|
|
(21), (22) Заявка: 2006125729/04, 20.12.2004
(24) Дата начала отсчета срока действия патента:
20.12.2004
(30) Конвенционный приоритет:
18.12.2003 EP 03104804.4 30.04.2004 US 60/567,181
(43) Дата публикации заявки: 27.01.2008
(46) Опубликовано: 27.08.2008
(56) Список документов, цитированных в отчете о поиске:
WO 0100611 (JANSSEN PHARMACEUTICA N.V.) 04.01.2001. WO 0100612 (JANSSEN PHARMACEUTICA N.V.) 04.01.2001. WO 0100615 (JANSSEN PHARMACEUTICA N.V.) 04.01.2001. SU 1637663 (ЖАНСЕН ФАРМАСЕТИКА H.B.), 23.03.1991. ANTONIO DA SETTIMO ET ALL, IL FARMACO, 1994, 49 (12), 829-834. АНИСИМОВА B.A. И ДР. ХИМИЯ ГЕТЕРОЦИКЛИЧЕСКИХ СОЕДИНЕНИЙ, 1987, №1, с.59-63.
(85) Дата перевода заявки PCT на национальную фазу:
18.07.2006
(86) Заявка PCT:
EP 2004/053617 (20.12.2004)
(87) Публикация PCT:
WO 2005/058870 (30.06.2005)
Адрес для переписки:
129010, Москва, ул. Б.Спасская, 25, стр.3, ООО “Юридическая фирма Городисский и Партнеры”, пат.пов. Е.Е.Назиной, рег. № 517
|
(72) Автор(ы):
БОНФАНТИ Жан-Франсуа (FR), АНДРИС Кунрад Йозеф Лодевейк (BE), ЯНССЕНС Франс Эдуард (BE), СОММЕН Франсуа Мария (BE), ГИЙЕМОН Жером Эмиль Жорж (FR), ЛАКРАМП Жан Фернан Арман (FR)
(73) Патентообладатель(и):
ТИБОТЕК ФАРМАСЬЮТИКАЛЗ ЛТД. (IE)
|
(54) ПРОИЗВОДНЫЕ АМИНОБЕНЗИМИДАЗОЛОВ В КАЧЕСТВЕ ИНГИБИТОРОВ РЕПЛИКАЦИИ РЕСПИРАТОРНОГО СИНЦИТИАЛЬНОГО ВИРУСА
(57) Реферат:
Настоящее изобретение относится к аминобензимидазолам и содержащим их фармацевтическим композициям, обладающим ингибирующей активностью в отношении репликации респираторного синцитиального вируса. Аминобензимидазол представлен формулой (I), где Q представляет собой Ar2, С3-7циклоалкил или замещенный С1-6алкил; G представляет собой метилен; R1 представляет собой необязательно замещенный пиридил; один из R2a и R3a представляет С1-6алкил, и другой из R2a и R3a представляет собой водород; в том случае, если R2a отличается от водорода, тогда R2b представляет собой водород или С1-6алкил, и R3b представляет собой водород; в том случае, если R3a отличается от водорода, тогда R3b представляет собой водород или С1-6алкил, и R2b представляет собой водород; или R2a, R2b, R3a и R3b все представляют собой водород; R5 представляет водород; Ar2 представляет собой необязательно замещенный фенил. Технический результат – получение новых биологически активных соединений. 2 н. и 4 з.п.ф-лы, 3 табл.

(56) (продолжение):
CLASS=”b560m”КОВАЛЕВ Г.В. И ДР. ХИМИКОФАРМАЦЕВТИЧЕСКИЙ ЖУРНАЛ, 1990, №2, с.127-130. MOLINA P. ET ALL, СНЕМ. BER., 1994, 127, 1641-1652. A DA SETTIMO ET ALL., EUR. J. MED. CHEM., 1992, 27, 395-400. VON A. HUNGER ET ALL, 1961, №159, 1273-1282,. ЗВЕЗДИНА Э.А. И ДР. ХИМИЯ ГЕТЕРОЦИКЛИЧЕСКИХ СОЕДИНЕНИЙ, 1969, №5, с.934-951. ПОЖАРСКИЙ А.Ф. И ДР. ХИМИЯ ГЕТЕРОЦИКЛИЧЕСКИХ СОЕДИНЕНИЙ, 1969, №5, с.869-873. СИМОНОВ A.M. И ДР. ХИМИЯ ГЕТЕРОЦИКЛИЧЕСКИХ СОЕДИНЕНИЙ, 1970, №6, с.838-841.
Настоящее изобретение относится к производным аминобензимидазола, обладающим противовирусной активностью, в частности обладающим ингибиторной активностью в отношении репликации респираторного синцитиального вируса (RSV). Оно относится далее к их получению и к содержащим их композициям, также как их использованию в качестве лекарств.
Человеческий RSV или Респираторный Синцитиальный Вирус представляет собой крупный РНК вирус, член семейства Paramyxoviridae, подсемейства pneumoviridae наряду с коровьим RSV вирусом. Человеческий RSV ответственен за ряд заболеваний дыхательных путей у людей всех возрастов во всем мире. Он является основной причиной заболеваний нижних дыхательных путей у младенцев и детей. Более половины младенцев заражаются RSV в свой первый год жизни, и почти все в свои первые два года жизни. Инфицирование маленьких детей может вызвать повреждение легких, которое сохраняется годами и может привести к хроническим заболеваниям легких в дальнейшей жизни (хронические хрипы, астма). Старшие дети и взрослые часто заболевают обычной простудой после RSV инфекции. В пожилом возрасте такая предрасположенность снова повышается, и RSV влечет за собой ряд вспышек пневмонии, которые в старческом возрасте приводят к значительной смертности.
Инфицирование вирусом данной подгруппы не защищает от последующего инфицирования RSV изолятом из той же самой подгруппы в следующем зимнем сезоне. Таким образом, повторное инфицирование RSV является обычным, несмотря на то что существует всего два подтипа, A и B.
В настоящее время только три лекарства рекомендованы к применению против RSV инфекции. Первым является рибофлавин, аналог нуклеозида, обеспечивающий аэрозольное лечение при тяжелой RSV инфекции для госпитализированных детей. Аэрозольный способ введения, токсичность (риск тератогенности), стоимость и значительные колебания эффективности ограничивают его применение. Два других лекарства, RespiGam® и palivizumab, иммуностимуляторы поликлональных и моноклональных антител, предназначены для превентивного использования.
Все другие попытки создания безопасной и эффективной RSV вакцины до сих пор терпели неудачу. Инактивированные вакцины не могут защитить от заболевания, и на практике в некоторых случаях лишь усиливают заболевание при последующем инфицировании. С ограниченным успехом использовались ослабленные вакцины. Очевидно, что существует необходимость в эффективном, не токсичном и простом в применении лекарстве против репликации RSV.
Бензимидазолы и имидазопиридины в качестве ингибиторов репликации RSV были раскрыты в WO 01/00611, WO 01/00612 и WO 01/00615.
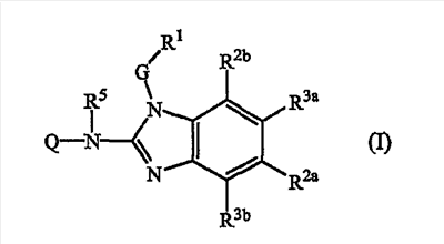
Настоящее изобретение относится к ингибиторам репликации RSV, которые можно представить формулой (I):

к их пролекарственным формам, N-оксидам, солям присоединения, четвертичным аминам, комплексам металлов и стереохимически изомерным формам, где
Q представляет Ar2, C3-7циклоалкил или C1-6алкил, замещенный одним или более заместителями, каждый из которых независимо выбран из группы, состоящей из трифторметила, C3-7циклоалкила, Ar2, гидрокси, C1-4алкокси, C1-4алкилтио, Ar2-окси-, Ar2-тио-, Ar2(CH2)nокси, Ar2(CH2)nтио, гидроксикарбонила, аминокарбонила, C1-4алкилкарбонила, Ar2карбонила, C1-4алкоксикарбонила, Ar2(CH2)nкарбонила, аминокарбонилокси, C1-4алкилкарбонилокси, Ar2карбонилокси, Ar2(CH2)nкарбонилокси, гидрокси-C2-4алкилокси, C1-4алкоксикарбонил(CH2)nокси, моно- или ди(C1-4алкил)аминокарбонила, моно- или ди(C1-4алкил)аминокарбонилокси, аминосульфонила, моно- или ди(C1-4алкил)аминосульфонила, диоксоланила, необязательно замещенного одним или двумя C1-6алкильными радикалами, и гетероцикла, выбранного из группы, состоящей из пирролидинила, пирролила, дигидропирролила, индолила, имидазолила, триазолила, пиперидинила, гомопиперидинила, пиперазинила, пиридила и тетрагидропиридила, где каждый из указанных гетероциклов может необязательно быть замещен оксо- или C1-6алкилом;
G представляет простую связь или C1-10алкандиил, необязательно замещенный одним или более заместителей, индивидуально выбранных из группы, состоящей из гидрокси, C1-6алкилокси, Ar1C1-6алкилокси, C1-6алкилтио, Ar1C1-6алкилтио, HO(-CH2-CH2-O)n-, C1-6алкилокси(-CH2-CH2-O)n– и Ar1C1-6алкилокси(-CH2-CH2-O)n-;
R1 представляет Ar1 или моноциклический или бициклический гетероцикл, выбранный из пиперидинила, пиперазинила, пиридила, пиразинила, пиридазиниала, пиримидинила, фуранила, тетрагидрофуранила, тиенила, пирролила, тиазолила, оксазолила, имидазолила, изотиазолила, пиразолила, изоксазолила, оксадиазолила, хинолинила, хиноксалинила, бензофуранила, бензотиенила, бензимидазолила, бензоксазолила, бензтиазолила, пиридопиридила, нафтиридинила, 1Н-имидазо[4,5-b]пиридинила, 3Н-имидазо[4,5-b]пиридинила, имидазо[1,2-a]-пиридинила, 2,3-дигидро-1,4-диоксино[2,3-b]пиридила и радикала формулы

