|
|
(21), (22) Заявка: 2006143769/04, 11.05.2005
(24) Дата начала отсчета срока действия патента:
11.05.2005
(30) Конвенционный приоритет:
12.05.2004 JP 2004-142437
(46) Опубликовано: 27.08.2008
(56) Список документов, цитированных в отчете о поиске:
WO 2003/059351 A1, 24.07.2003. WO 2004/009548 A1, 29.01.2004. WO 98/43956 A1, 08.10.1998. WO 99/06384 A1, 11.02.1999. RU 2002113651 A, 20.11.2003.
(85) Дата перевода заявки PCT на национальную фазу:
12.12.2006
(86) Заявка PCT:
JP 2005/008632 (11.05.2005)
(87) Публикация PCT:
WO 2005/108389 (17.11.2005)
Адрес для переписки:
129010, Москва, ул. Б.Спасская, 25, стр.3, ООО “Юридическая фирма Городисский и Партнеры”, пат.пов. Е.Е.Назиной, рег. № 517
|
(72) Автор(ы):
СУЗУКИ Юити (JP), ИТО Коити (JP), САСАКИ Ацуси (JP), УЕНО Коси (JP), САКАИ Миюки (JP), ИСИХАРА Хироки (JP), КУБОТА Ацухико (JP)
(73) Патентообладатель(и):
ЭЙСАЙ Ар энд Ди МЕНЕДЖМЕНТ КО., ЛТД. (JP)
|
(54) ПРОИЗВОДНОЕ ИНДОЛА, СОДЕРЖАЩЕЕ ПИПЕРИДИНОВЫЙ ЦИКЛ
(57) Реферат:
Изобретение относится к новым соединениям, представленным следующей формулой (I), или к его фармакологически приемлемым солям:

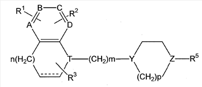
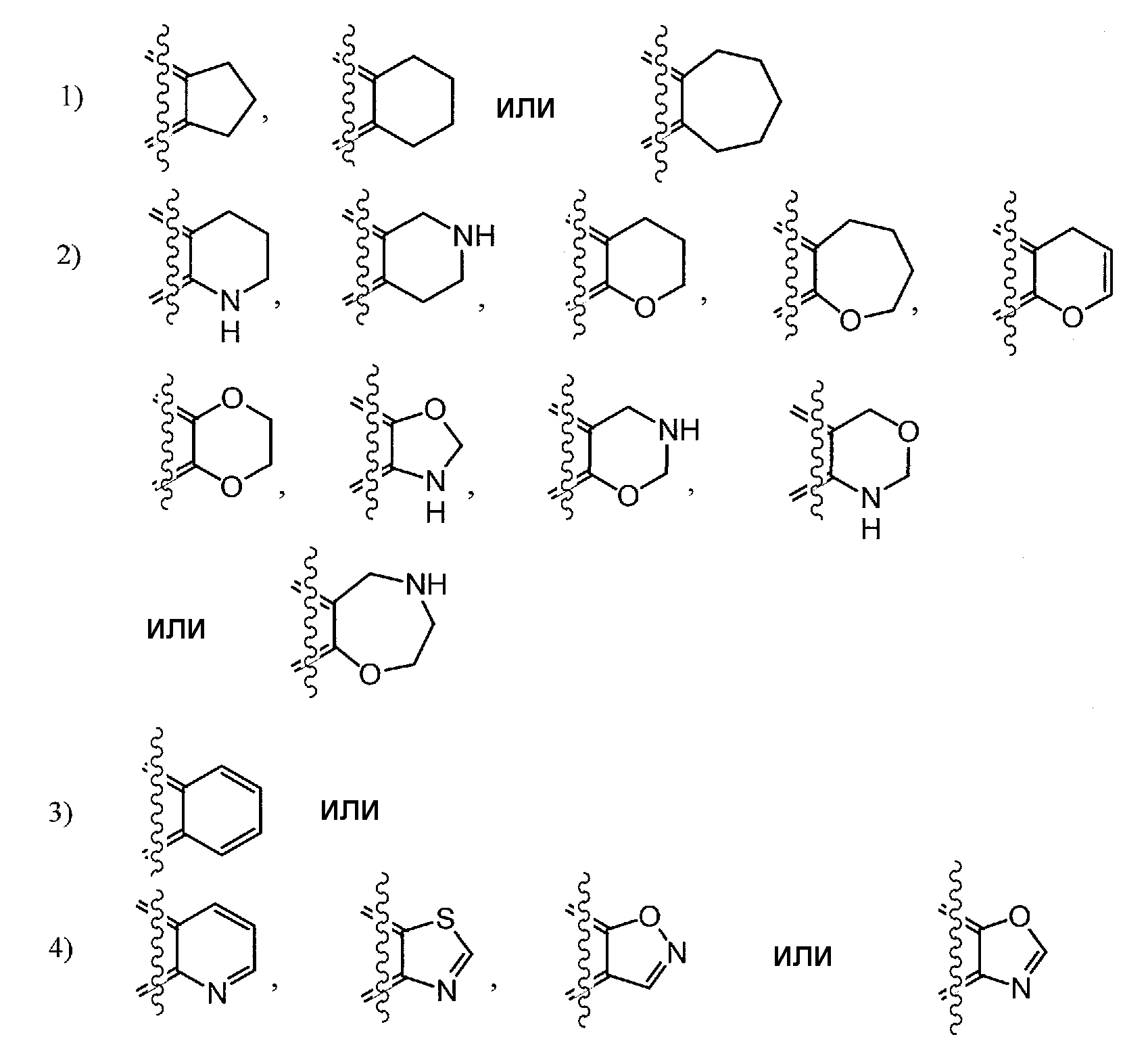
где R1 и R2 представляют собой заместители, смежные друг с другом, и вместе с двумя углеродными атомами, к каждому из которых они присоединены, образуют группу, представленную следующей формулой:
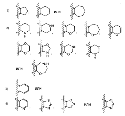
1) , или 
2) , , , , , , , , или 
3) или
4) , , или 
где атом водорода в каждой циклической группе может быть замещенным 1-4 заместителями, выбранными из следующей группы заместителей B1, R3 представляет собой атом водорода или метальную группу; и R6 представляет собой заместитель, выбранный из следующей группы А1 заместителей, группа А1 заместителей: (1) атом водорода, (2) С1-С6 алкоксигруппа; группа B1 заместителей: (1) атом водорода, (2) гидроксильная группа, (3) оксогруппа, (4) С1-С6 алканоильная группа, (5) С3-С8 циклоалкильная группа, (6) С1-С6 алкильная группа (где указанная С1-С6 алкильная группа может быть замещенной С1-С6 алкоксигруппой), (7) С1-С6 алкоксигруппа, (8) С1-С6 алкоксииминогруппа, (9) С5-С6 циклоалкильная группа, образованная двумя С1-С3 алкильными группами, присоединенными к одному и тому же углеродному атому, и (10) тетрагидропиранильная группа, образованная двумя С1-С3 алкильными группами, присоединенными к одному и тому же углеродному атому, вместе с атомом кислорода и указанным атомом углерода. Изобретение также относится к фармацевтической композиции. Технический результат – получение новых биологически активных соединений и фармацевтической композиции на их основе, обладающих ингибирующей активностью по отношению к серотониновым 1А рецепторам. 2 н. и 32 з.п. ф-лы, 12 табл., 4 ил.
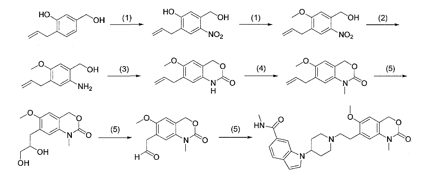
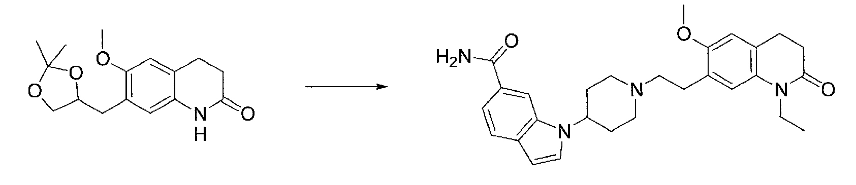
Настоящее изобретение относится к соединению, обладающему способностью связываться с серотониновым 1А рецептором, и к его применению в качестве фармацевтического препарата. Более конкретно, данное изобретение касается средства для лечения или профилактики симптомов со стороны нижних мочевых путей.
В периферической системе серотонин влияет на расслабление гладких мышц, агрегацию тромбоцитов и регуляцию деятельности желудочно-кишечного тракта. С другой стороны, в центральной нервной системе серотонин действует как нейротрансмиттер и глубоко связан с двигательной системой, перцептивной системой, физиологическими функциями, такими как регуляция температуры тела, сон, пищевое поведение, рвота, сексуальное поведение, нейроэндокринная система, познание и память или биоритм, и патологическими состояниями, такими как тревога, агрессия, обсессия, расстройство настроения, галлюцинация, шизофрения, аутизм или лекарственная зависимость (см., например, непатентный документ 1, непатентный документ 2).
Серотониновый рецептор классифицирован на 7 семейств в интервале от 5-НТ1 до 5-НТ7. 5-НТ1 состоит из 5 подтипов (5-НТ1A, 5-НТ1B, 5-НТ1C, 5-НТ1D, 5-НТ1E и 5-НТ1F).
Рецептор 5-НТ1А широко распределен в центральной нервной системе. В головном мозге данный рецептор распределен с высокой плотностью, особенно в церебральной лимбической системе, в основном в гиппокампе, перегородке, миндалевидном комплексе и ядрах шва. В спинном мозге он распределен с высокой плотностью в коре заднего рога, от которой отходят первичные афферентные волокна (слои I и II), внутренней части переднего рога, где локализованы мотонейроны (слои VIII-IX), и боковом промежуточном ядре, где находятся преганглионарные симпатические клетки (слой VII). В нерве сертониновый рецептор существует в качестве пресинаптического рецептора в клеточных телах серотонинового нерва (5-НТ1А соматодендрический ауторецептор) и в качестве постсинаптического рецептора на нерве, в котором иннервирует серотониновый нерв. Такой пресинаптический рецептор приводит к негативной регуляции с обратной связью с выделением серотонина.
Действие 5-НТ1А рецептора в живом организме и заболевания, в которые вовлечен рецептор, объяснены благодаря открытию агонистов и антагонистов, селективных по отношению к 5-НТ1А рецептору.
Примерами таких заболеваний являются депрессия и тревога. Считается, что пресинаптический 5-НТ1А рецептор важен при лечении депрессии. В качестве лекарственных средств в настоящее время используют селективный ингибитор обратного захвата серотонина (SSRI) и селективный ингибитор обратного захвата серотонина/норадреналина (SNRI). Указанные средства ингибируют поглощение указанных трансмиттеров в нервных клетках, повышая тем самым концентрацию трансмиттеров в синаптической щели и в результате десенсибилизируя рецептор, что и делает их эффективными. Недавно стало известно, что (-) пиндолол (который проявляет аффинность к адреналину и 5НТ1А рецептору обладает антагонистическим действием в отношении 5НТ1А рецептора) промотирует начало фармакологических эффектов SSRI, тем самым увеличивая степень его эффективности у пациентов, подверженных депрессии. Это может происходить потому, что блокировка пресинаптического 5-НТ1А рецептора увеличивает выделение серотонина на нервных окончаниях, в результате чего усиливается десенсибилизация рецептора (см., например, непатентный документ 3).
Согласно исследованию Barros M. et al. с использованием мартышек предполагается возможность применения антагониста 5-НТ1А рецептора при тревожном расстройстве. Используя в качестве показателя страх и тревожное поведение мартышки при виде чучела хищного животного, исследовали эффект антагониста 5-НТ1А рецептора на тревогу. Результаты показали, что средство обладает анксиолитическим эффектом (см., например, непатентный документ 4). Указанные результаты говорили о возможности применения антагониста 5-НТ1А рецептора в качестве средства для профилактики или лечения депрессии или тревожного расстройства.
Предполагалось также, что 5-НТ1А рецептор связан с познавательной способностью, памятью и обучаемостью. Антагонист глутаматного рецептора типа NMDA или рассечение свода головного мозга вызывает расстройство познавательной способности. Такое расстройство познавательной способности лечат с использованием антагониста 5-НТ1А рецептора (см., например, непатентный документ 5 и непатентный документ 6). Yasuno F. et al. вводили человеку антагонист 5-HT1A рецептора, меченный 11C ([11C]WAY-100635). После этого они проверяли позитронной эмиссионной томографией взаимосвязь между памятью и участком, приходящимся на долю 5-НТ1А рецептора (см., например, непатентный документ 7). В результате была найдена негативная корреляция между улучшением памяти и способностью [11C]WAY-100635 связываться с гиппокампальным постсинаптическим 5-НТ1А рецептором. В соответствии с данным результатом предполагается, что постсинаптические 5-НТ1А рецепторы, распределенные по гиппокампу, оказывают негативное действие на память. Указанные результаты исследования предполагают возможность того, что антагонист 5-НТ1А рецептора эффективен при расстройстве познавательной способности или нарушении памяти или обучаемости.
Кроме того, в последние годы сообщалось (см., например, непатентный документ 8) о связи 5-НТ1А рецептора с рефлексом мочеиспускания.
Различные субъективные симптомы, вызываемые мочеиспускательной дисфункцией, в общем называют симптомами со стороны нижних мочевых путей. Такие симптомы со стороны нижних мочевых путей в широком плане разделены на симптомы, касающиеся накопления мочи, такие как учащенное мочеиспускание, сильная потребность в мочеиспускании или недержание мочи, и симптомы со стороны опорожнения мочевого пузыря, такие как затрудненное мочеиспускание или анурез. Недержание мочи дополнительно классифицируют на недержание мочи при напряжении, неудержание мочи, недержание при переполнении мочевого пузыря, рефлекторное недержание, экстрауртральное недержание или тому подобное. Недержание мочи, имеющее как симптом недержания при напряжении, так и симптом неудержания, называют смешанным недержанием мочи. В материалах международного общества International Continence Society (ICS) за 2001 г. дана следующая характеристика “Чрезмерно активный мочевой пузырь – это медицинское состояние, относящееся к симптомам частоты и повелительного позыва, с неудержанием мочи или без него, при появлении в отсутствие локальных патологических или метаболических факторов, которые были бы причиной указанных симтомов”. Таким образом, патологическое состояние, устанавливаемое главным образом на основании субъективных симптомов, определено как чрезмерно активный мочевой пузырь.
Примеры причины симптомов, касающихся резервуарного накопления мочи, могут включать нейрогенный мочевой пузырь, вызываемый энцефалопатией (включая цереброваскулярное нарушение, болезнь Паркинсона, опухоль головного мозга, рассеянный склероз и т.п.), старческой деменцией, миелопатией или болезнью позвоночника, нестабильный мочевой пузырь, доброкачественную гиперплазию предстательной железы, рак предстательной железы, некроз мочевого пузыря, интерстициальный цистит мочевого пузыря, раздражение мочевого пузыря, вызываемое хроническим циститом или хроническим простатитом, цистоспазм, энурез (включая ночной энурез), никтурию и психогенную дизурию.
В исследованиях, касающихся рефлекса мочеиспускания у крыс, агонист 5-НТ1А рецептора способствует рефлексу мочеиспускания (см., например, непатентный документ 8), тогда как антагонист 5-НТ1А рецептора подавляет рефлекс мочеиспускания при измерении с использованием ритмического сжатия мочевого пузыря или цистометрограммы. Кроме того, в случае применения частичного агониста 5-НТ1А рецептора эффект подавления рефлекса мочеиспускания снижается в зависимости от степени агонистического действия указанного средства (см., например, непатентный документ 9). С учетом указанных результатов ожидается, что антагонист 5-НТ1А рецептора будет новым, основанным на новом механизме действия средством для лечения симптомов, касающихся накопления мочи (включая повышенную частоту мочеиспускания, острый позыв к мочеиспусканию и недержание мочи и т.д.) (см., например, непатентный документ 10).
Кроме описанных выше, существует широкий круг заболеваний, к которым причастен 5-НТ1А рецептор. Примеры таких заболеваний могут включать нейропсихическое расстройство (например, обсессивно-компульсивное расстройство (см., например, непатентный документ 11), пограничное личностное расстройство (см., например, непатентный документ 12), посттравматическое стрессовое расстройство (см., например, непатентный документ 13), паническое расстройство, шизофрению (см., например, непатентный документ 14), генитальную недостаточность (см., например, непатентный документ 14), алкогольную и/или кокаиновую зависимость (см., например, непатентный документ 15 и непатентный документ 16), нарушение сна (см., например, непатентный документ 14), боль (см., например, непатентный документ 14), мигрень (см., например, непатентный документ 17), расстройство зрительного внимания (см., например, непатентный документ 18), нестабильность температуры (см., например, непатентный документ 14), рвоту (см., например, непатентный документ 19), желудочно-кишечное расстройство (см., например, непатентный документ 14), расстройство приема пищи (см., например, непатентный документ 14), гипертензию (см., например, непатентный документ 20), нейродегенеративное заболевание (см., например, непатентный документ 21 и непатентный документ 22) (например, церебральную ишемию, болезнь Альцгеймера и т.д.), дискинезию, вызванную болезнью Паркинсона (см., например, непатентный документ 23), и симптомы, связанные с отказом от заглатывания никотина или курения (см., например, непатентный документ 24).
Соответственно, ожидается, что антагонист 5-НТ1А рецептора окажется средством для профилактики или лечения указанного широкого круга заболеваний. Хотя уже и были проведены активные исследования по созданию такого антагониста 5-НТ1А рецептора, такого средства на рынке еще нет. Поэтому создание превосходного антагониста 5-НТ1А рецептора было желательным.
Уже было много сообщений, касающихся соединений, обладающих антагонистическим эффектом против 5-НТ1А рецептора. Однако для применения в качестве средства для лечения симптомов со стороны нижних мочевых путей известно лишь несколько соединений, описанных в патентном документе 1 и патентном документе 2.
Соединением, описанным в патентном документе 1, является соединение, представленное следующей ниже формулой, или его фармакологически приемлемая соль:

где R представляет собой атом водорода или т.п.; R1 представляет собой атом водорода или т.п.; R2 представляет собой атом галогена или т.п. и В представляет собой моноциклическую арильную группу или т.п. Структурной особенностью данного соединения является то, что он содержит N-фениламиноалкильную группу в качестве пиперазиновой боковой цепи.
Таким образом, с точки зрения химической структуры соединение, описанное в патентном документе 1, совершенно отличается от представленного формулой (I) соединения по настоящему изобретению, отличающегося тем, что “оно содержит незамещенную или монозамещенную карбамоильную группу в положении 6 на индольном скелете и содержит метоксигруппу в арильной группе арилалкильной боковой цепи, отходящей от атома азота в пиперидиновом цикле, в ортоположении относительно алкильной боковой цепи”.
Патентный документ 2 является наиболее близким к настоящему изобретению известным уровнем техники. В данном документе раскрыто средство для лечения симптомов со стороны нижних мочевых путей, содержащее соединение, представленное следующей формулой, его соль или его гидрат:

где цикл Ar1 представляет собой бензольный цикл или т.п.; D представляет собой атом азота или т.п.; R3 и R4 являются одинаковыми или различными и представляют собой атомы водорода или т.п.; R5 представляет собой атом водорода или т.п.; R1 и R2 представляют собой атомы водорода или т.п. или связаны друг с другом с образованием цикла, содержащего Х; и m представляет собой 0 или целое число от 1 до 6.
Соединение, описанное в патентном документе 2, идентично описанному в патентном документе 3 соединению, представленному формулой (I), или соединению, описанному в примерах. Структурной особенностью данного соединения является то, что “оно имеет индольный или индолиновый скелет, содержащий циклический амин, который может быть замещенным арилалкильной группой или тому подобным в качестве боковой цепочечной структуры”.
Среди соединений, раскрытых в патентном документе 3, конкретные примеры соединений, близких к соединению по настоящему изобретению, представленному формулой (I), могут включать соединения, представленные следующей формулой:

где каждый из R1 и R3 представляет собой атом водорода; R2 представляет собой карбамоильную группу; R5 представляет собой арилалкильную группу, которая может быть замещенной; n и m представляют собой 0; p представляет собой 2; каждый из T и Z представляет собой атом азота и Y представляет собой метиновую группу. Ближайшим соединением является соединение, описанное в примере 337. Однако указанные раскрытые соединения ограничены соединениями, “которые имеют индольный или индолиновый скелет, содержащий циклический амин, который может быть замещенным арилалкильной группой или тому подобным в качестве боковой цепи”. Нет описаний с предложением соединения по настоящему изобретению, представленного формулой (I), “которое содержит незамещенную или монозамещенную карбамоильную группу в положении 6 на индольном скелете и содержит метоксигруппу в арильной группе арилалкильной боковой цепи, отходящей от атома азота в пиперидиновом цикле, в ортоположении относительно алкильной боковой цепи”.
Таким образом, соединение, описанное в патентном документе 2, отличается от соединения по настоящему изобретению, представленного формулой (I), с точки зрения химической структуры и, следовательно, не имеет химической структуры, характерной для соединения по настоящему изобретению.
Кроме того, в патентном документе 2 описаны методики испытания на связывание с [3H]-8-гидроксидипропиламинотетралином (пример 1 испытания), испытания антагониста 5-HT1A рецептора (пример 2 испытания) и испытания, относящегося к антагонистическому действию против вызванной агонистом 5-HT1A рецептора гипотермии у крысы (пример 3 испытания). Однако в документе не раскрыты ни испытуемые соединения, ни конкретные результаты (фармакологические эффекты). Поэтому невозможно на основе таких описаний понять настоящее изобретение во всей его полноте.
Среди соединений, описанных в патентном документе 3 и патентном документе 2, наиболее близким к соединению по настоящему изобретению, представленному формулой (I), является соединение, описанное в примере 337, которое представлено следующей формулой:

Как описано позже в результатах фармакологических исследований, фармакологический эффект данного соединения характеризуется тем, что соединение обладает аффинностью к 5-НТ1А, но его антагонистическое действие против рецептора слабо.
С другой стороны, соединение по настоящему изобретению, представленное следующей формулой (I):

отличается тем, что оно содержит незамещенную или монозамещенную карбамоильную группу в положении 6 на индольном скелете и содержит метоксигруппу в арильной группе арилалкильной боковой цепи, отходящей от атома азота в пиперидиновом цикле, в ортоположении относительно алкильной боковой цепи, благодаря чему обладает повышенным антагонизмом к 5-НТ1А рецептору.
Таким образом, соединение по настоящему изобретению обладает эффектами, которые совершенно отличны от эффектов соединений, описанных в патентном документе 3 и патентном документе 2.
Задачей настоящего изобретения является создание соединения, обладающего аффинностью к 5-НТ1А рецептору и проявляющего антагонизм к рецептору, используемый для терапевтических целей.
Непатентный документ 1: Peroutka S.J., 5-Hydroxytryptamine receptor subtypes, Annu. Rev. Neurosci. 1988; 11: p.45-60;
непатентный документ 2: H.Matsui, and three others, Neurotransmitter Today, 19(2), 1997, p.131-146;
непатентный документ 3: Farde L., and four others, PET-Determination of robalzotan (NAD-299) induced 5-HT(1A) receptor occupancy in the monkey brain, Neuropsychopharmacology, 2000 Apr.; 22(4): p.422-9;
непатентный документ 4: Barros M., and seven others, Anxiolytic-like effects of the selective 5-HT1A receptor antagonist WAY 100635 in non-human primates, Eur. J. Pharmacol., 2003 Dec. 15; 482(1-3): p.197-203;
непатентный документ 5: Harder JA, Ridley RM. The 5-HT1A antagonist, WAY 100635, alleviates cognitive impairments induced by dizocilpine (MK-801) in monkeys. Neuropharmacology. 2000 Feb. 14; 39(4): p.547-52:
непатентный документ 6: Harder JA, and four others, The 5-HT1A antagonist, WAY 100635, ameliorates the cognitive impairment induced by fornix transection in the marmoset. Psychopharmacology (Berl.). 1996 Oct.; 127(3): 245-54;
непатентный документ 7: Yasuno F., and nine others, Inhibitory effect of hippocampal 5-HT1A receptors on human explicit memory, Am. J. Psychiatry. 2003 Feb.; 160(2): p.334-40;
непатентный документ 8: Lecci A., and three others, Involvement of 5-hydroxytryptamine1A receptors in the modulation of micturition reflexes in the anesthetized rat, J. Pharmacol. Exp. Ther., 1992 Jul.; 262(1): p.181-9;
непатентный документ 9: Testa R., and nine others, Effect of several 5-hydroxytryptamine(1A) receptor ligands on the micturition reflex in rats: comparison with WAY 100635, J. Pharmacol. Exp. Ther., 1999 Sep.; 290(3): p.1258-69;
непатентный документ 10: Andersson KE, Pehrson R., CNS involvement in overactive bladder: pathophysiology and opportunities for pharmacological intervention, Drugs, 2003; 63(23): p.2595-611;
непатентный документ 11: Bourin M., and another, The future of antidepressants, Biomed Pharmacother., 1996; 50(1): p.7-12;
непатентный документ 12: Hansenne M., and seven others, 5-HT1A dysfunction in borderline personality disorder, Psychol. Med. 2002 Jul.; 32(5): p.935-41;
непатентный документ 13: Wilson MS., and another, Effects of fluoxetine on the 5-HT1A receptor and recovery of cognitive function after traumatic brain injury in rats, Am. J. Phys. Med. Rehabil., 2002 May; 81(5): p.364-72;
непатентный документ 14: Fletcher A., and two others, Silent 5-HT1A receptor antagonists: utility as research tools and therapeutic agents, Trends Pharmacol. Sci., 1993 Dec.; 14(12): p.441-8;
непатентный документ 15: Zhou FC., and three others, Additive reduction of alcohol drinking by 5-HT1A antagonist WAY 100635 and serotonin uptake blocker fluoxetine in alcohol-preferring P rats, Alcohol. Clin. Exp. Res., 1998 Feb.; 22(1): p.266-9;
непатентный документ 16: Carey RJ., and two others, 5-HT1A agonist/antagonist modification of cocaine stimulant effects: implications for cocaine mechanisms. Behav Brain Res., 2002 Apr. 15; 132(1): p.37-46;
непатентный документ 17: Boers PM., and three others, Naratriptan has a selective inhibitory effect on trigeminovascular neurones at central 5-HT1A and 5-HT(1B/1D) receptors in the cat: implications for migraine therapy, Cephalalgia., 2004 Feb.; 24(2): p.99-109;
непатентный документ 18: Balducci C., and four others, Reversal of visual attention dysfunction after AMPA lesions of the nucleus basalis magnocellularis (NBM) by the cholinesterase inhibitor donepezil and by a 5-HT1A receptor antagonist WAY 100635, Psychopharmacology (Berl.), 2003 Apr.; 167(1): p.28-36;
непатентный документ 19: Gupta YK., and another, Involvement of 5-HT1A and 5-HT2 receptor in cisplatin induced emesis in dogs, Indian J. Physiol. Pharmacol., 2002 Oct.; 46(4): p.463-7;
непатентный документ 20: Dabire H., Central 5-hydroxytryptamine (5-HT) receptors in blood pressure regulation, Therapie., 1991 Nov.-Dec.; 46(6): p.421-9;
непатентный документ 21: Kruger H., and two others, Effects of ionotropic glutamate receptor blockade and 5-HT1A receptor activation on spreading depression in rat neocortical slices, Neuroreport., 1999 Aug. 20; 10(12): p.2651-6;
непатентный документ 22: Suchanek B., and two others, The 5-HT1A receptor agonist BAY x 3702 prevents staurosporine-induced apoptosis, Eur. J. Pharmacol., 1998 Aug. 14; 355(1): p.95-101;
непатентный документ 23: Bibbiani F., and two others, Serotonin 5-HT1A agonist improves motor complications in rodent and primate parkinsonian models, Neurology., 2001 Nov. 27; 57(10): p.1829-34;
непатентный документ 24: Kurt Rasmussen, and sixteen others, The Novel 5-Hydroxytryptamine1A Antagonist LY426965: Effects on Nicotine Withdrawal and Interactions with Fluoxetine, J. of Pharmacol. Experimental. Therapeutics., 294: 688-700: (2000);
патентный документ 1: международная публикация WO99/06384;
патентный документ 2: JP-A-2002-114684;
патентный документ 3: международная публикация WO98/43956.
Как указано выше, можно ожидать, что соединение, обладающее способностью связываться с 5-НТ1А рецептором и также проявляющее антагонистический эффект против указанного рецептора, будет средством для лечения симптомов со стороны нижних мочевых путей, основанным на новом механизме действия. Однако соединение, которое обладает высокой способностью связываться с 5-НТ1А рецептором и проявляет антагонизм к данному рецептору и которое способно оказывать превосходное клиническое действие в лечении или профилактике симптомов со стороны нижних мочевых путей и, в частности, симптомов, касающихся накопления мочи, все еще не найдено.
Средство для решения проблем
При указанных обстоятельствах авторы настоящего изобретения провели интенсивные исследования. В результате они нашли, что соединение, описанное ниже, которое обладает способностью связываться с 5-НТ1А рецептором и оказывает антагонистическое действие против данного рецептора, полезно в качестве средства для лечения или профилактики симптомов со стороны нижних мочевых путей и, в частности, повышенной частоты мочеиспускания или недержания мочи, что в конечном счете и завершилось настоящим изобретением.
Таким образом, настоящее изобретение характеризуется следующими отличительными признаками 1)-34):
1) Соединение, представленное следующей формулой (I), или его фармакологически приемлемлемая соль:

где R1 и R2 представляют собой заместители, смежные друг с другом, и вместе с двумя углеродными атомами, к каждому из которых они присоединены, образуют:
(1) 5-7-членную неароматическую карбоциклическую группу,
(2) 5-7-членную неароматическую гетероциклическую группу,
(3) 6-членную ароматическую карбоциклическую группу или
(4) 5- или 6-членную ароматическую гетероциклическую группу,
которая может быть замещенной 1-4 заместителями, выбранными из следующей группы заместителей B1;
R3 представляет собой атом водорода или метильную группу; и
R6 представляет собой заместитель, выбранный из следующей группы А1 заместителей,
группа А1 заместителей: (1) атом водорода, (2) атом галогена, (3) цианогруппа, (4) гидроксильная группа, (5) нитрогруппа, (6) карбоксильная группа, (7) C3-C8 циклоалкильная группа, (8) C2-C6 алкенильная группа, (9) C2-C6 алкинильная группа, (10) C1-C6 алкилтиогруппа, (11) C1-C6 алкоксикарбонильная группа, (12) C1-C6 алкилсульфонильная группа, (13) C1-C6 алкильная группа (где описанная выше C1-C6 алкильная группа может быть замещенной 1-3 заместителями, выбранными из группы, состоящей из атома галогена, гидроксильной группы и C1-C6 алкоксигруппы), (14) C1-C6 алкоксигруппа (где описанная выше C1-C6 алкоксигруппа может быть замещенной 1-3 атомами галогена), (15) аминогруппа (где описанная выше аминогруппа может быть замещенной заместителем, выбранным из группы, состоящей из C1-C6 алкильной группы, формильной группы, C1-C6 алканоильной группы и C1-C6 алкилсульфонильной группы) и (16) карбамоильная группа (где описанная выше карбамоильная группа может быть замещенной одной или двумя C1-C6 алкильными группами),
группа В1 заместителей: (1) атом водорода, (2) атом галогена, (3) цианогруппа, (4) гидроксильная группа, (5) нитрогруппа, (6) оксогруппа, (7) карбоксильная группа, (8) C3-C8 циклоалкильная группа, (9) C2-C6 алкенильная группа, (10) C2-C6 алкинильная группа, (11) C1-C6 алкилтиогруппа, (12) C1-C6 алкоксикарбонильная группа, (13) C1-C6 алкилсульфонильная группа, (14) C1-C6 алкильная группа (где описанная выше C1-C6 алкильная группа может быть замещенной атомом галогена, гидроксильной группой или C1-C6 алкоксигруппой), (15) C1-C6 алкоксигруппа (где описанная выше C1-C6 алкоксигруппа может быть замещенной 1-3 атомами галогена), (16) аминогруппа (где описанная выше аминогруппа может быть замещенной заместителем, выбранным из группы, состоящей из C1-C6 алкильной группы, формильной группы, C1-C6 алканоильной группы и C1-C6 алкилсульфонильной группы), (17) карбамоильная группа (где описанная выше карбамоильная группа может быть замещенной одной или двумя C1-C6 алкильными группами), (18) C1-C6 алкоксииминогруппа, (19) C5-C6 циклоалкильная группа, образованная двумя C1-C3 алкильными группами, присоединенными к одному и тому же углеродному атому, и (20) тетрагидропиранильная группа, образованная двумя C1-C3 алкильными группами, присоединенными к одному и тому же углеродному атому, вместе с атомом кислорода и указанным выше атомом углерода;
2) соединение по описанному выше пункту 1) или его фармакологически приемлемая соль, где R1 и R2 представляют собой заместители, смежные друг с другом, и вместе с двумя углеродными атомами, к каждому из которых они присоединены, образуют группу, представленную следующей формулой:

где атом водорода в каждой циклической группе может быть замещенным 1-4 заместителями, выбранными из следующей группы В1 заместителей,
группа В1 заместителей: (1) атом водорода, (2) атом галогена, (3) цианогруппа, (4) гидроксильная группа, (5) нитрогруппа, (6) оксогруппа, (7) карбоксильная группа, (8) C3-C8 циклоалкильная группа, (9) C2-C6 алкенильная группа, (10) C2-C6 алкинильная группа, (11) C1-C6 алкилтиогруппа, (12) C1-C6 алкоксикарбонильная группа, (13) C1-C6 алкилсульфонильная группа, (14) C1-C6 алкильная группа (где описанная выше C1-C6 алкильная группа может быть замещенной атомом галогена, гидроксильной группой или C1-C6 алкоксигруппой), (15) C1-C6 алкоксигруппа (где описанная выше C1-C6 алкоксигруппа может быть замещенной 1-3 атомами галогена), (16) аминогруппа (где описанная выше аминогруппа может быть замещенной заместителем, выбранным из группы, состоящей из C1-C6 алкильной группы, формильной группы, C1-C6 алканоильной группы и C1-C6 алкилсульфонильной группы), (17) карбамоильная группа (где описанная выше карбамоильная группа может быть замещенной одной или двумя C1-C6 алкильными группами), (18) C1-C6 алкоксииминогруппа, (19) C5-C6 циклоалкильная группа, образованная двумя C1-C3 алкильными группами, присоединенными к одному и тому же углеродному атому, и (20) тетрагидропиранильная группа, образованная двумя C1-C3 алкильными группами, присоединенными к одному и тому же углеродному атому, вместе с атомом кислорода и указанным выше атомом углерода;
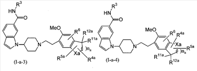
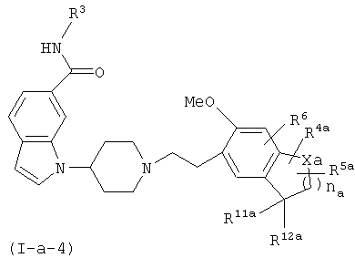
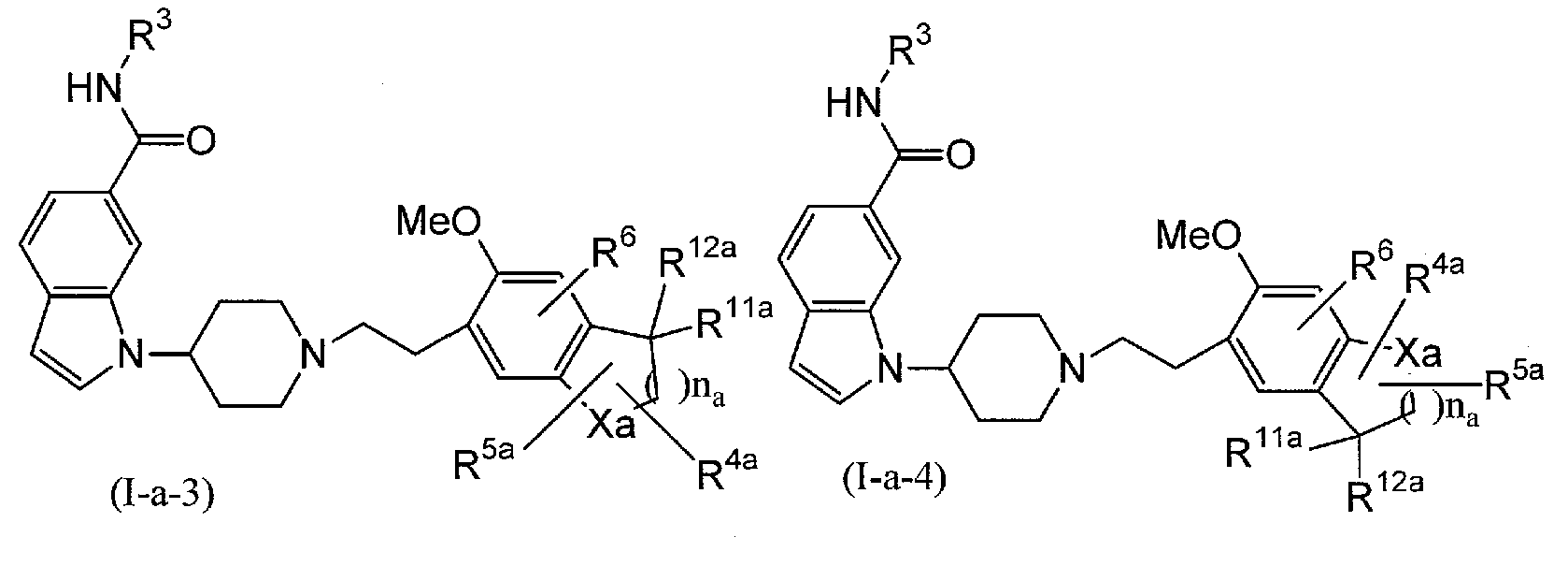
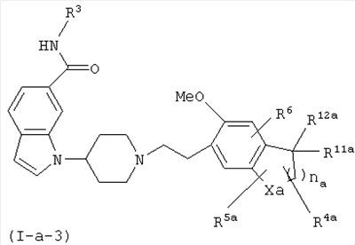
3) соединение по описанному выше пункту 1) или его фармакологически приемлемая соль, которое представлено формулой (I-a-1), формулой (I-a-2), формулой (I-a-3) или (I-a-4):


где R3 представляет собой атом водорода или метильную группу; R4a и R5a представляют собой заместители, выбранные из следующей группы В1 заместителей; R6 представляет собой заместитель, выбранный из следующей группы А1 заместителей; R11a представляет собой гидроксильную группу, R12a представляет собой атом водорода или C1-C6 алкильную группу или R11a и R12a представляют собой карбонильную группу или группу формулы C=N-OR8c (где R8c представляет собой C1-C6 алкильную группу) вместе с углеродными атомами, к которым присоединены R11a и R12a; Xa представляет собой метиленовую группу, где атом водорода указанной выше метиленовой группы может быть замещен заместителем, выбранным из следующей группы В1 заместителей, или атом кислорода; и na представляет собой целое число от 1 до 3,
группа А1 заместителей: (1) атом водорода, (2) атом галогена, (3) цианогруппа, (4) гидроксильная группа, (5) нитрогруппа, (6) карбоксильная группа, (7) C3-C8 циклоалкильная группа, (8) C2-C6 алкенильная группа, (9) C2-C6 алкинильная группа, (10) C1-C6 алкилтиогруппа, (11) C1-C6 алкоксикарбонильная группа, (12) C1-C6 алкилсульфонильная группа, (13) C1-C6 алкильная группа (где описанная выше C1-C6 алкильная группа может быть замещенной 1-3 заместителями, выбранными из группы, состоящей из атома галогена, гидроксильной группы и C1-C6 алкоксигруппы), (14) C1-C6 алкоксигруппа (где описанная выше C1-C6 алкоксигруппа может быть замещенной 1-3 атомами галогена), (15) аминогруппа (где описанная выше аминогруппа может быть замещенной заместителем, выбранным из группы, состоящей из C1-C6 алкильной группы, формильной группы, C1-C6 алканоильной группы и C1-C6 алкилсульфонильной группы) и (16) карбамоильная группа (где описанная выше карбамоильная группа может быть замещенной одной или двумя C1-C6 алкильными группами),
группа В1 заместителей: (1) атом водорода, (2) атом галогена, (3) цианогруппа, (4) гидроксильная группа, (5) нитрогруппа, (6) оксогруппа, (7) карбоксильная группа, (8) C3-C8 циклоалкильная группа, (9) C2-C6 алкенильная группа, (10) C2-C6 алкинильная группа, (11) C1-C6 алкилтиогруппа, (12) C1-C6 алкоксикарбонильная группа, (13) C1-C6 алкилсульфонильная группа, (14) C1-C6 алкильная группа (где описанная выше C1-C6 алкильная группа может быть замещенной атомом галогена, гидроксильной группой или C1-C6 алкоксигруппой), (15) C1-C6 алкоксигруппа (где описанная выше C1-C6 алкоксигруппа может быть замещенной 1-3 атомами галогена), (16) аминогруппа (где описанная выше аминогруппа может быть замещенной заместителем, выбранным из группы, состоящей из C1-C6 алкильной группы, формильной группы, C1-C6 алканоильной группы и C1-C6 алкилсульфонильной группы), (17) карбамоильная группа (где описанная выше карбамоильная группа может быть замещенной одной или двумя C1-C6 алкильными группами), (18) C1-C6 алкоксииминогруппа, (19) C5-C6 циклоалкильная группа, образованная двумя C1-C3 алкильными группами, присоединенными к одному и тому же углеродному атому, и (20) тетрагидропиранильная группа, образованная двумя C1-C3 алкильными группами, присоединенными к одному и тому же углеродному атому, вместе с атомом кислорода и указанным выше атомом углерода;
4) соединение по описанному выше пункту 3) или его фармакологически приемлемая соль, где R11a и R12a образуют карбонильную группу, вместе с атомами углерода, к которым R11a и R12a присоединены;
5) соединение по описанному выше пункту 3) или 4) или его фармакологически приемлемая соль, где R4a и R5a представляют собой заместители, выбранные из следующей группы В2 заместителей, и R6 представляет собой заместитель, выбранный из следующей группы А2 заместителей,
группа А2 заместителей: (1) атом водорода, (2) C1-C6 алкильная группа, (3) атом галогена, (4) цианогруппа, (5) C1-C6 алкоксигруппа, (6) аминогруппа, где атом азота может быть замещенным C1-C6 алкильной группой, и (7) C1-C6 алкокси-С1-C6 алкильная группа,
группа В2 заместителей: (1) атом водорода, (2) C1-C6 алкильная группа, (3) атом галогена, (4) гидроксильная группа, (5) C1-C6 алкоксигруппа, (6) C1-C6 алкокси-С1-C6 алкильная группа, (7) C5-C6 циклоалкильная группа, образованная двумя C1-C3 алкильными группами, присоединенными к одному и тому же углеродному атому, и (8) тетрагидропиранильная группа, образованная двумя C1-C3 алкильными группами, присоединенными к одному и тому же углеродному атому, вместе с атомом кислорода и указанным выше атомом углерода;
6) соединение по любому из описанных выше пунктов 3)-5) или его фармакологически приемлемая соль, где R4a и R5a представляют собой заместители, выбранные из следующей группы В5 заместителей, и R6 представляет собой заместитель, выбранный из следующей группы А4 заместителей,
группа А4 заместителей: (1) атом водорода и (2) C1-C6 алкоксигруппа,
группа В5 заместителей: (1) атом водорода, (2) C1-C6 алкильная группа, (3) C1-C6 алкокси-С1-C6 алкильная группа, (4) C5-C6 циклоалкильная группа, образованная двумя C1-C3 алкильными группами, присоединенными к одному и тому же углеродному атому, и (5) тетрагидропиранильная группа, образованная двумя C1-C3 алкильными группами, присоединенными к одному и тому же углеродному атому, вместе с атомом кислорода и указанным выше атомом углерода;
7) соединение по любому из описанных выше пунктов 3)-6) или его фармакологически приемлемая соль, где Xa представляет собой атом кислорода;
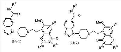
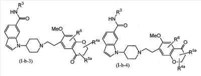
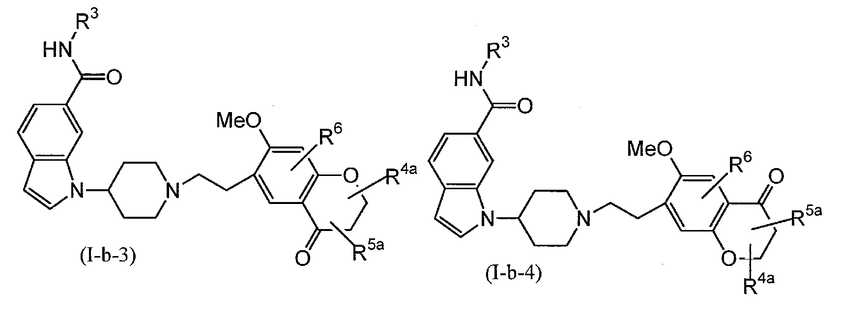
8) соединение по описанному выше пункту 1) или его фармакологически приемлемая соль, которое представлено формулой (I-b-1), формулой (I-b-2), формулой (I-b-3) или формулой (I-b-4):


где R4a и R5a представляют собой заместители, выбранные из следующей группы В5 заместителей, и R6 представляет собой заместитель, выбранный из следующей группы А4 заместителей,
группа А4 заместителей: (1) атом водорода и (2) C1-C6 алкоксигруппа,
группа В5 заместителей: (1) атом водорода, (2) C1-C6 алкильная группа, (3) C1-C6 алкокси-С1-C6 алкильная группа, (4) C5-C6 циклоалкильная группа, образованная двумя C1-C3 алкильными группами, присоединенными к одному и тому же углеродному атому, и (5) тетрагидропиранильная группа, образованная двумя C1-C3 алкильными группами, присоединенными к одному и тому же углеродному атому, вместе с атомом кислорода и указанным выше атомом углерода;
9) соединение по описанному выше пункту 3) или его фармакологически приемлемая соль, где R11a представляет собой гидроксильную группу и R12a представляет собой атом водорода или C1-C6 алкильную группу;
10) соединение по описанному выше пункту 9) или его фармакологически приемлемая соль, где R4a и R5a представляют собой заместители, выбранные из следующей группы В2 заместителей, и R6 представляет собой заместитель, выбранный из следующей группы А2 заместителей,
группа А2 заместителей: (1) атом водорода, (2) C1-C6 алкильная группа, (3) атом галогена, (4) цианогруппа, (5) C1-C6 алкоксигруппа, (6) аминогруппа, где атом азота может быть замещенным С1-С6 алкильной группой, и (7) C1-C6 алкокси-С1-C6 алкильная группа,
группа В2 заместителей: (1) атом водорода, (2) C1-C6 алкильная группа, (3) атом галогена, (4) гидроксильная группа, (5) C1-C6 алкоксигруппа, (6) C1-C6 алкокси-С1-C6 алкильная группа, (7) C5-C6 циклоалкильная группа, образованная двумя C1-C3 алкильными группами, присоединенными к одному и тому же углеродному атому, и (8) тетрагидропиранильная группа, образованная двумя C1-C3 алкильными группами, присоединенными к одному и тому же углеродному атому, вместе с атомом кислорода и указанным выше атомом углерода;
11) соединение по описанному выше пункту 9) или 10) или его фармакологически приемлемая соль, где Xa представляет собой атом кислорода;
12) соединение по описанному выше пункту 3) или его фармакологически приемлемая соль, где R11a и R12a вместе образуют группу формулы =N-OR8c (где R8c представляет собой C1-C6 алкильную группу);
13) соединение по описанному выше пункту 12) или его фармакологически приемлемая соль, где R4a и R5a представляют собой заместители, выбранные из следующей группы В3 заместителей, и R6 представляет собой заместитель, выбранный из следующей группы А2 заместителей,
группа А2 заместителей: (1) атом водорода, (2) C1-C6 алкильная группа, (3) атом галогена, (4) цианогруппа, (5) C1-C6 алкоксигруппа, (6) аминогруппа, где атом азота может быть замещенным С1-С6 алкильной группой, и (7) C1-C6 алкокси-С1-C6 алкильная группа,
группа В3 заместителей: (1) атом водорода, (2) C1-C6 алкильная группа, (3) атом галогена, (4) гидроксильная группа, (5) C1-C6 алкоксигруппа и (6) C1-C6 алкокси-С1-C6 алкильная группа;
14) соединение по описанному выше пункту 12) или 13) или его фармакологически приемлемая соль, где Xa представляет собой атом кислорода;
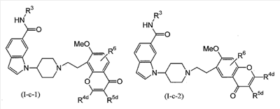
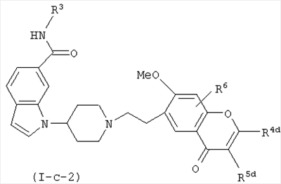
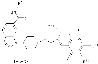
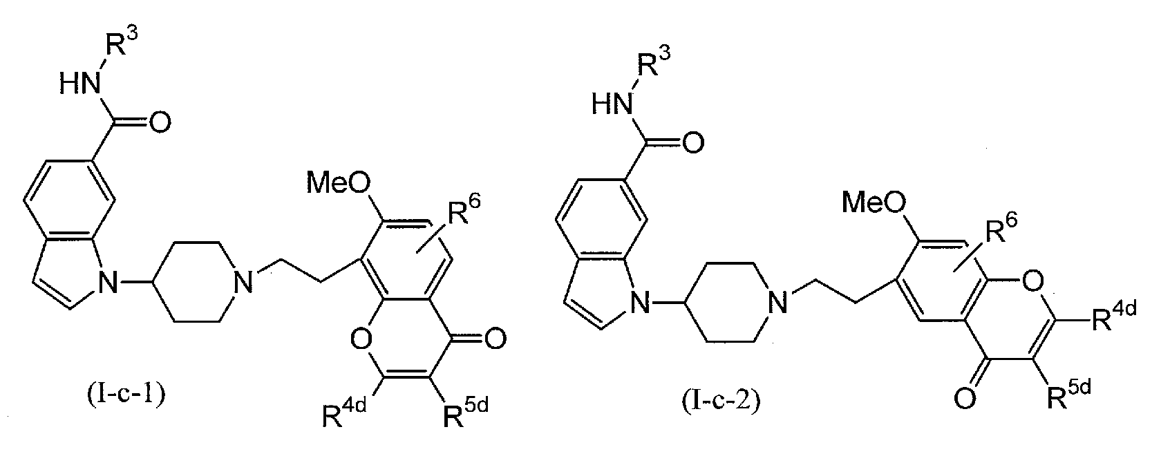
15) соединение по описанному выше пункту 1) или его фармакологически приемлемая соль, которое представлено формулой (I-c-1) или формулой (I-c-2):

где R3 представляет собой атом водорода или метильную группу и R4d, R5d и R6 представляют собой заместители, выбранные из следующей группы А1 заместителей,
группа А1 заместителей: (1) атом водорода, (2) атом галогена, (3) цианогруппа, (4) гидроксильная группа, (5) нитрогруппа, (6) карбоксильная группа, (7) C3-C8 циклоалкильная группа, (8) C2-C6 алкенильная группа, (9) C2-C6 алкинильная группа, (10) C1-C6 алкилтиогруппа, (11) C1-C6 алкоксикарбонильная группа, (12) C1-C6 алкилсульфонильная группа, (13) C1-C6 алкильная группа (где описанная выше C1-C6 алкильная группа может быть замещенной 1-3 заместителями, выбранными из группы, состоящей из атома галогена, гидроксильной группы и C1-C6 алкоксигруппы), (14) C1-C6 алкоксигруппа (где описанная выше C1-C6 алкоксигруппа может быть замещенной 1-3 атомами галогена), (15) аминогруппа (где описанная выше аминогруппа может быть замещенной заместителем, выбранным из группы, состоящей из C1-C6 алкильной группы, формильной группы, C1-C6 алканоильной группы и C1-C6 алкилсульфонильной группы) и (16) карбамоильная группа (где описанная выше карбамоильная группа может быть замещенной одной или двумя C1-C6 алкильными группами);
16) соединение по описанному выше пункту 15) или его фармакологически приемлемая соль, где R4d и R5d представляют собой заместители, выбранные из следующей группы В4 заместителей, и R6 представляет собой заместитель, выбранный из следующей группы А2 заместителей,
группа А2 заместителей: (1) атом водорода, (2) C1-C6 алкильная группа, (3) атом галогена, (4) цианогруппа, (5) C1-C6 алкоксигруппа, (6) аминогруппа, где атом азота может быть замещенным С1-С6 алкильной группой, и (7) C1-C6 алкокси-С1-C6 алкильная группа,
группа В4 заместителей: (1) атом водорода, (2) C1-C6 алкильная группа, (3) C1-C6 алкоксигруппа и (4) C1-C6 алкокси-С1-C6 алкильная группа;
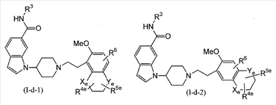
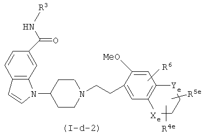
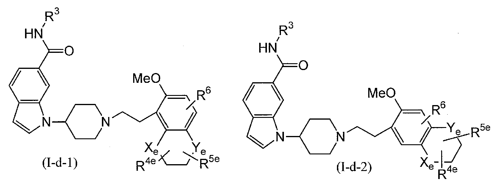
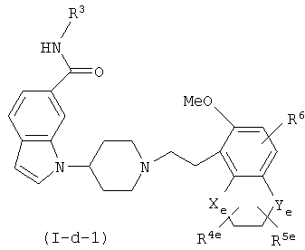
17) соединение по описанному выше пункту 1) или его фармакологически приемлемая соль, которое представлено формулой (I-d-1) или формулой (I-d-2):

где R3 представляет собой атом водорода или метильную группу; R4e и R5e представляют собой заместители, выбранные из следующей группы А1 заместителей; R6 представляет собой заместитель, выбранный из следующей группы А1 заместителей; и каждый из Xe и Ye представляет собой (1) атом кислорода, (2) метиленовую группу, (3) -CONR7e– (где R7e представляет собой (1) атом водорода или (2) C1-C6 алкильную группу), (4) -NR7eCO- (где R7e имеет определенное выше значение), (5) -NR8e– (где R8e представляет собой (1) C1-C6 алкильную группу или (2) C1-C6 ацильную группу) или (6) одинарная связь,
группа А1 заместителей: (1) атом водорода, (2) атом галогена, (3) цианогруппа, (4) гидроксильная группа, (5) нитрогруппа, (6) карбоксильная группа, (7) C3-C8 циклоалкильная группа, (8) C2-C6 алкенильная группа, (9) C2-C6 алкинильная группа, (10) C1-C6 алкилтиогруппа, (11) C1-C6 алкоксикарбонильная группа, (12) C1-C6 алкилсульфонильная группа, (13) C1-C6 алкильная группа (где описанная выше C1-C6 алкильная группа может быть замещенной 1-3 заместителями, выбранными из группы, состоящей из атома галогена, гидроксильной группы и C1-C6 алкоксигруппы), (14) C1-C6 алкоксигруппа (где описанная выше C1-C6 алкоксигруппа может быть замещенной 1-3 атомами галогена), (15) аминогруппа (где описанная выше аминогруппа может быть замещенной заместителем, выбранным из группы, состоящей из C1-C6 алкильной группы, формильной группы, C1-C6 алканоильной группы и C1-C6 алкилсульфонильной группы) и (16) карбамоильная группа (где описанная выше карбамоильная группа может быть замещенной одной или двумя C1-C6 алкильными группами);
18) соединение по описанному выше пункту 17) или его фармакологически приемлемая соль, где R4e и R5e представляют собой заместители, выбранные из следующей группы В3 заместителей, и R6 представляет собой заместитель, выбранный из следующей группы А2 заместителей,
группа А2 заместителей: (1) атом водорода, (2) C1-C6 алкильная группа, (3) атом галогена, (4) цианогруппа, (5) C1-C6 алкоксигруппа, (6) аминогруппа, где атом азота может быть замещенным С1-С6 алкильной группой, и (7) C1-C6 алкокси-С1-C6 алкильная группа,
группа В3 заместителей: (1) атом водорода, (2) C1-C6 алкильная группа, (3) атом галогена, (4) гидроксильная группа, (5) C1-C6 алкоксигруппа и (6) C1-C6 алкокси-С1-C6 алкильная группа;
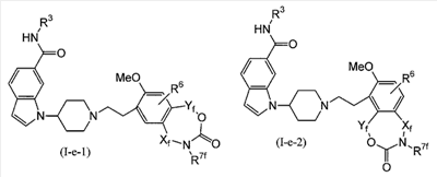
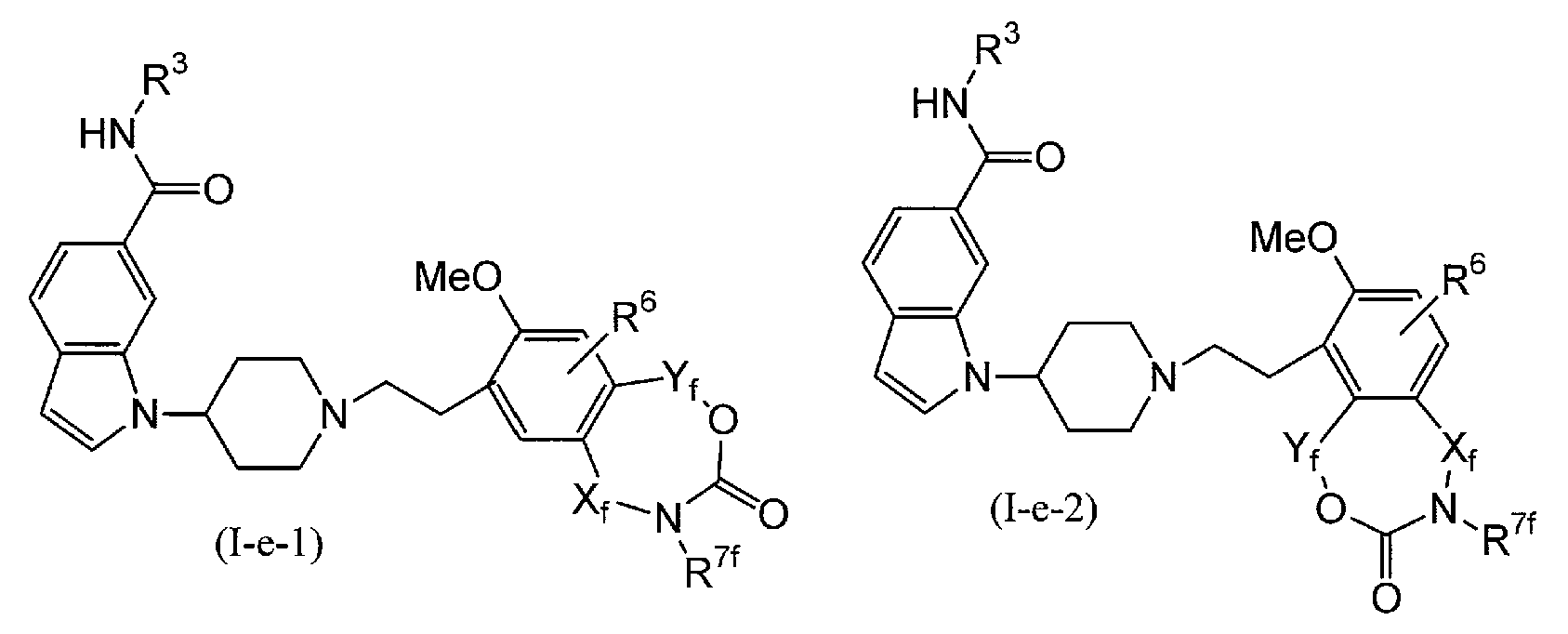
19) соединение по описанному выше пункту 1) или его фармакологически приемлемая соль, которое представлено формулой (I-e-1) или формулой (I-e-2):

