИ ГЕПАРИНА, ИХ ПОЛУЧЕНИЕ И ФАРМАЦЕВТИЧЕСКИЕ КОМПОЗИЦИИ, ИХ СОДЕРЖАЩИЕ
(57) Реферат:
Изобретение относится к смеси сульфатированных олигосахаридов, имеющих общую структуру полисахаридов, входящих в состав гепарина со среднемолекулярной массой от 1500 до 3000 Да и отношением анти-Ха/анти-IIa более 30, способу их получения и антитромботическим фармацевтическим композициям, их содержащих. 7 н. и 24 з.п. ф-лы, 1 табл.
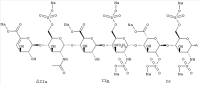
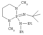
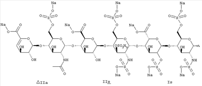
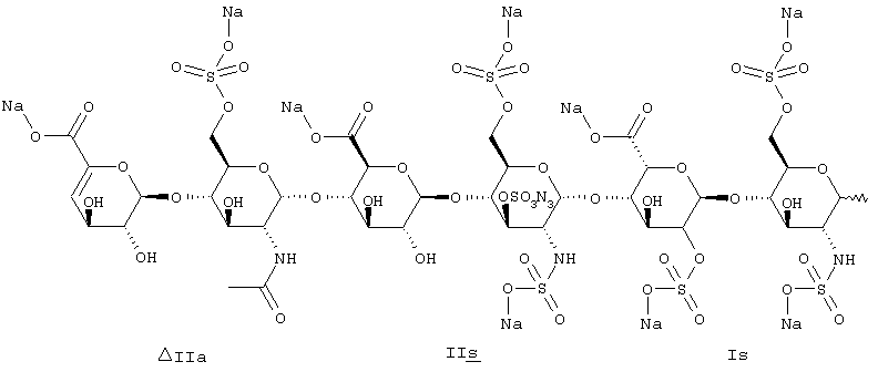
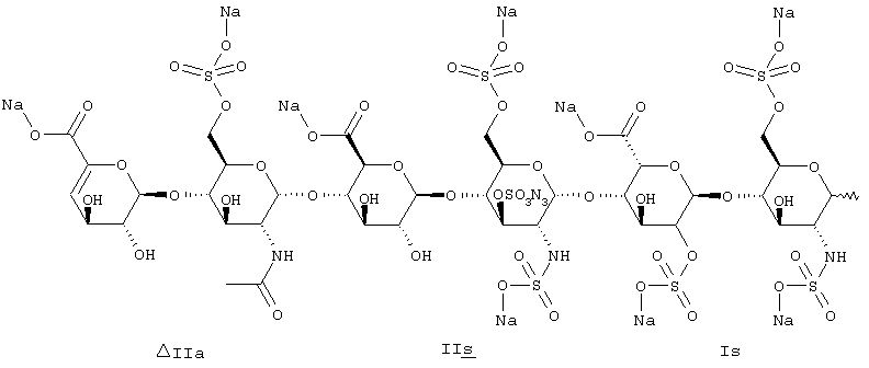
Настоящее изобретение относится к смесям полисахаридов, являющихся производными гепарина, способу их получения и фармацевтическим композициям, их содержащих. Гепарин представляет собой смесь сульфатированных мукополисахаридов животного происхождения, и его применение основано, в частности, на его антигоагулянтных и антитромботических свойствах. Однако гепарин имеет недостатки, ограничивающие условия его применения. В частности, его высокая антикоагулянтная активность (анти-IIa) может вызывать кровотечения. Были предложены низкомолекулярные гепарины, полученные путем щелочной деполимеризации сложных эфиров гепарина (ЕР 40144), однако такие продукты также обладают высокой антикоагулянтной активностью (анти-IIa). Гепарины с очень низким молекулярным весом были также описаны в US 6384021. Тем не менее полученные в описанных примерах значения активности анти-Ха не превышают 120 МЕд и отношение анти-Ха/анти-IIa составляет от 15 до 50. В WO-0208295 гепарины с очень низким молекулярным весом были получены иным способом, чем в US 6384021, и обладали активностью от 100 до 150 МЕд, при этом в некоторых примерах применения значения отношения анти-Ха/анти-IIa были также очень высокими. В указанном классе лекарственных средств существует постоянная потребность в повышении активности анти-Ха, в частности до значений, превышающих 150 МЕд/мг, а также в совершенствовании отношения анти-Ха/анти-IIa, и, следовательно, в разработке новых поколений производных гепаринов. Одной из целей изобретения, таким образом, является улучшение активности анти-Ха и отношения анти-Ха/анти-IIa путем модификации способов, описанных в уровне техники, в частности, путем контроля процентного содержания воды на стадии деполимеризации. Полученные таким образом гепарины также обладают превосходной антитромботической активностью и активностью аХа, близкой к такой же активности гепарина, уменьшая при этом опасность возникновения кровотечения благодаря очень низкой активности aIIa. Кроме того, продукты согласно изобретению имеют значительно большую продолжительность полужизни, чем гепарин. Таким образом объектом изобретения являются новые смеси полисахаридов, являющихся производными гепарина, обладающие более высокой селективностью в отношении активированного фактора Х (фактор Ха) и активированного фактора II (фактор IIa), чем гепарин. Смеси полисахаридов, среднемолекулярная масса которых составляет от 1500 до 3000 Да принято считать олигосахаридами. Следовательно, объектом изобретения являются смеси сульфатированных олигосахаридов, имеющие общую структуру полисахаридов, входящих в состав гепарина, и обладающих следующими признаками: – их среднемолекулярная масса составляет от 1500 до 3000 Да, активность анти-Ха составляет от 120 до 200 МЕд/мг, активность анти-IIa ниже 10 МЕд/мг и отношение анти-Ха/анти-IIa выше 30, – олигосахариды, входящие в состав смесей, содержат от 2 до 26 сахаридных звеньев, одна из их концевых групп является звеном 2-O-сульфата ненасыщенной 4,5-уроновой кислоты и содержат гексасахарид Гексасахарид Смесь олигосахаридов, описанная в настоящем изобретении, представляет собой соль щелочного или щелочноземельного металла. В качестве предпочтительной соли щелочного или щелочноземельного металла можно назвать соли натрия, калия, кальция и магния. Среднемолекулярную массу определяют высокоэффективной жидкостной хроматографией с помощью двух соединенных последовательно колонок, например, марки TSK G3000 XL и TSK G2000 XL. Определение осуществляют посредством рефрактометрии. В качестве элюента используют нитрат лития, расход составляет 0,6 мл/мин. Система калибрована с помощью эталонов, полученных путем фракционирования Эноксапарина (AVENTIS) путем хроматографии с использованием агарозполиакриламидного геля (IBF). Этот способ получения описан Barrowcliffe et al., Thromb. Res., 12, 27-36 (1977-78) или D.A.Lane et al., Thromb. Res., 12, 257-271 (1977-78). Для вычисления результатов используют программу GPC6 (Perkin Elmer). Активность анти-Ха измеряют амидолитическим методом на ауксохромном субстрате, описанным Teien et al., Thromb. Res., 10, 399-410 (1977), используя в качестве эталона первый международный эталон низкомолекулярных гепаринов. Активность анти-IIa измеряют методом, описанным Anderson L.O. et al., Tromb. Res., 15, 531-541 (1979), используя в качестве эталона первый международный эталон низкомолекулярных гепаринов. Гексасахаридная фракция преимущественно составляет от 15 до 25% смеси олигосахаридов. Предпочтительно смеси согласно изобретению содержат от 8 до 15% гексасахарида Содержание гексасахаридной фракции можно определить аналитическим методом путем высокоэффективной жидкостной хроматографии высокого давления на колонках TSK G3000 XL и TSK G2000 XL или путем препаративного отделения гексасахаридной фракции. В этом случае смесь подвергают хроматографии на колонках, заполненных гелем типа полиакриламид агарозы, например, марки Ultrogel АСА 202® (Biosepra). Смесь элюируют раствором гидрокарбоната натрия. Предпочтительно в качестве раствора гидрокарбоната натрия используют раствор, молярная концентрация которого составляет от 0,1 моль/л до 1 моль/л. Более предпочтительно отделение осуществляют при молярной концентрации 1 моль/л. Детенцию осуществляют УФ-спектрометрией (254 нм). После фракционирования фракцию гексасахарида в растворе гидрокарбоната натрия нейтрализуют ледяной уксусной кислотой. Затем раствор концентрируют при пониженном давлении до получения концентрации ацетата натрия более 30 мас.% Гексасахаридную фракцию осаждают путем добавления от 3 до 5 объемов метанола. Гексасахаридную фракцию выделяют путем фильтрования через пористое стекло №3. Полученную смесь гексасахаридов можно подвергнуть анализу путем ВЭЖХ (высокоэффективной жидкостной хроматографии) для определения содержания в ней гексасахарида Более конкретно смеси согласно изобретению обладают активностью анти-Ха от 150 МЕд/мг до 200 МЕд/мг. Предпочтительно активность анти-IIa смесей согласно изобретению составляет менее 5 МЕд/мг и более предпочтительно от 0,5 до 3,5 МЕд/мг. Приведенные ниже примеры применения показывают значения от 1,1 до 1,6 МЕд/мг, полученные при использовании преимущественных признаков изобретения. Предпочтительно отношение активность анти-Ха/активность анти-IIa смесей согласно изобретению составляет более 50 и более конкретно более 100. Предпочтительно смеси согласно изобретению имеют среднемолекулярную массу от 2000 до 3000 Да, и более конкретно среднемолекулярную массу от 2400 до 2650 Да. Таким образом объектом изобретения являются смеси, указанные выше, обладающие активностью анти-Ха от 150 МЕд/мг до 200 МЕд/мг, активностью анти-IIa от 0,5 до 3,5 МЕд/мг и среднемолекулярной массой от 2400 до 2650 Да. Смеси олигосахаридов согласно изобретению можно получить путем деполимеризации соли четвертичного аммония сложного бензилового эфира гепарина в органической среде с помощью сильного органического основания, рКа которого предпочтительно выше 20 (свойства, преимущественно присущие семейству фосфазенов, описанные, например, R.Schwesinger et al., Angew. Chem. Int. Ed. Engl. 26, 1167-1169 (1987), R.Schwesinger et al., Angew. Chem. 105, 1420(1993)), переводом соли четвертичного аммония сложного бензилового эфира деполимеризованного гепарина в натриевую соль, омылением остаточных сложных эфиров и возможно очисткой. В способе согласно изобретению используют основные стадии способа, описанного в WO 0208295, дополнив его существенной характеристикой, которая позволяет получать смеси олигосахаридов согласно изобретению, обладающие физико-химическими свойствами и видами активности, описанными выше. Действительно, для получения специфических смесей олигосахаридов согласно изобретению необходимо контролировать селективность основания, чтобы с точностью регулировать содержание воды на стадии деполимеризации. Способ согласно изобретению действительно отличается контролем высокой селективности основания в процессе деполимеризации. Она позволяет осуществлять деполимеризацию гепарина, максимально защищая при этом последовательности, сходные с ATIII, такие как гексасахарид Указанная характеристика способа выражается в ативностях аХа, неожиданных по отношению к среднемолекулярной массе смесей олигосахаридов (150 МЕд/мг <аХа<200 МЕд/мг при среднемолекулярной массе от 2000 до 3000 Да). Такая селективность связана с очень специфическими физико-химическими характеристиками оснований фосфазена, а именно: рКа выше 20, очень высокое стерическое затруднение и низкая нуклеофильность. Этот эффект полностью проявляется в безводной реакционной среде. Напротив, если содержание воды в реакционной среде повышается, наблюдается резкое снижение селективности деполимеризации. Защита последовательностей, сходных с ATI II, понижается, следствием чего является существенное снижение активности аХа. В присутствии небольшого количества воды фосфазеновое основание протонируется и реакционноспособная частица становится гидроксидом четвертичного аммония. В этом случае свойства высокого стерического затруднения и низкой нуклеофильности теряются и существенно влияют на качество полученного продукта. При проведении опытов по деполимеризации в условиях измерения и контроля содержания воды можно наблюдать полное проявление указанного эффекта. В нижеследующей таблице показано влияние содержания воды на селективность деполимеризации (при опытных испытаниях меняется только этот параметр: показатели стехиометрии реагентов, разбавления, температуры остаются постоянными в зависимости от критериев, используемых специалистом. В качестве основания используют фосфазеновое основание: 2-трет-бутилимино-2-диэтиламино-1,3-диметилпергидро-1,2,3-диазафосфорин).