где каждый из указанных моноциклических или бициклических гетероциклов может необязательно быть замещен одним или, если это возможно, более, например 2, 3, 4 или 5, заместителями, индивидуально выбранными из группы заместителей, состоящей из галогена, гидрокси, амино, циано, карбоксила, C1-6алкила, C1-6алкилокси, C1-6алкилтио, C1-6алкилоксиC1-6алкила, Ar1, Ar1C1-6алкила, Ar1C1-6алкилокси, гидроксиC1-6алкила, моно- или ди(C1-6алкил)амино, моно- или ди(C1-6алкил)аминоC1-6алкила, полигалогенC1-6алкила, C1-6алкилкарбониламино, C1-6алкил-SO2-NR4а-, Ar1-SO2-NR4a-, C1-6алкилоксикарбонила, -C(=O)-NR4aR4b, HO(-CH2-CH2-O)n-, галоген-(-CH2-CH2-O)n-, C1-6алкилокси(-CH2-CH2-O)n-, Ar1C1-6алкилокси(-CH2-CH2-О)n– и моно- или ди(C1-6алкил)амино(-CH2-CH2-O)n-;
каждый n независимо представляет 1, 2, 3 или 4;
один из R2a и R3a представляет C1-6алкил и другой из R2a и R3a представляет водород;
в том случае, если R2a отличается от водорода, тогда R2b представляет водород или C1-6алкил, и R3b представляет водород;
в том случае, если R3a отличается от водорода, тогда R3b представляет водород или C1–6алкил, и R2b представляет водород; или
R2a, R2b, R3a и R3b все представляют водород;
R4a и R4b могут быть одинаковы или могут отличаться друг от друга, и каждый независимо представляет водород или C1-6алкил; или
R4a и R4b взятые вместе, могут образовывать двухвалентный радикал формулы -(СН2)s;
R5 представляет водород или C1-6алкил;
m представляет 1 или 2;
p представляет 1 или 2;
s представляет 4 или 5;
Ar1 представляет фенил или фенил, замещенный 1 или более, например 2, 3 или 4, заместителями, выбранными из галогена, гидрокси, C1-6алкила, гидроксиC1-6алкила, полигалогенC1-6алкила и C1-6алкилокси;
Ar2 представляет фенил или фенил, замещенный 1 или более, например 2, 3 или 4, заместителями, выбранными из группы, состоящей из галогена, гидрокси, амино, циано, C1-6алкила, гидроксиC1-6алкила, полигалогенC1-6алкила, аминоC1-6алкила, C1-6алкилокси, аминосульфонила, аминокарбонила, гидроксикарбонила, C1-4алкилкарбонила, моно- или ди(C1-4алкил)амино, моно- или ди(C1-4алкил)аминокарбонила, моно- или ди(C1-4алкил)аминосульфонила, моно- или ди(C1-4алкил)аминоC1-6алкила и C1-4алкоксикарбонила.
Настоящее изобретение относится к использованию соединения формулы (I), или его пролекарственной формы, N-оксида, соли присоединения, четвертичного амина, комплекса металла и его стереохимически изомерных форм, для изготовления лекарства для ингибирования репликации RSV. Или настоящее изобретение относится к способу ингибирования репликации RSV у теплокровных животных, причем указанный способ включает введение эффективного количества соединения формулы (I), или его пролекарственной формы, N-оксида, соли присоединения, четвертичного амина, комплекса металла и стереохимически изомерной формы.
В следующем аспекте настоящее изобретение относится к новым соединениям формулы (I), также как к способам получения этих соединений.
В том смысле, как его используют в настоящем описании и формуле изобретения, термин “пролекарственная форма” означает фармакологически приемлемые производные, например сложные эфиры и амиды такие, которые, являясь результатом биотрансформации производного, представляют собой активное лекарство, как определено для соединений формулы (I). Ссылка на Goodman и Gilman (The Pharmacological Basis of Therapeutics, 8th ed, McGraw-Hill, Int. Ed 1992, “Biotransformation of Drugs”, p. 13-15), в которой речь идет вообще о пролекарственных формах, включена сюда для ссылки. Пролекарственные формы характеризуются хорошей растворимостью в воде и биоусвояемостью и легко превращаются в активные ингибиторы in vivo.
Подразумевается, что термины “C1-6алкил, необязательно замещенный одним или более заместителей,” например, использованный в определении Q, или “C1-10алкандиил, необязательно замещенный одним или более заместителей,” использованный в определении G, включают C1-6алкильные радикалы, соответственно C1-10алкандиильные радикалы содержат (не содержат) один, два или более заместителей, например содержат (не содержат) один, два, три, четыре, пять или шесть заместителей, в частности содержат (не содержат) один, два или три заместителя, еще в частности содержат (не содержат) один или два заместителя. Верхний предел числа заместителей определяется числом атомов водорода, которые можно заменить, также как общими свойствами заместителей, например их объемом, причем эти характеристики позволяют специалистам определять указанные верхние пределы.
Предполагается, что в том смысле, как здесь использован в отношении Q, термин “где каждый из указанных гетероциклов может быть необязательно замещен оксо- или C1-6алкилом” включает гетероциклы, замещенные одним или более, например, вплоть до 3 или вплоть до 2 заместителей или одним заместителем, независимо выбранными из оксо- и C1-6алкила.
В том смысле, как использован здесь и далее термин “полигалогенC1-6алкил” как группа или часть группы, например, в полигалогенC1-6алкилокси, он подразумевает моно- или полигалоген, замещенный C1-6алкилом, в частности C1-6алкилом, замещенным одним, двумя, тремя, четырьмя, пятью, шестью или более атомами галогена, например метилом или этилом с одним или более атомами фтора, например дифторметил, трифторметил, трифторэтил. Включены также перфторC1-6алкильные группы, которые представляют C1-6алкильные группы, в которых все атомы водорода заменены атомами фтора, например, пентафторэтил. В том случае, если более чем один атом галогена присоединен к алкильной группе в определении полигалогенC1-4алкила, атомы галогена могут быть одинаковы или различны.
Каждый из моноциклических или бициклических гетероциклов в определении R1 может быть необязательно замещен 1 или, если это возможно, более заместителями, например 2, 3, 4 или 5 заместителями. В частности, указанные гетероциклы могут быть необязательно замещены вплоть до 4, вплоть до 3, вплоть до 2 заместителей или 1 заместителем.
Каждый Ar1 или Ar2 может представлять незамещенный фенил или фенил, замещенный 1 или более заместителей, например 5 или 4 заместителями, или, что предпочтительно, вплоть до 3 заместителей или вплоть до 2 заместителей или одним заместителем.
Если гидроксиC1-6алкильная группа замещена у атома кислорода или атома азота, она предпочтительно представляет гидроксиC2-6алкильную группу, в которой гидроксильная группа и кислород или азот разделены, по меньшей мере, двумя атомами углерода.
В том смысле, как здесь использован термин «C1-3алкил как группа или часть группы», он определяет неразветвленные или разветвленные насыщенные углеводородные радикалы, содержащие от 1 до 3 атомов углерода, например метил, этил, пропил, 1-метилэтил и т.п.; «C1-4алкил как группа или часть группы» определяет неразветвленные или разветвленные насыщенные углеводородные радикалы, содержащие от 1 до 4 атомов углерода, например, группа, определенная для C1-3алкила и бутил и т.п.; «C2–4алкил как группа или часть группы» определяет неразветвленные или разветвленные насыщенные углеводородные радикалы, содержащие от 2 до 4 атомов углерода, например этил, пропил, 1-метилэтил, бутил и т.п.; «C1-5алкил как группа, или часть группы» определяет неразветвленные или разветвленные насыщенные углеводородные радикалы, содержащие от 1 до 5 атомов углерода, например группы, определенные для C1-4алкила и пентил, 1-метилбутил, 2-метилбутил, 1-этилпропил и т.п.; «C1-6алкил как группа, или часть группы» определяет неразветвленные или разветвленные насыщенные углеводородные радикалы, содержащие от 1 до 6 атомов углерода, например группы, определенные для C1–5алкила и гексил, 2-метилпентил, 3-метилпентил и т.п.; «C1-9алкил как группа или часть группы» определяет неразветвленные или разветвленные насыщенные углеводородные радикалы, содержащие от 1 до 9 атомов углерода, например группы, определенные для C1-6алкила и гептил, октил, нонил, 2-метилгексил, 2-метилгептил и т.п.; «C1-10алкил как группа или часть группы» определяет неразветвленные или разветвленные насыщенные углеводородные радикалы, содержащие от 1 до 10 атомов углерода, например группы, определенные для C1-9алкила и децил, 2-метилнонил и т.п.
C3-7циклоалкил представляет циклопропил, циклобутил, циклопентил, циклогексил и циклогептил.
C2-5алкандиил представляет двухвалентные неразветвленные или разветвленные радикалы, содержащие от 2 до 5 атомов углерода, например 1,2-этандиил, 1,3-пропандиил, 1,4-бутандиил, 1,2-пропандиил, 2,3-бутандиил, 1,5-пентандиил и т.п.; C1-4алкандиил представляет двухвалентные неразветвленные или разветвленные радикалы, содержащие от 1 до 4 атомов углерода, например метилен, 1,2-этандиил, 1,3-пропандиил, 1,4-бутандиил и т.п.; C1-6алкандиил включает C1-4алкандиил и его высшие гомологи, содержащие от 5 до 6 атомов углерода, например 1,5-пентандиил, 1,6-гександиил и т.п.; C1-10алкандиил включает C1-6алкандиил и его высшие гомологи, содержащие от 7 до 10 атомов углерода, например 1,7-гептандиил, 1,8-октандиил, 1,9-нонандиил, 1,10-декандиил и т.п.
В том смысле, как здесь использован, член (=O) образует карбонильный фрагмент, если присоединен к атому углерода, сульфоксидный фрагмент, если присоединен к атому серы, и сульфонильный фрагмент, если два указанные члена присоединены к атому серы. Член (=N-OH) образует гидроксилиминный фрагмент, если присоединен к атому углерода.
Термин «галоген» объединяет фтор, хлор, бром и йод.
Следует отметить, что положения радикалов на любом фрагменте молекул, использованные в указанных определениях, могут располагаться на таком фрагменте где угодно, если только он химически стабилен.
Радикалы, использованные в определениях переменных, включают все возможные изомеры, если нет других указаний. Например, пиридил включает 2-пиридил, 3-пиридил и 4-пиридил; пентил включает 1-пентил, 2-пентил и 3-пентил.
Если любое из переменных встречается более одного раза в любой составной части, каждое определяется независимо.
В том смысле, как использован здесь и далее термин “соединения формулы (I)”, или “соединения по настоящему изобретению” или аналогичный термин, он включает соединения общей формулы (I), их пролекарственные формы, N-оксиды, соли присоединения, четвертичные амины, комплексы металлов и стереохимически изомерные формы. Интересной подгруппой соединений формулы (I) или любой ее подгруппой являются N-оксиды, соли и все стереоизомерные формы соединений формулы (I).
Следует учесть, что некоторые из соединений формулы (I) могут содержать один или более из центров хиральности, и существовать как стереохимические изомерные формы.
В том смысле, как здесь использован термин “стереохимически изомерные формы”, он определяет все возможные соединения, состоящие из тех же самых атомов, связанных в той же последовательности связями, но имеющие различные трехмерные структуры, которые не являются взаимозаменяемыми, которыми соединения формулы (I) могут обладать.
Если нет других указаний или упоминаний, химическое обозначение соединения охватывает смесь всех возможных стереохимически изомерных форм, которыми может обладать указанное соединение. Указанная смесь может содержать все диастереоизомеры и/или энантиомеры основной молекулярной структуры указанного соединения. Все стереохимически изомерные формы соединений по настоящему изобретению как в чистом виде, так и в смеси друг с другом включены в объем настоящего изобретение.
Чистые стереоизомерные формы соединений и промежуточных соединений, как здесь указано, определены как изомеры, практически не содержащие других энантиомерных или диастереоизомерных форм той же самой основной молекулярной структуры указанного соединения или промежуточных соединений. В частности, термин “стереоизомерически чистый” относится к соединениям или промежуточным соединениям, характеризующимся стереоизомерным избытком, по меньшей мере, 80% (т.е. минимум 90% одного изомера и максимум 10% других возможных изомеров) вплоть до стереоизомерного избытка 100% (т.е. 100% одного изомера и никаких других изомеров), более предпочтительно к соединениям или промежуточным соединениям, характеризующимся стереоизомерным избытком от 90% вплоть до 100%, еще более предпочтительно со стереоизомерным избытком от 94% вплоть до 100% и самое предпочтительное со стереоизомерным избытком от 97% вплоть до 100%. Термины “энантиомерно чистый” и “диастереоизомерно чистый” следует понимать аналогичным образом, но при этом рассматривать энантиомерный избыток и диастереоизомерный избыток, соответственно.
Чистые стереоизомерные формы соединений и промежуточных соединений по настоящему изобретению можно получить, используя известные специалистам процедуры. Например, энантиомеры можно отделить друг от друга, используя селективную кристаллизацию их диастереоизомерных солей с оптически активными кислотами или основаниями. Примерами служат винная кислота, дибензоилвинная кислота, дитолуоилвинная кислота и камфосульфоновая кислота. В другом варианте, энантиомеры можно разделить, используя хроматографические методики, с хиральными стационарными фазами. Указанные чистые стереохимически изомерные формы можно также получить из соответствующих чистых стереохимически изомерных форм соответствующих исходных материалов, при условии, что реакция протекает стереоспецифически. Предпочтительно, если нужно получить конкретный стереоизомер, синтезируют указанное соединение, используя стереоспецифический способ получения. Указанные способы выгодно использовать с энантиомерно чистыми исходными материалами.
Диастереоизомерные рацематы формулы (I) можно получить раздельно обычными способами. Выгодно использовать соответствующие физические способы разделения, такие как селективная кристаллизация и хроматография, например колоночная хроматография.
Для некоторых соединений формулы (I), их пролекарственных форм, N-оксидов, солей, четвертичных аминов или комплексов металлов и промежуточных соединений, использованных для их получения, экспериментально не определена их абсолютная стереохимическая конфигурация. Специалисты могут определить абсолютную конфигурацию таких соединений, используя известные специалистам методы, например дифракцию рентгеновских лучей.
Настоящее изобретение включает также все изотопы атомов, входящих в состав рассматриваемого соединения. Изотопы включают такие атомы, у которых одинаковый атомный номер, но различные массовые числа. В качестве примера (но без ограничений) можно указать изотопы водорода, которые включают тритий и дейтерий. Изотопы углерода включают 13C и 14C.
Для терапевтического использования пригодны соли соединений формулы (I), в которых противоион является фармацевтически приемлемым. Однако соли кислот и оснований, которые представляют фармацевтически неприемлемые соли, также могут найти применение, например, при получении или очистке фармацевтически приемлемых соединений. Все соли, независимо от того, являются ли они фармацевтически приемлемыми или нет, включены в объем настоящего изобретения.
Подразумевают, что фармацевтически приемлемые соли присоединения кислот и оснований, как здесь указано, включают терапевтически активные нетоксичные формы солей присоединения кислот и оснований, которые способны образовывать соединения формулы (I). Фармацевтически приемлемые соли присоединения кислот можно получить, обрабатывая основание соответствующей кислотой. Подходящие кислоты включают, например, неорганические кислоты, например галогеноводородные кислоты, например хлористоводородную или бромистоводородную кислоту, серную, азотную, фосфорную и т.п. кислоты; или органические кислоты, например уксусную, пропановую, гидроксиуксусную, молочную, пировиноградную, щавелевую (т.е. этандиоевую), малоновую, янтарную (т.е. бутандиоевую кислоту), малеиновую, фумаровую, яблочную (т.е. гидроксибутандиоевую кислоту), винную, лимонную, метансульфоновую, этансульфоновую, бензолсульфоновую, п-толуолсульфоновую, цикламовую, салициловую, п-аминосалициловую, памовую и т.п. кислоты.
И наоборот, указанную солевую форму можно превратить, обрабатывая соответствующим основанием, в форму свободного основания.
Соединения формулы (I), содержащие кислотные протоны, можно также превратить в форму их нетоксичных солей присоединения металлов или аминов, обрабатывая соответствующими органическими и неорганическими основаниями. Соответствующие формы солей оснований включают, например, соли аммония, соли щелочных и щелочноземельных металлов, например соли лития, натрия, калия, магния, кальция и т.п., соли органических оснований, например соли бензатина, N-метил-D-глюкамина, гидрабамина, и соли аминокислот, например аргинина, лизина и т.п.
В том смысле, как здесь использован термин «соли присоединения», он также включает сольваты, которые могут образовывать соединения формулы (I), а также их соли. Такими сольватами являются, например, гидраты, алкоголяты и т.п.
В том смысле, как здесь использован термин “четвертичный амин”, он определяет четвертичные соли аммония, которые могут образовывать соединения формулы (I), в результате реакции основного азота соединения формулы (I) и соответствующего кватернизующего агента, например необязательно замещенного алкилгалогенида, арилгалогенида или арилалкилгалогенида, например метилиодида или бензилиодида. Можно использовать и другие реагенты с легко отщепляемыми группами, например алкилтрифторметансульфонаты, алкилметансульонаты и алкил-п-толуолсульфонаты. У четвертичного амина азот положительно заряжен. Фармацевтически приемлемые противоионы включают хлор, бром, йод, трифторацетат и ацетат. Выбранный противоион можно ввести, используя ионообменные смолы.
Подразумевается, что N-оксидные формы настоящего изобретения включают соединения формулы (I), в которых один или несколько атомов азота окислены до так называемого N-оксида.
Следует учитывать, что соединения формулы (I) могут обладать свойствами связывания металлов, хелатирования, комплексообразования, и поэтому могут существовать в виде комплексов с металлами или металлхелатов. Такие металлированные производные соединений формулы (I) должны быть включены в объем настоящего изобретения.
Некоторые из соединений формулы (I) могут существовать в своей таутомерной форме. Хотя такие формы подробно не указаны в вышеприведенных формулах, они также включены в объем настоящего изобретения.
Подразумевается, что любая указанная здесь подгруппа соединений формулы (I) включает также пролекарственные формы, N-оксиды, соли присоединения, четвертичные амины, комплексы металлов и стереохимически изомерные формы этих подгрупп соединений формулы (I).
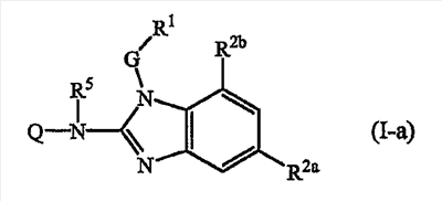
Один из вариантов настоящего изобретения относится к соединениям формулы (I-a):