где R3 представляет собой атом водорода или метильную группу; R6 представляет собой заместитель, выбранный из следующей группы А1 заместителей; R7f представляет собой (1) атом водорода, (2) C1-C6 алкильную группу, (3) C3-C8 циклоалкильную группу, (4) C2-C6 алкенильную группу, (5) C2-C6 алкинильную группу или (6) C1-C6 алкокси-С1-C6 алкильную группу; и каждый из Xf и Yf представляет собой (1) одинарную связь, (2) метиленовую группу, которая может иметь заместитель, выбранный из следующей группы А1 заместителей, или (3) карбонильную группу,
группа А1 заместителей: (1) атом водорода, (2) атом галогена, (3) цианогруппа, (4) гидроксильная группа, (5) нитрогруппа, (6) карбоксильная группа, (7) C3-C8 циклоалкильная группа, (8) C2-C6 алкенильная группа, (9) C2-C6 алкинильная группа, (10) C1-C6 алкилтиогруппа, (11) C1-C6 алкоксикарбонильная группа, (12) C1-C6 алкилсульфонильная группа, (13) C1-C6 алкильная группа (где описанная выше C1-C6 алкильная группа может быть замещенной 1-3 заместителями, выбранными из группы, состоящей из атома галогена, гидроксильной группы и C1-C6 алкоксигруппы), (14) C1-C6 алкоксигруппа (где описанная выше C1-C6 алкоксигруппа может быть замещенной 1-3 атомами галогена), (15) аминогруппа (где описанная выше аминогруппа может быть замещенной заместителем, выбранным из группы, состоящей из C1-C6 алкильной группы, формильной группы, C1-C6 алканоильной группы и C1-C6 алкилсульфонильной группы) и (16) карбамоильная группа (где описанная выше карбамоильная группа может быть замещенной одной или двумя C1-C6 алкильными группами);
20) соединение по описанному выше пункту 19) или его фармакологически приемлемая соль, где R6 представляет собой заместитель, выбранный из следующей группы А2 заместителей; R7f представляет собой заместитель, выбранный из следующей группы В4 заместителей; и каждый из Xf и Yf представляет собой (1) одинарную связь, (2) метиленовую группу, которая может иметь заместитель, выбранный из следующей группы В4 заместителей, или (3) карбонильную группу,
группа А2 заместителей: (1) атом водорода, (2) C1-C6 алкильная группа, (3) атом галогена, (4) цианогруппа, (5) C1-C6 алкоксигруппа, (6) аминогруппа, где атом азота может быть замещенным С1-С6 алкильной группой, и (7) C1-C6 алкокси-С1-C6 алкильная группа,
группа В4 заместителей: (1) атом водорода, (2) C1-C6 алкильная группа, (3) C1-6 алкоксигруппа и (4) C1-C6 алкокси-С1-C6 алкильная группа;
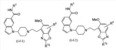
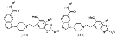
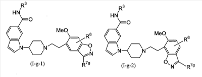
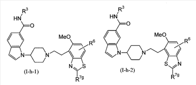
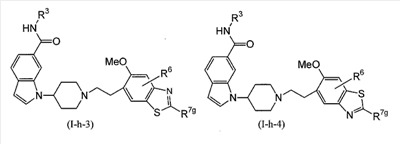
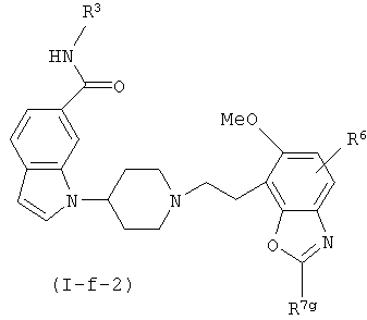
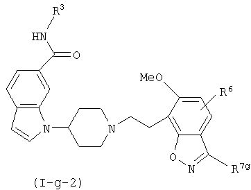
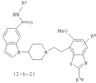
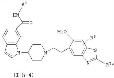
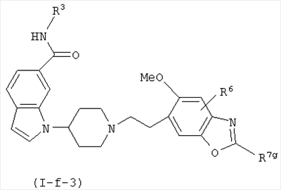
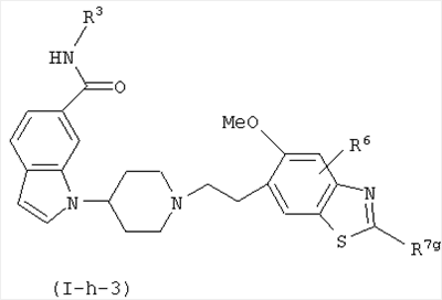
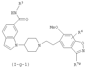
21) соединение по описанному выше пункту 1) или его фармакологически приемлемая соль, которое представлено формулой (I-f-1), формулой (I-f-2), формулой (I-f-3), формулой (I-f-4), формулой (I-g-1), формулой (I-g-2), формулой (I-h-1), формулой (I-h-2), формулой (I-h-3) или формулой (I-h-4):





где R3 представляет собой атом водорода или метильную группу и R6 и R7g представляют собой заместители, выбранные из следующей группы А1 заместителей (исключая гидроксильную группу для R7g),
группа А1 заместителей: (1) атом водорода, (2) атом галогена, (3) цианогруппа, (4) гидроксильная группа, (5) нитрогруппа, (6) карбоксильная группа, (7) C3-C8 циклоалкильная группа, (8) C2-C6 алкенильная группа, (9) C2-C6 алкинильная группа, (10) C1-C6 алкилтиогруппа, (11) C1-C6 алкоксикарбонильная группа, (12) C1-C6 алкилсульфонильная группа, (13) C1-C6 алкильная группа (где описанная выше C1-C6 алкильная группа может быть замещенной 1-3 заместителями, выбранными из группы, состоящей из атома галогена, гидроксильной группы и C1-C6 алкоксигруппы), (14) C1-C6 алкоксигруппа (где описанная выше C1-C6 алкоксигруппа может быть замещенной 1-3 атомами галогена), (15) аминогруппа (где описанная выше аминогруппа может быть замещенной заместителем, выбранным из группы, состоящей из C1-C6 алкильной группы, формильной группы, C1-C6 алканоильной группы и C1-C6 алкилсульфонильной группы) и (16) карбамоильная группа (где описанная выше карбамоильная группа может быть замещенной одной или двумя C1-C6 алкильными группами);
22) соединение по описанному выше пункту 21) или его фармакологически приемлемая соль, где R6 представляет собой заместитель, выбранный из следующей группы А2 заместителей, и R7g представляет собой заместитель, выбранный из следующей группы В7 заместителей,
группа А2 заместителей: (1) атом водорода, (2) C1-C6 алкильная группа, (3) атом галогена, (4) цианогруппа, (5) C1-C6 алкоксигруппа, (6) аминогруппа, где атом азота может быть замещенным С1-С6 алкильной группой, и (7) C1-C6 алкокси-С1-C6 алкильная группа,
группа А3 заместителей: (1) атом водорода, (2) C1-C6 алкильная группа, (3) атом галогена, (4) цианогруппа и (5) C1-C6 алкокси-С1-C6 алкильная группа;
23) соединение по описанному выше пункту 21) или 22) или его фармакологически приемлемая соль, где R6 представляет собой заместитель, выбранный из следующей группы А4 заместителей, и R7g представляет собой заместитель, выбранный из следующей группы В6 заместителей,
группа А4 заместителей: (1) атом водорода и (2) C1-C6 алкоксигруппа,
группа В6 заместителей: (1) атом водорода и (2) C1-C6 алкильная группа;
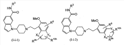
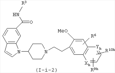
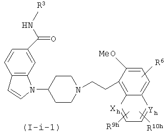
24) соединение по описанному выше пункту 1) или его фармакологически приемлемая соль, которое представлено формулой (I-i-1) или формулой (I-i-2):

где R3 представляет собой атом водорода или метильную группу и R6, R9h и R10h представляют собой заместители, выбранные из следующей группы А1 заместителей; и Xh и Yh представляют собой (1) метиновую группу или (2) атом азота,
группа А1 заместителей: (1) атом водорода, (2) атом галогена, (3) цианогруппа, (4) гидроксильная группа, (5) нитрогруппа, (6) карбоксильная группа, (7) C3-C8 циклоалкильная группа, (8) C2-C6 алкенильная группа, (9) C2-C6 алкинильная группа, (10) C1-C6 алкилтиогруппа, (11) C1-C6 алкоксикарбонильная группа, (12) C1-C6 алкилсульфонильная группа, (13) C1-C6 алкильная группа (где описанная выше C1-C6 алкильная группа может быть замещенной 1-3 заместителями, выбранными из группы, состоящей из атома галогена, гидроксильной группы и C1-C6 алкоксигруппы), (14) C1-C6 алкоксигруппа (где описанная выше C1-C6 алкоксигруппа может быть замещенной 1-3 атомами галогена), (15) аминогруппа (где описанная выше аминогруппа может быть замещенной заместителем, выбранным из группы, состоящей из C1-C6 алкильной группы, формильной группы, C1-C6 алканоильной группы и C1-C6 алкилсульфонильной группы) и (16) карбамоильная группа (где описанная выше карбамоильная группа может быть замещенной одной или двумя C1-C6 алкильными группами);
25) соединение по описанному выше пункту 24) или его фармакологически приемлемая соль, где R9h, R10h, R6 представляют собой заместители, выбранные из следующей группы А2 заместителей, и Xh и Yh представляют собой (1) метиновую группу или (2) атом азота,
группа А2 заместителей: (1) атом водорода, (2) C1-C6 алкильная группа, (3) атом галогена, (4) цианогруппа, (5) C1-C6 алкоксигруппа, (6) аминогруппа, где атом азота может быть замещенным С1-С6 алкильной группой, и (7) C1-C6 алкокси-С1-C6 алкильная группа;
26) соединение по описанным выше пунктам 8)-25), где R6 представляет собой атом водорода;
27) соединение по описанному выше пункту 1), выбранное из следующей группы, или его фармакологически приемлемая соль:
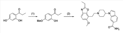
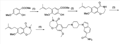
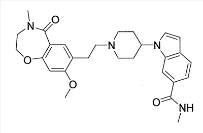
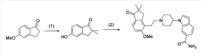
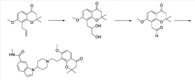
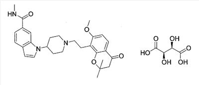
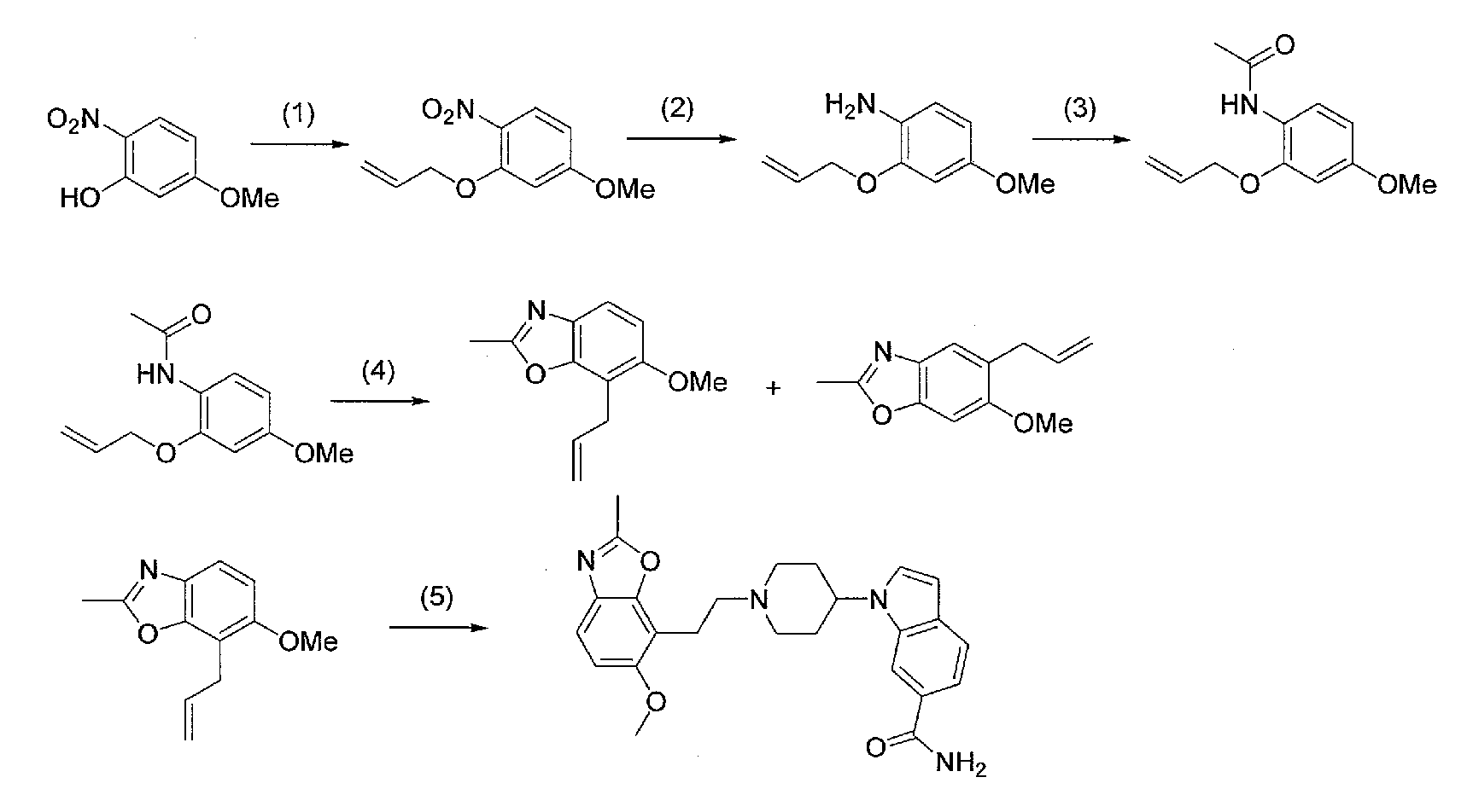
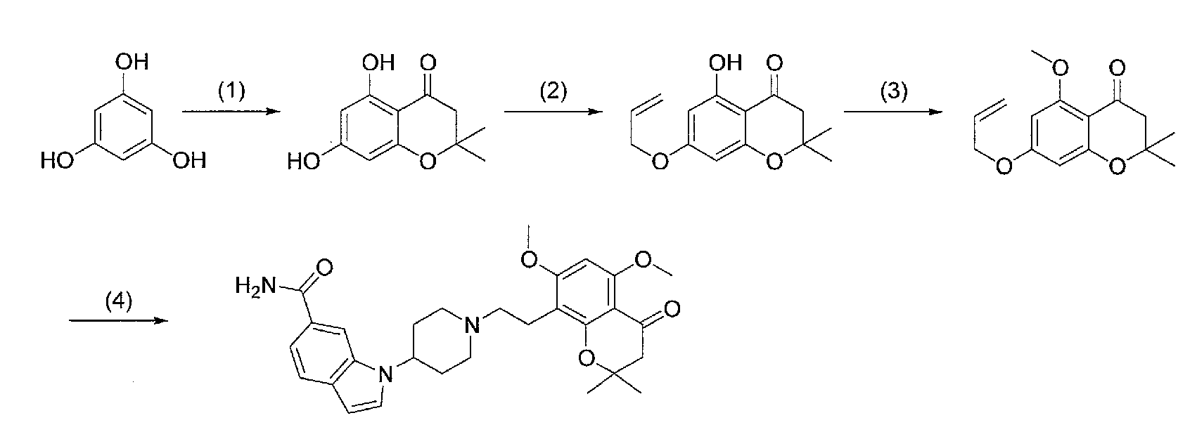
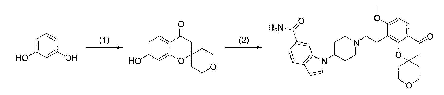
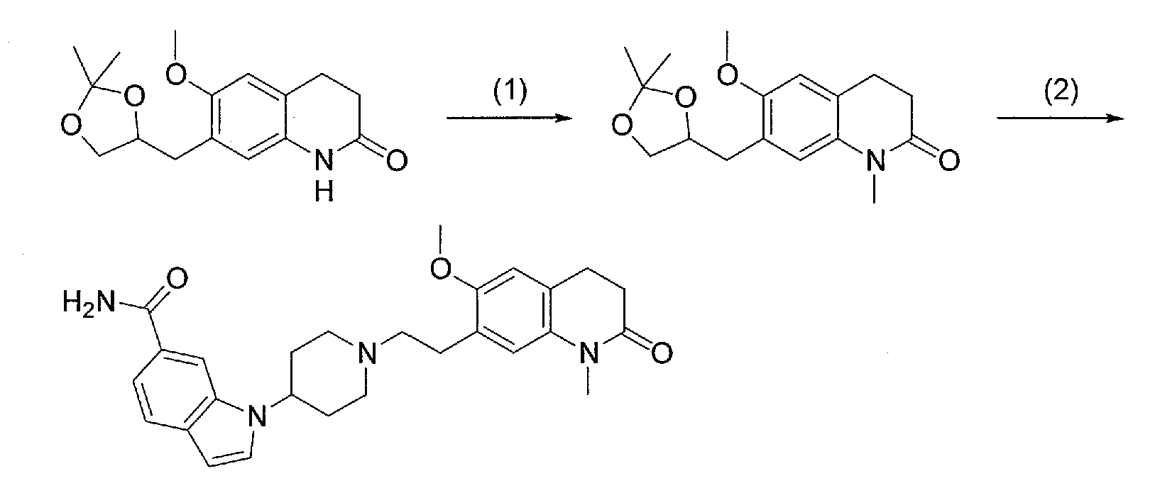
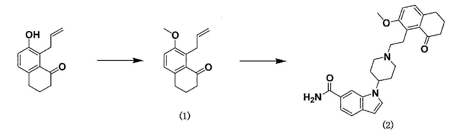
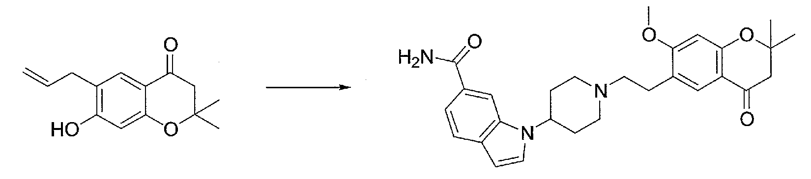
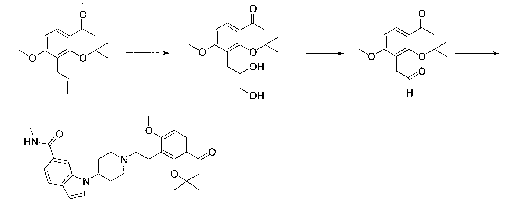
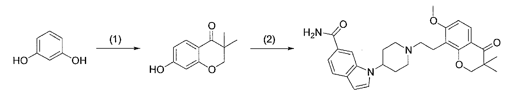
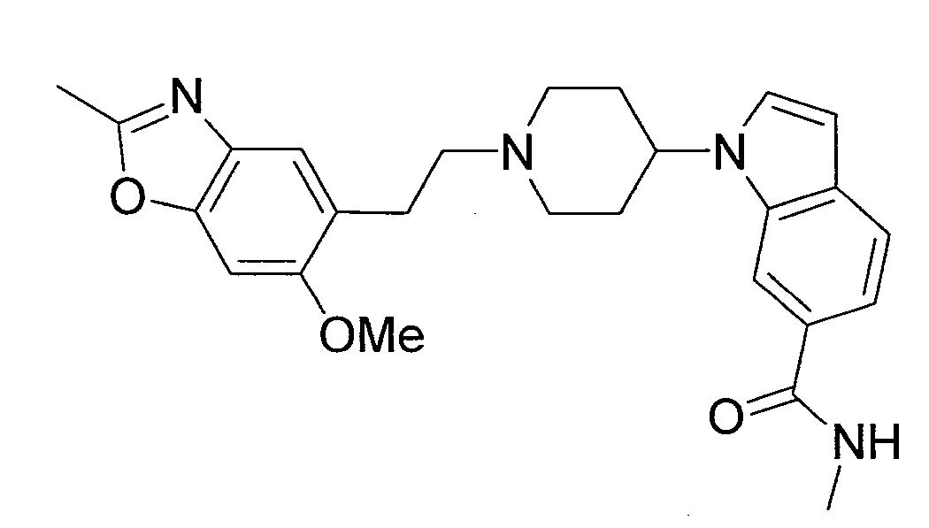
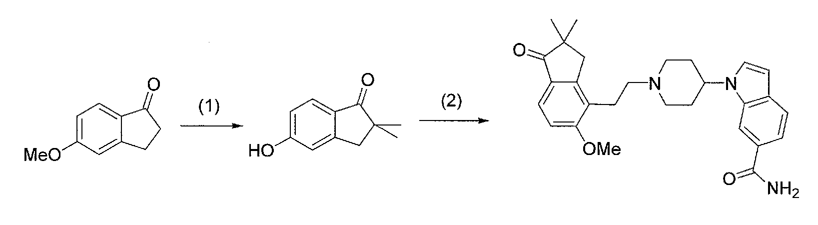
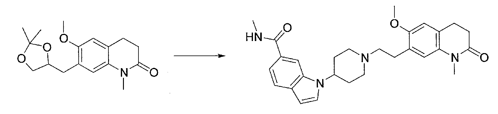
1) 1-{1-[2-(7-метокси-2,2-диметил-4-оксохроман-8-ил)этил]пиперидин-4-ил}-N-метил-1H-индол-6-карбоксамид,
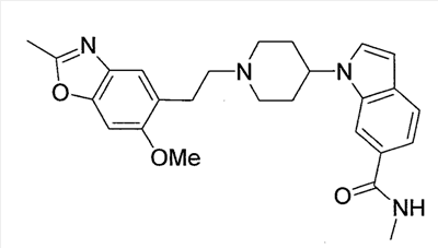
2) 1-{1-[2-(7-метокси-2,2-диметил-4-оксохроман-8-ил)этил]пиперидин-4-ил}-1H-индол-6-карбоксамид,
3) 1-{1-[2-(7-метокси-2,2-диметил-4-оксохроман-6-ил)этил]пиперидин-4-ил}-1H-индол-6-карбоксамид,
4) 1-{1-[2-(6-метокси-3-оксоиндан-5-ил)этил]пиперидин-4-ил}-1H-индол-6-карбоксамид,
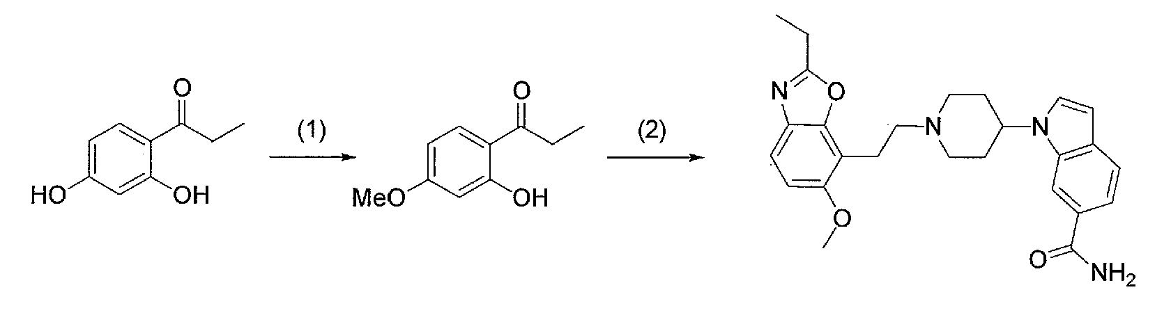
5) 1-{1-[2-(6-метокси-2-метилбензоксазол-5-ил)этил]пиперидин-4-ил}-1H-индол-6-карбоксамид,
6) 1-{1-[2-(6-метокси-2-метилбензоксазол-7-ил)этил]пиперидин-4-ил}-1H-индол-6-карбоксамид,
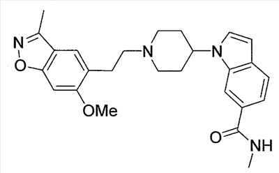
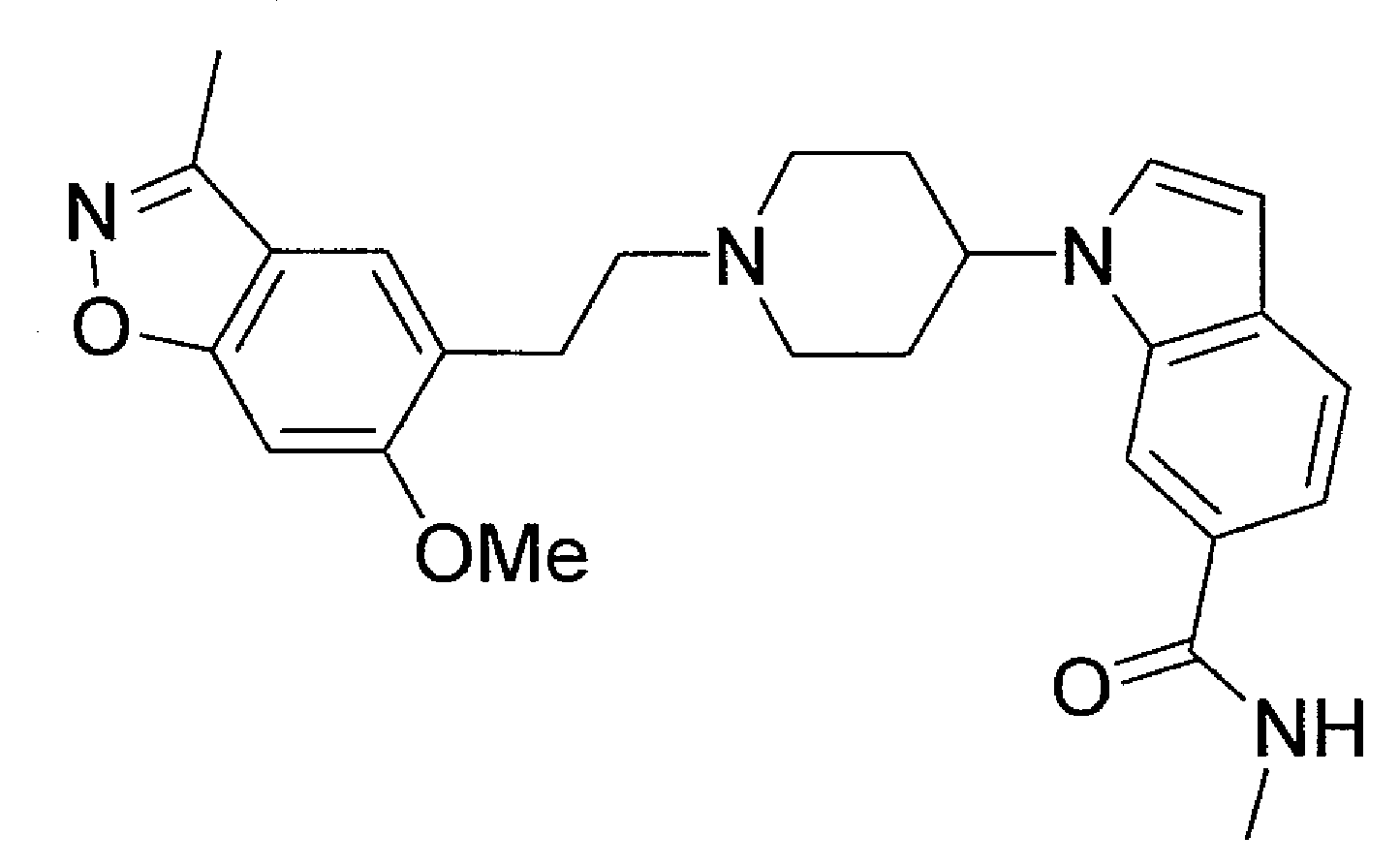
7) 1-{1-[2-(6-метокси-3-метилбензо[d]изоксазол-5-ил)этил]пиперидин-4-ил}-1H-индол-6-карбоксамид,
8) 1-{1-[2-(6-метокси-3-метилбензо[d]изоксазол-7-ил)этил]пиперидин-4-ил}-1H-индол-6-карбоксамид,
9) 1-{1-[2-(5-метокси-1-оксоиндан-4-ил)этил]пиперидин-4-ил}-1H-индол-6-карбоксамид и
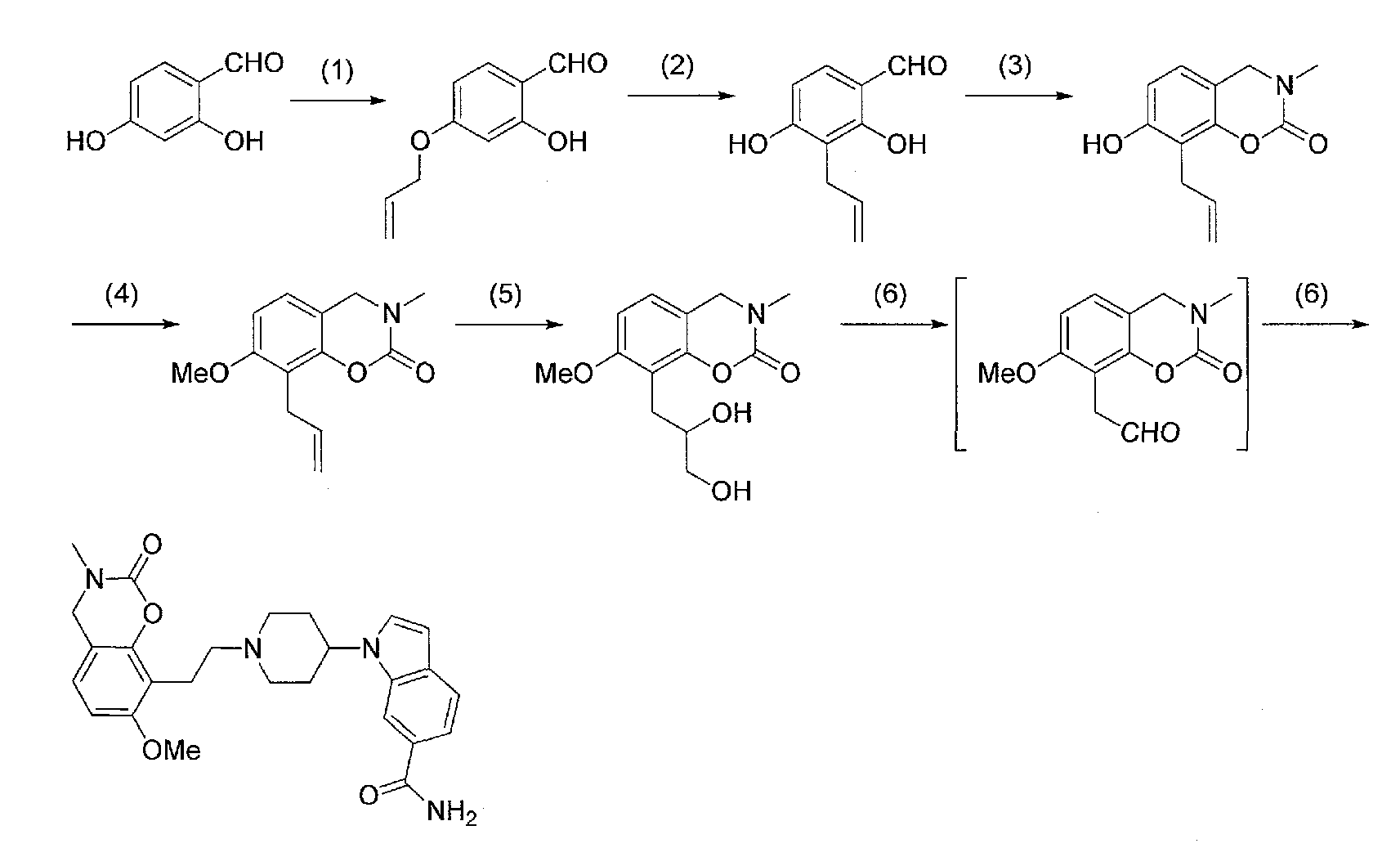
10) 1-{1-[2-(7-метокси-2,3-дигидробензо[1,4]диоксин-6-ил)этил]пиперидин-4-ил}-1H-индол-6-карбоксамид;
28) соединение по описанному выше пункту 1), выбранное из следующей группы, или его фармакологически приемлемая соль:
1) 1-{1-[2-(7-метокси-2,2-диметил-4-оксохроман-8-ил)этил]пиперидин-4-ил}-N-метил-1H-индол-6-карбоксамид,
2) 1-{1-[2-(7-метокси-2,2-диметил-4-оксохроман-8-ил)этил]пиперидин-4-ил}-1H-индол-6-карбоксамид и
3) 1-{1-[2-(7-метокси-2,2-диметил-4-оксохроман-6-ил)этил]пиперидин-4-ил}-1H-индол-6-карбоксамид;
29) фармацевтическая композиция, содержащая в качестве активного компонента соединение, представленное следующей формулой (I), или его фармакологически приемлемую соль:

где R1 и R2 представляют собой заместители, смежные друг с другом, и вместе с двумя углеродными атомами, к каждому из которых они присоединены, образуют:
(1) 5-7-членную неароматическую карбоциклическую группу,
(2) 5-7-членную неароматическую гетероциклическую группу,
(3) 6-членную ароматическую карбоциклическую группу или
(4) 5- или 6-членную ароматическую гетероциклическую группу,
которая может быть замещенной 1-4 заместителями, выбранными из следующей группы В1 заместителей;
R3 представляет собой атом водорода или метильную группу и
R6 представляет собой заместитель, выбранный из следующей группы А1 заместителей,
группа А1 заместителей: (1) атом водорода, (2) атом галогена, (3) цианогруппа, (4) гидроксильная группа, (5) нитрогруппа, (6) карбоксильная группа, (7) C3-C8 циклоалкильная группа, (8) C2-C6 алкенильная группа, (9) C2-C6 алкинильная группа, (10) C1-C6 алкилтиогруппа, (11) C1-C6 алкоксикарбонильная группа, (12) C1-C6 алкилсульфонильная группа, (13) C1-C6 алкильная группа (где описанная выше C1-C6 алкильная группа может быть замещенной 1-3 заместителями, выбранными из группы, состоящей из атома галогена, гидроксильной группы и C1-C6 алкоксигруппы), (14) C1-C6 алкоксигруппа (где описанная выше C1-C6 алкоксигруппа может быть замещенной 1-3 атомами галогена), (15) аминогруппа (где описанная выше аминогруппа может быть замещенной заместителем, выбранным из группы, состоящей из C1-C6 алкильной группы, формильной группы, C1-C6 алканоильной группы и C1-C6 алкилсульфонильной группы) и (16) карбамоильная группа (где описанная выше карбамоильная группа может быть замещенной одной или двумя C1-C6 алкильными группами),
группа В1 заместителей: (1) атом водорода, (2) атом галогена, (3) цианогруппа, (4) гидроксильная группа, (5) нитрогруппа, (6) оксогруппа, (7) карбоксильная группа, (8) C3-C8 циклоалкильная группа, (9) C2-C6 алкенильная группа, (10) C2-C6 алкинильная группа, (11) C1-C6 алкилтиогруппа, (12) C1-C6 алкоксикарбонильная группа, (13) C1-C6 алкилсульфонильная группа, (14) C1-C6 алкильная группа (где описанная выше C1-C6 алкильная группа может быть замещенной атомом галогена, гидроксильной группой или C1-C6 алкоксигруппой), (15) C1-C6 алкоксигруппа (где описанная выше C1-C6 алкоксигруппа может быть замещенной 1-3 атомами галогена), (16) аминогруппа (где описанная выше аминогруппа может быть замещенной заместителем, выбранным из группы, состоящей из C1-C6 алкильной группы, формильной группы, C1-C6 алканоильной группы и C1-C6 алкилсульфонильной группы), (17) карбамоильная группа (где описанная выше карбамоильная группа может быть замещенной одной или двумя C1-C6 алкильными группами), (18) C1-C6 алкоксииминогруппа, (19) C5-C6 циклоалкильная группа, образованная двумя C1-C3 алкильными группами, присоединенными к одному и тому же углеродному атому, и (20) тетрагидропиранильная группа, образованная двумя C1-C3 алкильными группами, присоединенными к одному и тому же углеродному атому, вместе с атомом кислорода и указанным выше атомом углерода;
30) фармацевтическая композиция по пункту 28), отличающаяся тем, что является средством для лечения или профилактики симптомов со стороны нижних мочевых путей;
31) фармацевтическая композиция по пункту 30), отличающаяся тем, что является средством для лечения или профилактики симптомов, касающихся накопления мочи;
32) фармацевтическая композиция по пункту 30) или 31), отличающаяся тем, что является средством для лечения или профилактики повышенной частоты мочеиспускания или недержания мочи;
33) фармацевтическая композиция по пункту 29), отличающаяся тем, что является средством для лечения или профилактики снижения познавательной способности, связанного с болезнью Альцгеймера или сенильной деменцией, снижения способности к обучению или нарушения памяти, или тревожного расстройства,
34) фармацевтическая композиция по пункту 29), отличающаяся тем, что является средством для лечения или профилактики шизофрении, эмоционального расстройства, алкогольной и/или кокаиновой зависимости, симптомов, связанных с отказом от заглатывания никотина или курения, или расстройства зрительного внимания; и
35) фармацевтическая композиция по пункту 29), отличающаяся тем, что является средством для лечения или профилактики расстройства сна, мигрени, нестабильности температуры, расстройства питания, рвоты, желудочно-кишечного расстройства или генитальной недостаточности.
Соединение по настоящему изобретению, представленное формулой (I), его фармакологически приемлемая соль и средство для лечения или профилактики симптомов со стороны нижних мочевых путей, которые обладают способностью связываться с серотониновым 1А рецептором, – все это новые изобретения, которые не описаны ни в каких публикациях.
Ниже поясняются значения символов или терминов, использованных в данном описании, и дается подробное описание настоящего изобретения.
Кроме того, следует отметить, что для удобства в данном описании структурная формула соединения показывает определенный изомер. Однако настоящее изобретение охватывает все геометрические изомеры, встречающиеся в структуре соединений, такие как оптические изомеры на основе асимметрического атома углерода, стереоизомеры, таутомеры и смеси изомеров. Таким образом, настоящее изобретение не ограничивается структурной формулой, показанной в данном описании для удобства, но может также включать изомер или смесь изомеров. Следовательно, возможно, что соединение имеет в своей молекуле асимметрический углеродный атом и что существуют оптически активное вещество и рацемат. В настоящем изобретении нет ограничения, касающегося указанных случаев, и оба случая включены в объем настоящего изобретения. Кроме того, возможен случай кристаллического полиморфизма. Этот случай также не ограничен, и могут существовать либо единственная кристаллическая форма, либо смеси кристаллических форм, причем кроме ангидрида может существовать гидрат.
В данном описании термин “симптомы со стороны нижних мочевых путей” использован как родовое название симптомов, относящихся к расстройству механизма накопления мочи и расстройству механизма мочеиспускания.
При использовании в данном описании термин “мочеиспускательная дисфункция” означает различные типы “расстройства/аномалии”, ухудшающие нормальное мочеиспускание, которые включают (1) “аномалию объема мочи”, такую как полиурия, олигурия или анурия, (2) “аномалию частоты мочеиспускания”, такую как повышенная частота мочеиспускания или олигакизурия, (3) “затруднение мочеиспускания”, (4) “анурез”, (5) “недержание мочи”, (6) “аномалию состояния при мочеиспускании”, такую как энурез, (7) “аномалию течения мочи”, такую как уменьшенная струя мочи, уменьшенная сила мочеиспускания, прерывание или двойное опорожнение, и т.п. Кроме того, термин “мочеиспускательная дисфункция” включает также заболевания, считающиеся зависимыми по отношению к “расстройствам/аномалиям”, описанным в пунктах (1)-(7), которые считаются главными. Например, “мочеиспускательная дисфункция”, конечно, включает следующие заболевания: нейрогенный мочевой пузырь, невротическую увеличенную частоту мочеиспускания, нестабильный мочевой пузырь, увеличенную частоту мочеиспускания, связанную с состоянием раздражения мочевого пузыря, вызванного хроническим мочевым пузырем, увеличенную частоту мочеиспускания, связанную с состоянием раздражения мочевого пузыря, вызванного хроническим простатитом, повелительный позыв к мочеиспусканию, неудержание мочи, рефлекторное недержание мочи, недержание мочи при напряжении, недержание мочи при переполнении мочевого пузыря, недержание мочи, связанное с состоянием раздражения мочевого пузыря, вызванного хроническим циститом, недержание мочи, связанное с состоянием раздражения мочевого пузыря, вызванного хроническим простатитом, никтурию, психогенную дизурию, ночной энурез или т.п.
При использовании в данном описании термин “тревожное расстройство” означает, например, генерализованное тревожное расстройство, паническое расстройство, фобический невроз (например, агорафобия, антропофобия, простая фобия), обсессивно-компульсивное расстройство или т.п. Использованный в данном описании термин “эмоциональное расстройство” означает депрессию (классическую депрессию), маниакально-депрессивный психоз (биполярное расстройство), дистимию (депрессивный невроз) или т.п.
Каждая из “5-7-членной неароматической карбоциклической группы”, “5-7-членной неароматической гетероциклической группы”, “6-членной ароматической карбоциклической группы” и “5- или 6-членной ароматической гетероциклической группы”, содержащихся в средстве по настоящему изобретению для лечения или профилактики симптомов со стороны нижних мочевых путей, представленном описанной выше формулой (I), имеет следующее значение.
Термин “5-7-членная неароматическая карбоциклическая группа” означает неароматическую углеводородную группу, содержащую 5-7 углеродных атомов. Примеры такой группы могут включать циклопентильную группу, циклогексильную группу и циклогептильную группу.
Термин “5-7-членная неароматическая гетероциклическая группа” означает неароматическую гетероциклическую группу, содержащую 1-4 гетероатома. Предпочтительные примеры такой группы могут включать пирролидинильную группу, имидазолидинильную группу, пиразолидинильную группу, пиперидинильную группу, пиперазинильную группу, морфолинильную группу, тетрагидропиранильную группу, диоксанильную группу, пиперидин-2-оксоильную группу, дигидро-[1,3]оксазин-2-оксоильную группу, [1,4]оксазепан-5-оксоильную группу, дигидро-[1,3]оксазин-2,4-диоксоильную группу, 5,6-дигидро-1H-пиридин-2-оксоильную группу, тетрагидропиран-4-оксоильную группу, 2,3-дигидропиран-4-оксоильную группу, тетрагидропиран-4-гидроксильную группу, оксепан-4-оксоильную группу, 1,3-оксазолидин-2-оксоильную группу и т.п.
Термин “6-членная ароматическая карбоциклическая группа” означает фенильную группу.
Предпочтительным примером “5- или 6-членной ароматической гетероциклической группы” могут быть (1) азотсодержащие гетероароматические группы, такие как пирролильная группа, пиридильная группа, пиридазинильная группа, пиримидинильная группа, пиразинильная группа; (2) серосодержащие гетероароматические группы, такие как тиенильная группа; (3) кислородсодержащие гетероароматические группы, такие как фурильная группа, оксаспиро[5,4]деканоильная группа; (4) гетероароматические группы, содержащие два или более гетероатомов, такие как тиазолильная группа, изотиазолильная группа, оксазолильная группа, изоксазолильная группа, причем указанные два или более гетероатомов выбраны из атома азота, атома кислорода и атома серы.
В формуле (I) каждая из группы А1 заместителей, группы А2 заместителей, группы А3 заместителей, группы А4 заместителей, группы В1 заместителей, группы В2 заместителей, группы В3 заместителей, группы В4 заместителей, группы В5 заместителей, группы В6 заместителей и группы В7 заместителей включает следующие группы.
Группа А1 заместителей состоит из (1) атома водорода, (2) атома галогена, (3) цианогруппы, (4) гидроксильной группы, (5) нитрогруппы, (6) карбоксильной группы, (7) C3-C8 циклоалкильной группы, (8) C2-C6 алкенильной группы, (9) C2-C6 алкинильной группы, (10) C1-C6 алкилтиогруппы, (11) C1-C6 алкоксикарбонильной группы, (12) C1-C6 алкилсульфонильной группы, (13) C1-C6 алкильной группы (где описанная выше C1-C6 алкильная группа может быть замещенной 1-3 заместителями, выбранными из группы, состоящей из атома галогена, гидроксильной группы и C1-C6 алкоксигруппы), (14) C1-C6 алкоксигруппы (где описанная выше C1-C6 алкоксигруппа может быть замещенной 1-3 атомами галогена), (15) аминогруппы (где описанная выше аминогруппа может быть замещенной заместителем, выбранным из группы, состоящей из C1-C6 алкильной группы, формильной группы, C1-C6 алканоильной группы и C1-C6 алкилсульфонильной группы), (16) карбамоильной группы (где описанная выше карбамоильная группа может быть замещенной одной или двумя C1-C6 алкильными группами) и (17) C1-C6 алкоксииминогруппы.
Группа А2 заместителей состоит из (1) атома водорода, (2) C1-C6 алкильной группы, (3) атома галогена, (4) цианогруппы, (5) C1-C6 алкоксигруппы, (6) аминогруппы, где атом азота может быть замещенным С1-С6 алкильной группой, и (7) C1-C6 алкокси-С1-C6 алкильной группы.
Группа А3 заместителей состоит из (1) атома водорода, (2) C1-C6 алкильной группы, (3) атома галогена, (4) цианогруппы и (5) C1-C6 алкокси-С1-C6 алкильной группы.
Группа А4 заместителей состоит из (1) атома водорода и (2) C1-C6 алкоксигруппы.
Группа В1 заместителей состоит из (1) атома водорода, (2) атома галогена, (3) цианогруппы, (4) гидроксильной группы, (5) нитрогруппы, (6) оксогруппы, (7) карбоксильной группы, (8) C3-C8 циклоалкильной группы, (9) C2-C6 алкенильной группы, (10) C2-C6 алкинильной группы, (11) C1-C6 алкилтиогруппы, (12) C1-C6 алкоксикарбонильной группы, (13) C1-C6 алкилсульфонильной группы, (14) C1-C6 алкильной группы (где описанная выше C1-C6 алкильная группа может быть замещенной атомом галогена, гидроксильной группой или C1-C6 алкоксигруппой), (15) C1-C6 алкоксигруппы (где описанная выше C1-C6 алкоксигруппа может быть замещенной 1-3 атомами галогена), (16) аминогруппы (где описанная выше аминогруппа может быть замещенной заместителем, выбранным из группы, состоящей из C1-C6 алкильной группы, формильной группы, C1-C6 алканоильной группы и C1-C6 алкилсульфонильной группы), (17) карбамоильной группы (где описанная выше карбамоильная группа может быть замещенной одной или двумя C1-C6 алкильными группами), (18) C1-C6 алкоксииминогруппы, (19) C5-C6 циклоалкильной группы, образованной двумя C1-C3 алкильными группами, присоединенными к одному и тому же углеродному атому, и (20) тетрагидропиранильной группы, образованной двумя C1-C3 алкильными группами, присоединенными к одному и тому же углеродному атому, вместе с атомом кислорода и указанным выше атомом углерода.
Когда заместители, описанные в (19) или (20), показаны конкретно, они представлены, например, следующей формулой:

Группа В2 заместителей состоит из (1) атома водорода, (2) C1-C6 алкильной группы, (3) атома галогена, (4) гидроксильной группы, (5) C1-C6 алкоксигруппы, (6) C1-C6 алкокси-С1-C6 алкильной группы, (7) C5-C6 циклоалкильной группы, образованной двумя C1-C3 алкильными группами, присоединенными к одному и тому же углеродному атому, и (8) тетрагидропиранильной группы, образованной двумя C1-C3 алкильными группами, присоединенными к одному и тому же углеродному атому, вместе с атомом кислорода и указанным выше атомом углерода.
Группа В3 заместителей состоит из (1) атома водорода, (2) C1-C6 алкильной группы, (3) атома галогена, (4) гидроксильной группы, (5) C1-C6 алкоксигруппы и (6) C1-C6 алкокси-С1-C6 алкильной группы.
Группа В4 заместителей состоит из (1) атома водорода, (2) C1-C6 алкильной группы, (3) C1-C6 алкоксигруппы и (4) C1-C6 алкокси-С1-C6 алкильной группы.
Группа В5 заместителей состоит из (1) атома водорода, (2) C1-C6 алкильной группы, (3) C1-C6 алкокси-С1-C6 алкильной группы, (4) C5-C6 циклоалкильной группы, образованной двумя C1-C3 алкильными группами, присоединенными к одному и тому же углеродному атому, и (5) тетрагидропиранильной группы, образованной двумя C1-C3 алкильными группами, присоединенными к одному и тому же углеродному атому, вместе с атомом кислорода и указанным выше атомом углерода.
Группа В6 заместителей состоит из (1) атома водорода и (2) C1-C6 алкильной группы.
Группа В7 заместителей состоит из (1) атома водорода, (2) C1-C6 алкильной группы, (3) атома галогена, (4) цианогруппы и (5) C1-C6 алкокси-С1-C6 алкильной группы.
Термин “атом галогена” означает атом фтора, атом хлора, атом брома, атом йода. Предпочтительно это атом фтора, атом хлора или атом брома.
Термин “C1-C6 алкильная группа” означает алкильную группу, содержащую 1-6 углеродных атомов. Предпочтительные примеры такой группы включают неразветвленные или разветвленные алкильные группы, такие как метильная группа, этильная группа, н-пропильная группа, изопропильная группа, н-бутильная группа, изобутильная группа, трет-бутильная группа, н-пентильная группа, изопентильная группа, неопентильная группа, н-гексильная группа, 1-метилпропильная группа, 1,2-диметилпропильная группа, 2-этилпропильная группа, 1-метил-2-этилпропильная группа, 1-этил-2-метилпропильная группа, 1,1,2-триметилпропильная группа, 1-метилбутильная группа, 2-метилбутильная группа, 1,1-диметилбутильная группа, 2,2-диметилбутильная группа, 2-этилбутильная группа, 1,3-диметилбутильная группа, 2-метилпентильная группа или 3-метилпентильная группа.
Термин “C2-C6 алкенильная группа” означает алкенильную группу, содержащую 2-6 углеродных атомов. Предпочтительные примеры такой группы включают неразветвленные или разветвленные алкенильные группы, такие как винильная группа, аллильная группа, 1-пропенильная группа, изопропенильная группа, 1-бутен-1-ильная группа, 1-бутен-2-ильная группа, 1-бутен-3-ильная группа, 2-бутен-1-ильная группа или 2-бутен-2-ильная группа.
Термин “C2-C6 алкинильная группа” означает алкинильную группу, содержащую 2-6 углеродных атомов. Предпочтительные примеры такой группы включают неразветвленные или разветвленные алкинильные группы, такие как этинильная группа, 1-пропинильная группа, 2-пропинильная группа, бутинильная группа, пентинильная группа или гексинильная группа.
Термин “C3-C8 циклоалкильная группа” означает циклическую алкильную группу, содержащую 3-8 углеродных атомов. Предпочтительные примеры такой группы включают циклопропильную группу, циклобутильную группу, циклопентильную группу, циклогексильную группу, циклогептильную группу и циклооктильную группу.
Термин “C1-C6 алкоксигруппа” означает алкильную группу, содержащую 1-6 углеродных атомов, где атом водорода замещен атомом кислорода. Предпочтительные примеры такой группы включают метоксигруппу, этоксигруппу, н-пропоксигруппу, изопропоксигруппу, втор-пропоксигруппу, н-бутоксигруппу, изобутоксигруппу, втор-бутоксигруппу, трет-бутоксигруппу, н-пентилоксигруппу, изопентилоксигруппу, втор-пентилоксигруппу, трет-пентилоксигруппу, н-гексилоксигруппу, изогексилоксигруппу, 1,2-диметилпропоксигруппу, 2-этилпропоксигруппу, 1-метил-2-этилпропоксигруппу, 1-этил-2-метилпропоксигруппу, 1,1,2-триметилпропоксигруппу, 1,1-диметилбутоксигруппу, 2,2-диметилбутоксигруппу, 2-этилбутоксигруппу, 1,3-диметилбутоксигруппу, 2-метилпентилоксигруппу, 3-метилпентилоксигруппу, гексилоксигруппу и т.п.
Термин “C1-C6 алкилтиогруппа” означает алкильную группу, содержащую 1-6 углеродных атомов, где атом водорода замещен атомом серы. Предпочтительные примеры такой группы включают метилтиогруппу, этилтиогруппу, н-пропилтиогруппу, изопропилтиогруппу, н-бутилтиогруппу, изобутилтиогруппу, трет-бутилтиогруппу, н-пентилтиогруппу, изопентилтиогруппу, неопентилтиогруппу, н-гексилтиогруппу, 1-метилпропилтиогруппу и т.п.
Термин “C1-C6 алкоксикарбонильная группа” означает группу, образованную связыванием карбонильной группы с указанной выше алкоксигруппой. Предпочтительные примеры такой группы включают метоксикарбонильную группу и этоксикарбонильную группу.
Термин “C5-C6 циклоалкильная группа, образованная двумя C1-C3 алкильными группами, присоединенными к одному и тому же углеродному атому” означает циклопентильную группу или циклогексильную группу.
Термин “C1-C6 алканоильная группа (C1-C6 алкилкарбонильная группа)” означает алкильную группу, содержащую 1-6 углеродных атомов, где атом водорода замещен карбонильной группой. Предпочтительные примеры такой группы включают ацетильную группу, пропионильную группу и бутирильную группу и т.п.
Термин “C1-C6 алкилсульфонильная группа” означает алкильную группу, содержащую 1-6 углеродных атомов, где атом водорода замещен сульфонильной группой. Предпочтительные примеры такой группы включают метансульфонильную группу, этансульфонильную группу и т.п.
Термин “аминогруппа, которая может быть замещенной С1-С6 алкильной группой” означает аминогруппу, к которой присоединяют алкильную группу, содержащую 1-6 углеродных атомов. Предпочтительные примеры такой группы включают аминогруппу, метиламиногруппу, этиламиногруппу, пропиламиногруппу и т.п.
Примеры “аминогруппы, которая может быть замещенной формильной группой”, включают аминогруппу и формиламиногруппу.
Термин “аминогруппа, которая может быть замещенной C1-C6 алканоильной группой” означает аминогруппу, к которой присоединяют алканоильную группу, содержащую 1-6 углеродных атомов. Предпочтительные примеры такой группы включают ацетиламиногруппу, пропиониламиногруппу, бутириламиногруппу и т.п.
Термин “аминогруппа, которая может быть замещенной C1-C6 алкилсульфонильной группой” означает аминогруппу, к которой присоединяют алкилсульфонильную группу, содержащую 1-6 углеродных атомов. Предпочтительные примеры такой группы включают аминогруппу, метансульфониламиногруппу, этансульфониламиногруппу, н-пропансульфониламиногруппу, н-бутансульфониламиногруппу, N-метилметансульфониламиногруппу и т.п.
Термин “карбамоильная группа, которая может быть замещенной одной или двумя C1-C6 алкильными группами” означает карбамоильную группу, где один или два атома водорода могут быть моно- или дизамещенными С1-С6 алкильными группами. Предпочтительные примеры такой группы включают N-метилкарбамоильную группу, N,N-диметилкарбамоильную группу, N-этилкарбамоильную группу, N,N-диэтилкарбамоильную группу и т.п.
Термин “C1-C6 алкоксииминогруппа” означает иминогруппу, где атом водорода замещен C1-C6 алкоксигруппой. Предпочтительные примеры такой группы включают метоксииминогруппу, этоксииминогруппу и т.п.
Далее описано соединение по настоящему изобретению, представленное формулой (I).
Соединение, представленное формулой (I), избирательно связывается с серотониновым 1A рецептором и проявляет антагонизм к данному рецептору. Его используют для лечения или профилактики заболеваний, к которым причастен серотониновый А1 рецептор, таких как симптомы со стороны нижних мочевых путей. Предпочтительные примеры таких соединений могут включать соединение, представленное формулой (I-a-1), соединение, представленное формулой (I-a-2), соединение, представленное формулой (I-a-3), соединение, представленное формулой (I-a-4), соединение, представленное формулой (I-c-1), соединение, представленное формулой (I-c-2), соединение, представленное формулой (I-d-1), соединение, представленное формулой (I-d-2), соединение, представленное формулой (I-e-1), соединение, представленное формулой (I-e-2), соединение, представленное формулой (I-f-1), соединение, представленное формулой (I-f-2), соединение, представленное формулой (I-f-3), соединение, представленное формулой (I-f-4), соединение, представленное формулой (I-g-1), соединение, представленное формулой (I-g-2), соединение, представленное формулой (I-h-1), соединение, представленное формулой (I-h-2), соединение, представленное формулой (I-h-3), соединение, представленное формулой (I-h-4), соединение, представленное формулой (I-i-1), и соединение, представленное формулой (I-i-2).
Среди указанных соединений в качестве соединения, представленного формулой (I-a-1), (I-a-2), (I-a-3) или (I-a-4), более предпочтительным является соединение, где в каждой формуле
R11a и R12a образуют карбонильную группу вместе с атомами углерода, к которым R11a и R12a присоединены,
Xa представляет собой атом кислорода,
R3 представляет собой атом водорода или метильную группу,
R4a и R5a представляют собой заместители, выбранные из группы, состоящей из (1) атома водорода, (2) C1-C6 алкильной группы, (3) C1-C6 алкокси-С1-C6 алкильной группы, (4) C5-C6 циклоалкильной группы, образованной двумя C1-C3 алкильными группами, присоединенными к одному и тому же углеродному атому, и (5) тетрагидропиранильной группы, образованной двумя C1-C3 алкильными группами, присоединенными к одному и тому же углеродному атому, вместе с атомом кислорода и указанным выше атомом углерода,
R6 представляет собой заместитель, выбранный из группы, состоящей из (1) атома водорода и (2) C1-C6 алкоксигруппы, и
Na представляет собой целое число от 1 до 3,
или его фармакологически приемлемая соль.
В качестве соединения, представленного формулой (I-c-1) или (I-c-2), более предпочтительным является соединение, где в каждой формуле
R3 представляет собой атом водорода или метильную группу,
R4d и R5d представляют собой заместители, выбранные из группы, состоящей из (1) атома водорода, (2) C1-C6 алкильной группы, (3) C1-C6 алкоксигруппы и (4) C1-C6 алкокси-С1-C6 алкильной группы, и
R6 представляет собой заместитель, выбранный из группы, состоящей из (1) атома водорода, (2) C1-C6 алкильной группы, (3) атома галогена, (4) цианогруппы, (5) C1-C6 алкоксигруппы, (6) аминогруппы, где атом азота может быть замещенным С1-С6 алкильной группой, и (7) C1-C6 алкокси-С1-C6 алкильной группы,
или его фармакологически приемлемая соль.
В качестве соединения, представленного формулой (I-d-1) или (I-d-2), более предпочтительным является соединение, где в каждой формуле
R3 представляет собой атом водорода или метильную группу,
каждый из Xe и Ye представляет собой (1) атом кислорода, (2) метиленовую группу, (3) -CONR7e– (где R7e представляет собой (1) атом водорода или (2) C1-C6 алкильную группу), (4) -NR7eCO- (где R7e имеет определенное выше значение), (5) -NR8e– (где R8e представляет собой (1) C1-C6 алкильную группу или (2) C1-C6 ацильную группу) или (6) одинарную связь,
R4e и R5e представляют собой заместители, выбранные из группы, состоящей из (1) атома водорода, (2) C1-C6 алкильной группы, (3) атома галогена, (4) гидроксильной группы, (5) C1-C6 алкоксигруппы и (6) C1-C6 алкокси-С1-C6 алкильной группы, и
R6 представляет собой заместитель, выбранный из группы, состоящей из (1) атома водорода, (2) C1-C6 алкильной группы, (3) атома галогена, (4) цианогруппы, (5) C1-C6 алкоксигруппы, (6) аминогруппы, где атом азота может быть замещенным С1-С6 алкильной группой, и (7) C1-C6 алкокси-С1-C6 алкильной группы,
или его фармакологически приемлемая соль.
В качестве соединения, представленного формулой (I-e-1) или (I-e-2), более предпочтительным является соединение, где в каждой формуле
R3 представляет собой атом водорода или метильную группу,
R6 представляет собой заместитель, выбранный из группы, состоящей из (1) атома водорода, (2) C1-C6 алкильной группы, (3) атома галогена, (4) цианогруппы, (5) C1-C6 алкоксигруппы, (6) аминогруппы, где атом азота может быть замещенным С1-С6 алкильной группой, и (7) C1-C6 алкокси-С1-C6 алкильной группы,
R7f представляет собой заместитель, выбранный из группы, состоящей из (1) атома водорода, (2) C1-C6 алкильной группы и (3) C1-C6 алкокси-С1-C6 алкильной группы, и
каждый из Xf и Yf представляет собой заместители, выбранные из группы, состоящей из (1) одинарной связи, (2) метиленовой группы, которая может иметь заместитель, выбранный из группы, состоящей из атома водорода, C1-C6 алкильной группы и C1-C6 алкокси-С1-C6 алкильной группы, и (3) карбонильной группы,
или его фармакологически приемлемая соль.
В качестве соединения, представленного формулой (I-f-1), (I-f-2) (I-f-3), (I-f-4), (I-g-1), (I-g-2), (I-h-1), (I-h-2), (I-h-3) или (I-h-4), более предпочтительным является соединение, где в каждой формуле
R3 представляет собой атом водорода или метильную группу,
R6 представляет собой заместитель, выбранный из группы, состоящей из (1) атома водорода, (2) C1-C6 алкильной группы, (3) атома галогена, (4) цианогруппы, (5) C1-C6 алкоксигруппы, (6) аминогруппы, где атом азота может быть замещенным С1-С6 алкильной группой, и (7) C1-C6 алкокси-С1-C6 алкильной группы, и
R7g представляет собой заместитель, выбранный из группы, состоящей из (1) атома водорода, (2) C1-C6 алкильной группы, (3) атома галогена, (4) цианогруппы и (5) C1-C6 алкокси-С1-C6 алкильной группы,
или его фармакологически приемлемая соль.
В качестве соединения, представленного формулой (I-i-1) или (I-i-2), более предпочтительным является соединение, где в каждой формуле
R3 представляет собой атом водорода или метильную группу,
R9h, R10h и R6 представляют собой заместители, выбранные из группы, состоящей из (1) атома водорода, (2) C1-C6 алкильной группы, (3) атома галогена, (4) цианогруппы, (5) C1-C6 алкоксигруппы, (6) аминогруппы, где атом азота может быть замещенным С1-С6 алкильной группой, и (7) C1-C6 алкокси-С1-C6 алкильной группы, и
каждый из Xh и Yh представляет собой (1) метиновую группу или (2) атом азота,
или его фармакологически приемлемая соль.
Среди указанных групп соединений наиболее предпочтительными соединениями являются следующие. В случае соединения, представленного формулой (I-b-1), (I-b-2), (I-b-3) или (I-b-4), наиболее предпочтительным является соединение, где в каждой формуле R3 представляет собой атом водорода или метильную группу, R4a и R5a представляют собой заместители, выбранные из группы, состоящей из (1) атома водорода, (2) C1-C6 алкильной группы, (3) C1-C6 алкокси-С1-C6 алкильной группы, (4) C5-C6 циклоалкильной группы, образованной двумя C1-C3 алкильными группами, присоединенными к одному и тому же углеродному атому, и (5) тетрагидропиранильной группы, образованной двумя C1-C3 алкильными группами, присоединенными к одному и тому же углеродному атому, вместе с атомом кислорода и указанным выше атомом углерода, и R6 представляет собой заместитель, выбранный из группы, состоящей из (1) атома водорода и (2) C1-C6 алкоксигруппы, или его фармакологически приемлемая соль. В случае соединения, представленного формулой (I-f-1), (I-f-2), (I-f-3), (I-f-4), (I-g-1), (I-g-2), (I-h-1), (I-h-2), (I-h-3) или (I-h-4), наиболее предпочтительным является соединение, где в каждой формуле R3 представляет собой атом водорода или метильную группу, R6 представляет собой заместитель, выбранный из группы, состоящей из (1) атома водорода и (2) C1-C6 алкоксигруппы, и R7g представляет собой заместитель, выбранный из группы, состоящей из (1) атома водорода и (2) C1-C6 алкильной группы, или его фармакологически приемлемая соль.
В частности, предпочтительными являются соединения, выбранные из следующей ниже группы, или их фармакологически приемлемые соли:
1) 1-{1-[2-(7-метокси-2,2-диметил-4-оксохроман-8-ил)этил]пиперидин-4-ил}-N-метил-1H-индол-6-карбоксамид,
2) 1-{1-[2-(7-метокси-2,2-диметил-4-оксохроман-8-ил)этил]пиперидин-4-ил}-1H-индол-6-карбоксамид,
3) 1-{1-[2-(7-метокси-2,2-диметил-4-оксохроман-6-ил)этил]пиперидин-4-ил}-1H-индол-6-карбоксамид,
4) 1-{1-[2-(6-метокси-3-оксоиндан-5-ил)этил]пиперидин-4-ил)-1H-индол-6-карбоксамид,
5) 1-{1-[2-(6-метокси-2-метилбензоксазол-5-ил)этил]пиперидин-4-ил}-1H-индол-6-карбоксамид,
6) 1-{1-[2-(6-метокси-2-метилбензоксазол-7-ил)этил]пиперидин-4-ил}-1H-индол-6-карбоксамид,
7) 1-{1-[2-(6-метокси-3-метилбензо[d]изоксазол-5-ил)этил]пиперидин-4-ил}-1H-индол-6-карбоксамид,
8) 1-{1-[2-(6-метокси-3-метилбензо[d]изоксазол-7-ил)этил]пиперидин-4-ил}-1H-индол-6-карбоксамид,
9) 1-{1-[2-(5-метокси-1-оксоиндан-4-ил)этил]пиперидин-4-ил}-1H-индол-6-карбоксамид и
10) 1-{1-[2-(7-метокси-2,3-дигидробензо[1,4]диоксин-6-ил)этил]пиперидин-4-ил}-1H-индол-6-карбоксамид.
Среди них, например,
1) 1-{1-[2-(7-метокси-2,2-диметил-4-оксохроман-8-ил)этил]пиперидин-4-ил}-N-метил-1H-индол-6-карбоксамид,
2) 1-{1-[2-(7-метокси-2,2-диметил-4-оксохроман-8-ил)этил]пиперидин-4-ил}-1H-индол-6-карбоксамид, и
3) 1-{1-[2-(7-метокси-2,2-диметил-4-оксохроман-6-ил)этил]пиперидин-4-ил}-1H-индол-6-карбоксамид.
Указанные соединения или их фармакологически приемлемые соли проявляют сильный антагонизм к 5-HT1A рецептору и полезны в качестве средств для лечения или профилактики симптомов со стороны нижних мочевых путей и, в частности, симптомов, касающихся накопления мочи.
Предпочтительные варианты описанного выше соединения, представленного формулой (I), описаны выше. Но активные компоненты лекарственного средства по настоящему изобретению не ограничиваются конкретными соединениями, описанными в данном описании. Могут быть выбраны в максимально возможной степени все варианты, включенные в объем соединения, представленного формулой (I).
Ниже описан способ получения соединения по настоящему изобретению, представленного формулой (I).
Соединение, представленное общей формулой (I):

