Патент на изобретение №2332420
|
||||||||||||||||||||||||||
(54) ТИЕНОПИРИМИДИНДИОНЫ И ИХ ПРИМЕНЕНИЕ В МОДУЛИРОВАНИИ АУТОИММУННОГО ЗАБОЛЕВАНИЯ
(57) Реферат:
Предлагаются соединения общей формулы
в которой R1 и R2 независимо представляют собой С1-6алкил, С3-5циклоалкилС1-3алкил или С3-6циклоалкил; Q представляет собой CR4R5, где R4 представляет собой водород или C1-6алкил, а R5 представляет собой водород; Ar представляет собой 5-6-членную ароматическую кольцевую систему, где вплоть до 2 кольцевых атомов могут представлять собой гетероатомы, независимо выбранные из азота и серы, причем эта кольцевая система возможно замещена одним или более чем одним заместителем, независимо выбранным из С1-4алкила; Ar2 представляет собой 5- или 6-членное ароматическое кольцо, содержащее вплоть до 2 гетероатомов, независимо выбранных из азота и серы, причем данное кольцо содержит по меньшей мере один гетероатом и возможно замещено одной или более чем одной группой, независимо выбранной из С1-4алкила. Соединения могут быть использованы в модулировании аутоиммунного заболевания. Описаны также способы получения соединений, фармацевтическая композиция и применение соединений при лечении заболеваний дыхательных путей. 7 н. и 7 з.п. ф-лы.
Настоящее изобретение относится к тиенопиримидиндионам, способам их получения, фармацевтическим композициям, содержащим их, и к их применению в терапии. Изобретение также относится к их применению в модулировании аутоиммунного заболевания. Т-клетки играют важную роль в иммунном ответе, однако при аутоиммунном заболевании Т-клетки несоответственно активируются против конкретных тканей и пролиферируют, вызывая, например, воспаление, связанное с ревматоидным артритом. Ингибирование пролиферации Т-клеток полезно в модулировании аутоиммунного заболевания. Настоящее изобретение относится к соединениям, которые полезны в модулировании аутоиммунного заболевания. В соответствии с настоящим изобретением предложено соединение формулы (I)
где R1 и R2, каждый независимо, представляют собой C1-6алкил, С3-6алкенил, С3-5циклоалкилС1-3алкил или С3-6циклоалкил, каждый из которых возможно может быть замещен 1-3 атомами галогена; Q представляет собой CR4R5, где R4 представляет собой водород, фтор или C1-6алкил, а R5 представляет собой водород, фтор или гидрокси; Ar представляет собой 5-10-членную ароматическую кольцевую систему, где вплоть до 4 кольцевых атомов могут представлять собой гетероатомы, независимо выбранные из азота, кислорода и серы, причем эта кольцевая система возможно замещена одним или более чем одним заместителем, независимо выбранным из С1-4алкила (возможно замещенного 1, 2 или 3 гидроксигруппами), С1-4алкокси, галогена, галогеноалкила, дигалогеноалкила или тригалогеноалкила (где алкильные группы соответственно содержат от 1 до 4 атомов углерода), С1-4алкоксиС1-4алкила, С1-4алкилтио, С1-4алкоксикарбонила, С2-4алканоила, оксо, тиоксо, нитро, циано, -N(R6)R7 и -(CH2)pN(R8)R9, гидрокси, С1-4алкилсульфонила, С1-4алкилсульфинила, карбамоила, С1-4алкилкарбамоила, ди(С1-4алкил)карбамоила, карбокси, SO2N(R8)R9; Ar2 представляет собой 5- или 6-членное ароматическое кольцо, содержащее вплоть до 4 гетероатомов, независимо выбранных из азота, серы или кислорода, которое возможно замещено одной или более чем одной группой, независимо выбранной из С1-4алкила (возможно замещенного 1, 2 или 3 гидроксигруппами), С1-4алкокси, галогена, галогеноалкила, дигалогеноалкила или тригалогеноалкила (где алкильные группы соответственно содержат от 1 до 4 атомов углерода), С1-4алкоксиС1-4алкила, С1-4алкилтио, С1-4алкоксикарбонила, С2-4алканоила, оксо, тиоксо, нитро, циано, -N(R6)R7 и -(CH2)pN(R8)R9, гидрокси, С1-4алкилсульфонила, С1-4алкилсульфинила, карбамоила, С1-4алкилкарбамоила, ди(С1-4алкил)карбамоила, карбокси, SO2N(R8)R9; р означает число от 1 до 4; R6 и R7, каждый независимо, представляют собой атом водорода, С1-4алканоильную или С1-4алкильную группу или вместе с атомом азота, к которому они присоединены, образуют 5-7-членное насыщенное гетероциклическое кольцо, возможно содержащее также О, S, NH или N-алкильную группу; R8 и R9, каждый независимо, представляют собой атом водорода, С1-4алканоильную или С1-4алкильную группу, либо вместе с атомом азота, к которому они присоединены, образуют 5-7-членное насыщенное гетероциклическое кольцо, возможно содержащее дополнительную группу О, S, NH или N-алкил, и его фармацевтически приемлемые соли и сольваты при условии, что соединение является иным, чем 5-[(4S)-4-гидроксиизоксазолидин-2-илкарбонил]-1-(изобутил)-3-метил-6-[5-метил-3-фенил-1H-пиразол-4-илметил]тиено[2,3-d]пиримидин-2,4(1H,3H)-дион, 6-[3,5-диметил-1-фенил-1H-пиразол-4-илметил]-5-[(4S)-4-гидроксиизоксазолидин-2-илкарбонил]-1-изобутил-3-метилтиено[2,3-d]пиримидин-2,4(1Н,3H)-дион или 6-[3,5-диметил-1-фенил-1Н-пиразол-4-илметил]-5-[(4S)-4-гидроксиизоксазолидин-2-илкарбонил]-3-метил-1-пропилтиено[2,3-d]пиримидин-2,4(1H,3H)-дион или его фармацевтически приемлемая соль или сольват. Предпочтительно R1 представляет собой C1-6алкил или С3-6циклоалкил, особенно C1-6алкил. Более предпочтительно R1 представляет собой этил, пропил, бутил или циклопропил. Наиболее предпочтительно R1 представляет собой этил, изобутил, изопропил или циклопропил. Более предпочтительно R1 представляет собой С1-4алкил, например изобутил или изопропил. Предпочтительно R2 представляет собой C1-6алкил, например этил или метил, более предпочтительно метил. Предпочтительно, Q представляет собой CR5R6, где R5 представляет собой водород, C1-6алкил, а R6 представляет собой водород. Предпочтительно Q представляет собой CR5R6, где R5 и R6 оба представляют собой водород. Примеры 5-10-членных моно- или бициклических ароматических кольцевых систем для Ar включают