где Q, R5, G и R1 имеют указанные выше значения или значения, указанные в любой из подгрупп, указанных здесь соединений; и
R2a представляет C1-6алкил;
R2b представляет водород или C1-6алкил.
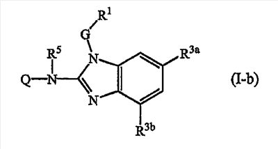
Другой вариант настоящего изобретения относится к соединениям формулы (I-b):

где Q, R5, G и R1 имеют указанные выше значения, или значения, указанные в любой из подгрупп, указанных здесь соединений; и
R3a представляет C1-6алкил;
R3b представляет водород или C1-6алкил.
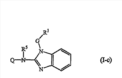
Другой вариант настоящего изобретения относится к соединениям формулы (I-c):

где Q, R5, G и R1 имеют указанные выше значения или значения, указанные для любой из подгрупп, указанных здесь соединений.
Следует учитывать, что подразумевается, что определенные выше подгруппы соединений формул (I-a), (I-b) и т.д., также как любые другие определенные здесь подгруппы, также включают любые пролекарственные формы, N-оксиды, соли присоединения, четвертичные амины, комплексы металлов и стереохимически изомерные формы таких соединений.
Конкретными подгруппами соединений формулы (I) являются такие соединения формулы (I) или любые определенные здесь подгруппы соединений формулы (I), где G представляет C1-10алкандиил, более предпочтительно, где G представляет метилен.
Другими конкретными подгруппами соединений формулы (I) являются такие соединения формулы (I) или любые определенные здесь подгруппы соединений формулы (I), где
(a) R1 отличен от Ar1; или где
(b) R1 представляет Ar1 или моноциклический гетероцикл, который определен в определениях соединений формулы (I) или любой их подгруппы.
Следующими конкретными подгруппами соединений формулы (I) являются такие соединения формулы (I) или любые определенные здесь подгруппы соединений формулы (I), где
(c) R1 представляет пиридил, необязательно замещенный 1 или 2 заместителями, независимо выбранными из группы, состоящей из галогена, гидрокси, амино, циано, карбоксила, C1-6алкила, C1-6алкилокси, C1-6алкилтио, C1-6алкилоксиC1-6алкила, Ar1, Ar1C1-6алкила, Ar1C1-6алкила, гидроксиC1-6алкила, моно- или ди(C1-6алкил)амино, моно- или ди(C1-6алкил)аминоC1-6алкила, полигалогенC1-6алкила, C1-6алкилкарбониламино, C1-6алкил-SO2-NR4а-, Ar1-SO2-NR4a-, C1-6алкилоксикарбонила, -C(=O)-NR4aR4b, HO(-CH2-CH2-O)n-, гало(-CH2-CH2-O)n-, C1-6алкилокси(-CH2-CH2-O)n-, Ar1C1-6алкилокси(-CH2-CH2-О)n– и моно- или ди(C1-6алкил)амино(-CH2-CH2-O)n-; или более конкретно
(d) R1 представляет пиридил, замещенный 1 или 2 заместителями, независимо выбранными из группы, состоящей из гидрокси, C1-6алкила, галогена, C1-6алкилокси, Ar1C1-6алкилокси и (C1-6алкилокси)C1-6алкилокси; где предпочтительно
(e) R1 представляет пиридил, замещенный 1 или 2 заместителями, независимо выбранными из группы, состоящей из гидрокси, C1-6алкила, галогена и C1-6алкилокси; или где
(f) R1 представляет пиридил, замещенный 1 или 2 заместителями, независимо выбранными из группы, состоящей из гидрокси и C1-6алкила; более предпочтительно, где
(g) R1 представляет пиридил, замещенный гидрокси и C1-6алкилом; или более предпочтительно, где
(h) R1 представляет пиридил, замещенный гидрокси и метилом; или где
(i) R1 представляет 3-гидрокси-6-метилпирид-2-ил.
Дальнейшие варианты включают такие соединения формулы (I) или любые подгруппы соединений формулы (I), где
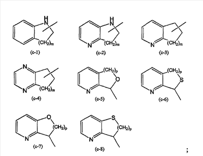
(j) R1 представляет Ar1, хинолинил, бензимидазолил, радикал формулы (с-4):