Для получения оптимальной селективности и максимальной защиты последовательностей, сходных с ATIII, предпочтительно использовать содержание воды, ниже 0,6% и преимущественно ниже 0,3%, если используют 1 молярный эквивалент фосфазенового основания по отношению к сложному бензиловому эфиру гепарина, соли бензетония. Таким образом более конкретно объектом изобретения является стадия деполимеризации соли четвертичного аммония сложного бензилового эфира гепарина, полученного способами, известными специалисту, отличающаяся тем, что используют основание из семейства фосфазенов, в частности в растворе в дихлорметане с содержанием воды менее 0,6%. Предпочтительно это процентное содержание воды должно составлять менее 0,3% и более предпочтительно менее 0,2%. Преимущественно молярное отношение сильное основание/сложный эфир составляет от 0,2 до 5, предпочтительно от 0,6 до 2 и более предпочтительно от 0,8 до 1,2. Использование эквимолекулярного отношения относится к предпочтительным методам осуществления изобретения. Можно использовать другие известные специалисту апротонные растворители, такие как ТГФ и ДМФА. Соль четвертичного аммония сложного бензилового эфира гепарина предпочтительно является солью бензетония, цетилпиридиния или цетилтриметиламмония. Основания семейства фосфазенов предпочтительно имеют формулу
в которой радикалы R1-R7, одинаковые или разные, обозначают алкильные радикалы. Более конкретно изобретение относится к способу, описанному выше, отличающемуся тем, что в качестве основания (стадия d) деполимеризации) используют 2-трет-бутилимино-2-диэтиламино-1,3-диметилпергидро-1,3,2-диазафосфорин (1,2,3-диазафосфорин-2-амин, 2-[(1,1-диметилэтил)имино]-N,N-диэтил-1,2,2,2,3,5,6-октагидро-1,3-диметил):
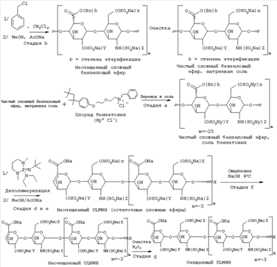
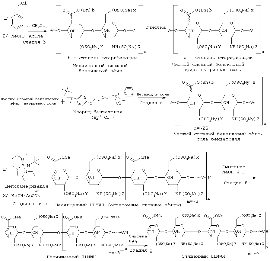
или трет-бутилиминотри(пирролидино)фосфоран. В указанных выше формулах алкильные радикалы содержат от 1 до 6 атомов углерода в прямой или разветвленной цепи. Таким образом объектом изобретения является способ получения олигосахаридных смесей согласно изобретению, включающий в себя следующие стадии: a) перевод в соль гепарина натрия под действием хлорида бензетония, b) этерификация гепарината бензетония под действием бензилхлорида, c) перевод полученного сложного бензилового эфира в соль четвертичного аммония, d) деполимеризация соли четвертичного аммония сложного бензилового эфира гепарина описанным выше способом, e) перевод соли четвертичного аммония в натриевую соль, f) возможно омыление гепарина под действием основания, такого как гидроксид натрия, g) возможно очистка, в частности, при помощи окислителя, такого как пероксид водорода. Следующая схема реакции иллюстрирует настоящее изобретение: N=X+Y+Z (общая степень сульфатирования среднего дисахарида), Х = степень сульфатирования на сайте, дополнение обозначено радикалом Н, Y = степень сульфатирования на сайте, дополнение обозначено радикалом Н, Z = степень сульфатирования на сайте, дополнение обозначено радикалом СОСН3, Перевод четвертичного аммония сложного бензилового эфира деполимеризованного гепарина в натриевую соль (стадия е) обычно осуществляют путем обработки реакционной среды спиртовым раствором ацетата натрия и предпочтительно 10% раствором ацетата натрия в метаноле (масса/объем) при температуре от 15 до 25°С. Массовый эквивалент введенного ацетата предпочтительно в 3 раза больше массы соли четвертичного аммония сложного бензилового эфира гепарина, вступившей в реакцию деполимеризации. Омыление (стадия f) обычно осуществляют с помощью гидроксида щелочного металла, такого как гидроксид натрия, калия, гидроксид лития в водной среде при температуре от 0 до 20°С и предпочтительно от 0 до 10°С. Обычно используют от 1 до 5 молярных эквивалентов гидроксида щелочного металла. Предпочтительно омыление осуществляют в присутствии от 1 до 2 молярных эквивалентов гидроксида щелочного металла. Конечный продукт возможно очищают (стадия g) любым известным способом очистки деполимеризованных гепаринов (например, ЕР 0037319 В1). Предпочтительно эту операцию проводят при температуре от 20 до 40°С. Соль четвертичного аммония сложного бензилового эфира гепарина можно получить по следующей схеме реакции: a) перевод гепарина натрия под действием хлорида бензетония в гепаринат бензетония (перевод к образованию соли), b) этерификация полученной на предыдущей стадии соли бензетония под действием бензилхлорида, затем обработка спиртовым раствором ацетата натрия до получения натриевой соли сложного бензилового эфира гепарина, c) перевод натриевой соли сложного бензилового эфира в соль четвертичного аммония и предпочтительно в соль бензетония, цетилпириния или цетилтриметиламмония. На стадии а) реакцию проводят под действием избыточного количества хлорида бензетония при температуре примерно от 15 до 25°С. Преимущественно молярное отношение соль/натриевый гепарин составляет от 3 до 4. В качестве исходного гепарина предпочтительно используют гепарин свиньи. Этот гепарин может пройти предварительную очистку для уменьшения содержания в нем дерматансульфата способом, описанным в патенте FR 2663639. На стадии b) этерификацию предпочтительно осуществляют в органическом хлорированном растворе (например, хлороформе, метиленхлориде) при температуре от 25 до 45°С. Сложный эфир в виде соли бензетония затем получают в виде натриевой соли путем осаждения с помощью 10 мас.% ацетата натрия в спирте, таком как метанол. Обычно используют от 1 до 1,2 объемной доли спирта на объемную долю реакционной среды. Количество бензилхлорида и продолжительность реакции позволяют получить 50-100% степень этерификации и предпочтительно 70-90%. Предпочтительно используют от 0,5 до 1,5 массовых частей бензилхлорида на 1 массовую часть соли бензетония гепарина. Продолжительность реакции предпочтительно составляет от 10 до 35 часов. На стадии с) перевод в соль осуществляют с помощью хлорида четвертичного аммония и предпочтительно с помощью хлорида бензетония, хлорида цетилпиридиния или хлорида цетилтриметиламмония в водной среде при температуре от 10 до 25°С. Преимущественно молярное отношение хлорида четвертичного аммония/натриевой соли сложного бензилового эфира гепарина составляет от 2 до 3. Согласно изобретению смеси в форме натриевой соли могут быть переведены в другую соль щелочного или щелочноземельного металла. Возможный перевод из одной соли в другую осуществляют способом, описанным в патенте FR 7313580. Смеси согласно изобретению не являются токсичными и, следовательно, их можно использовать в качестве лекарственных средств. Смеси олигосахаридов согласно настоящему изобретению можно использовать в качестве антитромботических веществ. В частности, они пригодны для лечения или профилактики венозных и артериальных тромбозов, глубокого венозного тромбоза, легочной эмболии, нестабильной стенокардии, инфаркта миокарда, ишемии сердца, закупорки периферических артерий и фибрилляции предсердий. Их также можно применять для профилактики и лечения пролиферации клеток гладкой мускулатуры, атеросклероза и артериосклероза, для лечения и профилактики рака путем модуляции ангиогенеза и факторов роста, и для лечения и профилактики диабетических расстройств, таких как диабетическая ретинопатия и диабетическая нефропатия. Настоящее изобретение относится также к фармацевтическим композициям, содержащим в качестве активного вещества смесь формулы (1), возможно в ассоциации с одним или несколькими инертными эксципиентами. В качестве фармацевтических композиций можно, например, назвать растворы для подкожных или внутривенных инъекций. Они также применяются через легкие (ингаляции) или перорально. Дозировка зависит от возраста, веса и состояния здоровья пациента. Для взрослого человека обычно она составляет от 20 до 100 мг в день при внутримышечном или подкожном введении. Нижеследующие примеры иллюстрируют изобретение, но не имеют ограничительного характера. Пример А Получение бензилгепарината, соли бензетония Гепаринат бензетония В раствор 10 г гепарина натрия в 100 мл воды вводят раствор 25 г хлорида бензетония в 125 мл воды. Продукт фильтруют, промывают водой и сушат. Сложный бензиловый эфир гепарина (натриевая соль) В раствор 20 г гепарината бензетония в 80 мл метиленхлорида вводят 16 мл бензилхлорида. Раствор нагревают до 30°С в течение 12 часов. Затем вводят 108 мл 10% раствора ацетата натрия в метаноле, фильтруют, промывают метанолом и сушат. Получают 7,6 г сложного бензилового эфира гепарина в форме натриевой соли со степенью этерификации 77%. Сложный бензиловый эфир гепарина (соль бензетония) В коническую колбу А объемом 2 литра вводят 36 г (0,0549 моль) сложного бензилового эфира гепарина (натриевую соль) и 540 мл дистиллированной воды. После проведения гомогенизации при температуре примерно 20°С получают бледно-желтый раствор, В условиях перемешивания магнитной мешалкой в конической колбе В объемом 1 л получают раствор 64,45 г (0,1438 моль) хлорида бензетония и 450 мл воды. Из конической колбы В раствор переливают в течение 35 минут в коническую колбу А в условиях перемешивания. Образуется обильный белый осадок. Коническую колбу В промывают 200 мл дистиллированной воды и промывную воду вводят в коническую колбу А. Перемешивание прекращают и оставляют на 12 часов для осаждения суспензии. По истечении этого времени отбирают и удаляют прозрачную часть отстоявшейся жидкости. В осадок (имеющий пастообразный вид) вводят 560 мл воды и перемешивают в течение 20 минут. Оставляют для повторного осаждения примерно на 30 минут. Отстоявшуюся жидкость отбирают и удаляют (560 мл). Образовавшийся осадок дважды промывают с помощью примерно 560 мл дистиллированной воды. При осуществлении последнего промывания осадок оставляют во взвешенном состоянии и фильтруют через пористое стекло 3. Затем осадок четырехкратно промывают 200 мл дистиллированной воды. Влажное твердое белое вещество осушают, затем сушат при пониженном давлении (2,7 кПа) при температуре примерно 60°С. Сушат в течение 12 часов и получают 87,5 г бензилгепарината, соли бензетония. Выход составляет 94,9%. Пример В Описание гексасахарида ATIII ( Протоновый спектр в D2O, 500 МГц, Т=298К, Деканатриевая соль (4-дезокси- Примеры с 1 по 7 и 12 иллюстрируют влияние содержания воды на селективность реакции полимеризации и активность аХа и aIIa полученных продуктов. Примеры с 8 по 10 иллюстрируют влияние числа эквивалентов основания на активность аХа и aIIa полученного продукта (при содержании воды 0,1%). Пример 11 иллюстрирует использование другого фосфазенового основания, кроме 2-трет-бутилимино-2-диэтиламино-1,3-диметилпергидро-1,2,3-диазафосфорина: Использование трет-бутилиминотри(пирролидин)фосфорана. Пример 1 Деполимеризация и перевод в натриевую соль (0,1% воды) В коническую колбу А вводят 70 мл дихлорметана. В условиях перемешивания медленно