тиенил, фуранил, пирролил, пирролопиридино, имидазолил, пиридил, пиразинил, пиримидил, пиридазинил, триазинил, оксазолил, тиазолил, изоксазолил, пиразолил, оксадиазолил, тиадиазолил, триазолил, тетразолил и хинолил. Примеры 5-7-членных насыщенных гетероциклических колец, образованных R6 и R7 и R8 и R9 включают морфолин, пиперидин, N-алкилпиперидин, пиперазин, пирролидин и тому подобное. Предпочтительно Ar представляет собой 5- или 6-членную ароматическую кольцевую систему, где вплоть до 2 кольцевых атомов могут представлять собой гетероатомы, независимо выбранные из азота, кислорода и серы, причем эта кольцевая система возможно замещена одним или более чем одним заместителем, независимо выбранным из С1-4алкила, С1-4алкокси, галогена, галогеноС1-4алкила, дигалогеноС1-4алкила, тригалогеноС1-4алкила, оксо, тиоксо, нитро, циано или С1-4алкилсульфонила. Более предпочтительно Ar представляет собой 5-членное ароматическое кольцо, содержащее два атома азота и замещенное, как описано выше. Конкретным примером Ar является возможно замещенное пиразольное кольцо. Предпочтительно Ar представляет собой замещенное пиразольное кольцо. Наиболее предпочтительно Ar представляет собой пиразольное кольцо, дизамещенное С1-4алкилом, в частности метилом. Например, Ar предпочтительно представляет собой группу подформулы (i)
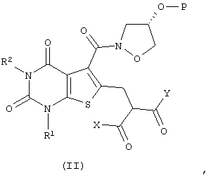
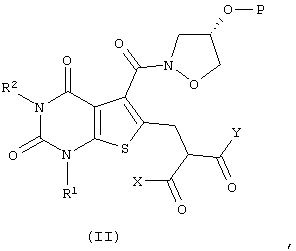
где R10 и R11 независимо выбраны из Н, С1-6алкила, галогеноС1-4алкила, дигалогеноС1-4алкила или тригалогеноС1-4алкила, а Ar2 является таким, как определено выше. R10 и R11 выбраны из Н или C1-3алкила, например метила. В частности, R10 и R11 оба представляют собой C1-3алкил, например метил. Ar2 соответственно представляет собой 5- или 6-членную ароматическую кольцевую систему, где вплоть до 3 кольцевых атомов могут представлять собой гетероатомы, независимо выбранные из азота, кислорода и серы, причем эта кольцевая система возможно замещена одним или более чем одним заместителем, независимо выбранным из С1-4алкила, С1-4алкокси, галогена, дигалогеноалкила, тригалогеноалкила, оксо, тиоксо, циано, С1-4алкилсульфонила. Предпочтительно Ar2 является иным, чем фенил. В частности, Ar2 содержит по меньшей мере один гетероатом. Примерами галогеноалкильных групп являются галогеноС1-4алкильные группы, которые включают галогенометильные группы, например фторэтильную группу. Примерами дигалогеноалкильных групп являются дигалогеноС1-4алкильные группы, в том числе дифторметил и дихлорметил. Примерами тригалогеноалкильных групп являются тригалогеноС1-4алкильные группы, например трифторметил. В предпочтительном воплощении Ar2 представляет собой 5-членное ароматическое кольцо, содержащее атом азота и серы и замещенное, как описано выше. Наиболее предпочтительно Ar2 представляет собой тиазольное кольцо, замещенное галогеном, в частности фтор. В альтернативном воплощении изобретения Ar2 представляет собой пиридин или пиримидин. Эти кольца несут на себе по меньшей мере один заместитель, но предпочтительно являются незамещенными. Предпочтительно Ar2 представляет собой пиридинил или пиримидинил. Предпочтительные соединения формулы (I) включают следующие: 6-[[3,5-диметил-1-(2-пиримидинил)-1H-пиразол-4-ил]метил]-5-[(4S)-4-гидрокси-2-изоксазолидинил]карбонил]-3-метил-1-(1-метилэтил)тиено[2,3-d]пиримидин-2,4(1H,3H)-дион и 6-[[3,5-диметил-1-(2-пиридинил)-1H-пиразол-4-ил]метил]-5-[[(4S)-4-гидрокси-2-изоксазолидинил]карбонил]-3-метил-1-(1-метилэтил)тиено[2,3-d]пиримидин-2,4(1H,3H)-дион, и их фармацевтически приемлемые соли. Другие предпочтительные соединения формулы (I) включают (S)-2-[[6-[[3,5-диметил-1-(2-тиазолил)-1H-пиразол-4-ил]метил]-1,2,3,4-тетрагидро-3-метил-1-(метилэтил-)-2,4-диоксотиено[2,3-d]пиримидин-5-ил]карбонил]-4-изоксазолидинол и его фармацевтически приемлемые соли. Алкильные группы, сами по себе или как часть другой группы, могут быть прямоцепочечными или разветвленными. Если не указано иное, они могут содержать от 1 до 6, предпочтительно от 1 до 4, атомов углерода. Следует иметь в виду, что соединение формулы (I) или его соль может проявлять таутомерию и что на изображениях, приведенных в данном описании изобретения, показана только одна из возможных таутомерных форм. Следует иметь в виду, что данное изобретение охватывает любую таутомерную форму. Некоторые соединения формулы (I) могут существовать в стереоизомерных формах. Следует иметь в виду, что изобретение охватывает все геометрические и оптические изомеры соединений формулы (I) и их смеси, включая рацематы. Они также составляют аспект настоящего изобретения. Соли для использования в фармацевтических композициях предпочтительно должны представлять собой фармацевтически приемлемые соли, однако другие соли могут быть полезны в получении соединений формулы I и их фармацевтически приемлемых солей. Фармацевтически приемлемые соли по изобретению могут включать, например, соли присоединения кислоты соединений формулы I, как они определены здесь выше, которые являются достаточно основными для образования таких солей. Такие соли присоединения кислоты включают, например, соли с неорганическими или органическими кислотами, дающими фармацевтически приемлемые анионы, например с галогеноводородами (в частности, с соляной или бромоводородной кислотой, из которых особенно предпочтительна соляная кислота), либо с серной или фосфорной кислотой, либо с трифторуксусной, лимонной или малеиновой кислотой. Подходящие соли включают гидрохлориды, гидробромиды, фосфаты, сульфаты, гидросульфаты, алкилсульфонаты, арилсульфонаты, ацетаты, бензоаты, цитраты, малеаты, фумараты, сукцинаты, лактаты и тартраты. Кроме того, если соединения формулы I являются достаточно кислотными, фармацевтически приемлемые соли могут быть образованы с неорганическим или органическим основанием, которое дает фармацевтически приемлемый катион. Такие соли с неорганическими или органическими основаниями включают, например, соль щелочного металла, например натриевую или калиевую соль, соль щелочноземельного металла, например кальциевую или магниевую соль, аммониевую соль или, например, соль с метиламином, диметиламином, триметиламином, пиперидином, морфолином или трис(2-гидроксиэтил)амином. Предпочтительные соли включают соль присоединения кислоты, такую как гидрохлорид, гидробромид, фосфат, ацетат, фумарат, малеат, тартрат, цитрат, оксалат, метансульфонат или п-толуолсульфонат, либо соль щелочного металла, такую как натриевая или калиевая соль. В еще одном аспекте изобретения предложен способ получения соединения формулы (I), при котором: (а) соединение формулы (II)