где R1, R2, R3 и R6 имеют такие же значения, как описанные выше, синтезируют, например, по общим методикам 1-5 получения, описанным ниже. Используемый ниже термин “комнатная температура” означает температуру приблизительно от 15°C до 30°C.
[Общая методика 1 получения]



где R(1) представляет собой низшую алкильную группу, такую как метильная группа или этильная группа, низшую аралкильную группу, такую как бензильная группа, или т.п.; R(2) представляет собой атом водорода, метильную группу или т.п.; X представляет собой уходящую группу, включающую атом галогена (атом хлора, атом брома, атом йода и т.д.), сульфонилоксигруппу, такую как метансульфонилоксигруппа, п-толуолсульфонилоксигруппа или трифторметансульфонилоксигруппа или т.п.; R(13) представляет собой метильную группу, этильную группу или т.п., которые способны гидролизоваться; P(1) представляет собой защитную группу для аминогруппы, которую возможно удалить, такую как бензилоксикарбонильная группа, трет-бутилоксикарбонильная группа или т.п.; и R1, R2, R3 и R6 имеют такие же значения, как описанные выше.
Указанная выше методика [общая методика 1 получения] является способом получения соединения по настоящему изобретению, представленного формулой (I), в котором используют соединение (1-1) в качестве исходного материала и проводят многостадийный процесс от [стадии 1-1] до [стадии 1-7].
Соединение (1-1) может быть также получено из коммерчески доступного продукта способами, известными специалистам в данной области. Примеры таких известных способов могут включать: Coe, J. W.; Vetelino, M. G.; Bradlee, M. J.; Tetrahedron Lett., 37 (34), 6045-6048 (1996), Arai, E.; Tokuyama, H.; Linsell, M. S.; Fukuyama, T.; Tetrahedron Lett., 39 (1), 71-74 (1998), Tishler, A. N., Lanza, T. J.; Tetrahedron Lett., 27 (15), 1653 (1986), and Sakamoto Takao, Kondo Yoshinori, Yamanaka Hiroshi, Chem. Pharm. Bull., Vol. 34, P. 2362 (1986).
Что касается соединения (1-2) и соединения (1-6), то могут быть использованы непосредственно коммерчески доступные продукты или указанные соединения могут быть также получены из коммерчески доступных продуктов способами, известными специалистам в данной области. Соединение (1-9) и соединение (1-10) могут быть получены из коммерчески доступных продуктов способами, известными специалистам в данной области или могут быть также получены способом, описанным в данном описании в примерах получения.
[Стадия 1-1]
Данная стадия является стадией получения соединения (1-3) восстановительным аминированием соединения (1-1) и соединения (1-2).
Реакция может быть осуществлена при таких же самых условиях, какие обычно используют для восстановительного аминирования карбонильного соединения и аминосоединения. Реакцию восстановления на данной стадии особо не ограничивают. Примеры такой реакции могут включать реакцию восстановительного аминирования с использованием восстановителя, такого как боран или боргидридное комплексное соединение, и реакцию каталитического восстановления с использованием металлического катализатора в атмосфере водорода.
Примерами реакции восстановительного аминирования с использованием боргидридного комплексного соединения могут быть способы, описанные в публикациях, таких как W. S. Emerson, Organic Reactions, 4, 174 (1948), C. F. Lane, Synthesis, 135 (1975), J. C. Ctowell and S. J. Pedegimas, Synthesis, 127 (1974), A. F. Abdel-Magid, K. G. Carson, B. D. Harris, C. A. Maryanoff и R. D. Shah, Journal of Organic Chemistry, 61, 3849 (1996).
Примеры боргидридного комплексного соединения, используемого в данной реакции, могут включать боргидрид натрия, цианоборгидрид натрия и триацетоксиборгидрид натрия.
Когда в качестве восстановителя используют боргидридное комплексное соединение, растворитель особо не ограничивают, лишь бы он не замедлял реакцию и до определенной степени растворял исходное вещество. Конкретные примеры растворителя, используемого в данной реакции, могут включать метанол, этанол, тетрагидрофуран, N,N-диметилформамид, метиленхлорид и 1,2-дихлорэтан. Когда данную реакцию осуществляют в присутствии кислоты, могут быть получены предпочтительные результаты, такие как повышение выхода. Кислоту особо не ограничивают. Предпочтительные примеры такой кислоты могут включать минеральные кислоты, такие как хлороводородная кислота, органические кислоты, такие как уксусная кислота, и кислоты Льюиса, такие как хлорид цинка, комплекс трифторида бора с диэтиловым эфиром или тетраизопропоксид титана(IV).
Соединение (1-2) используют в отношении 0,8-2,5 эквивалента, предпочтительно 1-1,5 эквивалента, относительно соединения (1-1). Боргидридное комплексное соединение используют в отношении 1-3 эквивалента, предпочтительно 1-1,5 эквивалента, относительно соединения (1-1). Время реакции особо не ограничивают. Оно составляет обычно от 0,5 до 48 часов, предпочтительно от 0,5 до 12 часов.
Температуру реакции особо не ограничивают. Она составляет обычно от -78°С до температуры кипения растворителя, предпочтительно от температуры на льду до комнатной температуры.
Когда осуществляют реакцию каталитического восстановления в атмосфере водорода, используемый растворитель особо не ограничивают, лишь бы он не замедлял реакцию. Примеры растворителя могут включать метанол, этанол, тетрагидрофуран и 1,4-диоксан. Примеры металлического катализатора, используемого для данной реакции, могут включать палладий, оксид палладия и никель Ренея. Время реакции особо не ограничивают. Оно составляет обычно от 1 до 48 часов, предпочтительно от 1 до 24 часов.
Условия реакции особо не ограничивают. Реакция может быть осуществлена при температуре от комнатной температуры до температуры кипения растворителя при давлении от нормального до 150 атмосфер, предпочтительно при температуре от комнатной температуры до 60°C при давлении от нормального до 5 атмосфер.
[Стадия 1-2]
Данная стадия касается методики получения соединения (1-4) циклизацией соединения (1-3) кислотой.
Реакция может быть осуществлена при таких же условиях реакции, какие описаны, например, у Coe, J. W.; Vetelino, M. G.; Bradlee, M. J.; Tetrahedron Lett., 37 (34), 6045-6048 (1996), Arai, E.; Tokuyama, H.; Linsell, M. S.; Fukuyama, T.; Tetrahedron Lett., 39 (1), 71-74 (1998), Tishler, A. N., Lanza, T. J.; Tetrahedron Lett., 27 (15), 1653 (1986), и Sakamoto Takao, Kondo Yoshinori, Yamanaka Hiroshi, Chem. Pharm. Bull., Vol. 34, P. 2362 (1986).
Используемый растворитель в данной реакции особо не ограничивают, лишь бы он не замедлял реакцию и до определенной степени растворял исходное вещество. Примеры такого растворителя могут включать воду; смешанный растворитель, состоящий из воды и органического растворителя, такого как метанол, этанол, тетрагидрофуран, 1,4-диоксан, бензол или толуол; и органические растворители, такие как метанол, этанол, тетрагидрофуран, 1,4-диоксан, бензол или толуол. Данная реакция может быть осуществлена обеспечением возможности действия подходящей кислоты при соотношении от 1 эквивалента до избыточного количества на указанное выше соединение в указанном растворителе. Примеры кислоты, используемой в данной реакции, могут включать уксусную кислоту, хлороводород, хлороводородную кислоту, бромоводородную кислоту, серную кислоту, азотную кислоту, трифторуксусную кислоту, п-толуолсульфоновую кислоту, пиридиниевую соль п-толуолсульфоновой кислоты и камфорсульфоновую кислоту.
Время реакции особо не ограничивают. Оно составляет обычно от 1 до 24 часов, предпочтительно от 1 до 4 часов.
Температура реакции обычно находится в интервале от температуры на льду до температуры кипения с обратным холодильником растворителя. Следует отметить, что [стадия 1-1] и [стадия 1-2] могут быть также осуществлены проведением реакции в одном сосуде без выделения соединения (1-3).
[Стадия 1-3]
Данная стадия является стадией получения соединения (1-5) щелочным гидролизом соединения (1-4).
Реакция может быть осуществлена при таких же условиях, какие описаны, например, у Matassa, V. G.; Brown, F. J.; Bernstein, P. R.; Shapiro, H. S.; Maduskuie, T. P. J.; Cronk, L. A.; Vacek, E. P.; Yee, Y. K.; Snyder, D. W.; Krell, R. D.; Lerman, C. L.; Maloney, J. J.; J. Med. Chem., 33 (9), 2621-2629 (1990).
В частности, к раствору, содержащему соединение (1-4), добавляют, например, основание, такое как гидроксид натрия. Смесь затем перемешивают в течение времени от нескольких часов до 1 дня. Затем полученную смесь обрабатывают кислотой, такой как лимонная кислота, с получением соединения (1-5).
Используемый растворитель в данной реакции особо не ограничивают, лишь бы он не замедлял реакцию и до определенной степени растворял исходное вещество. Примеры такого растворителя могут включать метанол, этанол, 2-пропанол, тетрагидрофуран и 1,4-диоксан. Основание, используемое в данной реакции, особо не ограничивают. Предпочтительные примеры такого основания могут включать гидроксид натрия, гидроксид калия и гидроксид лития. Количество используемого основания находится в интервале от 1 эквивалента до избыточного количества, предпочтительно от 1 до 20 эквивалентов, относительно соединения (1-4).
Время реакции особо не ограничивают. Оно составляет обычно от 1 до 24 часов, предпочтительно от 1 до 6 часов.
Температуру реакции особо не ограничивают. Она находится обычно в интервале от комнатной температуры до температуры кипения с обратным холодильником растворителя.
Когда сложным эфиром является бензиловый или аллиловый эфир, карбоновая кислота может быть получена при таких же условиях, какие обычно используют при удалении защитной группы для производного карбоновой кислоты (указанные условия описаны в публикациях, таких как T. W. Green and P. G. M. Wuts, “Protective groups in Organic Chemistry, Second Edition”, John Wiley & Sons (1991), pp. 248-251).
[Стадия 1-4]
Данная стадия является стадией получения соединения (1-7) конденсированием соединения (1-5) и соединения (1-6) с помощью конденсирующего агента.
Реакция конденсации соединений (1-5) и (1-6) конденсирующим агентом может быть осуществлена при таких же условиях, как обычно используемые условия, описанные в следующих публикациях. Такие известные методики включают Rosowsky, A.; Forsch, R. A.; Moran, R. G.; Freisheim, J. H.; J. Med. Chem., 34 (1), 227-234 (1991), Brzostwska, M.; Brossi, A.; Flippen-Anderson, J. L.; Heterocycles, 32 (10), 1969-1972 (1991), Romero, D. L.; Morge, R. A.; Biles, C.; Berrios-Pena, N.; May, P. D.; Palmer, J. R.; Johnson, P.D.; Smith, H. W.; Busso, M.; Tan, C.-K.; Voorman, R. L.; Reusser, F.; Althaus, I. W.; Downey, K. M.; So, A. G.; Resnick, L.; Tarpley, W. G., Aristoff, P. A.; J. Med. Chem., 37 (7), 999-1014 (1994).
Соединение (1-6) может быть свободной формой или солью.
Используемый растворитель в данной реакции особо не ограничивают, лишь бы он не замедлял реакцию. Примеры такого растворителя могут включать тетрагидрофуран, 1,4-диоксан, этилацетат, метилацетат, метиленхлорид, хлороформ, N,N-диметилформамид, толуол и ксилол. Примеры конденсирующего агента могут включать CDI (N,N’-карбонилдиимидазол), Bop (гексафторфосфат 1H-1,2,3-бензотриазол-1-илокси(три(диметиламино))фосфония), WSC (1-этил-3-(3-диметиламинопропил)карбодиимидгидрохлорид), DCC (N,N-дициклогексилкарбодиимид) и диэтилфосфорилцианид. Соединение (1-6) используют при соотношении от 1 эквивалента до избыточного количества относительно соединения (1-5). Кроме того, при необходимости может быть также добавлено органическое основание, такое как триэтиламин, при соотношении от 1 эквивалента до избыточного количества.
Время реакции особо не ограничивают. Оно составляет обычно от 0,5 до 48 часов, предпочтительно от 0,5 до 24 часов.
Температуру реакции особо не ограничивают, причем она различна в зависимости от используемого исходного материала, используемого растворителя и т.п. Предпочтительно она находится в интервале от температуры на льду до температуры кипения растворителя.
Кроме того, соединение (1-7) может быть также получено из соединения (1-5) и соединения (1-6) по альтернативным методикам, описанным ниже в (1) и (2).
Альтернативная методика (1)
Соединение (1-5) превращают в смешанный ангидрид кислоты. Затем смешанному ангидриду кислоты дают взаимодействовать с соединением (1-6) для получения соединения (1-7). Указанный смешанный ангидрид кислоты может быть синтезирован способом, известным специалистам в данной области техники. Например, соединению (1-5) дают взаимодействовать со сложным эфиром хлормуравьиной кислоты, таким как этилхлорформиат, в присутствии основания, такого как триэтиламин. Указанные эфир хлормуравьиной кислоты и основание используют при соотношении от 1 до 2 эквивалентов относительно соединения (1-5). Температура реакции находится в интервале от -30°С до комнатной температуры, предпочтительно от -20°С до комнатной температуры.
Осуществляют стадию конденсации смешанного ангидрида кислоты и соединения (1-6), например, обеспечивая возможность взаимодействия смешанного ангидрида кислоты с соединением (1-6) в растворителе, таком как метиленхлорид, тетрагидрофуран или N,N-диметилформамид. Соединение (1-6) используют при соотношении от 1 эквивалента до избыточного количества относительно смешанного ангидрида кислоты.
Время реакции особо не ограничивают. Оно составляет обычно от 0,5 до 48 часов, предпочтительно от 0,5 до 12 часов.
Температура реакции составляет от -20°С до 50°C, предпочтительно от -20°С до комнатной температуры.
Альтернативная методика (2)
Соединение (1-5) превращают в активированный сложный эфир. Затем активированному сложному эфиру обеспечивают возможность взаимодействия с соединением (1-6) для получения соединения (1-7). Стадия получения указанного активированного сложного эфира может быть осуществлена обеспечением соединению (1-5) возможности взаимодействия с реактивом для синтеза активированного сложного эфира в растворителе, таком как 1,4-диоксан, тетрагидрофуран или N,N-диметилформамид, в присутствии конденсирующего агента, такого как DCC. Примером указанного реактива для синтеза активированного сложного эфира является N-гидроксисукцинимид. Указанные реактив для синтеза активированного сложного эфира и конденсирующий агент используют при соотношении от 1 до 1,5 эквивалентов относительно соединения (1-5). Время реакции особо не ограничивают. Оно составляет обычно от 0,5 до 48 часов, предпочтительно от 0,5 до 24 часов.
Температура реакции составляет от -20°С до 50°C, предпочтительно от -20°С до комнатной температуры.
Стадию конденсации активированного сложного эфира и соединения (1-6) осуществляют обеспечением сложному эфиру возможности взаимодействия с соединением (1-6) в растворителе, таком как метиленхлорид, тетрагидрофуран или N,N-диметилформамид. Соединение (1-6) используют при соотношении от 1 эквивалента до избыточного количества относительно активированного сложного эфира.
Время реакции особо не ограничивают. Оно составляет обычно от 0,5 до 48 часов, предпочтительно от 0,5 до 24 часов.
Температура реакции составляет от -20°С до 50°C, предпочтительно от -20°С до комнатной температуры.
[Стадия 1-4′]
Данная стадия является стадией получения соединения (1-7) конденсацией соединения (1-4) и соединения (1-6).
Указанная реакция конденсации может быть осуществлена при таких же самых условиях, какие обычно используют для реакции конденсации производного сложного эфира и аминосоединения. Известные методики включают Dodd, J. H.; Guan, J.; Schwender, C. F.; Synth. Commun., 23 (7), 1003-1008 (1993), Sim, T. B.; Yoon, N. M.; and Synlett, (10), 827-828 (1994). Используемое аминосоединение (1-6) может быть свободной формой или солью.
Используемый растворитель в данной реакции особо не ограничивают, лишь бы он не замедлял реакцию. Примеры такого растворителя могут включать метанол, этанол, 1-пропанол, 2-пропанол, 1-бутанол, тетрагидрофуран, 1,4-диоксан, толуол, ксилол и уксусную кислоту. Кроме того, в качестве растворителя можно также использовать аминосоединение (1-6). Соединение (1-6) используют при соотношении от 1 эквивалента до избыточного количества относительно соединения (1-4).
Время реакции особо не ограничивают. Оно составляет обычно от 1 до 48 часов, предпочтительно от 1 до 24 часов.
Температуру реакции особо не ограничивают, причем она различна в зависимости от используемого исходного материала, используемого растворителя и т.п. Предпочтительно она находится в интервале от комнатной температуры до температуры кипения растворителя.
Кроме того, в данной реакции, к реакционному раствору могут быть добавлены кислоты, такие как п-толуолсульфоновая кислота или камфорсульфоновая кислота, кислоты Льюиса, такие как триметилалюминий, или основания, такие как гидрид натрия, с получением хороших результатов, таких как уменьшение времени реакции или повышение выхода. Кроме того, может быть использован надлежащим образом закрытый теплостойкий сосуд, такой как автоклав, для нагрева реакционной смеси до высокой температуры от 100°С до 250°C с получением хороших результатов, таких как уменьшение времени реакции.
[Стадия 1-5]
Данная стадия является стадией получения соединения (1-8) удалением защитной группы для вторичного аминосоединения (1-7).
Реакция снятия защиты может быть осуществлена при таких же условиях, какие обычно используют для удаления защитной группы для аминосоединения. Такие условия описаны в публикациях, таких как T. W. Green and P. G. M. Wuts, “Protective groups in Organic Chemistry, Second Edition”, John Wiley & Sons (1991), pp. 309-405. Когда аминогруппу соединения (1-7) защищают, например, бензилоксикарбонильной группой, защитную группу удаляют гидрогенолизом соединения (1-7), используя палладий-на-углероде в качестве катализатора, в растворителе, таком как спирт, с получением соединения (1-8).
[Стадия 1-6]
Данная стадия является стадией получения соединения, представленного общей формулой (I), реакцией восстановительного аминирования между соединением (1-8) и соединением (1-9).
На данной стадии используют соединение (1-8) и соединение (1-9) в качестве исходных материалов и методику, описанную выше в разделе, относящемся к методике получения ([стадия 1-1]), для синтеза соединения, представленного общей формулой (I). Кроме того, в качестве соединения (1-9) может быть непосредственно использован коммерчески доступный продукт или же указанное соединение может быть получено из коммерчески доступного продукта способом, известным специалистам в данной области техники. Кроме того, оно может быть также получено в соответствии с примерами получения в данном описании или по методике, описанной в разделе [Общая методика A, B, C, D или Е получения]. И еще, используемое соединение (1-8) может быть свободной формой или солью.
[Стадия 1-7]
Данная стадия является стадией получения соединения, представленного общей формулой (I), осуществлением реакции нуклеофильного замещения между соединением (1-8) и соединением (1-10).
Указанная реакция нуклеофильного замещения может быть осуществлена при таких же самых условиях, какие обычно используют для осуществления взаимодействия вторичного амина с галогенсодержащим соединением (например, при условиях, описанных у Hirai, Y.; Terada, T.; Okaji, Y.; Yamazaki, T.; Tetrahedron Lett., 31 (33), 4755-4758 (1990) и т.д.). Кроме того, в качестве соединения (1-10) может быть использован непосредственно коммерчески доступный продукт или же указанное соединение может быть получено из коммерчески доступного продукта способом, известным специалистам в данной области техники. Кроме того, оно может быть также получено в соответствии с примерами получения в данном описании или по методике, описанной в разделе [Общая методика Е получения]. Кроме того, используемое соединение (1-8) может быть свободной формой или солью.
Растворитель, используемый в данной реакции, особо не ограничивают, лишь бы он не замедлял реакцию и до определенной степени растворял исходное вещество. Предпочтительные примеры такого растворителя могут включать метанол, этанол, пропанол, тетрагидрофуран, бензол, толуол, ксилол, ацетонитрил, метиленхлорид, хлороформ, N,N-диметилформамид и диметилсульфоксид. Соединение (1-10) используют при соотношении от 1 и 10 эквивалентов, предпочтительно от 1 до 5 эквивалентов, относительно соединения (1-8).
Время реакции особо не ограничивают. Оно составляет обычно от 1 до 72 часов, предпочтительно от 1 до 48 часов.
Температура реакции находится в интервале обычно от комнатной температуры до температуры кипения с обратным холодильником растворителя, предпочтительно от комнатной температуры до 100°C.
Кроме того, добавление основания может дать хорошие результаты, такие как повышение выхода. Используемое основание особо не ограничивают, лишь бы оно не замедляло реакцию. Предпочтительные примеры такого основания могут включать карбонат натрия, карбонат калия, гидроксид натрия, гидроксид калия, диазабициклоундецен, гидрид натрия, гидрид калия, метоксид натрия, метоксид калия, трет-бутоксид калия, триэтиламин и диизопропилэтиламин.
Соединение, представленное общей формулой (I), может быть также получено по методике, описанной в следующем разделе [Общая методика 1′ получения].
[Общая методика 1′ получения]




где R(2), R1, R2, R6 и P(1) имеют такие же значения, как описанные выше, и X представляет собой уходящую группу, такую как атом галогена (атом хлора, атом брома, атом йода или т.п.) или сульфонилоксигруппа, такая как метансульфонилоксигруппа, п-толуолсульфонилоксигруппа или трифторметансульфонилоксигруппа.
Указанная выше методика [Общая методика 1′ получения] является способом получения соединения по настоящему изобретению, представленного общей формулой (I), который содержит много стадий от [стадии 1′-1] до [стадии 1′-9].
В качестве соединения (1′-1) может быть непосредственно использован коммерчески доступный продукт или соединение может быть получено из коммерчески доступного продукта способом, известным специалистам в данной области техники. Кроме того, коммерчески доступные продукты могут быть непосредственно использованы в качестве соединения (1-2) и соединения (1-6) или указанные соединения могут быть получены из коммерчески доступных продуктов способами, известными специалистам в данной области.
[Стадия 1′-1]
Данная стадия является стадией синтеза соединения (1′-2) с использованием соединения (1′-1) и соединения (1-6) в качестве исходных материалов и способа, описанного выше в описанной методике получения ([стадия 1-4]).
[Стадия 1′-2]-[Стадия 1′-4]
Данная стадия является стадией получения соединения (1′-6) из соединения (1′-2) совместным использованием различных реакций, известных специалистам в данной области техники.
Примеры такого известного способа могут включать: Coe, J. W.; Vetelino, M. G.; Bradlee, M. J.; Tetrahedron Lett., 37 (34), 6045-6048 (1996), Arai, E.; Tokuyama, H.; Linsell, M. S.; Fukuyama, T.; Tetrahedron Lett., 39 (1), 71-74 (1998), Tishler, A. N., Lanza, T. J.; Tetrahedron Lett., 27 (15), 1653 (1986), и Sakamoto Takao, Kondo Yoshinori, Yamanaka Hiroshi, Chem. Pharm. Bull., Vol. 34, P. 2362 (1986).
В частности, соединение (1′-6) может быть получено осуществлением стадий от [стадии 1′-2] до [стадии 1′-4]. Нет необходимости говорить, что способ получения соединения (1′-6) не ограничивается указанными стадиями. Соединение (1′-6) может быть также получено способами, описанными в указанных публикациях.
[Стадия 1′-2]
Данная стадия является стадией получения соединения (1′-4) из соединения (1′-2) и соединения (1′-3).
Способ получения енаминового производного соединения (1′-4) из нитротолуолового производного соединения (1′-2) является способом синтеза, известным специалистам в данной области техники. Реакция может быть осуществлена при таких же условиях, какие описаны, например, у Coe, J. W.; Vetelino, M. G.; Bradlee, M. J.; Tetrahedron Lett., 37 (34), 6045-6048 (1996).
[Стадия 1′-3]
Данная стадия является стадией получения соединения (1′-5) из соединения (1′-4).
Способ получения ацетального производного соединения (1′-5) из енаминового производного соединения (1′-4) является способом синтеза, известным специалистам в данной области техники. Реакция может быть осуществлена при таких же условиях, какие описаны у Coe, J. W.; Vetelino, M. G.; Bradlee, M. J.; Tetrahedron Lett., 37 (34), 6045-6048 (1996); и т.д.
[Стадия 1′-4]
Данная стадия является стадией получения соединения (1′-6) из соединения (1′-5).
Способ синтеза анилинового производного соединения (1′-6) восстановлением нитропроизводного соединения (1′-5) является способом синтеза, известным специалистам в данной области техники. Примером такого способа может быть восстановление каталитическим гидрированием с использованием катализатора на основе благородного металла, такого как никель Ренея, палладий, рутений или родий. В данном случае является предпочтительным использование палладия или гидроксида палладия. В других случаях является также предпочтительной реакция восстановления с применением железа в нейтральных условиях с использованием хлорида аммония.
[Стадия 1′-5]
Данная стадия является стадией синтеза соединения (1′-7) с использованием соединения (1′-6) и соединения (1-2) в качестве исходных материалов и способа, представленного в описанной выше методике получения ([стадия 1-1]).
[Стадия 1′-6]
Данная стадия является стадией синтеза соединения (1-7) с использованием соединения (1′-7) в качестве исходного материала и способа, представленного в описанной выше методике получения ([стадия 1-2]).
[Стадия 1′-7]
Данная стадия является стадией синтеза соединения (1-8) с использованием соединения (1-7) в качестве исходного материала и способа, представленного в описанной выше методике получения ([стадия 1-5]).
[Стадия 1′-8]
Данная стадия является стадией синтеза соединения, представленного общей формулой (I), с использованием соединения (1-8) и соединения (1-9) в качестве исходных материалов и способа, представленного в описанной выше методике получения ([стадия 1-6]).
[Стадия 1′-9]
Данная стадия является стадией синтеза соединения, представленного общей формулой (I), с использованием соединения (1-8) и соединения (1-10) в качестве исходных материалов и способа, представленного в описанной выше методике получения ([стадия 1-7]).
[Общая методика 2 получения]

где R(2) имеет такое же значение, как описанное выше, и R(9) представляет собой C6H(R1)(R2)(R6)(OMe)-(CH2)2-.
Соединение (1-1) может быть получено из коммерчески доступного продукта способом, известным специалистам в данной области техники. Примеры такого способа могут включать Coe, J. W.; Vetelino, M. G.; Bradlee, M. J.; Tetrahedron Lett., 37 (34), 6045-6048 (1996), Arai, E.; Tokuyama, H.; Linsell, M. S.; Fukuyama, T.; Tetrahedron Lett., 39 (1), 71-74 (1998), Tishler, A. N., Lanza, T. J.; Tetrahedron Lett., 27 (15), 1653 (1986), и Sakamoto Takao, Kondo Yoshinori, Yamanaka Hiroshi, Chem. Pharm. Bull., Vol. 34, P. 2362 (1986).
Кроме того, в качестве соединения (2-1) может быть использован непосредственно коммерчески доступный продукт или указанное соединение может быть также получено из коммерчески доступного продукта способом, известным специалистам в данной области техники. Кроме того, оно может быть также получено способом, описанным в разделе [Общая методика F получения].
[Стадия 2-1]
Данная стадия является стадией синтеза соединения (2-2) проведением реакции восстановительного аминирования между соединением (1-1) и соединением (2-1) способом, представленным в описанной выше методике получения ([стадия 1-1]).
[Стадия 2-2]
Данная стадия является стадией синтеза соединения (2-3) с использованием соединения (2-2) в качестве исходного материала и способа, представленного в описанной выше методике получения ([стадия 1-2]).
[Стадия 2-3]
Данная стадия является стадией синтеза соединения (2-4) с использованием соединения (2-3) в качестве исходного материала и способа, представленного в описанной выше методике получения ([стадия 1-3]).
[Стадия 2-4]
Данная стадия является стадией синтеза соединения, представленного общей формулой (I), с использованием соединения (2-4) в качестве исходного материала, и способа, представленного в описанной выше методике получения ([стадия 1-4]). В качестве соединения (1-6) может быть непосредственно использован коммерчески доступный продукт или указанное соединение может быть также получено из коммерчески доступного продукта способом, известным специалистам в данной области техники.
[Стадия 2-5]
Данная стадия является стадией синтеза соединения, представленного общей формулой (I) с использованием соединения (2-3) в качестве исходного материала, и способа, представленного в описанной выше методике получения ([стадия 1-4′]).
Соединение, представленное общей формулой (I), может быть также получено по следующей [общей методике 2′ получения].
[Общая методика 2′ получения]

где R(2), R(9) и R(13) имеют такие же значения, как описанные выше.
Данная стадия является стадией получения соединения по настоящему изобретению, представленного общей формулой (I), с использованием соединения (1′-6) в качестве исходного материала и осуществлением [стадии 2′-1] и [стадии 2′-2]. Соединение (1′-6) может быть получено из коммерчески доступного продукта способом, известным специалистам в данной области техники. Соединение (2-1) может быть получено из коммерчески доступного продукта способом, известным специалистам в данной области техники. Кроме того, оно может быть также получено способом, описанным в [общей методике F получения], которая описана далее.
[Стадия 2′-1]
Данная стадия является стадией синтеза соединения (2′-1) с использованием соединения (1′-6) и соединения (2-1) в качестве исходных материалов и способа, представленного в описанной выше методике получения (стадия 1-1).
[Стадия 2′-2]
Данная стадия является стадией синтеза соединения, представленного общей формулой (I), с использованием соединения (2′-1) в качестве исходного материала и способа, представленного в описанной выше методике получения ([стадия 1-2]).
[Общая методика 3 получения]


где R(2) и R(9) имеют такие же значения, как описанные выше, Z представляет собой OR(1) (где R(1) имеет такое же значение, как описанное выше) или R(2)HN.
[Стадия 3-1]
Соединение (3-2) может быть синтезировано с использованием соединения (3-1) и соединения (2-1) в качестве исходных материалов и способа, представленного в описанной выше методике получения ([стадия 1-1]).
[Стадия 3-2]
Данная стадия является стадией получения соединения (3-3) циклизацией соединения (3-2). Способ синтеза индола циклизацией производного ацетилена (3-2) известен специалистам в данной области техники. Реакция может быть осуществлена при таких же условиях, какие описаны, например, у Fujiwara Junya, Fukutani Yoshimi, Sano Hiromi, Maruoka Keiji, Yamamoto Hisashi, J. Am. Chem. Soc., Vol. 105, P. 7177 (1983); и Ezquerra, J.; Pedregal, C.; Lamas, C.; Barluenga, J.; Perez, M.; Garcia-Martin, M. A.; Gonzalez, J. M.; J. Org. Chem., 61 (17), 5804-5812 (1996).
[Стадия 3-3]
Данная стадия является стадией синтеза соединения (3-4) с использованием соединения (3-3) и способа, представленного в описанной выше методике получения ([стадия 2-3]). Но в случае, когда соединение (3-3) уже имеет подходящий заместитель, данная стадия может быть исключена.
[Стадия 3-4]
Данная стадия является стадией синтеза соединения, представленного общей формулой (I), с использованием соединения (3-4) в качестве исходного материала и способа, представленного в описанной выше методике получения ([стадия 1-4]). Но в случае, когда соединение (3-3) уже имеет подходящий заместитель, данная стадия может быть исключена. Соединение (3-1), используемое в общей методике получения, может быть синтезировано способом, описанным в разделе [Общая методика G получения].
[Общая методика 4 получения]


где R(1), R(2), R(9) и X имеют такие же значения, как описанные выше, и D представляет собой карбоксильную группу или группу, способную модифицироваться в карбоксильную группу.
Соединение (4-1) может быть получено способом, известным специалистам в данной области техники. Соединение может быть синтезировано при таких же условиях, какие описаны, например, у Quallich, G. J.; Morrissey, P. M.; Synthesis, (1), 51-53 (1993), Urban, F. J.; Breitenbach, R.; Gonyaw, D.; Synth. Commun., 26 (8), 1629-1638 (1996), Zhu, J.; Beugelmans, R.; Bourdent, S.; Chastanet, J.; Roussi, G.; J. Org. Chem., 60 (20), 6389-6396 (1995).
[Стадия 4-1]
Данная стадия является стадией получения аминосоединения (4-2) подверганием нитросоединения (4-1) реакции восстановления.
Восстановление нитрогруппы является реакцией, известной специалистам в данной области техники. Примером такого восстановления может быть каталитическое гидрирование с использованием катализатора из благородного металла, такого как никель Ренея, палладий, гидроксид палладия, рутений, родий или платина. Другим примером может быть способ с использованием железа, олова или цинка в нейтральных или кислых условиях.
[Стадия 4-2]
Данная стадия является стадией синтеза соединения (4-3) с использованием соединения (4-2) в качестве исходного материала и способа, представленного в описанной выше методике получения ([стадия 1-1]).
[Стадия 4-3]
Данная стадия является стадией получения соединения (4-4) галогенированием соединения (4-3).
Реакция может быть осуществлена при таких же условиях, какие описаны, например, у Chan, F.; Magnus, P.; Mciver, E. G.; Tetrahedron Lett., 41 (6), 835-838 (2000), Owa, T.; Okauchi, T.; Yoshimatsu, K.; Sugi, N.; Ozawa, Y.; Nagasu, T.; Koyanagi, N.; Okabe, T.; Kitoh, K.; Yoshino, H.; Bioorg. Med. Chem. Lett., 10 (11), 1223-1226 (2000), Kubo, A., Nakai, T., Synthesis, 365 (1980).
В частности, например, раствор, содержащий соединение (4-3), нагревают вместе с оксихлоридом фосфора или т.п. с получением соединения (4-4).
Растворитель, используемый в данной реакции, особо не ограничивают, лишь бы он не замедлял реакцию и до определенной степени растворял исходное вещество. Предпочтительные примеры такого растворителя могут включать ацетонитрил и толуол. Кроме того, в качестве растворителя может быть использован также оксихлорид фосфора. Указанный оксихлорид фосфора используют при соотношении от 1 эквивалента до избыточного количества относительно исходного материала.
Температура реакции находится в интервале обычно от температуры на льду до температуры кипения с обратным холодильником растворителя растворителя, а более предпочтительно от комнатной температуры до температуры кипения с обратным холодильником растворителя.
Время реакции особо не ограничивают. Оно составляет обычно от 0,2 до 48 часов, предпочтительно от 0,2 до 24 часов.
Кроме того, могут иметь место случаи, когда хорошие результаты, такие как повышение выхода, могут быть получены добавлением основания. Основание, используемое в данной реакции, особо не ограничивают, лишь бы оно не замедляло реакцию. Предпочтительные примеры такого основания могут включать триэтиламин, пиридин и диизопропилэтиламин.
[Стадия 4-4]
Данная стадия является стадией получения соединения (4-5) осуществлением реакции дегалогенирования соединения (4-4).
Данная реакция может быть осуществлена при таких же условиях, какие используют для известной реакции дегалогенирования ароматического цикла. Реакция может быть осуществлена при таких же условиях, какие описаны, например, у Candiani, I.; Debernardinis, S.; Cabri, W.; Marchi, M.; Bedeschi, A.; Penco, S.; Synlett, (4), 269-270 (1993), Tanaka, A.; Ito, K.; Nishino, S.; Motoyama, Y.; Takasugi, H.; Chem. Pharm. Bull., 42 (3), 560-569 (1994).
В частности, соединение (4-5) может быть получено гидрированием раствора, содержащего соединение (4-4) в присутствии металлического катализатора.
Растворитель, используемый в реакции каталитического восстановления в атмосфере водорода, особо не ограничивают, лишь бы он не замедлял реакцию. Примеры такого растворителя могут включать метанол, этанол, тетрагидрофуран и 1,4-диоксан. Примеры используемого в данной реакции металлического катализатора могут включать палладий, оксид платины и никель Ренея. Условия реакции особо не ограничивают. Реакция может быть осуществлена при температуре от комнатной температуры до температуры кипения с обратным холодильником растворителя при давлении от нормального до 150 атмосфер, предпочтительно при температуре от комнатной температуры до 60°C при давлении от нормального до 5 атмосфер. Время реакции особо не ограничивают. Оно составляет обычно от 0,5 до 48 часов, предпочтительно от 0,5 до 24 часов.
[Стадия 4-5]
Данная стадия является стадией получения соединения, представленного общей формулой (I), конверсией заместителя D в соединении (4-5).
Конверсия соединения (4-5) в соединение, представленное общей формулой (I), может быть проведена по общей методике, известной специалистам в данной области техники. Когда заместителем D является, например, алкоксикарбонильная группа, соединение, представленное общей формулой (I), может быть синтезировано способом, представленным в описании [стадии 1-3] и [стадии 1-4] или [стадии 1-4′].
[Общая методика 5 получения]

где R(2) и R(9) имеют такие же значения, как описанные выше, и R’(2) и R’(9) представляют собой соответственно R(2) и R(9), подходящим образом модифицированные.
[Общая методика 5 получения] является способом получения соединения, представленного общей формулой (I)’, из соединения, представленного общей формулой (I), в качестве исходного материала. (Соединение, представленное общей формулой (I)’, включено в соединение, представленное общей формулой (I).)
Соединение, представленное общей формулой (I), может быть получено в соответствии с описанной выше [общей методикой 1 получения] или т.п.
[Стадия 5-1]
Данная стадия является стадией получения соединения, представленного общей формулой (I)’, модификацией R(2) или R(9) в соединении, представленном общей формулой (I).
Модификация R(2) и R(9) может быть осуществлена проведением различных реакций, известных специалистам в данной области техники, или совместным использованием различных реакций. Кроме того, соединение, представленное общей формулой (I)’, может быть также получено способами, описанными в примерах получения в данном описании.
Далее описан способ получения основных исходных соединений, используемых в изобретении, описанном в данной заявке. Сначала описано соединение (1-9), используемое в [общей методике 1 получения] и [общей методике 1′ получения]. Соединение [1-9] может быть получено по [общей методике А получения]-[общей методике Е получения] и [общей методике Н получения]. Конечные соединения, полученные по указанным методикам, могут иногда быть представлены разными формулами при описании каждой стадии. Но все указанные соединения соответствуют соединению (1-9).
[Общая методика А получения] (Методика синтеза соединения (1-9))





где цикл А представляет собой (1) бициклическую группу, образованную конденсацией бензольного цикла и 5-7-членной неароматической карбоциклической группы, (2) бициклическую группу, образованную конденсацией бензольного цикла и 5-7-членной неароматической гетероциклической группы, (3) бициклическую группу, образованную конденсацией бензольного цикла и 6-членной ароматической карбоциклической группы, (4) бициклическую группу, образованную конденсацией бензольного цикла и 5- или 6-членной ароматической гетероциклической группы, или бензольный цикл, способный быть преобразованным в (1)-(4); каждый из R(4), R(5) и R(6) представляет собой заместитель, необходимый для синтетической модификации, когда это нужно, такой как C1-C6 алканоильная группа, гидроксиметильная группа, которая может быть защищена TBDMS группой, или т.п., или C1-C6 алкоксигруппа, которая может быть замещенной C1-C6 алкоксикарбонильной группой, а также заместитель, выбранный из следующей группы В1 заместителей, и R’(4), R”(4), R’(5), R”(5), R’(6), R”(6) представляют собой заместители, образованные подходящим модифицированием R(4), R(5) и R(6), где каждый из R(4), R(5), R(6), R’(4), R’(5), R’(6), R”(4), R”(5) и R”(6) представляет собой заместитель, находящийся в цикле A; и L(1) означает уходящую группу и представляет собой атом галогена (атом хлора, атом брома или атом йода) или сульфонилоксигруппу, такую как метансульфонилоксигруппа, п-толуолсульфонилоксигруппа или трифторметансульфонилоксигруппа,
группа В1 заместителей: (1) атом водорода, (2) атом галогена, (3) цианогруппа, (4) гидроксильная группа, (5) нитрогруппа, (6) оксогруппа, (7) карбоксильная группа, (8) C3-C8 циклоалкильная группа, (9) C2-C6 алкенильная группа, (10) C2-C6 алкинильная группа, (11) C1-C6 алкилтиогруппа, (12) C1-C6 алкоксикарбонильная группа, (13) C1-C6 алкилсульфонильная группа, (14) C1-C6 алкильная группа (где описанная выше C1-C6 алкильная группа может быть замещенной атомом галогена, гидроксильной группой или C1-C6 алкоксигруппой), (15) C1-C6 алкоксигруппа (где описанная выше C1-C6 алкоксигруппа может быть замещенной 1-3 атомами галогена), (16) аминогруппа (где описанная выше аминогруппа может быть замещенной заместителем, выбранным из группы, состоящей из C1-C6 алкильной группы, формильной группы, C1-C6 алканоильной группы и C1-C6 алкилсульфонильной группы), (17) карбамоильная группа (где описанная выше карбамоильная группа может быть замещенной одной или двумя C1-C6 алкильными группами), (18) C1-C6 алкоксииминогруппа, (19) C5-C6 циклоалкильная группа, образованная двумя C1-C3 алкильными группами, присоединенными к одному атому углерода, и (20) тетрагидропиранильная группа, образованная двумя C1-C3 алкильными группами присоединенными к одному атому углерода, вместе с атомом кислорода и указанным выше атомом углерода.
В качестве соединения (а-1) может быть непосредственно использован коммерчески доступный продукт или указанное выше соединение может быть также получено из коммерчески доступного продукта способом, известным специалистам в данной области техники. Кроме того, оно может быть также получено способами, описанными в примерах получения в данном описании.
[Стадия A-1]
Данная стадия является стадией получения соединения (a-3) осуществлением реакции аллилирования между соединением (a-1) и соединением (a-2).
Данная реакция может быть осуществлена при таких же условиях, какие используют в реакции аллилирования между аллилгалогенидом и производным фенола (включая гетероциклический цикл) (указанные условия описаны, например, у Nichols, D. E.; Snyder, S. E.; Oberlender, R.; Johnson, M. P.; Huang, X.; J. Med. Chem., 34 (1), 276-281 (1991), Sato, H.; Dan, T.; Onuma, E.; Tanaka, H.; Aoki, B.; Koga, H.; Chem. Pharm. Bull., 39 (7), 1760-1772 (1991)).
В частности, обеспечивают возможность взаимодействия основания с раствором, содержащим соединение (a-1), с получением феноксида, которому затем дают возможность взаимодействовать с соединением (a-2) с получением соединения (a-3).
Данная реакция может быть осуществлена обеспечением возможности взаимодействия подходящего основания с указанным выше соединением при соотношении от 1 эквивалента до избыточного количества относительно соединения в органическом растворителе, таком, как ацетон, 2-бутанон, ацетонитрил, N,N-диметилформамид, диметилсульфоксид, бензол или толуол или их смешанный растворитель. Примеры используемого в данной реакции основания могут включать карбонат натрия, карбонат калия, гидроксид натрия, гидроксид калия, диазабициклоундецен, гидрид натрия, гидрид калия, метоксид натрия, метоксид калия и трет-бутоксид калия. Соединение (a-2) используют при соотношении от 1 до 3 эквивалентов, предпочтительно от 1 до 1,7 эквивалента, относительно соединения (a-1).
Время реакции особо не ограничивают. Оно составляет обычно от 1 до 48 часов, предпочтительно от 1 до 24 часов.
Температура реакции обычно находится в интервале от температуры на льду до температуры кипения с обратным холодильником растворителя.
Возможны случаи, когда могут быть получены предпочтительные результаты, такие как повышение выхода или уменьшение времени реакции, благодаря присутствию соли аммония, такой как тетра-н-бутиламмонийхлорид, тетра-н-бутиламмонийбромид или тетра-н-бутиламмонийиодид.
[Стадия A-2]
Данная стадия является стадией получения соединения (a-4) подверганием соединения (a-3) реакции перегруппировки Кляйзена.
Данная реакция может быть осуществлена при таких же условиях, какие описаны, например, у Nichols, D. E.; Snyder, S. E.; Oberlender, R.; Johnson, M. P.; Huang, X.; J. Med. Chem., 34 (1), 276-281 (1991), Sato, H.; Dan, T.; Onuma, E.; Tanaka, H.; Aoki, B.; Koga, H.; Chem. Pharm. Bull., 39 (7), 1760-1772 (1991).
В частности, например, раствор, содержащий соединение (a-3), нагревают с получением соединения (a-4).
Данная реакция может быть осуществлена в отсутствие растворителя или в растворителе, таком как N,N-диметиланилин, N,N-диэтиланилин, N-метилпирролидон или дихлорбензол.
Температура реакции обычно составляет от 100°С до температуры кипения с обратным холодильником растворителя, а более предпочтительно от 160°С до 210°C.
Данную реакцию предпочтительно осуществляют в атмосфере азота или аргона. Возможны случаи, когда могут быть получены предпочтительные результаты, такие как уменьшение времени реакции или повышение выхода, благодаря проведению данной реакции с использованием микроволнового реактора.
Кроме того, возможны случаи синтеза в данной реакции изомера положения (перегруппировка Кляйзена), но это зависит от типа исходного материала. Когда в положении 1 находится аллилоксигруппа, соединения, образованные переносом аллильной группы в положение 2, 4 или 6, также входят в объем настоящего изобретения.
[Стадия A-3]
Данная стадия является стадией получения соединения (a-6) осуществлением реакции метилирования между соединением (a-4) и соединением (a-5).
Данная реакция может быть осуществлена при таких же условиях, какие используют в реакции алкилирования (метилирования) между производным фенола (включая гетероциклическое кольцо) и метилгалогенидом или диметилсульфатом (указанные условия описаны, например, у Chilin, A.; Rodighiero, P.; Pastorini, G.; Guitto, A.; J. Org. Chem., 56 (3), 980-983 (1991), Dike, S. Y.; Merchant, J. R.; Sapre, N. Y.; Tetrahedron, 47 (26), 4775-4786 (1991)).
В частности, обеспечивают возможность взаимодействия основания с раствором, содержащим соединение (a-4), с получением феноксида, которому затем дают возможность взаимодействовать с соединением (a-5) с получением соединения (a-6).
Данная реакция может быть осуществлена обеспечением подходящему основанию возможности взаимодействия с указанным выше соединением при соотношении от 1 эквивалента до избыточного количества относительно соединения в органическом растворителе, таком как ацетон, 2-бутанон, ацетонитрил, N,N-диметилформамид, диметилсульфоксид, бензол или толуол или их смешанный растворитель. Примеры используемого в данной реакции основания могут включать карбонат натрия, карбонат калия, гидроксид натрия, гидроксид калия, диазабициклоундецен, гидрид натрия, гидрид калия, метоксид натрия, метоксид калия и трет-бутоксид калия.
Примеры метилирующего реактива могут включать метилиодид, метилбромид, метилхлорид и диметилсульфат.
Соединение (a-5) используют при соотношении от 1 до 5 эквивалентов, предпочтительно от 1 до 3 эквивалентов, относительно соединения (a-4). Время реакции особо не ограничивают. Оно составляет обычно от 0,5 до 48 часов, предпочтительно от 0,5 до 24 часов.
Температура реакции обычно находится в интервале от температуры на льду до температуры кипения с обратным холодильником растворителя.
Возможны случаи, когда могут быть получены предпочтительные результаты, такие как повышение выхода или уменьшение времени реакции, благодаря присутствию соли аммония, такой как тетра-н-бутиламмонийхлорид, тетра-н-бутиламмонийбромид или тетра-н-бутиламмонийиодид.
Кроме того, соединение (a-6) может быть получено из соединения (a-4) следующим альтернативным способом.
Альтернативный способ
Например, к раствору, содержащему соединение (a-4), добавляют диазометан, триметилсилилдиазометан или т.п. при соотношении от 1 эквивалента до избыточного количества для осуществления реакции с получением соединения (a-6). Примеры растворителя для данной реакции могут включать эфир и метанол. Температура реакции обычно находится в интервале от температуры на льду до комнатной температуры. Данный способ известен специалистам в данной области техники. Реакция может быть осуществлена при таких же условиях, какие описаны, например, у White, J. D.; Butlin, R. J.; Hahn, H.-G.; Johnson, A. T.; J. Am. Chem. Soc., 112 (23), 8595-8596 (1990).
[Стадия A-4]
Данная стадия является стадией получения соединения (1-9) окислительным расщеплением олефина в аллильной части соединения (a-6).
Реакция может быть осуществлена при таких же условиях, какие обычно используют в реакции окислительного расщепления с получением альдегида из олефина. Окислительное расщепление, используемое в данной реакции, особо не ограничивают. Примером указанной реакции окислительного расщепления может быть реакция окислительного расщепления, включающая озоновое окисление, использование тетроксида осмия (где может быть использован окислитель в комбинации), использование K2OsO4 (где может быть использован окислитель в комбинации), использование хромовой кислоты или электродное окисление.
Окислитель используют при соотношении от каталитического количества (0,01 эквивалента) до избыточного количества относительно соединения (a-6). Окислитель, который используют в комбинации, используют при соотношении от 1 эквивалента до избыточного количества относительно указанного выше окислителя.
Примеры реакции окислительного расщепления, включающей озоновое окисление, могут включать способы, описанные, например, у Jagadeesh, S. G.; Krupadanam, G. L. D.; Srimannarayana, G.; Synth. Commun., 31 (10), 1547-1557 (2001), Cannon, J. G.; Roufos, I.; J. Heterocycl. Chem., 27 (7), 2093-2095 (1990).
В частности, в реакции окислительного расщепления, включающей озоновое окисление олефина, к раствору, содержащему соединение (а-6), например, подводят поток кислорода, содержащий некоторый процент озона (полученного с помощью генератора озона), и затем образованный озонид (гидропероксид, когда в качестве растворителя используют метанол) без выделения обрабатывают восстановителем с получением соединения (1-9).
Используемый растворитель в данной реакции особо не ограничивают, лишь бы он не замедлял реакцию и до определенной степени растворял исходное вещество. Предпочтительные примеры могут включать метиленхлорид, этилацетат и метанол. Температура реакции обычно составляет от -100°С до комнатной температуры, а более предпочтительно от -78°С до комнатной температуры. Время реакции особо не ограничивают. Оно составляет обычно от 0,5 до 48 часов, предпочтительно от 0,5 до 24 часов.
При обработке восстановителем может быть использован восстановитель, применяемый в условиях реакции, обычно используемых в указанной реакции окислительного расщепления. Конкретные примеры такого восстановителя могут включать цинк-уксусную кислоту, трифенилфосфин, триэтилфосфит, каталитическое гидрирование и диметилсульфид.
Кроме того, способ, описанный у Lai, G.; Anderson, W. K.; Tetrahedron Lett., 34 (43), 6849-6852 (1993), является примером реакции окислительного расщепления с использованием тетроксида осмия (где может быть использован окислитель в комбинации), K2OsO4 (где может быть использован окислитель в комбинации), AD-mix- ( ) или т.п.
Реакция окислительного расщепления олефина с использованием тетроксида осмия или т.п. может быть осуществлена при таких же условиях, как обычно используемые условия реакций (например, условия, описанные в указанных выше публикациях).
Окислитель, используемый в комбинации, особо не ограничивают. Примером такого окислителя может быть периодат натрия.
Используемый в данной реакции растворитель может представлять собой смешанный растворитель, состоящий из воды и органического растворителя, такого как эфир, тетрагидрофуран, 1,4-диоксан или ацетон. Температура реакции обычно находится в интервале от температуры на льду до комнатной температуры.
Реакция окислительного расщепления с использованием тетроксида осмия может быть также осуществлена выполнением двухстадийного процесса, в котором олефин окисляют тетроксидом осмия (который может быть использован вместе с окислителем) в 1,2-диол и затем из 1,2-диола получают альдегид, используя окислитель, такой как тетраацетат свинца или периодат натрия.
Указанная двухстадийная реакция может быть осуществлена при таких же условиях, как обычно используемые условия реакций (например, условия, описанные у Masquelin, T.; Hengartner, U.; Streith, J.; Synthesis, 7, 780-786 (1995), Banfield, S. C.; England, D. B.; Kerr, M. A.; Org. lett., 3 (21), 3325-3327 (2001)).
Примеры окислителя, используемого при превращении олефина в 1,2-диол, могут включать N-оксид N-метилморфолина и K3Fe(CN)6. Используемый в данной реакции растворитель представляет собой смешанный растворитель, состоящий из воды и органического растворителя, такого как ацетонитрил, ацетон, трет-бутанол или тетрагидрофуран. Температура реакции обычно находится в интервале от температуры на льду до комнатной температуры. Время реакции особо не ограничивают. Оно составляет обычно от 0,2 до 48 часов, предпочтительно от 0,2 до 24 часов.
Кроме того, примеры окислителя, используемого при превращении 1,2-диола в альдегид, могут включать тетраацетат свинца и периодат натрия. Примеры растворителя, используемого в данной реакции, могут включать органические растворители, такие как бензол, толуол, метиленхлорид, простой эфир, тетрагидрофуран, 1,4-диоксан или ацетон, и смешанные растворители, состоящие из воды и указанных органических растворителей. Температура реакции обычно находится в интервале от температуры на льду до комнатной температуры. Время реакции особо не ограничивают. Оно составляет обычно от 5 минут до 48 часов, предпочтительно от 5 минут до 24 часов.
[Стадия A-5]
Данная стадия является стадией синтеза соединения (a-3) с использованием соединения (a-1) в качестве исходного материала и способа, представленного в описанной выше методике получения ([стадия A-1]).
[Стадия A-6]
Данная стадия является стадией синтеза соединения (a-4) с использованием соединения (a-3) в качестве исходного материала и способа, представленного в описанной выше методике получения ([стадия A-2]).
[Стадия A-7]
Данная стадия является стадией получения соединения (a-7) подходящей модификацией (преобразованием) циклического соединения (a-4). Модификация (преобразование) циклического соединения (a-4) по настоящему изобретению может быть осуществлена проведением различных реакций, известных специалистам в данной области техники, или совместным использованием различных реакций. Указанное выше соединение может быть также получено способом, описанным в данном описании в примерах получения. Термин “модификация (преобразование) цикла A” включает модификацию (преобразование) заместителя (R(4), R(5) или R(6)).
Конкретные примеры различных реакций, известных специалистам в данной области техники, могут включать окисление преобразующегося спирта в карбонильное соединение, такое как альдегид или кетон; окисление преобразующегося альдегида в карбоновую кислоту; восстановление преобразующихся сложного эфира, карбоновой кислоты или нитрила до альдегида или спирта; реакцию нитрования ароматического цикла; галогенирование ароматического цикла; восстановление от нитрогруппы до аминогруппы; восстановление углерод-углеродной двойной связи или тройной связи, обусловленное гидрированием в присутствии катализатора из переходного металла; этерификацию карбоновой кислоты; гидролиз сложного эфира в карбоновую кислоту; синтез альдегида гидролизом енольного простого эфира; преобразование гидролизующегося нитрила в амидное соединение или карбоновую кислоту; восстановление амидного соединения до аминосоединения; гидроборирование; оксимирование карбонильного соединения, такого как альдегид или кетон; нитрилирование оксимной группы; N-алкилирование с использованием восстановительного аминирования; способ синтеза амидов с использованием ацилирования аминогруппы; сульфонамидирование аминогруппы; амидирование конденсацией карбоновой кислоты и аминосоединения; амидирование конденсацией сложного эфира и аминосоединения; амидирование конденсацией хлорангидрида кислоты и аминосоединения; конденсацию между аминогруппой и гидроксильной группой с использованием N,N’-карбонилдиимидазола, фосгена или трифосгена; конденсацию между амидом и гидроксильной группой с использованием N,N’-карбонилдиимидазола, фосгена или трифосгена; реакцию превращения гидроксильной группы во фтор с использованием реактива DAST (трифторид диметиламиносеры) или т.п.; O-алкилирование спирта или фенолов; N-алкилирование амидной группы; N-алкилирование уретанового соединения; алкилирование карбонильной группы в -положение осуществлением взаимодействия с алкилгалогенидом после обработки карбонильного соединения основанием, таким как LDA (диизопропиламид лития); деметилирование от производного анизола до производного фенола; реакцию превращения гидроксильной группы в уходящую группу, такую как мезилирование или бромирование гидроксильной группы; реакцию нуклеофильного замещения между соединением, содержащим уходящую группу, такую как бром, и аминосоединением; реакцию нуклеофильного замещения между соединением, содержащим уходящую группу, такую как бром, и цианидом натрия; нуклеофильное взаимодействие карбонильной группы с реактивом Гриньяра или алкил- или фениллитием; реакцию Виттига; реакцию Хорнера-Эммонса; реакцию Мицунобу; перегруппировку Бекмана; синтез бензоксазола перегруппировкой Бекмана; перегруппировку Курциуса; реакцию Байера-Виллигера; конденсацию Дикмана; реакцию сочетания с использованием переходного металла (например, реакцию сочетания по Сузуки, реакцию сочетания по Ульману, реакцию Соногаширы), реакцию сочетания по S. L. Buchwald et al. между аминосоединением и галогенированными арильными соединениями, реакцию сочетания по Стилле и т.д.); реакцию синтеза изоксазола 1,3-дипольным присоединением; реакцию синтеза оксазола с использованием альдегида и TOSMIC реактива (тозилметилизоцианида); металлирование, обусловленное металл-галогенным обменом; формилирование или амидирование, обусловленное реакцией между металлированным (литированным) соединением (литирование и т.д.) и формилирующим агентом, таким как N,N-диметилформамид, или амидирующим агентом, таким как диметилкарбамоилхлорид; реакцию превращения соединения пиридина в четвертичное соединение с использованием метилиодида или бензилбромида; реакцию восстановления четвертичного пиридина до пиперидина, обусловленную гидрированием в присутствии катализатора из переходного металла; способ синтеза кетонного соединения декарбоксилированием сложного 1,3-кетоэфира; и защиту и освобождение от защиты различных функциональных групп, описанные в публикациях, T. W. Green and P. G. M. Wuts, “Protective groups in Organic Chemistry, Second Edition”, John Wiley & Sons (1991). Однако примеры не ограничиваются указанными реакциями.
[Стадия A-8]
Данная стадия является стадией синтеза соединения (1-9) с использованием соединения (a-7) в качестве исходного материала и описанной выше методики получения ([стадия A-4]).
[Стадия A-9]
Данная стадия является стадией синтеза соединения (a-9) с использованием соединения (a-1) и соединения (a-8) в качестве исходных материалов и описанной выше методики получения ([стадия A-1]), на основе способов, описанных в публикациях, таких как Molina, P., Alajarin, M.; Vidal, A.; Fenau-Dupomt, J.; Declerq, J. P.; J. Org. Chem., 56 (12), 4008-4016 (1991), Mann, A.; Muller, C.; Tyrrell, E.; J. Chem. Soc., Perkin Trans. I, (8), 1427-1438 (1998).
[Стадия A-10]
Данная стадия является стадией синтеза соединения (a-10) с использованием соединения (a-9) в качестве исходного материала и описанной выше методики получения ([стадия A-2]).
Данный способ получения может дать предпочтительные результаты, когда кляйзеновскую перегруппировку 3-метил-2-бутенильной группы проводят по пара-положению избирательно к 3-метил-2-бутенилоксигруппе.
[Стадия A-11]
Данная стадия является стадией синтеза соединения (a-11) подходящей модификацией цикла А с использованием соединения (a-10) в качестве исходного материала и описанной выше методики получения ([стадия A-7]).
[Стадия A-12]
Данная стадия является стадией синтеза соединения (1-9) с использованием соединения (a-11) в качестве исходного материала и описанной выше методики получения ([стадия A-4]).
[Стадия A-13]
Данная стадия является стадией синтеза соединения (a-3) с использованием соединения (a-1) в качестве исходного материала и описанной выше методики получения ([стадия A-1]).
[Стадия A-14]
Данная стадия является стадией синтеза соединения (a-12) подходящей модификацией цикла А с использованием соединения (a-3) в качестве исходного материала и описанной выше методики получения ([стадия A-7]).
[Стадия A-15]
Данная стадия является стадией синтеза соединения (a-13) с использованием соединения (a-12) в качестве исходного материала и описанной выше методики получения ([стадия A-2]).
[Стадия A-16]
Данная стадия является стадией синтеза соединения (a-14) подходящей модификацией цикла А с использованием соединения (a-13) в качестве исходного материала и описанной выше методики получения ([стадия A-7]).
[Стадия A-17]
Данная стадия является стадией синтеза соединения (1-9) с использованием соединения (a-14) в качестве исходного материала и описанной выше методики получения ([стадия A-4]).
[Стадия A-18]
Данная стадия является стадией синтеза соединения (a-15) с использованием соединения (a-13) в качестве исходного материала и описанной выше методики получения ([стадия A-3]).
[Стадия A-19]
Данная стадия является стадией синтеза соединения (1-9) с использованием соединения (a-15) в качестве исходного материала и описанной выше методики получения ([стадия A-4]).
[Общая методика В получения] (методика синтеза соединения (1-9))