вводят 10 г (0,006 моля) сложного бензилового эфира гепарина (степень этерификации: 75%, соль бензетония), полученного как описано в примере А. Содержание воды в реакционной среде устанавливают равным 0,1%. Раствор нагревают до 40°С в атмосфере азота. После полного растворения температуру понижают до температуры около 20°С, затем добавляют 1,75 мл (0,006 моля) 2-трет-бутилимино-2-диэтиламино-1,3-диметилпергидро-1,2,3-диазафосфорина. Перемешивают при температуре около 20°С в течение 24 часов. В течение этого времени в конической колбе В готовят раствор 30 г безводного ацетата натрия в 300 мл метанола. После полного растворения в раствор вводят 5 г целита Hyflo supercel. При перемешивании магнитной мешалкой реакционную смесь из конической колбы А выливают в течение 1 мин 30 с в метанольный раствор ацетата натрия при температуре около 5°С. Перемешивают в течение 5 минут и оставляют взвесь для осаждения на 1 ч 30 мин. Прозрачную часть отстоявшейся жидкости отбирают и удаляют (220 мл). В образовавшийся осадок вводят 220 мл метанола и перемешивают в течение 5 мин. Оставляют для повторного осаждения примерно на 1 ч 20 мин. Отстоявшуюся жидкость отбирают и удаляют (250 мл). В образовавшийся осадок вводят 250 мл метанола и перемешивают в течение 5 мин. Осадок во взвешенном состоянии фильтруют через пористое стекло 3. Образовавшийся осадок промывают с помощью примерно 100 мл метанола. Влажное твердое светло-желтое вещество осушают, затем сушат при пониженном давлении (6 кПа) при температуре примерно 40°С. Сушат в течение 18 ч и получают 2,51 г деполимеризованного гепарина, натриевую соль в целите (5 г). Выход составляет 64%. Омыление В коническую колбу объемом 50 мл вводят 2,5 г (0,0038 моля) деполимеризованного гепарина, натриевой соли в целите (5 г), полученного на предыдущей стадии, и 17 мл воды. Суспензию фильтруют через пористое стекло 3 и дважды промывают 5 мл воды. Полученный фильтрат помещают в коническую колбу объемом 150 мл. При перемешивании магнитной мешалкой вводят 0/4 мл (0,004 моля) 30% натрового щелока при температуре около 5°С. После этого смесь взбалтывают в течение 2 ч. Нейтрализуют раствор путем добавления 1н HCl и вводят 3 г хлорида натрия. После растворения в реакционную среду добавляют 21 мл метанола. Перемешивают в течение 15 мин и добавляют 44 мл метанола, затем перемешивают в течение 1 ч. Перемешивание останавливают и суспензию оставляют для осаждения на 45 мин при температуре около 5°С. Отстоявшуюся жидкость отбирают и удаляют (90 мл). В образовавшийся осадок вводят 90 мл метанола и перемешивают в течение 5 мин. Оставляют для повторного осаждения на 20 мин. Отстоявшуюся жидкость отбирают и удаляют (80 мл). В образовавшийся осадок вводят 80 мл метанола и перемешивают в течение 5 мин. Осадок во взвешенном состоянии фильтруют через пористое стекло 3. Полученный осадок промывают 50 мл метанола. Влажное твердое вещество осушают, затем сушат при пониженном давлении (6 кПа) при температуре примерно 40°С. Сушат в течение 18 ч и получают 1,31 г неочищенного деполимеризованного гепарина (натриевую соль). Выход составляет 66%. Очистка В коническую колбу объемом 50 мл вводят 1,3 г неочищенного деполимеризованного гепарина, полученного на предыдущей стадии, и 13 мл дистиллированной воды. Смесь нагревают до 40°С при перемешивании магнитной мешалкой. рН доводят до 9,7±0,1 путем добавления 1н гидроксида натрия. Реакционную среду фильтруют через мембрану с размером отверстий 0,45 мкм, после чего вводят 0,07 мл 30% водного раствора пероксида водорода. Взбалтывают в течение 2 ч при температуре около 20°С, после чего смесь нейтрализуют путем добавления 1н HCl и вводят 2 г хлорида натрия. Затем раствор фильтруют через мембрану с размером отверстий 0,45 мкм, после чего вливают 14 мл метанола. Затем раствор охлаждают до 10°С и перемешивают в течение примерно 15 мин. Добавляют 36 мл метанола и перемешивают в течение часа. Перемешивание останавливают и суспензию оставляют для осаждения примерно на 15 мин. Отстоявшуюся жидкость отбирают и удаляют (50 мл). В образовавшийся осадок вводят 50 мл метанола и перемешивают в течение 5 мин. Оставляют для повторного образования осадка примерно на 25 мин. Отстоявшуюся жидкость отбирают и удаляют (50 мл). Осадок во взвешенном состоянии фильтруют через пористое стекло 3. Полученный белый осадок промывают 50 мл метанола. Влажное твердое вещество осушают, затем сушат при пониженном давлении (6 кПа) при температуре около 40°С. Сушат в течение 18 ч и получают 1,13 г чистого деполимеризованного гепарина (натриевую соль). Выход составляет 87%. Свойства деполимеризованного гепарина, полученного таким способом. Средняя молекулярная масса: 2600 Да Активность анти-Ха: 177 МЕд/мг Активность анти-IIa: 1,5 МЕд/мг Отношение активность анти-Ха/активность анти-IIa: 118 Пример 2 Деполимеризация и перевод в натриевую соль (0,2%) В коническую колбу А вводят 70 мл дихлорметана. При перемешивании и под давлением азота медленно вводят 10 г (0,006 моля) сложного бенэилового эфира гепарина (степень этерификации: 75%, соль бензетония), полученного как описано в примере А. Содержание воды в реакционной среде устанавливают равным 0,2%. После полного растворения добавляют 1,75 мл (0,006 моля) 2-трет-бутилимино-2-диэтиламино-1,3-диметилпергидро-1,2,3-диазафосфорина. Перемешивают при температуре около 20°С в течение 24 ч. В течение этого времени в конической колбе В готовят раствор 30 г безводного ацетата натрия в 300 мл метанола. После полного растворения в раствор вводят 5 г целита Hyflo supercel. При перемешивании магнитной мешалкой реакционную смесь из конической колбы А выливают в течение 1 мин 30 с в метанольный раствор ацетата натрия при температуре около 5°С. Перемешивают в течение 5 мин и оставляют для осаждения на 2 ч. Прозрачную часть отстоявшейся жидкости отбирают и удаляют (220 мл). В образовавшийся осадок вводят 220 мл метанола и перемешивают в течение 5 мин. Оставляют для повторного осаждения примерно на 2 ч. Отстоявшуюся жидкость отбирают и удаляют (230 мл). В образовавшийся осадок вводят 230 мл метанола. Осадок в взвешенном состоянии фильтруют через пористое стекло 3. Образовавшийся осадок промывают с помощью примерно 150 мл метанола. Влажное твердое светло-желтое вещество осушают, затем сушат при пониженном давлении (6 кПа) при температуре примерно 40°С. Сушат в течение 18 ч и получают 2,63 г неочищенного деполимеризованного гепарина, в целите (5 г). Выход составляет 67%. Омыление В коническую колбу объемом 50 мл вводят 2,5 г (0,0038 моля) деполимеризованного гепарина, натриевой соли в целите (5 г), полученного на предыдущей стадии, и 18 мл воды. Суспензию фильтруют через пористое стекло 3 и дважды промывают 5 мл воды. Полученный фильтрат помещают в коническую колбу объемом 150 мл. При перемешивании магнитной мешалкой вводят 0,4 мл (0,004 моля) 30% натрового щелока при температуре около 5°С. После этого смесь взбалтывают в течение 2 ч. Раствор нейтрализуют путем добавления 1н HCl и вводят 2 г хлорида натрия. В реакционную среду добавляют 14 мл метанола. Перемешивают в течение 15 мин и добавляют 36 мл метанола, затем перемешивают в течение часа. Перемешивание останавливают и суспензию оставляют для осаждения на 45 мин при температуре около 5°С. Отстоявшуюся жидкость отбирают и удаляют (80 мл). В образовавшийся осадок вводят 80 мл метанола и перемешивают в течение 5 мин. Осадок во взвешенном состоянии фильтруют через пористое стекло 3. Полученный осадок промывают 50 мл метанола. Влажное твердое вещество осушают, затем сушат при пониженном давлении (6 кПа) при температуре примерно 40°С. Сушат в течение 48 ч и получают 2,3 г неочищенного деполимеризованного гепарина (натриевую соль). Выход составляет 65%. Очистка В коническую колбу объемом 50 мл вводят 1,4 г неочищенного деполимеризованного гепарина, полученного на предыдущей стадии, и 15 мл дистиллированной воды. Смесь нагревают до 40°С при перемешивании магнитной мешалкой. рН доводят до 9,7±0,1 путем добавления 1н гидроксида натрия. Реакционную среду фильтруют через мембрану с размером отверстий 0,45 мкм и вводят 0,07 мл 30% водного раствора пероксида водорода. Взбалтывают в течение 2 ч при температуре около 40°С, после чего смесь охлаждают примерно до 20°С, затем нейтрализуют путем добавления 1н HCl. В реакционную смесь вводят 2 г хлорида натрия. Затем раствор фильтруют через мембрану с размером отверстий 0,45 мкм, после чего вливают 14 мл метанола. Затем раствор охлаждают до 10°С и перемешивают в течение 15 мин. Добавляют 36 мл метанола и перемешивают в течение часа. Перемешивание останавливают и суспензию оставляют для осаждения примерно на 15 мин. Отстоявшуюся жидкость отбирают и удаляют (40 мл). В образовавшийся осадок (пастообразного вида) вводят 40 мл метанола и перемешивают в течение 5 мин. Оставляют для повторного образования осадка примерно на 20 мин. Отстоявшуюся жидкость отбирают и удаляют (50 мл). Осадок во взвешенном состоянии фильтруют через пористое стекло 3. Полученный белый осадок промывают 50 мл метанола. Влажное твердое вещество осушают, затем сушат при пониженном давлении (6 кПа) при температуре около 40°С. Сушат в течение 18 ч и получают 1,2 г чистого деполимеризованного гепарина (натриевую соль). Выход составляет 86%. Свойства деполимеризованного гепарина, полученного таким способом. Средняя молекулярная масса: 2650 Да Активность анти-Ха: 161 МЕд/мг Активность анти-IIa: 1,4 МЕд/мг Отношение активность анти-Ха/активность анти-IIa: 115 Пример 3 Деполимеризация и перевод в натриевую соль (0,3% воды) В коническую колбу А вводят 70 мл дихлорметана. При перемешивании и под давлением азота вводят 10 г (0,006 моля) сложного бензилового эфира гепарина (степень этерификации: 75%, соль бензетония), полученного как описано в примере А. Содержание воды в реакционной среде устанавливают равным 0,3%. После полного растворения добавляют 1,75 мл (0,006 моля) 2-трет-бутилимино-2-диэтиламино-1,3-диметилпергидро-1,2,3-диазафосфорина. Перемешивают при температуре около 20°С в течение 24 ч. В течение этого времени в конической колбе В готовят раствор 30 г безводного ацетата натрия в 300 мл метанола. После полного растворения в раствор вводят 5 г целита Hyflo supercel. При перемешивании магнитной мешалкой реакционную смесь из конической колбы А выливают в течение 1 мин 30 с в метанольный раствор ацетата натрия при температуре около 5°С. Перемешивают в течение 5 мин и оставляют для осаждения на 1 ч 10 мин. Прозрачную часть отстоявшейся жидкости отбирают и удаляют (220 мл). В образовавшийся осадок вводят 220 мл метанола и перемешивают в течение 5 мин. Осадок во взвешенном состоянии фильтруют через пористое стекло 3. Образовавшийся осадок промывают с помощью 100 мл метанола. Влажное твердое вещество осушают, затем сушат при пониженном давлении (6 кПа) при температуре около 40°С. Сушат в течение 