пиразинил или пиридил; или где
(k) R1 представляет Ar1, хинолинил, бензимидазолил или радикал формулы (c-4), где m представляет 2, пиразинил или пиридил;
где каждый из радикалов в (j) и (k) может необязательно быть замещен заместителями, указанными в определении соединения формулы (I), и, в частности, пиридил может быть замещен, как указано выше в (a)-(i).
Дальнейшие варианты включают такие соединения формулы (I) или любые подгруппы соединений формулы (I), где
(l) R1 представляет Ar1, хинолинил, бензимидазолил или радикал формулы (c-4), где m представляет 2, пиразинил или пиридил, где каждый из этих радикалов может необязательно быть замещен одним, двумя или тремя радикалами, выбранными из группы, состоящей из галогена, гидрокси, C1-6алкила, C1-6алкилокси, Ar1C1-6алкилокси, (C1-6алкилокси)C1-6алкилокси; или более конкретно, где
(m) R1 представляет Ar1, хинолинил, бензимидазолил или радикал формулы (c-4), где m представляет 2, пиразинил или пиридил, где каждый из этих радикалов может необязательно быть замещен одним, двумя или тремя радикалами, выбранными из группы, состоящей из галогена, гидрокси, C1-6алкила, C1-6алкилокси, бензилокси; или более конкретно, где
(n) R1 представляет фенил, необязательно замещенный одним, двумя или тремя радикалами, выбранными из группы, состоящей из галогена, гидрокси, C1-6алкила, C1-6алкилокси; хинолинила; радикал (c-4), где m представляет 2, необязательно замещенный двумя радикалами, выбранными из C1-6алкила; бензимидазолил, необязательно замещенный C1-6алкилом; пиридил, необязательно замещенный одним или двумя радикалами, выбранными из гидрокси, галогена, C1-6алкила, бензилокси и C1-6алкилокси, пиразинила необязательно замещенного вплоть до трех радикалов, выбранных из C1-6алкила; или пиридил, замещенный или необязательно замещенный, как определено в (a)-(i); или где
(o) R1 представляет фенил, необязательно замещенный одним или двумя радикалами, выбранными из группы, состоящей из галогена, гидрокси, C1-6алкила, C1-6алкилокси; или
(p) R1 представляет хинолинил; или
(q) R1 представляет радикал (c-4), где m представляет 2, необязательно замещенный вплоть до двух радикалов, выбранных из C1-6алкила; или
(r) R1 представляет бензимидазолил, необязательно замещенный C1-6алкилом; пиридил, необязательно замещенный одним или двумя радикалами, выбранными из гидрокси, галогена, C1-6алкила, бензилокси и C1-6алкилокси; или
(s) R1 представляет пиразинил, необязательно замещенный вплоть до трех радикалов, выбранных из C1-6алкила.
Предпочтительной подгруппой соединений формулы (I) или любой из подгрупп соединений формулы (I) являются те, где G представляет простую связь или метилен и R1 представляет указанные выше в (a)-(s) значения. Далее, предпочтительными являются соединения формулы (I) или любые, определенные здесь подгруппы, где G представляет простую связь и R1 представляет радикал (c-4), в частности, где m представляет 2, необязательно замещенный вплоть до двух радикалов, выбранных из C1-6алкила. Далее, предпочтительными являются соединения формулы (I) или любые из определенных здесь подгрупп, где или G представляет метилен и R1 представляет указанные выше в (a)-(s) значения, но отличается от радикала (c-4).
Другие варианты включают такие соединения формулы (I) или любые из определенных здесь подгрупп соединений формулы (I), где R5 представляет водород.
Другие варианты включают такие соединения формулы (I) или любые из определенных здесь подгрупп соединений формулы (I), где:
(a) Q представляет Ar2, C3-7циклоалкил или C1-6алкил, замещенный одним или двумя заместителями, каждый из которых независимо выбран из группы, состоящей из заместителей, указанных в определении соединений формулы (I) или любой их подгруппы; или, в частности,
(b) Q представляет Ar2, C3-7циклоалкил или C1-6алкил, замещенный одним заместителем, выбранными из группы, состоящей заместителей, указанных в определении соединений формулы (I) или любой их подгруппы, и указанный C1-6алкил необязательно далее замещен одной гидрокси; или
(c) Q представляет Ar2, C3-7циклоалкил или C1-6алкил, необязательно замещенный одним или двумя заместителями, каждый из которых независимо выбран из группы, состоящей из трифторметила, Ar2, гидрокси, C1-6алкокси, C1-6алкилтио, Ar2-окси-, Ar2(CH2)nокси, гидроксикарбонила, аминокарбонила, C1-4алкилкарбонила, Ar2карбонила, C1-4алкоксикарбонила, C1-4алкилкарбонилокси, гидроксиC2-4алкилокси, моно- или ди(C1-4алкил)аминокарбонила, диоксоланила, необязательно замещенного одним или двумя C1-6алкильными радикалами, и гетероцикл, выбранный из группы, состоящей из пирролидинила, пирролила, дигидропирролила, индолила, имидазолила, триазолила, пиперидинила, гомопиперидинила, пиперазинила, пиридила и тетрагидропиридила, где каждый из указанных гетероциклов может необязательно быть замещен вплоть до двух заместителей, независимо выбранных из оксо и C1-6алкила; или
(d) Q представляет Ar2, C3-7циклоалкил, или C1-6алкил, необязательно замещенный одним заместителем, выбранными из трифторметила, Ar2, гидрокси, C1-4алкокси, C1-4алкилтио, Ar2-окси-, Ar2(CH2)nокси, гидроксикарбонила, аминокарбонила, C1-4алкилкарбонила, Ar2карбонила, C1-4алкоксикарбонила, C1-4алкилкарбонилокси, гидроксиC2-4алкилокси, моно- или ди(C1-4алкил)аминокарбонила, диоксоланила, необязательно замещенного одним или двумя C1-6алкильными радикалами, и гетероцикл, выбранный из группы, состоящей из пирролидинила, пирролила, дигидропирролила, индолила, имидазолила, триазолила, пиперидинила, гомопиперидинила, пиперазинила, пиридила и тетрагидропиридила, где каждый из указанных гетероциклов может необязательно быть замещен вплоть до двух заместителей, независимо выбранных из оксо и C1-6алкила, и указанный C1-6алкил необязательно замещен далее одной гидрокси; или
(e) Q представляет Ar2, C3-7циклоалкил или C1-6алкил, необязательно замещенный одним или двумя заместителями, каждый из которых независимо выбран из группы, состоящей из Ar2, гидрокси, C1-4алкокси, C1-4алкилтио, аминокарбонила, C1-4алкоксикарбонила, гидроксиC2-4алкилокси, диоксоланила, замещенного двумя C1-6алкильными радикалами, и гетероцикл, выбранный из группы, состоящей из пирролидинила, индолила, имидазолила, пиперидинила, пиперазинила и пиридила, где каждый из указанных гетероциклов может быть необязательно замещен вплоть до двух заместителей, независимо выбранных из оксо и C1-6алкила; или
(f) Q представляет Ar2, C3-7циклоалкил, или C1-6алкил, необязательно замещенный Ar2, гидрокси, C1-4алкокси, C1-4алкилтио, аминокарбонилом, C1-4алкоксикарбонилом, гидроксиC2-4алкилокси, диоксоланилом, замещенным двумя C1-6алкильными радикалами или гетероцикл, выбранный из пирролидинила, индолила, имидазолила, пиперидинила, пиперазинила и пиридила, где каждый из указанных гетероциклов может необязательно быть замещен вплоть до двух заместителей, независимо выбранных из оксо- и C1-6алкила, и указанный C1-6алкил необязательно замещен далее одной гидрокси; или
(g) Q представляет Ar2, C3-7циклоалкил или C1-6алкил, необязательно замещенный Ar2, одной или двумя гидроксильными группами, C1-4алкокси, C1-4алкилтио, аминокарбонилом, C1-4алкоксикарбонилом, гидроксиC2-4алкилокси, диоксоланилом, замещенным двумя C1-6алкильными радикалами или гетероцикл, выбранный из пирролидинила, индолила, имидазолила, пиперидинила, пиперазинила и пиридила, где каждый из указанных гетероциклов может необязательно быть замещен двумя заместителями, независимо выбранными из оксо- и C1-6алкила; или
(h) Q представляет C1-6алкил, необязательно замещенный Ar2, одной или двумя гидроксильными группами, C1-4алкокси, C1-4алкилтио, аминокарбонилом, C1-4алкоксикарбонилом или гетероцикл, выбранный из пирролидинила, имидазолила, пиперидинила и пиперазинила, где каждый из указанных гетероциклов может необязательно быть замещен оксо- или C1-6алкилом, или
(i) Q представляет Ar2.
Представляют интерес те подгруппы, среди указанных в предыдущем разделе подгрупп, где Ar2 представляет фенил или фенил, замещенный 1, 2 или 3 заместителями, или 1 или 2 заместителями, или предпочтительно одним заместителем, выбранными из галогена, гидрокси, амино, циано, гидроксиC1-6алкила, аминоC1-6алкила, C1-6алкилокси и аминосульфонила.
Далее представляют интерес подгруппы, среди указанных в предыдущем разделе подгрупп, где Ar2 представляет фенил или фенил, замещенный 1, 2 или 3 заместителями, или 1 или 2 заместителями, или предпочтительно одним заместителем, выбранными из амино, циано, гидроксиC1-6алкила, аминоC1-6алкила и аминосульфонила.
В частности, Ar1 представляет фенил или фенил, замещенный 1, 2, 3 заместителями, или 1, 2 заместителями, выбранными из указанных в определении соединения формулы (I) или любой из его подгрупп.
Ar2 представляет фенил или фенил, замещенный 1, 2, 3 заместителями, или 1, 2 заместителями, выбранными из группы, состоящей из указанных в определении соединения формулы (I), или любой его подгруппы.
В группе соединений формулы (I) или в любой из подгрупп соединений формулы (I):
(a) Ar1 предпочтительно представляет фенил или фенил, замещенный вплоть до 3 заместителей, или вплоть до 2 заместителей, или одним заместителем, выбранными из галогена, гидрокси, C1-6алкила, гидроксиC1-6алкила, трифторметила, и C1-6алкилокси;
(b) Ar1 более предпочтительно представляет фенил или фенил, замещенный вплоть до 3 заместителей, или вплоть до 2 заместителей, или одним заместителем, выбранными из галогена, гидрокси, C1-6алкила и C1-6алкилокси;
(c) Ar1 более предпочтительно представляет фенил или фенил, замещенный вплоть до 3 заместителей, или вплоть до 2 заместителей, или одним заместителем, выбранными из галогена и C1-6алкила.
Следующими конкретными подгруппами соединений формулы (I) являются такие соединения формулы (I) или указанные здесь любые подгруппы соединений формулы (I), где Ar2 имеет значения, определенные для Ar1.
Следующими конкретными подгруппами соединений формулы (I) являются такие соединения формулы (I) или указанные здесь любые подгруппы соединений формулы (I), где один из R2а и R3а представляет C1-6алкил и другой один из R2a и R3a представляет водород;
в том случае, если R2a отличается от водорода, тогда R2b представляет C1-6алкил и R3b представляет водород;
в том случае, если R3a отличается от водорода, тогда R3b представляет C1-6алкил и R2b представляет водород.
Предпочтительными соединениями являются соединения, перечисленные в таблицах 1-3, более предпочтительны соединения под номерами 1-11 и 25-28.
Соединения формулы (I) или любые их подгруппы можно получить, используя следующие схемы реакций.