где каждый из цикла A, R(4), R(5), R(6), R’(4), R’(5), R’(6), R”(4), R”(5) и R”(6) имеет такое же значение, как описанное выше, P(2) означает защитную группу для гидроксильной группы, представляющую собой -CH(Me)2 или т.п., образованное метильной группой, этильной группой, или P(2) присоединен к соседнему с ним атому углерода; L(2) означает уходящую группу, представляющую собой атом галогена (атом хлора, атом брома, атом йода), или сульфонилоксигруппу, такую как метансульфонилоксигруппа, п-толуолсульфонилоксигруппа или трифторметансульфонилоксигруппа.
В качестве соединения (а-1) может быть использован непосредственно коммерчески доступный продукт или указанное соединение может быть также получено из коммерчески доступного продукта способом, известным специалистам в данной области техники. Кроме того, оно может быть также получено способами, описанными в примерах получения в данном описании.
В качестве соединения (b-2) может быть использован непосредственно коммерчески доступный продукт или указанное соединение может быть также получено из коммерчески доступного продукта способом, известным специалистам в данной области техники.
[Стадия B-1]
Данная стадия является стадией синтеза соединения (b-3) с использованием соединения (a-1) в качестве исходного материала и описанной выше методики получения ([стадия A-1]).
[Стадия B-2]
Данная стадия является стадией синтеза соединения (b-4) с использованием соединения (b-3) в качестве исходного материала и описанной выше методики получения ([стадия A-2]).
[Стадия B-3]
Данная стадия является стадией синтеза соединения (b-5) с использованием соединения (b-4) в качестве исходного материала и описанной выше методики получения ([стадия A-3]).
[Стадия B-3-1-1]
Данная стадия является стадией синтеза соединения (b-6) подходящей модификацией цикла А с использованием соединения (b-5) в качестве исходного материала и описанной выше методики получения ([стадия A-7]).
[Стадия B-3-1-2]
Данная стадия является стадией синтеза соединения (b-7) с использованием соединения (b-6) в качестве исходного материала и описанной выше методики получения ([стадия A-4]).
[Стадия B-3-1-3]
Данная стадия является стадией получения соединения (b-8) защитой 1,2-диола (b-7).
Реакция может быть осуществлена при таких же условиях, какие обычно используют для защиты 1,2-диола (например, условиях, описанных в публикациях, таких как T. W. Green and P. G. M. Wuts, “Protective groups in Organic Chemistry, Second Edition”, John Wiley & Sons (1991), pp. 118-142).
Например, защитная группа (ацетонид) может быть введена в 1,2-диол при условиях, в которых дают возможность взаимодействовать 2,2-диметоксипропану, п-толуолсульфонату пиридиния в каталитическом количестве и т.п. с указанным выше соединением в ацетоновом растворителе.
[Стадия B-3-1-4]
Данная стадия является стадией получения соединения (1-9) с использованием соединения (b-8) в качестве исходного материала и описанной выше методики получения ([стадия A-7]). Согласно указанной методике цикл подходящим образом модифицируют (преобразуют), удаляют защитную группу из 1,2-диола и проводят реакцию окислительного расщепления с получением представляющего интерес соединения.
Реакция может быть осуществлена при таких же условиях, какие обычно используют при снятии защиты с 1,2-диола (например, условиях, описанных в публикациях, таких как T. W. Green and P. G. M. Wuts, “Protective groups in Organic Chemistry, Second Edition”, John Wiley & Sons (1991), pp. 118-142).
Например, 1,2-диол может быть получен удалением защитной группы (ацетонида) из 1,2-диола при условиях, в которых 4 н. этилацетатному раствору хлороводорода позволяют действовать на указанное соединение в этилацетатном растворителе.
Окислительное расщепление может быть осуществлено с использованием способа, представленного в описанной выше методике получения ([стадия A-4]).
[Стадия B-3-2-1]
Данная стадия является стадией синтеза соединения (1-9) с использованием соединения (b-6) в качестве исходного материала и описанной выше методики получения ([стадия A-4]).
[Стадия B-3-3-1]
Данная стадия является стадией синтеза соединения (1-9) с использованием соединения (b-5) в качестве исходного материала и описанной выше методики получения ([стадия A-4]).
[Стадия B-3-4-1]
Данная стадия является стадией синтеза соединения (b-9) с использованием соединения (b-5) в качестве исходного материала и описанной выше методики получения ([стадия A-4]).
[Стадия B-3-4-2]
Данная стадия является стадией синтеза соединения (b-10) с использованием соединения (b-9) в качестве исходного материала и описанной выше методики получения ([стадия B-3-1-3]).
[Стадия B-3-4-3]
Данная стадия является стадией синтеза соединения (b-11) подходящей модификацией цикла А с использованием соединения (b-10) в качестве исходного материала и описанной выше методики получения ([стадия A-7]).
[Стадия B-3-4-4]
Данная стадия является стадией синтеза соединения (b-12) с использованием соединения (b-11) в качестве исходного материала и описанной выше методики получения ([стадия B-3-1-4]).
[Стадия B-3-4-5]
Данная стадия является стадией синтеза соединения (1-9) с использованием соединения (b-12) в качестве исходного материала и описанной выше методики получения ([стадия A-4]).
[Общая методика С получения] (методика синтеза соединения (1-9))

где каждый из цикла A, R(4), R(5), R(6), R’(4), R’(5) и R’(6) имеет такое же значение, как описанное выше.
В качестве соединения (c-1) может быть использован непосредственно коммерчески доступный продукт или указанное выше соединение может быть также получено из коммерчески доступного продукта способом, известным специалистам в данной области техники. Кроме того, оно может быть также получено способами, описанными в примерах получения в данном описании, или способом, описанным в [общей методике C’ получения] или т.п.
[Стадия C-1]
Данная стадия является стадией получения соединения (c-2), содержащего еще один углеродный атом, осуществлением реакции Виттига.
Реакция может быть осуществлена при таких же условиях, какие обычно используют для альдегида и реактива Виттига (реакция Виттига) (метоксиметилтрифенилфосфонийхлорид) (например, условиях, описанных у Gibson, S. E.; Guillo, N.; Middleton, R. J,; Thuilliez, A.; Tozer, M. J.; J. Chem. Soc., Perkin Trans. I, 4, 447-455 (1997)).
В частности, например, реактиву Виттига (метоксиметилтрифенилфосфонийхлориду) позволяют взаимодействовать с основанием и затем с соединением (c-1) с получением соединения (c-2).
Данная реакция может быть осуществлена действием основания на реактив Виттига при соотношении от 0,8 до 1 эквивалента относительно реактива в органическом растворителе, таком как простой эфир, тетрагидрофуран, 1,4-диоксан, 1,2-диметоксиэтан, бензол или толуол. Примеры используемого в данной реакции основания могут включать гидрид натрия, гидрид калия, метоксид натрия, метоксид калия, трет-бутоксид калия, н-бутиллитий и LDA (диизопропиламид лития).
Время реакции особо не ограничивают. Оно составляет обычно от 5 минут до 24 часов, предпочтительно от 5 минут до 12 часов.
Температура реакции обычно составляет от -78°С до комнатной температуры, а более предпочтительно находится в интервале от температуры на льду до комнатной температуры.
[Стадия C-2]
Данная стадия является стадией получения соединения (1-9) обеспечением соединению (c-2) возможности взаимодействовать с кислотой.
Реакция может быть осуществлена при таких же условиях, какие описаны, например, у Gibson, S. E.; Guillo, N.; Middleton, R. J.; Thuilliez, A.; Tozer, M. J.; J. Chem. Soc., Perkin Trans. I, 4, 447-455 (1997).
В частности, например, соединение (c-2) растворяют в 5 н. хлороводородной кислоте или т.п. и затем нагревают с получением соединения (1-9).
Реакция может быть осуществлена взаимодействием кислоты с указанным соединением при соотношении от 1 эквивалента до избыточного количества относительно соединения в смешанном растворителе, состоящем из воды и органического растворителя, такого как метанол, этанол, тетрагидрофуран или 1,4-диоксан, или в органическом растворителе, таком как метанол, этанол, тетрагидрофуран, 1,4-диоксан, этилацетат, метиленхлорид или ацетонитрил. Предпочтительные примеры кислоты, используемой в данной реакции, могут включать хлороводород, хлороводородную кислоту, бромоводородную кислоту, серную кислоту, азотную кислоту, трифторуксусную кислоту и муравьиную кислоту. Кроме того, возможно также превращение соединения в альдегид триметилсилилиодидом (который может быть образован в реакционной систее из триметилсилилхлорида и иодида натрия).
Время реакции особо не ограничивают. Оно составляет обычно от 0,5 до 24 часов, предпочтительно от 0,5 до 12 часов.
Температура реакции обычно находится в интервале от температуры на льду до температуры кипения с обратным холодильником растворителя.
[Стадия C-3]
Данная стадия является стадией синтеза соединения (c-3) подходящей модификацией цикла А с использованием соединения (c-2) в качестве исходного материала и описанной выше методики получения ([стадия A-7]).
[Стадия C-4]
Данная стадия является стадией синтеза соединения (1-9) с использованием соединения (c-3) в качестве исходного материала и описанной выше методики получения ([стадия C-2]).
Соединение (c-1) может быть также получено, например, по [общей методике C’ получения] или [общей методике C” получения].
[Общая методика C’ получения] (методика синтеза соединения (c-1))

где каждый из цикла А, R(1), R(4), R(5) и R(6) имеет такое же значение, как описанное выше; Х представляет собой атом галогена, такой как атом хлора или атом брома, трифторметансульфонилоксигруппу или т.п. и M представляет собой атом металла, такого как литий или магний.
В качестве соединения (c’-1), соединения (c’-2) или соединения (c’-3) может быть использован непосредственно коммерчески доступный продукт. Указанные соединения могут быть также получено из коммерчески доступных продуктов способами, известными специалистам в данной области. Кроме того, они могут быть также получены способами, описанными в примерах получения в данном описании.
[Стадия C’ 1-1]
Данная стадия является стадией получения цианосоединения (c’-4) обеспечением соединению (c’-1) возможности взаимодействовать с цианидом металла в присутствии или в отсутствие металлоорганического катализатора.
Реакция замещения цианида металла галогенированным арильным (включающим гетероциклическое кольцо) соединением является способом, известным специалистам в данной области техники. Данную реакцию осуществляют при таких же условиях, какие описаны, например, у Bouyssou, P.; Legoff, C.; Chenault, J.; J. Heterocycl. Chem.; 29 (4), 895-898 (1992), Agarwal, A.; Jalluri, R. K.; Blanton, C. D. J.; Taylor, E. W.; Synth. Commun., 23 (8), 1101-1110 (1993), Tschaen, D. M.; Desmond, R.; King, A. O.; Fortin, M. C.; Pipik, B.; King, S.; Verhoeven, T. R.; Synth. Commun. 24 (6), 887-890 (1994), Tschaen, D. M.; Abramson, L.; Cai, D.; Desmond, R.; Dolling, U.-H.; Frey, L.; Karady, S.; Shi, Y, Y.-J.; Verhoeven, T. R.; J. Org. Chem., 60 (14), 4324-4330 (1995).
[Стадия C’ 1-2]
Данная стадия является стадией получения соединения (c’-5) обеспечением соединению (c’-1) возможности взаимодействовать с металлоорганическим соединением в присутствии металлоорганического катализатора.
Данная реакция может быть осуществлена при таких же условиях, какие обычно используют в реакции сочетания галогенированного арильного (включающего гетероциклическое кольцо) соединения или т.п. с металлоорганическим соединением в присутствии металлоорганического катализатора. Например, реакция с использованием оловосодержащего реактива, такого как металлоорганическое соединение, описана в публикациях, таких как Martorell, G.; Garcia-Raso, A.; Saa, J. M.; Tetrahedron Lett., 31 (16), 2357-2360 (1990), Kiely, J. S.; Laborde, E.; Lesheski, L. E.; Bucsh, R. A.; J. Heterocycl. Chem., 28 (6), 1581-1585 (1991). Реакция с использованием борсодержащего соединения, такого как металлоорганическое соединение, описана в публикациях, таких как Kerins, F.; O’ Shea, D. F.; J. Org. Chem., 67 (14), 4968-4971 (2002). Реакция с использованием магнийсодержащего реактива, такого как металлоорганическое соединение, описана в публикациях, таких как Park, M.; Buck, J. R.; Rizzo, C. J.; Tetrahedron, 54 (42), 12707-12714 (1998). Реакция с использованием цинксодержащего соединения, такого как металлоорганическое соединение, описана в публикациях, таких как Mohanakrishnan, A. K.; Cushman, M.; Synlett, 7, 1097-1099 (1999).
Металлоорганический катализатор, используемый в данной реакции особо не ограничивают. Предпочтительные примеры такого металлоорганического катализатора могут включать тетракис(трифенилфосфин)палладий(0), дихлорбис(трифенилфосфин)палладий(II), бис(трет-бутилфосфин)палладий(0), дихлорид (1,1′-бис(дифенилфосфино)ферроцен)палладия(II), ацетат палладия(II) и (1,3-бис(дифенилфосфино)пропан)никель(II). Такой металлоорганический катализатор используют при соотношении от примерно 0,001 до 0,1 эквивалента относительно исходного материала.
Металлоорганическое соединение особо не ограничивают. Предпочтительные примеры такого металлоорганического соединения могут включать оловоорганические реактивы, такие как винилтри-н-бутилолово, и борорганические соединения, такие как 2,4,6-тривинилциклотрибороксан. Такое металлоорганическое соединение используют при соотношении от 1 до 5 эквивалентов относительно исходного материала.
Используемый растворитель в данной реакции особо не ограничивают, лишь бы он не замедлял реакцию. Предпочтительные примеры такого растворителя могут включать бензол, толуол, ксилол, N,N-диметилформамид, 1-метил-2-пирролидон, тетрагидрофуран, 1,4-диоксан, ацетонитрил и пропионитрил. Температуру реакции особо не ограничивают. Она находится в интервале обычно от температуры на льду до температуры кипения с обратным холодильником растворителя, предпочтительно от комнатной температуры до температуры кипения с обратным холодильником растворителя. Время реакции особо не ограничивают. Оно составляет обычно от 1 до 48 часов, предпочтительно от 1 до 24 часов.
Возможны случаи, когда хорошие результаты, такие как повышение выхода, могут быть получены осуществлением данной реакции в присутствии основания. Такое основание особо не ограничивают. Предпочтительные примеры основания могут включать карбонат натрия, карбонат калия, карбонат цезия, фосфат калия и триметилэтиленамин.
[Стадия C’ 1-3]
Данная стадия является стадией получения металлоарильного соединения (c’-6) осуществлением металл-галогенного обмена галогенированного арильного соединения (включая гетероциклическое соединение).
Указанный металл-галогенный обмен может быть осуществлен способом, известным специалистам в данной области техники. В частности, например, соединение (c’-1) подвергают металл-галогенному обмену, используя коммерчески доступный металлоорганический реактив, предпочтительно, алкиллитиевый реактив, такой как н-, втор- или трет-бутиллитий, и реактив Гриньяра, такой как изопропилмагнийбромид, или металлический магний, с получением соответствующего литийарильного (включая гетероциклическое соединение) реактива или магнийарильного (включая гетероциклическое соединение) реактива.
Используемый растворитель на данной стадии различается в зависимости от используемого исходного материала или реактива. Такой растворитель особо не ограничивают, лишь бы он не замедлял реакцию, в определенной степени растворял исходное вещество и всегда был неактивным в ходе реакции. Предпочтительные примеры такого растворителя могут включать диэтиловый эфир, тетрагидрофуран, бензол и толуол. Время реакции особо не ограничивают. Оно составляет обычно от 0,1 до 48 часов, предпочтительно от 0,1 до 2 часов. Температура реакции различается в зависимости от используемого исходного материала или реактива. Чтобы снизить образование побочных продуктов до минимума, предпочтительно поддерживают низкую температуру, такую как -78°C.
Кроме того, возможны случаи, когда хорошие результаты, такие как повышение выхода или уменьшение времени реакции, могут быть получены добавлением TMEDA (тетраметилэтилендиамин), HMPA (гексаметилфосфороамид) или т.п. в качестве добавки.
[Стадия C’ 1-4]
Данная стадия является стадией получения металлоарильного соединения (c’-6) осуществлением реакции металлирования арильного (включая гетероциклическое соединение) соединения (c’-2).
Реакция металлирования арильного соединения (включая гетероциклическое соединение) может быть осуществлена способом, известным специалистам в данной области техники. В частности, например, коммерчески доступному металлоорганическому реактиву, предпочтительно, алкиллитиевому реактиву, такому как н-, втор- или трет-бутиллитий, позволяют действовать на соединение (c’-2), с получением соответствующего литийарильного (включая гетероциклическое соединение) реактива (c’-6).
Указанная реакция может быть осуществлена при таких же условиях, какие описаны, например, в публикации Jacob, P. III; Shulgin, A. T.; Synth. Commun., 11 (12), 957 (1981) или т.п.
Растворитель, используемый на данной стадии, различается в зависимости от используемого исходного материала или реактива. Такой растворитель особо не ограничивают, лишь бы он не замедлял реакцию, в определенной степени растворял исходное вещество и всегда был неактивным в ходе реакции. Предпочтительные примеры такого растворителя могут включать диэтиловый эфир, тетрагидрофуран, бензол и толуол. Температура реакции различается в зависимости от используемого исходного материала или реактива. Чтобы снизить образование побочных продуктов до минимума, предпочтительно поддерживают низкую температуру, такую как -78°C. Время реакции особо не ограничивают. Оно составляет обычно от 0,1 до 48 часов, предпочтительно от 0,1 до 24 часов.
Кроме того, возможны случаи, когда хорошие результаты, такие как повышение выхода или уменьшение времени реакции, могут быть получены добавлением TMEDA (тетраметилэтилендиамин), HMPA (гексаметилфосфороамид) или т.п. в качестве добавки.
[Стадия C’ 1-5]
Данная стадия является стадией получения сложного эфира или карбоновой кислоты (c’-7) путем введения моноксида углерода в галогенированное арильное (включая гетероциклическое соединение) или арилтрифлатное соединение (включая гетероциклическое соединение) (C’-1).
При осуществлении реакции введения моноксида углерода с использованием катализатора из переходного металла предпочтительно коммерчески доступного палладиевого комплекса, такого как ацетат палладия(II), в присутствии спирта, такого как предпочтительно метанол, этанол или трет-бутанол, при обычных условиях, известных специалистам в данной области техники, атом галогена может быть превращен в требуемую карбоксилатную группу. Затем осуществляют щелочной гидролиз или кислотный гидролиз при обычных условиях, известных специалистам в данной области техники, с получением соответствующей карбоновой кислоты.
[Стадия C’ 1-6]
Данная стадия является стадией синтеза соединения (c’-7) с использованием соединения (c’-3) в качестве исходного материала и способа, представленного в описанной выше методике получения ([стадия A-3]).
[Стадия C’ 2-1]
Данная стадия является стадией получения соединения (c-1) реакцией восстановления соединения (c’-4).
В качестве восстановительной реакции преобразования цианогруппы в формильную группу специалистам в данной области техники известна реакция востановления с использованием гидрида металла, такого как диизобутилалюмогидрид, в неактивном растворителе, таком как тетрагидрофуран. Кроме того, указанное выше соединение может быть также получено восстановлением с использованием никеля Ренея, как описано у T. Sohda et al. (Chem. Pharm. Bull., 39 (6), 1440-1445 (1991)) или O. G. Backeberg et al. (J. Chem. Soc., 3961-3963 (1962)) (которое заключается в нагревании соединения в смешанном растворителе муравиная кислота-вода или в обеспечении соединению возможности взаимодействовать с гипофосфитом натрия в смешанном растворителе пиридин-уксусная кислота-вода при температуре в интервале от комнатной температуры до 40°C). Время реакции особо не ограничивают. Оно составляет обычно от 0,5 до 48 часов, предпочтительно от 0,5 до 24 часов.
[Стадия C’ 2-2]
Данная стадия является стадией синтеза соединения (c-1) с использованием соединения (c’-5) в качестве исходного материала и описанной выше методики получения ([стадия A-4]).
[Стадия C’ 2-3]
Данная стадия является стадией получения альдегида (c-1) из металлоарильного соединения (c’-6), полученного на описанной выше [стадии C’ 1-3] или [стадии C’ 1-4].
Металлоарильному соединению (c’-6), полученному на описанной выше [стадии C’ 1-3] или [стадии C’ 1-4], обеспечивают возможность взаимодействовать с коммерчески доступным формилирующим агентом, предпочтительно, с реактивом, таким как N,N-диметилформамид, N-формилморфолин или этилформиат, с получением соответствующего альдегида (c-1). Данная реакция формилирования известна специалистам в данной области техники.
[Стадия C’ 2-4]
Данная стадия является стадией получения сложного эфира или карбоновой кислоты (c’-7) из металлоарильного соединения (c’-6), полученного на описанной выше [стадии C’ 1-3] или [стадии C’ 1-4].
Металлоарильному соединению (c’-6), полученному на описанной выше [стадии C’ 1-3] или [стадии C’ 1-4], обеспечивают возможность взаимодействовать с коммерчески доступным этерифицирующим агентом, предпочтительно, с реактивом, таким как диэтилкарбонат или диоксид углерода, для преобразования указанного соединения в соответствующее (сложный эфир или карбоновую кислоту) соединение (c’-7). Данная реакция преобразования соединения в сложный эфир или карбоновую кислоту известна специалистам в данной области техники.
[Стадия C’ 2-5]
Данная стадия является стадией получения соединения (c-1) реакцией восстановления соединения (c’-7). Реакция может быть осуществлена при таких же условиях, какие обычно используют при восстановлении от сложного эфира до альдегида (например, условиях, описанных у E. Winterfeldt; Synthesis, 617 (1975)).
Предпочтительные восстановители, используемые в данной реакции, включают диизобутилалюмогидрид, бис(2-метоксиэтокси)алюмогидрид натрия и бис(N-метилпиперазино)алюмогидрид.
Растворитель, используемый в данной реакции, особо не ограничивают, лишь бы он не замедлял реакцию и до определенной степени растворял исходное вещество. Предпочтительные примеры такого растворителя могут включать тетрагидрофуран, толуол и метиленхлорид.
Время реакции особо не ограничивают. Оно составляет обычно от 0,5 до 48 часов, предпочтительно от 0,5 до 24 часов.
Температуру реакции особо не ограничивают. Она составляет обычно от -78°С до комнатной температуры, предпочтительно от -78°С до температуры на льду.
[Стадия C’ 2-6]
Данная стадия является стадией получения спирта (c’-8) реакцией восстановления сложноэфирного соединения (c’-7).
Спирт (c’-8) может быть получен из соединения (сложного эфира или карбоновой кислоты) (c’-7) способом, известным специалистам в данной области техники.
В случае сложного эфира примеры восстановителя, используемого в данной реакции, могут включать литийалюминийгидрид, боргидрид лития и диизобутилалюмогидрид. Температуру реакции особо не ограничивают. Она составляет обычно от -78°С до температуры кипения с обратным холодильником растворителя, предпочтительно от -78°С до комнатной температуры. Растворитель, используемый в данной реакции, особо не ограничивают, лишь бы он не замедлял реакцию и до определенной степени растворял исходное вещество. Предпочтительные примеры такого растворителя могут включать тетрагидрофуран, простой эфир, толуол и метиленхлорид.
В случае карбоновой кислоты примеры восстановителя, используемого в данной реакции, могут включать литийалюминийгидрид, боран-тетрагидрофурановый комплекс и боран-диметилсульфидный комплекс. Температуру реакции особо не ограничивают. Она составляет обычно от -78°С до температуры кипения с обратным холодильником растворителя, предпочтительно находится в интервале от температуры на льду до температуры кипения с обратным холодильником растворителя. Растворитель, используемый в данной реакции, особо не ограничивают, лишь бы он не замедлял реакцию и до определенной степени растворял исходное вещество. Предпочтительные примеры такого растворителя могут включать тетрагидрофуран и эфир. Время реакции особо не ограничивают. Оно составляет обычно от 0,5 до 48 часов, предпочтительно от 0,5 до 24 часов.
[Стадия C’ 2-7]
Данная стадия является стадией получения альдегида (c-1) реакцией окисления спирта (c’-8). Альдегид может быть получен из спирта методом, известным специалистам в данной области техники.
Примеры известного метода окисления, используемого в данной реакции, могут включать окисление по Сверну, окисление по Corey-Kim, окисление по Мофетту, PCC окисление, PDC окисление, окисление по Дессу-Мартину, окисление с использованием смеси SO3-пиридин и окисление с использованием диоксида марганца.
Растворитель, используемый в данной реакции, особо не ограничивают, лишь бы он не замедлял реакцию и до определенной степени растворял исходное вещество. Предпочтительные примеры такого растворителя могут включать диметилсульфоксид, тетрагидрофуран, толуол, метиленхлорид и хлороформ.
Температуру реакции особо не ограничивают. Она составляет обычно от -78°С до температуры кипения с обратным холодильником растворителя, предпочтительно от -78°С до комнатной температуры. Время реакции особо не ограничивают. Оно составляет обычно от 0,5 до 48 часов, предпочтительно от 0,5 до 24 часов.
[Общая методика C” получения] (методика синтеза соединения (c-1))

где каждый из цикла A, R(4), R(5), и R(6) имеет такое же значение, как описанное выше, и L(1) представляет собой атом галогена, такой как атом хлора или атом брома.
В качестве соединения (c”-1) может быть использован непосредственно коммерчески доступный продукт или указанное соединение может быть также получено из коммерчески доступного продукта способом, известным специалистам в данной области техники. Кроме того, оно может быть также получено способами, описанными в примерах получения в данном описании.
[Стадия C” 1-1]
Данная стадия является стадией получения соединения (c”-2) последовательной обработкой, при которой осуществляют металл-галогенный обмен соединения (c”-1) и полученное соединение металла обрабатывают триалкилборатом, таким как триметилборат, с получением производного бороновой кислоты, которое обрабатывают окислителем, таким как перуксусная кислота или N-оксид N-метилморфолина, с получением соединения (c”-2).
Указанная реакция через бороновую кислоту является способом синтеза, известным специалистам в данной области техники. Реакция может быть осуществлена при таких же условиях, какие описаны, например, у Gotteland, J.-P.; Halazy, S.; Synlett, 9, 931-932 (1995).
[Стадия C” 1-2]
Данная стадия является стадией синтеза соединения (c”-3) с использованием соединения (c”-2) в качестве исходного материала и описанной выше методики получения ([стадия A-3]).
[Стадия C” 1-3]
Данная стадия является стадией получения соединения (c”-4) осуществлением реакции галогенирования соединения (c”-3).
Указанная реакция галогенирования является способом синтеза, известным специалистам в данной области техники. Реакция может быть осуществлена при таких же условиях, какие описаны, например, у Gray, M. A.; Konopski, L.; Langlois, Y.; Synth. Commun., 24 (10), 1367-1379 (1994).
[Стадия C” 1-4]
Данная стадия является стадией получения соединения (c-1) из соединения (c”-4).
Способ получения соединения (c-1) является способом синтеза, известным специалистам в данной области техники. Реакция может быть осуществлена при таких же условиях, какие описаны, например, у Valenti, P.; Chiarini, A.; Gasperi, F.; Budriesi, R.; Arzneim.-Forsch., 40 (2), 122-125 (1990); Ventelon, L.; Moreaux, L.; Mertz, J.; Blanchard-Desce, M.; Chem. Commun. (Cambridge), 20, 2055-2056 (1999).
[Общая методика D получения] (методика синтеза соединения (1-9))


где каждый из цикла A, R(4), R(5), R(6), R’(4), R’(5), R’(6), X и M имеет такое же значение, как описанное выше; R(7) представляет собой атом водорода или низшую алкильную группу, такую как метильная группа или этильная группа; и R(8) представляет собой низшую алкильную группу, такую как метильная группа или этильная группа.
В качестве соединения (d-1), соединения (d-2) и соединения (d-5) могут быть непосредственно использованы коммерчески доступные продукты. Или же указанные соединения могут быть получены из коммерчески доступных продуктов способами, известными специалистам в данной области. Кроме того, указанные соединения могут быть также получены способами, описанными в примерах получения в данном описании.
[Стадия D-1]
Данная стадия является стадией получения соединения (d-3) обеспечением соединению (d-1) возможности взаимодействовать с металлоорганическим соединением (d-2) в присутствии металлоорганического катализатора.
Данная реакция может быть осуществлена при таких же условиях, какие обычно используют в реакции сочетания галогенированного гетероарильного соединения или т.п. с металлоорганическим соединением в присутствии металлоорганического катализатора.
Например, реакция с использованием оловоорганического реактива описана в публикациях, таких как Mckittrick, B.; Failli, A.; Steffan, R. J.; Soll, R. M.; Hughes, P.; Schmid, J.; Asselin, A. A.; Shaw, C. C.; Noureldin, R.; Gavin, G.; J. Heterocycl. Chem., 27 (7), 2151-2163 (1990). Реакция с использованием цинкорганического реактива в качестве металлоорганического соединения описана в публикациях, таких как Campbell James B. (JR), Firor Judy Wawerchak, Davenport Timothy W., Synth. Commun., 19, 2265-2272 (1989).
Металлоорганический катализатор, используемый в данной реакции, особо не ограничивают. Предпочтительные примеры такого металлоорганического катализатора могут включать тетракис(трифенилфосфин)палладий(0), дихлорбис(трифенилфосфин)палладий(II), дихлорид (1,1′-бис(дифенилфосфино)ферроцен)палладия(II), бис(трет-бутилфосфин)палладий(0), ацетат палладия(II) и (1,3-бис(дифенилфосфино)пропан)никель(II). Такой металлоорганический катализатор используют при соотношении от примерно 0,001 до 0,1 эквивалента относительно исходного материала.
Металлоорганическое соединение особо не ограничивают. Предпочтительные примеры такого металлоорганического соединения могут включать оловоорганические реактивы, такие как арилтри-н-бутилолово или трибутил(3-метил-2-бутенил)олово, и бороорганические реактивы, такие как арилбороновая кислота или 2-арил-4,4,5,5-тетраметил-1,3-диоксаборолан. Такое металлорганическое соединение используют при соотношении от 1 до 5 эквивалентов относительно исходного материала.
Растворитель, используемый в данной реакции, особо не ограничивают, лишь бы он не замедлял реакцию. Предпочтительные примеры такого растворителя могут включать бензол, толуол, ксилол, N,N-диметилформамид, 1-метил-2-пирролидон, тетрагидрофуран, 1,4-диоксан, ацетонитрил и пропионитрил. Температуру реакции особо не ограничивают. Она находится в интервале обычно от температуры на льду до температуры кипения с обратным холодильником растворителя, предпочтительно от комнатной температуры до температуры кипения с обратным холодильником растворителя. Время реакции особо не ограничивают. Оно составляет обычно от 0,5 до 48 часов, предпочтительно от 0,5 до 24 часов.
Возможны случаи, когда хорошие результаты, такие как повышение выхода, могут быть получены осуществлением данной реакции в присутствии основания. Такое основание особо не ограничивают. Предпочтительные примеры основания могут включать карбонат натрия, карбонат калия, карбонат цезия, фосфат калия и триэтиламин.
[Стадия D-2]
Данная стадия является стадией синтеза соединения (d-4) подходящей модификацией цикла А с использованием соединения (d-3) в качестве исходного материала и описанной выше методики получения ([стадия A-7]).
[Стадия D-3]
Данная стадия является стадией синтеза соединения (1-9) с использованием соединения (d-4) в качестве исходного материала и описанной выше методики получения ([стадия A-4]).
[Стадия D-4]
Данная стадия является стадией получения соединения (d-6) обеспечением соединению (d-1) возможности взаимодействовать с соединением (d-5) в присутствии металлоорганического катализатора.
Данная реакция может быть осуществлена при таких же условиях, какие обычно используют в реакциях сочетания галогенированного гетероарильного соединения или т.п. с простым виниловым эфиром или т.п. в присутствии металлоорганического катализатора.
Например, реакция может быть осуществлена при таких же условиях, какие описаны, например, у Andersson, C.-M.; Larsson, J.; Hallberg, A.; J. Org. Chem., 55 (22), 5257-5761 (1990).
Металлоорганический катализатор, используемый в данной реакции, особо не ограничивают. Предпочтительные примеры такого металлоорганического катализатора могут включать тетракис(трифенилфосфин)палладий(0), дихлорбис(трифенилфосфин)палладий(II), дихлорид (1,1′-бис(дифенилфосфино)ферроцен)палладия(II), ацетат палладия(II) и (1,3-бис(дифенилфосфино)пропан)никель(II). Такой металлоорганический катализатор используют при соотношении примерно от 0,001 до 0,1 эквивалента относительно исходного материала.
Растворитель, используемый в данной реакции, особо не ограничивают, лишь бы он не замедлял реакцию. Предпочтительные примеры такого растворителя могут включать бензол, толуол, ксилол, N,N-диметилформамид, 1-метил-2-пирролидон, тетрагидрофуран, 1,4-диоксан, ацетонитрил и пропионитрил. Температуру реакции особо не ограничивают. Она находится в интервале обычно от температуры на льду до температуры кипения с обратным холодильником растворителя, предпочтительно от комнатной температуры до температуры кипения с обратным холодильником растворителя. Время реакции особо не ограничивают. Оно составляет обычно от 0,5 до 48 часов, предпочтительно от 0,5 до 24 часов.
Возможны случаи, когда хорошие результаты, такие как повышение выхода, могут быть получены осуществлением данной реакции в присутствии основания. Такое основание особо не ограничивают. Предпочтительные примеры основания могут включать карбонат натрия, карбонат калия, карбонат цезия, фосфат калия и триэтиламин.
Возможны также случаи, когда предпочтительные результаты, такие как повышение выхода, могут быть получены осуществлением данной реакции в присутствии аммониевой соли, такой как тетра-н-бутиламмонийхлорид, тетра-н-бутиламмонийбромид или тетра-н-бутиламмонийиодид.
[Стадия D-5]
Данная стадия является стадией синтеза соединения (d-7) подходящей модификацией цикла А с использованием соединения (d-6) в качестве исходного материала и описанной выше методики получения ([стадия A-7]).
[Стадия D-6]
Данная стадия является стадией синтеза соединения (1-9) с использованием соединения (d-7) в качестве исходного материала и описанной выше методики получения ([стадия C-2]).
[Стадия D-7]
Данная стадия является стадией синтеза соединения (1-9) с использованием соединения (d-6) в качестве исходного материала и описанной выше методики получения ([стадия C-2]).
[Общая методика E получения] (методика синтеза соединения (1-9) и соединения (1-10))

где каждый из цикла A, R(4), R(5), R(6), X и M имеет такие же значения, как описанные выше, X’ означает уходящую группу, которая представляет собой, например, атом галогена (атом хлора, атом брома, атом йода и т.д.) или сульфонилоксигруппу, такую как метансульфонилоксигруппа, п-толуолсульфонилоксигруппа или трифторметансульфонилоксигруппа.
В качестве соединения (c’-1) и соединения (c’-2) могут быть непосредственно использованы коммерчески доступные продукты. Указанные соединения могут быть также получены из коммерчески доступных продуктов способами, известными специалистам в данной области. Кроме того, указанные соединения могут быть также получены способами, описанными в примерах получения в данном описании.
[Стадия E1-1]
Данная стадия является стадией синтеза соединения (c’-5) с использованием соединения (c’-1) в качестве исходного материала и описанной выше методики получения ([стадия C’1-2]).
[Стадия E1-2]
Данная стадия является стадией синтеза соединения (c’-6) с использованием соединения (c’-1) в качестве исходного материала и описанной выше методики получения ([стадия C’1-3]).
[Стадия E1-3]
Данная стадия является стадией синтеза соединения (c’-6) с использованием соединения (c’-2) в качестве исходного материала и описанной выше методики получения ([стадия C’1-4]).
[Стадия E2-1]
Данная стадия является стадией получения соединения (e-3) гидроборированием соединения (c’-5).
Гидроборирование олефина осуществляют по общей методике, которая известна специалистам в данной области техники, с получением спирта.
[Стадия E2-2]
Данная стадия является стадией получения соединения (e-3) обеспечением металлированному арильному соединению (включая гетероциклическое кольцо) (C’-6) возможности взаимодействовать с этиленоксидом.
Металлированному арильному соединению (включая гетероциклическое кольцо) обеспечивают возможность взаимодействовать с этиленоксидом по общей методике, известной специалистам в данной области техники, с получением спирта.
[Стадия E3-1]
Данная стадия является стадией получения соединения (1-10) превращением гидроксильной группы соединения (e-3) в уходящую группу.
Примеры уходящей группы могут включать атомы галогенов (атом хлора, атом брома, атом йода и т.д.) и сульфонилоксигруппы, такие как метансульфонилоксигруппа, п-толуолсульфонилоксигруппа или трифторметансульфонилоксигруппа.
Данная реакция может быть осуществлена при таких же условиях, какие обычно используют в реакции превращения гидроксильной группы в указанные выше уходящие группы (условия, описанные, например, у R. K. Crossland and K. L. Servis, J. Org. Chem., 35, 3195 (1970)).
Когда указанной уходящей группой является, например, атом галогена, соединение (1-10) может быть получено обеспечением соединению (e-3) возможности взаимодействовать с тионилхлоридом, тионилбромидом, трибромидом фосфора, тетрагалогенометантрифенилфосфином или т.п. Растворитель, используемый в данной реакции, особо не ограничивают, лишь бы он не замедлял реакцию и до определенной степени растворял исходное вещество. Предпочтительные примеры такого растворителя могут включать бензол, толуол, ксилол, метиленхлорид и хлороформ.
Температура реакции обычно составляет от -78°С до температуры кипения с обратным холодильником растворителя, предпочтительно находится в интервале от температуры на льду до температуры кипения с обратным холодильником растворителя.
Время реакции особо не ограничивают. Оно составляет обычно от 5 минут до 48 часов, предпочтительно от 5 минут до 12 часов.
Когда указанной уходящей группой является, например, сульфонилоксигруппа, соединение (1-10) может быть получено обеспечением соединению (e-3) возможности взаимодействовать с метансульфонилхлоридом, п-толуолсульфонилхлоридом, трифторметансульфоновым ангидридом или т.п.
Растворитель, используемый в данной реакции, особо не ограничивают, лишь бы он не замедлял реакцию и до определенной степени растворял исходное вещество. Предпочтительные примеры такого растворителя могут включать тетрагидрофуран, толуол, ксилол, метиленхлорид, хлороформ и N,N-диметилформамид.
Температура реакции обычно составляет от -78°С до температуры кипения с обратным холодильником растворителя, предпочтительно от -78°С до комнатной температуры. Возможны случаи, когда хорошие результаты, такие как повышение выхода, могут быть получены добавлением основания. Основание, используемое в данной реакции, особо не ограничивают, лишь бы оно не замедляло реакцию. Предпочтительные примеры такого основания могут включать карбонат натрия, карбонат калия, триэтиламин, пиридин и диизопропилэтиламин.
[Стадия E3-2]
Данная стадия является стадией получения соединения (1-9) реакцией окисления соединения (e-3). Альдегид может быть получен из спирта способом, известным специалистам в данной области техники.
Примеры известного метода окисления, используемого в данной реакции, могут включать окисление по Сверну, окисление по Corey-Kim, окисление по Мофетту, PCC окисление, PDC окисление, окисление по Дессу-Мартину, окисление с использованием смеси SO3-пиридин и TEMPO окисление.
Растворитель, используемый в данной реакции, особо не ограничивают, лишь бы он не замедлял реакцию и до определенной степени растворял исходное вещество. Примеры такого растворителя могут включать диметилсульфоксид, тетрагидрофуран, толуол, метиленхлорид и хлороформ.
Температуру реакции особо не ограничивают. Она составляет обычно от -78°С до температуры кипения с обратным холодильником растворителя, предпочтительно от -78°С до комнатной температуры. Время реакции особо не ограничивают. Оно составляет обычно от 5 минут до 48 часов, предпочтительно от 5 минут до 24 часов.
[Общая методика F получения] (методика синтеза соединения (2-1))
[Общая методика F получения] является методикой получения соединения (2-1), используемого в [общей методике 2′ получения].




где R(9) имеет такое же значение, как описанное выше, и R(14) представляет собой низшую алкильную группу, такую как метильная группа или этильная группа, или аралкильную группу, такую как бензильная группа.
[Стадия F-1]
Данная стадия является стадией получения соединения (2-1) обеспечением соединению (f-1) возможности взаимодействовать с первичным амином (f-10).
Данная реакция известна специалистам в данной области техники. Оно может быть осуществлена при таких же условиях, какие описаны, например, у Tschaen, D. M.; Abramson, L.; Cai, D.; Desmond, R.; Dolling, U.-H.; Frey, L.; Karady, S.; Shi, Y.-J.; Verhoeven, T. R.; J. Org. Chem., 60 (14), 4324-4330 (1995).
[Стадия F-2]
Данная стадия является стадией синтеза соединения (f-4) с использованием соединения (f-3) в качестве исходного материала и описанной выше методики получения ([стадия 1-6]) или ([стадия 1-7]).
[Стадия F-3]
Данная стадия является стадией получения соединения (2-1) гидролизом соединения (f-4). Данная реакция может быть осуществлена при таких же условиях, какие обычно используют в гидролизе кетального соединения (например, условиях, описанных в публикациях, таких как T. W. Green and P. G. M. Wuts, “Protective groups in Organic Chemistry, Second Edition”, John Wiley & Sons (1991), pp. 175-223).
Реакцию осуществляют в присутствии кислоты. Примеры кислоты, используемой в данной реакции, могут включать хлороводородную кислоту, п-толуолсульфоновую кислоту, трифторсульфоновую кислоту и камфорсульфоновую кислоту. Растворитель, используемый в данной реакции, особо не ограничивают, лишь бы он не замедлял реакцию и до определенной степени растворял исходное вещество. Предпочтительные примеры растворителя, используемого в данной реакции, могут включать такие растворители, как метанол, этанол, ацетон или тетрагидрофуран или смешанные растворители, состоящие из воды и метанола, этанола, ацетона, тетрагидрофурана или т.п.
[Стадия F-4]
Данная стадия является стадией синтеза соединения (f-6) с использованием соединения (f-5) в качестве исходного материала и описанной выше методики получения ([стадия 1-6]) или ([стадия 1-7]).
[Стадия F-5]
Данная стадия является стадией синтеза соединения (2-1) с использованием соединения (f-6) в качестве исходного материала и описанной выше методики получения ([стадия E3-2]).
[Стадия F-6]
Данная стадия является стадией синтеза соединения (2-1) с использованием соединения (f-7) в качестве исходного материала и описанной выше методики получения ([стадия 1-6]) или ([стадия 1-7]).
[Общая методика G получения] (методика синтеза соединения (3-1))

где X’ и Z имеют такие же значения, как описанные выше, и Y представляет собой нитрогруппу или аминогруппу.
В качестве соединения (g-1) может быть использован непосредственно коммерчески доступный продукт или указанное соединение может быть также получено из коммерчески доступного продукта способом, известным специалистам в данной области техники. Кроме того, оно может быть также получено способами, описанными в примерах получения в данном описании.
[Стадия G-1]
Данная стадия является стадией получения соединения (g-3) осуществлением реакции Соногаширы между соединением (g-1) и триметилсилилацетиленом (g-2). Реакция Соногаширы является методом синтеза, известным специалистам в данной области техники. Она может быть осуществлена при таких же условиях, какие описаны, например, у Erdelyi, M.; Gogoll, A.; J. Org. Chem., 66 (12), 4165-4169 (2001), Ezquerra, J.; Pedregal, C.; Lamas, C.; Barluenga, J.; Perez, M.; Garcia-Martin, M. A.; Gonzalez, J. M.; J. Org. Chem., 61 (17), 5804-5812 (1996).
[Стадия G-2]
Данная стадия является стадией получения соединения (3-1) реакцией восстановления соединения (g-3).
Восстановление нитрогруппы является реакцией, известной специалистам в данной области техники. В качестве реакции восстановления, проводимой в присутствии ацетилена, предпочтительным является метод восстановления нитрогруппы до аминогруппы с использованием олова или цинка в кислых условиях. Кроме того, может быть использовано также восстановление железом с использованием аммонийхлорида в нейтральных условиях. Реакция может быть осуществлена при таких же условиях, какие описаны, например, у Izumi, T.; Yokota, T.; J. Heterocycl. Chem., 29 (5), 1085-1090 (1992), Hartman, W. W.; Dickey, J. B.; Stampfli, J. G.; Org. Synth., II, 175 (1943) (когда Y представляет собой аминогруппу, данную стадию осуществлять нет необходимости).
[Относительно получения соединения (g-1)]

где Z имеет такое же значение, как описанное выше.
Как описано выше, в качестве соединения (g-1) может быть непосредственно использован коммерчески доступный продукт или указанное соединение может быть также получено из коммерчески доступного продукта способом, известным специалистам в данной области техники. В частности, различные сложноэфирные соединения или амидное соединение в качестве соединения (g-1) могут быть синтезированы из 4-бром-3-нитробензойной кислоты по общим методикам, известным специалистам в данной области.
[Общая методика H получения] (методика синтеза соединения (1-9))
Данная методика является методикой синтеза соединения (1-9), отличающейся от общей методики Е получения.