где R1 и R2 являются такими, как определено в формуле (I), или являются их защищенными производными, а Х и Y выбраны из С1-4алкила (возможно замещенного 1, 2 или 3 гидроксигруппами), С1-4алкокси, галогеноалкила, дигалогеноалкила, тригалогеноалкила, С1-4алкоксиС1-4алкила, С1-4алкоксикарбонила, -(CH2)pN(R8)R9, подвергают взаимодействию с соединением формулы (III)
где Ar2 является таким, как определено в формуле (I), или является его защищенным производным и G1 представляет собой NH, G2 представляет собой NH2, SH или ОН, либо (б) соединение формулы (IV)
где R1, R2, Ar и Ar2 являются такими, как определено в формуле (I), или являются их защищенными производными, подвергают взаимодействию с соединением формулы (V)
где Р представляет собой защитную группу, либо (в) для соединений формулы (I), где Ar имеет группу NH, соединение формулы (VI)
где R1 и R2 являются такими, как определено в формуле (I), и Ar является таким, как определено в формуле (I), при условии, что Ar имеет группу NH, или являются их защищенными производными, подвергают взаимодействию с соединением формулы (VII)
где Ar2 является таким, как определено в формуле (I), или является его защищенным производным и L представляет собой уходящую группу, и возможно после процессов (а), (б) или (в) в любом порядке – удаляют любые защитные группы, – образуют фармацевтически приемлемую соль. Взаимодействие соединений (II) и (III) удобно проводить в инертном растворителе, например в этаноле, при температуре от 0 до 100°С, возможно в присутствии каталитического количества кислоты, например трифторуксусной кислоты. Взаимодействие соединений (IV) и (V) осуществляют превращением функциональной группы карбоновой кислоты в активированную форму путем взаимодействия с агентом сочетания, например EDCI (1-(3-диметиламинопропил)-3-этилкарбодиимид) и 1-гидроксибензотриазолом, в инертном растворителе, например в дихлорметане, в присутствии основания, предпочтительно триэтиламина или этилдиизопропиламина, при температуре от 0 до 100°С, предпочтительно от 0 до 50°С, в присутствии соединения (V). Взаимодействие соединений (VI) и (VII) проводят либо путем нагревания в инертном растворителе, таком как NMP (1-метил-2-пирролидинон), в присутствии основания, например карбоната металла, под воздействием микроволнового излучения, или в каталитических (или стехиометрических) условиях Бухвальда с использованием соли Cu(I) с диаминным лигандом в растворителе, таком как диоксан, при температуре примерно 100°С. Группа L представляет собой любую подходящую уходящую группу, предпочтительно L представляет собой галоген. Соединения формулы (II) могут быть получены путем взаимодействия соединения формулы (VIII)
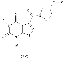
где R1, R2 и являются такими, как определено выше, а L представляет собой уходящую группу, с нуклеофильным фрагментом группы Ar, таким как цинковая соль бета-дикетона. L предпочтительно представляет собой галоген, такой как бром. Соединения формулы (VIII) могут быть получены из соединений формулы (IX)
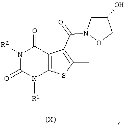
где R1, R2 и являются такими, как определено выше, например, бромированием с использованием N-бромсукцинамида в инертном растворителе, таком как хлороформ, под действием источника света при температуре от 15 до 80°С, предпочтительно от 50 до 70°С. Соединения формулы (IX) могут быть получены путем защиты соответствующих спиртов формулы (X)
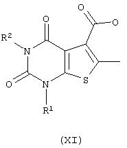
где R1, R2 и Р являются такими, как определено выше, например, путем взаимодействия с триалкилсилилгалогенидом в инертном растворителе, таком как дихлорметан, при температуре от 0 до 60°С, предпочтительно от 10 до 30°С, в присутствии основания, такого как имидазол. Соединения формулы (X) могут быть получены из кислот формулы (XI)
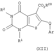
где R1, R2 и Р являются такими, как определено выше, образованием хлорангидрида путем обработки реагентом, таким как оксалилхлорид, в инертном растворителе, таком как дихлорметан, при температуре от 0 до 60°С, предпочтительно от 10 до 30°С, с последующей обработкой полученного хлорангидрида гидроксиизооксазолидином в растворителе, таком как дихлорметан, при температуре от 0 до 60°С, предпочтительно от 10 до 30°С, в присутствии основания, такого как триэтиламин. Соединения формулы (XI) получают из соответствующих эфиров в стандартных условиях. Соединения формулы (IV) могут быть получены из соединений формулы (XII)
где R1, R2 и Ar являются такими, как определено выше, при условии, что Ar содержит группу NH, а R20 представляет собой образующую эфир группу, например, путем взаимодействия с соединением формулы (XIII)
где Ar2 является таким, как определено выше, либо путем взаимодействия с соединением Ar2, где Ar2 является таким, как определено выше, при условии, что Ar содержит азотный центр. Взаимодействие соединений (XII) и (XIII) может быть проведено в инертном растворителе, таком как диоксан, при температуре от 10 до 120°С в присутствии соли меди (I) и алкилендиамина. Группа R20 представляет собой образующую эфир группу, такую как алкил, в частности метил. Взаимодействие соединений (XII) и Ar2 может быть проведено в растворителе, таком как диметилацетамид, при температуре от 10 до 200°С в присутствии основания, такого как карбонат калия, возможно под действием микроволнового излучения. Соединение формулы (XII) может быть получено из соединения формулы (XV)