На этих схемах Q, G, R1, R2a, R2b, R3a, R3b, R5 имеют указанные выше значения для соединений формулы (I) или любой из их подгрупп. W представляет соответствующую отщепляемую группу, предпочтительно хлор или бром. Реакции, представленные на этих схемах, обычно можно вести в подходящем растворителе, таком как эфир, например ТГФ, в галогенированном углеводороде, например дихлорметане, CHCl3, толуоле, в полярном апротонном растворителе, например ДМФ, ДМСО, ДМА и т.п. Можно добавить основание, чтобы удалить кислоту, которая высвобождается в процессе реакции. При желании можно добавить некоторые катализаторы, такие как иодидные соли (например, KI).
Соединения формулы (I) можно превратить друг в друга, используя известные специалистам реакции превращения функциональных групп, включая те, которые здесь раскрыты. Соединения формулы (I), где R5 представляет водород, можно превратить в соответствующие соединения формулы (I), в которых R5 отличен от водорода, используя реакцию N-алкилирования, которую можно вести в таких же условиях, как те, которые описаны выше для превращения (II) или (IV) в (I).
Соединения, в которых Q представляет C1-6алкил, замещенный C1-4алкоксикарбонилом, можно восстановить, используя, например, LiAlH4, до соответствующего соединения, в котором Q представляет C1-6алкил, замещенный гидрокси. Те же самые исходные материалы можно подвергнуть взаимодействию с амином, получая соответствующие амиды.
Соединения формулы (I), где Q представляет Ar, содержащие циано или цианоC1-5алкильный заместитель, можно восстановить водородом в присутствии соответствующего катализатора, например никеля Ренея, получая соответствующие заместители: метиленамин или аминоC1-6алкил.
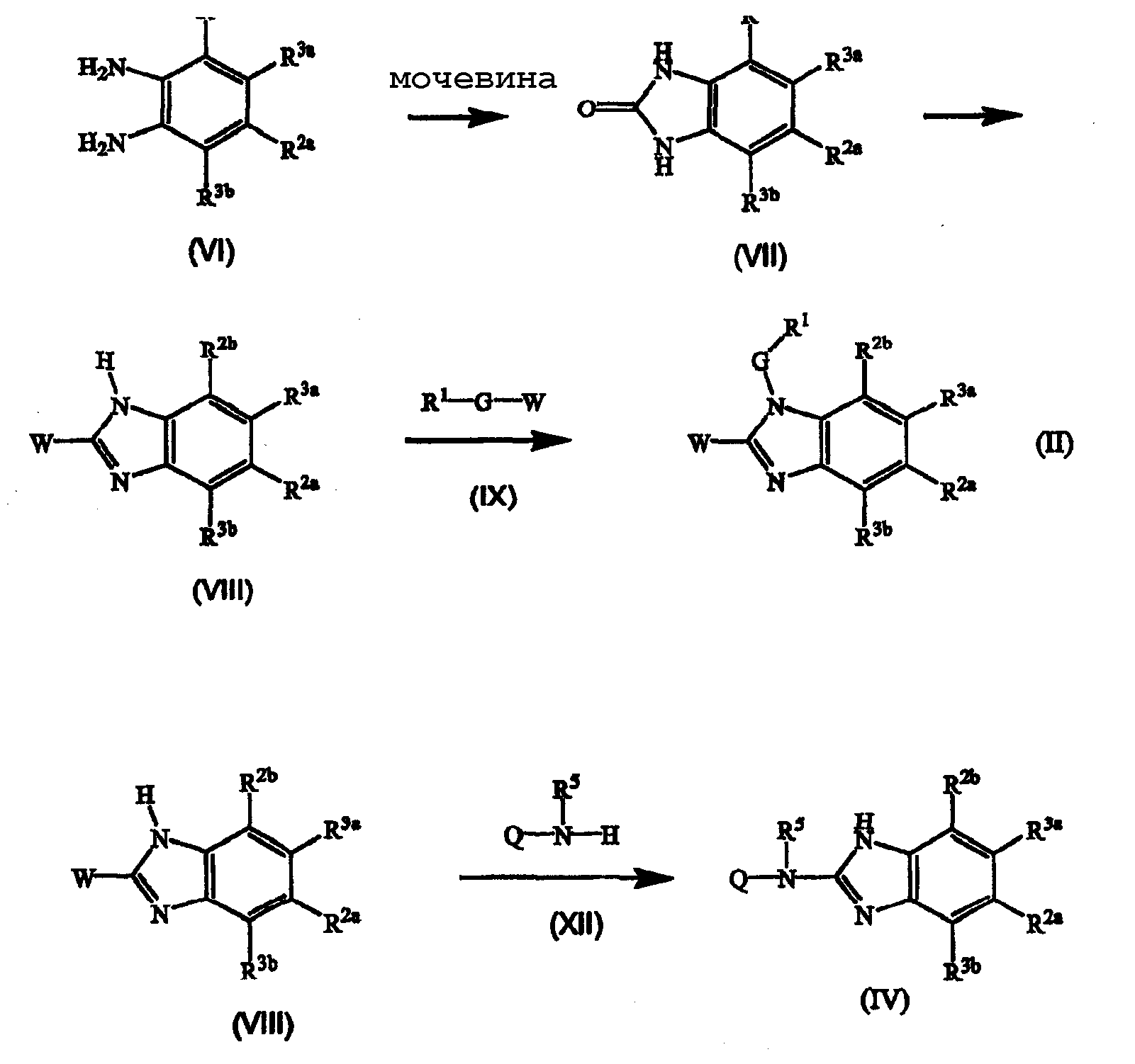
Ряд промежуточных соединений, которые используют для получения соединений формулы (I), являются известными соединениями или аналогами известных соединений, которые можно получить, используя модификации известных способов, легко доступных специалистам. Ряд способов получения промежуточных соединений представлен далее более подробно. Промежуточные соединения формулы (II) и (IV) можно получить способами, представленными на следующих схемах реакций.