18 ч и получают 2,57 г неочищенного деполимеризованного гепарина, натриевую соль в целите (5 г). Выход составляет 66%. Омыление В коническую колбу объемом 50 мл вводят 2,5 г (0/0038 моля) неочищенного деполимеризованного гепарина, натриевой соли в целите (5 г), полученного на предыдущей стадии, и 18 мл воды. Суспензию фильтруют через пористое стекло 3 и дважды промывают 5 мл воды. Полученный фильтрат помещают в коническую колбу объемом 150 мл. При перемешивании магнитной мешалкой вводят 0,4 мл (0,004 моля) 30% натрового щелока при температуре около 5°С. После этого смесь взбалтывают в течение 2 ч. Раствор нейтрализуют путем добавления 1н HCl и вводят 3 г хлорида натрия. В реакционную среду добавляют 15 мл метанола. Перемешивают в течение 15 мин и добавляют 36 мл метанола, затем перемешивают в течение 1 ч. Перемешивание останавливают и суспензию оставляют для осаждения на 1 час. Отстоявшуюся жидкость отбирают и удаляют (70 мл). В образовавшийся осадок вводят 70 мл метанола и перемешивают в течение 5 мин. Осадок во взвешенном состоянии фильтруют через пористое стекло 3. Полученный осадок промывают 50 мл метанола. Влажное твердое вещество осушают, затем сушат при пониженном давлении (6 кПа) при температуре около 40°С. Сушат в течение 48 ч и получают 1,42 г неочищенного деполимеризованного гепарина (натриевую соль). Выход составляет 62%. Очистка В коническую колбу объемом 50 мл вводят 1,4 г неочищенного деполимеризованного гепарина, полученного на предыдущей стадии, и 14 мл дистиллированной воды. Смесь нагревают до 40°С при перемешивании магнитной мешалкой. рН доводят до 9,7±0,1 путем добавления 1н гидроксида натрия. Реакционную среду фильтруют через мембрану с размером отверстий 0,45 мкм и вводят 0,07 мл 30% водного раствора пероксида водорода. Взбалтывают в течение 2 ч при температуре около 20°С, затем смесь нейтрализуют путем добавления 1н HCl и вводят 2 г хлорида натрия. После растворения раствор фильтруют через мембрану с размером отверстий 0,45 мкм, после чего вливают 14 мл метанола. Затем фильтрат охлаждают до 10°С и перемешивают в течение 15 мин. Добавляют 36 мл метанола и перемешивают примерно в течение часа. Перемешивание останавливают и суспензию оставляют для осаждения на 40 мин. Отстоявшуюся жидкость отбирают и удаляют (50 мл). В образовавшийся осадок (пастообразного вида) вводят 50 мл метанола и перемешивают в течение 5 мин. Оставляют для повторного образования осадка примерно на 25 мин. Осадок во взвешенном состоянии фильтруют через пористое стекло 3. Полученный белый осадок промывают 50 мл метанола. Влажное твердое вещество осушают, затем сушат при пониженном давлении (6 кПа) при температуре около 40°С. Сушат в течение 18 ч и получают 1,24 г чистого деполимеризованного гепарина (натриевую соль). Выход составляет 89%. Свойства деполимеризованного гепарина, полученного таким способом. Средняя молекулярная масса: 2400 Да Активность анти-Ха: 132 МЕд/мг Активность анти-IIa: 1,4 МЕд/мг Отношение активность анти-Ха/активность анти-IIa: 94 Пример 4 Деполимеризация и перевод в натриевую соль (0,4% воды) В коническую колбу А вводят 70 мл дихлорметана. При перемешивании медленно вводят 10 г (0,006 моля) сложного бензилового эфира гепарина (степень этерификации: 75%, соль бензетония), полученного как описано в примере А. Содержание воды в реакционной среде устанавливают равным 0,4%. Раствор нагревают до 30°С в атмосфере азота. После полного растворения охлаждают до температуры около 20°С, затем добавляют 1,75 мл (0,006 моля) 2-трет-бутилимино-2-диэтиламино-1,3-диметилпергидро-1,2,3-диазафосфорина. Перемешивают при температуре около 20°С в течение 24 ч. В течение этого времени в конической колбе В готовят раствор 30 г безводного ацетата натрия в 300 мл метанола. После полного растворения в раствор вводят 5 г целита Hyflo supercel. При перемешивании магнитной мешалкой реакционную смесь из конической колбы А выливают в течение 1 мин 30 с в метанольный раствор ацетата натрия при температуре около 5°С. Перемешивают в течение 5 мин и оставляют суспензию для осаждения на 2 ч. Прозрачную часть отстоявшейся жидкости отбирают и удаляют (80 мл). В образовавшийся осадок вводят 80 мл метанола и перемешивают в течение 5 мин. Оставляют для повторного осаждения в течение часа. Отстоявшуюся жидкость отбирают и удаляют (80 мл). В полученный осадок вводят 80 мл метанола и перемешивают в течение 5 мин. Осадок во взвешенном состоянии фильтруют через пористое стекло 3. Образовавшийся осадок промывают с помощью 150 мл метанола. Влажное твердое светло-желтое вещество осушают, затем сушат при пониженном давлении (6 кПа) при температуре около 40°С. Сушат в течение 18 ч и получают 3,25 г неочищенного деполимеризованного гепарина, натриевую соль в целите (5 г). Выход составляет 83%. Омыление В коническую колбу объемом 50 мл вводят 3,1 г (0,0018 моля) неочищенного деполимеризованного гепарина, натриевой соли в целите (10 г), полученного на предыдущей стадии, и 21 мл воды. Суспензию фильтруют через пористое стекло 3 и дважды промывают 6 мл воды. Полученный фильтрат помещают в коническую колбу объемом 150 мл. При перемешивании магнитной мешалкой вводят 0,7 мл (0,007 моля) 30% натрового щелока при температуре около 5°С. После этого смесь взбалтывают в течение 2 ч. Раствор нейтрализуют путем добавления 1н HCl и вводят 4 г хлорида натрия. В реакционную среду добавляют 28 мл метанола. Перемешивают в течение 15 мин и добавляют 72 мл метанола, затем перемешивают в течение часа. Перемешивание останавливают и суспензию оставляют для осаждения на час. Отстоявшуюся жидкость отбирают и удаляют (90 мл). В образовавшийся осадок вводят 90 мл метанола и перемешивают в течение 5 мин. Оставляют на 20 мин для повторного осаждения. Отстоявшуюся жидкость отбирают и удаляют (90 мл). В образовавшийся осадок вводят 90 мл метанола и перемешивают в течение 5 мин. Осадок во взвешенном состоянии фильтруют через пористое стекло 3. Полученный осадок промывают 50 мл метанола. Влажное твердое вещество осушают, затем сушат при пониженном давлении (6 кПа) и при температуре около 40°С. Сушат в течение 48 ч и получают 1,9 г неочищенного деполимеризованного гепарина (натриевую соль). Выход составляет 67%. Очистка В коническую колбу объемом 50 мл вводят 1,9 г неочищенного деполимеризованного гепарина, полученного на предыдущей стадии, и 19 мл дистиллированной воды. Смесь нагревают до 40°С при перемешивании магнитной мешалкой. рН доводят до 9,7±0,1 путем добавления 1н гидроксида натрия. Реакционную среду фильтруют через мембрану с размером отверстий 0,45 мкм и вводят 0,1 мл 30% водного раствора пероксида водорода. Взбалтывают в течение 2 ч при температуре около 20°С, затем смесь нейтрализуют путем добавления 1н HCl и вводят 2 г хлорида натрия. Затем раствор фильтруют через мембрану с размером отверстий 0,45 мкм, после чего вливают 14 мл метанола и взбалтывают в течение 15 мин. Добавляют 36 мл метанола и перемешивают в течение часа. Перемешивание останавливают и суспензию оставляют для осаждения на 15 мин. Отстоявшуюся жидкость отбирают и удаляют (40 мл). В образовавшийся осадок вводят 40 мл метанола и перемешивают в течение 5 мин. Оставляют для повторного образования осадка примерно на 20 мин. Отстоявшуюся жидкость отбирают и удаляют (50 мл). В образовавшийся осадок вводят 500 мл метанола и перемешивают в течение 20 мин. Осадок во взвешенном состоянии фильтруют через пористое стекло 3. Полученный белый осадок промывают 50 мл метанола. Влажное твердое вещество осушают, затем сушат при пониженном давлении (6 кПа) при температуре около 40°С. Сушат в течение 72 ч и получают 1,56 г чистого деполимеризованного гепарина (натриевую соль). Выход составляет 82%. Свойства деполимеризованного гепарина, полученного таким способом. Средняя молекулярная масса: 2350 Да Активность анти-Ха: 122 МЕд/мг Активность анти-IIa: 1,3 МЕд/мг Отношение активность анти-Ха/активность анти-IIa: 94 Пример 5 Деполимеризация и перевод в натриевую соль (0,57% воды) В коническую колбу А вводят 140 мл дихлорметана. При перемешивании медленно вводят 20 г (0,019 моля) сложного бензилового эфира гепарина (степень этерификации: 75%, соль бензетония), полученного как описано в примере А. Содержание воды в реакционной среде устанавливают равным 0,57%. После полного растворения добавляют 3,5 мл (0,012 моля) 2-трет-бутилимино-2-диэтиламино-1,3-диметилпергидро-1,2,3-диазафосфорина. Перемешивают при температуре около 20°С в течение 24 ч. В течение этого времени в конической колбе В готовят раствор 60 г безводного ацетата натрия в 600 мл метанола. После полного растворения в раствор вводят 10 г целита Hyflo supercel. При перемешивании магнитной мешалкой реакционную смесь из конической колбы А выливают в течение 1 мин 30 с в метанольный раствор ацетата натрия при температуре около 4°С. Перемешивают в течение 5 мин и оставляют суспензию для осаждения на 30 мин. Прозрачную часть отстоявшейся жидкости 31 отбирают и удаляют (400 мл). В образовавшийся осадок вводят 400 мл метанола и перемешивают в течение 5 мин. Оставляют для повторного осаждения в течение часа. Отстоявшуюся жидкость отбирают и удаляют (420 мл). В полученный осадок вводят 420 мл метанола и перемешивают в течение 5 мин. Затем суспензию фильтруют через пористое стекло 3. Образовавшийся осадок промывают с помощью 200 мл метанола. Влажное твердое светло-желтое вещество осушают, затем сушат при пониженном давлении (6 кПа) при температуре около 50°С. Сушат в течение 18 ч и получают 6,66 г неочищенного деполимеризованного гепарина, натриевую соль в целите (10 г). Выход составляет 85%. Омыление В коническую колбу объемом 50 мл вводят 6,66 г (0,0101 моля) неочищенного деполимеризованного гепарина, натриевой соли в целите (10 г), полученного на предыдущей стадии, и 47 мл воды. Суспензию фильтруют через пористое стекло 3 и дважды промывают 15 мл воды. Полученный фильтрат помещают в коническую колбу объемом 150 мл. При перемешивании магнитной мешалкой вводят 1,1 мл (0,011 моля) 30% натрового щелока при температуре около 5°С. После этого смесь взбалтывают в течение 2 ч. Раствор нейтрализуют путем добавления 1н HCl и вводят 9,5 г хлорида натрия. В реакционную среду добавляют 66 мл метанола. Перемешивают в течение 15 мин и добавляют 171 мл метанола, затем перемешивают в течение 1 ч. Перемешивание останавливают и суспензию оставляют для осаждения на 3/4 часа при температуре около 5°С. Отстоявшуюся жидкость отбирают и удаляют (160 мл). В образовавшийся осадок вводят 160 мл метанола и перемешивают в течение 5 мин. Оставляют на 20 мин для повторного осаждения. Отстоявшуюся жидкость отбирают и удаляют (180 мл). В образовавшийся осадок вводят 180 мл метанола и перемешивают в течение 5 мин. Осадок во взвешенном состоянии фильтруют через пористое стекло 3. Полученный осадок двукратно промывают 50 мл метанола. Влажное твердое вещество