где R1, R2 и R20 являются такими, как определено выше, путем взаимодействия с сильным основанием, таким как диизопропиламид лития, в растворителе, таком как тетрагидрофуран (ТГФ), при температуре от -78 до 0°С с последующим добавлением соединения формулы (XVI)
Соединения формулы (IV) получают из соединений формулы (XVII):
где R1, R2, R20, Ar и Ar2 являются такими, как определено выше, либо путем дезоксигенирования с использованием сильной кислоты, такой как трифторуксусная кислота (ТФУ), в присутствии источника гидрида, такого как триэтилсилан, возможно в растворителе, таком как дихлорметан, при температуре от 0 до 40°С, либо путем активации гидроксильной группы этерификацией активированной карбоновой кислотой, такой как трифторуксусный ангидрид или метансульфонилхлорид, в инертном растворителе, таком как этилацетат, с последующим гидрогенолизом, например, с использованием палладия на углероде при 1-5 бар (100-500 кПа) при температуре от 10 до 80°С. Соединения формулы (XVII) получают из соединений формулы (XV), как определено выше, путем взаимодействия с соединениями (XVIII)
где Ar и Ar2 являются такими, как определено выше, используя условия, аналогичные описанным выше, для взаимодействия соединений (XV) и (XVI). Соединения формулы (VI) могут быть получены из соединений формулы (XII) путем гидролиза функциональной эфирной группы (с использованием гидроксида щелочного или щелочноземельного металла в растворителе, содержащем воду, например в водном этаноле или водном метаноле) при температуре от 0 до 100°С или с использованием водной минеральной кислоты в инертном растворителе при температуре от 20 до 100°С, с последующим сочетанием кислотного остатка с соединением формулы (V) в присутствии агента сочетания, например PyBrOP (бромтриспирролидинофосфония гексафторфосфат), в инертном растворителе, например в ТГФ, в присутствии основания, такого как триэтиламин, при температуре от 0 до 30°С. Исходные вещества, охарактеризованные выше, имеются в продаже или могут быть получены рутинными химическими методами, известными в данной области техники. Соединения по изобретению полезны, поскольку обладают фармакологической активностью у человека и животных. Они показаны в качестве фармацевтических средств для применения в (профилактическом) лечении аутоиммунных, воспалительных, пролиферативных и гиперпролиферативных заболеваний и иммунологически опосредованных заболеваний, включая отторжение трансплантированных органов или тканей и синдром приобретенного иммунодефицита (СПИД). Примерами этих состояний являются: (1) (дыхательные пути) заболевания дыхательных путей, включая хроническую обструктивную болезнь легких (ХОБЛ); астму, такую как бронхиальная, аллергическая, наследственная, приобретенная астма и пневмокониоз, в частности хроническая или застарелая астма (например поздняя астма или повышенная реактивность дыхательных путей); бронхит; острый, аллергический, атрофический ринит и хронический ринит, включая хронический казеозный ринит, гипертрофический ринит, гнойный ринит, сухой ринит и медикаментозный ринит; мембранный ринит, включая крупозный, фибринозный и псевдомембранный ринит и туберкулезный ринит; сезонный ринит, включая нервный ринит (сенную лихорадку) и вазомоторный ринит; саркоидоз, легкие фермера и родственные заболевания, пневмосклероз и идиопатическую интерстициальную пневмонию; (2) (кости и суставы) ревматоидный артрит, серонегативные спондилоартропатии (включая анкилозирующий спондилоартрит, псориатический артрит и болезнь Рейтера), болезнь Бехчета, синдром Шегрена и системный склероз; (3) (кожа) псориаз, атопический дерматит, контактный дерматит и другие экзематозные дерматиты, себорейный дерматит, плоский лишай, пузырчатка, буллезная пузырчатка, врожденный буллезный эпидермолиз, крапивница, воспаления кожных сосудов, васкулиты, эритемы, кожные эозинофилии, увеит, гнездная алопеция и весенний конъюнктивит; (4) (желудочно-кишечный тракт) целиакия, проктит, эозинофильный гастроэнтерит, мастоцитоз, болезнь Крона, неспецифический язвенный колит, пищевые аллергии, которые обладают удаленными от кишечника эффектами, например мигрень, ринит и экзема; (5) (другие тканевые и системные заболевания) рассеянный склероз, атеросклероз, синдром приобретенного иммунодефицита (СПИД), эритематозная волчанка, системная волчанка, эритематоз, тиреоидит Хашимото, тяжелая миастения, диабет типа I, нефротический синдром, эозинофильный фасцит, синдром повышенного IgE, лепроматозная лепра, синдром Сезари и идиопатическая тромбоцитопеническая пурпура; (6) (отторжение аллотрансплантата) острое и хроническое, например, после трансплантации почки, сердца, печени, легкого, костного мозга, кожи и роговицы; хроническая болезнь трансплантат против хозяина и (7) рак. Соответственно, согласно настоящему изобретению предложено соединение формулы (I) или его фармацевтически приемлемая соль, как определено здесь выше, для применения в терапии. В другом аспекте изобретения предложено применение соединения формулы (I) или его фармацевтически приемлемой соли, как определено здесь выше, в изготовлении лекарства для применения в терапии. В контексте настоящего описания изобретения термин “терапия” также включает “профилактику”, если нет конкретных противоречащих указаний. Термины “терапевтический” и “терапевтически” следует понимать соответственно. Предполагается, в частности, что профилактика относится к лечению субъектов, которые прежде имели эпизод