На первой стадии, диаминобензол (VI) циклизуют с мочевиной, предпочтительно в подходящем растворителе, например ксилоле, получая бензимидазолон (VII). Последний превращают в производное бензимидазола (VIII), где W представляет отщепляемую группу, как определено выше, в частности, используя реакцию (VII) с подходящим галогенирующим агентом, например POCl3. Полученное производное (VIII) подвергают взаимодействию с производным амина (IX) в реакции N-алкилирования, получая промежуточное соединение (II).
Промежуточное соединение (VIII) можно легко подвергнуть взаимодействию с амином (XII), получая промежуточное соединение (IV). Вышеуказанные реакции ведут в подходящем растворителе и при желании в присутствии основания.
Соединения формулы (I) можно превратить в соответствующие N-оксидные формы, используя известные специалистам процедуры для превращения трехвалентного азота в его N-оксидную форму. Указанную реакцию N-окисления можно осуществить, осуществляя взаимодействие исходного материала формулы (I) с соответствующим органическим или неорганическим пероксидом. Подходящие неорганические пероксиды включают, например, перекись водорода, пероксиды щелочного металла или щелочноземельного металла, пероксид натрия, пероксид калия; подходящие органические пероксиды могут включать пероксикислоты, например бензолкарбопероксоевая кислота или галогензамещенная бензолкарбопероксоевая кислота, например 3-хлорбензолкарбопероксоевая кислота, пероксоалкановые кислоты, например пероксоуксусная кислота, алкилгидропероксиды, например гидропероксид трет-бутила. Подходящими растворителями являются, например, вода, низшие спирты, например этанол и т.п., углеводороды, например толуол, кетоны, например 2-бутанон, галогенированные углеводороды, например дихлорметан, и смеси таких растворителей.
Чистые стереохимически изомерные формы соединений формулы (I) можно получить, применяя известные специалистам процедуры. Диастереоизомеры можно разделить, используя физические методы, например, селективную кристаллизацию и хроматографические методики, например распределение в противотоке, жидкостную хроматографию и т.п.
Соединения формулы (I), полученные раскрытыми выше способами, обычно представляют собой рацемические смеси энантиомеров, которые можно разделить, используя известные специалистам способы. Рацемические соединения формулы (I), которые являются в достаточной мере основными или кислотными, можно превратить в форму соответствующих диастереоизомерных солей, используя реакции с подходящими хиральными кислотами, соответственно хиральными основаниями. Указанную форму диастреоизомерной соли затем выделяют, например, используя селективную или фракционную кристаллизацию, и выделяют из нее энантиомеры, используя щелочь или кислоту. Альтернативный способ разделения энантиомерных форм соединений формулы (I) включает жидкостную хроматографию, в частности жидкостную хроматографию, с использованием хиральной неподвижной фазы. Указанные чистые стереохимически изомерные формы можно также получить из соответствующих чистых стереохимически изомерных форм соответствующих исходных материалов, при условии, что реакция протекает стереоспецифически. Предпочтительно, если нужно получить конкретный стереоизомер, синтезируют указанное соединение, используя стереоспецифические методы получения. В указанных способах выгодно использовать энантиомерно чистые исходные материалы.
В следующем аспекте настоящее изобретение относится к фармацевтической композиции, включающей терапевтически эффективное количество соединения формулы (I), как здесь определено, или соединения любой из подгрупп соединений формулы (I), как здесь определено, и фармацевтически приемлемый носитель. Терапевтически эффективным количеством в указанном контексте является такое количество, которого достаточно для профилактического действия против или для стабилизации или для ослабления вирусной инфекции у инфицированного субъекта или у субъекта, который подвергается риску быть инфицированным. В еще одном аспекте настоящее изобретение относится к способу получения фармацевтической композиции, как здесь определено, который включает тщательное перемешивание фармацевтически приемлемого носителя с терапевтически эффективным количеством соединения формулы (I), как здесь определено, или соединения любой из подгрупп соединений формулы (I), как здесь определено.
Поэтому, соединения по настоящему изобретению или любую их подгруппу можно приготовить в различных фармацевтических формах в соответствии с целями введения. В качестве подходящих композиций можно указать все композиции, обычно используемые для систематического введения лекарств. Для приготовления фармацевтической композиции по настоящему изобретению эффективное количество конкретного соединения, необязательно в форме соли присоединения или в форме комплекса металла, в качестве активного ингредиента объединяют в однородной смеси с фармацевтически приемлемым носителем, причем указанный носитель может иметь различные формы в зависимости от нужной для приема формы препарата. Желательно, чтобы эти фармацевтические композиции были в единичной дозовой форме, пригодной, в частности, для перорального, ректального, чрезкожного введения или для парентеральных инъекций. Например, при приготовлении композиций в дозовой форме для перорального введения можно использовать любые обычные фармацевтические среды, например воду, гликоли, масла, спирты и т.п., в случае жидких препаратов для перорального введения таких, как суспензии, сиропы, эликсиры, эмульсии и растворы; или твердые носители, например, крахмалы, сахара, каолин, смазывающие агенты, связующие, разрыхлители и т.п. в случае порошков, пилюль, капсул и таблеток. Благодаря простоте введения таблетки и капсулы представляют собой наиболее удобные формы для единичных доз для перорального введения, причем в этих случаях, очевидно, используют твердые фармацевтические носители. Для композиций для парентерального введения носитель обычно включает стерильную воду, по меньшей мере, в большей части, хотя могут быть включены другие ингредиенты, например агенты, способствующие растворимости. Можно, например, приготовить растворы для инъекций, в которых носитель включает физиологический раствор, раствор глюкозы или смесь физиологического раствора и раствора глюкозы. Можно также приготовить суспензии для инъекций и в этом случае можно использовать жидкие носители, суспендирующие агенты и т.п. Включены также твердые формы препаратов, которые необходимо превратить непосредственно перед введением в препараты в жидкой форме. В композициях, предназначенных для чрезкожного введения, носитель необязательно включает повышающий проницаемость агент и/или подходящий смачивающий агент, необязательно объединенный с подходящими добавками любой природы в небольших пропорциях, причем эти добавки не должны оказывать вредного воздействия на кожу.
Соединения по настоящему изобретению можно также вводить с помощью пероральной ингаляции или вдувания, используя способы и композиции, которые специалисты используют для таких целей. Так, обычно соединения по настоящему изобретению можно вводить в легкие в форме растворов, суспензий или сухих порошков, причем предпочтительны растворы. Любая система, предназначенная для доставки растворов, суспензий или сухих порошков с помощью пероральной ингаляции или вдувания, пригодна для введения соединений по настоящему изобретению.
Так, настоящее изобретение также предлагает фармацевтические композиции, адаптированные для введения с помощью ингаляции или вдувания через рот, которые включают соединение формулы (I) и фармацевтически приемлемый носитель. Предпочтительно вводить соединения по настоящему изобретению с помощью ингаляций растворов в дозах распылителей или аэрозолей.
Особенно удобно создавать указанные выше фармацевтические композиции в единичной дозовой форме для простоты введения и однородности дозировки. В том смысле, как здесь использован термин «единичная дозовая форма», он относится к физически дискретным единицам, пригодным в качестве единичных доз, причем каждая единица содержит определенное количество активного ингредиента, рассчитанное для достижения желательного терапевтического эффекта вместе с необходимым фармацевтическим носителем. Примерами таких единичных дозовых форм являются таблетки (включая таблетки с насечкой и таблетки в оболочке), капсулы, пилюли, суппозитории, пакетики порошков, облатки, растворы или суспензии для инъекций и т.п., и их отдельные части.
Соединения формулы (I) демонстрируют противовирусные свойства. Вирусные инфекции, которые можно лечить, используя соединения и способы по настоящему изобретению, включают такие инфекции, которые возбуждаются орто- и парамиксовирусами и, в частности, человеческим и коровьим респираторным синцитиальным вирусом (RSV). Ряд соединений по настоящему изобретению более активны против мутированных штаммов RSV. Кроме того, многие соединения по настоящему изобретению демонстрируют благоприятный фармакокинетический профиль и обладают привлекательными свойствами с точки зрения биодоступности, включая приемлемое время полураспада, AUC и пиковые значения, и отсутствие неблагоприятных явлений, например недостаточно быстрое проявление и задержка в тканях.
In vitro противовирусную активность против RSV соединений по настоящему изобретению тестируют, используя тест, как раскрыто в экспериментальной части описания, и ее можно также продемонстрировать, используя анализ восстановления вируса. In vivo противовирусную активность против RSV соединений по настоящему изобретению можно продемонстрировать в тестовой модели, используя хлопковых хомяков, как раскрыто Wyde et al. (Antiviral Research (1998), 38, 31-42).
Благодаря противовирусным свойствам, особенно анти-RSV характеристикам соединений формулы (I) или любой их подгруппы, их пролекарственные формы, N-оксиды, соли присоединения, четвертичные амины, комплексы металлов и стереохимически изомерные формы можно использовать для лечения индивидуумов с вирусной инфекцией, особенно с RSV инфекцией, а также для профилактики указанных инфекций. Вообще соединения по настоящему изобретению можно использовать для лечения теплокровных животных, инфицированных вирусами, особенно респираторным синцитиальным вирусом.
Соединения по настоящему изобретению или любые их подгруппы можно поэтому использовать в качестве лекарственных средств. Указанное использование в качестве лекарственных средств или способ лечения включает системное введение инфицированному вирусом субъекту или субъекту, подверженному вирусным инфекциям, количества, эффективного для борьбы с состояниями, связанными с вирусной инфекцией, особенно RSV инфекцией.
Настоящее изобретение также относится к использованию соединений по настоящему изобретению или любой их подгруппы для приготовления лекарственного средства для лечения или профилактики вирусных инфекций, особенно RSV инфекции.
Кроме того, настоящее изобретение относится к способу лечения теплокровных животных, инфицированных вирусом, или подвергающихся риску инфицирования вирусом, особенно RSV, причем указанный способ включает введение противовирусно эффективного количества соединения формулы (I), как здесь определено, или соединения любой подгруппы соединений формулы (I), как здесь определено.
Обычно предполагается, что противовирусно эффективное дневное количество должно составлять от 0,01 мг/кг до 500 мг/кг веса тела, более предпочтительно от 0,1 мг/кг до 50 мг/кг веса тела. Может оказаться удобным вводить необходимую дозу в виде двух, трех, четырех или более долей дозы с соответствующими интервалами в течение дня. Указанные доли дозы можно приготовить в виде единичных дозовых форм, например, содержащих от 1 до 1000 мг и, в частности, от 5 до 200 мг активного ингредиента на единичную дозовую форму.
Точный размер дозы и частота введения зависят от конкретно используемого соединения формулы (I), подлежащего лечению конкретного состояния, тяжести подлежащего лечению состояния, возраста, веса, пола, степени расстройства и общего физического состояния конкретного пациента, также других лекарственных средств, которые пациент может принимать, что хорошо известно специалистам. Кроме того, очевидно, что указанное эффективное дневное количество можно уменьшить или увеличить в зависимости от реакции подвергающегося лечению субъекта и/или в зависимости от оценки врача, прописывающего соединение по настоящему изобретению. Поэтому интервалы эффективного дневного количества, указанные выше, являются лишь рекомендательными.
Кроме того, можно использовать, как это принято в медицине, комбинацию другого противовирусного агента и соединения формулы (I). Поэтому настоящее изобретение относится также к продукту, содержащему (a) соединение формулы (I), и (b) другое противовирусное соединение, в виде комбинированного препарата для одновременного, раздельного или последовательного использования при лечении вирусной инфекции. Различные лекарства можно комбинировать в одном препарате вместе с фармацевтически приемлемыми носителями. Например, соединения по настоящему изобретению можно комбинировать с бета-интерфероном или альфа-фактором некроза опухоли для лечения или профилактики RSV инфекций.
Примеры
Приводимые далее примеры предназначены для иллюстрации настоящего изобретения, но ими изобретение не ограничивается. Термины “соединение 1”, “соединение 4” и т.д., используемые в этих примерах, соответствуют номерам соединений в таблицах.
Соединения идентифицировали, используя LC/MS в следующей комплектации:
LCT: ионизация электроспреем в позитивном режиме, сканирование со 100 до 900 ат. ед. массы; Xterra MS C18 (Waters, Milford, MA) 5 мкм, 3,9×150 мм; скорость потока 1 мл/мин. Используют две подвижные фазы (подвижная фаза A: 85% 6,5 мМ ацетат аммония +15% ацетонитрил; подвижная фаза B: 20% 6,5 мМ ацетат аммония + 80% ацетонитрил) для осуществления градиентного элюирования от 100% A в течение 3 мин до 100% B за 5 мин, 100% B в течение 6 мин до 100% A за 3 мин, и уравновешивают снова со 100% A в течение 3 мин.
ZQ: ионизация электроспреем как в позитивном, так и в негативном (импульсном) режиме, сканирование со 100 до 1000 ат. ед. массы; Xterra RP C18 (Waters, Milford, MA) 5 мкм, 3,9×150 мм; скорость потока 1 мл/мин. Используют две подвижные фазы (подвижная фаза A: 85% 6,5 мМ ацетат аммония + 15% ацетонитрил; подвижная фаза B: 20% 6,5 мМ ацетат аммония + 80% ацетонитрил) для осуществления градиентного элюирования со 100% A в течение 3 мин до 100% B за 5 мин, 100% B в течение 6 мин до 100% A за 3 мин, и уравновешивают снова со 100% A в течение 3 мин.
Пример 1: Получение диметилбензимидазоламинов
Схема A