где каждый из цикла A, R(1), R(4), R(5), R(6), R’(4), R’(5) и R’(6) имеет такое же значение, как описанное выше; R(14) представляет собой атом водорода, низшую алкильную группу, такую как метильная группа или этильная группа, или низшую аралкильную группу, такую как бензильная группа; X(1) представляет собой атом галогена, такой как атом фтора, атом хлора, атом брома или атом йода; P(2) представляет собой защитную группу для спиртовой гидроксильной группы, такую как ацильная группа или бензоильная группа; и P(3) представляет собой защитную группу для фенольной гидроксильной группы, такую как метоксиметильная группа, 1-этоксиэтильная группа или тетрагидропиранильная группа.
[Стадия H-1]
В качестве соединения (h-1) может быть использован непосредственно коммерчески доступный продукт или указанное соединение может быть также получено из коммерчески доступного продукта по методике, известной специалистам в данной области техники, такой как методика, описанная в публикации J. Velkov; Z. Mincheva; J. Bary; G. Boireau; C. Fujier; Synthetic Communications, 27 (3), 375-378 (1997).
Данная стадия является стадией получения соединения (h-2) восстановлением, защитой спиртовой гидроксильной группы и затем удалением защитной группы фенольной гидроксильной группы соединения (h-1).
Реакция восстановления сложноэфирной группы может быть осуществлена при таких же условиях, как обычно используемые условия, описанные, например, в 4-м издании Jikken Kagaku Koza 26, с. 159-266.
Примеры восстановителя, используемого в данной реакции, могут включать литийалюминийгидрид, боргидрид лития, диизобутилалюмогидрид и бис(2-метоксиэтокси)алюмогидрид натрия. Температуру реакции особо не ограничивают. Она составляет обычно от -78°С до температуры кипения с обратным холодильником растворителя, предпочтительно от -78°С до комнатной температуры. Растворитель, используемый в данной реакции, особо не ограничивают, лишь бы он не замедлял реакцию и до определенной степени растворял исходное вещество. Предпочтительные примеры такого растворителя могут включать тетрагидрофуран, простой эфир, диметоксиэтан, циклопентилметиловый простой эфир, толуол и метиленхлорид.
Указанный восстановитель используют при соотношении от 1 до 3 эквивалентов, предпочтительно от 1 до 1,5 эквивалентов, относительно соединения (h-1).
Введение защитной группы в спиртовую гидроксильную группу может быть осуществлено при таких же условиях, как обычно используемые условия, описанные в публикациях, таких как T. W. Green and P. G. M. Wuts, “Protective groups in Organic Chemistry, Second Edition”, John Wiley & Sons, Inc.
В данной реакции, когда спиртовую гидроксильную группу защищают, например, бензоильной группой, обеспечивают возможность взаимодействовия бензоилхлорида с указанной выше спиртовой формой в присутствии основания, такого как триэтиламин, в растворителе, таком как толуол, ксилол, этилацетат или эфирный растворитель, такой как диметоксиэтан или циклопентилметиловый эфир, с получением продукта, представляющего интерес. Бензоилхлорид может быть использован при соотношении от 1 эквивалента до избыточного количества относительно указанной спиртовой формы соединения. Может быть использован триэтиламин при соотношении от 1 эквивалента до избыточного количества относительно спиртовой формы соединения. Возможны случаи получения в настоящем изобретении предпочтительных результатов, таких как повышение выхода или уменьшение времени реакции, путем использования N,N,N,N-тетраметилэтилендиамина, диизопропилэтиламина, N,N-диметиланилина или т.п.
Время реакции особо не ограничивают. Оно составляет обычно от 0,5 до 48 часов, предпочтительно от 0,5 до 4 часов. Температура реакции составляет от 0°С до 100°C, предпочтительно от 0°С до комнатной температуры.
Удаление защитной группы для фенольной гидроксильной группы может быть осуществлено при таких же условиях, как описанные в публикациях, таких как T. W. Green and P. G. M. Wuts, “Protective groups in Organic Chemistry, Second Edition”, John Wiley & Sons, Inc.
В данной реакции, когда фенольную гидроксильную группу защищают метоксиметильной группой, 1-этоксиэтильной группой или т.п., гидроксильной группе дают возможность взаимодействовать с хлороводородной кислотой в смешанном растворителе, состоящем из толуола, диметоксиэтана и тетрагидрофурана, с получением соединения (h-2). Количество используемой хлороводородной кислоты составляет от 1 эквивалента до избыточного количества относительно исходного вещества. Время реакции особо не ограничивают. Оно составляет обычно от 0,5 до 48 часов, предпочтительно от 1 до 4 часов. Температура реакции составляет от 0°С до 100°C, предпочтительно от 0°С до комнатной температуры.
[Стадия H-2]
Данная стадия является стадией получения соединения (h-4) обеспечением фенольному соединению возможности взаимодействовать с 3,3-диметилакрилоильной кислотой или производным 3,3-диметилакрилоильной кислоты, таким как 3,3-диметилакрилоилхлорид.
Реакция может быть осуществлена при таких же условиях, как описанные в публикациях, таких как T. Timar et al., “Synthesis of 2,2-Dimethyl-4-Chromanones”, J. Heterocyclic Chem., 37, 1389 (2000), J. C. Jaszberenyi et al., “On the Synthesis of Substituted 2,2-Dimethyl-4-Chromanones and Related Compound” Tetrahedron Letters, 30 (20), 2791-2794 (1992), J. C. Jaszberenyi et al., Heterocycles, 38 (9), 2099 (1994). Кроме указанных методов, соединение (h-4) может быть также получено обеспечением соединению (h-2) возможности взаимодействовать с 3,3-диметилакрилоильной кислотой в присутствии метансульфоновой кислоты. 3,3-Диметилакрилоильную кислоту используют при соотношении от 1 эквивалента до избыточного количества относительно соединения (h-2). Время реакции особо не ограничивают. Оно составляет обычно от 0,5 до 48 часов, предпочтительно от 1 до 4 часов.
Температура реакции находится в интервале от комнатной температуры до 100°C, предпочтительно от 40°С до 60°C.
[Стадия H-3]
Данная стадия является стадией получения соединения (1-9) снятием защиты со спиртовой гидроксильной группы соединения (h-4) и затем окислением полученного спирта.
Реакция может быть осуществлена при таких же самых условиях, какие обычно используют для удаления защитной группы для спиртовой гидроксильной группы, описанного в публикациях, таких как T. W. Green and P. G. M. Wuts, “Protective groups in Organic Chemistry, Second Edition”, John Wiley & Sons, Inc. Например, спиртовой гидроксильной группе, защищенной бензоатной сложноэфирной группой или т.п., в соединении (h-4) обеспечивают возможность взаимодействовать с 2 н. раствором NaOH или т.п. в органическом растворителе, таком как тетрагидрофуран, метанол или этанол, или в их смеси с получением представляющего интерес продукта. 2н. раствор NaOH используют при соотношении от 1 эквивалента до избыточного количества относительно соединения (h-4). Время реакции особо не ограничивают. Оно составляет обычно от 0,5 до 48 часов, предпочтительно от 1 до 5 часов.
Температура реакции составляет от 0°С до 100°C, предпочтительно от комнатной температуры до 50°C.
Следующая реакция включает стадию получения соединения (1-9) путем окисления, полученного, как описано выше, соединения, содержащего спиртовую гидроксильную группу.
Альдегид может быть получен из спирта способом, известным специалистам в данной области техники.
Примеры известного метода окисления, используемого в данной реакции, могут включать окисление по Сверну, окисление по Corey-Kim, окисление по Мофетту, PCC окисление, PDC окисление, окисление по Дессу-Мартину, окисление с использованием смеси SO3-пиридин и TEMPO окисление.
Растворитель, используемый в данной реакции, особо не ограничивают, лишь бы он не замедлял реакцию и до определенной степени растворял исходное вещество. Примеры такого растворителя могут включать диметилсульфоксид, тетрагидрофуран, толуол, метиленхлорид, хлороформ, этилацетат, воду и их смесь.
Окислитель используют при соотношении в интервале от каталитического количества до избыточного количества относительно спиртовой формы.
Температуру реакции особо не ограничивают. Она составляет обычно от -78°С до температуры кипения с обратным холодильником растворителя, предпочтительно от -5°С до комнатной температуры. Время реакции особо не ограничивают. Оно составляет обычно от 3 до 10 часов, предпочтительно от 3 до 5 часов.
В случае, например, TEMPO окисления оно может быть осуществлено по методу, описанному в Jikken Kagaku Koza 23, Yuki Gosei V, Sanka Hanno Maruzen Co., Ltd., pp. 485-513.
Растворитель, используемый в данной реакции, особо не ограничивают, лишь бы он не замедлял реакцию и до определенной степени растворял исходное вещество. Примеры такого растворителя могут включать диметилсульфоксид, тетрагидрофуран, толуол, метиленхлорид, хлороформ, этилацетат, воду и их смесь.
Окислитель, например, гипохлорит натрия, содержащийся в водном растворе бикарбоната натрия, используют при соотношении в интервале от каталитического количества до избыточного количества относительно спиртовой формы в присутствии смеси 2,2,6,6-тетраметилпиперидиноксибромид натрия.
Температуру реакции особо не ограничивают. Она составляет обычно от -20°С до комнатной температуры, предпочтительно от -5°С до комнатной температуры. Время реакции особо не ограничивают. Оно составляет обычно от 3 до 10 часов, предпочтительно от 3 до 5 часов.
В случае, например, окисления по Сверну оно может быть осуществлено по методу, описанному в Jikken Kagaku Koza 23, Yuki Gosei V, Sanka Hanno, Maruzen Co., Ltd., pp. 369-403.
Растворитель, используемый в данной реакции, особо не ограничивают, лишь бы он не замедлял реакцию и до определенной степени растворял исходное вещество. Примеры такого растворителя могут включать диметилсульфоксид, тетрагидрофуран, толуол, метиленхлорид, хлороформ, этилацетат и их смесь.
В качестве окислителя, действующего как активатор диметилсульфоксида, используют оксалилхлорид, трифторуксусный ангидрид, уксусный ангидрид, циклогексилимид, пентоксид дифосфора или т.п. при соотношении в интервале от двухкратного молярного количества до избыточного количества относительно спиртовой формы.
В качестве основания используют триэтиламин, N,N-диизопропилэтиламин, пиридин или т.п. при соотношении в интервале от двухкратного молярного количества до избыточного количества относительно спиртовой формы.
Температуру реакции особо не ограничивают. Она составляет обычно от -70°С до комнатной температуры. Время реакции обычно составляет от 3 до 10 часов, предпочтительно от 3 до 5 часов.
Альдегид (1-9) может быть просто очищен превращением его в аддукт бисульфита натрия по методике, описанной у D. P. Kjell et al., “A Novel, Nonaqueous Method for Regeneration of Aldehydes from Bisulfite Adducts” J. Organic. Chemistry. 64, 5722-5724 (1999). Кроме того, альдегид может быть также легко регенерирован. Аддукт бисульфита натрия может быть получен обеспечением альдегидной форме (1-9) возможности взаимодействовать, например, с водным раствором бисульфита натрия в органическом растворителе, таком как этанол, этилацетат или метанол, или их смесь. Указанный бисульфит натрия используют при соотношении от 1 эквивалента до избыточного количества относительно соединения (1-9). Температуру реакции особо не ограничивают. Она составляет обычно от 10°С до 40°C, предпочтительно равна комнатной температуре. Время реакции обычно составляет от 1 до 48 часов, предпочтительно от 12 до 24 часов.
Полученный описанным выше образом аддукт бисульфита натрия обрабатывают основанием, таким как карбонат калия, карбонат натрия, гидроксид натрия или гидроксид калия, в органическом растворителе, таком как этанол, этилацетат или метанол, или их смесь с получением альдегидной формы (1-9). Основание используют при соотношении от 1 эквивалента до избыточного количества относительно аддукта бисульфита натрия. Температуру реакции особо не ограничивают. Она составляет обычно от 10°С до 40°C, предпочтительно равна комнатной температуре. Время реакции обычно составляет от 1 до 24 часов, предпочтительно от 1 до 2 часов.
Соединение (1-9) может быть использовано для получения соединения, представленного формулой (I), с очисткой или без нее.
Эффекты изобретения
Для демонстрации полезности соединения по настоящему изобретению, представленного общей формулой (I), авторы настоящего изобретения провели следующие испытания.
Описанные ниже примеры испытаний и ссылочные примеры даны только для иллюстративных целей. Поэтому средство по настоящему изобретению для лечения или профилактики симптомов со стороны нижних мочевых путей не ограничивается указанными примерами ни в коем случае. Специалисты в данной области могут реализовать настоящее изобретение максимально, не только используя примеры испытаний и ссылочные примеры, описанные ниже, но и внося различные изменения и дополнения в объем, определенный формулой изобретения в описании к данной заявке. Такие изменения и дополнения включены в объем, определенный формулой изобретения в описании к данной заявке.
Пример 1 испытания [Испытание, касающееся аффинности к серотониновому 1А рецептору]
(1) Аффинность испытуемого вещества по отношению к 5-HT1А рецептору исследовали проведением эксперимента на ингибирование, при котором проверяли ингибирующий эффект испытуемого вещества на связывание [3H]-4-(2′-метокси)фенил-1-(2′-(N-2″-пиридинил)-п-фторбензамидо)этилпиперазина (MPPF), который избирательно связывается с 5-HT1A рецептором в гиппокампальной мембранной фракции свиньи. 5-HT1A рецептор, который является рецептором, связывающимся с G-белком, приходит в состояние связывания с G-белком при добавлении MgCl2. Наоборот, он приходит в состояние несвязывания с G-белком при добавлении гуанилилимидодифосфата (Gpp(NH)p). Как известно, агонист G-белкового рецептора обычно проявляет сильную аффинность к рецептору, который находится в состоянии связывания с G-белком, в зависимости от его внутренней активности. Поэтому были получены как аффинность испытуемого вещества к рецептору, находящемуся в состоянии несвязывания с G-белком, так и аффинность испытуемого вещества к рецептору, находящемуся в состоянии связывания с G-белком. Затем полученные значения сравнивали друг с другом, чтобы оценить уровень внутренней активности испытываемого вещества. Теоретически, когда значение (L/H), полученное делением аффинности испытываемого вещества к рецептору, находящемуся в состоянии низкой активности (значение IC50), на аффинность испытуемого вещества к рецептору, находящемуся в состоянии высокой активности (значение IC50), равно 1 или менее, внутренняя активность испытуемого вещества равна нулю. Чем больше указанное значение, тем выше внутренняя активность, которая может быть получена. Действительно, доказано, что испытуемое вещество не обладает внутренней активностью, когда оно имеет значение L/H, равное 1 или менее, и что испытуемое вещество обладает внутренней активностью, когда оно имеет значение L/H, равное 2 или более.
Гиппокамп свиньи гомогенизировали в 50 мМ трис-HCl буфере (рН 7,4; далее называемый как буфер А), который уже был охлажден на льду. Суспензию центрифугировали при 40000 × g в течение 15 минут. Полученный осадок суспендировали в буферном растворе А и полученный при этом раствор затем центрифугировали при 40000 × g в течение 15 минут. Подобную операцию повторяли 2 или 3 раза. Окончательно полученный осадок после центрифугирования суспендировали в буферном растворе А в количестве, равном 10-кратной влажной массе гиппокампа свиньи, с получением мембранной фракции. Полученную мембранную фракцию хранили при -80°С до ее применения.
Использованная для инкубации смесь (0,5 мл) содержала подходящее количество мембранной фракции, испытуемое вещество с требуемой концентрацией, MgCl2 (конечная концентрация: 10 мМ) или Gpp(NH)p (конечная концентрация: 1 мМ), [3H]MPPF (конечная концентрация: 0,5 нМ), диметилсульфоксид (конечная концентрация: 1% (об./об.)) и 50 мМ трис-HCl буфер (pH 7,4). Реакцию инициировали добавлением мембранной фракции и смесь инкубировали при 37°С в течение 30 минут. По окончании инкубации смесь подвергали вакуумному фильтрованию через стеклянный фильтр, используя сборщик клеток. Фильтр промывали охлажденным на льду буферным раствором А. Затем измеряли радиоактивность, обусловленную связыванием с рецептором, с помощью жидкостного сцинтилляционного счетчика. Неспецифическое связывание определяли как связывание, детектированное в присутствии 10 мкМ WAY-100635. В следующей ниже таблице 1 показаны результаты, относящиеся к аффинности, которые представлены значениями IC50, полученными из кривой ингибирования.
(2) Результаты
Соединение по настоящему изобретению, его соль или его гидрат показали превосходное действие в отношении связывания с рецептором. Следует отметить, что соединение А означает соединение, описанное в примере 337 в WO98/43956.
| Таблица 1 |
| Испытуемое вещество, соединение № |
Низкая аффинность, IC50 (нМ) |
Высокая аффинность, IC50 (нМ) |
Отношение L/H |
| Соединение А |
0,5 |
0,1 |
3,7 |
| 1 |
0,26 |
0,16 |
1,6 |
| 2 |
0,35 |
0,27 |
1,3 |
| 3 |
0,34 |
0,46 |
0,7 |
| 4 |
0,15 |
0,17 |
0,9 |
| 5 |
0,45 |
0,57 |
0,8 |
| 6 |
0,2 |
0,2 |
1 |
| 7 |
0,3 |
0,41 |
0,7 |
| 8 |
0,23 |
0,22 |
1 |
| 9 |
0,13 |
0,17 |
0,8 |
| 15 |
0,61 |
0,72 |
0,8 |
| 19 |
0,69 |
1,1 |
0,6 |
| 20 |
0,16 |
0,2 |
0,8 |
| 22 |
0,1 |
0,13 |
0,8 |
| 24 |
0,17 |
0,22 |
0,8 |
| 25 |
0,16 |
0,18 |
0,9 |
| 26 |
0,2 |
0,16 |
1,3 |
| 27 |
0,26 |
0,23 |
1,1 |
| 28 |
0,19 |
0,14 |
1,4 |
| 30 |
0,19 |
0,2 |
1 |
| Таблица 2 |
| Испытуемое вещество, соединение № |
Низкая аффинность, IC50 (нМ) |
Высокая аффинность, IC50 (нМ) |
Отношение L/H |
| Соединение А |
0,5 |
0,1 |
3,7 |
| 31 |
0,15 |
0,16 |
0,9 |
| 32 |
0,25 |
0,26 |
1 |
| 33 |
0,12 |
0,17 |
0,7 |
| 34 |
0,2 |
0,26 |
0,8 |
| 35 |
0,23 |
0,27 |
0,9 |
| 36 |
0,14 |
0,26 |
0,5 |
| 37 |
0,39 |
0,55 |
0,7 |
| 38 |
0,13 |
0,2 |
0,7 |
| 44 |
0,47 |
0,4 |
1,2 |
| 45 |
0,69 |
0,58 |
1,2 |
| 46 |
0,33 |
0,24 |
1,4 |
| 47 |
0,23 |
0,23 |
1 |
| 48 |
1,1 |
1,2 |
0,9 |
| 49 |
0,27 |
0,22 |
1,2 |
| 51 |
0,17 |
0,18 |
0,9 |
| 52 |
0,2 |
0,22 |
0,9 |
| 53 |
0,46 |
0,31 |
1,5 |
| 54 |
0,13 |
0,18 |
0,7 |
| 57 |
0,24 |
0,18 |
1,3 |
| 58 |
0,39 |
0,33 |
1,2 |
| 59 |
0,12 |
0,19 |
0,6 |
| 60 |
0,24 |
0,28 |
0,9 |
| Таблица 3 |
| Испытуемое вещество, соединение № |
Низкая аффинность, IC50 (нМ) |
Высокая аффинность, IC50 (нМ) |
Отношение L/H |
| Соединение А |
0,5 |
0,1 |
3,7 |
| 11 |
0,1 |
0,22 |
0,4 |
| 12 |
0,16 |
0,17 |
0,9 |
| 13 |
0,22 |
0,32 |
0,7 |
| 14 |
0,34 |
0,46 |
0,7 |
| 16 |
0,17 |
0,18 |
0,9 |
| 29 |
0,3 |
0,34 |
0,9 |
| 39 |
0,09 |
0,13 |
0,7 |
| 40 |
0,17 |
0,18 |
0,9 |
| 41 |
0,14 |
0,2 |
0,7 |
| 43 |
0,15 |
0,22 |
0,7 |
| 50 |
0,21 |
0,21 |
1 |
| 56 |
0,04 |
0,07 |
0,5 |
Пример 2 испытания [Антагонистический эффект на гипотермию у мыши, вызванную агонистом серотонинового 1А рецептора]
(1) Термисторный зонд вводили в прямую кишку CD-1 (ICR) мышей-самцов (25-45 г) на глубину приблизительно 2 см для измерения температуры тела мышей. При подкожном введении агониста (8-гидроксидипропиламинотетралина) серотонинового 1А рецептора с дозой 0,5 мг/кг температура тела снижается. Поскольку антагонист серотонинового 1А рецептора ингибирует такое действие, то антагонистический эффект испытуемого соединения по отношению к серотониновому 1А рецептору оценивали, используя эффект ингибирования гипотермии в качестве показателя. Результаты испытания представлены в показанной ниже таблице 4. Испытуемое вещество вводили за 15 минут до введения агониста серотонинового 1А рецептора. Неполный агонист серотонинового 1А рецептора сам снижает температуру тела в зависимости от степени его агонистического действия. Кроме того, он оказывает слабый антагонистический эффект на гипотермию у мыши, вызванную 8-гидроксидипропиламинотетралином.
(2) Результаты
Соединение по настоящему изобретению, его соль или его гидрат показали превосходный фармакологический эффект.
| Таблица 4 |
| Испытуемое вещество, соединение № |
ED50 (мг/кг, с) |
| Соединение A |
>1 |
| 1 |
0,3 |
| 2 |
0,4 |
| 3 |
0,18 |
| 4 |
0,1 |
| 5 |
0,24 |
| 6 |
0,35 |
| 7 |
0,38 |
| 8 |
0,07 |
| 9 |
0,3 |
| 20 |
0,03 |
| 22 |
0,1 |
| 24 |
0,3 |
| 25 |
0,1 |
| 26 |
0,25 |
| 27 |
0,42 |
| 28 |
0,02 |
| 30 |
0,62 |
| 31 |
0,04 |
| 32 |
0,04 |
| 33 |
0,12 |
| 34 |
0,37 |
| 35 |
0,2 |
| 36 |
0,2 |
| 38 |
0,19 |
| 44 |
0,41 |
| 45 |
0,26 |
| 46 |
0,3 |
| 47 |
0,21 |
| 48 |
0,06 |
| 49 |
0,28 |
| 51 |
0,66 |
| 52 |
0,5 |
| 53 |
0,3 |
| 54 |
0,84 |
| 57 |
0,1 |
| 58 |
0,53 |
| 59 |
0,3 |
| 60 |
0,52 |
Пример 3 испытания [Ингибирующее действие на усиленное рефлекторное мочеиспускание у крысы вследствие разрушения ее верхнего холмика]
(1) В данном испытании использовали крыс-самок линии Sprague-Dawley (200-350 г). Крысам делали срединный разрез живота под анестезией. После этого в передней части мочевого пузыря делали небольшого диаметра отверстие, в которое вставляли катетер, используемый для измерения внутрипузырного давления. В бедренную вену помещали катетер, используемый для введения испытуемого вещества. Указанные катетеры фиксировали в затылочной зоне через подкожный слой. Спустя день измеряли мочеиспускательный рефлекс крыс, используя цистометрограмму. После этого крыс фиксировали на аппарате для стереотаксиса головного мозга под анестезией и затем делали разрез скальпа по линии симметрии. Далее с помощью зубной дрели делали отверстие в черепе в верхней части верхнего холмика в соответствии с координатой диаграммы головного мозга. Затем через отверстие вводили в верхний холмик микроэлектрод (диаметр: 0,7 мм; длина 1,5 мм) “legion” генератора. После этого подавали электрический ток (65°С, 4 минуты) для повреждения тканей головного мозга. По окончании операции, когда крыса выходила из состояния анестезии, опять делали цистометрограмму, чтобы подтвердить усиление мочеиспускательного рефлекса. Через катетер, введенный в бедренную вену, вводили испытуемое вещество и оценивали действие испытуемого вещества на мочеиспускательный рефлекс. Кроме того, сравнивали эффекты нескольких испытуемых веществ, используя максимальную реакцию (Emax). Результаты показаны в таблице 5.
(2) Результаты
Соединение по настоящему изобретению, его соль или его гидрат показали превосходные фармакологические эффекты.
| Таблица 5 |
| Испытуемое вещество № |
Доза (мг/кг, внутривенно) |
Емкость мочевого пузыря Emax (%) |
| Соедиение A |
0,01 |
-36 |
| 3 |
0,03 |
62 |
| 4 |
0,03 |
107 |
| 20 |
0,3 |
94 |
Пример 4 испытания [Эффект регуляции нарушения памяти, индуцированного с помощью 8-OH-DPAT, у крыс]
(1) Крыс-самцов линии Sprague-Dawley (130-200 г) вскармливали в отдельной клетке и использовали в данном испытании. Для стимуляции аппетита массу тела крыс снижали голоданием до приблизительно 80% от первоначальной массы. После этого увеличение массы тела непрерывно подавляли путем ограниченного питания. Для испытания лабиринтом использовали каскадный 8-лучевой радиальный лабиринт (длина диагонали центральной платформы: 34 см, длина луча: 60 см, ширина луча 12 см). Чтобы дать крысам возможность запомнить местонахождение приманок, помещенных в лучах, крыс оставляли на платформе лабиринта, где приманки были размещены на концах 4 заданных лучей. После этого крыс держали в лабиринте в течение некоторого периода времени или до тех пор, пока они не съедали все приманки. Указанную тренировку проводили 1-3 раза в день. Крыс, достаточно обученных, подвергали следующему эксперименту. Крысам вводили подкожно растворитель или испытуемое вещество. Спустя двадцать минут им вводили подкожно 0,5 мг/кг 8-OH-DPAT. Затем, через 20 минут, проводили испытание в лабиринте, такое же, как при тренировке. Стандартную ошибку памяти определяли как действие, заключающееся во вхождении в лучи, куда не были помещены приманки, а рабочую ошибку памяти определяли как действие, заключающееся во вхождении опять в лучи, где приманки находились ранее. При этом действия крыс регистрировали. Регистрировали также время, потребовавшееся крысе для нахождения всех четырех приманок. После того как крысы не находили все четыре приманки за определенный период времени, испытание прекращали и потребовавшееся время определяли как затраченное время. (Ссылка: Yoshihiro Hiraga, “Effects of scopolamine upon delayed radial-arm maze performance in rats” Folia pharmacol. Japon. 97, 351-359 (1991)). Результаты представлены в таблице 6.
(2) Результаты
Соединение по настоящему изобретению, его соль или его гидрат показали превосходный фармакологический эффект.
| Таблица 6 |
| |
Число рабочих ошибок памяти |
Число стандартных ошибок памяти |
Затраченное время (секунды) |
N |
| Растворитель (1 мл/кг, подкожно) |
7,13±1,01 |
2,63±0,63 |
371±44,8 |
8 |
| Испытуемое соединение № 20 (0,3 мг/кг, подкожно) |
0,25±0,16 |
1,50±0,57 |
52±9,9 |
8 |
| Среднее ± средняя квадратическая ошибка |
Пример 5 испытания [Оценка противотревожного эффекта испытанием мыши в светло-темном боксе]
(1) Была модифицирована методика по Belzung C., Misslin R., and Vogel E. (Reference: Behavioural effects of the benzodiazepine receptor partial agonist RO16-6028 in mice, Psychopharmacology, 97, 388-391, 1989). Данное испытание мыши в светло-темном боксе проводили в соответствии с указанной модифицированной методикой. В качестве устройства для данного испытания использовали снабженный крышкой черный акриловый бокс (темный бокс, 15 × 10 × 20 см), соединенный с белым акриловым боксом без крышки (светлый бокс, 15 × 20 × 20 см) посредством черного акрилового туннеля (10 × 7 ч 4,5 см), в результате чего был получен светло-темный бокс, в котором мышь может свободно перемещаться между темным и светлым боксами. В данном устройстве для испытания, чтобы видеть поведение мыши, передняя стенка (20 × 20 см) и задняя стенка (20 × 20 см) сделаны из прозрачного акрила. Устанавливали освещение, обеспечивающее освещенность 150 люкс на полу светлого бокса. Затем каждую из мышей-самцов C57BL (20-35 г) помещали в темный бокс и начинали испытание. В данном опыте испытуемое вещество вводили животному подкожно за 30 минут до начала испытания.
За поведением мыши наблюдали в течение 5 минут после начала испытания. Состояние, когда 4 ножки мыши находились в контакте с полом светлого бокса, определяли как пребывание в светлом месте и измеряли время пребывания мыши в светлом месте. Полученное время использовали в качестве показателя противотревожного действия. Результаты представлены в таблице 7.
(2) Результаты
Соединение по настоящему изобретению, его соль или его гидрат показали превосходный фармакологический эффект.
| Таблица 7 |
| Испытуемое вещество, соединение № 20 (мг/кг, с) |
Время пребывания в светлом месте (секунды) |
N |
| Растворитель |
39±5,5 |
7 |
| 0,03 |
46±9,4 |
7 |
| 0,1 |
67±19 |
7 |
Из представленных выше результатов видно, что соединение по настоящему изобретению, представленное формулой (I), является новым соединением, проявляет превосходные активность и эффекты как лекарственное средство и полезно в качестве нового средства для лечения или профилактики симптомов со стороны нижних мочевых путей, расстройства обучаемости или памяти или тревожного расстройства. Т.е. средство для лечения или профилактики симптомов со стороны нижних мочевых путей, расстройства обучаемости или памяти или тревожного расстройства по настоящему изобретению является лекарственным средством, которое содержит в качестве активного компонента соединение, избирательно обладающее аффинностью к 5-HT1A рецептору и обладающее также антагонистическим эффектом по отношению к указанным выше рецепторам в центральной нервной системе, его соль или его гидрат. Особенно заметные эффекты оно оказывает в лечении или профилактике симптомов, касающихся накопления мочи, таких как частое мочеиспускание, повелительный позыв к мочеиспусканию или недержание мочи.
Используемый в данном описании термин “соль” означает фармакологически приемлемую соль. Такую соль особо не ограничивают, лишь бы она была фармакологически приемлемой солью соединения, представленного общей формулой (I), содержащегося в лечебном или профилактическом средстве для симптомов со стороны нижних мочевых путей. Предпочтительные примеры такой соли могут включать соли галогенводородных кислот (например, гидрофторид, гидрохлорид, гидробромид и гидроиодид), соли неорганических кислот (например, сульфат, нитрат, перхлорат, фосфат, карбонат и бикарбонат), органические карбоксилаты (например, ацетат, оксалат, малеат, тартрат, фумарат и цитрат), органические сульфонаты (например, метансульфонат, трифторметансульфонат, этансульфонат, бензолсульфонат, толуолсульфонат и камфорсульфонат), соли аминокислот (например, аспартат и глутамат), соли четвертичных аминов, соли щелочных металлов (например, натриевая соль и калиевая соль) и соли щелочноземельных металлов (например, магниевая соль и кальциевая соль).
Средство для лечения или профилактики симптомов со стороны нижних мочевых путей по настоящему изобретению может быть изготовлено в виде лекарственных форм обычными способами. Предпочтительные лекарственные формы включают таблетку, порошок, парвулу, гранулу, таблетку с покрытием, капсулу, сироп, троше, ингалянт, суппозиторий, раствор для инъекции, мазь, глазные капли, глазную мазь, назальные капли, ушные капли, припарку и лосьон. Для изготовления лекарственных форм могут быть использованы обычно применяемые добавки. Примеры таких добавок могут включать наполнитель, связывающее вещество, смазывающее вещество, красящее вещество, корригент, а также, когда необходимо, стабилизатор, эмульгатор, усилитель адсорбции, поверхностно-активное вещество, регулятор рН, антисептик и антиоксидант. Указанное выше вещество может быть изготовлено смешиванием компонентов, обычно применяемых в качестве исходных материалов для фармацевтических препаратов, обычными способами. Примеры таких компонентов могут включать животные или растительные масла, такие как соевое масло, твердый животный жир или синтетические глицериды; углеводороды, такие как жидкий парафин, сквалан или твердый парафин; сложноэфирные масла, такие как октилдодецилмиристат или изопропилмиристат; высшие спирты, такие как цетостеариловый спирт или бегениловый спирт; силиконовые смолы; силиконовые масла, поверхностно-активные вещества, такие как полиоксиэтиленовые сложные эфиры жирных кислот, сорбитановые эфиры жирных кислот, глицериновые эфиры жирных кислот, полиоксиэтиленсорбитановые эфиры жирных кислот, полиоксиэтиленовое гидрогенизированное касторовое масло или блок-сополимер полиоксиэтилена и полиоксипропилена; водорастворимые полимеры, такие как гидроксиэтилцеллюлоза, полиакриловая кислота, карбоксивиниловый полимер, полиэтиленгликоль, поливинилпирролидон или метилцеллюлоза; низшие спирты, такие как этанол или изопропанол; многоатомные спирты, такие как глицерин, пропиленгликоль, дипропиленгликоль или сорбит; сахара, такие как глюкоза или сахароза; неорганические порошки, такие как ангидрид кремниевой кислоты, алюмосиликат магния или силикат алюминия; и дистиллированную воду. Примеры наполнителя могут включать лактозу, кукурузный крахмал, сахарозу, глюкозу, маннит, сорбит, кристаллическую целлюлозу и диоксид кремния. Примеры связывающего вещества могут включать поливиниловый спирт, простой поливиниловый эфир, метилцеллюлозу, этилцеллюлозу, аравийскую камедь, трагакант, желатин, шеллак, гидроксипропилметилцеллюлозу, гидроксипропилцеллюлозу, поливинилпирролидон, блок-сополимер полипропиленгликоля и полиоксиэтилена и меглумин. Примеры разрыхлителя могут включать крахмал, агар, желатиновый порошок, кристаллическую целлюлозу, карбонат кальция, бикарбонат натрия, цитрат кальция, декстрин, пектин и кальций-карбоксиметилцеллюллозу. Примеры смазывающего вещества могут включать стеарат магния, тальк, полиэтиленгликоль, диоксид кремния и гидрогенизированное растительное масло. В качестве красящего вещества используют продукты, разрешенные для добавления к лекарственным средствам. Примеры корригента, используемого в настоящем изобретении, могут включать порошок какао, ментол, ароматический порошок, мятное масло, борнеол и коричный порошок.
В случае, например, перорального препарата соединение в качестве активного компонента, его соль или его гидрат смешивают с наполнителем. Кроме того, при необходимости добавляют связывающее вещество, разрыхлитель, смазывающее вещество, красящее вещество, корригент или т.п. После этого из полученной смеси обычными методами изготавливают порошок, мелкие гранулы, гранулы, таблетки, таблетки с покрытием, капсулы или т.п. В случае таблеток или гранул данные препараты при необходимости подходящим образом покрывают сахаром или другими веществами. В случае сиропа или препарата для инъекции добавляют также регулятор рН, растворитель, изотонирующее вещество и, когда необходимо, солюбилизатор, стабилизатор и т.п. Затем из полученной смеси изготавливают обычными методами требуемые лекарственные формы. В случае наружного препарата метод его изготовления не ограничивают и наружный препарат может быть изготовлен обычными методами. В качестве материалов для основы в данном случае могут быть использованы различные материалы, обычно применяемые для лекарственных средств, квазилекарств, косметики или т.п. Примеры таких материалов могут включать животные и растительные масла, минеральные масла, сложноэфирные масла, воски, высшие спирты, жирные кислоты, силиконовые масла, поверхностно-активные вещества, фосфолипиды, спирты, многоатомные спирты, водорастворимые полимеры, глиновидные минералы и дистиллированную воду. Кроме того, при необходимости могут быть также добавлены рН регулятор, антиоксидант, хелатирующий агент, антисептические и противогрибковые средства, красящее вещество, отдушка или т.п. Могут быть также добавлены, когда это необходимо, компоненты, обладающие вызывающим дифференцировку действием, такие как средство, способствующее току крови, антибактериальное средство, противовоспалительное средство, активатор клеток, витамины, аминокислота, увлажнитель или кератолитическое лекарственное средство. Дозировка терапевтического или профилактического средства по настоящему изобретению различается в зависимости от степени выраженности симптомов, возраста, пола, массы тела, лекарственной формы, типа солей, конкретного вида болезни или т.п. Обычно фармацевтический препарат вводят перорально за один раз или разделенным на несколько приемов в сутки с дозой для взрослых приблизительно от 30 мкг до 10 г, предпочтительно от 100 мкг до 5 г и более предпочтительно от 100 мкг до 100 мг. При инъекционном введении препарата его вводят за один раз или разделенным на несколько инъекций в сутки с дозой для взрослых приблизительно от 30 мкг до 1 г, предпочтительно от 100 мкг до 500 мг и более предпочтительно от 100 мкг до 30 мг.
Наилучший способ осуществления изобретения
Далее настоящее изобретение описано более подробно на ссылочных примерах и примерах. Примеры даны только для иллюстративных целей и не предназначены для ограничения объема изобретения. Средство по настоящему изобретению для лечения или профилактики симптомов со стороны нижних мочевых путей является лекарственным средством, которое содержит в качестве активного компонента соединение, обладающее избирательной аффинностью к 5-HT1A рецептору, а также проявляющее антагонистический эффект по отношению к указанному рецептору в центральной нервной системе, его соль или его гидрат. Специалисты в данной области могут в максимальной степени реализовать настоящее изобретение, не только используя ссылочные примеры и примеры, описанные ниже, но и вводя различные изменения и дополнения в объем, определенный формулой изобретения в описании к данной заявке. Такие изменения и дополнения включены в объем формулы изобретения в описании к данной заявке.
ПРИМЕРЫ
Пример 1 получения
Синтез 1-(пиперидин-4-ил)-1H-индол-6-карбоксамида

(1) Синтез метил 1-(1-бензилоксикарбонилпиперидин-4-ил)-1H-индол-6-карбоксилата
44,3 г Метил 3-амино-4-(2,2-диметоксиэтил)бензоата, синтезированного в соответствии с публикацией (Tetrahedron Letters, Vol. 37, No. 34, pp. 6045-6048), и 64,9 г бензил 4-оксо-1-пиперидинкарбоксилата растворяли в 485 мл уксусной кислоты с последующим перемешиванием при комнатной температуре. Приблизительно через 20 минут к реакционному раствору добавляли 58,9 г триацетоксиборгидрида натрия. Затем реакционный раствор еще перемешивали в течение 2 часов. После этого к реакционному раствору добавляли 485 мл воды и полученную смесь нагревали до температуры от 100°С до 115°C. Приблизительно через 3 часа реакционный раствор охлаждали и затем концентрировали при пониженном давлении. После этого к остатку добавляли воду и этилацетат, чтобы отделить органический слой. Полученный органический слой промывали насыщенным водным раствором бикарбоната натрия и насыщенным раствором хлорида натрия и сушили над безводным сульфатом магния. После удаления фильтрованием осушителя органический слой концентрировали при пониженном давлении и остаток затем очищали хроматографией на колонке с NH силикагелем (гексан/этилацетат). Полученное твердое вещество суспендировали в смешанном растворителе, состоящем из гексана и трет-бутилметилового эфира, после чего раствор фильтровали с получением 64,6 г требуемого соединения.
1H-ЯМР (CDCl3) 1,80-2,05 (м, 2H), 2,05-2,23 (м, 2H), 2,92-3,15 (м, 2H), 3,96 (с, 3H), 4,30-4,60 (м, 3H), 5,18 (с, 2H), 6,58 (дд, J=0,4, 2,8 Гц, 1H), 7,30-7,45 (м, 6H), 7,64 (дд, J=0,4, 8,4 Гц, 1H), 7,80 (дд, J=1,6, 8,4 Гц, 1H), 8,14 (с, 1H).
(2) Синтез 1-(1-бензилоксикарбонилпиперидин-4-ил)-1H-индол-6-карбоновой кислоты
90,0 г Метил 1-(1-бензилоксикарбонилпиперидин-4-ил)-1H-индол-6-карбоксилата растворяли в смешанном растворе, состоящем из 760 мл метанола и 200 мл тетрагидрофурана. После этого к реакционному раствору добавляли 92 мл 5 н. водного раствора гидроксида натрия и смесь затем нагревали до температуры от 60°С до 70°C. По окончании реакции реакционный раствор охлаждали и добавляли к нему 65,0 г аммонийхлорида с последующим концентрированием при пониженном давлении. К остатку добавляли 5% водный раствор KHSO4, чтобы довести pH до 5-6, с последующим экстрагированием этилацетатом. Органический слой промывали водой и насыщенным раствором хлорида натрия и затем сушили над безводным сульфатом магния. После удаления фильтрованием осушителя органический слой концентрировали при пониженном давлении. После отверждения остатка его собирали из смешанного растворителя, состоящего из гексана и трет-бутилметилового эфира, фильтрованием с получением 75,6 г требуемого соединения.
1H-ЯМР (CDCl3) 1,80-2,04 (м, 2H), 2,06-2,21 (м, 2H), 2,94-3,16 (м, 2H), 4,30-4,58 (м, 3H), 5,19 (с, 2H), 6,60 (дд, J=0,8, 3,6 Гц, 1H), 7,30-7,44 (м, 6H), 7,68 (дд, J=0,8, 8,4 Гц, 1H), 7,88 (дд, J=1,6, 8,4 Гц, 1H), 8,22 (с, 1H).
(3) Синтез бензил 4-(6-карбамоил-1H-индол-1-ил)пиперидин-1-карбоксилата
75,0 г 1-(1-Бензилоксикарбонилпиперидин-4-ил)-1H-индол-6-карбоновой кислоты растворяли в 620 мл тетрагидрофурана. После этого к раствору добавляли 38,6 г 1,1′-карбонилбис-1H-имидазола. Реакционный раствор перемешивали при комнатной температуре в течение 1,5 часов и добавляли к нему 134 мл 28% водного раствора аммиака. По окончании реакции реакционный раствор концентрировали при пониженном давлении и затем экстрагировали этилацетатом. Полученный органический слой промывали насыщенным раствором хлорида натрия и насыщенным водным раствором хлорида аммония. К отделенному органическому слою добавляли тетрагидрофуран и в полученной смеси растворяли частично затвердевшее требуемое соединение с последующей сушкой над безводным сульфатом магния. После удаления фильтрованием осушителя органический слой концентрировали при пониженном давлении. Отвердевшее требуемое соединение собирали фильтрованием. Собранное при этом требуемое соединение суспендировали в тетрагидрофуране и смесь нагревали с последующим фильтрованием. Собранное при этом требуемое соединение затем суспендировали в смешанном растворителе, состоящем из тетрагидрофурана и метанола, и полученную смесь нагревали с последующим фильтрованием. Образовавшиеся фильтраты объединяли и концентрировали и так же, как описано выше, получали требуемое соединение. Общее количество требуемого соединения составляло 64,8 г.
1H-ЯМР (CDCl3) 1,93 (ушир.с, 2H), 2,04-2,18 (м, 2H), 3,02 (ушир.с, 2H), 4,26-4,60 (м, 3H), 5,18 (с, 2H), 6,58 (дд, J=0,8, 3,2 Гц, 1H), 7,28-7,44 (м, 7H), 7,65 (дд, J=0,4, 8,4 Гц, 1H), 8,10 (с, 1H).
(4) Синтез 1-(пиперидин-4-ил)-1H-индол-6-карбоксамида
43 г Бензил 4-(6-карбамоил-1H-индол-1-ил)пиперидин-1-карбоксилата суспендировали в смешанном растворе, состоящем из 400 мл метанола и 600 мл тетрагидрофурана. После этого к суспензии добавляли 3,3 г 10% палладия-на-углероде. Указанную суспензию заменяли водородом с последующим перемешиванием при комнатной температуре. По окончании реакции 10% палладий-на-углероде отфильтровывали из реакционного раствора, после чего реакционный раствор концентрировали при пониженном давлении. К остатку добавляли тетрагидрофуран и полученную смесь опять концентрировали при пониженном давлении. К образовавшемуся остатку добавляли тетрагидрофуран с последующим перемешиванием для отверждения требуемого соединения. После этого к смеси добавляли тетрагидрофуран и простой эфир с последующим охлаждением на льду. Отвердевшее требуемое соединение собирали фильтрованием. Полученный фильтрат концентрировали и так же, как описано выше, получали требуемое соединение. Общее количество требуемого соединения составляло 25,2 г.
1H-ЯМР (CDCl3) 1,88-2,02 (м, 2H), 2,06-2,16 (м, 2H), 2,80-2,92 (м, 2H), 3,22-3,32 (м, 2H), 4,46 (тт, J=4,0, 12,0 Гц 1H), 6,58 (дд, J=0,8, 3,2 Гц, 1H), 7,36-7,44 (м, 2H), 7,65 (д, J=8,4 Гц, 1H), 8,11 (с, 1H).
Пример 2 получения
Синтез N-метил-1-(пиперидин-4-ил)-1H-индол-6-карбоксамида

(1) Синтез N-метил-1-(1-бензилоксикарбонилпиперидин-4-ил)-1H-индол-6-карбоксамида
2,00 г 1-(1-Бензилоксикарбонилпиперидин-4-ил)-1H-индол-6-карбоновой кислоты растворяли в 20 мл тетрагидрофурана и затем к раствору добавляли 1,03 г 1,1′-карбонилбис-1H-имидазола. Полученную смесь перемешивали при комнатной температуре в течение 1,5 часов и добавляли к ней 4,11 мл 40% водного раствора метиламина. По окончании реакции реакционный раствор экстрагировали этилацетатом. Органический слой промывали насыщенным водным раствором бикарбоната натрия, насыщенным водным раствором хлорида аммония и насыщенным раствором хлорида натрия. После этого органический слой сушили над безводным сульфатом магния. После удаления фильтрованием осушителя органический слой концентрировали при пониженном давлении и остаток затем очищали хроматографией на колонке с NH силикагелем (этилацетат) и хроматографией на колонке с силикагелем (гексан/этилацетат) с получением 1,77 г требуемого соединения.
1H-ЯМР (CDCl3) 1,80-2,00 (м, 2H), 2,03-2,17 (м, 2H), 2,90-3,10 (м, 2H), 3,06 (д, J=4,8 Гц, 3H), 4,30-4,58 (м, 3H), 5,16 (с, 2H), 6,21 (ушир.с, 1H), 6,55 (дд, J=0,8, 3,2 Гц, 1H), 7,27 (д, J=3,6 Гц, 1H), 7,28-7,40 (м, 6H), 7,61 (дд, J=0,8, 8,0 Гц, 1H), 8,03 (с, 1H).
(2) Синтез N-метил-1-(пиперидин-4-ил)-1H-индол-6-карбоксамида
1,77 г N-метил-1-(1-бензилоксикарбонилпиперидин-4-ил)-1H-индол-6-карбоксамида растворяли в 30 мл метанола. Затем к полученному раствору добавляли 200 мг 10% палладия-на-углероде. Атмосферу в реакционном сосуде заменяли водородом с последующим перемешиванием реакционной смеси при комнатной температуре. По окончании реакции 10% палладия-на-углероде отфильтровывали из реакционного раствора, после чего реакционный раствор концентрировали при пониженном давлении. Остаток очищали хроматографией на колонке с NH силикагелем (этилацетат/метанол) с последующим отверждением из смешанного раствора, состоящего из этилацетата, трет-бутилметилового эфира и метанола, с получением 973 мг требуемого соединения.
1H-ЯМР (CDCl3) 1,86-1,99 (м, 2H), 2,06-2,14 (м, 2H), 2,84 (дт, J=2,4, 12,4 Гц, 2H), 3,06 (д, J=4,8 Гц, 3H), 3,22-3,30 (м, 2H), 4,44 (тт, J=4,0, 12,0 Гц, 1H), 6,24 (ушир.с, 1H), 6,54 (дд, J=0,8, 3,2 Гц, 1H), 7,32-7,36 (м, 2H), 7,61 (дд, J=0,4, 8,4 Гц, 1H), 8,04 (с, 1H).
Пример 3 получения
Синтез 3-амино-4-(2,2-диметоксиэтил)бензамида

(1) Синтез 3-нитро-4-метилбензамид
20,0 г 3-Нитро-4-метилбензойной кислоты растворяли в 400 мл тетрагидрофурана. После этого к раствору добавляли 21,5 г 1,1′-карбонилдиимидазола и 0,1 мл диметилформамида. Полученную смесь перемешивали в течение 45 минут. После этого добавляли к ней 20 мл 28% водного раствора аммиака с последующим перемешиванием при комнатной температуре в течение 24 часов. По окончании реакции реакционный раствор концентрировали при пониженном давлении и остаток разделяли между 600 мл этилацетата и 200 мл воды. Органический слой отделяли и затем промывали 200 мл 2 н. хлороводородной кислоты, 100 мл воды, 100 мл насыщенного водного раствора бикарбоната натрия и 100 мл насыщенного раствора хлорида натрия. Затем его сушили над безводным сульфатом магния. После удаления фильтрованием осушителя фильтрат концентрировали при пониженном давлении с получением 19,5 г требуемого соединения.
1H-ЯМР (CDCl3) 2,67 (с, 3H), 7,47 (д, J=7,6 Гц 1H), 7,98 (дд, J=2,0 Гц, 1H), 8,40 (д, J=2,0 Гц, 1H).
(2) Синтез 3-амино-4-(2,2-диметоксиэтил)бензамида
19,5 г 3-Нитро-4-метилбензамида и 30 г диметилового ацеталя диметилформамида растворяли в 200 мл диметилформамида. Полученную смесь перемешивали при 140°C в течение 20 часов. Затем смесь концентрировали при пониженном давлении. После этого к остатку добавляли 360 мл метанола и 25 г хлортриметилсилана. Полученный раствор кипятили с обратным холодильником в течение 16 часов. Реакционный раствор охлаждали и затем концентрировали при пониженном давлении. К остатку добавляли воду и этилацетат, чтобы отделить органический слой. Органический слой отделяли и затем промывали насыщенным водным раствором бикарбоната натрия и насыщенным раствором хлорида натрия. Затем его сушили над безводным сульфатом магния. Смесь фильтровали через 100 г слой силикагеля и затем промывали этилацетатом. После этого фильтрат концентрировали при пониженном давлении. Добавляли 0,9 г 10% палладия-на-углероде к 150 мл метанолового раствора, содержащего полученный неочищенный продукт, и смесь интенсивно перемешивали в атмосфере водорода. По окончании реакции катализатор удаляли фильтрованием и фильтрат концентрировали при пониженном давлении. Полученный остаток очищали хроматографией на колонке с NH силикагелем (гексан/этилацетат) с получением 11,5 г требуемого соединения.
1H-ЯМР (CDCl3) 2,90 (д, J=5,2 Гц, 2H), 3,38 (с, 6H), 4,16-4,24 (ушир., 2H), 4,99 (т, J=5,2 Гц, 3H), 5,52-5,67 (ушир., 1H), 5,93-6,10 (ушир., 1H), 7,07 (дд, J=1,6, 7,6 Гц, 1H), 7,10 (д, J=7,6 Гц, 1H), 7,18 (д, J=1,6 Гц, 1H).
Пример 1
Синтез 1-{1-[2-(6-метокси-3-метилбенз[d]изоксазол-7-ил)этил]пиперидин-4-ил}-1H-индол-6-карбоксамида

(1) 2′-Аллилокси-4′-метоксиацетофенон
5,00 г 2′-Гидрокси-4′-метоксиацетофенона растворяли в 40 мл N,N-диметилформамида при комнатной температуре. После этого к реакционному раствору последовательно добавляли 4,16 г карбоната калия и 2,80 мл аллилбромида. Убедившись в исчезновении материалов, к реакционному раствору добавляли воду и этилацетат, чтобы отделить органический слой. Полученный органический слой промывали водой и насыщенным водным раствором хлорида натрия и затем сушили над безводным сульфатом магния. После удаления фильтрованием осушителя органический слой концентрировали при пониженном давлении и затем остаток очищали хроматографией на колонке с силикагелем (гексан/этилацетат) с получением 5,60 г требуемого соединения.
1H-ЯМР (CDCl3) (м.д.): 2,61 (с, 3H), 3,84 (с, 3H), 4,60-4,65 (м, 2H), 5,30-5,37 (м, 1H), 5,41-5,49 (м, 1H), 6,01-6,18 (м, 1H), 6,44 (д, J=2,4 Гц, 1H), 6,53 (дд, J=2,4, 8,8 Гц, 1H), 7,84 (д, J=8,8 Гц, 1H).
(2) 3′-Аллил-2′-гидрокси-4′-метоксиацетофенон и 5′-аллил-2′-гидрокси-4′-метоксиацетофенон
5,60 г 2′-Аллилокси-4′-метоксиацетофенона растворяли в 10 мл N,N-диэтиланилина. Реакционный раствор нагревали при кипячении с обратным холодильником в атмосфере азота. Приблизительно через 6 часов реакционный раствор ставили охлаждаться и затем к остатку добавляли воду и этилацетат, чтобы отделить органический слой. Полученный органический слой промывали 5 н. хлороводородной кислотой и насыщенным водным раствором хлорида натрия и затем сушили над безводным сульфатом магния. После удаления фильтрованием осушителя органический слой концентрировали при пониженном давлении и затем остаток очищали хроматографией на колонке с силикагелем (гексан/этилацетат) с получением 3,37 г 3′-аллил-2′-гидрокси-4′-метоксиацетофенона и 1,07 г 5′-аллил-2′-гидрокси-4′-метоксиацетофенона.
3′-Аллил-2′-гидрокси-4′-метоксиацетофенон
1H-ЯМР (CDCl3) (м.д.): 2,57 (с, 3H), 3,35-3,50 (м, 2H), 3,89 (с, 3H), 4,90-5,05 (м, 2H), 5,85-6,05 (м, 1H), 6,48 (д, J=8,8 Гц, 1H), 7,64 (д, J=8,8 Гц, 1H), 12,8 (с, 1H).
5′-Аллил-2′-гидрокси-4′-метоксиацетофенон
1H-ЯМР (CDCl3) (м.д.): 2,55 (с, 3H), 3,24-3,32 (м, 2H), 3,86 (с, 3H), 5,01-5,10 (м, 2H), 5,90-6,04 (м, 1H), 6,41 (с, 1H), 7,42 (с, 1H), 12,7 (с, 1H).
(3) 7-Аллил-6-метокси-3-метилбензо[d]изоксазол
3,37 г 3′-Аллил-2′-гидрокси-4′-метоксиацетофенона растворяли в 55 мл этанола. После этого к реакционному раствору последовательно добавляли 2,61 г гидроксиламингидрохлорида, 3,21 г ацетата натрия и 13 мл воды. Реакционный раствор нагревали при кипячении с обратным холодильником в течение приблизительно 3,5 часов. После этого 1,30 г гидроксиламингидрохлорида и 1,6 г ацетата натрия растворяли в 6 мл воды и полученный раствор добавляли к реакционному раствору. Полученный при этом реакционный раствор еще нагревали при кипячении с обратным холодильником. Убедившись в исчезновении материалов, к остатку добавляли воду и этилацетат, чтобы отделить органический слой. Полученный органический слой промывали водой и насыщенным водным раствором хлорида натрия и затем сушили над безводным сульфатом магния. После удаления фильтрованием осушителя органический слой концентрировали при пониженном давлении с получением 3,48 г неочищенного производного оксима. Полученное производное оксима и 6,95 г трифенилфосфина растворяли в 150 мл тетрагидрофурана (ТГФ) и полученный раствор охлаждали на льду. После этого к раствору добавляли по каплям 5,22 мл диизопропилазодикарбоксилата, растворенного в 75 мл ТГФ. По окончании капания реакционный раствор подогревали до комнатной температуры, после чего перемешивали в течение приблизительно 15 часов. Реакционный раствор концентрировали при пониженном давлении и затем остаток очищали хроматографией на колонке с силикагелем (гексан/этилацетат) с получением 1,30 г требуемого соединения.
1H-ЯМР (CDCl3) (м.д.): 2,53 (с, 3H), 3,62-3,68 (м, 2H), 3,93 (с, 3H), 4,97-5,13 (м, 2H), 5,92-6,10 (м, 1H), 6,95 (д, J=8,8 Гц, 1H), 7,42 (д, J=8,8 Гц, 1H).
(4) 1-{1-[2-(6-метокси-3-метилбенз[d]изоксазол-7-ил)этил]пиперидин-4-ил}-1H-индол-6-карбоксамид
1,00 г AD-mix- (здесь и далее изготовитель Aldrich) растворяли в 5 мл трет-бутанола и 5 мл воды. После этого к раствору добавляли 180 мг 7-аллил-6-метокси-3-метилбензо[d]изоксазола, растворенного в 2 мл трет-бутанола. Реакционный раствор перемешивали при комнатной температуре. Убедившись в исчезновении материалов, к реакционному раствору добавляли 1,20 г сульфита натрия и полученную смесь перемешивали в течение приблизительно 3 часов. К реакционному раствору добавляли воду и этилацетат, чтобы отделить органический слой. Полученный органический слой промывали насыщенным водным раствором хлорида натрия и затем сушили над безводным сульфатом магния. После удаления фильтрованием осушителя органический слой концентрировали при пониженном давлении с получением 176 мг неочищенного производного диола. 176 мг полученного производного диола растворяли в 9 мл тетрагидрофурана и 3 мл воды и затем к полученному раствору добавляли 261 мг метапериодата натрия. Полученную смесь энергично перемешивали. Убедившись в исчезновении материалов, к реакционному раствору добавляли воду и этилацетат, чтобы отделить органический слой. Полученный органический слой промывали насыщенным водным раствором хлорида натрия и затем сушили над безводным сульфатом магния. После удаления фильтрованием осушителя органический слой концентрировали при пониженном давлении с получением 121 мг неочищенного производного альдегида.
121 мг полученного выше производного альдегида, растворенного в 2 мл дихлорметана и 57 мкл уксусной кислоты, последовательно добавляли к 4 мл дихлорметана, содержащего 122 мг 1-(пиперидин-4-ил)-1H-индол-6-карбоксамида. Реакционный раствор затем перемешивали в течение 5 минут. После этого к реакционному раствору добавляли 159 мг триацетоксиборгидрида натрия и смесь затем перемешивали при комнатной температуре в течение 8 часов. После этого к реакционному раствору добавляли 5 н. HaOH, насыщенный водный раствор хлорида натрия и хлороформ, чтобы отделить органический слой. Полученный органический слой промывали насыщенным водным раствором хлорида натрия и затем сушили над безводным сульфатом магния. После удаления фильтрованием осушителя органический слой концентрировали при пониженном давлении и остаток очищали хроматографией на колонке с NH силикагелем (этилацетат) с получением 100 мг требуемого соединения.
1H-ЯМР (CDCl3) (м.д.): 2,06-2,16 (м, 4H), 2,28-2,39 (м, 2H), 2,54 (с, 3H), 2,70-2,78 (м, 2H), 3,11-3,19 (м, 2H), 3,23-3,31 (м, 2H), 3,95 (с, 3H), 4,34-4,46 (м, 1H), 6,56 (д, J=3,2 Гц, 1H), 6,95 (д, J=8,4 Гц, 1H), 7,38-7,45 (м, 3H), 7,64 (д, J=8,4 Гц, 1H), 8,09 (с, 1H).
Пример 2
Синтез 1-{1-[2-(6-метокси-3-метилбензо[d]изоксазол-5-ил)этил]пиперидин-4-ил}-1H-индол-6-карбоксамида

Требуемое соединение синтезировали, используя 5′-аллил-2′-гидрокси-4′-метоксиацетофенон в качестве исходного материала, способами, описанными в примере 1, (3)-(4).
1H-ЯМР (CDCl3) (м.д.): 2,08-2,18 (м, 4H), 2,26-2,36 (м, 2H), 2,54 (с, 3H), 2,62-2,70 (м, 2H), 2,90-2,99 (м, 2H), 3,18-3,28 (м, 2H), 3,93 (с, 3H), 4,36-4,48 (м, 1H), 6,58 (д, J=3,2 Гц, 1H), 6,97 (с, 1H), 7,35 (с, 1H), 7,38-7,44 (м, 2H), 7,65 (д, J=8,4 Гц, 1H), 8,13 (с, 1H).
Пример 3
Синтез 1-{1-[2-(6-метокси-2-метилбензоксазол-7-ил)этил]пиперидин-4-ил}-1H-индол-6-карбоксамида

(1) 2-Аллилокси-4-метоксинитробензол
1,88 г 5-Метокси-2-нитрофенол растворяли в 20 мл N,N-диметилформамида. После этого к реакционному раствору последовательно добавляли 1,53 г карбоната калия и 1,03 мл аллилбромида. Убедившись в исчезновении материалов, к реакционному раствору добавляли воду и этилацетат, чтобы отделить органический слой. Полученный органический слой промывали водой и насыщенным раствором хлорида натрия и затем сушили над безводным сульфатом магния. После удаления фильтрованием осушителя органический слой концентрировали при пониженном давлении и затем остаток очищали хроматографией на колонке с силикагелем (гексан/этилацетат) с получением 2,09 г требуемого соединения.
1H-ЯМР (CDCl3) (м.д.): 3,87 (с, 3H), 4,62-4,70 (м, 2H), 5,30-5,38 (м, 1H), 5,50-5,58 (м, 1H), 6,00-6,12 (м, 1H), 6,48-6,56 (м, 2H), 8,00 (д, J=9,6 Гц, 1H).
(2) 2-Аллилокси-4-метоксианилин
2,09 г 2-Аллилокси-4-метоксинитробензола растворяли в 20 мл этанола, 5 мл ТГФ и 4 мл воды. После этого к реакционному раствору добавляли 4,27 г аммонийхлорида и 2,23 г железа и полученную смесь перемешивали при нагревании при 80°C в течение 4 часов. После этого к реакционному раствору добавляли 2 г аммонийхлорида, 1 г железа и 0,25 мл 5 н. HCl и полученную смесь еще перемешивали при нагревании в течение приблизительно 2 часов. Реакционный раствор ставили охлаждаться и затем фильтровали через целит. Добавляли насыщенный водный раствор бикарбоната натрия и этилацетат, чтобы отделить органический слой. Полученный органический слой промывали насыщенным раствором хлорида натрия и затем сушили над безводным сульфатом магния. После удаления фильтрованием осушителя органический слой концентрировали при пониженном давлении и затем остаток очищали хроматографией на колонке с NH силикагелем (гексан/этилацетат) с получением 1,09 г требуемого соединения.
1H-ЯМР (CDCl3) (м.д.): 3,74 (с, 3H), 4,52-4,58 (м, 2H), 5,25-5,32 (м, 1H), 5,37-5,46 (м, 1H), 6,01-6,12 (м, 1H), 6,36 (дд, J=2,4, 8,4 Гц, 1H), 6,46 (д, J=2,4 Гц, 1H), 6,66 (д, J=8,4 Гц, 1H).
(3) 2′-Аллилокси-4′-метоксиацетанилид
3 мг 4-(Диметиламино)пиридина и 1 мл уксусного ангидрида последовательно добавляли к 2 мл пиридина, содержащего 1,09 г 2-аллилокси-4-метоксианилина, и реакционный раствор затем перемешивали при комнатной температуре. Убедившись в исчезновении исходного материала, к реакционному раствору добавляли 5 н. HCl и этилацетат, чтобы отделить органический слой. Полученный органический слой промывали насыщенным раствором хлорида натрия и затем сушили над безводным сульфатом магния. После удаления фильтрованием осушителя органический слой концентрировали при пониженном давлении. Остаток затем отверждали из смеси трет-бутилметиловый эфир-гексан с получением 1,04 г требуемого соединения.
1H-ЯМР (CDCl3) (м.д.): 2,18 (с, 3H), 3,78 (с, 3H), 4,54-4,62 (м, 2H), 5,30-5,45 (м, 2H), 6,00-6,12 (м, 1H), 6,45-6,52 (м, 2H), 7,54 (ушир.д-с, 1H), 8,22 (д, J=9,6 Гц, 1H).
(4) 7-Аллил-6-метокси-2-метилбензоксазол
1,04 г 2′-аллилокси-4′-метоксиацетанилид растворяли в 20 мл 1-метил-2-пирролидона. Реакционный раствор затем перемешивали при нагревании при 190°C в атмосфере азота. Через восемь часов реакционный раствор ставили охлаждаться. После этого к реакционному раствору добавляли воду и этилацетат, чтобы отделить органический слой. Полученный органический слой промывали насыщенным раствором хлорида натрия и затем сушили над безводным сульфатом магния. После удаления фильтрованием осушителя органический слой концентрировали при пониженном давлении с получением продукта (1,01 г). Полученный продукт растворяли в 20 мл уксусной кислоты без очистки и полученный раствор перемешивали при нагревании при 135°C. По окончании реакции реакционный раствор ставили охлаждаться. После этого растворитель концентрировали при пониженном давлении. К остатку добавляли 5 н. NaOH и этилацетат, чтобы отделить органический слой. Полученный органический слой промывали насыщенным раствором хлорида натрия и затем сушили над безводным сульфатом магния. После удаления фильтрованием осушителя органический слой концентрировали при пониженном давлении. Остаток затем очищали хроматографией на колонке с силикагелем (гексан/этилацетат) с получением 371 мг требуемого соединения.
1H-ЯМР (CDCl3) (м.д.): 2,60 (с, 3H), 3,55-3,65 (м, 2H), 3,88 (с, 3H), 4,95-5,10 (м, 2H), 5,95-6,10 (м, 1H), 6,89 (д, J=8,8 Гц, 1H), 7,43 (д, J=8,8 Гц, 1H).
(5) 1-{1-[2-(6-метокси-2-метилбензоксазол-7-ил)этил]пиперидин-4-ил}-1H-индол-6-карбоксамид
Требуемое соединение получали из 7-аллил-6-метокси-2-метилбензоксазола примера 3, (4), способом, описанным в примере 1, (4).
1H-ЯМР (CDCl3) (м.д.): 2,06-2,18 (м, 4H), 2,28-2,40 (м, 2H), 2,62 (с, 3H), 2,68-2,77 (м, 2H), 3,06-3,16 (м, 2H), 3,22-3,32 (м, 2H), 3,90 (с, 3H), 4,34-4,47 (м, 1H), 6,58 (дд, J=0,6, 3,2 Гц, 1H), 6,88 (д, J=8,4 Гц, 1H), 7,38-7,46 (м, 3H), 7,67 (д, J=8,4 Гц, 1H), 8,12 (с, 1H).
Пример 4
Синтез 1-{1-[2-(6-метокси-2-метилбензоксазол-5-ил)этил]пиперидин-4-ил}-1H-индол-6-карбоксамида