рассматриваемого заболевания или состояния или которые по иной причине считаются имеющими повышенный риск рассматриваемого заболевания или состояния. К субъектам группы риска развития конкретного заболевания или состояния, как правило, относятся субъекты, имеющие семейную историю данного заболевания или состояния, или те, кого идентифицировали генетическим тестированием или скринингом как особенно склонных к развитию данного заболевания или состояния. Согласно изобретению также предложен способ осуществления иммуносупрессии (например, при лечении отторжения аллотрансплантата), включающий введение пациенту терапевтически эффективного количества соединения формулы (I) или его фармацевтически приемлемой соли, как определено здесь выше. Согласно изобретению также предложен способ лечения или снижения риска заболевания дыхательных путей (например, астмы или ХОБЛ) у пациента, страдающего указанным заболеванием или имеющего риск указанного заболевания, включающий введение этому пациенту терапевтически эффективного количества соединения формулы (I) или его фармацевтически приемлемой соли, как определено здесь выше. Разумеется, для вышеупомянутых терапевтических применений вводимая дозировка будет варьировать в зависимости от используемого соединения, от режима введения, от желаемого лечения и от конкретного показания. Однако в общем случае для осуществления иммуносупрессии суточная дозировка соединения формулы (I) будет находиться в пределах от 0,1 мг/кг, предпочтительно от 0,3 мг/кг, более предпочтительно от 0,5 мг/кг и еще более предпочтительно от 1 мг/кг, до 30 мг/кг включительно. Для лечения заболеваний дыхательных путей суточная дозировка соединения формулы (I) обычно будет находиться в пределах от 0,001 до 30 мг/кг. Соединение формулы (I) и его фармацевтически приемлемые соли можно применять сами по себе, но, как правило, их будут вводить в форме фармацевтической композиции, в которой соединение формулы (I)/соль/сольват (активный ингредиент) присутствует совместно с фармацевтически приемлемым адъювантом, разбавителем или носителем. В зависимости от режима введения фармацевтическая композиция предпочтительно должна содержать от 0,05 до 99 мас.% (процентов по массе), более предпочтительно менее 80 мас.%, например от 0,10 до 70 мас.%, и еще более предпочтительно менее 50 мас.% активного ингредиента, причем все проценты даны в расчете на общую массу композиции. Таким образом, согласно настоящему изобретению предложена также фармацевтическая композиция, содержащая соединение формулы (I) или его фармацевтически приемлемую соль, как определено здесь выше, совместно с фармацевтически приемлемым адъювантом, разбавителем или носителем. Согласно изобретению предложен также способ приготовления фармацевтической композиции по изобретению, включающий смешивание соединения формулы (I) или его фармацевтически приемлемой соли, как определено здесь выше, с фармацевтически приемлемым адъювантом, разбавителем или носителем. Фармацевтическую композицию по изобретению можно вводить местно (например, в легкое и/или дыхательные пути, либо на кожу) в форме растворов, суспензий, гептафторалкановых аэрозолей и сухих порошковых препаратов, или системно, например пероральным введением в форме таблеток, капсул, сиропов, порошков или гранул, или парентеральным введением в форме растворов или суспензий, или подкожным введением, или ректальным введением в форме суппозиториев, или трансдермально. Способность соединений ингибировать РМА/иономицин-стимулированную пролиферацию мононуклеарных клеток периферической крови можно оценить, например, используя методику, изложенную ниже. Изобретение иллюстрируется приведенными ниже примерами, в которых, если не указано иное: (1) упаривание проводили на роторном испарителе в вакууме и процедуры обработки осуществляли после удаления остаточных твердых веществ, таких как высушивающие агенты, фильтрацией; (2) операции проводили при температуре окружающей среды, то есть в пределах 18-25°С, и в атмосфере инертного газа, такого как аргон или азот; (3) выходы даны только для иллюстрации, и они не обязательно максимально достижимые; (4) структуры конечных продуктов формулы I подтверждали методом ядерного (как правило, протонного) магнитного резонанса (ЯМР) и масс-спектральным методом; значения химического сдвига протонного магнитного резонанса измеряли по дельта-шкале, и мультиплетность пиков показана следующим образом: s, синглет; d, дублет; t, триплет; m, мультиплет; br, широкий; q, квартет; quin, квинтет; (5) промежуточные соединения, как правило, полностью не характеризовали и чистоту оценивали тонкослойной хроматографией (ТСХ), высокоэффективной жидкостной хроматографией (ВЭЖХ), масс-спектрометрией (МС), инфракрасным (ИК) или ЯМР-анализом. Сокращения:
Приведенные ниже примеры иллюстрируют изобретение. Пример 1 6-[[3,5-Диметил-1-(2-пиримидинил)-1Н-пиразол-4-ил]метил]-5-[(4S)-4-гидрокси-2-изоксазолидинил]карбонил]-3-метил-1-(1-метилэтил)тиено[2,3-d)пиримидин-2,4(1H,3H)-дион
а) Этилметил-2-метил-5-(N,N-метилэтиламино)тиофен-3,4-дикарбоксилат Этоксикарбонилметилентрифенилфосфоран (33,8 г) в сухом ТГФ (200 мл) обрабатывали изопропилизотиоцианатом (10,1 г) при 65°С в течение 16 ч в атмосфере азота. Эту смесь охлаждали до -78°С и добавляли метил-3-бром-2-оксобутаноат. Этой реакционной смеси давали возможность медленно нагреться до комнатной температуры. После 24 ч при комнатной температуре добавляли еще метил-3-бром-2-оксобутаноата (2,8 г) и эту смесь нагревали до 60°С в течение 16 ч. Охлажденную реакционную смесь вливали в воду (1,5 л) и экстрагировали в эфир. После высушивания и выпаривания получили масло, которое подвергали хроматографии (SiO2/10:1 изогексан:этилацетат, затем 5:1 изогексан:этилацетат) с получением соединения, указанного в подзаголовке (23,5 г).