осушают, затем сушат при пониженном давлении (6 кПа) и при температуре около 40°С. Сушат в течение 18 ч и получают 4,53 г неочищенного деполимеризованного гепарина (натриевую соль). Выход составляет 74%. Очистка В коническую колбу объемом 100 мл вводят 4,53 г неочищенного деполимеризованного гепарина, полученного на предыдущей стадии, и 45 мл дистиллированной воды. Смесь нагревают до 40°С при перемешивании магнитной мешалкой. рН доводят до 9,7±0,1 путем добавления 1н гидроксида натрия. Реакционную среду фильтруют через мембрану с размером отверстий 0,45 мкм и вводят 0,25 мл 30% водного раствора пероксида водорода. Взбалтывают в течение 2 ч при температуре около 20°С, затем смесь нейтрализуют путем добавления 1н HCl и вводят 5,5 г хлорида натрия. Затем раствор фильтруют через мембрану с размером отверстий 0,45 мкм, после чего вливают 38 мл метанола при температуре около 10°С. Затем раствор нагревают примерно до 20°С и взбалтывают в течение 15 мин. После этого добавляют 100 мл метанола и перемешивают в течение часа. Перемешивание останавливают и суспензию оставляют для осаждения на 20 мин. Отстоявшуюся жидкость отбирают и удаляют (90 мл). В образовавшийся осадок вводят 90 мл метанола и перемешивают в течение 5 мин. Оставляют для повторного образования осадка примерно на 25 мин. Отстоявшуюся жидкость отбирают и удаляют (100 мл). Осадок во взвешенном состоянии фильтруют через пористое стекло 3. Полученный белый осадок промывают 50 мл метанола. Влажное твердое вещество осушают, затем сушат при пониженном давлении (6 кПа) при температуре около 50°С. Сушат в течение 18 ч и получают 3,7 г чистого деполимеризованного гепарина (натриевую соль). Выход составляет 82%. Свойства деполимеризованного гепарина, полученного таким способом. Средняя молекулярная масса: 2200 Да Активность анти-Ха: 120 МЕд/мг Активность анти-IIa: 1,4 МЕд/мг Отношение активность анти-Ха/активность анти-IIa: 86 Пример 6 Деполимеризация и перевод в натриевую соль (1,8% воды) В коническую колбу А вводят 140 мл дихлорметана. При перемешивании медленно вводят 20 г (0,019 моля) сложного бензилового эфира гепарина (степень этерификации: 75%, соль бензетония), полученного как описано в примере А. Содержание воды в реакционной среде устанавливают равным 1,8%. После полного растворения добавляют 3,5 мл (0,012 моля) 2-трет-бутилимино-2-диэтиламино-1,3-диметилпергидро-1,2,3-диазафосфорина. Перемешивают при температуре около 20°С в течение 24 ч. В течение этого времени в конической колбе В готовят раствор 60 г безводного ацетата натрия в 600 мл метанола. После полного растворения в раствор вводят 10 г целита Hyflo supercel. При перемешивании магнитной мешалкой реакционную смесь из конической колбы А выливают в течение 1 мин 30 с в метанольный раствор ацетата натрия при температуре около 4°С. Перемешивают в течение 5 мин и оставляют суспензию для осаждения на 30 мин. Прозрачную часть отстоявшейся жидкости отбирают и удаляют (400 мл). В образовавшийся осадок вводят 400 мл метанола и перемешивают в течение 5 мин. Оставляют для повторного осаждения в течение часа. Отстоявшуюся жидкость отбирают и удаляют (420 мл). В полученный осадок вводят 420 мл метанола и перемешивают в течение 5 мин. Осадок во взвешенном состоянии фильтруют через пористое стекло 3. Образовавшийся осадок промывают с помощью 200 мл метанола. Влажное твердое светло-желтое вещество осушают, затем сушат при пониженном давлении (6 кПа) при температуре около 50°С. Сушат в течение 18 ч и получают 7,54 г неочищенного деполимеризованного гепарина, натриевую соль в целите (10 г). Выход составляет 96%. Омыление В коническую колбу объемом 50 мл вводят 7,54 г (0,0101 моля) неочищенного деполимеризованного гепарина, натриевой соли в целите (10 г), полученного на предыдущей стадии, и 53 мл воды. Суспензию фильтруют через пористое стекло 3 и дважды промывают 15 мл воды. Полученный фильтрат помещают в коническую колбу объемом 150 мл. При перемешивании магнитной мешалкой вводят 1,25 мл (0,012 моля) 30% натрового щелока при температуре около 4°С. После этого смесь взбалтывают в течение 2 ч. Раствор нейтрализуют путем добавления 1н HCl и вводят 10,5 г хлорида натрия. В реакционную среду добавляют 70 мл метанола. Перемешивают в течение 15 мин и добавляют 190 мл метанола, затем перемешивают в течение часа. Перемешивание останавливают и суспензию оставляют для осаждения на 3/4 ч при температуре около 4°С. Отстоявшуюся жидкость отбирают и удаляют (180 мл). В образовавшийся осадок вводят 180 мл метанола и перемешивают в течение 5 мин. Оставляют на 20 минут для повторного осаждения. Отстоявшуюся жидкость отбирают и удаляют (180 мл). В образовавшийся осадок вводят 180 мл метанола и перемешивают в течение 5 мин. Осадок во взвешенном состоянии фильтруют через пористое стекло 3. Полученный осадок двукратно промывают 50 мл метанола. Влажное твердое вещество осушают, затем сушат при пониженном давлении (6 кПа) и при температуре около 50°С. Сушат в течение 18 ч и получают 5,53 г неочищенного деполимеризованного гепарина (натриевую соль). Выход составляет 80%. Очистка В коническую колбу объемом 100 мл вводят 5,53 г неочищенного деполимеризованного гепарина, полученного на предыдущей стадии, и 55 мл дистиллированной воды. Смесь нагревают до 40°С при перемешивании магнитной мешалкой. рН доводят до 9,7±0,1 путем добавления 1н гидроксида натрия. Реакционную среду фильтруют через мембрану с размером отверстий 0,45 мкм и вводят 0,31 мл 30% водного раствора пероксида водорода. Взбалтывают в течение 2 ч при температуре около 20°С, затем смесь нейтрализуют путем добавления 1н HCl и вводят 7 г хлорида натрия. После этого раствор фильтруют через мембрану с размером отверстий 0,45 мкм, после чего вливают 49 мл метанола при температуре около 10°С. Затем раствор нагревают примерно до 20°С и взбалтывают в течение 15 мин. После этого добавляют 126 мл метанола и перемешивают в течение часа. Перемешивание останавливают и суспензию оставляют для осаждения на 20 мин. Отстоявшуюся жидкость отбирают и удаляют (105 мл). В образовавшийся осадок вводят 105 мл метанола и перемешивают в течение 5 мин. Оставляют для повторного образования осадка примерно на 25 мин. Отстоявшуюся жидкость отбирают и удаляют (110 мл). Осадок во взвешенном состоянии фильтруют через пористое стекло 3. Полученный белый осадок промывают 50 мл метанола. Влажное твердое вещество осушают, затем сушат при пониженном давлении (6 кПа) при температуре около 55°С. Сушат в течение 18 ч и получают 4,53 г чистого деполимеризованного гепарина (натриевую соль). Выход составляет 82%. Свойства деполимеризованного гепарина, полученного таким способом. Средняя молекулярная масса: 2600 Да Активность анти-Ха: 105 МЕд/мг Активность анти-IIa: 3,1 МЕд/мг Отношение активность анти-Ха/активность анти-IIa: 34 Пример 7 Деполимеризация и перевод в натриевую соль (2,5% воды) В коническую колбу А вводят 140 мл дихлорметана. При перемешивании медленно вводят 20 г (0,019 моля) сложного бензилового эфира гепарина (степень этерификации: 75%, соль бензетония), полученного как описано в примере А. Содержание воды в реакционной среде устанавливают равным 2,5%. После полного растворения добавляют 3,5 мл (0,012 моля) 2-трет-бутилимино-2-диэтиламино-1,3-диметилпергидро-1,2,3-диазафосфорина. Перемешивают при температуре около 20°С в течение 24 ч. В течение этого времени в конической колбе В готовят раствор 60 г безводного ацетата натрия в 600 мл метанола. После полного растворения в раствор вводят 10 г целита Hyflo supercel. При перемешивании магнитной мешалкой реакционную смесь из конической колбы А выливают в течение 1 мин 30 с в метанольный раствор ацетата натрия при температуре около 4°С. Перемешивают в течение 5 мин и оставляют суспензию для осаждения на 1 ч. Прозрачную часть отстоявшейся жидкости отбирают и удаляют (400 мл). В образовавшийся осадок вводят 400 мл метанола и перемешивают в течение 5 мин. Оставляют для повторного осаждения в течение примерно 30 мин. Прозрачную часть отстоявшейся жидкости отбирают и удаляют (400 мл). Осадок во взвешенном состоянии фильтруют через пористое стекло 3. Образовавшийся осадок промывают с помощью 200 мл метанола. Влажное твердое светло-желтое вещество осушают, затем сушат при пониженном давлении (6 кПа) при температуре около 50°С. Сушат в течение 18 ч и получают 7,78 г неочищенного деполимеризованного гепарина, натриевую соль в целите (10 г). Выход составляет 99,6%. Омыление В коническую колбу объемом 50 мл вводят 7,78 г (0,0119 моля) неочищенного деполимеризованного гепарина, натриевой соли в целите (10 г), полученного на предыдущей стадии, и 79 мл воды. Суспензию фильтруют через пористое стекло 3 и дважды промывают 15 мл воды. Полученный фильтрат помещают в коническую колбу объемом 150 мл. При перемешивании магнитной мешалкой вводят 1,3 мл (0,012 моля) 30% натрового щелока при температуре около 4°С. После этого смесь взбалтывают в течение 2 ч. Раствор нейтрализуют путем добавления 1н HCl и вводят 10 г хлорида натрия. В реакционную среду добавляют 60 мл метанола. Перемешивают в течение 15 мин и добавляют 190 мл метанола, затем перемешивают в течение часа. Перемешивание останавливают и суспензию оставляют для осаждения на 3/4 часа при температуре около 4°С. Отстоявшуюся жидкость отбирают и удаляют (180 мл). В образовавшийся осадок вводят 180 мл метанола и перемешивают в течение 5 мин. Оставляют на 20 мин для повторного осаждения. Отстоявшуюся жидкость отбирают и удаляют (180 мл). В образовавшийся осадок вводят 180 мл метанола и перемешивают в течение 5 мин. Осадок во взвешенном состоянии фильтруют через пористое стекло 3. Полученный осадок двукратно промывают 50 мл метанола. Влажное твердое вещество осушают, затем сушат при пониженном давлении (6 кПа) и при температуре около 50°С. Сушат в течение 18 ч и получают 5,87 г неочищенного деполимеризованного гепарина (натриевую соль). Выход составляет 82%. Очистка В коническую колбу объемом 100 мл вводят 5,87 г неочищенного деполимеризованного гепарина, полученного на предыдущей стадии, и 59 мл дистиллированной воды. Смесь нагревают до 40°С при перемешивании магнитной мешалкой. рН доводят до 9,7±0,1 путем добавления 1н гидроксида натрия. Реакционную среду фильтруют через мембрану с размером отверстий 0,45 мкм и вводят 0,34 мл 30% водного раствора пероксида водорода. Взбалтывают в течение 2 ч при температуре около 20°С, затем смесь нейтрализуют путем добавления 1н HCl и вводят 7 г хлорида натрия. После этого раствор фильтруют через мембрану с размером отверстий 0,45 мкм, после чего вливают 49 мл метанола при температуре около 10°С. Затем раствор нагревают примерно до 20°С и взбалтывают в течение 15 мин. После этого добавляют 126 мл метанола и перемешивают в течение часа. Перемешивание останавливают и суспензию оставляют для осаждения на 20 мин. Отстоявшуюся жидкость отбирают и