|
|
(21), (22) Заявка: 2007106408/04, 21.02.2007
(24) Дата начала отсчета срока действия патента:
23.05.2006
(46) Опубликовано: 27.08.2008
(56) Список документов, цитированных в отчете о поиске:
DE 2462471 A,26.05.1977. DE 2408603 A, 26.09.1974. Indian Journal of Heterocyclic Chemistry, 2005, 15(2), 113-116. J.Am. Chem. Soc., 1949, 71, p.609-612. EP 195734 A1, 24.09.1986. RU 2214405 C1, 20.10.2003.
(62) Номер и дата подачи первоначальной заявки, из которой данная заявка выделена: 2006117558 23.05.2006
Адрес для переписки:
141400, Московская обл., г. Химки, ул. Рабочая, 2а, корп.1, ЦВТ”ХимРар”, пат.отдел
|
(72) Автор(ы):
Иващенко Александр Васильевич (US), Иващенко Андрей Александрович (RU), Ленева Ирина Анатольевна (RU), Савчук Николай Филиппович (RU)
(73) Патентообладатель(и):
АЛЛА ХЕМ, ЛЛС (US), Закрытое акционерное общество “Мастерклон” (RU)
|
(54) АКТИВНЫЕ СУБСТАНЦИИ, ФАРМАЦЕВТИЧЕСКАЯ КОМПОЗИЦИЯ, СПОСОБ ПОЛУЧЕНИЯ И ПРИМЕНЕНИЯ
(57) Реферат:
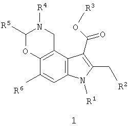
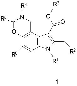
Настоящее изобретение относится к применению в качестве субстанций фармацевтических композиций, обладающих активностью против вирусов гриппа, замещенных эфиров 1,2,3,7-тетрагидро-пирроло[3,2-f][1,3]бензоксазин-5-карбоновых кислот общей формулы 1 или их рацематов, или их оптических изомеров, или их фармацевтически приемлемых солей и/или гидратов:

где: R1 и R4 независимо друг от друга представляют собой заместитель аминогруппы, выбранный из водорода, необязательно замещенного линейного или разветвленного алкила, содержащего 3-12 атомов углерода, необязательно замещенного циклоалкила, содержащего 3-10 атомов углерода, необязательно замещенного арила или необязательно замещенного и возможно аннелированного гетероциклила, который может быть ароматическим или неароматическим и содержать от 3 до 10 атомов в кольце, с одним или несколькими гетероатомами, выбранными из азота, кислорода или серы или их оксидов; R2 представляет собой алкильный заместитель, выбранный из водорода, необязательно замещенной меркаптогруппы, необязательно замещенной аминогруппы, необязательно замещенного гидроксила; R3 представляет собой низший алкил; R5 представляет собой заместитель циклической системы, выбранный из водорода, необязательно замещенного линейного или разветвленного алкила, содержащего 3-12 атомов углерода, необязательно замещенного циклоалкила, содержащего 3-10 атомов углерода, необязательно замещенного арила или необязательно замещенного и необязательно аннелированного гетероциклила, который может быть ароматическим или неароматическим и содержать от 3 до 10 атомов в кольце, с одним или несколькими гетероатомами, выбранными из азота, кислорода или серы или их оксидов; R6 представляет собой заместитель циклической системы, выбранный из водорода, атома галогена, цианогруппы, необязательно замещенного арила или необязательно замещенного и необязательно аннелированного гетероциклила, который может быть ароматическим или неароматическим и содержать от 3 до 10 атомов в кольце, с одним или несколькими гетероатомами, выбранными из азота, кислорода или серы или их оксидов. 5 н. и 6 з.п. ф-лы, 2 табл.
Текст описания приведен в факсимильном виде.                                             
Формула изобретения
1. Применение в качестве субстанций фармацевтических композиций, обладающих активностью против вирусов гриппа, замещенных эфиров 1,2,3,7-тетрагидро-пирроло[3,2-f][1,3]бензоксазин-5-карбоновых кислот общей формулы 1 или их рацематов, или их оптических изомеров, или их фармацевтически приемлемых солей и/или гидратов