Получение промежуточного соединения a-2:
SOCl2 (14 мл) добавляют по каплям к раствору (3-бензилокси-6-метилпиридин-2-ил)метанола (0,0606 моль) при 5°C. Реакционную смесь перемешивают при комнатной температуре в течение 3 ч. Растворитель выпаривают при пониженном давлении. Остаток помещают в диэтиловый эфир. Осадок отфильтровывают и сушат, получая 16,9 г a-2 (98%, Т.плавления: 182°C).
Получение промежуточного соединения a-4:
Смесь 2-хлор-4,6-диметил-1H-бензимидазола (0,083 моль), a-2 (0,0913 моль) и K2CO3 (0,332 моль) в диметилформамиде (100 мл) перемешивают при комнатной температуре в течение 24 ч. Затем добавляют H2O. Смесь трижды экстрагируют CH2Cl2. Органический слой выделяют, сушат (над MgSO4), фильтруют, и растворитель выпаривают при 30°C при пониженном давлении. Остаток помещают в смесь CH3CN/диизопропиловый эфир. Осадок отфильтровывают и сушат, получая 16,8 г a-4 (52%, Т.плавления: 155°C).
Получение промежуточного соединения a-5:
Смесь a-4 (0,0007 моль) и 3-пиперидин-1-илпропиламина (0,003 моль) перемешивают при 130°C в течение 2 ч. Остаток кристаллизуют из CH3CN. Осадок отфильтровывают и сушат, получая: 0,174 г [1-(3-бензилокси-6-метилпиридин-2-илметил)-4,6-диметил-1H-бензоимидазол-2-ил]-(3-пиперидин-1-илпропил)амина (46%).
Получение конечного соединения a-6:
Смесь [1-(3-бензилокси-6-метилпиридин-2-илметил)-4,6-диметил-1H-бензоимидазол-2-ил]-(3-пиперидин-1-илпропил)амина (0,0003 моль) и Pd/C (0,06 г) в CH3OH (10 мл) гидрируют при комнатной температуре в течение 1 ч при давлении 3 бара, затем фильтруют на целите. Полученный фильтрат выпаривают. Остаток очищают, используя хроматографическую колонку с силикагелем (элюент: CH2Cl2/CH3OH/NH4OH 89/10/1; 10 мкм). Чистые фракции собирают и растворитель выпаривают. Остаток (0,084 г) кристаллизуют из CH3CN. Осадок отфильтровывают и сушат, получая 0,073 г 2-[4,6-диметил-2-(3-пиперидин-1-илпропиламино)бензоимидазол-1-илметил]-6-метилпиридин-3-ола (Соединение 1, 51%, Т.плавления: > 260°C).
Пример 2: Получение дигидроксиалкилзамещенных диметилбензимидазоламинов
Схема B


Получение промежуточного соединения b-3:
Смесь b-1 (0,0014 моль) и b-2 (0,0012 моль) перемешивают при 130°C в течение 3 ч, затем перемешивают при 160°C в течение 2 ч, охлаждают до комнатной температуры и помещают в CH2Cl2. Органический слой промывают 10% раствором K2CO3, сушат (над MgSO4), фильтруют и растворитель выпаривают досуха. Остаток очищают, используя хроматографическую колонку с силикагелем (элюент: CH2Cl2/CH3OH/NH4OH 97/3/0,1). Чистые фракции собирают и растворитель выпаривают, получая 0,55 г промежуточного соединения b-3 (81%).
Получение соединения b-4:
Смесь b-3 (0,0011 моль) и Pd/C (0,18 г) в CH3OH (10 мл) гидрируют в течение 1 ч при давлении 3 бара, затем фильтруют на целите. Целит промывают CH3OH. Полученный фильтрат концентрируют при пониженном давлении. Остаток (0,47 г) кристаллизуют из CH3CN. Осадок отфильтровывают и сушат, получая 0,27 г 2-{2-[(2,2-диметил-[1,3]диоксолан-4-илметил)амино]-4,6-диметилбензоимидазол-1-илметил}-6-метилпиридин-3-ол (соединение 21, 60%, Т.плавления: 225°C).
Получение конечного соединения b-5:
Смесь 2-{2-[(2,2-диметил-[1,3]диоксолан-4-илметил)амино]-4,6-диметилбензоимидазол-1-илметил}-6-метилпиридин-3-ола (0,0005 моль) в 3 н. растворе HCl (15 мл) и тетрагидрофуране (15 мл) перемешивают в течение 4 ч. Тетрагидрофуран выпаривают при пониженном давлении. Смесь подщелачивают, используя K2CO3 (порошок). Водный слой насыщают K2CO3 (порошок). Добавляют раствор CH2Cl2/CH3OH (90/10). Органический слой выделяют, сушат (над MgSO4), фильтруют, и растворитель выпаривают. Остаток (0,17 г, 88%) кристаллизуют из смеси CH3CN/диизопропиловый эфир. Осадок отфильтровывают и сушат, получая: 0,085 г 3-[1-(3-гидрокси-6-метилпиридин-2-илметил)-4,6-диметил-1H-бензоимидазол-2-иламино]-пропан-1,2-диола (соединение 4, Т.плавления: 205°C).
Пример 3: Получение гидроксиалкилзамещенных диметилбензимидазоламинов
Схема С

Получение промежуточного соединения c-3:
Смесь c-2 (0,004 моль) и c-1 (0,006 моль) перемешивают при 130°C в течение 12 ч и затем помещают в CH2Cl2. Органический слой промывают 10% раствором K2CO3, сушат (над MgSO4), фильтруют, и растворитель выпаривают досуха. Остаток (0,6 г) очищают, используя хроматографическую колонку с силикагелем (элюент: CH2Cl2/CH3OH/NH4OH 95/5/0,2; 10 мкм). Чистые фракции собирают, и растворитель выпаривают, получая 0,4 г промежуточного соединения c-3 (38%).
Получение соединения c-5:
Смесь c-3 (0,0015 моль), c-4 (0,0016 моль) и K2CO3 (0,0052 моль) в диметилформамиде (20 мл) перемешивают при 70°C в течение 4 ч. Растворитель выпаривают досуха. Остаток помещают в CH2Cl2. Органический слой промывают H2O, сушат (над MgSO4), фильтруют, и растворитель выпаривают. Остаток (0,81 г) очищают, используя хроматографическую колонку с силикагелем (элюент: толуол/2-пропанол/NH4OH 90/10/0,5; 10 мкм). Чистые фракции собирают, и растворитель выпаривают. Остаток (0,12 г) кристаллизуют из смеси 2-пропанол/CH3CN/диизопропиловый эфир. Осадок отфильтровывают и сушат, получая 0,12 г этилового эфира 3-[1-(3-гидрокси-6-метилпиридин-2-илметил)-4,6-диметил-1H-бензоимидазол-2-иламино]пропионовой кислоты (соединение 12, 21%, Т.плавления: 180°C).
Получение конечного соединения c-6:
LiAlH4 (0,0003 моль) добавляют порциями при 5°C к смеси этилового эфира 3-[1-(3-гидрокси-6-метилпиридин-2-илметил)-4,6-диметил-1H-бензоимидазол-2-иламино]пропионовой кислоты (0,0001 моль) в тетрагидрофуране (10 мл) в потоке N2. Смесь перемешивают при 5°C в течение 1 ч, затем при комнатной температуре в течение 3 ч. Добавляют этилацетат и H2O. Смесь экстрагируют этилацетатом. Органический слой выделяют, сушат (над MgSO4), фильтруют, и растворитель выпаривают досуха. Остаток кристаллизуют из смеси 2-пропанон/CH3CN/диизопропиловый эфир. Осадок отфильтровывают и сушат, получая 0,025 г 2-[2-(3-гидроксипропиламино)-4,6-диметилбензоимидазол-1-илметил]-6-метилпиридин-3-ола (соединение 7, 73%, Т.плавления: 170°C).
Пример 4: Получение амидоалкилзамещенных диметилбензимидазоламинов
Схема D

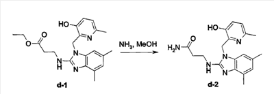
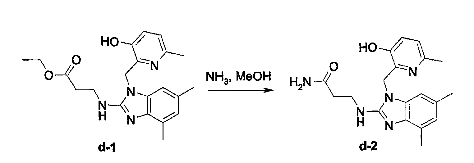
Смесь этилового эфира 3-[1-(3-гидрокси-6-метилпиридин-2-илметил)-4,6-диметил-1H-бензоимидазол-2-иламино]пропионовой кислоты (0,0001 моль) в насыщенном растворе NH3 в CH3OH (10 мл) перемешивают при 70°C в течение 6 ч. Растворитель выпаривают досуха. Остаток (0,05 г) очищают, используя хроматографическую колонку с силикагелем (элюент: CH2Cl2/CH3OH/NH4OH 88/12/1; 10 мкм). Чистые фракции собирают, и растворитель выпаривают. Остаток (0,022 г, 48%) кристаллизуют из смеси 2-пропанон/CH3CN/диизопропиловый эфир. Осадок отфильтровывают и сушат, получая 0,014 г 3-[1-(3-гидрокси-6-метилпиридин-2-илметил)-4,6-диметил-1H-бензоимидазол-2-иламино]пропионамида d-2 (соединение 8, 30%, Т.плавления: 229°C).
Пример 5: Получение арилзамещенных диметилбензимидазоламинов
Схема E

Получение промежуточного соединения e-3:
Смесь e-1 (0,0022 моль) и e-2 (0,0023 моль) перемешивают при 130°C в течение 1 ч, затем охлаждают до комнатной температуры и помещают в CH2Cl2. Осадок отфильтровывают. Маточный раствор выпаривают. Остаток (0,522 г) очищают, используя хроматографическую колонку с силикагелем (элюент: CH2Cl2/CH3OH/NH4OH 99/1/0,1 до 90/10/1; 5 мкм). Чистые фракции собирают, и растворитель выпаривают, получая 0,36 г промежуточного соединения e-3 (62%).
Получение соединения e-5:
4-[1-(3-гидрокси-6-метилпиридин-2-илметил-4,6-диметил-1Н-бензоимидазол-2-иламино]бензонитрил (соединение 20, Т.плавления: > 260°C) получают способом, аналогичным способу, раскрытому для c-5.
Получение конечного соединения e-6:
Никель Ренея (0,2 г) добавляют к смеси e-5 (0,0001 моль) в насыщенном растворе NH3 в CH3OH (20 мл). Смесь гидрируют при комнатной температуре в течение 3 ч при давлении 5 бар, затем фильтруют на целите. Целит промывают H2O. Полученный фильтрат выпаривают досуха. Остаток (0,07 г) очищают, используя хроматографическую колонку с силикагелем (элюент: CH2Cl2/CH3OH/NH4OH 85/15/1; 10 мкм). Чистые фракции собирают, и растворитель выпаривают. Остаток (0,042 г, 84%) кристаллизуют из смеси 2-пропанон/CH3CN/диизопропиловый эфир. Осадок отфильтровывают и сушат, получая 0,022 г 2-[2-(4-аминометилфениламино)-4,6-диметилбензоимидазол-1-илметил]-6-метилпиридин-3-ол, e-6 (соединение 9, 44%, Т.плавления: 255°C).
Пример 6: Получение арилзамещенных диметилбензимидазоламинов
Схема F