удаляют (105 мл). В образовавшийся осадок вводят 105 мл метанола и перемешивают в течение 5 мин. Оставляют для повторного образования осадка примерно на 25 мин. Отстоявшуюся жидкость отбирают и удаляют (110 мл). Осадок во взвешенном состоянии фильтруют через пористое стекло 3. Полученный белый осадок промывают 50 мл метанола. Влажное твердое вещество осушают, затем сушат при пониженном давлении (6 кПа) при температуре около 55°С. Сушат в течение 18 ч и получают 5,21 г чистого деполимеризованного гепарина (натриевую соль). Выход составляет 89%. Свойства деполимериэованного гепарина, полученного таким способом. Средняя молекулярная масса: 3550 Да Активность анти-Ха: 99 МЕд/мг Активность анти-IIa: 13,4 МЕд/мг Отношение активность анти-Ха/активность анти-IIa: 7,4 Пример 8 Деполимеризация и перевод в натриевую соль (0,5 эквивалента основания) В коническую колбу А вводят 140 мл дихлорметана. При перемешивании медленно вводят 20 г (0,019 моля) сложного бензилового эфира гепарина (степень этерификации: 75%, соль бензетония), полученного как описано в примере А. После полного растворения при температуре около 30°С и охлаждения примерно до 20°С добавляют 1,75 мл (0,006 моля) 2-трет-бутилимино-2-диэтиламино-1,3-диметилпергидро-1,2,3-диазафосфорина. Перемешивают при температуре около 20°С в течение 24 ч. В течение этого времени в конической колбе В готовят раствор 60 г безводного ацетата натрия в 600 мл метанола. При перемешивании магнитной мешалкой реакционную смесь из конической колбы А выливают в метанольный раствор ацетата натрия при температуре около 4°С. Перемешивают в течение часа и оставляют суспензию для осаждения на 2 ч. Прозрачную часть отстоявшейся жидкости отбирают и удаляют (420 мл). В образовавшийся осадок вводят 420 мл метанола и перемешивают в течение 30 мин. Оставляют для повторного осаждения в течение примерно 18 ч. Прозрачную часть отстоявшейся жидкости отбирают и удаляют (400 мл). В образовавшийся осадок вводят 400 мл метанола и перемешивают в течение 30 мин. Отстоявшуюся жидкость отбирают и удаляют (400 мл). Осадок в взвешенном состоянии фильтруют через пористое стекло 3. Образовавшийся осадок двукратно промывают с помощью 100 мл метанола. Влажное твердое светло-желтое вещество осушают, затем сушат при пониженном давлении (6 кПа) при температуре около 60°С. После сушки получают 5,7 г неочищенного деполимеризованного гепарина, натриевую соль. Выход составляет 73%. Омыление В коническую колбу объемом 100 мл вводят 5,7 г (0,0086 моля) неочищенного деполимеризованного гепарина, натриевой соли, полученного на предыдущей стадии, и 53 мл воды. При перемешивании магнитной мешалкой вводят 0,93 мл (0,009 моля) 30% натрового щелока при температуре около 4°С. После этого смесь взбалтывают в течение 2 ч. Раствор нейтрализуют путем добавления 1н HCl и вводят 6 г хлорида натрия. В реакционную среду добавляют 42 мл метанола. Перемешивают в течение 15 мин и добавляют 108 мл метанола, затем перемешивают в течение 30 мин. Перемешивание останавливают и суспензию оставляют для осаждения на 30 мин при температуре около 4°С. Отстоявшуюся жидкость отбирают и удаляют (180 мл). В образовавшийся осадок вводят 180 мл метанола и перемешивают в течение 5 мин. Оставляют примерно на 30 мин для повторного осаждения. Отстоявшуюся жидкость отбирают и удаляют (170 мл). В образовавшийся осадок вводят 170 мл метанола и перемешивают в течение 30 мин. Осадок во взвешенном состоянии фильтруют через пористое стекло 3. Полученный осадок двукратно промывают 30 мл метанола. Влажное твердое вещество осушают, затем сушат при пониженном давлении и при температуре около 60°С. После сушки получают 3,5 г неочищенного деполимеризованного гепарина (натриевую соль). Выход составляет 67,4%. Очистка В коническую колбу объемом 100 мл вводят 3,5 г неочищенного деполимеризованного гепарина, полученного на предыдущей стадии, и 35 мл дистиллированной воды. Смесь нагревают до 40°С при перемешивании магнитной мешалкой. рН доводят до 9,6±0,1 путем добавления 1н гидроксида натрия. Реакционную среду фильтруют через мембрану с размером отверстий 0,45 мкм и вводят 0,18 мл 30% водного раствора пероксида водорода. Взбалтывают в течение 2 ч при температуре около 20°С, затем смесь нейтрализуют путем добавления 1н HCl и вводят 3,6 г хлорида натрия. После этого раствор фильтруют через мембрану с размером отверстий 0,45 мкм, после чего вливают 27 мл метанола при температуре около 10°С. Затем раствор нагревают до 20°С и взбалтывают в течение 15 мин. После этого добавляют 65 мл метанола и перемешивают в течение 30 мин. Перемешивание останавливают и суспензию оставляют для осаждения на 30 мин. Отстоявшуюся жидкость отбирают и удаляют (80 мл). В образовавшийся осадок вводят 80 мл метанола и перемешивают в течение 30 мин. Оставляют для повторного образования осадка примерно на 30 мин. Отстоявшуюся жидкость отбирают и удаляют (70 мл). В образовавшийся осадок вводят 70 мл метанола и перемешивают в течение 30 мин. Осадок во взвешенном состоянии фильтруют через пористое стекло 3. Полученный белый осадок дважды промывают 30 мл метанола. Влажное твердое вещество осушают, затем сушат при пониженном давлении и при температуре около 60°С. После сушки получают 2,8 г чистого деполимеризованного гепарина (натриевую соль). Выход составляет 80%. Свойства деполимеризованного гепарина, полученного таким способом. Средняя молекулярная масса: 2900 Да Активность анти-Ха: 146,1 МЕд/мг Активность анти-IIa: 5,1 МЕд/мг Отношение активность анти-Ха/активность анти-IIa: 28,6 Пример 9 Деполимеризация и перевод в натриевую соль (0,6 эквивалента основания) В трехгорлую колбу А вводят 280 мл дихлорметана. При перемешивании медленно вводят 40 г (0,024 моля) сложного бензилового эфира гепарина (степень этерификации: 75%, соль бензетония), полученного как описано в примере А. После полного растворения при температуре около 30°С и охлаждения примерно до 20°С добавляют 4,2 мл (0,014 моля) 2-трет-бутилимино-2-диэтиламино-1,3-диметилпергидро-1,2,3-диазафосфорина. Перемешивают при температуре около 20°С в течение 24 ч. В течение этого времени в конической колбе В готовят раствор 60 г безводного ацетата натрия в 600 мл метанола. При перемешивании магнитной мешалкой половину реакционной смеси из трехгорлой колбы А выливают в метанольный раствор ацетата натрия при температуре около 4°С. Перемешивают в течение часа и оставляют суспензию для осаждения. Прозрачную часть отстоявшейся жидкости отбирают и удаляют (310 мл). В образовавшийся осадок вводят 310 мл метанола и перемешивают в течение часа. Оставляют для повторного осаждения в течение примерно 18 ч. Прозрачную часть отстоявшейся жидкости отбирают и удаляют (400 мл). В образовавшийся осадок вводят 400 мл метанола и перемешивают в течение часа. Отстоявшуюся жидкость отбирают и удаляют (300 мл). Осадок во взвешенном состоянии фильтруют через пористое стекло 3. Образовавшийся осадок дважды промывают с помощью 100 мл метанола. Влажное твердое светло-желтое вещество осушают, затем сушат при пониженном давлении и при температуре около 60°С. После сушки получают 6 г неочищенного деполимеризованного гепарина, натриевую соль. Выход составляет 77%. Омыление В коническую колбу объемом 250 мл вводят 6 г (0,0091 моля) неочищенного деполимеризованного гепарина (натриевая соль), полученного на предыдущей стадии, и 56 мл воды. При перемешивании магнитной мешалкой вводят 1 мл (0,010 моля) 30% натрового щелока при температуре около 4°С. После этого смесь взбалтывают в течение 2 ч. Раствор нейтрализуют путем добавления 1н HCl, и вводят 6,4 г хлорида натрия. В реакционную среду добавляют 45 мл метанола. Перемешивают в течение 15 мин и добавляют 115 мл метанола, затем перемешивают в течение 30 мин. Перемешивание останавливают и суспензию оставляют для осаждения на 30 мин при температуре около 4°С. Отстоявшуюся жидкость отбирают и удаляют (170 мл). В образовавшийся осадок вводят 170 мл метанола и перемешивают в течение 30 мин. Оставляют примерно на 30 мин для повторного осаждения. Отстоявшуюся жидкость отбирают и удаляют (140 мл). В образовавшийся осадок вводят 140 мл метанола и перемешивают в течение 30 мин. Осадок во взвешенном состоянии фильтруют через пористое стекло 3. Полученный осадок двукратно промывают 30 мл метанола. Влажное твердое вещество осушают, затем сушат при пониженном давлении и при температуре около 60°С. После сушки получают 3,6 г неочищенного деполимеризованного гепарина (натриевую соль). Выход составляет 65,3%. Очистка В коническую колбу объемом 100 мл вводят 3,5 г неочищенного деполимеризованного гепарина, полученного на предыдущей стадии, и 35 мл дистиллированной воды. Смесь нагревают до 40°С при перемешивании магнитной мешалкой. рН доводят до 9,6±0,1 путем добавления 1н гидроксида натрия. Реакционную среду фильтруют через мембрану с размером отверстий 0,45 мкм и вводят 0,18 мл 30% водного раствора пероксида водорода. Взбалтывают в течение 2 ч при температуре около 20°С, затем смесь нейтрализуют путем добавления 1н HCl и вводят 3,5 г хлорида натрия. После этого раствор фильтруют через мембрану с размером отверстий 0,45 мкм, после чего вливают 25 мл метанола при температуре около 10°С. Затем раствор нагревают примерно до 20°С и взбалтывают в течение 15 мин. После этого добавляют 63 мл метанола и перемешивают в течение 30 мин. Перемешивание останавливают и суспензию оставляют для осаждения на 30 мин. Отстоявшуюся жидкость отбирают и удаляют (70 мл). В образовавшийся осадок вводят 70 мл метанола и перемешивают в течение 30 мин. Оставляют для повторного образования осадка на несколько минут. Осадок во взвешенном состоянии фильтруют через пористое стекло 3. Полученный белый осадок двукратно промывают 30 мл метанола. Влажное твердое вещество осушают, затем сушат при пониженном давлении и при температуре около 60°С. После сушки получают 2,5 г чистого деполимеризованного гепарина (натриевую соль). Выход составляет 71,4%. Свойства деполимеризованного гепарина, полученного таким способом. Средняя молекулярная масса: 2600 Да Активность анти-Ха: 150,5 МЕд/мг Активность анти-IIa: 3,2 МЕд/мг Отношение активность анти-Ха/активность анти-IIa: 47 Пример 10 Деполимеризация и перевод в натриевую соль (0,8 эквивалента основания) В коническую колбу А вводят 70 мл дихлорметана. При перемешивании медленно вводят 10 г (0,006 моля) сложного бензилового эфира гепарина (степень этерификации: 75%, соль бензетония), полученного как описано в примере А. После полного растворения при температуре около 30°С и охлаждения примерно до 20°С добавляют 1,38 мл (0,004 моля) 2-трет-бутилимино-2-диэтиламино-1,3-диметилпергидро-1,2,3-диазафосфорина. Перемешивают при температуре около 20°С в течение 24 ч. В течение этого времени в конической колбе В готовят раствор 30 г безводного ацетата натрия в 300 мл метанола. При перемешивании магнитной мешалкой