б) Метил-1,2,3,4-тетрагидро-3,6-диметил-1-(метилэтил)-2,4-диокситиено[2,3-d]пиримидин-5-карбоксилат Цианат серебра (13,5 г), суспендированный в безводном толуоле (90 мл), в атмосфере азота обрабатывали по каплям ацетилхлоридом (5,34 мл) и энергично перемешивали в течение 30 мин. Добавляли продукт стадии (а) (23 г), растворенный в безводном толуоле (15 мл), и эту смесь перемешивали в течение 72 ч. Добавляли эфир (360 мл), нерастворимое вещество отфильтровывали и промывали небольшим объемом эфира. Объединенные органические растворы промывали насыщенным раствором бикарбоната натрия, высушивали и упаривали. Остаток обрабатывали раствором метоксида натрия в метаноле (25 мас.%, 64 мл) при комнатной температуре в течение 72 ч. Реакционную смесь охлаждали во льду и обрабатывали триметилсилилхлоридом (50,8 мл) и перемешивали при комнатной температуре в течение ночи. Все летучие вещества удаляли в вакууме и остаток распределяли между водой и этилацетатом. После высушивания и упаривания органического раствора получили остаток, который подвергали хроматографии (SiO2/2:1 изогексан:этилацетат, затем 3:2 изогексан:этилацетат) с выделением преобладающего компонента (12,2 г). Его обрабатывали сухим ДМФ (150 мл) с карбонатом калия (6,95 г) и метилйодидом (7,1 г) в течение 72 ч при комнатной температуре. Эту смесь вливали в воду (2 л), подкисляли и экстрагировали в эфир. После промывки рассолом, высушивания и упаривания получили твердое вещество, которое кипятили в изогексане (200 мл), содержащем этилацетат (3 мл). Выпавшее в осадок при охлаждении бледно-желтое твердое вещество собирали и высушивали с получением соединения, указанного в подзаголовке (10,5 г). МС (ХИАД) [М+Н]+ 297.
в) 1,2,3,4-Тетрагидро-3,6-диметил-1-(метилэтил)-2,4-диокситиено[2,3-d]пиримидин-5-карбоновая кислота К раствору продукта стадии (б) (3,81 г) в ТГФ (50 мл) и метаноле (5 мл) добавляли 1 н. NaOH (25,7 мл) и эту смесь перемешивали в атмосфере азота в течение 18 ч. Ее подкисляли 2,5 н. HCl и экстрагировали ДХМ (дихлорметаном). Органические экстракты промывали водой, высушивали над безводным сульфатом магния и упаривали при пониженном давлении с получением соединения, указанного в подзаголовке, в виде твердого вещества (3,40 г). МС (ЭРИ) 283 [М+Н]+. г) 5-[[(4S)-4-Гидрокси-2-изоксазолидинил]карбонил]-3,6-диметил-1-(1-метилэтил)тиено[2,3-d]пиримидин-2,4(1Н,3H)-дион К суспензии продукта стадии (в) (3,40 г) в ДХМ (50 мл) добавляли оксалилхлорид (1,16 мл) в ДМФ (10 мкл), и эту смесь перемешивали в атмосфере азота в течение 2 ч. Этот раствор хлорангидрида добавляли к суспензии гидрохлорида (S)-4-изоксазолидинола (1,51 г) и триэтиламина (3,52 мл) в ДХМ (20 мл) при 0°С в атмосфере азота и эту смесь перемешивали при комнатной температуре в течение 3 ч. Ее промывали водой, высушивали над безводным сульфатом магния, фильтровали и упаривали при пониженном давлении. Остаток очищали колоночной хроматографией на силикагеле, элюируя этилацетатом, с получением соединения, указанного в подзаголовке, в виде твердого вещества (2,52 г). МС (ЭРИ (электрораспылительная ионизация)) 354 [М+Н]+.
д) 5-[[(4S)-4-[[(1,1-Диметилэтил)диметилсилил]окси]-2-изоксазолидинил]карбонил]-3,6-диметил-1-(1-метилэтил)тиено[2,3-d]пиримидин-2,4(1Н,3Н)-дион К раствору продукта стадии (г) (2,52 г) в ДХМ (30 мл) добавляли имидазол (0,53 г) и трет-бутилдиметилсилилхлорид (1,18 г) и эту смесь перемешивали в атмосфере азота в течение 24 ч. Ее подкисляли 1 н. HCl и экстрагировали ДХМ. Органические экстракты промывали водой, высушивали над безводным сульфатом магния, фильтровали и упаривали при пониженном давлении. Остаток очищали колоночной хроматографией на силикагеле, элюируя изогексаном/этилацетатом (3:1), а затем изогексаном/этилацетатом (1:1), с получением соединения, указанного в подзаголовке (2,42 г).