(1) 4′-Метокси-2′-(3-метил-2-бутенил)оксиацетофенон
20,7 г Карбоната калия и 23,2 мл 1-бром-3-метил-2-бутена последовательно добавляли к 300 мл ацетона, содержащего 25 г 2′-гидрокси-4′-метоксиацетофенона. Реакционный раствор затем нагревали при кипячении с обратным холодильником. Приблизительно через 6 часов к раствору еще добавляли 4,14 г карбоната калия и 4,63 мл 1-бром-3-метил-2-бутена и полученную смесь нагревали при кипячении с обратным холодильником. Приблизительно через 34 часа реакционный раствор ставили охлаждаться и затем фильтровали его через целит. Фильтрат концентрировали при пониженном давлении и затем остаток очищали хроматографией на колонке с силикагелем (гексан/этилацетат) с получением требуемого соединения. Еще проводили реакцию с использованием 2′-гидрокси-4′-метоксиацетофенона (25 г × 2 раза) при описанных выше условиях. Общее количество требуемого соединения составляло 98,7 г.
1H-ЯМР (CDCl3) (м.д.): 1,76 (д, J=0,8 Гц, 3H), 1,81 (д, J=0,8 Гц, 3H), 2,58 (с, 3H), 3,85 (с, 3H), 4,59 (д, J=6,8 Гц, 2H), 5,47-5,55 (м, 1H), 6,45 (д, J=2,4 Гц, 1H), 6,51 (дд, J=2,4, 8,8 Гц, 1H), 7,84 (д, J=8,8 Гц, 1H).
(2) 2′-Гидрокси-4′-метокси-5′-(3-метил-2-бутенил)ацетофенон
49,2 г 4′-Метокси-2′-(3-метил-2-бутенил)оксиацетофенона растворяли в 100 мл N,N-диэтиланилина. Реакционный раствор кипятили с обратным холодильником в атмосфере азота. Через 3 часа реакционный раствор ставили охлаждаться и затем добавляли к нему 5 н. хлороводородную кислоту (300 мл) и трет-бутилметиловый эфир (1000 мл), чтобы отделить органический слой. Полученный органический слой промывали 5 н. хлороводородной кислотой (300 мл × 2) и насыщенным раствором хлорида натрия (500 мл) и затем сушили над безводным сульфатом магния. После удаления фильтрованием осушителя органический слой концентрировали при пониженном давлении и затем остаток очищали хроматографией на колонке с силикагелем (гексан/этилацетат) с получением требуемого соединения. Еще проводили реакцию с использованием 4′-метокси-2′-(3-метил-2-бутенил)оксиацетофенона (49,0 г) при описанных выше условиях. Общее количество требуемого соединения составляло 74,1 г.
1H-ЯМР (CDCl3) (м.д.): 1,71 (д, J=0,8 Гц, 3H), 1,76 (д, J=1,2 Гц, 3H), 2,54 (с, 3H), 3,22 (дд, J=0,4, 7,2 Гц, 2H), 3,86 (с, 3H), 5,21-5,29 (м, 1H), 6,39 (с, 1H), 7,40 (д, J=0,8 Гц, 1H), 12,7 (с, 1H).
(3) 6-Метокси-2-метил-5-(3-метил-2-бутенил)бензоксазол
74,1 г 2′-Гидрокси-4′-метокси-5′-(3-метил-2-бутенил)ацетофенон растворяли в 900 мл этанола. После этого к раствору добавляли 56,4 г гидроксиламингидрохлорида и 69,2 г ацетата натрия, растворенного в 315 мл воды. Реакционный раствор нагревали при кипячении с обратным холодильником в течение 4 часов. После этого реакционный раствор ставили охлаждаться и затем концентрировали при пониженном давлении. К остатку добавляли насыщенный раствор хлорида натрия (500 мл) и трет-бутилметиловый эфир (1000 мл), чтобы отделить органический слой. Полученный органический слой промывали насыщенным раствором хлорида натрия (500 мл × 4) и затем сушили над безводным сульфатом магния. После удаления фильтрованием осушителя органический слой концентрировали при пониженном давлении с получением 77,4 г неочищенного производного оксима. 77,4 г полученного производного оксима растворяли в смешанном растворителе, состоящем из 225 мл ацетонитрила и 75 мл N,N-диметилацетамида. После этого к раствору добавляли по каплям 31,6 мл оксихлорида фосфора в течение приблизительно 15 минут при охлаждении на льду. По окончании добавления реакционный раствор перемешивали в течение 5 минут при охлаждении на льду и затем подогревали до комнатной температуры. Реакционный раствор затем перемешивали при комнатной температуре в течение приблизительно 50 минут. После этого реакционный раствор добавляли по каплям к перемешиваемому смешанному раствору, состоящему из 1500 мл трет-бутилметилового эфира и 1500 мл ледяной воды, в которой было растворено 56 г ацетата натрия. Полученный органический слой промывали два раза смешанным раствором, состоящим из 120 мл 2 н. раствора гидроксида натрия и 250 мл насыщенного раствора хлорида натрия, и затем еще промывали насыщенным раствором хлорида натрия (500 мл × 4 раза). После этого полученный продукт сушили над безводным сульфатом магния. После удаления фильтрованием осушителя органический слой концентрировали при пониженном давлении и затем остаток очищали хроматографией на колонке с NH силикагелем (гексан/этилацетат). Полученный продукт дополнительно очищали хроматографией на колонке с силикагелем (гексан/этилацетат) с получением 56,2 г требуемого соединения.
1H-ЯМР (CDCl3) (м.д.): 1,71 (с, 3H), 1,75 (д, J=1,2 Гц, 3H), 2,58 (с, 3H), 3,36 (дд, J=0,8, 7,2 Гц, 2H), 3,87 (с, 3H), 5,28-5,36 (м, 1H), 6,96 (с, 1H), 7,38 (с, 1H).
(4) 1-{1-[2-(6-метокси-2-метилбензоксазол-5-ил)этил]пиперидин-4-ил}-1H-индол-6-карбоксамид
37,2 г требуемого соединения получали из описанного выше 6-метокси-2-метил-5-(3-метил-2-бутенил)бензоксазола (44,7 г суммарно за 4 загрузки) способом, описанным в примере 1, (4) (но при получении диольного продукта добавляли 1 эквивалент метансульфонамида).
37,2 г указанного выше требуемого соединения перекристаллизовывали из 360 мл метанола с получением 34,1 г требуемого соединения.
1H-ЯМР (CDCl3) (м.д.): 2,00-2,24 (м, 4H), 2,24-2,40 (м, 2H), 2,60 (с, 3H), 2,62-2,76 (м, 2H), 2,86-3,02 (м, 2H), 3,14-3,32 (м, 2H), 3,89 (с, 3H), 4,34-4,46 (м, 1H), 6,57 (дд, J=0,8, 2,8 Гц, 1H), 6,99 (с, 1H), 7,36-7,47 (м, 3H), 7,65 (дд, J=0,4, 8,4 Гц, 1H), 8,12 (с, 1H).
Пример 5
Синтез 1-{1-[2-(2-этил-6-метилбензоксазол-7-ил)этил]пиперидин-4-ил}-1H-индол-6-карбоксамида

(1) 2′-Гидрокси-4′-метоксипропиофенон
6,00 г 2′,4′-Дигидроксипропиофенона растворяли в 70 мл ацетона. После этого к реакционному раствору последовательно добавляли 7,09 г карбоната калия и 3,03 мл метилиодида. Реакционный раствор затем нагревали при кипячении с обратным холодильником. Приблизительно через 3 часа реакционный раствор ставили охлаждаться и затем фильтровали. Фильтрат концентрировали при пониженном давлении. К остатку добавляли насыщенный раствор хлорида натрия и этилацетат, чтобы отделить органический слой. Полученный органический слой промывали 2 н. хлороводородной кислотой и насыщенным раствором хлорида натрия и затем сушили над безводным сульфатом магния. После удаления фильтрованием осушителя органический слой концентрировали при пониженном давлении. Остаток отверждали из смеси гексан-этилацетат с получением 5,64 г требуемого соединения.
1H-ЯМР (CDCl3) (м.д.): 1,23 (т, J=7,2 Гц, 3H), 2,95 (кв., J=7,2 Гц, 2H), 3,83 (с, 3H), 6,40-6,45 (м, 2H), 7,65 (дд, J=1,6 Гц, 8,0 Гц, 1H), 12,8 (с, 1H).
(2) 1-{1-[2-(2-Этил-6-метоксибензоксазол-7-ил)этил]пиперидин-4-ил}-1H-индол-6-карбоксамид
Требуемое соединение синтезировали, используя в качестве исходного материала 2′-гидрокси-4′-метоксипропиофенон, полученный в примере 5, (1), способами, описанными в примере 4, (1)-(4) (но вместо 1-бром-3-метил-2-бутена использовали аллилбромид и два вида изомеров, полученных последующей перегруппировкой Кляйзена (3′-аллил-2′-гидрокси-4′-метоксипропиофенон и 5′-аллил-2′-гидрокси-4′-метоксипропиофенон), были введены соответственно в соединение в примере 5 и соединение в примере 6, описанном ниже).
1H-ЯМР (CDCl3) (м.д.): 1,45 (т, J=7,6 Гц, 3H), 2,07-2,16 (м, 4H), 2,28-2,37 (м, 2H), 2,68-2,76 (м, 2H), 2,94 (кв., J=7,6 Гц, 2H), 3,06-3,14 (м, 2H), 3,22-3,31 (м, 2H), 3,89 (с, 3H), 4,35-4,46 (м, 1H), 6,57 (д, J=2,8 Гц, 1H), 6,87 (д, J=8,4 Гц, 1H), 7,37-7,42 (м, 2H), 7,44 (д, J=8,8 Гц, 1H), 7,63 (д, J=8,4 Гц, 1H), 8,10 (с, 1H).
Пример 6
Синтез 1-{1-[2-(2-этил-6-метоксибензоксазол-5-ил)этил]пиперидин-4-ил}-1H-индол-6-карбоксамида

Требуемое соединение синтезировали, используя описанный выше 5′-аллил-2′-гидрокси-4′-метоксипропиофенон в качестве исходного материала, по методике синтеза, описанной в примере 4, (3)-(4) (см. методику синтеза примера 5).
1H-ЯМР (CDCl3) (м.д.): 1,43 (т, J=7,6 Гц, 3H), 2,07-2,16 (м, 4H), 2,24-2,34 (м, 2H), 2,62-2,69 (м, 2H), 2,88-2,96 (м, 4H), 3,17-3,26 (м, 2H), 3,88 (с, 3H), 4,32-4,46 (м, 1H), 6,56 (дд, J=0,8, 3,2 Гц, 1H), 6,99 (с, 1H), 7,37-7,42 (м, 2H), 7,44 (с, 1H), 7,63 (д, J=8,4 Гц, 1H), 8,09 (с, 1H).
Пример 7
Синтез 1-{1-[2-(5-метокси-2-метилбензоксазол-4-ил)этил]пиперидин-4-ил}-1H-индол-6-карбоксамида

(1) 5-Аллилокси-2-метилбензоксазол
2,58 г 5-Гидрокси-2-метилбензоксазола (публикация: Synthesis, 1982, 68-69) растворяли в 15 мл N,N-диметилформамида и 15 мл ацетонитрила. После этого к реакционному раствору последовательно добавляли 2,39 г карбоната калия и 1,61 мл аллилбромида. Приблизительно через 6 часов к реакционному раствору добавляли воду и этилацетат, чтобы отделить органический слой. Полученный органический слой промывали водой и насыщенным раствором хлорида натрия и затем сушили над безводным сульфатом магния. После удаления фильтрованием осушителя органический слой концентрировали при пониженном давлении и затем остаток очищали хроматографией на колонке с силикагелем (гексан/этилацетат) с получением 2,78 г требуемого соединения.
1H-ЯМР (CDCl3) (м.д.): 2,61 (с, 3H), 4,53-4,58 (м, 2H), 5,26-5,32 (м, 1H), 5,39-5,46 (м, 1H), 6,01-6,12 (м, 1H), 6,90 (дд, J=2,4, 8,8 Гц, 1H), 7,14 (д, J=2,4 Гц, 1H), 7,33 (дд, J=0,4, 8,8 Гц, 1H).
(2) 4-Аллил-5-гидрокси-2-метилбензоксазол
2,78 г 5-Аллилокси-2-метилбензоксазола перемешивали при нагревании при температуре от 185°С до 190°C в атмосфере азота. Приблизительно через 5 часов реакционный раствор ставили охлаждаться. После этого к реакционному раствору добавляли для отверждения ацетонитрила с получением 1,44 г требуемого соединения.
1H-ЯМР (CDCl3) (м.д.): 2,61 (с, 3H), 3,72-3,79 (м, 2H), 5,06 (с, 1H), 5,14-5,22 (м, 2H), 6,01-6,14 (м, 1H), 6,81 (д, J=8,8 Гц, 1H), 7,21 (д, J=8,8 Гц, 1H).
(3) 4-Аллил-5-метокси-2-метилбензоксазол
1,44 г 4-Аллил-5-гидрокси-2-метилбензоксазола растворяли в 5 мл N,N-диметилформамида и 5 мл ацетонитрила. После этого к реакционному раствору последовательно добавляли 1,05 г карбоната калия и 0,55 мл метилиодида. Приблизительно через 16 часов к реакционному раствору добавляли воду и этилацетат, чтобы отделить органический слой. Полученный органический слой промывали насыщенным раствором хлорида натрия и затем сушили над безводным сульфатом магния. После удаления фильтрованием осушителя органический слой концентрировали при пониженном давлении и затем остаток очищали хроматографией на колонке с силикагелем (гексан/этилацетат) с получением 1,26 г требуемого соединения.
1H-ЯМР (CDCl3) (м.д.): 2,61 (с, 3H), 3,69-3,73 (м, 2H), 3,86 (с, 3H), 4,96-5,05 (м, 2H), 6,02-6,14 (м, 1H), 6,86 (д, J=8,8 Гц, 1H), 7,24 (д, J=8,8 Гц, 1H).
(4) 1-{1-[2-(5-метокси-2-метилбензоксазол-4-ил)этил]пиперидин-4-ил}-1H-индол-6-карбоксамид
Требуемое соединение получали из описанного выше 4-аллил-5-метокси-2-метилбензоксазола способом, описанным в примере 1, (4).
1H-ЯМР (CDCl3) (м.д.): 2,05-2,20 (м, 4H), 2,28-2,40 (м, 2H), 2,62 (с, 3H), 2,68-2,80 (м, 2H), 3,16-3,33 (м, 4H), 3,88 (с, 3H), 4,32-4,45 (м, 1H), 6,56 (д, J=3,2 Гц, 1H), 6,86 (д, J=8,8 Гц, 1H), 7,22-7,44 (м, 3H), 7,63 (д, J=8,8 Гц, 1H), 8,09 (с, 1H).
Пример 8
Синтез 1-{1-[2-(5-метокси-2-метилбензоксазол-6-ил)этил]пиперидин-4-ил}-1H-индол-6-карбоксамида

(1) 2-Амино-4-метоксифенол
10 г 4-Метокси-2-нитрофенол растворяли в 120 мл метанола и 80 мл этилацетата. После этого к реакционному раствору добавляли 800 мг 10% палладия-на-углероде с последующим проведением реакции восстановления в атмосфере водорода. По окончании реакции катализатор удаляли фильтрованием и остаток затем концентрировали при пониженном давлении. Образовавшееся твердое вещество суспендировали в смеси гексан-трет-бутилметиловый эфир и суспензию затем фильтровали с получением 7,77 г требуемого соединения.
1H-ЯМР (CDCl3) (м.д.): 3,72 (ушир.с, 5H), 4,33 (ушир.с, 1H), 6,12-6,24 (м, 1H), 6,33 (ушир.с, 1H), 6,58-6,70 (м, 1H).
(2) 2-ацетамид-4-метоксифенилацетат
2,50 г 2-Амино-4-метоксифенола и 12,5 мл триэтиламина растворяли в 50 мл тетрагидрофурана. Реакционный раствор охлаждали на льду и затем добавляли к нему по каплям 3,84 мл ацетилхлорида. После этого реакционный раствор перемешивали при комнатной температуре. По окончании реакции к реакционному раствору добавляли насыщенный раствор бикарбоната натрия и этилацетат, чтобы отделить органический слой. Полученный органический слой промывали насыщенным раствором хлорида натрия и затем сушили над безводным сульфатом магния. После удаления фильтрованием осушителя органический слой концентрировали при пониженном давлении. Остаток отверждали из смеси трет-бутилметиловый эфир-этилацетат с получением 2,30 г требуемого соединения.
1H-ЯМР (CDCl3) (м.д.): 2,18 (с, 3H), 2,35 (с, 3H), 3,80 (с, 3H), 6,64 (дд, J=2,4 Гц, 8,8 Гц, 1H), 7,01 (д, J=8,8 Гц, 1H), 7,08-7,16 (ушир.с, 1H), 7,84 (д, J=2,4 Гц, 1H).
(3) 2-ацетамид-5-бром-4-метоксифенилацетат
2,30 г 2-Ацетамид-4-метоксифенилацетата растворяли в 20 мл N,N-диметилформамида. Реакционный раствор охлаждали на льду и затем добавляли к нему 1,83 г N-бромсукцинимида, растворенного в 10 мл N,N-диметилформамида. После этого температуру реакционного раствора повышали до комнатной температуры и затем реакционный раствор перемешивали в течение 12 часов. После этого к реакционному раствору добавляли насыщенный раствор хлорида натрия и этилацетат, чтобы отделить органический слой. Полученный органический слой промывали насыщенным раствором хлорида натрия и затем сушили над безводным сульфатом магния. После удаления фильтрованием осушителя органический слой концентрировали при пониженном давлении. Остаток кристаллизовали из смеси гексан-этилацетат с получением 2,70 г требуемого соединения.
1H-ЯМР (CDCl3) (м.д.): 2,19 (с, 3H), 2,36 (с, 3H), 3,89 (с, 3H), 7,14 (ушир.с, 1H), 7,32 (с, 1H), 7,99 (с, 1H).
(4) 6-бром-5-метокси-2-метилбензоксазол
2,70 г 2-Ацетамид-5-бром-4-метоксифенилацетата растворяли в 60 мл метанола и 40 мл тетрагидрофурана. После этого к реакционному раствору добавляли 6,18 г карбоната калия и полученную смесь затем перемешивали при комнатной температуре. По окончании реакции реакционный раствор доводили до pH 2-3 добавлением 5 н. хлороводородной кислоты. После этого к реакционному раствору добавляли этилацетат, чтобы отделить органический слой. Полученный органический слой промывали насыщенным раствором хлорида натрия и затем сушили над безводным сульфатом магния. После удаления фильтрованием осушителя органический слой концентрировали при пониженном давлении с получением 2,14 г неочищенного 4′-бром-2′-гидрокси-5′-метоксиацетанилида. 2,14 г полученного, как описано выше, неочищенного 4′-бром-2′-гидрокси-5′-метоксиацетанилида растворяли в 40 мл уксусной кислоты, после чего реакционный раствор перемешивали при нагревании при 140°C. Приблизительно через 20 часов реакционный раствор ставили охлаждаться и затем концентрировали при пониженном давлении. После этого к реакционному раствору добавляли насыщенный водный раствор бикарбоната натрия и этилацетат, чтобы отделить органический слой. Полученный органический слой промывали насыщенным раствором хлорида натрия и затем сушили над безводным сульфатом магния. После удаления фильтрованием осушителя органический слой концентрировали при пониженном давлении. Остаток суспендировали в смеси метанол-трет-бутилметиловый эфир, после чего суспензию фильтровали с получением 787 мг требуемого соединения.
1H-ЯМР (CDCl3) (м.д.): 2,61 (с, 3H), 3,93 (с, 3H), 7,16 (с, 1H), 7,67 (с, 1H).
(5) 6-Аллил-5-метокси-2-метилбензоксазол
400 мг 6-бром-5-метокси-2-метилбензоксазола растворяли в 5 мл толуола. После этого к реакционному раствору последовательно добавляли 769 мкл аллилтрибутилолова и 57 мг тетракис(трифенилфосфин)палладия. Затем реакционный раствор нагревали при кипячении с обратным холодильником в атмосфере азота. Приблизительно через 14 часов реакционный раствор ставили охлаждаться и затем фильтровали через целит с последующим концентрированием при пониженном давлении. Остаток очищали хроматографией на колонке с силикагелем (гексан/этилацетат) с получением 202 мг требуемого соединения.
1H-ЯМР (CDCl3) (м.д.): 2,59 (с, 3H), 3,45 (д, J=6,4 Гц, 2H), 3,86 (с, 3H), 5,02-5,10 (м, 2H), 5,94-6,06 (м, 1H), 7,08 (с, 1H), 7,23 (с, 1H).
(6) 1-{1-[2-(5-метокси-2-метилбензоксазол-6-ил)этил]пиперидин-4-ил}-1H-индол-6-карбоксамид
Требуемое соединение получали из описанного выше 6-аллил-5-метокси-2-метилбензоксазола способом, описанным в примере 1, (4).
1H-ЯМР (CDCl3) (м.д.): 2,06-2,16 (м, 4H), 2,24-2,36 (м, 2H), 2,61 (с, 3H), 2,63-2,71 (м, 2H), 2,90-2,98 (м, 2H), 3,17-3,26 (м, 2H), 3,88 (с, 3H), 4,34-4,46 (м, 1H), 6,57 (дд, J=0,8 Гц, 3,2 Гц, 1H), 7,10 (с, 1H), 7,28 (с, 1H), 7,37-7,42 (м, 2H), 7,63 (дд, J=0,8 Гц, 8,4 Гц, 1H), 8,10 (с, 1H).
Пример 9
Синтез 1-{1-[2-(8-метокси-4-метил-5-оксо-2,3,4,5-тетрагидробензо[f][1,4]оксазепин-7-ил)этил]пиперидин-4-ил}-1H-индол-6-карбоксамида

(1) Метил 2-гидрокси-4-метокси-5-(3-метил-2-бутенил)бензоат
Требуемое соединение получали из метил 2-гидрокси-4-метоксибензоата способами, описанными в примере 4, (1)-(2).
1H-ЯМР (CDCl3) (м.д.): 1,70 (с, 3H), 1,74 (д, J=1,2 Гц, 3H), 3,20 (дд, J=0,8, 7,2 Гц, 2H), 3,84 (с, 3H), 3,90 (с, 3H), 5,20-5,28 (м, 1H), 6,41 (с, 1H), 7,51 (т, J=0,8 Гц, 1H), 10,9 (с, 1H).
(2) 8-Метокси-7-(3-метил-2-бутенил)-3,4-дигидро-2H-бенз[f][1,4]оксазепин-5-он
2,00 г Метил 2-гидрокси-4-метокси-5-(3-метил-2-бутенил)бензоата, 1,29 г N-(трет-бутоксикарбонил)-2-аминоэтанола и 2,31 г трифенилфосфина растворяли в 50 мл тетрагидрофурана. Полученную смесь охлаждали на льду. После этого к реакционному раствору добавляли 1,73 мл диизопропилазодикарбоксилата при той же самой температуре и затем температуру повышали до комнатной температуры. По окончании реакции реакционный раствор концентрировали. Остаток очищали хроматографией на колонке с NH силикагелем (гексан/этилацетат) с получением 1,54 г метил 2-(2-трет-бутоксикарбониламиноэтокси)-4-метокси-5-(3-метил-2-бутенил)бензоата. Полученный продукт растворяли в 15 мл метанола и полученную смесь охлаждали на льду. После этого к реакционному раствору добавляли 10 мл 4 н. раствора хлороводородная кислота-этилацетат. По окончании реакции реакционный раствор концентрировали при пониженном давлении. К остатку добавляли этилацетат и полученную смесь доводили до pH примерно 11 добавлением 5 н. водного раствора гидроксида натрия и насыщенного водного раствора бикарбоната натрия. Органический слой сушили над безводным сульфатом магния. После удаления фильтрованием осушителя органический слой концентрировали при пониженном давлении. 1,06 г полученный остаток растворяли в 20 мл толуола и полученный раствор нагревали при кипячении с обратным холодильником. По окончании реакции реакционный раствор концентрировали. Остаток очищали хроматографией на колонке с силикагелем (гексан/этилацетат) с получением 601 мг требуемого соединения.
1H-ЯМР (CDCl3) (м.д.): 1,70 (с, 3H), 1,72 (д, J=1,2 Гц, 3H), 3,26 (д, J=7,2 Гц, 2H), 3,48-3,55 (м, 2H), 3,84 (с, 3H), 4,35-4,41 (м, 2H), 5,25-5,32 (м, 1H), 6,44 (с, 1H), 6,47 (ушир.с, 1H), 7,80 (с, 1H).
(3) 8-Метокси-4-метил-7-(3-метил-2-бутенил)-3,4-дигидро-2H-бенз[f][1,4]оксазепин-5-он
601 мг 8-метокси-7-(3-метил-2-бутенил)-3,4-дигидро-2H-бенз[f][1,4]оксазепин-5-она растворяли в 15 мл N,N-диметилформамида. После этого к реакционному раствору добавляли 120 мг гидрида натрия. Через десять минут к реакционному раствору добавляли 215 мкл метилиодида и полученную смесь затем перемешивали при комнатной температуре. По окончании реакции к реакционному раствору добавляли насыщенный водный раствор хлорида аммония и этилацетат, чтобы отделить органический слой. Органический слой промывали насыщенным водным раствором хлорида натрия и затем сушили над безводным сульфатом магния. После удаления фильтрованием осушителя органический слой концентрировали при пониженном давлении. Остаток очищали хроматографией на колонке с силикагелем (гексан/этилацетат) с получением 513 мг требуемого соединения.
1H-ЯМР (CDCl3) (м.д.): 1,69 (с, 3H), 1,72 (д, J=1,2 Гц, 3H), 3,19 (с, 3H), 3,26 (д, J=7,6 Гц, 2H), 3,50-3,60 (м, 2H), 3,82 (с, 3H), 4,32-4,43 (м, 2H), 5,24-5,33 (м, 1H), 6,43 (с, 1H), 7,63 (с, 1H).
(4) 1-{1-[2-(8-Метокси-4-метил-5-оксо-2,3,4,5-тетрагидробенз[f][1,4]оксазепин-7-ил)этил]пиперидин-4-ил}-1H-индол-6-карбоксамид
Требуемое соединение получали из 8-метокси-4-метил-7-(3-метил-2-бутенил)-3,4-дигидро-2H-бенз[f][1,4]оксазепин-5-она способом, описанным в примере 4, (4).
1H-ЯМР (CDCl3) (м.д.): 2,06-2,35 (м, 6H), 2,60-2,70 (м, 2H), 2,78-2,88 (м, 2H), 3,15-3,26 (м, 2H), 3,20 (с, 3H), 3,53-3,58 (м, 2H), 3,83 (с, 3H), 4,32-4,44 (м, 3H), 6,44 (с, 1H), 6,56 (дд, J=0,4 Гц, 3,2 Гц, 1H), 7,36-7,46 (м, 2H), 7,63 (дд, J=0,4 Гц, 8,0 Гц, 1H), 7,69 (с, 1H), 8,09 (с, 1H).
Пример 10
Синтез 1-{1-[2-(8-метокси-4-метил-5-оксо-2,3,4,5-тетрагидробенз[f][1,4]оксазепин-7-ил)этил]пиперидин-4-ил}-N-метил-1H-индол-6-карбоксамида

Требуемое соединение синтезировали из N-метил-1-(пиперидин-4-ил)-1H-индол-6-карбоксамида способом, описанным в примере 9.
1H-ЯМР (CDCl3) (м.д.): 2,03-2,37 (м, 6H), 2,55-2,74 (м, 2H), 2,76-2,90 (м, 2H), 3,06 (д, J=4,80 Гц, 3H), 3,12-3,26 (м, 2H), 3,20 (с, 3H), 3,50-3,60 (м, 2H), 3,84 (с, 3H), 4,30-4,43 (м, 3H), 6,28 (ушир.с, 1H), 6,44 (с, 1H), 6,54 (д, J=3,2 Гц, 1H), 7,30-7,42 (м, 2H), 7,61 (д, J=8,0 Гц, 1H), 7,69 (с, 1H), 8,03 (ушир.с, 1H).
Пример 11
Синтез 1-{1-[2-(5,7-диметокси-1-метоксииминоиндан-4-ил)этил]пиперидин-4-ил}-1H-индол-6-карбоксамида

(1) O-метилоксим 4-бром-5,7-диметоксииндан-1-она
845 мг 5,7-Диметоксииндан-1-она растворяли в 40 мл дихлорметана. После этого к реакционному раствору добавляли 822 мг N-бромсукцинимида. По окончании реакции к реакционному раствору добавляли хлороформ. Органический слой промывали насыщенным раствором хлорида натрия и затем сушили над безводным сульфатом магния. После удаления фильтрованием осушителя органический слой концентрировали при пониженном давлении. Остаток суспендировали в ацетоне и суспензию фильтровали с получением 1,03 г 4-бром-5,7-диметоксииндан-1-она. Полученный продукт суспендировали в смешанном растворе, состоящем из 30 мл метанола, 10 мл тетрагидрофурана и 20 мл хлороформа. После этого к реакционному раствору добавляли 952 мг метоксиламингидрохлорида и 935 мг ацетата натрия и полученную смесь перемешивали при комнатной температуре. Приблизительно через 4 часа к реакционному раствору еще добавляли 952 мг метоксиламингидрохлорида и 935 мг ацетата натрия. По окончании реакции реакционный раствор концентрировали. К полученному продукту добавляли насыщенный водный раствор бикарбоната натрия и этилацетат, чтобы отделить органический слой. Органический слой промывали насыщенным водным раствором бикарбоната натрия и насыщенным раствором хлорида натрия и затем сушили над безводным сульфатом магния. После удаления фильтрованием осушителя органический слой концентрировали при пониженном давлении. Остаток суспендировали в трет-бутилметиловом эфире и суспензию фильтровали с получением 896 мг требуемого соединения.
1H-ЯМР (CDCl3) (м.д.): 2,90-3,00 (м, 4H), 3,95 (с, 3H), 3,96 (с, 3H), 4,00 (с, 3H), 6,38 (с, 1H).
(2) 1-{1-[2-(5,7-Диметокси-1-метоксииминоиндан-4-ил)этил]пиперидин-4-ил}-1H-индол-6-карбоксамид
Требуемое соединение получали из O-метилоксима 4-бром-5,7-диметоксииндан-1-она способами, описанными в примере 8, (5)-(6).
1H-ЯМР (CDCl3) (м.д.): 2,13 (ушир.с, 4H), 2,21-2,36 (м, 2H), 2,46-2,58 (м, 2H), 2,72-2,84 (м, 2H), 2,96 (ушир.с, 4H), 3,16-3,29 (м, 2H), 3,89 (с, 3H), 3,96 (с, 3H), 4,01 (с, 3H), 4,34-4,46 (м, 1H), 6,37 (с, 1H), 6,58 (д, J=2,4 Гц, 1H), 7,36-7,46 (м, 2H), 7,65 (д, J=8,4 Гц, 1H), 8,12 (ушир.с, 1H).
Пример 12
Синтез 1-{1-[2-(8-метокси-5-оксо-2,3,4,5-тетрагидробензо[b]оксепин-7-ил)этил]пиперидин-4-ил}-1H-индол-6-карбоксамида

(1) Метил 2-(3-этоксикарбонилпропокси)-4-метокси-5-(3-метил-2-бутенил)бензоат
3,00 г метил 2-гидрокси-4-метокси-5-(3-метил-2-бутенил)бензоата растворяли в 30 мл N,N-диметилформамида. После этого к реакционному раствору добавляли 2,16 г карбоната калия и 2,23 мл этил 4-бромбутилата и полученную смесь затем перемешивали при нагревании при 80°C. Посреди реакции к смеси добавляли 829 мг карбоната калия и 0,86 мл этил 4-бромбутилата. По окончании реакции добавляли к реакционному раствору этилацетат. Полученный органический слой промывали насыщенным водным раствором хлорида аммония и насыщенным раствором хлорида натрия и затем сушили над безводным сульфатом магния. После удаления фильтрованием осушителя органический слой концентрировали при пониженном давлении. Остаток очищали хроматографией на колонке с силикагелем (гексан/этилацетат) с получением 2,88 г требуемого соединения.
1H-ЯМР (CDCl3) (м.д.): 1,25 (т, J=7,2 Гц, 3H), 1,70 (с, 3H), 1,73 (д, J=1,2 Гц, 3H), 2,10-2,20 (м, 2H), 2,61 (т, J=7,2 Гц, 2H), 3,23 (д, J=7,2 Гц, 2H), 3,85 (с, 3H), 3,87 (с, 3H), 4,09 (т, J=6,0 Гц, 2H), 4,13 (кв., J=7,2 Гц, 2H), 5,20-5,30 (м, 1H), 6,43 (с, 1H), 7,64 (с, 1H).
(2) 8-Метокси-7-(3-метил-2-бутенил)-3,4-дигидро-2H-бенз[b]оксепин-5-он
80 мл Тетрагидрофуранового раствора, содержащего 18,6 ммоль литий бис(триметилсилил)амида, охлаждали до -75°C. Растворяли 3,23 г метил 2-(3-этоксикарбонилпропокси)-4-метокси-5-(3-метил-2-бутенил)бензоата в 8 мл тетрагидрофурана и полученный раствор добавляли по каплям к указанному выше раствору. По окончании капания реакционный раствор подогревали до 0°C. По окончании реакции к реакционному раствору добавляли насыщенный водный раствор хлорида аммония и этилацетат, чтобы отделить органический слой. Полученный органический слой промывали насыщенным водным раствором хлорида натрия и затем сушили над безводным сульфатом магния. После удаления фильтрованием осушителя органический слой концентрировали при пониженном давлении. Остаток очищали хроматографией на колонке с силикагелем (гексан/этилацетат) с получением 969 мг этил 8-метокси-7-(3-метил-2-бутенил)-5-оксо-2,3,4,5-тетрагидробенз[b]оксепин-4-карбоксилата. После этого 751 мг полученного соединения растворяли в 15 мл тетрагидрофурана. Пока реакционный раствор перемешивали при нагревании при 70°C, добавляли к нему 4 мл 5 н. водного раствора гидроксида натрия 3 порциями. Приблизительно через 2 часа тетрагидрофуран в виде реакционного раствора концентрировали при пониженном давлении и затем добавляли к нему 10 мл этанола. После этого к полученному этаноловому раствору добавляли 5 мл 5 н. хлороводородной кислоты и смесь опять нагревали при кипячении с обратным холодильником. По окончании реакции к реакционному раствору добавляли этилацетат и полученный органический слой промывали насыщенным водным раствором хлорида натрия. Органический слой затем сушили над безводным сульфатом магния. После удаления фильтрованием осушителя органический слой концентрировали при пониженном давлении. Остаток очищали хроматографией на колонке с силикагелем (гексан/этилацетат) с получением 422 мг требуемого соединения.
1H-ЯМР (CDCl3) 1,69 (д, J=0,4 Гц, 3H), 1,72 (д, J=1,2 Гц, 3H), 2,18 (квинтет, J=6,8 Гц, 2H), 2,85 (т, J=6,8 Гц, 2H), 3,24 (д, J=6,8 Гц, 2H), 3,85 (с, 3H), 4,22 (т, J=6,8 Гц, 2H), 5,22-5,30 (м, 1H), 6,51 (с, 1H), 7,58 (с, 1H).
(3) 1-{1-[2-(8-метокси-5-оксо-2,3,4,5-тетрагидробенз[b]оксепин-7-ил)этил]пиперидин-4-ил}-1H-индол-6-карбоксамид
Требуемое соединение получали из 8-метокси-7-(3-метил-2-бутенил)-3,4-дигидро-2H-бенз[b]оксепин-5-она способом, описанным в примере 4, (4).
1H-ЯМР (CDCl3) (м.д.): 2,12 (ушир.с, 4H), 2,20 (квинтет, J=6,8 Гц, 2H), 2,29 (ушир.с, 2H), 2,63 (ушир.с, 2H), 2,74-2,93 (м, 2H), 2,88 (т, J=6,8 Гц, 2H), 3,10-3,30 (м, 2H), 3,87 (с, 3H), 4,24 (т, J=6,8 Гц, 2H), 4,32-4,46 (м, 1H), 6,54 (с, 1H), 6,57 (дд, J=0,8, 3,2 Гц, 1H), 7,36-7,48 (м, 2H), 7,62-7,68 (м, 2H), 8,11 (ушир.с, 1H).
Пример 13
Синтез 1-{1-[2-(8-метокси-5-метоксиимино-2,3,4,5-тетрагидробензо[b]оксепин-7-ил)этил]пиперидин-4-ил}-1H-индол-6-карбоксамида

97 мг 1-(1-(2-(8-Метокси-5-оксо-2,3,4,5-тетрагидробензо[b]оксепин-7-ил)этил)пиперидин-4-ил)-1H-индол-6-карбоксамида растворяли в смешанном растворе, состоящем из 4 мл метанола, 2 мл тетрагидрофурана и 2 мл хлороформа. После этого к реакционному раствору добавляли 105 мг метоксиламингидрохлорида и 103 мг ацетата натрия и полученную смесь затем перемешивали при комнатной температуре. Посреди реакции добавляли к реакционному раствору еще 1 г метоксиламингидрохлорида и 1 г ацетата натрия. По окончании реакции к реакционному раствору добавляли 1 н. воднй раствор гидроксида натрия, насыщенный водный раствор бикарбоната натрия и хлороформ, чтобы отделить органический слой. Полученный органический слой промывали насыщенным водным раствором бикарбоната натрия и насыщенным раствором хлорида натрия и затем сушили над безводным сульфатом магния. После удаления фильтрованием осушителя органический слой концентрировали при пониженном давлении. Остаток отверждали из смеси трет-бутилметиловый эфир-этилацетат с получением 70 мг требуемого соединения.
1H-ЯМР (CDCl3) (м.д.): 1,95-2,05 (м, 2H), 2,05-2,40 (м, 6H), 2,55-2,73 (м, 2H), 2,75-2,90 (м, 2H), 2,86 (т, J=6,8 Гц, 2H), 3,15-3,30 (м, 2H), 3,82 (с, 3H), 3,98 (с, 3H), 4,17 (т, J=6,0 Гц, 2H), 4,32-4,46 (м, 1H), 6,50 (с, 1H), 6,57 (д, J=3,2 Гц, 1H), 7,35 (с, 1H), 7,38-7,46 (м, 2H), 7,65 (д, J=8,4 Гц, 1H), 8,11 (ушир.с, 1H).
Пример 14
Синтез 1-{1-[2-(5-метокси-2,2-диметил-1-оксоиндан-4-ил)этил]пиперидин-4-ил}-1H-индол-6-карбоксамида

(1) 5-гидрокси-2,2-диметилинданон
7,78 г Трет-бутоксида калия растворяли в 66,3 мл трет-бутанола и 150 мл толуола. После этого к реакционному раствору добавляли по каплям 5,00 г 5-метоксиинданона, растворенного в 170 мл толуола, при комнатной температуре. Приблизительно через 10 минут к реакционному раствору добавляли 4,79 мл метилиодида. По окончании реакции к реакционному раствору добавляли насыщенный водный раствор хлорида аммония и этилацетат, чтобы отделить органический слой. Органический слой затем сушили над безводным сульфатом магния. После того как органический слой был профильтрован через целит, удаляли фильтрованием сушильный агент. После этого органический слой концентрировали при пониженном давлении. Остаток очищали хроматографией на колонке с силикагелем (гексан/этилацетат) с получением 2,08 г 5-метокси-2,2-диметилинданона. Полученный продукт растворяли в 9 мл метансульфоновой кислоты. Затем к реакционному раствору добавляли 2,45 г метионина и полученную смесь нагревали до 110°C. По окончании реакции к реакционному раствору добавляли насыщенный водный раствор хлорида натрия и этилацетат, чтобы отделить органический слой. Органический слой затем сушили над безводным сульфатом магния. После удаления фильтрованием осушителя органический слой концентрировали при пониженном давлении. Остаток очищали хроматографией на колонке с силикагелем (гексан/этилацетат) с получением 1,41 г требуемого соединения.
1H-ЯМР (CDCl3) (м.д.): 1,24 (с, 6H), 2,94 (с, 2H), 6,79-6,90 (м, 3H), 7,68 (дд, J=0,4, 8,0 Гц, 1H).
(2) 1-{1-[2-(5-метокси-2,2-диметил-1-оксоиндан-4-ил)этил]пиперидин-4-ил}-1H-индол-6-карбоксамид
Требуемое соединение получали из 5-гидрокси-2,2-диметилинданона способами, описанными в примере 7, (1)-(4).
1H-ЯМР (CDCl3) (м.д.): 1,25 (с, 6H), 2,00-2,23 (м, 4H), 2,25-2,40 (м, 2H), 2,50-2,66 (м, 2H), 2,80-3,00 (м, 2H), 2,95 (с, 2H), 3,15-3,33 (м, 2H), 3,94 (с, 3H), 4,33-4,48 (м, 1H), 6,58 (д, J=3,2 Гц, 1H), 6,94 (д, J=8,4 Гц, 1H), 7,36-7,46 (м, 2H), 7,65 (д, J=8,4 Гц, 1H), 7,69 (д, J=8,8 Гц, 1H), 8,12 (с, 1H).
Пример 15
Синтез 1-{1-[2-(6-метокси-2-метилбензоксазол-7-ил)этил]пиперидин-4-ил})-N-метил-1H-индол-6-карбоксамида

Требуемое соединение синтезировали, используя N-метил-1-(пиперидин-4-ил)-1H-индол-6-карбоксамид, способом, описанным в примере 3, (5).
1H-ЯМР (CDCl3) (м.д.): 2,13 (ушир.с, 4H), 2,33 (ушир.с, 2H), 2,62 (с, 3H), 2,72 (ушир.с, 2H), 3,07 (д, J=4,8 Гц, 3H), 3,02-3,18 (м, 2H), 3,20-3,34 (м, 2H), 3,90 (с, 3H), 4,34-4,48 (м, 1H), 6,24 (ушир.с, 1H), 6,56 (д, J=2,8 Гц, 1H), 6,89 (д, J=8,4 Гц, 1H), 7,32-7,48 (м, 3H), 7,63 (д, J=8,0 Гц, 1H), 8,04 (ушир.с, 1H).
Пример 16
Синтез 1-{1-[2-(6-метокси-2-метилбензоксазол-5-ил)этил]пиперидин-4-ил}-N-метил-1H-индол-6-карбоксамида

Требуемое соединение синтезировали, используя N-метил-1-(пиперидин-4-ил)-1H-индол-6-карбоксамид, способом, описанным в примере 4, (4).
1H-ЯМР (CDCl3) (м.д.): 2,12 (ушир.с, 4H), 2,30 (ушир.с, 2H), 2,60 (с, 3H), 2,62-2,74 (м, 2H), 2,94 (ушир.с, 2H), 3,06 (д, J=5,2 Гц, 3H), 3,12-3,30 (м, 2H), 3,89 (с, 3H), 4,32-4,45 (м, 1H), 6,24 (ушир.с, 1H), 6,55 (д, J=3,2 Гц, 1H), 6,99 (с, 1H), 7,32-7,42 (м, 2H), 7,43 (с, 1H), 7,62 (д, J=8,4 Гц, 1H), 8,05 (ушир.с, 1H).
Пример 17
Синтез 1-{1-[2-(6-метокси-3-метилбенз[d]изоксазол-7-ил)этил]пиперидин-4-ил}-N-метил-1H-индол-6-карбоксамида

65 мг 1-(1-(2-(6-Метокси-3-метилбенз[d]изоксазол-7-ил)этил)пиперидин-4-ил)-1H-индол-6-карбоксамида, полученного в примере 1, растворяли в 1 мл N,N-диметилформамида и затем к полученному раствору добавляли 7,2 мг 60% гидрида натрия. Реакционный раствор перемешивали при комнатной температуре в течение 5 минут и затем добавляли к нему 11,2 мкл метилиодида. По окончании реакции к реакционному раствору добавляли воду и этилацетат, чтобы отделить органический слой. Полученный органический слой промывали насыщенным водным раствором бикарбоната натрия и затем сушили над безводным сульфатом магния. После удаления фильтрованием осушителя органический слой концентрировали при пониженном давлении. Остаток очищали хроматографией на колонке с NH силикагелем (гексан/этилацетат) с получением 17 мг требуемого соединения.
1H-ЯМР (CDCl3) (м.д.): 2,11 (ушир.с, 4H), 2,26-2,42 (м, 2H), 2,54 (с, 3H), 2,68-2,82 (м, 2H), 3,06 (д, J=5,2 Гц, 3H), 3,10-3,20 (м, 2H), 3,22-3,32 (м, 2H), 3,95 (с, 3H), 4,32-4,43 (м, 1H), 6,30 (ушир.с, 1H), 6,55 (д, J=3,2 Гц, 1H), 6,95 (д, J=8,8 Гц, 1H), 7,34-7,42 (м, 2H), 7,43 (д, J=8,4 Гц, 1H), 7,62 (д, J=8,4 Гц, 1H), 8,04 (с, 1H).
Пример 18
Синтез 1-{1-[2-(6-метокси-3-метилбенз[d]изоксазол-5-ил)этил]пиперидин-4-ил}-N-метил-1H-индол-6-карбоксамида

Требуемое соединение синтезировали, используя 1-(1-(2-(6-метокси-3-метилбензо[d]изоксазол-5-ил)этил)пиперидин-4-ил)-1H-индол-6-карбоксамид, полученный в примере 2, способом, описанным в примере 17.
1H-ЯМР (CDCl3) (м.д.): 2,13 (ушир.с, 4H), 2,21-2,39 (м, 2H), 2,54 (с, 3H), 2,60-2,73 (м, 2H), 2,88-3,00 (м, 2H), 3,06 (д, J=5,2 Гц, 3H), 3,15-3,30 (м, 2H), 3,93 (с, 3H), 4,32-4,46 (м, 1H), 6,28 (ушир.с, 1H), 6,56 (д, J=2,8 Гц, 1H), 6,97 (с, 1H), 7,32-7,40 (м, 3H), 7,62 (д, J=8,0 Гц, 1H), 8,08 (с, 1H).
Пример 19
Синтез 1-{1-[2-(2-метокси-5-метоксиимино-5,6,7,8-тетрагидронафталин-1-ил)этил]пиперидин-4-ил}-1H-индол-6-карбоксамида

200 мг 5-(2,3-Дигидроксипропил)-6-метокси-1-тетралона, синтезированного из 6-гидрокси-1-тетралона способами, описанными в примере 7, (1)-(4), растворяли в смешанном растворе, состоящем из 5 мл метанола и 3 мл тетрагидрофурана. После этого к реакционному раствору добавляли 401 мг метоксиламингидрохлорида и 394 мг ацетата натрия и полученную смесь затем перемешивали при комнатной температуре. По окончании реакции к реакционному раствору добавляли насыщенный водный раствор бикарбоната натрия и этилацетат, чтобы отделить органический слой. Полученный органический слой промывали насыщенным водным раствором бикарбоната натрия и насыщенным раствором хлорида натрия и затем сушили над безводным сульфатом магния. После удаления фильтрованием осушителя органический слой концентрировали при пониженном давлении с получением 183 мг O-метилоксима 5-(2,3-дигидроксипропил)-6-метокси-3,4-дигидро-2H-нафталин-1-она. Из полученного соединения получали требуемое соединение способом, описанным в примере 1, (4).
1H-ЯМР (CDCl3) (м.д.): 1,80-1,90 (м, 2H), 2,15 (ушир.с, 4H), 2,32 (ушир.с, 2H), 2,51 (ушир.с, 2H), 2,65-2,80 (м, 4H), 2,85-3,02 (м, 2H), 3,15-3,35 (м, 2H), 3,86 (с, 3H), 3,97 (с, 3H), 4,34-4,48 (м, 1H), 6,58 (д, J=3,2 Гц, 1H), 6,77 (д, J=8,8 Гц, 1H), 7,38-7,46 (м, 2H), 7,65 (д, J=8,0 Гц, 1H), 7,90 (д, J=8,8 Гц, 1H), 8,12 (с, 1H).
Пример 20
Синтез 1-{1-[2-(7-метокси-2,2-диметил-4-оксохроман-8-ил)этил]пиперидин-4-ил}-N-метил-1H-индол-6-карбоксамида

126 мг 8-Аллил-7-метокси-2,2-диметил-4-оксохромана растворяли в 12 мл смеси трет-бутанол-вода (1:1) в атмосфере азота. После этого к реакционному раствору добавляли 0,72 г AD-mix- и полученную смесь затем перемешивали при комнатной температуре в течение 24 часов. После этого к реакционному раствору добавляли 0,77 г сульфита натрия при охлаждении на льду и полученную смесь перемешивали при комнатной температуре в течение 1 часа. Реакционный раствор разбавляли этилацетатом и затем промывали насыщенным водным раствором хлорида натрия. Органический слой сушили над сульфатом магния и затем фильтровали. Органический слой затем концентрировали при пониженном давлении с получением 145 мг 8-(2,3-дигидроксипропил)-7-метокси-2,2-диметил-4-оксохромана. Данное соединение использовали в следующей реакции без дальнейшей очистки.
145 мг 8-(2,3-дигидроксипропил)-7-метокси-2,2-диметил-4-оксохромана растворяли в 3 мл тетрагидрофурана и 4 мл метанола. После этого к реакционному раствору добавляли 7 мл воды, содержащей 0,22 г метапериодата натрия, при охлаждении на льду и полученную смесь затем перемешивали при комнатной температуре в течение 30 минут. Реакционный раствор разбавляли этилацетатом и затем промывали насыщенным водным раствором хлорида натрия. Органический слой сушили над сульфатом магния и затем фильтровали. Органический слой затем концентрировали при пониженном давлении с получением 120 мг (7-метокси-2,2-диметил-4-оксохроман-8-ил)ацетальдегида. Данное соединение использовали в следующей реакции без дальнейшей очистки.
120 мг N-метил-1-(пиперидин-4-ил)-1H-индол-6-карбоксамида и 120 мг (7-метокси-2,2-диметил-4-оксохроман-8-ил)ацетальдегида растворяли в 8 мл метиленхлорида. После этого к реакционному раствору добавляли 0,05 мл уксусной кислоты и 0,15 г триацетоксиборгидрида натрия и полученную смесь затем перемешивали при комнатной температуре в течение 1 часа. После этого к реакционному раствору добавляли насыщенный водный раствор бикарбоната натрия с последующим экстрагированием метиленхлоридом. Экстракт сушили над сульфатом магния и затем фильтровали. Фильтрат затем концентрировали при пониженном давлении. Остаток очищали хроматографией на колонке с силикагелем (метанол-этилацетат) с получением 210 мг требуемого соединения.
1H-ЯМР (ДМСО-d6) (м.д.): 1,40 (с, 6H), 1,92-2,10 (м, 4H), 2,22-2,33 (м, 2H), 2,40-2,50 (м, 2H), 2,72 (с, 2H), 2,74-2,83 (м, 2H), 2,82 (д, J=4,4 Гц, 3H), 3,08-3,17 (м, 2H), 3,87 (с, 3H), 4,35-4,47 (м, 1H), 6,50 (д, J=3,2 Гц, 1H), 6,75 (д, J=9,2 Гц, 1H), 7,51-7,59 (м, 2H), 7,62-7,69 (м, 2H), 8,06 (с, 1H), 8,29-8,37 (м, 1H).
Пример 22
Синтез 1-{1-[2-(7-метокси-2,2-диметил-4-оксохроман-8-ил)этил]пиперидин-4-ил}-1H-индол-6-карбоксамида

(1) 7-Аллилокси-2,2-диметил-4-оксохроман
9,74 г 7-Гидрокси-2,2-диметил-4-оксохромана (CAS#: 17771-33-4) растворяли в 150 мл N,N-диметилформамида. После этого к реакционному раствору добавляли 10,5 г карбоната калия и 7,36 г аллилбромида и полученную смесь перемешивали при комнатной температуре в течение ночи. После этого реакционный раствор разбавляли этилацетатом и затем промывали водой и насыщенным водным раствором хлорида натрия. Органический слой сушили над сульфатом магния и затем концентрировали при пониженном давлении. Остаток затем очищали хроматографией на колонке с силикагелем (гексан-этилацетат) с получением 11,0 г требуемого соединения.
1H-ЯМР (CDCl3) (м.д.): 1,45 (с, 6H), 2,67 (с, 2H), 4,53-4,58 (м, 2H), 5,28-5,35 (м, 1H), 5,37-5,46 (м, 1H), 5,98-6,09 (м, 1H), 6,38 (д, J=2,4 Гц, 1H), 6,56 (дд, J=2,4, 8,8 Гц, 1H), 7,80 (д, J=8,8 Гц, 1H).
(2) 8-Аллил-7-гидрокси-2,2-диметил-4-оксохроман (a) и 6-аллил-7-гидрокси-2,2-диметил-4-оксохроман (b)
1,97 г 7-Аллилокси-2,2-диметил-4-оксохромана растворяли в 5 мл N,N-диметиланилина в атмосфере азота и реакционный раствор нагревали при кипячении с обратным холодильником в течение 6 часов. После этого реакционный раствор охлаждали до комнатной температуры. Затем его очищали хроматографией на колонке с силикагелем (гексан-этилацетат) с получением смеси, состоящей из требуемых соединений (a) и (b). Смесь дополнительно очищали высокоэффективной жидкостной хроматографией (ODS-AM; ацетонитрил-вода) с получением 1,05 г требуемого соединения (a) и 95 мг требуемого соединения (b).
Изомер (a)
1H-ЯМР (CDCl3) (м.д.): 1,44 (с, 6H), 2,66 (с, 2H), 3,40-3,46 (м, 2H), 5,03-5,17 (м, 2H), 5,55 (с, 1H), 5,86-6,00 (м, 1H), 6,47 (д, J=8,8 Гц, 1H), 7,71 (д, J=8,8 Гц, 1H).
Изомер (b)
1H-ЯМР (CDCl3) (м.д.): 1,44 (с, 6H), 2,65 (с, 2H), 3,34-3,37 (м, 2H), 5,14-5,21 (м, 2H), 5,60 (с, 1H), 5,93-6,04 (м, 1H), 6,32 (с, 1H), 7,63 (с, 1H).
(3) 8-Аллил-7-метокси-2,2-диметил-4-оксохроман
567 мг 8-Аллил-7-гидрокси-2,2-диметил-4-оксохромана растворяли в 15 мл N,N-диметилформамида. После этого к реакционному раствору добавляли 0,51 г карбоната калия и 0,42 г йодметана и полученную смесь затем перемешивали при комнатной температуре в течение ночи. Реакционный раствор разбавляли этилацетатом и затем промывали насыщенным водным раствором хлорида аммония и насыщенным водным раствором хлорида натрия. Органический слой сушили над сульфатом магния и затем концентрировали при пониженном давлении. Остаток очищали хроматографией на колонке с силикагелем (гексан-этилацетат) с получением 582 мг требуемого соединения.
1H-ЯМР (CDCl3) (м.д.): 1,44 (с, 6H), 2,67 (с, 2H), 3,36-3,40 (м, 2H), 3,88 (с, 3H), 4,92-5,04 (м, 2H), 5,84-5,95 (м, 1H), 6,58 (д, J=8,8 Гц, 1H), 7,80 (д, J=8,8 Гц, 1H).
(4) 1-(1-(2-(7-Метокси-2,2-диметил-4-оксохроман-8-ил)этил)пиперидин-4-ил)-1H-индол-6-карбоксамид
150 мг 8-аллил-7-метокси-2,2-диметил-4-оксохромана растворяли в 16 мл смеси трет-бутанол-вода (1:1). После этого к реакционному раствору добавляли 0,85 г AD-mix- и полученную смесь затем перемешивали при комнатной температуре в течение ночи. Затем к реакционному раствору добавляли 0,91 г сульфита натрия при охлаждении на льду и полученную смесь перемешивали при комнатной температуре в течение 1 часа. Реакционный раствор разбавляли этилацетатом и затем промывали насыщенным водным раствором хлорида натрия. Органический слой сушили над сульфатом магния и затем концентрировали при пониженном давлении с получением 171 мг 8-(2,3-дигидроксипропил)-7-метокси-2,2-диметил-4-оксохромана. Данное соединение использовали в следующей реакции без дальнейшей очистки.
171 мг 8-(2,3-Дигидроксипропил)-7-метокси-2,2-диметил-4-оксохромана растворяли в 4 мл тетрагидрофурана и 4 мл метанола. После этого к реакционному раствору добавляли 8 мл воды, содержащей 0,26 г метапериодата натрия, при охлаждении на льду и полученную смесь затем перемешивали при комнатной температуре в течение 30 минут. Реакционный раствор разбавляли этилацетатом и затем промывали насыщенным водным раствором хлорида натрия. Органический слой сушили над сульфатом магния и затем концентрировали при пониженном давлении с получением 163 мг (7-метокси-2,2-диметил-4-оксохроман-8-ил)ацетальдегида. Данное соединение использовали в следующей реакции без дальнейшей очистки.
120 мг 1-(Пиперидин-4-ил)-1H-индол-6-карбоксамида и 163 мг (7-метокси-2,2-диметил-4-оксохроман-8-ил)ацетальдегида растворяли в 10 мл метиленхлорида. После этого к реакционному раствору добавляли 0,06 мл уксусной кислоты и полученную смесь затем перемешивали при комнатной температуре в течение 15 минут. Затем к реакционному раствору добавляли 157 мг триацетоксиборгидрида натрия и полученную смесь затем перемешивали при комнатной температуре в течение 1 часа. После этого к реакционному раствору добавляли насыщенный водный раствор бикарбоната натрия с последующим экстрагированием хлороформом. Экстракт сушили над сульфатом магния и затем концентрировали при пониженном давлении. Остаток очищали хроматографией на колонке с NH силикагелем (метанол-этилацетат) с последующим отверждением этилацетатом с получением 220 мг требуемого соединения.
1H-ЯМР (ДМСО-d6) (м.д.): 1,40 (с, 6H), 1,93-2,10 (м, 4H), 2,22-2,35 (м, 2H), 2,42-2,50 (м, 2H), 2,72 (с, 2H), 2,74-2,82 (м, 2H), 3,08-3,17 (м, 2H), 3,87 (с, 3H), 4,37-4,48 (м, 1H), 6,50 (д, J=3,2 Гц, 1H), 6,75 (д, J=8,8 Гц, 1H), 7,21 (ушир.с, 1H), 7,53-7,61 (м, 2H), 7,65 (д, J=8,8 Гц, 1H), 7,67 (д, J=3,2 Гц, 1H), 7,91 (ушир.с, 1H), 8,13 (с, 1H).
Пример 23
Синтез 1-{1-[2-(6-метокси-1-метил-2-оксо-1,4-дигидро-2H-бенз[d][1,3]оксазин-7-ил)этил]пиперидин-4-ил}-N-метил-1H-индол-6-карбоксамида