где R1 и R4 независимо друг от друга представляют собой заместитель аминогруппы, выбранный из водорода, необязательно замещенного линейного или разветвленного алкила, содержащего 3-12 атомов углерода, необязательно замещенного циклоалкила содержащего 3-10 атомов углерода, необязательно замещенного арила или необязательно замещенного и возможно аннелированного гетероциклила, который может быть ароматическим или неароматическим и содержать от 3 до 10 атомов в кольце, с одним или несколькими гетероатомами, выбранными из азота, кислорода или серы или их оксидов;
R2 представляет собой алкильный заместитель, выбранный из водорода, необязательно замещенной меркаптогруппы, необязательно замещенной аминогруппы, необязательно замещенного гидроксила;
R3 представляет собой низший алкил;
R5 представляет собой заместитель циклической системы, выбранный из водорода, необязательно замещенного линейного или разветвленного алкила, содержащего 3-12 атомов углерода, необязательно замещенного циклоалкила, содержащего 3-10 атомов углерода, необязательно замещенного арила или необязательно замещенного и необязательно аннелированного гетероциклила, который может быть ароматическим или неароматическим и содержать от 3 до 10 атомов в кольце, с одним или несколькими гетероатомами, выбранными из азота, кислорода или серы или их оксидов;
R6 представляет собой заместитель циклической системы, выбранный из водорода, атома галогена, цианогруппы, необязательно замещенного арила или необязательно замещенного и необязательно аннелированного гетероциклила, который может быть ароматическим или неароматическим и содержать от 3 до 10 атомов в кольце, с одним или несколькими гетероатомами, выбранными из азота, кислорода или серы или их оксидов.
2. Применение по п.1 этиловых эфиров 9-арил(или гетероциклил)-1,2,3,7-тетрагидро-пирроло[3,2-f][1,3]бензоксазин-5-карбоновых кислот общей формулы 1.1 или их рацематов, или их оптических изомеров, или их фармацевтически приемлемых солей и/или гидратов

где R1, R2, R4 и R5 имеют вышеуказанные значения; Ar представляет собой арил или 5-6-членный гетероциклил, включающий, по крайней мере, один гетероатом, выбранный из N, О или S.
3. Применение по п.1 этиловых эфиров 9-арил(или пиридил)-7-метил-1,2,3,7-тетрагидро-пирроло[3,2-f][1,3]бензоксазин-5-карбоновых кислот общей формулы 1.2 или их рацематов, или их оптических изомеров, или их фармацевтически приемлемых солей и/или гидратов

где R2, R4 и R5 имеют вышеуказанные значения; Ar1 представляет собой арил или пиридил.
4. Применение по п.3 этиловых эфиров 6-аминометил-9-арил(или пиридил)-7-метил-1,2,3,7-тетрагидро-пирроло[3,2-f][1,3]бензоксазин-5-карбоновых кислот общей формулы 1.3

где R4, R5 и Ar1 имеют вышеуказанные значения; R3 4 и R4 4 независимо друг от друга представляют собой заместитель аминогруппы, выбранный из водорода, необязательно замещенного алкила, содержащего 3-12 атомов углерода, необязательно замещенного циклоалкила, содержащего 3-10 атомов углерода, необязательно замещенного фенила или необязательно замещенного 5-6-членного азагетероциклила или R3 4 и R4 4, вместе с атомом азота, с которым они связаны, образуют через R3 4 и R4 4 необязательно замещенный 5-7-членный азагетероциклил, возможно содержащий дополнительный атом азота или кислорода в цикле, или гуанидил.
5. Применение по п.4 этиловых эфиров 9-арил(или пиридил)-6-диметиламинометил-7-метил-1,2,3,7-тетрагидро-пирроло[3,2-f][1,3]бензоксазин-5-карбоновых кислот общей формулы 1.4

где R4, R5 и Ar1 имеют вышеуказанные значения.
6. Применение по п.5 этиловых эфиров 9-арил(или пиридил)-3,7-диметил-6-диметиламинометил-1,2,3,7-тетрагидро-пирроло[3,2-f][1,3]бензоксазин-5-карбоновых кислот общей формулы 1.5

где Ar1 имеет вышеуказанные значения.
7. Применение по п.6 этилового эфира 3,7-диметил-6-диметиламинометил-9-(3-пиридил)-1,2,3,7-тетрагидро-пирроло[3,2-f][1,3]бензоксазин-5-карбоновой кислоты формулы 1.5.1

8. Фармацевтическая композиция, обладающая активностью против вирусов гриппа, содержащая в качестве активной субстанции, эффективное количество, по крайней мере, одного соединения по любому из пп.1-7.
9. Способ получения фармацевтической композиции по п.8 смешением эффективного количества активной субстанции с инертным наполнителем и/или растворителем, отличающийся тем, что в качестве активной субстанции используется, по крайней мере, одно соединение по любому из пп.1-7.
10. Лекарственное средство в форме таблеток, капсул или инъекций, помещенных в фармацевтически приемлемую упаковку, для профилактики и лечения гриппа, полученное на основе фармацевтической композиции по п.8.
11. Способ профилактики и лечения гриппа введением пациенту лекарственного средства по п.10.
|
|