Получение промежуточного соединения f-3:
Промежуточное соединение f-3 получают по способу, аналогичному способу, раскрытому для промежуточного соединения e-3.
Получение промежуточных соединений f-5 и f-6:
Смесь промежуточных соединений f-5 и f-6 получают по способу, раскрытому для c-5.
Получение f-7 и f-8:
Соединения f-7 и f-8 получают по способу, раскрытому для получения e-6, получая 0,18 г фракции 1 (10%) и 0,36 г фракции 2 (20%). Фракцию 1 превращают в ацетат и кристаллизуют из смеси 2-пропанон/CH3CN/диизопропиловый эфир. Осадок отфильтровывают и сушат, получая 0,013 г f-8 (7,5%, 1 CH3CO2H, Т.плавления: 171°C). Фракцию 2 растворяют в смеси 2-пропанол/HCl и превращают в соль хлористоводородной кислоты. Осадок отфильтровывают и сушат. Остаток кристаллизуют из смеси 2-пропанол/диизопропиловый эфир. Осадок отфильтровывают и сушат, получая 0,021 г f-7 (соединение 26, 10,4%, 4 HCl, Т.плавления: 213°C).
В следующих таблицах перечислены соединения по настоящему изобретению, которые получают способами, аналогичными любой из представленных выше схем синтеза.
Таблица 1

| Соединение № |
R |
Активность |
Масс-спектроскопия |
Т.пл. |
Схема синтеза/форма соли |
| 1 |
 |
7,7 |
МН+=408 |
>260°C |
А |
| 2 |
 |
7,7 |
МН+=394 |
225°C |
А |
| 3 |
 |
7,6 |
МН+=423 |
225°C |
А |
| 4 |
 |
7,4 |
МН+=357 |
205°C |
В |
| 5 |
 |
7,4 |
МН+=394 |
185°C |
А |
| 6 |
 |
7,2 |
МН+=394 |
230°C |
А |
| 7 |
 |
6,8 |
МН+=341 |
170°C |
С |
| 8 |
 |
6,8 |
МН+=354 |
229°C |
D |
| 9 |
 |
6,6 |
МН+=388 |
255°C |
Е |
| 10 |
 |
6,3 |
МН+=391 |
255°C |
А |
| 11 |
 |
6,2 |
МН+=377 |
>260°С |
А |
| 12 |
 |
5,5 |
МН+=383 |
180°C |
С |
| 13 |
 |
5,5 |
МН+=402 |
171°C |
F/HCl |
| 14 |
 |
4,0 |
МН+=374 |
254°C |
Е |
| 15 |
 |
5,8 |
МН+=374 |
208°C |
С |
| 16 |
 |
4,0 |
МН+=355 |
206°C |
С |
| 17 |
 |
4,0 |
МН+=365 |
176°C |
F |
| 18 |
 |
4,0 |
МН+=387 |
232°C |
С |
| 19 |
 |
4,0 |
МН+=384 |
>260°С |
Е |
| 20 |
 |
4,0 |
МН+=397 |
225°C |
В |
| 21 |
 |
4,0 |
МН+=408 |
170°C |
А |
| 22 |
 |
4,2 |
МН+=466 |
>260°С |
А |
Таблица 2

| Соединение № |
R |
Активность |
Масс-спектроскопия |
Т.пл. |
Схема синтеза/форма соли |
| 23 |
 |
5,2 |
МН+=402 |
171°C |
F/ацетат |
| 24 |
 |
4,0 |
МН+=379 |
222°C |
F |
Таблица 3

| Соед.№ |
R |
Активность |
Масс-спектроскопия |
Т.пл. |
Схема синтеза |
| 25 |
 |
6,5 |
МН+=380 |
195°C |
С |
| 26 |
 |
6,5 |
МН+=395 |
190°C |
С |
| 27 |
 |
6,3 |
МН+=329 |
170°C |
С |
| 28 |
 |
6,2 |
МН+=366 |
190°C |
С |
| 29 |
 |
5,6 |
МН+=389 |
215°C |
С |
| 30 |
 |
5,4 |
МН+=369 |
221°C |
С |
| 31 |
 |
5,3 |
МН+=341 |
182°C |
С |
| 32 |
 |
5,0 |
МН+=313 |
210°C |
С |
| 33 |
 |
5,0 |
МН+=355 |
185°C |
С |
| 34 |
 |
5,0 |
МН+=419 |
180°C |
С |
| 35 |
 |
4,9 |
МН+=380 |
175°C |
С |
| 36 |
 |
4,8 |
МН+=343 |
205°C |
С |
| 37 |
 |
4,0 |
МН+=369 |
215°C |
С |
| 38 |
 |
4,3 |
МН+=340 |
220°C |
С |
| 39 |
 |
4,0 |
МН+=398 |
245°C |
С |
| 40 |
 |
4,3 |
МН+=360 |
225°C |
С |
| 41 |
 |
4,0 |
МН+=377 |
245°C |
С |
| 42 |
 |
4,0 |
МН+=377 |
250°C |
С |
| 43 |
 |
4,1 |
МН+=343 |
215°C |
С |
Пример 7: In vitro скринирование на предмет активности против респираторного синцитиального вируса.
Процент защиты против цитопатологии, вызываемой вирусами (противовирусная активность или EC50), достигаемый тестовыми соединениями, и их цитотоксичность (CC50), оба рассчитываются на основании кривых доза – реакция. Селективность противовирусного действия представлена коэффициентом селективности (SI), рассчитанным путем деления CC50 (доза цитотоксичности для 50% клеток) на EC50 (противовирусная активность для 50% клеток). В таблицах в вышеуказанной экспериментальной части перечислены категории, к которым принадлежит каждое из полученных соединений: Соединения, принадлежащие к категории активности “A”, имеют pEC50 (-log EC50, если выразить в молярных единицах) равное или более чем 6. Соединения, принадлежащие к категории активности “B”, имеют величину pEC50 меньше 6.
Автоматизированный колориметрический анализ на основе тетразолия используют для определения значений EC50 и CC50 для тестовых соединений. Плоскодонные, 96-луночные пластиковые микротитровальные планшеты заполняют 180 мкл минимальной среды Игла, дополненной 5% FCS (0% для FLU) и 20 мМ Hepes буфера. Затем исходные растворы (7,8× конечная тестовая концентрация) соединений добавляют объемами по 45 мкл к серии лунок (по три одинаковых) с тем, чтобы обеспечить одновременную оценку их действия на инфицированные вирусом клетки и на имитационно инфицированные клетки. Осуществляют пять пятикратных разбавлений непосредственно в микротитровальных планшетах, используя робот-систему. Необработанные вирусом контроли и контрольные HeLa-клетки включены в каждый тест. Приблизительно 100 TCID50 респираторного синцитиального вируса добавляют в два из трех рядов в объеме 50 мкл. Такой же объем среды добавляют в третий ряд для определения цитотоксичности соединений при тех же концентрациях, что и были использованы для определения противовирусной активности. После двух часов инкубирования во все лунки добавляют суспензию HeLa-клеток (4×105 клеток/мл) в объеме 50 мкл. Культуры инкубируют при 37°C в атмосфере 5% CO2. Через 7 дней после инфицирования спектрофотометрически определяют цитотоксичность и противовирусную активность. В каждую лунку микротитровального планшета добавляют 25 мкл раствора MTT (3-(4,5-диметилтиазол-2-ил)-2,5-дифенилтетразолийбромид). Планшеты инкубируют далее при 37°C в течение 2 ч, после чего среду удаляют из каждой чашки. Солюбилизацию кристаллов формазана обеспечивают, добавляя 100 мкл 2-пропанола. Полного растворения кристаллов формазана достигают после того, как планшеты помещают на планшетный шейкер на 10 минут. И, наконец, считывают поглощение, используя восьмиканальный, управляемый компьютером фотометр (Multiskan MCC, Flow Laboratories) на двух длинах волн (540 и 690 нм). Поглощение, измеряемое на 690 нм, автоматически вычитают из поглощения на 540 нм, с тем чтобы исключить эффекты неспецифического поглощения.
Формула изобретения
1. Соединение формулы (I)

его соли присоединения и стереохимически изомерные формы, где Q представляет собой Ar2, С3-7циклоалкил или С1-6алкил, замещенный одной или двумя гидроксильными группами, или необязательно замещенный Ar2, C1-4алкокси группой, С1-4алкилтио, аминокарбонилом, С1-4алкоксикарбонилом, гидрокси-С2-4алкилокси, диоксалонилом, замещенным двумя С1-6алкильными радикалами, или гетероциклом, выбранным из группы, состоящей из пирролидинила, индолила, имидазолила, пиперазинила и пиридила, где каждый из указанных гетероциклов может необязательно быть замещен двумя заместителями, выбранными из оксо группы и С1-6алкила;
G представляет собой метилен;
R1 представляет собой пиридил;
необязательно замещенный одним или двумя заместителями, выбранными из гидрокси и С1-6алкила;
один из R2a и R3a представляет С1-6алкил, и другой из R2a и R3a представляет водород;
в том случае, если R2a отличается от водорода, тогда R2b представляет водород или С1-6алкил, и R3b представляет водород;
в том случае, если R3а отличается от водорода, тогда R3b представляет водород или С1-6алкил, и R2b представляет водород; или
R2a, R2b, R3a и R3b все представляют водород;
R5 представляет водород;
Ar2 представляет фенил или фенил, замещенный 1, 2 или 3 заместителями, выбранными из группы, состоящей из галогена, гидрокси, амино, циано, гидроксиС1-6алкила, аминоС1-6алкила, С1-6алкилокси и аминосульфонила.
2. Соединение по п.1, где R1 представляет собой пиридил, замещенный гидрокси или метилом.
3. Соединение по п.1, где R1 представляет собой 3-гидрокси-6-метил-пиридил-2-ил.
4. Соединение по п.1, где Ar2 представляет фенил или фенил, замещенный 1 или 2 заместителями, выбранными из амино, циано, гидроксиС1-6алкила, аминоС1-6алкила и аминосульфонила.
5. Соединение по п.1, где один из R2a и R3a представляет С1-6алкил, и другой из R2a и R3a представляет водород;
в том случае, если R2a отличается от водорода, тогда R2b представляет С1-6алкил и R3b представляет водород;
в том случае, если R3a отличается от водорода, тогда R3b представляет С1-6алкил и R2b представляет водород.
6. Фармацевтическая композиция, обладающая антивирусной активностью, включающая фармацевтически приемлемый носитель и в качестве активного ингредиента терапевтически эффективное количество соединения по любому из пп.1-5.
Приоритет по пунктам и признакам:
30.04.2004 – п.1 в части соединений формулы (I), где Q представляет собой С3-7циклоалкил или С1-6алкил, замещенный двумя гидроксильными группами, или необязательно замещенный гидрокси-С2-4алкилокси, диоксалонилом, замещенным двумя С1-6алкильными радикалами, или гетероциклом, выбранным из индолила
18.12.2003 – пп.1-6 полностью, за исключением п.1 в части соединений формулы (I), отнесенных к приоритету от 30.04.2004.
|
|