(1) 3-Метокси-6-нитро-4-(2-пропенил)бензиловый спирт
8,40 г 3-Гидрокси-4-(2-пропенил)бензилового спирта (Tetrahedron, 56 (2000), 1873) растворяли в 70 мл уксусной кислоты. После этого к реакционному раствору добавляли 4,14 г концентрированной азотной кислоты и 0,6 мл дымящейся азотной кислоты при охлаждении на льду и полученную смесь перемешивали при той же самой температуре в течение 20 минут. После этого реакционный раствор доводили до рН 6 добавлением 5 н. водного раствора гидроксида натрия при охлаждении на льду. Затем экстрагировали его этилацетатом. Экстракт промывали насыщенным водным раствором бикарбоната натрия и насыщенным водным раствором хлорида натрия. Органический слой сушили над сульфатом магния и затем концентрировали при пониженном давлении. Остаток затем очищали хроматографией на колонке с силикагелем (гексан-этилацетат) с получением 4,68 г 3-гидрокси-6-нитро-4-(2-пропенил)бензилового спирта.
4,68 г 3-Гидрокси-6-нитро-4-(2-пропенил)бензилового спирта растворяли в 90 мл N,N-диметилформамида. После этого к реакционному раствору добавляли 3,71 г карбоната калия и 3,81 г йодметана и полученную смесь перемешивали при комнатной температуре в течение ночи. Реакционный раствор экстрагировали этилацетатом и затем промывали водой и насыщенным водным раствором хлорида натрия. Органический слой сушили над сульфатом магния и затем концентрировали при пониженном давлении. Остаток затем очищали хроматографией на колонке с силикагелем (гексан-этилацетат) с получением 3,93 г требуемого соединения.
1H-ЯМР (ДМСО-d6) (м.д.): 3,38 (д, J=6,8 Гц, 2H), 3,94 (с, 3H), 4,87 (д, J=4,8 Гц, 2H), 5,05-5,13 (м, 2H), 5,62 (т, J=4,8 Гц, 1H), 5,89-6,02 (м, 1H), 7,42 (с, 1H), 7,94 (с, 1H).
(2) 2-Амино-5-метокси-4-(2-пропенил)бензиловый спирт
24 мл Смеси этанол-вода (5:1) добавляли к 1,00 г 3-метокси-6-нитро-4-(2-пропенил)бензилового спирта, 1,00 г железа и 2,00 г аммонийхлорида. Реакционный раствор перемешивали при 90°C в течение 1 часа. После этого реакционный раствор охлаждали до комнатной температуры и нерастворимые материалы удаляли фильтрованием. Фильтрат концентрировали при пониженном давлении. Остаток разбавляли этилацетатом и затем промывали водой и насыщенным водным раствором хлорида натрия. Органический слой сушили над сульфатом магния и затем концентрировали при пониженном давлении с получением 793 мг требуемого соединения.
1H-ЯМР (CDCl3) (м.д.): 3,32 (д, J=6,0 Гц, 2H), 3,76 (с, 3H), 4,64 (с, 2H), 5,00-5,09 (м, 2H), 5,88-6,00 (м, 1H), 6,54 (с, 1H), 6,64 (с, 1H).
(3) 7-Аллил-6-метокси-1,4-дигидробенз[d][1,3]оксазин-2-он
677 мг 2-Амино-5-метокси-4-(2-пропенил)бензилового спирта растворяли в 20 мл тетрагидрофурана в атмосфере азота. После этого к реакционному раствору добавляли 0,52 г трифосгена и 1,46 мл триэтиламина при охлаждении на льду. Полученную смесь затем перемешивали при комнатной температуре в течение 30 минут. После этого к реакционному раствору добавляли при охлаждении на льду воду и водный раствор аммиака, пока не кончалось пенообразование. Реакционный раствор разбавляли этилацетатом и затем промывали водой и насыщенным водным раствором хлорида натрия. Органический слой сушили над сульфатом магния и затем концентрировали при пониженном давлении. Остаток очищали хроматографией на колонке с силикагелем (гексан-этилацетат) и затем переосаждали из этилацетата с получением 485 мг требуемого соединения.
1H-ЯМР (ДМСО-d6) (м.д.): 3,26 (д, J=6,4 Гц, 2H), 3,73 (с, 3H), 4,99-5,06 (м, 2H), 5,22 (с, 2H), 5,83-5,95 (м, 1H), 6,65 (с, 1H), 6,86 (с, 1H), 9,92 (ушир.с, 1H).
(4) 7-Аллил-6-метокси-1-метил-1,4-дигидробенз[d][1,3]оксазин-2-он
210 мг 7-Аллил-6-метокси-1,4-дигидробенз[d][1,3]оксазин-2-она растворяли в 6 мл N,N-диметилформамида. После этого к реакционному раствору добавляли 46 мг 60% гидрида натрия при охлаждении на льду. Полученную смесь затем перемешивали при комнатной температуре в течение 20 минут. После этого при охлаждении на льду добавляли к реакционному раствору 0,20 г йодметана. Полученную смесь затем перемешивали при комнатной температуре в течение 2 часов. После этого реакционный раствор разбавляли этилацетатом и затем промывали водой и насыщенным водным раствором хлорида натрия. Органический слой сушили над сульфатом магния и затем концентрировали при пониженном давлении. Остаток очищали хроматографией на колонке с силикагелем (гексан-этилацетат) с получением 207 мг требуемого соединения.
1H-ЯМР (ДМСО-d6) (м.д.): 3,23 (с, 3H), 3,31-3,36 (м, 2H), 3,76 (с, 3H), 4,99-5,07 (м, 2H), 5,19 (с, 2H), 5,89-6,00 (м, 1H), 6,87 (с, 1H), 6,95 (с, 1H).
(5) 1-{1-[2-(6-Метокси-1-метил-2-оксо-1,4-дигидро-2H-бенз[d][1,3]оксазин-7-ил)этил]пиперидин-4-ил}-N-метил-1H-индол-6-карбоксамид
160 мг 7-Аллил-6-метокси-1-метил-1,4-дигидробенз[d][1,3]оксазин-2-она растворяли в 20 мл смеси трет-бутанол-вода (1:1). После этого к реакционному раствору добавляли 0,96 г AD-mix- и полученную смесь затем перемешивали при комнатной температуре в течение ночи. Затем к реакционному раствору добавляли 1,03 г сульфита натрия при охлаждении на льду и полученную смесь перемешивали при комнатной температуре в течение 1 часа. Добавляли к реакционному раствору насыщенный водный раствор хлорида с последующим экстрагированием метиленхлоридом. Экстракт сушили над сульфатом магния и затем концентрировали при пониженном давлении с получением 280 мг 7-(2,3-дигидроксипропил)-6-метокси-1-метил-1,4-дигидробенз[d][1,3]оксазин-2-она. Данное соединение использовали в следующей реакции без дальнейшей очистки.
280 мг 7-(2,3-Дигидроксипропил)-6-метокси-1-метил-1,4-дигидробенз[d][1,3]оксазин-2-она растворяли в 4 мл тетрагидрофурана и 4 мл метанола. После этого к реакционному раствору добавляли 8 мл воды, содержащей 0,29 г метапериодата натрия, при охлаждении на льду и полученную смесь затем перемешивали при комнатной температуре в течение 30 минут. Реакционный раствор разбавляли этилацетатом и затем промывали насыщенным водным раствором хлорида натрия. Органический слой сушили над сульфатом магния и затем концентрировали при пониженном давлении. Остаток очищали хроматографией на колонке с силикагелем (этилацетат) с получением 167 мг (6-метокси-1-метил-2-оксо-1,4-дигидро-2H-бенз[d][1,3]оксазин-7-ил)ацетальдегида.
80 мг N-Метил-1-(пиперидин-4-ил)-1H-индол-6-карбоксамида и 83 мг (6-метокси-1-метил-2-оксо-1,4-дигидро-2H-бенз[d][1,3]оксазин-7-ил)ацетальдегида растворяли в 6 мл метиленхлорида. После этого к реакционному раствору добавляли 0,04 мл уксусной кислоты и 99 мг триацетоксиборгидрида натрия и полученную смесь затем перемешивали при комнатной температуре в течение 3 часов. Затем к реакционному раствору добавляли насыщенный водный раствор бикарбоната натрия, после чего экстрагировали метиленхлоридом. Экстракт сушили над сульфатом магния и затем концентрировали при пониженном давлении. Остаток очищали хроматографией на колонке с силикагелем (метанол-этилацетат) с получением 141 мг требуемого соединения.
1H-ЯМР (ДМСО-d6) (м.д.): 1,92-2,10 (м, 4H), 2,23-2,32 (м, 2H), 2,51-2,61 (м, 2H), 2,77-2,85 (м, 2H), 2,82 (д, J=4,4 Гц, 3H), 3,08-3,15 (м, 2H), 3,26 (с, 3H), 3,79 (с, 3H), 4,37-4,47 (м, 1H), 5,19 (с, 2H), 6,50 (д, J=3,2 Гц, 1H), 6,94 (с, 1H), 6,99 (с, 1H), 7,52-7,59 (м, 2H), 7,67 (д, J=3,2 Гц, 1H), 8,06 (с, 1H), 8,30-8,37 (м, 1H).
Пример 24
Синтез 1-{1-[2-(7-метокси-2,2-диметил-4-оксохроман-6-ил)этил]пиперидин-4-ил}-1H-индол-6-карбоксамида

Требуемое соединение синтезировали из 6-аллил-7-гидрокси-2,2-диметил-4-оксохромана способом, описанным в примере 22, (3) и (4).
1H-ЯМР (ДМСО-d6) (м.д.): 1,39 (с, 6H), 1,92-2,08 (м, 4H), 2,21-2,31 (м, 2H), 2,45-2,56 (м, 2H), 2,65-2,75 (м, 2H), 2,69 (с, 2H), 3,06-3,15 (м, 2H), 3,85 (с, 3H), 4,37-4,47 (м, 1H), 6,50 (д, J=3,2 Гц, 1H), 6,53 (с, 1H), 7,20 (ушир.с, 1H), 7,50-7,60 (м, 2H), 7,53 (с, 1H), 7,67 (д, J=3,2 Гц, 1H), 7,91 (ушир.с, 1H), 8,13 (с, 1H).
Пример 25
Синтез 1-{1-[2-(5-метокси-1-оксоиндан-4-ил)этил]пиперидин-4-ил}-1H-индол-6-карбоксамида

Требуемое соединение синтезировали из 5-гидрокси-1-инданона способом, описанным в примере 22.
1H-ЯМР (ДМСО-d6) (м.д.): 1,93-2,10 (м, 4H), 2,24-2,34 (м, 2H), 2,47-2,57 (м, 2H), 2,58-2,65 (м, 2H), 2,80-2,87 (м, 2H), 3,03-3,17 (м, 4H), 3,91 (с, 3H), 4,38-4,47 (м, 1H), 6,51 (д, J=3,2 Гц, 1H), 7,10 (д, J=8,4 Гц, 1H), 7,21 (ушир.с, 1H), 7,51-7,61 (м, 3H), 7,68 (д, J=3,2 Гц, 1H), 7,91 (ушир.с, 1H), 8,13 (с, 1H).
Пример 26
Синтез 1-{1-[2-(6-метокси-3-оксоиндан-5-ил)этил]пиперидин-4-ил}-1H-индол-6-карбоксамида

Требуемое соединение синтезировали из 5-гидрокси-1-инданона способом, описанным в примере 22.
1H-ЯМР (ДМСО-d6) (м.д.): 1,92-2,07 (м, 4H), 2,21-2,32 (м, 2H), 2,50-2,61 (м, 4H), 2,76-2,84 (м, 2H), 3,02-3,16 (м, 4H), 3,92 (с, 3H), 4,36-4,47 (м, 1H), 6,50 (д, J=2,8 Гц, 1H), 7,13 (с, 1H), 7,21 (ушир.с, 1H), 7,46 (с, 1H), 7,52-7,61 (м, 2H), 7,64-7,69 (м, 1H), 7,91 (ушир.с, 1H), 8,13 (с, 1H).
Пример 27
Синтез 1-{1-[2-(5-метокси-2-метилбензотиазол-4-ил)этил]пиперидин-4-ил}-1H-индол-6-карбоксамида

Требуемое соединение синтезировали из 2-метил-5-бензотиазола способом, описанным в примере 22.
1H-ЯМР (ДМСО-d6) (м.д.): 1,94-2,09 (м, 4H), 2,24-2,34 (м, 2H), 2,55-2,63 (м, 2H), 2,78 (с, 3H), 3,13-3,30 (м, 4H), 3,88 (с, 3H), 4,37-4,47 (м, 1H), 6,50 (д, J=3,2 Гц, 1H), 7,16 (д, J=8,8 Гц, 1H), 7,21 (ушир.с, 1H), 7,53-7,61 (м, 2H), 7,67 (д, J=3,2 Гц, 1H), 7,81 (д, J=8,8 Гц, 1H), 7,91 (ушир.с, 1H), 8,13 (с, 1H).
Пример 28
Синтез 1-{1-[2-(5-метокси-2-метилбензотиазол-6-ил)этил]пиперидин-4-ил}-1H-индол-6-карбоксамида

Требуемое соединение синтезировали из 2-метил-5-бензотиазола способом, описанным в примере 22.
1H-ЯМР (ДМСО-d6) (м.д.): 1,93-2,09 (м, 4H), 2,23-2,32 (м, 2H), 2,57-2,63 (м, 2H), 2,76 (с, 3H), 2,84-2,90 (м, 2H), 3,08-3,16 (м, 2H), 3,88 (с, 3H), 4,37-4,48 (м, 1H), 6,50 (д, J=2,8 Гц, 1H), 7,20 (ушир.с, 1H), 7,47 (с, 1H), 7,53-7,61 (м, 2H), 7,67 (д, J=2,8 Гц, 1H), 7,80 (с, 1H), 7,91 (ушир.с, 1H), 8,13 (с, 1H).
Пример 29
Синтез 1-{1-[2-(7-метоксихинолин-8-ил)этил]пиперидин-4-ил}-1H-индол-6-карбоксамида

Требуемое соединение синтезировали из 7-гидроксихинолина способом, описанным в примере 22.
1H-ЯМР (ДМСО-d6) (м.д.): 1,95-2,11 (м, 4H), 2,26-2,36 (м, 2H), 2,54-2,63 (м, 2H), 3,17-3,25 (м, 2H), 3,40-3,47 (м, 2H), 3,99 (с, 3H), 4,38-4,48 (м, 1H), 6,51 (д, J=3,2 Гц, 1H), 7,21 (ушир.с, 1H), 7,37 (дд, J=4,0, 8,0 Гц, 1H), 7,52-7,60 (м, 3H), 7,68 (д, J=3,2 Гц, 1H), 7,88 (д, J=9,2 Гц, 1H), 7,92 (ушир.с, 1H), 8,14 (с, 1H), 8,27 (дд, J=2,0, 8,0 Гц, 1H), 8,89 (дд, J=2,0, 4,0 Гц, 1H).
Пример 30
Синтез 1-{1-[2-(6-метоксихинолин-5-ил)этил]пиперидин-4-ил}-1H-индол-6-карбоксамида

Требуемое соединение синтезировали из 6-гидроксихинолина способом, описанным в примере 22.
1H-ЯМР (ДМСО-d6) (м.д.): 1,96-2,12 (м, 4H), 2,29-2,38 (м, 2H), 2,48-2,58 (м, 2H), 3,17-3,30 (м, 4H), 3,98 (с, 3H), 4,39-4,50 (м, 1H), 6,51 (д, J=3,6 Гц, 1H), 7,21 (ушир.с, 1H), 7,50-7,62 (м, 3H), 7,66-7,72 (м, 2H), 7,92 (ушир.с, 1H), 7,95 (д, J=9,2 Гц, 1H), 8,14 (с, 1H), 8,42 (д, J=9,2 Гц, 1H), 8,77-8,79 (м, 1H).
Пример 31
Синтез 1-{1-[2-(7-метокси-2,3-дигидробенз[1,4]диоксин-6-ил)этил]пиперидин-4-ил}-1H-индол-6-карбоксамида

Требуемое соединение синтезировали из 6-гидрокси-1,4-бензодиоксана (CAS#: 10288-72-9) способом, описанным в примере 22.
1H-ЯМР (ДМСО-d6) (м.д.): 1,92-2,08 (м, 4H), 2,19-2,28 (м, 2H), 2,45-2,54 (м, 2H), 2,61-2,67 (м, 2H), 3,05-3,12 (м, 2H), 3,70 (с, 3H), 4,13-4,22 (м, 4H), 4,36-4,46 (м, 1H), 6,48 (с, 1H), 6,50 (д, J=3,2 Гц, 1H), 6,69 (с, 1H), 7,21 (ушир.с, 1H), 7,54-7,60 (м, 2H), 7,67 (д, J=3,2 Гц, 1H), 7,91 (ушир.с, 1H), 8,12 (с, 1H).
Пример 32
Синтез 1-{1-[2-(6-метокси-2,3-дигидробенз[1,4]диоксин-5-ил)этил]пиперидин-4-ил}-1H-индол-6-карбоксамида

Требуемое соединение синтезировали из 6-гидрокси-1,4-бензодиоксана (CAS#: 10288-72-9) способом, описанным в примере 22.
1H-ЯМР (ДМСО-d6) (м.д.): 1,92-2,09 (м, 4H), 2,19-2,30 (м, 2H), 2,40-2,48 (м, 2H), 2,71-2,79 (м, 2H), 3,07-3,14 (м, 2H), 3,72 (с, 3H), 4,13-4,19 (м, 2H), 4,23-4,28 (м, 2H), 4,37-4,46 (м, 1H), 6,47 (д, J=8,8 Гц, 1H), 6,50 (д, J=3,2 Гц, 1H), 6,66 (д, J=8,8 Гц, 1H), 7,21 (ушир.с, 1H), 7,53-7,61 (м, 2H), 7,67 (д, J=3,2 Гц, 1H), 7,91 (ушир.с, 1H), 8,12 (с, 1H).
Пример 33
Синтез 1-{1-[2-(6-метокси-2-метил-1-оксо-1,2,3,4-тетрагидроизохинолин-7-ил)этил]пиперидин-4-ил}-1H-индол-6-карбоксамида

Требуемое соединение синтезировали из 6-гидрокси-2-метил-3,4-дигидро-2H-изохинолин-1-она (CAS#: 308110-07-8) способом, описанным в примере 22.
1H-ЯМР (ДМСО-d6) (м.д.): 1,92-2,08 (м, 4H), 2,21-2,31 (м, 2H), 2,50-2,57 (м, 2H), 2,74-2,81 (м, 2H), 2,94 (т, J=6,4 Гц, 2H), 3,07-3,14 (м, 2H), 3,51 (т, J=6,4 Гц, 2H), 3,85 (с, 3H), 4,37-4,47 (м, 1H), 6,50 (д, J=2,8 Гц, 1H), 6,86 (с, 1H), 7,21 (ушир.с, 1H), 7,53-7,61 (м, 2H), 7,67 (с, 1H), 7,67 (д, J=2,8 Гц, 1H), 7,91 (ушир.с, 1H), 8,13 (с, 1H).
Пример 34
Синтез 1-(1-(2-(6-метокси-2-метил-1-оксо-1,2,3,4-тетрагидроизохинолин-5-ил)этил)пиперидин-4-ил)-1H-индол-6-карбоксамида

Требуемое соединение синтезировали из 6-гидрокси-2-метил-3,4-дигидро-2H-изохинолин-1-она (CAS#: 308110-07-8) способом, описанным в примере 22.
1H-ЯМР (ДМСО-d6) (м.д.): 1,93-2,09 (м, 4H), 2,23-2,34 (м, 2H), 2,38-2,48 (м, 2H), 2,78-2,87 (м, 2H), 2,94-3,03 (м, 2H), 3,00 (с, 3H), 3,07-3,16 (м, 2H), 3,49-3,56 (м, 2H), 3,85 (с, 3H), 4,37-4,47 (м, 1H), 6,48-6,53 (м, 1H), 6,97 (д, J=8,4 Гц, 1H), 7,21 (ушир.с, 1H), 7,53-7,61 (м, 2H), 7,68 (д, J=3,2 Гц, 1H), 7,85 (д, J=8,4 Гц, 1H), 7,91 (ушир.с, 1H), 8,12 (с, 1H).
Пример 35
Синтез 1-{1-[2-(7-метокси-4-оксо-4H-хромен-8-ил)этил]пиперидин-4-ил}-1H-индол-6-карбоксамида

Требуемое соединение синтезировали из 7-гидрокси-4H-1-бензопиран-4-она (J. Med. Chem. 34 (1991) 1, 248) способом, описанным в примере 22.
1H-ЯМР (ДМСО-d6) (м.д.): 1,95-2,07 (м, 4H), 2,25-2,35 (м, 2H), 2,50-2,58 (м, 2H), 2,99-3,05 (м, 2H), 3,11-3,19 (м, 2H), 3,96 (с, 3H), 4,38-4,48 (м, 1H), 6,27 (д, J=6,0 Гц, 1H), 6,50 (д, J=2,8 Гц, 1H), 7,21 (ушир.с, 1H), 7,25 (д, J=9,2 Гц, 1H), 7,54-7,60 (м, 2H), 7,66 (д, J=3,2 Гц, 1H), 7,91 (ушир.с, 1H), 7,94 (д, J=9,2 Гц, 1H), 8,13 (с, 1H), 8,31 (д, J=6,4 Гц, 1H).
Пример 36
Синтез 1-{1-[2-(7-метокси-2,3-диметил-4-оксо-4H-хромен-8-ил)этил]пиперидин-4-ил}-1H-индол-6-карбоксамида

(1) 2,3-Диметил-7-гидрокси-4H-1-бензопиран-4-он
Требуемое соединение синтезировали из 2′,4′-дигидроксипропиофенона в соответствии с Bull. Chem. Soc. Jpn., 67, 1972 (1994).
1H-ЯМР (ДМСО-d6) (м.д.): 1,91 (с, 3H), 2,36 (с, 3H), 6,76 (д, J=1,6 Гц, 1H), 6,86 (дд, J=1,6, 8,8 Гц, 1H), 7,84 (д, J=8,8 Гц, 1H), 10,64 (ушир.с, 1H).
(2) 1-{1-[2-(7-Метокси-2,3-диметил-4-оксо-4H-хромен-8-ил)этил]пиперидин-4-ил}-1H-индол-6-карбоксамид
Требуемое соединение синтезировали из 2,3-диметил-7-гидрокси-4H-1-бензопиран-4-она способом, описанным в примере 22.
1H-ЯМР (ДМСО-d6) (м.д.): 1,92-2,07 (м, 4H), 1,94 (с, 3H), 2,27-2,36 (м, 2H), 2,43 (с, 3H), 2,51-2,60 (м, 2H), 2,97-3,05 (м, 2H), 3,13-3,21 (м, 2H), 3,95 (с, 3H), 4,38-4,48 (м, 1H), 6,50 (д, J=3,2 Гц, 1H), 7,19 (д, J=8,8 Гц, 1H), 7,21 (ушир.с, 1H), 7,53-7,60 (м, 2H), 7,67 (д, J=3,2 Гц, 1H), 7,86-7,94 (м, 1H), 7,91 (д, J=8,8 Гц, 1H), 8,13 (с, 1H).
Пример 37
Синтез 1-{1-[2-(7-метокси-3,3-диметил-4-оксохроман-8-ил)этил]пиперидин-4-ил}-1H-индол-6-карбоксамида

(1) 7-Гидрокси-3,3-диметил-4-оксохроман
Требуемое соединение синтезировали из резорцинола и 3-хлорпиваловой кислоты в соответствии с J. Org. Chem. 1994, 59, 1216.
1H-ЯМР (ДМСО-d6) (м.д.): 1,06 (с, 6H), 4,14 (с, 2H), 6,31 (д, J=2,4 Гц, 1H), 6,50 (дд, J=2,4, 8,8 Гц, 1H), 7,61 (д, J=8,8 Гц, 1H), 10,53 (ушир.с, 1H).
(2) 1-{1-[2-(7-Метокси-3,3-диметил-4-оксохроман-8-ил)этил]пиперидин-4-ил}-1H-индол-6-карбоксамид
Требуемое соединение синтезировали из 7-гидрокси-3,3-диметил-4-оксохромана способом, описанным в примере 22.
1H-ЯМР (ДМСО-d6) (м.д.): 1,09 (с, 6H), 1,92-2,08 (м, 4H), 2,20-2,30 (м, 2H), 2,43-2,52 (м, 2H), 2,76-2,84 (м, 2H), 3,08-3,16 (м, 2H), 3,88 (с, 3H), 4,23 (с, 2H), 4,37-4,46 (м, 1H), 6,50 (д, J=3,2 Гц, 1H), 6,82 (д, J=8,8 Гц, 1H), 7,21 (ушир.с, 1H), 7,54-7,61 (м, 2H), 7,65 (д, J=3,2 Гц, 1H), 7,69 (д, J=8,8 Гц, 1H), 7,91 (ушир.с, 1H), 8,12 (с, 1H).
Пример 38
Синтез 1-{1-[2-(6-метокси-2-метил-1-оксо-1,2,3,4-тетрагидроизохинолин-7-ил)этил]пиперидин-4-ил}-N-метил-1H-индол-6-карбоксамида

Требуемое соединение синтезировали из 6-гидрокси-2-метил-3,4-дигидро-2H-изохинолин-1-она (CAS#: 308110-07-8) способами, описанными в примере 22, (1), (2) и (3) и примере 23, (5).
1H-ЯМР (ДМСО-d6) (м.д.): 1,92-2,08 (м, 4H), 2,23-2,31 (м, 2H), 2,49-2,57 (м, 2H), 2,74-2,81 (м, 2H), 2,82 (д, J=4,4 Гц, 3H), 2,94 (т, J=6,4 Гц, 2H), 2,99 (с, 3H), 3,07-3,16 (м, 2H), 3,51 (т, J=6,4 Гц, 2H), 3,86 (с, 3H), 4,36-4,46 (м, 1H), 6,50 (д, J=2,8 Гц, 1H), 6,87 (с, 1H), 7,51-7,58 (м, 2H), 7,66 (д, J=2,8 Гц, 1H), 7,67 (с, 1H), 8,06 (с, 1H), 8,30-8,37 (м, 1H).
Пример 39
Синтез 1-{1-[2-(6-метоксиметилоксо-1,4-дигидро-2H-бенз[d][1,3]оксазин-7-ил)этил]пиперидин-4-ил}-1H-индол-6-карбоксамида

Требуемое соединение синтезировали из 7-аллил-6-метокси-1-метил-1,4-дигидробенз[d][1,3]оксазин-2-она способом, описанным в примере 20, (4).
1H-ЯМР (ДМСО-d6) (м.д.): 1,93-2,08 (м, 4H), 2,22-2,32 (м, 2H), 2,52-2,61 (м, 2H), 2,76-2,83 (м, 2H), 3,08-3,15 (м, 2H), 3,26 (с, 3H), 3,79 (с, 3H), 4,37-4,47 (м, 1H), 5,19 (с, 2H), 6,50 (д, J=3,2 Гц, 1H), 6,94 (с, 1H), 6,99 (с, 1H), 7,21 (ушир.с, 1H), 7,54-7,60 (м, 2H), 7,67 (д, J=3,2 Гц, 1H), 7,91 (ушир.с, 1H), 8,12 (с, 1H).
Пример 40
Синтез 1-{1-[2-(7-метокси-2-метоксиметил-2-метил-4-оксохроман-8-ил)этил]пиперидин-4-ил}-1H-индол-6-карбоксамида

(1) 8-Аллил-7-метокси-2-метоксиметил-2-метил-4-оксохроман
445 мг 3′-Аллил-2′-гидрокси-4′-метоксиацетофенона и 0,57 г метоксиацетона растворяли в 10 мл толуола. После этого к реакционному раствору добавляли 0,19 г пирролидина и 0,19 мл уксусной кислоты. Затем реакционный раствор кипятили с обратным холодильником в течение 1 часа с использованием аппарата Дина-Старка. После этого реакционный раствор охлаждали до комнатной температуры. Добавляли к реакционному раствору 1,14 г метоксиацетона, 0,38 г пирролидина и 0,38 мл уксусной кислоты и полученную смесь еще нагревали при кипячении с обратным холодильником в течение ночи. Реакционный раствор охлаждали до комнатной температуры и затем концентрировали при пониженном давлении. Остаток разбавляли этилацетатом и затем промывали последовательно 2 н. хлороводородной кислотой, 1 н. водным раствором гидроксида натрия, водой и насыщенным водным раствором хлорида натрия. Органический слой сушили над сульфатом магния и затем концентрировали при пониженном давлении. Остаток очищали хроматографией на колонке с силикагелем (гексан-этилацетат) с получением 194 мг требуемого соединения.
1H-ЯМР (CDCl3) (м.д.): 1,36 (с, 3H), 2,53 (д, J=16,0 Гц, 1H), 2,98 (д, J=16,0 Гц, 1H), 3,34-3,40 (м, 2H), 3,41 (с, 3H), 3,43 (д, J=8,8 Гц, 1H), 3,55 (д, J=8,8 Гц, 1H), 3,88 (с, 3H), 4,92-5,03 (м, 2H), 5,84-5,95 (м, 1H), 6,58 (д, J=9,2 Гц, 1H), 7,79 (д, J=9,2 Гц, 1H).
(2) 1-{1-[2-(7-Метокси-2-метоксиметил-2-метил-4-оксохроман-8-ил)этил]пиперидин-4-ил}-1H-индол-6-карбоксамид
Требуемое соединение синтезировали из 8-аллил-7-метокси-2-метоксиметил-2-метил-4-оксохромана способом, описанным в примере 22, (4).
1H-ЯМР (ДМСО-d6) (м.д.): 1,33 (с, 3H), 1,92-2,10 (м, 4H), 2,23-2,34 (м, 2H), 2,40-2,52 (м, 2H), 2,61 (д, J=16,8 Гц, 1H), 2,74-2,82 (м, 2H), 2,86 (д, J=16,8 Гц, 1H), 3,07-3,17 (м, 2H), 3,31 (с, 3H), 3,49 (с, 2H), 3,87 (с, 3H), 4,37-4,48 (м, 1H), 6,51 (д, J=3,2 Гц, 1H), 6,75 (д, J=8,8 Гц, 1H), 7,21 (ушир.с, 1H), 7,53-7,61 (м, 2H), 7,64 (д, J=8,8 Гц, 1H), 7,68 (д, J=3,2 Гц, 1H), 7,91 (ушир.с, 1H), 8,13 (с, 1H).
Пример 41
Синтез 1-{1-[2-(7-метокси-4-оксоспиро(хроман-2,1′-циклопентан)-8-ил)этил]пиперидин-4-ил}-1H-индол-6-карбоксамида

Требуемое соединение синтезировали из 3′-аллил-2′-гидрокси-4′-метоксиацетофенона способом, описанным в примере 40.
1H-ЯМР (ДМСО-d6) (м.д.): 1,60-1,90 (м, 6H), 1,90-2,10 (м, 6H), 2,22-2,32 (м, 2H), 2,40-2,48 (м, 2H), 2,73-2,81 (м, 2H), 2,83 (с, 2H), 3,08-3,15 (м, 2H), 3,88 (с, 3H), 4,37-4,48 (м, 1H), 6,51 (д, J=3,2 Гц, 1H), 6,60 (д, J=8,8 Гц, 1H), 7,21 (ушир.с, 1H), 7,53-7,61 (м, 2H), 7,66 (д, J=8,8 Гц, 1H), 7,68 (д, J=3,2 Гц, 1H), 7,91 (ушир.с, 1H), 8,14 (с, 1H).
Пример 42
Синтез 1-{1-[2-(5,7-диметокси-2,2-диметил-4-оксохроман-8-ил)этил]пиперидин-4-ил}-1H-индол-6-карбоксамида

(1) 5,7-Дигидрокси-2,2-диметил-4-оксохроман
40 мл Метансульфоновой кислоты добавляли к 1,99 г пентоксида дифосфора в атмосфере азота. После этого к реакционному раствору добавляли смесь, состоящую из 3,15 г 1,3,5-тригидроксибензола и 3,3-диметилакриловой кислоты, при 70°C. Реакционный раствор перемешивали при 70°C в течение 30 минут и затем охлаждали до комнатной температуры. Реакционный раствор добавляли к ледяной воде с последующим экстрагированием этилацетатом. Экстракт промывали водой и насыщенным водным раствором хлорида натрия. Органический слой сушили над сульфатом магния и затем концентрировали при пониженном давлении. Остаток очищали хроматографией на колонке с силикагелем (гексан/этилацетат) с получением 2,81 г требуемого соединения.
1H-ЯМР (CDCl3) (м.д.): 1,43 (с, 6H), 2,68 (с, 2H), 5,53 (ушир.с, 1H), 5,87 (д, J=2,4 Гц, 1H), 5,93 (д, J=2,4 Гц, 1H), 12,03 (с, 1H).
(2) 7-Аллилокси-5-гидрокси-2,2-диметил-4-оксохроман
2,81 г 5,7-Дигидрокси-2,2-диметил-4-оксохромана растворяли в 60 мл ацетона. После этого к реакционному раствору добавляли 2,05 г карбоната калия и 1,80 г аллилбромида и полученную смесь перемешивали при комнатной температуре в течение 24 часов. Затем к реакционному раствору еще добавляли 0,20 г карбоната калия и 0,18 г аллилбромида и полученную смесь перемешивали при комнатной температуре в течение 10 часов. После этого к реакционному раствору еще добавляли 0,20 г карбоната калия и 0,18 г аллилбромида и полученную смесь перемешивали при комнатной температуре в течение 14 часов. Затем к реакционному раствору добавляли еще 0,20 г карбоната калия и 0,18 г аллилбромида и полученную смесь перемешивали при комнатной температуре в течение 7 часов. Реакционный раствор концентрировали при пониженном давлении и остаток разбавляли этилацетатом. Полученный продукт промывали водой и насыщенным водным раствором хлорида натрия. Органический слой сушили над сульфатом магния и затем концентрировали при пониженном давлении. Остаток очищали хроматографией на колонке с силикагелем (гексан/этилацетат) с получением 2,90 г требуемого соединения.
1H-ЯМР (CDCl3) (м.д.): 1,46 (с, 6H), 2,68 (с, 2H), 4,52-4,57 (м, 2H), 5,29-5,35 (м, 1H), 5,37-5,45 (м, 1H), 5,94-6,07 (м, 3H), 11,99 (с, 1H).
(3) 7-Аллилокси-5-метокси-2,2-диметил-4-оксохроман
2,90 г 7-Аллилокси-5-гидрокси-2,2-диметил-4-оксохроман растворяли в 50 мл N,N-диметилформамида. После этого к реакционному раствору добавляли 2,42 г карбоната калия и 2,32 г йодметана и полученную смесь перемешивали при комнатной температуре в течение 3 дней. Потом реакционный раствор разбавляли этилацетатом. Полученный продукт промывали насыщенным водным раствором хлорида натрия. Органический слой сушили над сульфатом магния и затем концентрировали при пониженном давлении. Остаток очищали хроматографией на колонке с силикагелем (гексан/этилацетат) с получением 2,79 г требуемого соединения.
1H-ЯМР (CDCl3) (м.д.): 1,43 (с, 6H), 2,64 (с, 2H), 3,87 (с, 3H), 4,54 (д, J=5,6 Гц, 2H), 5,33 (дд, J=1,6, 10,0 Гц, 1H), 5,42 (дд, J=1,6, 17,2 Гц, 1H), 5,98-6,10 (м, 1H), 6,03 (д, J=2,0 Гц, 1H), 6,06 (д, J=2,0 Гц, 1H).
(4) 1-{1-[2-(5,7-Диметокси-2,2-диметил-4-оксохроман-8-ил)этил]пиперидин-4-ил}-1H-индол-6-карбоксамид
Требуемое соединение синтезировали из 7-аллилокси-5-метокси-2,2-диметил-4-оксохромана способами, описанными в примере 22, (2), (3) и (4).
1H-ЯМР (ДМСО-d6) (м.д.): 1,37 (с, 6H), 1,92-2,10 (м, 4H), 2,20-2,31 (м, 2H), 2,35-2,45 (м, 2H), 2,59 (с, 2H), 2,64-2,73 (м, 2H), 3,07-3,16 (м, 2H), 3,81 (с, 3H), 3,89 (с, 3H), 4,37-4,47 (м, 1H), 6,28 (с, 1H), 6,50 (д, J=3,2 Гц, 1H), 7,21 (ушир.с, 1H), 7,53-7,61 (м, 2H), 7,67 (д, J=3,2 Гц, 1H), 7,91 (ушир.с, 1H), 8,13 (с, 1H).
Пример 43
Синтез 1-{1-[2-(7-метокси-4-оксоспиро(хроман-2,4′-оксан)-8-ил)этил]пиперидин-4-ил}-1H-индол-6-карбоксамида

(1) 7-Гидрокси-4-оксоспиро(хроман-2,4′-оксан)
Требуемое соединение синтезировали из резорцинола и (тетрагидропиран-4-илиден)уксусной кислоты способом, описанным в примере 42, (1).
1H-ЯМР (CDCl3) (м.д.): 1,72-1,82 (м, 2H), 1,94-2,02 (м, 2H), 2,69 (с, 2H), 3,73-3,89 (м, 4H), 6,01 (ушир.с, 1H), 6,43 (д, J=2,4 Гц, 1H), 6,49 (дд, J=2,4, 8,4 Гц, 1H), 7,79 (д, J=8,4 Гц, 1H).
(2) 1-{1-[2-(7-Метокси-4-оксоспиро(хроман-2,4′-оксан)-8-ил)этил]пиперидин-4-ил}-1H-индол-6-карбоксамид
Требуемое соединение синтезировали из 7-гидрокси-4-оксоспиро(хроман-2,4′-оксан) способом, описанным в примере 22.
1H-ЯМР (ДМСО-d6) (м.д.): 1,70-1,90 (м, 4H), 1,94-2,12 (м, 4H), 2,27-2,36 (м, 2H), 2,47-2,57 (м, 2H), 2,77 (с, 2H), 2,83-2,92 (м, 2H), 3,10-3,20 (м, 2H), 3,67-3,77 (м, 4H), 3,89 (с, 3H), 4,40-4,50 (м, 1H), 6,51 (д, J=3,2 Гц, 1H), 6,78 (д, J=8,8 Гц, 1H), 7,21 (ушир.с, 1H), 7,54-7,61 (м, 2H), 7,64-7,71 (м, 2H), 7,91 (ушир.с, 1H), 8,15 (с, 1H).
Пример 44
Синтез 1-{1-[2-(2-метоксинафталин-1-ил)этил]пиперидин-4-ил}-1H-индол-6-карбоксамида

При охлаждении на льду 0,61 г трет-бутоксида калия добавляли к 20 мл тетрагидрофурановой суспензии, содержащей 2,28 г (метоксиметил)трифенилфосфонийхлорида, в атмосфере азота. Полученную смесь перемешивали в течение 5 минут. После этого к реакционному раствору добавляли 600 мг 2-метокси-1-нафтальдегида при охлаждении на льду. Полученную смесь перемешивали при той же самой температуре в течение 20 минут. Реакционный раствор разбавляли этилацетатом и затем промывали водой и насыщенным водным раствором хлорида натрия. Органический слой сушили над сульфатом магния и затем концентрировали при пониженном давлении. Остаток очищали хроматографией на колонке с силикагелем (гексан-этилацетат) с получением 667 мг 2-метокси-1-(2-метоксивинил)нафталина, содержащего небольшое количество трифенилфосфина. Данное соединение использовали в следующей реакции без дальнейшей очистки.
120 мг 2-Метокси-1-(2-метоксивинил)нафталина растворяли в 4 мл смеси 2 н. хлороводородная кислота-тетрагидрофуран (1:1). Полученную смесь затем перемешивали при 70°C в течение 2 часов. Реакционный раствор охлаждали до комнатной температуры и затем разбавляли этилацетатом. Полученный продукт промывали водой и насыщенным водным раствором хлорида натрия. Органический слой сушили над сульфатом магния и затем концентрировали при пониженном давлении с получением 115 мг (2-метоксинафталин-1-ил)ацетальдегида. Данное соединение использовали в следующей реакции без дальнейшей очистки.
70 мг 1-(Пиперидин-4-ил)-1H-индол-6-карбоксамида и 115 мг (2-метоксинафталин-1-ил)ацетальдегида растворяли в 2 мл тетрагидрофурана. После этого к реакционному раствору добавляли 0,03 мл уксусной кислоты и 91 мг триацетоксиборгидрида натрия и полученную смесь перемешивали при комнатной температуре в течение ночи. Затем добавляли к реакционному раствору насыщенный водный раствор бикарбоната натрия и смесь экстрагировали хлороформом. Экстракт сушили над сульфатом магния и затем концентрировали при пониженном давлении. Остаток очищали хроматографией на колонке с силикагелем (этилацетат-метанол) с получением 72 мг требуемого соединения.
1H-ЯМР (ДМСО-d6) (м.д.): 1,98-2,14 (м, 4H), 2,30-2,40 (м, 2H), 2,50-2,60 (м, 2H), 3,18-3,38 (м, 4H), 3,95 (с, 3H), 4,40-4,50 (м, 1H), 6,52 (д, J=3,2 Гц, 1H), 7,22 (ушир.с, 1H), 7,33-7,40 (м, 1H), 7,45 (д, J=9,2 Гц, 1H), 7,50-7,62 (м, 3H), 7,70 (д, J=3,2 Гц, 1H), 7,82-7,90 (м, 2H), 7,92 (ушир.с, 1H), 7,97 (д, J=8,4 Гц, 1H), 8,15 (с, 1H).
Пример 45
Синтез 1-{1-[2-(3-метоксинафталин-2-ил)этил]пиперидин-4-ил}-1H-индол-6-карбоксамида

Требуемое соединение синтезировали из 3-метокси-2-нафталинкарбальдегида (CAS#: 56679-88-0) способом, описанным в примере 44.
1H-ЯМР (ДМСО-d6) (м.д.): 1,93-2,10 (м, 4H), 2,25-2,35 (м, 2H), 2,63-2,70 (м, 2H), 2,90-2,96 (м, 2H), 3,11-3,19 (м, 2H), 3,93 (с, 3H), 4,38-4,48 (м, 1H), 6,50 (д, J=3,2 Гц, 1H), 7,21 (ушир.с, 1H), 7,28-7,35 (м, 2H), 7,37-7,44 (м, 1H), 7,53-7,60 (м, 2H), 7,68 (д, J=3,2 Гц, 1H), 7,72 (с, 1H), 7,75-7,81 (м, 2H), 7,92 (ушир.с, 1H), 8,14 (с, 1H).
Пример 46
Синтез 1-{1-[2-(4-гидрокси-7-метоксихроман-8-ил)этил]пиперидин-4-ил}-1H-индол-6-карбоксамида

52 мг 1-(1-(2-(7-Метокси-4-оксо-4H-хромен-8-ил)этил)пиперидин-4-ил)-1H-индол-6-карбоксамида растворяли в 6 мл смеси метанол-тетрагидрофуран (1:1). После этого к реакционному раствору добавляли 5 мг боргидрида натрия при охлаждении на льду. Полученную смесь затем перемешивали при комнатной температуре в течение 2 часов. После этого добавляли к реакционному раствору 5 мг боргидрида натрия и еще по 5 мг боргидрида натрия спустя 2 часа и 4 часа. Потом реакционный раствор перемешивали при той же самой температуре в течение ночи. Добавляли к реакционному раствору насыщенный водный раствор бикарбоната натрия с последующим экстрагированием хлороформом. Экстракт сушили над сульфатом магния и затем концентрировали при пониженном давлении. Остаток очищали хроматографией на колонке с NH силикагелем (этилацетат-метанол) с получением 30 мг требуемого соединения.
1H-ЯМР (ДМСО-d6) (м.д.): 1,80-1,88 (м, 1H), 1,90-2,10 (м, 5H), 2,19-2,28 (м, 2H), 2,36-2,44 (м, 2H), 2,69-2,77 (м, 2H), 3,07-3,15 (м, 2H), 3,76 (с, 3H), 4,16-4,24 (м, 2H), 4,37-4,46 (м, 1H), 4,55-4,60 (м, 1H), 5,17 (д, J=5,2 Гц, 1H), 6,50 (д, J=3,2 Гц, 1H), 6,56 (д, J=8,8 Гц, 1H), 7,11 (д, J=8,8 Гц, 1H), 7,21 (ушир.с, 1H), 7,54-7,60 (м, 2H), 7,67 (д, J=3,2 Гц, 1H), 7,91 (ушир.с, 1H), 8,12 (с, 1H).
Пример 47
Синтез 1-{1-[2-(7-метокси-4-оксохроман-8-ил)этил]пиперидин-4-ил}-1H-индол-6-карбоксамида

42 мг 1-(1-(2-(7-Метокси-4-оксо-4H-хромен-8-ил)этил)пиперидин-4-ил)-1H-индол-6-карбоксамида растворяли в 3 мл метанола. После этого к реакционному раствору добавляли 15 мг 10% палладия-на-углероде. Полученную смесь затем перемешивали при комнатной температуре в течение 15 часов в атмосфере водорода. После этого еще добавляли к реакционному раствору 15 мг 10% палладия-на-углероде. Полученную смесь затем перемешивали при той же самой температуре в течение 4 часов. После этого палладий-на-углероде удаляли фильтрованием и фильтрат концентрировали при пониженном давлении. Остаток очищали хроматографией на колонке с NH силикагелем (этилацетат) с получением 20 мг требуемого соединения.
1H-ЯМР (ДМСО-d6) (м.д.): 1,93-2,08 (м, 4H), 2,20-2,30 (м, 2H), 2,42-2,50 (м, 2H), 2,72 (т, J=6,3 Гц, 2H), 2,74-2,82 (м, 2H), 3,08-3,16 (м, 2H), 3,88 (с, 3H), 4,37-4,47 (м, 1H), 4,54 (т, J=6,3 Гц, 2H), 6,50 (д, J=2,8 Гц, 1H), 6,80 (д, J=8,8 Гц, 1H), 7,21 (ушир.с, 1H), 7,55-7,60 (м, 2H), 7,67 (д, J=2,8 Гц, 1H), 7,69 (д, J=8,8 Гц, 1H), 7,91 (ушир.с, 1H), 8,12 (с, 1H).
Пример 48
Синтез 1-{1-[2-(4-гидрокси-7-метокси-2,2-диметилхроман-8-ил)этил]пиперидин-4-ил}-N-метил-1H-индол-6-карбоксамида

259 мг 1-(1-(2-(7-Метокси-2,2-диметил-4-оксохроман-8-ил)этил)пиперидин-4-ил)-N-метил-1H-индол-6-карбоксамида растворяли в 5 мл метанола. После этого к реакционному раствору добавляли 60 мг боргидрида натрия при охлаждении на льду. Полученную смесь затем перемешивали при комнатной температуре в течение ночи. После этого добавляли к реакционному раствору насыщенный водный раствор бикарбоната натрия с последующим экстрагированием полученной смеси метиленхлоридом. Экстракт сушили над сульфатом магния и затем концентрировали при пониженном давлении. Остаток очищали хроматографией на колонке с NH силикагелем (этилацетат) и затем очищали хроматографией на колонке с силикагелем (этилацетат-метанол) с получением 216 мг требуемого соединения.
1H-ЯМР (ДМСО-d6) (м.д.): 1,24 (с, 3H), 1,37 (с, 3H), 1,92-2,00 (м, 5H), 2,26 (т, J=11,2 Гц, 2H), 2,37-2,46 (м, 2H), 2,68-2,77 (м, 2H), 2,82 (д, J=4,4 Гц, 3H), 3,07-3,16 (м, 2H), 3,75 (с, 3H), 4,36-4,45 (м, 1H), 4,60-4,66 (м, 1H), 5,17 (д, J=6,0 Гц, 1H), 6,50 (д, J=3,2 Гц, 1H), 6,55 (д, J=8,8 Гц, 1H), 7,23 (д, J=8,8 Гц, 1H), 7,51-7,58 (м, 2H), 7,66 (д, J=3,2 Гц, 1H), 8,06 (с, 1H), 8,19-8,36 (м, 1H).
Пример 49
Синтез 1-{1-[2-(1-гидрокси-5-метоксииндан-4-ил)этил]пиперидин-4-ил}-1H-индол-6-карбоксамида

Требуемое соединение синтезировали из 1-(1-(2-(5-метокси-1-оксоиндан-4-ил)этил)пиперидин-4-ил)-1H-индол-6-карбоксамида способом, описанным в примере 48.
1H-ЯМР (ДМСО-d6) (м.д.): 1,72-1,83 (м, 1H), 1,90-2,10 (м, 4H), 2,20-2,37 (м, 3H), 2,40-2,50 (м, 2H), 2,62-2,78 (м, 3H), 2,87-2,97 (м, 1H), 3,05-3,16 (м, 2H), 3,77 (с, 3H), 4,36-4,47 (м, 1H), 4,96-5,05 (м, 2H), 6,47-6,53 (м, 1H), 6,82 (д, J=8,0 Гц, 1H), 7,13 (д, J=8,0 Гц, 1H), 7,21 (ушир.с, 1H), 7,52-7,62 (м, 2H), 7,64-7,70 (м, 1H), 7,91 (ушир.с, 1H), 8,12 (с, 1H).
Пример 50
Синтез 1-{1-[2-(3-гидрокси-6-метоксииндан-5-ил)этил]пиперидин-4-ил}-1H-индол-6-карбоксамида

Требуемое соединение синтезировали из 1-(1-(2-(6-метокси-3-оксоиндан-5-ил)этил)пиперидин-4-ил)-1H-индол-6-карбоксамида способом, описанным в примере 48.
1H-ЯМР (ДМСО-d6) (м.д.): 1,72-1,82 (м, 1H), 1,90-2,10 (м, 4H), 2,20-2,36 (м, 3H), 2,44-2,57 (м, 2H), 2,63-2,79 (м, 3H), 2,85-2,94 (м, 1H), 3,07-3,16 (м, 2H), 3,78 (с, 3H), 4,37-4,48 (м, 1H), 4,98 (дд, J=5,6, 12,0 Гц, 1H), 5,03 (д, J=5,6 Гц, 1H), 6,51 (д, J=3,2 Гц, 1H), 6,82 (с, 1H), 7,11 (с, 1H), 7,21 (ушир.с, 1H), 7,53-7,62 (м, 2H), 7,67 (д, J=3,2 Гц, 1H), 7,92 (ушир.с, 1H), 8,13 (с, 1H).
Пример 51
Синтез 1-{1-[2-(6-метоксихинолин-7-ил)этил]пиперидин-4-ил}-1H-индол-6-карбоксамида

(1) 1-Аллил-2-метокси-5-нитробензол
Требуемое соединение синтезировали из 2-аллилфенола способом, описанным в примере 23, (1).
1H-ЯМР (CDCl3) (м.д.): 3,42 (д, J=6,8 Гц, 2H), 3,94 (с, 3H), 5,07-5,17 (м, 2H), 5,91-6,03 (м, 1H), 6,90 (д, J=9,2 Гц, 1H), 8,06 (д, J=2,4 Гц, 1H), 8,15 (дд, J=2,4, 9,2 Гц, 1H).
(2) 3-Аллил-4-метоксианилин
15,0 г 1-аллил-2-метокси-5-нитробензола, 33,4 г аммонийхлорида и 17,5 г железа суспендировали в 270 мл этанола и 55 мл воды. Реакционный раствор нагревали при кипячении с обратным холодильником в течение 1 часа. После этого реакционный раствор охлаждали до комнатной температуры и удаляли фильтрованием нерастворимые материалы. Фильтрат концентрировали при пониженном давлении. Остаток разбавляли этилацетатом и затем промывали насыщенным водным раствором бикарбоната натрия и насыщенным водным раствором хлорида натрия. Органический слой сушили над сульфатом магния и затем концентрировали при пониженном давлении. Остаток очищали хроматографией на колонке с силикагелем (гексан-этилацетат) с получением 11,1 г требуемого соединения.
1H-ЯМР (CDCl3) (м.д.): 3,32 (д, J=6,4 Гц, 2H), 3,39 (ушир.с, 2H), 3,76 (с, 3H), 5,00-5,10 (м, 2H), 5,91-6,03 (м, 1H), 6,51-6,57 (м, 2H), 6,67-6,73 (м, 1H).
(3) 6-Метоксихинолин-7-карбальдегид
6-Метокси-7-(1-пропенил)хинолин с изомеризованной двойной связью синтезировали из 3-аллил-4-метоксианилина в соответствии с Heterocycles, Vol. 54, No. 1, 105 (2001) (где изомеризацию осуществляли, обеспечивая 7-аллил-1-метансульфонил-6-метокси-1,2-дигидрохинолину возможность взаимодействовать с гидроксидом калия при 80°C в диметилсульфоксиде).
1,41 г AD-mix- и 93 мг метансульфонамида растворяли в 12 мл смеси трет-бутанол-вода (1:1). После этого к реакционному раствору добавляли 195 мг 6-метокси-7-(1-пропенил)хинолина и полученную смесь перемешивали в течение ночи. Потом добавляли к реакционному раствору 2,0 г сульфита натрия при охлаждении на льду и полученную смесь перемешивали при комнатной температуре в течение 30 минут. После этого к реакционному раствору добавляли насыщенный водный раствор хлорида натрия с последующим экстрагированием метиленхлоридом. Экстракт затем промывали 2 н. водным раствором гидроксида калия. Органический слой сушили над сульфатом магния и затем концентрировали при пониженном давлении с получением 236 мг 1-(6-метоксихинолин-7-ил)пропан-1,2-диола. Данное соединение использовали в следующей реакции без дальнейшей очистки.
236 мг 1-(6-Метоксихинолин-7-ил)пропан-1,2-диола растворяли в 8 мл тетрагидрофурана и 3 мл метанола. После этого к реакционному раствору добавляли при охлаждении на льду 4 мл воды, содержащей 0,43 г метапериодата натрия. Полученную смесь перемешивали при комнатной температуре в течение 1 часа. Реакционный раствор разбавляли этилацетатом и затем промывали водой и насыщенным водным раствором хлорида натрия. Органический слой сушили над сульфатом магния и затем концентрировали при пониженном давлении. Остаток очищали хроматографией на колонке с силикагелем (гексан-этилацетат) с получением 149 мг требуемого соединения.
1H-ЯМР (CDCl3) (м.д.): 4,06 (с, 3H), 7,18 (с, 1H), 7,44 (дд, J=4,4, 7,6 Гц, 1H), 8,05-8,11 (м, 1H), 8,57 (с, 1H), 8,84-8,89 (м, 1H), 10,61-10,64 (м, 1H).
(4) 1-{1-[2-(6-Метоксихинолин-7-ил)этил]пиперидин-4-ил}-1H-индол-6-карбоксамид
Требуемое соединение синтезировали из 6-метоксихинолин-7-карбальдегида способом, описанным в примере 44.
1H-ЯМР (ДМСО-d6) (м.д.): 1,94-2,10 (м, 4H), 2,27-2,86 (м, 2H), 2,66-2,73 (м, 2H), 2,96-3,02 (м, 2H), 3,12-3,20 (м, 2H), 3,96 (с, 3H), 4,39-4,49 (м, 1H), 6,50 (д, J=3,2 Гц, 1H), 7,21 (ушир.с, 1H), 7,35 (с, 1H), 7,43 (дд, J=4,4, 8,4 Гц, 1H), 7,53-7,61 (м, 2H), 7,68 (д, J=3,2 Гц, 1H), 7,84 (с, 1H), 7,92 (ушир.с, 1H), 8,14 (с, 1H), 8,20-8,26 (м, 1H), 8,71 (дд, J=1,2, 4,4 Гц, 1H).
Пример 52
Синтез 1-{1-[2-(1-ацетил-6-метокси-1,2,3,4-тетрагидрохинолин-7-ил)этил]пиперидин-4-ил}-1H-индол-6-карбоксамида

(1) 7-[2-(1,4-Диокса-8-азаспиро[4,5]декан-8-ил)этил]-6-метоксихинолин
При охлаждении на льду 0,82 г трет-бутоксида калия добавляли к 20 мл тетрагидрофурановой суспензии, содержащей 2,50 г (метоксиметил)трифенилфосфонийхлорида, в атмосфере азота. Полученную смесь затем перемешивали при той же самой температуре в течение 10 минут. После этого к реакционному раствору добавляли при охлаждении на льду 3 мл тетрагидрофуранового раствора, содержащего 545 мг 6-метоксихинолин-7-карбальдегида, и полученную смесь затем перемешивали при той же самой температуре в течение 15 минут. После этого реакционный раствор разбавляли этилацетатом и затем промывали водой и насыщенным водным раствором хлорида натрия. Органический слой сушили над сульфатом магния и затем концентрировали при пониженном давлении. Остаток очищали хроматографией на колонке с NH силикагелем (гексан-этилацетат) с получением 1,41 г 6-метокси-7-(2-метоксивинил)хинолина, содержащего трифенилфосфиноксид. Данное соединение использовали в следующей реакции без дальнейшей очистки.
1,41 г 6-Метокси-7-(2-метоксивинил)хинолина растворяли в 40 мл смеси 2 н. хлороводородная кислота-тетрагидрофуран (1:1) и полученную смесь затем перемешивали при 70°C в течение 2 часов. Реакционный раствор охлаждали до комнатной температуры. Разбавляли его этилацетатом и затем промывали насыщенным водным раствором бикарбоната натрия и насыщенным водным раствором хлорида натрия. Органический слой сушили над сульфатом магния и затем концентрировали при пониженном давлении с получением 1,45 г (6-метоксихинолин-7-ил)ацетальдегида, содержащего трифенилфосфиноксид. Данное соединение использовали в следующей реакции без дальнейшей очистки.
1,45 г (6-Метоксихинолин-7-ил)ацетальдегида и 0,63 г 1,4-диокса-8-азаспиро[4,5]декана растворяли в 20 мл метиленхлорида. После этого добавляли к реакционному раствору 0,42 мл уксусной кислоты и 0,74 г триацетоксиборгидрида натрия и полученную смесь перемешивали при комнатной температуре в течение 3 часов. После этого к реакционному раствору добавляли насыщенный водный раствор бикарбоната натрия с последующим экстрагированием метиленхлоридом. Экстракт сушили над сульфатом магния и затем концентрировали при пониженном давлении. Остаток очищали хроматографией на колонке с силикагелем (хлороформ-метанол) с получением 445 мг требуемого соединения.
1H-ЯМР (CDCl3) (м.д.): 1,75-1,86 (м, 4H), 2,59-2,77 (м, 6H), 2,97-3,07 (м, 2H), 3,94 (с, 3H), 3,97 (с, 4H), 7,00 (с, 1H), 7,29 (дд, J=4,4, 8,4 Гц, 1H), 7,84 (с, 1H), 8,01 (дд, J=1,6, 8,4 Гц, 1H), 8,72 (дд, J=1,6, 4,4 Гц, 1H).
(2) 1-ацетил-7-[2-(1,4-диокса-8-азаспиро[4,5]декан-8-ил)этил]-6-метокси-1,2,3,4-тетрагидрохинолин
445 мг 7-(2-(1,4-Диокса-8-азаспиро[4,5]декан-8-ил)этил)-6-метоксихинолина растворяли в 10 мл метанола. После этого к реакционному раствору добавляли 100 мг 10% палладия-на-углероде. Полученную смесь перемешивали в течение 6 часов в атмосфере водорода при давлении 4 кг/см2. После этого палладий-на-углероде удаляли фильтрованием и фильтрат концентрировали при пониженном давлении. Реакционный раствор перемешивали при указанных выше условиях в течение 10 часов 3 раза и затем концентрировали его при пониженном давлении. К остатку добавляли насыщенный водный раствор бикарбоната натрия с последующим экстрагированием хлороформом. Экстракт сушили над сульфатом магния и затем концентрировали при пониженном давлении с получением 459 мг 7-(2-(1,4-диокса-8-азаспиро[4,5]декан-8-ил)этил)-6-метокси-1,2,3,4-тетрагидрохинолина. Данное соединение использовали в следующей реакции без дальнейшей очистки.
3 мл уксусного ангидрида и 3 мл пиридина добавляли к 251 мг 7-(2-(1,4-диокса-8-азаспиро[4,5]декан-8-ил)этил)-6-метокси-1,2,3,4-тетрагидрохинолина и полученную смесь затем перемешивали при комнатной температуре в течение 90 минут. Реакционный раствор концентрировали при пониженном давлении. Остаток разбавляли этилацетатом и затем промывали водой и насыщенным водным раствором хлорида натрия. Органический слой сушили над сульфатом магния и затем концентрировали при пониженном давлении. Остаток очищали хроматографией на колонке с NH силикагелем (гексан-этилацетат) и затем хроматографией на колонке с силикагелем (этилацетат-метанол) с получением 162 мг требуемого соединения.
1H-ЯМР (CDCl3) (м.д.): 1,73-1,83 (м, 4H), 1,88-1,97 (м, 2H), 2,18 (ушир.с, 3H), 2,54-2,73 (м, 8H), 2,75-2,84 (м, 2H), 3,70-3,80 (м, 2H), 3,78 (с, 3H), 3,95 (с, 4H), 6,60 (с, 1H), 6,88 (ушир.с, 1H).
(3) 1-{1-[2-(1-ацетил-6-метокси-1,2,3,4-тетрагидрохинолин-7-ил)этил]пиперидин-4-ил}-1H-индол-6-карбоксамид
162 мг 1-Ацетил-7-(2-(1,4-диокса-8-азаспиро[4,5]декан-8-ил)этил)-6-метокси-1,2,3,4-тетрагидрохинолина растворяли в 6 мл смеси 2 н. хлороводородная кислота-тетрагидрофуран (1:1) и реакционный раствор затем перемешивали при 70°C в течение 10 часов. Реакционный раствор охлаждали до комнатной температуры и добавляли к нему насыщенный водный раствор бикарбоната натрия с последующим экстрагированием метиленхлоридом. Экстракт сушили над сульфатом магния и затем концентрировали при пониженном давлении с получением 127 мг 1-(2-(1-ацетил-6-метокси-1,2,3,4-тетрагидрохинолин-7-ил)этил)пиперидин-4-она. Данное соединение использовали в следующей реакции без дальнейшей очистки.
172 мг 3-Амино-4-(2,2-диметоксиэтил)бензамида и 127 мг 1-(2-(1-ацетил-6-метокси-1,2,3,4-тетрагидрохинолин-7-ил)этил)пиперидин-4-она растворяли в 5 мл уксусной кислоты. После этого к реакционному раствору добавляли 0,65 г сульфата натрия и полученную смесь перемешивали при комнатной температуре в течение 1 часа. Потом добавляли к реакционному раствору 0,16 г триацетоксиборгидрида натрия и полученную смесь перемешивали в течение 1 часа. После этого к смеси добавляли 5 мл воды и полученную смесь перемешивали при 100°C в течение 2 часов. Реакционный раствор охлаждали до комнатной температуры, после чего концентрировали при пониженном давлении. К остатку добавляли насыщенный водный раствор бикарбоната натрия с последующим экстрагированием хлороформом. Экстракт сушили над сульфатом магния и затем концентрировали при пониженном давлении. Остаток очищали хроматографией на колонке с силикагелем (хлороформ-метанол) и хроматографией на колонке с NH силикагелем (этилацетат-метанол) с получением 146 мг требуемого соединения.
1H-ЯМР (ДМСО-d6) (м.д.): 1,78-1,89 (м, 2H), 1,91-2,06 (м, 4H), 2,14 (с, 3H), 2,19-2,30 (м, 2H), 2,47-2,57 (м, 2H), 2,63-2,77 (м, 4H), 3,06-3,13 (м, 2H), 3,63 (т, J=6,4 Гц, 2H), 3,78 (с, 3H), 4,37-4,46 (м, 1H), 6,50 (д, J=2,8 Гц, 1H), 6,78 (ушир.с, 1H), 7,06-7,26 (м, 2H), 7,53-7,60 (м, 2H), 7,65 (д, J=2,8 Гц, 1H), 7,91 (ушир.с, 1H), 8,12 (с, 1H).
Пример 53
Синтез 1-{1-[2-(6-метокси-1-метил-1,2,3,4-тетрагидрохинолин-7-ил)этил]пиперидин-4-ил}-1H-индол-6-карбоксамида