реакционную смесь из конической колбы А выливают в течение 1 мин 15 с в метанольный раствор ацетата натрия при температуре около 4°С. Перемешивают в течение 5 мин и оставляют суспензию для осаждения на час. Прозрачную часть отстоявшейся жидкости отбирают и удаляют (190 мл). В образовавшийся осадок вводят 190 мл метанола и перемешивают в течение 5 мин. Оставляют для повторного осаждения примерно на 30 мин. Прозрачную часть отстоявшейся жидкости отбирают и удаляют (190 мл). В образовавшийся осадок вводят 190 мл метанола и перемешивают в течение 30 мин. Отстоявшуюся жидкость отбирают и удаляют (190 мл). Осадок во взвешенном состоянии фильтруют через пористое стекло 3. Образовавшийся осадок промывают с помощью 150 мл метанола. Влажное твердое светло-желтое вещество осушают, затем сушат при пониженном давлении (6 кПа) и при температуре около 4О°С. Сушат в течение 18 ч и получают 3,05 г неочищенного деполимеризованного гепарина (натриевую соль). Выход составляет 80%. Омыление В коническую колбу объемом 100 мл вводят 3,05 г (0,0048 моля) неочищенного деполимеризованного гепарина (натриевая соль), полученного на предыдущей стадии, и 21 мл воды. Раствор фильтруют через пористое стекло 3 и двукратно промывают с помощью 6 мл воды. Полученный фильтрат помещают в коническую колбу объемом 150 мл. При перемешивании магнитной мешалкой вводят 0,6 мл (0,006 моля) 30% натрового щелока при температуре около 4°С. После этого смесь взбалтывают в течение 2 ч. Раствор нейтрализуют путем добавления 1н HCl и вводят 4 г хлорида натрия. В реакционную среду добавляют 28 мл метанола. Перемешивают в течение 15 мин и добавляют 72 мл метанола, затем перемешивают в течение 1 ч. Перемешивание останавливают и суспензию оставляют для осаждения на 30 мин при температуре около 4°С. Отстоявшуюся жидкость отбирают и удаляют (80 мл). В образовавшийся осадок вводят 80 мл метанола и перемешивают в течение 5 мин. Оставляют примерно на 30 мин для повторного осаждения. Отстоявшуюся жидкость отбирают и удаляют (80 мл). В образовавшийся осадок вводят 80 мл метанола и перемешивают в течение 30 мин. Осадок во взвешенном состоянии фильтруют через пористое стекло 3. Полученный осадок промывают 50 мл метанола. Влажное твердое вещество осушают, затем сушат при пониженном давлении (6 кПа) и при температуре около 40°С. После сушки получают 1,6 г неочищенного деполимеризованного гепарина (натриевую соль). Выход составляет 57%. Очистка В коническую колбу объемом 50 мл вводят 1,6 г неочищенного деполимеризованного гепарина/ полученного на предыдущей стадии, и 16 мл дистиллированной воды. Смесь нагревают до 40°С при перемешивании магнитной мешалкой. рН доводят до 9,6±0,1 путем добавления 1н гидроксида натрия. Реакционную среду фильтруют через мембрану с размером отверстий 0,45 мкм и вводят 0,08 мл 30% водного раствора пероксида водорода. Взбалтывают в течение 2 ч при температуре около 20°С, затем смесь нейтрализуют путем добавления 1н HCl и вводят 2 г хлорида натрия. После этого раствор фильтруют через мембрану с размером отверстий 0,45 мкм, после чего вливают 14 мл метанола при температуре около 10°С. Затем раствор нагревают до 20°С и взбалтывают в течение 15 мин. После этого добавляют 36 мл метанола и перемешивают в течение одного часа. Перемешивание останавливают и суспензию оставляют для осаждения на 30 мин. Отстоявшуюся жидкость отбирают и удаляют (50 мл). В образовавшийся осадок вводят 50 мл метанола и перемешивают в течение 5 минут. Оставляют для повторного образования осадка примерно на 30 мин. Отстоявшуюся жидкость отбирают и удаляют (50 мл). Осадок во взвешенном состоянии фильтруют через пористое стекло 3. Полученное влажное твердое вещество осушают, затем сушат при пониженном давлении (6 кПа) и при температуре около 40°С. После сушки получают 1,25 г чистого деполимеризованного гепарина (натриевую соль). Выход составляет 78%. Свойства деполимеризованного гепарина, полученного таким способом. Средняя молекулярная масса: 2400 Да Активность анти-Ха: 154,3 МЕд/мг Активность анти-IIa: 1,6 МЕд/мг Отношение активность анти-Ха/активность анти-IIa: 96,4 Пример 11 Деполимеризация и перевод в натриевую соль В коническую колбу А вводят 140 мл дихлорметана. При перемешивании медленно вводят 20 г (0,019 моля) сложного бензилового эфира гепарина (степень этерификации: 75%, соль бензетония), полученного как описано в примере А. После полного растворения при температуре около 40°С и охлаждения до 20°С добавляют 3,5 мл (0,011 моля) трет-бутилиминотри(пирролидин)фосфорана. Перемешивают при температуре около 20°С в течение 24 ч. В течение этого времени в конической колбе В готовят раствор 60 г безводного ацетата натрия в 600 мл метанола. После полного растворения в раствор вводят 10 г целита Hyflo supercel. При перемешивании магнитной мешалкой реакционную смесь из конической колбы А выливают в течение 1 мин 30 с в метанольный раствор ацетата натрия при температуре около 4°С. Перемешивают в течение 5 мин и оставляют суспензию для осаждения на 30 мин. Прозрачную часть отстоявшейся жидкости отбирают и удаляют (400 мл). В образовавшийся осадок вводят 400 мл метанола и перемешивают в течение 5 мин. Оставляют для повторного осаждения в течение примерно на 1 ч 20 мин. Отстоявшуюся жидкость отбирают и удаляют (250 мл). В образовавшийся осадок вводят 250 мл метанола и перемешивают в течение 5 мин. Осадок в взвешенном состоянии фильтруют через пористое стекло 3. Образовавшийся осадок промывают с помощью 200 мл метанола. Влажное твердое светло-желтое вещество осушают, затем сушат при пониженном давлении (6 кПа) при температуре около 40°С. после сушки получают 5,39 г деполимеризованного гепарина (сложный бензиловый эфир, натриевая соль). Выход составляет 69%. Омыление В коническую колбу объемом 50 мл вводят 5 г (0,0076 моля) деполимеризованного гепарина (сложный бензиловый эфир, натриевая соль), полученного на предыдущей стадии, и 35 мл воды. Раствор фильтруют через пористое стекло 3 и дважды промывают 10 мл воды. Полученный фильтрат помещают в коническую колбу объемом 250 мл. При перемешивании магнитной мешалкой вводят 1 мл (0,01 моля) 30% натрового щелока при температуре около 4°С. После этого смесь взбалтывают в течение 2 ч. Раствор нейтрализуют путем добавления 1н HCl и вводят 6 г хлорида натрия. В реакционную среду добавляют 42 мл метанола. Перемешивают в течение 15 минут и добавляют 104 мл метанола, затем перемешивают в течение 15 мин. Перемешивание останавливают и суспензию оставляют для осаждения на час при температуре около 4°С. Отстоявшуюся жидкость отбирают и удаляют (140 мл). В образовавшийся осадок вводят 140 мл метанола и перемешивают в течение 5 мин. Оставляют на 45 мин для повторного осаждения. Отстоявшуюся жидкость отбирают и удаляют (160 мл). В образовавшийся осадок вводят 160 мл метанола и перемешивают в течение 5 мин. Осадок во взвешенном состоянии фильтруют через пористое стекло 3. Полученный осадок двукратно промывают 100 мл метанола. Влажное твердое вещество осушают, затем сушат при пониженном давлении (6 кПа) и при температуре около 40°С. Сушат в течение 48 ч и получают 2,7 г неочищенного деполимеризованного гепарина (натриевую соль). Выход составляет 59%. Очистка В коническую колбу объемом 50 мл вводят 2,6 г неочищенного деполимеризованного гепарина, полученного на предыдущей стадии, и 25 мл дистиллированной воды. Смесь нагревают до 40°С при перемешивании магнитной мешалкой. рН доводят до 9,7±0,1 путем добавления 1н гидроксида натрия. Реакционную среду фильтруют через мембрану с размером отверстий 0,45 мкм и вводят 0,15 мл 30% водного раствора пероксида водорода. Взбалтывают в течение 2 ч при температуре около 20°С, затем смесь нейтрализуют путем добавления 1н HCl и вводят 3 г хлорида натрия. После этого раствор фильтруют через мембрану с размером отверстий 0,45 мкм, после чего вливают 21 мл метанола при температуре около 10°С. Затем раствор нагревают примерно до 20°С и взбалтывают в течение 15 мин. После этого добавляют 54 мл метанола и перемешивают в течение 1 ч. Перемешивание останавливают и суспензию оставляют для осаждения на 20 мин. Отстоявшуюся жидкость отбирают и удаляют (50 мл). В образовавшийся осадок вводят 50 мл метанола и перемешивают 5 мин. Оставляют для повторного осаждения примерно на 20 мин. Отстоявшуюся жидкость отбирают и удаляют (50 мл). Осадок во взвешенном состоянии фильтруют через пористое стекло 3. Полученный белый осадок промывают 50 мл метанола. Влажное твердое вещество осушают, затем сушат при пониженном давлении (6 кПа) при температуре около 40°С. Сушат в течение 18 ч и получают 2,35 г чистого деполимеризованного гепарина (натриевую соль). Выход составляет 90%. Свойства деполимеризованного гепарина, полученного таким способом. Средняя молекулярная масса: 2400 Да Активность анти-Ха: 167,5 МЕд/мг Активность анти-IIa: 1,1 МЕд/мг Отношение активность анти-Ха/активность анти-IIa: 152 Пример 12 Деполимеризация и перевод в натриевую соль (0,05% воды) В коническую колбу вводят 140 мл дихлорметана. При перемешивании медленно вводят 20 г (0,019 моля) сложного бензилового эфира гепарина (степень этерификации: 75%, соль бензетония), полученного как описано в примере А. В реакционную среду вводят 20 г цеолита 4 А и содержание воды доводят до 0,05% при медленном перемешивании в течение 48 ч. Отстоявшуюся жидкость перемещают в условиях инертной атмосферы в коническую колбу А. После полного растворения добавляют 3,5 мл (0,012 моля) 2-трет-бутилимино-2-диэтиламино-1,3-диметилпергидро-1,2,3-диазафосфорина. Перемешивают при температуре около 20°С в течение 24 ч. В течение этого времени в конической колбе В готовят раствор 60 г безводного ацетата натрия в 600 мл метанола. После полного растворения в раствор вводят 10 г целита Hyflo suprecel. При перемешивании магнитной мешалкой реакционную смесь из конической колбы А выливают в течение примерно 2 мин в метанольный раствор ацетата натрия при температуре около 4°С. Перемешивают в течение 15 мин и оставляют суспензию для осаждения на час. Прозрачную часть отстоявшейся жидкости отбирают и удаляют (420 мл). В образовавшийся осадок вводят 420 мл метанола и перемешивают в течение 15 мин. Оставляют для повторного осаждения в течение примерно часа. Отстоявшуюся жидкость отбирают и удаляют (450 мл). В образовавшийся осадок вводят 450 мл метанола и перемешивают в течение 15 мин. Затем осадок фильтруют через пористое стекло 3. Образовавшийся осадок промывают с помощью 200 мл метанола. Влажное твердое светло-желтое вещество осушают, затем сушат при пониженном давлении (6 кПа) при температуре около 50°С. Сушат в течение 16 ч и получают 5,36 г неочищенного деполимеризованного гепарина, натриевую соль в целите (10 г.). Выход составляет 68,6%. Омыление В коническую колбу объемом 50 мл вводят 5,36 г (0,00817 моля) неочищенного деполимеризованного гепарина, полученного на