Патент на изобретение №2332422
|
||||||||||||||||||||||||||||||||||||||||||||||||||||||||||||||||||||||||||||||||||||||||||||||||||||||||||||||||||||||||||||||||||||||||||||||||||||||||||||||||||||||||||||||||||||||||||||||||||||||||||||||||||||||||||||||||||||||||||||||||||||||||||||||||||||||||||||||||||||||||||||||||||||||||||||||||||||||||||||||||||||
(54) ПРИМЕНЕНИЕ КРЕМНИЙОРГАНИЧЕСКОГО АМИНА В КАЧЕСТВЕ МНОГОФУНКЦИОНАЛЬНОЙ ДОБАВКИ ДЛЯ ВСПЕНЕННЫХ ПОЛИУРЕТАНОВЫХ КОМПОЗИЦИЙ
(57) Реферат:
Изобретение относится к применению кремнийорганического амина в качестве многофункциональной добавки для полиуретановых композиций. Описывается кремнийорганический амин общей формулы: или R R’ – насыщенный углеводород СnНm (n=2-8). 3 табл.
Изобретение относится к технологии получения пенополиуретанов. Известна композиция для получения жесткого пенополиуретана (авт.св. №745909, кл. С08G 18/14, С08L 75/08, 1980, Бюл. №25), которая содержит, мас.ч.:
Блок-сополимер полиорганосилоксана
В известной композиции используют N’-тетраоксипропилендиамин в качестве азотосодержащего катализатора, а блок-сополимер полиорганосилоксана и полиоксисилоксана в качестве поверхностноактивного вещества – пенорегулятора. Известна гидроксилсодержащая композиция для получения эластичного пенополиуретана (пат. RU №2143442, кл. С08G 18/48, С08L 75/08, 1999, Бюл. №36), которая содержит компоненты, масс.ч.:
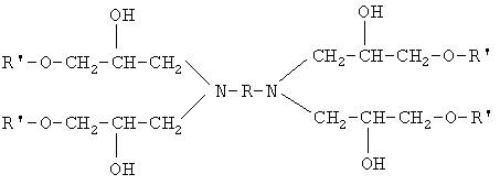
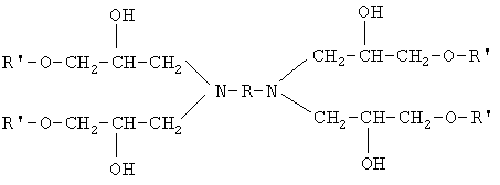
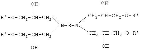
В известной композиции азотсодержащий катализатор и кремнийорганический пеностабилизатор – два продукта, имеющие разные химические формулы, свойства и назначение. Известна композиция для получения жесткого пенополуретана (авт.св. №1654316, кл. С08L 75/08, 1991, Бюл. №21), в которой смесь простых полиэфиров смешивают с глицерином, кремнийорганическим пенорегулятором, водой, трихлорфторметаном, трис-(2-хлорэтил)-фосфатом и диметилэтаноламином. Затем гидроксилсодержащий компонент с полиизоцианатом интенсивно смешивают. В композиции азотсодержащий катализатор, кремнийорганический пеностабилизатор и сшивающий агент являются разными продуктами. В качестве продукта, выполняющего как минимум две функции азотсодержащего катализатора и кремнийорганического пеностабилизатора, в пенополиуретановых композициях может быть использован кремнийорганический амин где R и R’ – радикалы. Кроме того, кремнийорганический амин может быть использован вместо сшивающего агента – глицерина, однако полностью заменить глицерин не может. Кремнийорганический амин получают следующим образом: 1 моль кремнийорганического амина АСОТ-2 (ТУ 6-02-1250-83), КрООТ-1 (пат. RU №223006, кл. С07F 7/10, 2004, Бюл. №16) перемешивают с 4 молями моноглицидилового эфира (бутилглицидилового (БГЭ) или 2 этилгексилглицидилового (Лапроксид 301Г) или другого эфира). Реакцию ведут при перемешивании в течение 10-14 часов. Полученные вещества имеют следующие свойства (таблица 1). Характеристики кремнийорганических аминов.
При использовании кремнийорганического амина заявляемой формулы получен положительный эффект в композициях для получения жесткого эластичного пенополиуретана. Вместо азотсодержащего катализатора и кремнийорганического поверхностно-активного вещества – пеностабилизатора – было использовано одно вещество – кремнийорганический амин. Отмеченный эффект использования кремнийорганического амина связан с его химическим строением и способностью выполнять многофункциональные действия. Это обусловлено, с одной стороны, способностью гидроксилсодержащих третичных аминов вступать в химическое взаимодействие с изоцианатной группой с образованием уретана или уретановой связи. С другой стороны, поверхностное натяжение, свойственное кремнийорганическому амину, близко для кремнийорганических блок-сополимеров типа КЭП-2 (ТУ 6-02-813-73), Tegostab EP-K-11 и других подобных материалов. Гидроксилсодержащий компонент хорошо смешивается с другими ингредиентами, и смесь стабильна во времени. Гидроксильные группы кремнийорганического амина, хотя и вступают в химическую реакцию сеткообразования жесткого пенополиуретана, однако их количество недостаточное для полной замены гидроксильных групп глицерина, поэтому глицерин может быть заменен только частично. Опыты, приведенные в таблицах 1 и 2, подтверждают вышевысказанные положения о применении кремнийорганического амина формулы где R и R’ – радикалы, как многофункциональной добавки в гидроксилсодержащий компонент, способствующий пенополиуретанообразованию, позволяющей достичь стабилизирующего действия пенообразования, однородность пены и прочностные показатели пенополиуретана при упрощении состава композиции.
Формула изобретения
Применение кремнийорганического амина a R’ – насыщенный углеводород СnНm (n=2-8) в качестве многофункциональной добавки для вспененных полиуретановых композиций.
MM4A – Досрочное прекращение действия патента СССР или патента Российской Федерации на изобретение из-за неуплаты в установленный срок пошлины за поддержание патента в силе
Дата прекращения действия патента: 24.05.2008
Извещение опубликовано: 10.06.2010 БИ: 16/2010
|
||||||||||||||||||||||||||||||||||||||||||||||||||||||||||||||||||||||||||||||||||||||||||||||||||||||||||||||||||||||||||||||||||||||||||||||||||||||||||||||||||||||||||||||||||||||||||||||||||||||||||||||||||||||||||||||||||||||||||||||||||||||||||||||||||||||||||||||||||||||||||||||||||||||||||||||||||||||||||||||||||||