е) 6-Бромметил-5-[[(4S)-4-[[(1,1-диметилэтил)диметилсилил]окси]-2-изоксазолидинил]карбонил]-3-метил-1-(1-метилэтил)тиено[2,3-d]пиримидин-2,4(1H,3H)-дион К раствору продукта стадии (д) (2,42 г) в хлороформе (100 мл) добавляли N-бромсукцинимид (1,01 г) и эту смесь кипятили с обратным холодильником в свете вольфрамовой лампы 300 Вт в течение 2 ч. Смесь охлаждали, промывали 1 н. раствором NaOH, промывали водой, высушивали над безводным сульфатом магния, фильтровали и упаривали при пониженном давлении с получением соединения, указанного в подзаголовке (2,83 г). МС (ЭРИ) 546 и 548 [М+Н]+. ж) 6-(2-Ацетил-3-оксобутил)-5-[[(4S)-4-[[(1,1-диметилэтил)диметилсилил]окси]-2-изоксазолидинил]карбонил]-3-метил-1-(1-метилэтил)тиено[2,3-d]пиримидин-2,4(1H,3H)-дион Раствор продукта стадии (е) (2,83 г) и гидрата ацетилацетоната цинка (1,47 г) в хлороформе (50 мл) кипятили с обратным холодильником в течение 1 ч. Смесь охлаждали, промывали раствором бикарбоната натрия, фильтровали через целлит, промывали рассолом, высушивали над безводным сульфатом магния, фильтровали и упаривали при пониженном давлении с получением соединения, указанного в подзаголовке (2,93 г). МС (ЭРИ) 566 [М+Н]+. з) 5-[[(4S)-4-[[(1,1-Диметилэтил)диметилсилил]окси]-2-изоксазолидинил]карбонил]-6-[3,5-диметил-1-(2-пиримидинил)-1Н-пиразол-4-ил]метил]-3-метил-1-(1-метилэтил)тиено[2,3-d]пиримидин-2,4(1H,3H)-дион К раствору продукта стадии (ж) (0,73 г) в хлороформе (25 мл) добавляли пиримидин-2-илгидразин (0,27 г) и эту смесь перемешивали в течение 48 ч. Ее промывали водой, высушивали над безводным сульфатом магния, фильтровали и упаривали при пониженном давлении. Остаток очищали колоночной хроматографией на силикагеле, элюируя изогексаном/этилацетатом (1:1), а затем изогексаном/этилацетатом (1:4), с получением соединения, указанного в подзаголовке (0,43 г). МС (ЭРИ) 640 [М+Н]+. и) 6-[[3,5-Диметил-1-(2-пиримидинил)-1Н-пиразол-4-ил]метил]-5-[(4S)-4-гидрокси-2-изоксазолидинил]карбонил]-3-метил-1-(1-метилэтил)тиено[2,3-d]пиримидин-2,4(1Н,3H)-дион Раствор продукта стадии (з) (0,43 г) и трифторуксусной кислоты (0,5 мл) в ДХМ (10 мл) перемешивали в течение 72 ч. Смесь концентрировали в вакууме, разбавляли раствором бикарбоната натрия и экстрагировали этилацетатом. Органические экстракты промывали водой, высушивали над безводным сульфатом магния, фильтровали и упаривали при пониженном давлении. Остаток очищали колоночной хроматографией на силикагеле, элюируя этилацетатом, затем этилацетатом/метанолом (9:1), с получением соединения, указанного в заголовке (30 мг). МС (ХИАД (химическая ионизация при атмосферном давлении)) 526 [M+H]+.
Пример 2 6-[[3,5-Диметил-1-(2-пиридинил)-1Н-пиразол-4-ил]метил]-5-[[(4S)-4-гидрокси-2-изоксазолидинил]карбонил]-3-метил-1-(1-метилэтил)тиено[2,3-d]пиримидин-2,4(1Н,3H)-дион
а) 5-[[(4S)-4-[[(1,1-Диметилэтил)диметилсилил]окси]-2-изоксазолидинил]карбонил]-6-[3,5-диметил-1-(2-пиридинил)-1Н-пиразол-4-ил]метил]-3-метил-1-(1-метилэтил)тиено[2,3-d]пиримидин-2,4(1Н,3Н)-дион К раствору продукта стадии (ж) примера 1 (0,73 г) в хлороформе (25 мл) добавляли пиридин-2-илгидразин (0,28 г) и эту смесь перемешивали в течение 48 ч. Смесь промывали водой, высушивали над безводным сульфатом магния, фильтровали и упаривали при пониженном давлении. Остаток очищали колоночной хроматографией на силикагеле, элюируя изогексаном, а затем изогексаном/этилацетатом (1:1), с получением соединения, указанного в подзаголовке (0,28 г). МС (ЭРИ) 639 [M+H]+. б) 6-[[3,5-Диметил-1-(2-пиридинил)-1Н-пиразол-4-ил]метил]-5-[(4S)-4-гидрокси-2-изоксазолидинил]карбонил]-3-метил-1-(1-метилэтил)тиено[2,3-d]пиримидин-2,4(1H,3Н)-дион Раствор продукта стадии (а) (0,28 г) и трифторуксусной кислоты (0,5 мл) в ДХМ (10 мл) перемешивали в течение 72 ч. Смесь концентрировали в вакууме, разбавляли раствором бикарбоната натрия и экстрагировали этилацетатом. Органические экстракты промывали водой, высушивали над безводным сульфатом магния, фильтровали и упаривали при пониженном давлении. Остаток очищали колоночной хроматографией на силикагеле, элюируя этилацетатом, затем этилацетатом/метанолом (49:1), с получением соединения, указанного в заголовке (88 мг). МС (ХИАД) 525 [M+H]+.
Пример 3 (S)-2-[[6-[[3,5-Диметил-1-(2-тиазолил)-1Н-пиразол-4-ил]метил]-1,2,3,4-тетрагидро-3-метил-1-(метилэтил)-2,4-диоксотиено[2,3-d]пиримидин-5-ил]карбонил]-4-изоксазолидинол
Смесь (S)-2-[[6-[[3,5-диметил-1H-пиразол-4-ил]метил]-1,2,3,4-тетрагидро-3-метил-1-(метилэтил)-2,4-диоксотиено[2,3-d]пиримидин-5-ил]карбонил]-4-изоксазолидинола (237 мг), 2-бромтиазола (237 мг), йодида меди(I) (20 мг), транс-циклогексан-1,2-диамина (15 мг) и карбоната калия (145 мг) нагревали при 100°С в 1,4-диоксане (1 мл) в течение 24 ч. Эту реакционную смесь концентрировали до сухости и очищали хроматографией на SiO2 (картридж Biotage) (элюируя от EtOAc до 5% МеОН в EtOAc), а затем хроматографией с обращенной фазой, с получением соединения, указанного в заголовке, в виде белого твердого вещества (110 мг). МС (ХИАД, регистрация положительных ионов) М+Н=531,1.