предыдущей стадии, и 50 мл воды. Суспензию фильтруют через пористое стекло 3 и четырехкратно промывают 15 мл воды. Полученный фильтрат помещают в коническую колбу объемом 150 мл. При перемешивании магнитной мешалкой вводят 1,01 мл (0,0122 моля) 35% натрового щелока при температуре около 4°С. После этого смесь взбалтывают в течение 3 ч. Раствор нейтрализуют путем добавления 1н HCl и вводят 11 г хлорида натрия. В реакционную среду добавляют 77 мл метанола. Перемешивают в течение 15 мин и добавляют 200 мл метанола, затем перемешивают в течение часа. Перемешивание останавливают и суспензию оставляют для осаждения на час при температуре около 4°С. Отстоявшуюся жидкость отбирают и удаляют (240 мл). В образовавшийся осадок вводят 240 мл метанола и перемешивают в течение 10 мин. Оставляют на 30 мин для повторного осаждения. Отстоявшуюся жидкость отбирают и удаляют (225 мл). В образовавшийся осадок вводят 225 мл метанола и перемешивают в течение 10 мин. Суспензию фильтруют через пористое стекло 3. Полученный осадок двукратно промывают 50 мл метанола. Влажное твердое вещество осушают, затем сушат при пониженном давлении (6 кПа) и при температуре около 4О°С. Сушат в течение 18 ч и получают 2,65 г неочищенного деполимеризованного гепарина (натриевую соль). Выход составляет 53,7%. Очистка В коническую колбу объемом 100 мл вводят 2,65 г неочищенного деполимеризованного гепарина, полученного на предыдущей стадии, и 26,5 мл дистиллированной воды. Смесь нагревают до 40°С при перемешивании магнитной мешалкой. рН доводят до 9,7±0,1 путем добавления 1н гидроксида натрия. Реакционную среду фильтруют через мембрану с размером отверстий 0,45 мкм и вводят 0,25 мл 30% водного раствора пероксида водорода. Взбалтывают в течение 2 ч при температуре около 20°С, затем смесь нейтрализуют путем добавления 1н HCl и вводят 3 г хлорида натрия. После этого раствор фильтруют через мембрану с размером отверстий 0,45 мкм, после чего вливают 21 мл метанола при температуре около 10°С. Затем раствор нагревают примерно до 20°С и перемешивают в течение 15 мин. После этого добавляют 54 мл метанола и перемешивают в течение часа. Перемешивание останавливают и суспензию оставляют для осаждения на 45 минут. Отстоявшуюся жидкость отбирают и удаляют (46 мл). В образовавшийся осадок вводят 46 мл метанола и перемешивают в течение 5 мин. Оставляют для повторного образования осадка примерно на 30 мин. Отстоявшуюся жидкость отбирают и удаляют (50 мл). Добавляют 50 мл метанола и осадок во взвешенном состоянии фильтруют через пористое стекло 4. Полученный белый осадок промывают двумя порциями по 10 мл метанола каждая. Влажное твердое вещество осушают, затем сушат при пониженном давлении (6 кПа) при температуре около 50°С. Сушат в течение 18 ч и получают 2,363 г чистого деполимеризованного гепарина (натриевую соль). Выход составляет 89,1%. Свойства деполимеризованного гепарина, полученного таким способом. Средняя молекулярная масса: 2500 Да Активность анти-Ха: 192 МЕд/мг Активность анти-IIa: 1,3 МЕд/мг Отношение активность анти-Ха/активность анти-IIa: 148
Формула изобретения
1. Смеси сульфатированных олигосахаридов, имеющие общую структуру полисахаридов, входящих в состав гепарина, обладающие следующими признаками: их среднемолекулярная масса составляет от 1500 до 3000 Да, активность анти-Ха составляет от 150 до 200 МЕд/мг, активность анти-IIa ниже 10 МЕд/мг и отношение анти-Ха/анти-IIa выше 30, олигосахариды, входящие в состав смесей содержат от 2 до 26 сахаридных звеньев, одна из их концевых групп является звеном 2-0-сульфата ненасыщенной 4,5-уроновой кислоты, содержат гексасахаридную фракцию, составляющую от 15 до 25% смесей олигосахаридов, содержат в гексасахаридной фракции от 8 до 15% гексасахарида и имеют форму соли щелочного или щелочноземельного металла. 2. Смесь олигосахаридов по п.1, отличающаяся тем, что соль щелочного или щелочноземельного металла выбирают из солей натрия, калия, кальция и магния. 3. Смесь олигосахаридов по любому из пп.1 и 2, отличающаяся тем, что активность анти-IIa ниже 5 МЕд/мг и в частности составляет от 0,5 до 3,5 МЕд/мг. 4. Смеси олигосахаридов по любому из пп.1-3, отличающиеся тем, что они имеют отношение активность анти-Ха/активность анти-IIa выше 50 и в частности выше 100. 5. Смеси олигосахаридов по любому пп.1-4, отличающиеся тем, что их среднемолекулярная масса составляет от 2000 до 3000 Да и в частности от 2400 до 2650 Да. 6. Смесь олигосахаридов по любому из пп.1-5, отличающаяся тем, что ее активность анти-Ха составляет от 150 до 200 МЕд/мг, активность анти-IIa составляет от 0,5 до 3,5 МЕд/мг и среднемолекулярная масса составляет от 2400 до 2650 Да. 7. Способ получения смесей олигосахаридов по любому из пп.1-6, в ходе которого проводят деполимеризацию соли четвертичного аммония сложного бензилового эфира гепарина в органической среде в присутствии сильного органического основания, рКа которого выше 20, отличающийся тем, что используемое сильное органическое основание относится к семейству фосфазенов, в частности, в растворе дихлорметана, содержащего менее 0,3% воды. 8. Способ получения по п.7 смесей олигосахаридов по п.1, отличающийся тем, что содержание воды составляет менее 0,2%. 9. Способ получения по п.7 или 8, отличающийся тем, что соль четвертичного аммония сложного бензилового эфира гепарина является солью бензетония, цетилпиридиния или цетилтриметиламмония. 10. Способ получения по п.7 или 8, отличающийся тем, что основания семейства фосфазенов имеют формулу
в которой радикалы R1-R7, одинаковые или разные, обозначают линейные или разветвленные алкильные радикалы, содержащие от 1 до 6 атомов углерода. 11. Способ получения по п.10, отличающийся тем, что основание семейства фосфазенов, используемое на стадии деполимеризации, представляет собой 2-трет-бутилимино-2-диэтиламино-1,3-диметилпергидро-1,3,2-диазафосфорин или трет-бутилиминотри(пирролидино)фосфоран. 12. Способ получения по п.7 или 8, отличающийся тем, что молярное отношение сильное основание/сложный эфир составляет от 0,2 до 5 и предпочтительно от 0,6 до 2. 13. Способ получения олигосахаридов по любому из пп.1-6 из гепаринов, включающий в себя следующие стадии: a) перевод в соль гепарина натрия под действием хлорида бензетония, b) этерификация полученного гепарината бензетония под действием бензилхлорида, c) перевод полученного сложного бензилового эфира в соль четвертичного аммония, d) деполимеризация соли четвертичного аммония сложного бензилового эфира гепарина способом, описанным в п.10 или 11, e) перевод соли четвертичного аммония в натриевую соль, f) возможно омыление гепарина под действием основания, такого как гидроксид натрия, g) возможно очистка, в частности, при помощи окислителя, такого как пероксид водорода. 14. Способ по п.13, отличающийся тем, что реакцию на стадии а) осуществляют действием избыточного количества хлорида безетония на натриевый гепарин при температуре примерно от 15 до 25°С и молярном отношении соль/натриевый гепарин от 3 до 4. 15. Способ по п.13, отличающийся тем, что на стадии b) этерификацию осуществляют в органическом хлорированном растворе, таком как хлороформ или метиленхлорид при температуре от 25 до 45°С, предпочтительно от 30 до 40°С, и затем сложный эфир в форме натриевой соли получают путем осаждения с помощью 10 мас.% ацетата натрия в спирте, таком как метанол, из расчета от 1 до 1,2 объемной доли спирта на объемную долю реакционной среды. 16. Способ по п.13 или 15, отличающийся тем, что степень этерификации соли четвертичного аммония сложного бензилового эфира гепарина составляет от 50 до 100% и предпочтительно от 70 до 90%. 17. Способ по пп.13, 15 или 16, отличающийся тем, что используют от 0,5 до 1,5 мас. ч. бензилхлорида на 1 мас. ч. соли бензетония гепарина при продолжительности реакции от 10 до 35 ч. 18. Способ по п.13, отличающийся тем, что перевод в соль на стадии с) осуществляют с помощью хлорида четвертичного аммония и предпочтительно с помощью хлорида бензетония, хлорида цетилпиридиния или хлорида цетилтриметиламмония в водной среде при температуре от 10 до 25°С. 19. Способ по п.18, отличающийся тем, что молярное отношение хлорид четвертичного аммония/натриевая соль сложного бензилового эфира гепарина составляет от 2 до 3. 20. Способ по п.13, отличающийся тем, что перевод в натриевую соль четвертичного аммония сложного бензилового эфира деполимеризованного гепарина (стадия е) осуществляют путем обработки реакционной среды спиртовым раствором ацетата натрия и предпочтительно 10%-ным раствором ацетата натрия в метаноле (масса/объем) при температуре от 15 до 25°С. 21. Способ по п.13, отличающийся тем, что омыление (стадия f) осуществляют с помощью гидроксида щелочного металла, такого как гидроксид натрия, калия, гидроксид лития, в водной среде при температуре от 0 до 20°С и предпочтительно от 0 до 10°С. 22. Способ по п.21, отличающийся тем, что используют от 1 до 5 молярных эквивалентов гидроксида щелочного металла, предпочтительно от 1 до 2 молярных эквивалентов гидроксида натрия. 23. Способ по п.13, отличающийся тем, что очистку (стадия g) осуществляют с помощью пероксида водорода в водной среде при температуре от 10 до 50°С, предпочтительно от 20 до 40°С. 24. Олигосахариды по любому из пп.1-6 в качестве лекарственного средства, обладающего антитромботической активностью. 25. Применение олигосахаридов по любому из пп.1-6 для получения лекарственного средства, обладающего антитромботической активностью. 26. Применение по п.25 для получения лекарственного средства для лечения или профилактики венозных и артериальных тромбозов, глубокого венозного тромбоза, легочной эмболии, нестабильной стенокардии, инфаркта миокарда, ишемии сердца, закупорки периферических артерий, фибрилляции предсердий, пролиферации клеток гладкой мускулатуры, атеросклероза и артериосклероза, рака путем модуляции ангиогенеза и факторов роста, и диабетических расстройств, таких как диабетическая ретинопатия и диабетическая нефропатия. 27. Антитромботические фармацевтические композиции, содержащие олигосахариды по любому из пп.1-6 и один или несколько эксципиентов, или наполнителей, или добавок, инертных в фармацевтическом отношении. 28. Фармацевтические композиции по п.27, отличающиеся тем, что они являются растворами для подкожных или внутривенных инъекций. 29. Фармацевтические композиции по п.28, отличающиеся тем, что они являются препаратами для ингаляций, предназначенными для введения через легкие. 30. Фармацевтические композиции по п.28, отличающиеся тем, что они являются препаратами, предназначенными для перорального введения. 31. Смеси олигосахаридов по любому из пп.1-6, которые могут быть получены способом по п.13.
|
|||||||||||||||||||||||||||||||||||||||||||||||||

IIa-IIs-Is формулы
3



-L-трео-гексенпиранозилуроновая(1
4)-2-дезокси-2-ацетамидо-6-O-сульфо-
-D-глюкопиранозилуроновая-(1