Фармакологические данные Ингибирование РМА/иономицин-стимулированной пролиферации мононуклеарных клеток периферической крови Анализ на РМА/иономицин-стимулированную пролиферацию РВМС (мононуклеарные клетки периферической крови) проводили в 96-луночных микротитровальных планшетах с плоским дном. Соединения готовили в виде 10 мМ исходных растворов в диметилсульфоксиде. 50-кратное разведение исходного раствора готовили в среде RPMI и из этого раствора готовили серийные разведения. 10 мкл 50-кратно разведенного исходного раствора или его разведений добавляли в лунку с получением концентраций в анализе, начиная с 9,5 мкМ и снижая концентрацию. В каждую лунку помещали 1×105 РВМС, полученных из периферической крови человека от одного донора, в среде RPMI 1640, дополненной 10% человеческой сыворотки, 2 мМ глутамина и пенициллином/стрептомицином. Ацетат-миристат форбола (РМА) (конечная концентрация 0,5 нг/мл) и иономицин (конечная концентрация 500 нг/мл) добавляли к этим клеткам в дополненной среде RPMI1640 (как указано выше) так, чтобы конечный объем аналитической пробы составлял 0,2 мл. Клетки инкубировали при 37°С в увлажненной атмосфере при 5% диоксида углерода в течение 72 часов. В течение последних 6 часов инкубации добавляли 3H-тимидин (0,5 мкКи). Затем определяли уровень радиоактивности, включенной клетками, и это было мерой пролиферации. Было обнаружено, что соединения примеров в вышеописанном тесте показывают значения IA50 менее 1×10-6 M. В вышеописанном тесте из конкретных примеров соединение примера 1 имело PIA60 8,3, а соединение примера 3 имело PIA50 9,07.
Формула изобретения
1. Соединение формулы (I)
где R1 и R2 каждый независимо представляет собой С1-6алкил, С3-5циклоалкилС1-3алкил или С3-6циклоалкил; Q представляет собой CR4R5, где R4 представляет собой водород или С1-6алкил, а R5 представляет собой водород; Ar представляет собой 5-6-членную ароматическую кольцевую систему, где вплоть до 2 кольцевых атомов могут представлять собой гетероатомы, независимо выбранные из азота и серы, причем эта кольцевая система возможно замещена одним или более чем одним заместителем, независимо выбранным из С1-4алкила; Ar2 представляет собой 5- или 6-членное ароматическое кольцо, содержащее вплоть до 2 гетероатомов, независимо выбранных из азота и серы, причем данное кольцо содержит по меньшей мере один гетероатом и возможно может быть замещено одной или более чем одной группой, независимо выбранной из С1-4алкила; или его фармацевтически приемлемые соли или сольваты. 2. Соединение по п.1, где R1 представляет собой С1-6алкил. 3. Соединение по п.1, где R2 представляет собой метил. 4. Соединение по п.1, где Q представляет собой СН2. 5. Соединение по п.1, где Ar представляет собой группу подформулы (i)
где R10 и R11 независимо выбраны из Н и С1-6алкила, и Ar2 является таким, как определено в п.1. 6. Соединение по п.1, где Ar2 представляет собой пиридинил или пиримидинил. 7. Соединение по п.6, где Ar2 представляет собой тиазолил. 8. Соединение формулы (I) по п.1, выбранное из 6-[[3,5-диметил-1-(2-пиримидинил)-1Н-пиразол-4-ил]метил]-5-[(4S)-4-гидрокси-2-изоксазолидинил]карбонил]-3-метил-1-(1-метилэтил)тиено[2,3-d]пиримидин-2,4(1Н,3Н)-диона, 6-[[3,5-диметил-1-(2-пиридинил)-1Н-пиразол-4-ил]метил]-5-[[(4S)-4-гидрокси-2-изоксазолидинил]карбонил]-3-метил-1-(1-метилэтил)тиено[2,3-d]пиримидин-2,4(1Н,3Н)-диона, или (S)-2-[[6-[[3,5-диметил-1-(2-тиазолил)-1Н-пиразол-4-ил]метил]-1,2,3,4-тетрагидро-3-метил-1-(1-метилэтил)-2,4-диоксотиено[2,3-d]пиримидин-5-ил]карбонил]-4-изоксазолидинола; или их фармацевтически приемлемых солей. 9. Соединение по любому из пп.1-8 для применения в ингибировании пролиферации мононуклеарных клеток периферической крови. 10. Фармацевтическая композиция для ингибирования пролиферации мононуклеарных клеток периферической крови, содержащая соединение формулы (I) или его фармацевтически приемлемую соль по любому из пп.1-8 совместно с фармацевтическим носителем. 11. Применение соединения формулы (I) или его фармацевтически приемлемой соли по любому из пп.1-8 в изготовлении лекарственного средства для осуществления иммуносупрессии. 12. Применение соединения формулы (I) или его фармацевтически приемлемой соли по любому из пп.1-8 в изготовлении лекарственного средства для лечения или снижения риска заболевания дыхательных путей. 13. Способ получения соединения формулы (I) по п.1, при котором соединение формулы (II)
где R1 и R2 являются такими, как определено в формуле (I) в п.1, или являются их защищенными производными, а Х и Y выбраны из С1-4алкила, подвергают взаимодействию с соединением формулы (III)
где Ar2 является таким, как определено в п.1, или является его защищенным производным, и G1 представляет собой NH, G2 представляет собой NH2 или SH, и возможно затем в любом порядке удаляют любые защитные группы, образуют фармацевтически приемлемую соль. 14. Способ получения соединения формулы (I) по п.1, при котором для соединений формулы (I), где Ar имеет группу NH, соединение формулы (VI)
где R1 и R2 являются такими, как определено в п.1, и Ar является таким, как определено в п.1, при условии, что Ar имеет группу NH, или являются его защищенным производным, подвергают взаимодействию с соединением формулы (VII)
где Ar2 является таким, как определено в формуле (I), или является его защищенным производным, и L представляет собой уходящую группу, и возможно затем в любом порядке удаляют любые защитные группы, образуют фармацевтически приемлемую соль.
|
||||||||||||||||||||||||||





















1.23-1.35 (9Н, m), 2.26 (3Н, s), 3.46 (1Н, m), 3.82 (3Н, s), 4.2 (2Н, q), 7.42 (1H, br s).
1HДМСО (диметилсульфоксид) 1.50-1.52 (6Н, m), 2.30-2.34 (3Н, m), 3.18-3.19 (3Н, m), 3.42-4.08 (4Н, m), 4.59-4.74 (2Н, m), 5.49-5.50 (1Н, m).