(1) 7-[2-(1,4-диокса-8-азаспиро[4,5]декан-8-ил)этил]-6-метокси-1-метил-1,2,3,4-тетрагидрохинолин
445 мг 7-(2-(1,4-Диокса-8-азаспиро[4,5]декан-8-ил)этил)-6-метоксихинолин растворяли в 10 мл метанола. После этого к реакционному раствору добавляли 100 мг 10% палладия-на-углероде. Полученную смесь перемешивали в течение 6 часов в атмосфере водорода при давлении 4 кг/см2. Палладий-на-углероде удаляли фильтрованием с последующим концентрированием при пониженном давлении. Реакционный раствор перемешивали при указанных условиях в течение 10 часов 3 раза с последующим концентрированием при пониженном давлении. К остатку добавляли насыщенный водный раствор бикарбоната натрия с последующим экстрагированием хлороформом. Экстракт сушили над сульфатом магния и затем концентрировали при пониженном давлении с получением 459 мг 7-(2-(1,4-диокса-8-азаспиро[4,5]декан-8-ил)этил)-6-метокси-1,2,3,4-тетрагидрохинолина. Данное соединение использовали в следующей реакции без дальнейшей очистки.
196 мг 7-(2-(1,4-Диокса-8-азаспиро[4,5]декан-8-ил)этил)-6-метокси-1,2,3,4-тетрагидрохинолина растворяли в 5 мл ацетонитрила. После этого к реакционному раствору добавляли 1 мл 37% формалина, 190 мг цианоборгидрида натрия и 0,15 мл уксусной кислоты и полученную смесь перемешивали при комнатной температуре в течение 1 часа. Потом реакционный раствор разбавляли этилацетатом, после чего промывали насыщенным водным раствором бикарбоната натрия и насыщенным водным раствором хлорида натрия. Органический слой сушили над сульфатом магния и затем концентрировали при пониженном давлении. Остаток очищали хроматографией на колонке с NH силикагелем (гексан-этилацетат) с получением 100 мг требуемого соединения.
1H-ЯМР (CDCl3) (м.д.): 1,52-1,63 (м, 3H), 1,75-1,88 (м, 3H), 1,94-2,01 (м, 2H), 2,52-2,86 (м, 8H), 2,81 (с, 3H), 3,07-3,12 (м, 2H), 3,72 (с, 3H), 3,97 (с, 4H), 6,48 (с, 1H), 6,51 (с, 1H).
(2) 1-{1-[2-(6-Метокси-1-метил-1,2,3,4-тетрагидрохинолин-7-ил)этил]пиперидин-4-ил}-1H-индол-6-карбоксамид
100 мг 7-(2-(1,4-Диокса-8-азаспиро[4,5]декан-8-ил)этил)-6-метокси-1-метил-1,2,3,4-тетрагидрохинолина растворяли в 6 мл смеси 2 н. хлороводородная кислота-тетрагидрофуран (1:1). Реакционный раствор перемешивали при 70°C в течение 7 часов. Реакционный раствор охлаждали до комнатной температуры. После этого добавляли к реакционному раствору насыщенный водный раствор бикарбоната натрия с последующим экстрагированием метиленхлоридом. Экстракт сушили над сульфатом магния и затем концентрировали при пониженном давлении с получением 87 мг 1-(2-(6-метокси-1-метил-1,2,3,4-тетрагидрохинолин-7-ил)этил)пиперидин-4-она. Данное соединение использовали в следующей реакции без дальнейшей очистки.
129 мг 3-Амино-4-(2,2-диметоксиэтил)бензамида и 87 мг 1-(2-(6-метокси-1-метил-1,2,3,4-тетрагидрохинолин-7-ил)этил)пиперидин-4-она растворяли в 4 мл уксусной кислоты. После этого к реакционному раствору добавляли 0,49 г сульфата натрия и полученную смесь перемешивали при комнатной температуре в течение 1 часа. Потом добавляли к реакционному раствору 0,12 г триацетоксиборгидрида натрия и полученную смесь перемешивали при комнатной температуре в течение 1 часа. После этого еще добавляли к реакционному раствору 4 мл воды и затем полученную смесь перемешивали при 100°C в течение 2 часов. Реакционный раствор охлаждали до комнатной температуры с последующим концентрированием при пониженном давлении. К остатку добавляли насыщенный водный раствор бикарбоната натрия с последующим экстрагированием хлороформом. Экстракт сушили над сульфатом магния и затем концентрировали при пониженном давлении. Остаток очищали хроматографией на колонке с силикагелем (этилацетат-метанол) и хроматографией на колонке с NH силикагелем (этилацетат) с получением 70 мг требуемого соединения.
1H-ЯМР (ДМСО-d6) (м.д.): 1,83-1,91 (м, 2H), 1,92-2,08 (м, 4H), 2,20-2,29 (м, 2H), 2,47-2,54 (м, 2H), 2,63-2,71 (м, 4H), 2,76 (с, 3H), 3,02-3,13 (м, 4H), 3,68 (с, 3H), 4,37-4,46 (м, 1H), 6,48 (с, 1H), 6,50 (д, J=3,2 Гц, 1H), 6,56 (с, 1H), 7,21 (ушир.с, 1H), 7,53-7,61 (м, 2H), 7,67 (д, J=3,2 Гц, 1H), 7,91 (ушир.с, 1H), 8,12 (с, 1H).
Пример 54
Синтез 1-{1-[2-(1-ацетил-6-метокси-1,2,3,4-тетрагидрохинолин-5-ил)этил]пиперидин-4-ил}-1H-индол-6-карбоксамида

(1) 5-Аллил-6-метоксихинолин
Требуемое соединение синтезировали из 6-гидроксихинолина способами, описанными в примере 22, (1), (2) и (3).
1H-ЯМР (CDCl3) (м.д.): 3,80-3,85 (м, 2H), 3,97 (с, 3H), 4,87-4,95 (м, 1H), 4,97-5,02 (м, 1H), 5,95-6,06 (м, 1H), 7,35 (дд, J=4,0, 8,4 Гц, 1H), 7,50 (д, J=9,2 Гц, 1H), 8,01 (д, J=9,2 Гц, 1H), 8,21-8,27 (м, 1H), 8,76 (дд, J=1,6, 4,0 Гц, 1H).
(2) 5-[2-(1,4-Диокса-8-азаспиро[4,5]декан-8-ил)этил]-6-метоксихинолин
1,24 г 5-Аллил-6-метоксихинолина растворяли в 5 мл трет-бутанола. После этого к реакционному раствору добавляли 70 мл трет-бутанол-водного (1:1) раствора, содержащего 10,3 г AD-mix- , и полученную смесь затем перемешивали при комнатной температуре в течение ночи. Потом добавляли к реакционному раствору 15 г сульфита натрия и полученную смесь перемешивали при комнатной температуре в течение 30 минут при охлаждении на льду. Добавляли к реакционному раствору насыщенный водный раствор хлорида натрия с последующим экстрагированием метиленхлоридом. Экстракт сушили над сульфатом магния и затем концентрировали при пониженном давлении с получением 1,69 г 3-(6-метоксихинолин-5-ил)пропан-1,2-диола. Данное соединение использовали в следующей реакции без дальнейшей очистки.
0,81 г 3-(6-Метоксихинолин-5-ил)пропан-1,2-диола растворяли в 24 мл тетрагидрофурана и 8 мл метанола. Затем к реакционному раствору добавляли при охлаждении на льду 12 мл воды, содержащей 1,49 г метапериодата натрия, после чего полученную смесь перемешивали при комнатной температуре в течение 45 минут. После этого к реакционному раствору добавляли насыщенный водный раствор хлорида натрия с последующим экстрагированием метиленхлоридом. Экстракт сушили над сульфатом магния и затем концентрировали при пониженном давлении с получением 0,72 г (6-метоксихинолин-5-ил)ацетальдегида. Данное соединение непосредственно использовали в следующей реакции без дальнейшей очистки.
0,72 г (6-Метоксихинолин-5-ил)ацетальдегида и 0,75 г 1,4-диокса-8-азаспиро[4,5]декана растворяли в 30 мл метиленхлорида. Затем к реакционному раствору добавляли 0,50 мл уксусной кислоты и 0,89 г триацетоксиборгидрида натрия и полученную смесь перемешивали при комнатной температуре в течение ночи. После этого насыщенный водный раствор бикарбоната натрия добавляли к реакционному раствору с последующим экстрагированием метиленхлоридом. Экстракт сушили над сульфатом магния и затем концентрировали при пониженном давлении. Остаток очищали хроматографией на колонке с NH силикагелем (гексан-этилацетат) с получением 1,01 г требуемого соединения.
1H-ЯМР (CDCl3) (м.д.): 1,77-1,87 (м, 4H), 2,53-2,77 (м, 6H), 3,23-3,32 (м, 2H), 3,97 (с, 3H), 3,98 (с, 4H), 7,37 (дд, J=4,0, 8,4 Гц, 1H), 7,47 (д, J=8,8 Гц, 1H), 8,00 (д, J=8,8 Гц, 1H), 8,26-8,34 (м, 1H), 8,76 (дд, J=1,6, 4,0 Гц, 1H).
(3) 1-{1-[2-(1-Ацетил-6-метокси-1,2,3,4-тетрагидрохинолин-5-ил)этил]пиперидин-4-ил}-1H-индол-6-карбоксамид
Требуемое соединение синтезировали из 5-(2-(1,4-диокса-8-азаспиро[4,5]декан-8-ил)этил)-6-метоксихинолина способами, описанными в примере 52, (2) и (3).
1H-ЯМР (ДМСО-d6) (м.д.): 1,80-1,92 (м, 2H), 1,93-2,14 (м, 4H), 2,24-2,33 (м, 2H), 2,38-2,46 (м, 2H), 2,55-2,73 (м, 2H), 2,77-2,85 (м, 2H), 3,08-3,16 (м, 2H), 3,63 (т, J=6,4 Гц, 2H), 3,80 (с, 3H), 4,37-4,47 (м, 1H), 6,51 (д, J=3,2 Гц, 1H), 6,83 (д, J=8,4 Гц, 1H), 7,06-7,26 (м, 2H), 7,54-7,61 (м, 2H), 7,67 (д, J=3,2 Гц, 1H), 7,91 (ушир.с, 1H), 8,13 (с, 1H).
Пример 55
Синтез 1-{1-[2-(6-метокси-1-метил-1,2,3,4-тетрагидрохинолин-5-ил)этил]пиперидин-4-ил}-1H-индол-6-карбоксамида

Требуемое соединение синтезировали из 5-(2-(1,4-диокса-8-азаспиро[4,5]декан-8-ил)этил)-6-метоксихинолина способами, описанными в примере 53, (1) и (2).
1H-ЯМР (ДМСО-d6) (м.д.): 1,87-2,10 (м, 6H), 2,23-2,32 (м, 2H), 2,35-2,42 (м, 2H), 2,66-2,78 (м, 4H), 2,75 (с, 3H), 3,00-3,06 (м, 2H), 3,07-3,16 (м, 2H), 3,69 (с, 3H), 4,36-4,47 (м, 1H), 6,46 (д, J=8,8 Гц, 1H), 6,51 (д, J=3,2 Гц, 1H), 6,69 (д, J=8,8 Гц, 1H), 7,21 (ушир.с, 1H), 7,54-7,61 (м, 2H), 7,68 (д, J=3,2 Гц, 1H), 7,91 (ушир.с, 1H), 8,12 (с, 1H).
Пример 56
Синтез 1-{1-[2-(6-метокси-2-оксо-1,2,3,4-тетрагидрохинолин-7-ил)этил]пиперидин-4-ил}-1H-индол-6-карбоксамида

(1) (4-Аллил-5-метокси-2-нитробензилокси)-трет-бутилдиметилсилан
229 мг 4-Аллил-5-метокси-2-нитробензилового спирта растворяли в 5 мл N,N-диметилформамида. После этого к реакционному раствору добавляли при охлаждении на льду 0,17 г имидазола и 0,23 г трет-бутилдиметилсилилхлорида. Полученную смесь перемешивали при комнатной температуре в течение 2 часов. После этого еще добавляли к реакционному раствору 34 мг имидазола и 46 мг трет-бутилдиметилсилилхлорида. Полученную смесь перемешивали при комнатной температуре в течение ночи. Реакционный раствор разбавляли этилацетатом и затем промывали насыщенным водным раствором хлорида аммония и насыщенным водным раствором хлорида натрия. Органический слой сушили над сульфатом магния и затем концентрировали при пониженном давлении. Остаток очищали хроматографией на колонке с силикагелем (гексан-этилацетат) с получением 330 мг требуемого соединения.
1H-ЯМР (CDCl3) (м.д.): 0,15 (с, 6H), 0,98 (с, 9H), 3,37-3,41 (м, 2H), 3,93 (с, 3H), 5,05-5,14 (м, 2H), 5,12 (с, 2H), 5,89-6,01 (м, 1H), 7,42 (с, 1H), 8,01 (с, 1H).
(2) трет-Бутил[4-(2,2-диметил-[1,3]диоксолан-4-илметил)-5-метокси-2-нитробензилокси]диметилсилан
1,37 г AD-mix- растворяли в 10 мл смеси трет-бутанол-вода (1:1) и затем к реакционному раствору добавляли 2 мл трет-бутанолового раствора, содержащего 330 мг (4-аллил-5-метокси-2-нитробензилокси)-трет-бутилдиметилсилана. Полученную смесь затем перемешивали при комнатной температуре в течение ночи. Добавляли к реакционному раствору 1,5 г сульфита натрия при охлаждении на льду и полученную смесь перемешивали при комнатной температуре в течение 1 часа. К реакционному раствору добавляли насыщенный водный раствор хлорида натрия с последующим экстрагированием метиленхлоридом. Экстракт сушили над сульфатом магния и затем концентрировали при пониженном давлении с получением 390 мг 3-(4-(трет-бутилдиметилсилилоксиметил)-2-метокси-5-нитрофенил)пропан-1,2-диола. Данное соединение непосредственно использовали в следующей реакции без дальнейшей очистки.
390 мг 3-(4-(Трет-бутилдиметилсилилоксиметил)-2-метокси-5-нитрофенил)пропан-1,2-диола растворяли в 8 мл ацетона. Затем к реакционному раствору добавляли 0,33 г диметоксипропана и 26 мг п-толуолсульфоната пиридиния. Полученную смесь затем перемешивали при комнатной температуре в течение 41 часа. После этого реакционный раствор концентрировали при пониженном давлении. Остаток разбавляли этилацетатом и затем промывали водой и насыщенным водным раствором хлорида натрия. Органический слой сушили над сульфатом магния и затем концентрировали при пониженном давлении. Остаток очищали хроматографией на колонке с силикагелем (гексан-этилацетат) с получением 358 мг требуемого соединения.
1H-ЯМР (CDCl3) (м.д.): 0,15 (с, 6H), 0,99 (с, 9H), 1,34 (с, 3H), 1,43 (с, 3H), 2,87 (дд, J=6,0, 13,6 Гц, 1H), 2,96 (дд, J=6,0, 13,6 Гц, 1H), 3,64 (дд, J=6,8, 8,0 Гц, 1H), 3,92 (с, 3H), 3,99 (дд, J=5,6, 8,0 Гц, 1H), 4,33-4,41 (м, 1H), 5,12 (с, 2H), 7,43 (с, 1H), 8,08 (с, 1H).
(3) 4-[(2,2-Диметил-[1,3]диоксолан-4-ил)метил]-5-метокси-2-нитробензальдегид
358 мг Трет-бутил(4-(2,2-диметил-[1,3]диоксолан-4-илметил)-5-метокси-2-нитробензилокси)диметилсилана растворяли в 10 мл тетрагидрофурана. При охлаждении на льду к реакционному раствору добавляли 1 мл тетрагидрофуранового раствора, содержащего 1,0 M тетрабутиламмонийфторид, и полученную смесь затем перемешивали при комнатной температуре в течение 3 часов. После этого реакционный раствор разбавляли этилацетатом и затем промывали насыщенным водным раствором хлорида натрия. Органический слой сушили над сульфатом магния и затем концентрировали при пониженном давлении. Остаток очищали хроматографией на колонке с силикагелем (гексан-этилацетат) с получением 253 мг (4-(2,2-диметил-[1,3]диоксолан-4-илметил)-5-метокси-2-нитрофенил)метанола.
После этого 253 мг (4-(2,2-диметил-[1,3]диоксолан-4-илметил)-5-метокси-2-нитрофенил)метанола растворяли в 10 мл метиленхлорида. Затем к реакционному раствору добавляли 2,5 г активированного диоксида марганца и полученную смесь перемешивали при комнатной температуре в течение 66 часов. После этого реакционный раствор фильтровали через целит и фильтрат концентрировали при пониженном давлении с получением 137 мг требуемого соединения.
1H-ЯМР (CDCl3) (м.д.): 1,34 (с, 3H), 1,43 (с, 3H), 2,91-3,03 (м, 2H), 3,65 (дд, J=6,0, 8,0 Гц, 1H), 3,98 (с, 3H), 4,06 (дд, J=6,0, 8,0 Гц, 1H), 4,34-4,43 (м, 1H), 7,32 (с, 1H), 8,07 (с, 1H), 10,47 (с, 1H),
(4) 7-[(2,2-Диметил-[1,3]диоксолан-4-ил)метил]-6-метокси-1,2,3,4-тетрагидрохинолин-2-он
137 мг 4-((2,2-Диметил-[1,3]диоксолан-4-ил)метил)-5-метокси-2-нитробензальдегида растворяли в 5 мл толуола. После этого к реакционному раствору добавляли 204 мг этоксикарбонилметилентрифенилфосфолана и полученную смесь затем нагревали при кипячении с обратным холодильником в течение 1 часа. Реакционный раствор охлаждали до комнатной температуры. После этого реакционный раствор концентрировали при пониженном давлении. Остаток очищали хроматографией на колонке с силикагелем (гексан-этилацетат) с получением 168 мг 3-(4-((2,2-диметил-[1,3]диоксолан-4-ил)метил)-5-метокси-2-нитрофенил)этилакрилата.
После этого 168 мг 3-(4-((2,2-диметил-[1,3]диоксолан-4-ил)метил)-5-метокси-2-нитрофенил)этилакрилата растворяли в 5 мл этанола. Затем к реакционному раствору добавляли 30 мг 10% палладия-на-углероде и полученную смесь затем перемешивали в атмосфере водорода в течение 4 часов. Палладий-на-углероде удаляли фильтрованием и фильтрат затем концентрировали при пониженном давлении. Остаток растворяли в 5 мл этанола. Реакционный раствор перемешивали при 50°C в течение 17 часов. Затем нагревали при кипячении с обратным холодильником в течение 30 минут. Реакционный раствор охлаждали до комнатной температуры, после чего концентрировали при пониженном давлении. Остаток переосаждали из смеси диэтиловый эфир-гексан с получением 110 мг требуемого соединения.
1H-ЯМР (ДМСО-d6) (м.д.): 1,23 (с, 3H), 1,33 (с, 3H), 2,36-2,43 (м, 2H), 2,63-2,77 (м, 2H), 2,80-2,87 (м, 2H), 3,53 (дд, J=6,4, 8,0 Гц, 1H), 3,74 (с, 3H), 3,90 (дд, J=5,6, 8,0 Гц, 1H), 4,15-4,23 (м, 1H), 6,68 (с, 1H), 6,82 (с, 1H), 9,84 (ушир.с, 1H).
(5) 1-{1-[2-(6-Метокси-2-оксо-1,2,3,4-тетрагидрохинолин-7-ил)этил]пиперидин-4-ил}-1H-индол-6-карбоксамид
109 мг 7-((2,2-Диметил-[1,3]диоксолан-4-ил)метил)-6-метокси-1,2,3,4-тетрагидрохинолин-2-она растворяли в 4 мл смеси метанол-тетрагидрофуран (1:1). При охлаждении на льду добавляли к реакционному раствору 1 мл 2 н. хлороводородной кислоты и полученную смесь затем перемешивали при комнатной температуре в течение 3 часов. После этого реакционный раствор концентрировали при пониженном давлении с получением 110 мг 7-(2,3-дигидроксипропил)-6-метокси-1,2,3,4-тетрагидрохинолин-2-она. Данное соединение непосредственно использовали в следующей реакции без дальнейшей очистки.
110 мг 7-(2,3-Дигидроксипропил)-6-метокси-1,2,3,4-тетрагидрохинолин-2-она растворяли в 2 мл метанола и 1 мл тетрагидрофурана. После этого к реакционному раствору добавляли при охлаждении на льду 2 мл воды, содержащей 0,16 г метапериодата натрия. Полученную смесь перемешивали при комнатной температуре в течение 30 минут. Добавляли к реакционному раствору насыщенный водный раствор хлорида натрия с последующим экстрагированием метиленхлоридом. Экстракт сушили над сульфатом магния и затем концентрировали при пониженном давлении с получением 87 мг (6-метокси-2-оксо-1,2,3,4-тетрагидрохинолин-7-ил)ацетальдегида. Данное соединение непосредственно использовали в следующей реакции без дальнейшей очистки.
100 мг 1-(Пиперидин-4-ил)-1H-индол-6-карбоксамида и 87 мг (6-метокси-2-оксо-1,2,3,4-тетрагидрохинолин-7-ил)ацетальдегида суспендировали в 5 мл метиленхлорида. После этого к реакционному раствору добавляли 0,05 мл уксусной кислоты и 0,13 г триацетоксиборгидрида натрия и полученную смесь перемешивали при комнатной температуре в течение ночи. Потом добавляли к реакционному раствору насыщенный водный раствор бикарбоната натрия с последующим экстрагированием хлороформом. Экстракт сушили над сульфатом магния и затем концентрировали при пониженном давлении. Остаток очищали хроматографией на колонке с силикагелем (хлороформ-метанол) и хроматографией на колонке с NH силикагелем (хлороформ-метанол) и затем переосаждали из этилацетата с получением 18 мг требуемого соединения.
1H-ЯМР (ДМСО-d6) (м.д.): 1,92-2,10 (м, 4H), 2,20-2,30 (м, 2H), 2,40 (т, J=7,6 Гц, 2H), 2,45-2,55 (м, 2H), 2,65-2,72 (м, 2H), 2,83 (т, J=7,6 Гц, 2H), 3,06-3,12 (м, 2H), 3,75 (с, 3H), 4,37-4,47 (м, 1H), 6,50 (д, J=3,2 Гц, 1H), 6,69 (с, 1H), 6,81 (с, 1H), 7,21 (ушир.с, 1H), 7,53-7,61 (м, 2H), 7,67 (д, J=3,2 Гц, 1H), 7,91 (ушир.с, 1H), 8,12 (с, 1H), 9,85 (с, 1H).
Пример 57
Синтез 1-{1-[2-(6-метокси-1-метил-2-оксо-1,2,3,4-тетрагидрохинолин-7-ил)этил]пиперидин-4-ил}-1H-индол-6-карбоксамида

(1) 7-[(2,2-Диметил-[1,3]диоксолан-4-ил)метил]-6-метокси-1-метил-1,2,3,4-тетрагидрохинолин-2-он
300 мг 7-((2,2-Диметил-[1,3]диоксолан-4-ил)метил)-6-метокси-1,2,3,4-тетрагидрохинолин-2-она растворяли в 6 мл N,N-диметилформамида. При охлаждении на льду добавляли к реакционному раствору 49 мг 60% гидрида натрия и полученную смесь затем перемешивали при комнатной температуре в течение 30 минут. После этого к реакционному раствору добавляли при охлаждении на льду 0,29 г йодметана. Полученную смесь перемешивали при комнатной температуре в течение 2 часов. Реакционный раствор разбавляли этилацетатом и затем промывали насыщенным водным раствором хлорида аммония и насыщенным водным раствором хлорида натрия. Органический слой сушили над сульфатом магния и затем концентрировали при пониженном давлении. Остаток очищали хроматографией на колонке с NH силикагелем (гексан-этилацетат) с получением 310 мг требуемого соединения.
1H-ЯМР (ДМСО-d6) (м.д.): 1,34 (с, 3H), 1,43 (с, 3H), 2,58-2,66 (м, 2H), 2,80-2,89 (м, 3H), 2,94 (дд, J=6,0, 14,0 Гц, 1H), 3,32 (с, 3H), 3,65 (дд, J=6,0, 7,6 Гц, 1H), 3,80 (с, 3H), 3,97 (дд, J=5,6, 7,6 Гц, 1H), 4,32-4,39 (м, 1H), 6,65 (с, 1H), 6,81 (с, 1H).
(2) 1-{1-[2-(6-Метокси-1-метил-2-оксо-1,2,3,4-тетрагидрохинолин-7-ил)этил]пиперидин-4-ил}-1H-индол-6-карбоксамид
Требуемое соединение синтезировали из 7-((2,2-диметил-[1,3]диоксолан-4-ил)метил)-6-метокси-1-метил-1,2,3,4-тетрагидрохинолин-2-она способом, описанным в примере 56, (5).
1H-ЯМР (ДМСО-d6) (м.д.): 1,92-2,09 (м, 4H), 2,22-2,32 (м, 2H), 2,45-2,60 (м, 4H), 2,72-2,86 (м, 4H), 3,08-3,15 (м, 2H), 3,24 (с, 3H), 3,78 (с, 3H), 4,37-4,48 (м, 1H), 6,50 (д, J=3,2 Гц, 1H), 6,88 (с, 1H), 6,96 (с, 1H), 7,22 (ушир.с, 1H), 7,53-7,60 (м, 2H), 7,67 (д, J=3,2 Гц, 1H), 7,91 (ушир.с, 1H), 8,13 (с, 1H).
Пример 58
Синтез 1-{1-[2-(6-метокси-1-метил-2-оксо-1,2,3,4-тетрагидрохинолин-7-ил)этил]пиперидин-4-ил}-N-метил-1H-индол-6-карбоксамида

Требуемое соединение синтезировали из 7-((2,2-диметил-[1,3]диоксолан-4-ил)метил)-6-метокси-1-метил-1,2,3,4-тетрагидрохинолин-2-она способом, описанным в примере 56, (5).
1H-ЯМР (ДМСО-d6) (м.д.): 1,93-2,10 (м, 4H), 2,22-2,31 (м, 2H), 2,47-2,60 (м, 4H), 2,74-2,85 (м, 4H), 2,82 (д, J=4,4 Гц, 3H), 3,08-3,15 (м, 2H), 3,24 (с, 3H), 3,78 (с, 3H), 4,36-4,46 (м, 1H), 6,50 (д, J=3,2 Гц, 1H), 6,88 (с, 1H), 6,96 (с, 1H), 7,51-7,58 (м, 2H), 7,67 (д, J=3,2 Гц, 1H), 8,05 (с, 1H), 8,30-8,37 (м, 1H).
Пример 59
Синтез 1-{1-[2-(1-этил-6-метокси-2-оксо-1,2,3,4-тетрагидрохинолин-7-ил)этил]пиперидин-4-ил}-1H-индол-6-карбоксамида

Требуемое соединение синтезировали из 7-((2,2-диметил-[1,3]диоксолан-4-ил)метил)-6-метокси-1,2,3,4-тетрагидрохинолин-2-она способом, описанным в примере 57.
1H-ЯМР (ДМСО-d6) (м.д.): 1,13 (т, J=7,2 Гц, 3H), 1,94-2,07 (м, 4H), 2,21-2,30 (м, 2H), 2,46-2,59 (м, 4H), 2,74-2,83 (м, 4H), 3,08-3,16 (м, 2H), 3,78 (с, 3H), 3,99 (кв., J=7,2 Гц, 2H), 4,37-4,47 (м, 1H), 6,50 (д, J=3,2 Гц, 1H), 6,86 (с, 1H), 7,00 (с, 1H), 7,21 (ушир.с, 1H), 7,54-7,60 (м, 2H), 7,65 (д, J=3,2 Гц, 1H), 7,91 (ушир.с, 1H), 8,12 (с, 1H).
Пример 60
Синтез 1-{1-[2-(3-этил-6-метокси-2-оксо-2,3-дигидробензоксазол-5-ил)этил]пиперидин-4-ил}-1H-индол-6-карбоксамида

(1) 3-Этил-6-метокси-5-(3-метил-2-бутенил)-3H-бензоксазол-2-он
231 мг 6-Метокси-2-метил-5-(3-метил-2-бутенил)бензоксазола растворяли в 5 мл тетрагидрофурана в атмосфере азота. После этого к реакционному раствору добавляли за 20 минут 0,4 мл тетрагидрофуранового раствора, содержащего 0,12 г боргидрида натрия и 0,1 мл уксусной кислоты, и полученную смесь перемешивали при комнатной температуре в течение ночи. Реакционный раствор концентрировали при пониженном давлении. К остатку добавляли насыщенный водный раствор хлорида аммония с последующим экстрагированием метиленхлоридом. Экстракт промывали насыщенным водным раствором хлорида натрия. Органический слой сушили над сульфатом магния и затем концентрировали при пониженном давлении. Остаток очищали хроматографией на колонке с силикагелем (гексан-этилацетат) с получением 80 мг 2-этиламино-5-метокси-4-(3-метил-2-бутенил)фенола, содержащего продукт, структура которого была неизвестна. Данное соединение непосредственно использовали в следующей реакции без дальнейшей очистки.
80 мг 2-Этиламино-5-метокси-4-(3-метил-2-бутенил)фенола растворяли в 5 мл тетрагидрофурана в атмосфере азота. Затем к реакционному раствору добавляли 0,11 г 1,1′-карбонилдиимидазола и полученную смесь перемешивали при комнатной температуре в течение 1 часа. После этого смесь перемешивали при 50°C в течение еще 1 часа. Реакционный раствор концентрировали при пониженном давлении. Остаток разбавляли этилацетатом и затем промывали насыщенным водным раствором хлорида натрия. Органический слой сушили над сульфатом магния и затем концентрировали при пониженном давлении. Остаток очищали хроматографией на колонке с силикагелем (гексан-этилацетат) с получением 60 мг требуемого соединения.
1H-ЯМР (CDCl3) (м.д.): 1,35 (т, J=6,8 Гц, 3H), 1,72 (с, 3H), 1,75 (с, 3H), 3,33 (д, J=7,2 Гц, 2H), 3,82 (с, 3H), 3,84 (кв., J=6,8 Гц, 2H), 5,23-5,29 (м, 1H), 6,73 (с, 1H), 6,80 (с, 1H).
(2) 1-{1-[2-(3-Этил-6-метокси-2-оксо-2,3-дигидробензоксазол-5-ил)этил]пиперидин-4-ил}-1H-индол-6-карбоксамид
Требуемое соединение синтезировали из 3-этил-6-метокси-5-(3-метил-2-бутенил)-3H-бензоксазол-2-она способом, описанным в примере 4, (4).
1H-ЯМР (ДМСО-d6) (м.д.): 1,26 (т, J=7,2 Гц, 3H), 1,93-2,08 (м, 4H), 2,24-2,32 (м, 2H), 2,50-2,60 (м, 2H), 2,77-2,84 (м, 2H), 3,08-3,15 (м, 2H), 3,80 (с, 3H), 3,82 (кв., J=7,2 Гц, 2H), 4,37-4,47 (м, 1H), 6,50 (д, J=3,2 Гц, 1H), 7,14 (с, 1H), 7,17-7,24 (м, 1H), 7,20 (с, 1H), 7,54-7,60 (м, 2H), 7,66 (д, J=3,2 Гц, 1H), 7,91 (ушир.с, 1H), 8,13 (с, 1H).
Пример 61
Синтез 1-{1-[2-(7-метокси-3-метил-2-оксо-3,4-дигидро-1,3-бензоксазин-8-ил)этил]пиперидин-4-ил}-1H-индол-6-карбоксамида

(1) 2-Аллилокси-4-гидроксибензальдегид
15,23 г 2,4-Дигидроксибензальдегида растворяли в 200 мл метилэтилкетона. Затем к реакционному раствору последовательно добавляли 15,54 г карбоната калия, 9,73 мл аллилбромида, 18,67 г иодида калия и 3,55 г тетрабутиламмонийбромида. Данный реакционный раствор нагревали при кипячении с обратным холодильником в атмосфере азота в течение 1,5 часов. Осадок удаляли фильтрованием и фильтрат концентрировали при пониженном давлении. К остатку добавляли этилацетат и воду, чтобы отделить органический слой. Органический слой промывали насыщенным раствором хлорида натрия и затем сушили над безводным сульфатом магния. После удаления фильтрованием осушителя органический слой концентрировали при пониженном давлении. Остаток затем очищали хроматографией на колонке с силикагелем (гексан/этилацетат) с получением 13,72 г требуемого соединения.
1H-ЯМР (CDCl3) (м.д.): 4,58-4,60 (м, 2H), 5,32-5,36 (м, 1H), 5,40-5,46 (м, 1H), 5,99-6,08 (м, 1H), 6,44 (д, J=2,4 Гц, 1H), 6,56 (дд, J=2,4, 8,8 Гц, 1H), 7,44 (д, J=8,8 Гц, 1H), 9,72 (с, 1H), 11,47 (с, 1H).
(2) 3-Аллил-2,4-дигидроксибензальдегид
3,10 г 2-Аллилокси-4-гидроксибензальдегида растворяли в 6 мл N,N-диметиланилина и реакционный раствор нагревали при кипячении с обратным холодильником в атмосфере азота. Приблизительно через 2,5 часа реакционный раствор ставили охлаждаться. После этого к реакционному раствору добавляли воду и этилацетат, чтобы отделить органический слой. Полученный органический слой промывали 5 н. хлороводородной кислотой, водой и насыщенным раствором хлорида натрия и затем сушили над безводным сульфатом магния. После удаления фильтрованием осушителя органический слой концентрировали при пониженном давлении. Остаток затем очищали хроматографией на колонке с силикагелем (гексан/этилацетат) с получением 0,88 г требуемого соединения.
1H-ЯМР (CDCl3) (м.д.): 3,48-3,50 (м, 2H), 5,15-5,23 (м, 2H), 5,87 (с, 1H), 5,94-6,04 (м, 1H), 6,50 (д, J=8,4 Гц, 1H), 7,35 (д, J=8,4 Гц, 1H), 9,70 (с, 1H), 11,76 (с, 1H).
(3) 8-Аллил-7-гидрокси-3-метил-3,4-дигидро-2H-1,3-бензоксазин-2-он
0,88 г 3-Аллил-2,4-дигидроксибензальдегида растворяли в 10 мл метанола. К полученному раствору добавляли 1,92 мл метанолового раствора, содержащего метиламин (40%), и полученную смесь затем перемешивали при комнатной температуре в течение приблизительно 30 минут. После этого данный реакционный раствор охлаждали на льду и затем добавляли к нему понемногу боргидрид натрия. Реакционный раствор перемешивали при комнатной температуре в течение 15 минут. После этого удаляли при пониженном давлении растворитель. К остатку добавляли насыщенный водный раствор бикарбоната натрия с последующим экстрагированием этилацетатом два раза. Полученный органический слой промывали насыщенным раствором хлорида натрия и затем сушили над безводным сульфатом магния. После удаления фильтрованием осушителя органический слой концентрировали при пониженном давлении. К остатку добавляли 2,40 г 1,1′-карбонилдиимидазола и 30 мл безводного тетрагидрофурана и полученную смесь затем нагревали при кипячении с обратным холодильником в течение 2,5 часов. Реакционный раствор охлаждали до комнатной температуры и затем добавляли к нему 5 мл метанола. Удаляли при пониженном давлении растворитель. Остаток очищали хроматографией на колонке с силикагелем (гексан/этилацетат) с получением 0,66 г требуемого соединения.
1H-ЯМР (CDCl3) (м.д.): 3,11 (с, 3H), 3,52-3,54 (м, 2H), 4,39 (ушир.с, 2H), 5,11-5,18 (м, 2H), 5,24 (с, 1H), 5,92-6,02 (м, 1H), 6,62 (д, J=8,2 Гц, 1H), 6,85 (д, J=8,2 Гц, 1H).
(4) 8-Аллил-7-метокси-3-метил-3,4-дигидро-2H-1,3-бензоксазин-2-он
0,66 г 8-Аллил-7-гидрокси-3-метил-3,4-дигидро-2H-1,3-бензоксазин-2-она растворяли в 6 мл N,N-диметилформамида. К полученному раствору добавляли 0,63 г карбоната калия и 0,94 мл метилиодида и полученную смесь затем перемешивали при комнатной температуре в течение ночи в атмосфере азота. После этого к реакционному раствору добавляли воду и этилацетат, чтобы отделить органический слой. Полученный органический слой промывали водным раствором тиосульфата натрия, водой и насыщенным раствором хлорида натрия и затем сушили над безводным сульфатом магния. После удаления фильтрованием осушителя органический слой концентрировали при пониженном давлении. Остаток очищали хроматографией на колонке с силикагелем (гексан/этилацетат) с получением 0,58 г требуемого соединения.
1H-ЯМР (CDCl3) (м.д.): 3,11 (с, 3H), 3,46-3,48 (м, 2H), 3,83 (с, 3H), 4,40 (ушир.с, 2H), 4,94-5,05 (м, 2H), 5,89-5,99 (м, 1H), 6,64 (д, J=8,6 Гц, 1H), 6,90 (д, J=8,6 Гц, 1H).
(5) 8-(2,3-Дигидроксипропил)-7-метокси-3-метил-3,4-дигидро-2H-1,3-бензоксазин-2-он
12 мл Трет-бутанола и 10 мл воды растворяли в 0,58 г 8-аллил-7-метокси-3-метил-3,4-дигидро-2H-1,3-бензоксазин-2-она. К полученному раствору добавляли 2,48 г AD-mix- и полученную смесь перемешивали при комнатной температуре в течение ночи. Убедившись в исчезновении исходного материала, добавляли к реакционному раствору 2,97 г сульфита натрия и полученную смесь затем перемешивали в течение приблизительно 45 минут. После этого к реакционному раствору добавляли воду и хлороформ, чтобы отделить органический слой. Полученный органический слой промывали насыщенным раствором хлорида натрия и затем сушили над безводным сульфатом магния. После удаления фильтрованием осушителя органический слой концентрировали при пониженном давлении. Остаток очищали хроматографией на колонке с силикагелем (этилацетат/метанол) с получением 0,55 г требуемого соединения.
1H-ЯМР (CDCl3) (м.д.): 2,92-3,02 (м, 2H), 3,11 (с, 3H), 3,50 (дд, J=5,8, 12,0 Гц, 1H), 3,60 (дд, J=3,6, 12,0 Гц, 1H), 3,85 (с, 3H), 3,92-3,96 (м, 1H), 4,40 (с, 2H), 6,66 (д, J=8,4 Гц, 1H), 6,94 (д, J=8,4 Гц, 1H).
(6) 1-{1-[2-(7-Метокси-3-метил-2-оксо-3,4-дигидро-1,3-бензоксазин-8-ил)этил]пиперидин-4-ил}-1H-индол-6-карбоксамид
114 мг 8-(2,3-Дигидроксипропил)-7-метокси-3-метил-3,4-дигидро-2H-1,3-бензоксазин-2-она растворяли в 2 мл тетрагидрофурана, 2 мл метанола и 1,3 мл воды. После этого к поолученному раствору добавляли 182 мг метапериодата натрия и полученную смесь энергично перемешивали. Убедившись в исчезновении материалов, добавляли к реакционному раствору воду и этилацетат, чтобы отделить органический слой. Полученный органический слой промывали насыщенным раствором хлорида натрия и затем сушили над безводным сульфатом магния. После удаления фильтрованием осушителя органический слой концентрировали при пониженном давлении с получением 135 мг неочищенного альдегида.
135 мг указанного неочищенного альдегида, растворенного в 4 мл дихлорметана и 40,5 мкл уксусной кислоты, последовательно добавляли к 86 мг 1-(пиперидин-4-ил)-1H-индол-6-карбоксамида и полученную смесь затем перемешивали в течение 10 минут. После этого к реакционному раствору добавляли 112 мг триацетоксиборгидрида натрия и полученную смесь перемешивали при комнатной температуре в течение ночи. Потом добавляли к реакционному раствору 10% водный раствор карбоната натрия и хлороформ, чтобы отделить органический слой. Полученный органический слой промывали насыщенным раствором хлорида натрия и затем сушили над безводным сульфатом магния. После удаления фильтрованием осушителя органический слой концентрировали при пониженном давлении. Остаток очищали хроматографией на колонке с NH силикагелем (этилацетат/метанол) с получением 124 мг требуемого соединения.
1H-ЯМР (CDCl3) (м.д.): 2,04-2,40 (м, 4H), 2,28-2,38 (м, 2H), 2,58-2,66 (м, 2H), 2,95-2,99 (м, 2H), 3,12 (с, 3H), 3,21-3,28 (м, 2H), 3,84 (с, 3H), 4,32-4,40 (м, 2H), 4,40 (с, 2H), 5,56 (ушир.с, 1H), 6,29 (ушир.с, 1H), 6,55 (д, J=3,3 Гц, 1H), 6,64 (д, J=8,4 Гц, 1H), 6,90 (д, J=8,4 Гц, 1H), 7,38 (д, J=3,3 Гц, 1H), 7,45 (ушир.д, 1H), 7,63 (д, J=8,0 Гц, 1H), 8,08 (ушир.с, 1H).
Пример 62
Синтез 1-{1-[2-(7-метокси-3-метил-2,4-диоксо-3,4-дигидро-2H-1,3-бензоксазин-8-ил)этил]пиперидин-4-ил}-1H-индол-6-карбоксамида


(1) Метил 4-(аллилокси)-2-гидроксибензоат
20,05 г Метил 2,4-дигидроксибензоата растворяли в 250 мл ацетона и затем к реакционному раствору последовательно добавляли 17,31 г карбоната калия и 12,4 мл аллилбромида. Полученную смесь перемешивали при комнатной температуре в атмосфере азота в течение приблизительно 2,5 дней. После этого удаляли фильтрованием осадок и фильтрат концентрировали при пониженном давлении. Полученный остаток очищали хроматографией на колонке с силикагелем (гексан/этилацетат) с получением 20,36 г требуемого соединения. В ЯМР-спектре был слегка заметен пик, предположительно представляющий изомер (метил 4-(аллилокси)-2-гидроксибензоат).
1H-ЯМР (CDCl3) (м.д.): 3,91 (с, 3H), 4,54-4,57 (м, 2H), 5,30-5,33 (м, 1H), 5,39-5,45 (м, 1H), 5,99-6,08 (м, 1H), 6,44-6,47 (м, 2H), 7,72-7,75 (м, 1H), 10,96 (с, 1H).
(2) Метил 3-аллил-2,4-дигидроксибензоат
9,47 г Метил 4-(аллилокси)-2-гидроксибензоата растворяли в 25 мл N,N-диметиланилина и полученную смесь затем нагревали при кипячении с обратным холодильником в атмосфере азота. Приблизительно через 2,5 часа реакционную смесь охлаждали до комнатной температуры. После этого к реакционному раствору добавляли воду и этилацетат, чтобы отделить органический слой. Полученный органический слой промывали 5 н. хлороводородной кислотой, водой и насыщенным раствором хлорида натрия и затем сушили над безводным сульфатом магния. После удаления фильтрованием осушителя органический слой концентрировали при пониженном давлении. Полученный остаток очищали хроматографией на колонке с силикагелем (гексан/этилацетат) с получением 2,30 г требуемого соединения. В ЯМР-спектре был слегка заметен пик, предположительно представляющий изомер (метил 5-(аллилокси)-2,4-дигидроксибензоат).
1H-ЯМР (CDCl3) (м.д.): 3,48-3,50 (м, 2H), 3,91 (с, 3H), 5,11-5,18 (м, 2H), 5,56 (с, 1H), 6,38 (д, J=8,8 Гц, 1H), 7,65 (д, J=8,8 Гц, 1H), 11,27 (с, 1H).
(3) Метил 3-аллил-2-гидрокси-4-метоксибензоат
2,30 г Метил 3-аллил-2,4-дигидроксибензоата растворяли в 30 мл ацетона и затем к полученному раствору добавляли 1,83 г карбоната калия и 0,76 мл метилиодида. Полученную смесь затем перемешивали при комнатной температуре в атмосфере азота в течение ночи. После этого к реакционному раствору добавляли 5% водный раствор гидросульфата натрия, воду и этилацетат, чтобы отделить органический слой. Полученный органический слой промывали водным раствором тиосульфата натрия, водой и насыщенным раствором хлорида натрия и затем сушили над безводным сульфатом магния. После удаления фильтрованием осушителя органический слой концентрировали при пониженном давлении. Полученный остаток очищали хроматографией на колонке с силикагелем (гексан/этилацетат) с получением 1,83 г требуемого соединения. В ЯМР-спектре был слегка заметен пик, предположительно представляющий изомер (метил 5-(аллилокси)-2-гидрокси-4-метоксибензоат).
1H-ЯМР (CDCl3) (м.д.): 3,41-3,43 (м, 2H), 3,86 (с, 3H), 3,91 (с, 3H), 4,93-5,02 (м, 2H), 5,90-6,00 (м, 1H), 6,45 (д, J=8,8 Гц, 1H), 7,73 (д, J=8,8 Гц, 1H), 11,05 (с, 1H).
(4) Метил 3-аллил-4-метокси-2-(метоксиметокси)бензоат
Гидрид натрия (60%) промывали н-гексаном и затем суспендировали в 2 мл безводного тетрагидрофурана. Полученную суспензию охлаждали на льду и затем перемешивали в атмосфере азота. К указанной суспензии добавляли 2,30 г метил 3-аллил-2-гидрокси-4-метоксибензоата, растворенного в 8 мл безводного тетрагидрофурана. Реакционный раствор перемешивали при комнатной температуре в течение приблизительно 1 часа. После этого к реакционному раствору добавляли 1,25 мл хлорметилметилового простого эфира и полученную смесь еще перемешивали в течение ночи. После этого к реакционному раствору добавляли 10% водный раствор карбоната натрия и этилацетат, чтобы отделить органический слой. Полученный органический слой промывали насыщенным раствором хлорида натрия и затем сушили над безводным сульфатом магния. После удаления фильтрованием осушителя органический слой концентрировали при пониженном давлении. Остаток очищали хроматографией на колонке с силикагелем (гексан/этилацетат) с получением 1,32 г требуемого соединения.
1H-ЯМР (CDCl3) (м.д.): 3,49-3,51 (м, 2H), 3,58 (с, 3H), 3,86 (с, 6H), 4,94-5,00 (м, 2H), 5,04 (с, 2H), 5,90-6,00 (м, 1H), 6,68 (д, J=8,8 Гц, 1H), 7,79 (д, J=8,8 Гц, 1H).
(5) 3-Аллил-4-метокси-2-(метоксиметокси)бензойная кислота
1,32 г Метил 3-аллил-4-метокси-2-(метоксиметокси)бензоата растворяли в 12 мл метанола и полученную смесь затем перемешивали при охлаждении на льду. После этого к реакционной смеси добавляли 2,97 мл 5 н. водного раствора гидроксида натрия и полученную смесь перемешивали при комнатной температуре в течение ночи. Реакционный раствор охлаждали на льду и добавляли к нему этилацетат. Затем полученную смесь доводили приблизительно до pH 5 добавлением 5% водного раствора гидросульфата натрия. Органический слой отделяли и водный слой экстрагировали этилацетатом. Полученные органические слои объединяли. Объединенный органический слой промывали водой и насыщенным раствором хлорида натрия и затем сушили над безводным сульфатом магния. После удаления фильтрованием осушителя органический слой концентрировали при пониженном давлении с получением 1,19 г требуемого соединения. Данное соединение использовали в следующей реакции без дальнейшей очистки.
1H-ЯМР (CDCl3) (м.д.): 3,44-3,46 (м, 2H), 3,59 (с, 3H), 3,89 (с, 3H), 4,95-5,03 (м, 2H), 5,13 (с, 2H), 5,92-6,01 (м, 1H), 6,79 (д, J=8,8 Гц, 1H), 8,02 (д, J=8,8 Гц, 1H), 10,8 (ушир.с, 1H).
(6) 8-Аллил-7-метокси-3-метил-2H-1,3-бензоксазин-2,4(3H)-дион
1,20 г 3-Аллил-4-метокси-2-(метоксиметокси)бензойной кислоты растворяли в 15 мл безводного тетрагидрофурана и затем к полученному раствору добавляли 0,84 г 1,1′-карбонилдиимидазола. Полученную смесь перемешивали при комнатной температуре в атмосфере азота в течение 25 минут. После этого к реакционному раствору добавляли 11,8 мл метиламина (2,0 M тетрагидрофурановый раствор) и полученную смесь перемешивали при комнатной температуре в течение приблизительно 5 часов. После этого реакционную смесь охлаждали на льду и добавляли к ней 2,5 мл концентрированной хлороводородной кислоты. Полученную смесь перемешивали при комнатной температуре в течение 15 минут. Реакционный раствор экстрагировали этилацетатом. Органический слой промывали водой 3 раза и затем промывали насыщенным водным раствором бикарбоната натрия и насыщенным раствором хлорида натрия. Полученный продукт затем сушили над безводным сульфатом магния. После удаления фильтрованием осушителя органический слой концентрировали при пониженном давлении. К полученному остатку добавляли 20 мл безводного тетрагидрофурана и затем к смеси добавляли 1,53 г 1,1′-карбонилдиимидазола. Реакционную смесь нагревали при кипячении с обратным холодильником в атмосфере азота в течение приблизительно 2 часов. Реакционный раствор охлаждали до комнатной температуры, после чего удаляли при пониженном давлении растворитель. К остатку добавляли этилацетат и воду, чтобы отделить органический слой. Полученный органический слой промывали водой два раза и затем насыщенным раствором хлорида натрия. Полученный продукт затем сушили над безводным сульфатом магния. После удаления фильтрованием осушителя органический слой концентрировали при пониженном давлении. Остаток переосаждали из смеси этилацетат-н-гексан с получением 0,97 г требуемого соединения.
1H-ЯМР (CDCl3) (м.д.): 3,45 (с, 3H), 3,52-3,54 (м, 2H), 3,94 (с, 3H), 4,97-5,06 (м, 2H), 5,85-5,95 (м, 1H), 6,90 (д, J=8,8 Гц, 1H), 7,96 (д, J=8,8 Гц, 1H).
(7) 3-Аллил-2-гидрокси-4-метокси-N-метилбензамид
3,94 г AD-mix- добавляли к смеси, состоящей из 0,97 г 8-аллил-7-метокси-3-метил-2H-1,3-бензоксазин-2,4(3H)-диона, 30 мл трет-бутанола и 20 мл воды. Полученную смесь перемешивали при комнатной температуре в течение ночи. После этого к реакционному раствору добавляли 4,73 г сульфита натрия и полученную смесь перемешивали в течение 50 минут. Реакционный раствор доводили приблизительно до pH 5 добавлением 1 н. хлороводородной кислоты и затем реакционную смесь экстрагировали этилацетатом. Полученный органический слой промывали насыщенным раствором хлорида натрия и затем сушили над безводным сульфатом магния. После удаления фильтрованием осушителя органический слой концентрировали при пониженном давлении. К полученному остатку добавляли 8 мл метанола и 4 мл тетрагидрофурана и затем к смеси добавляли 1,44 мл 5 н. водного раствора гидроксида натрия. Реакционную смесь затем перемешивали в течение 10 минут. Реакционный раствор охлаждали на льду, после чего добавляли к нему 1 н. хлороводородную кислоту, чтобы довести pH до примерно 6. Добавляли к реакционному раствору этилацетат для экстрагирования. Полученный органический слой промывали насыщенным раствором хлорида натрия и затем сушили над безводным сульфатом магния. После удаления фильтрованием осушителя органический слой концентрировали при пониженном давлении с получением 0,81 г требуемого соединения. ЯМР-анализ показал наличие двух конформеров в виде смеси. Отношение составляло приблизительно 2:1. В следующих ниже данных измерения показано такое число атомов водорода, при котором сумма конформеров становится одной молекулой.
1H-ЯМР (CDCl3) (м.д.): 2,99 (с, 2H), 3,02 (с, 1H), 3,42-3,44 (м, 2H), 3,85 (с, 3H), 4,94-5,04 (м, 2H), 5,93-6,02 (м, 1H), 6,14 (ушир.с, 1H), 6,41 (д, J=8,8 Гц, 1H), 7,21 (д, J=8,8 Гц, 0,33H), 7,21 (д, J=8,8 Гц, 0,67H), 12,69 (ушир.с, 1H).
(8) 3-Аллил-2-(бензилокси)-4-метокси-N-метилбензамид
0,15 г Гидрида натрия промывали н-гексаном и затем суспендировали в 0,5 мл безводного тетрагидрофурана. Суспензию охлаждали на льду и затем перемешивали в атмосфере азота. После этого к полученной суспензии добавляли 0,81 г 3-аллил-2-гидрокси-4-метокси-N-метилбензамида, растворенного в 5 мл безводного тетрагидрофурана. Реакционную смесь перемешивали при комнатной температуре в течение 30 минут. Затем реакционную смесь охлаждали на льду и добавляли к ней 520 мкл бензилбромида. Полученную смесь перемешивали при комнатной температуре в течение 40 минут. После этого к реакционному раствору добавляли 3 мл N,N-диметилформамида и полученную смесь еще перемешивали в течение 1 часа. Добавляли к реакционной смеси лед с последующим экстрагированием этилацетатом. Органический слой промывали водой 3 раза и затем насыщенным раствором хлорида натрия. Затем полученный продукт сушили над безводным сульфатом магния. После удаления фильтрованием осушителя органический слой концентрировали при пониженном давлении. Остаток переосаждали из смеси этилацетат-н-гексан с получением 0,49 г требуемого соединения. ЯМР-анализ показал наличие двух конформеров в виде смеси. Отношение составляло приблизительно 1:1. В следующих ниже данных измерения показано такое число атомов водорода, при котором сумма конформеров становится одной молекулой.
1H-ЯМР (CDCl3) (м.д.): 2,84 (с, 1,5H), 2,85 (с, 1,5H), 3,51-3,53 (м, 2H), 3,88 (с, 3H), 4,84 (с, 2H), 4,97-5,02 (м, 2H), 5,98-6,07 (м, 1H), 6,81 (д, J=8,8 Гц, 1H), 7,38-7,45 (м, 5H), 7,63 (ушир.д, 1H), 8,01 (д, J=8,8 Гц, 1H)
(9) 2-Бензилокси-3-(2,3-дигидроксипропил)-4-метокси-N-метилбензамид
1,57 г AD-mix- добавляли к смеси, состоящей из 0,49 г 3-аллил-2-(бензилокси)-4-метокси-N-метилбензамида, 14 мл трет-бутанола и 12 мл воды. Полученную смесь перемешивали при комнатной температуре в течение ночи. После этого к реакционному раствору добавляли 1,88 г сульфита натрия и полученную смесь затем перемешивали при комнатной температуре в течение 1 часа. Реакционный раствор экстрагировали этилацетатом два раза. Полученный органический слой промывали насыщенным раствором хлорида натрия и затем сушили над безводным сульфатом магния. После удаления фильтрованием осушителя органический слой концентрировали при пониженном давлении. Остаток очищали хроматографией на колонке с силикагелем (гексан/этилацетат) с получением 0,47 г требуемого соединения.
1H-ЯМР (CDCl3) (м.д.): 2,90 (д, J=4,8 Гц, 3H), 2,93 (дд, J=6,0, 13,6 Гц, 1H), 3,01 (дд, J=3,0, 13,6 Гц, 1H), 3,47 (дд, J=5,2, 11,6 Гц, 1H), 3,59 (дд, J=3,6, 11,6 Гц, 1H), 3,91 (с, 3H), 3,94-4,00 (м, 1H), 4,84 (д, J=10,6 Гц, 1H), 4,89 (д, J=10,6 Гц, 1H), 6,83 (д, J=8,8 Гц, 1H), 7,39-7,47 (м, 5H), 8,01 (д, J=8,8 Гц, 1H).
(10) 1-{1-[2-(2-(Бензилокси)-6-метокси-3-((метиламин)карбонил)фенил)этил]пиперидин-4-ил}-1H-индол-6-карбоксамид
0,47 г 2-Бензилокси-3-(2,3-дигидроксипропил)-4-метокси-N-метилбензамида растворяли в 6 мл тетрагидрофурана, 6 мл метанола и 4 мл воды. После этого к полученному раствору добавляли 0,57 г метапериодата натрия и полученную смесь энергично перемешивали. Убедившись в исчезновении исходного материала, добавляли к реакционному раствору воду и этилацетат, чтобы отделить органический слой. Водный слой экстрагировали этилацетатом и объединяли с указанным выше органическим слоем. Объединенный слой промывали насыщенным раствором хлорида натрия и затем сушили над безводным сульфатом магния. После удаления фильтрованием осушителя органический слой концентрировали при пониженном давлении с получением 0,49 г неочищенного альдегида.
0,27 г 1-(Пиперидин-4-ил)-1H-индол-6-карбоксамид растворяли в 20 мл дихлорметана. После этого к полученному реакционному раствору последовательно добавляли 0,49 г указанного выше неочищенного альдегида и 129 мкл уксусной кислоты. Полученную смесь затем перемешивали в течение 20 минут. После этого к реакционному раствору добавляли 0,36 г триацетоксиборгидрида натрия и полученную смесь перемешивали при комнатной температуре в течение ночи. Потом к реакционному раствору добавляли 10% водный раствор карбоната натрия и хлороформ, чтобы отделить органический слой. Полученный органический слой промывали насыщенным раствором хлорида натрия и затем сушили над безводным сульфатом магния. После удаления фильтрованием осушителя органический слой концентрировали при пониженном давлении. Остаток очищали хроматографией на колонке с NH силикагелем (этилацетат/метанол) с получением 0,49 г требуемого соединения.
1H-ЯМР (CDCl3) (м.д.): 2,04-2,52 (м, 4H), 2,25-2,51 (м, 2H), 2,60-2,64 (м, 2H), 2,87 (д, J=4,8 Гц, 3H), 2,97-2,99 (м, 2H), 3,18 (ушир.д, 2H), 3,90 (с, 3H), 4,35-4,42 (м, 1H), 4,88 (с, 2H), 5,59 (ушир.с, 1H), 6,15 (ушир.с, 1H), 6,57-6,58 (м, 1H), 6,80 (д, J=8,8 Гц, 1H), 7,30-7,46 (м, 7H), 7,56 (ушир.д, 1H), 7,65 (д, J=8,4 Гц, 1H), 7,99 (д, J=8,8 Гц, 1H), 8,12 (с, 1H).
(11) 1-{1-[2-(2-Гидрокси-6-метокси-3-((метиламино)карбонил)фенил)этил]пиперидин-4-ил}-1H-индол-6-карбоксамид
15 мл метанола и 10 мл тетрагидрофурана добавляли к 486 мг 1-(1-(2-(2-(бензилокси)-6-метокси-3-((метиламино)карбонил)фенил)этил)пиперидин-4-ил)-1H-индол-6-карбоксамид для его растворения. После этого к полученному раствору добавляли 74 мг 10% Pd-C (содержащего воду) и полученную смесь перемешивали при комнатной температуре в атмосфере водорода в течение ночи. Потом Pd-C удаляли фильтрованием и удаляли при пониженном давлении растворитель с получением 408 мг требуемого соединения.
1H-ЯМР (ДМСО-d6) (м.д.): 1,94-2,08 (м, 4H), 2,23-2,30 (м, 2H), 2,43-2,47 (м, 2H), 2,76-2,80 (м, 5H), 3,12 (ушир.д, 2H), 3,83 (с, 3H), 4,38-4,46 (м, 1H), 6,49 (д, J=2,8 Гц, 1H), 6,56 (ушир.д, 1H), 7,20 (с, 1H), 7,53-7,58 (м, 2H), 7,66-7,69 (м, 2H), 7,90 (с, 1H), 8,11 (с, 1H), 8,17 (ушир.с, 1H).
(12) 1-{1-[2-(7-Метокси-3-метил-2,4-диоксо-3,4-дигидро-2H-1,3-бензоксазин-8-ил)этил]пиперидин-4-ил}-1H-индол-6-карбоксамид
30 мл безводного тетрагидрофурана добавляли к 408 мг 1-(1-(2-(2-гидрокси-6-метокси-3-((метиламино)карбонил)фенил)этил)пиперидин-4-ил)-1H-индол-6-карбоксамида. После этого к полученной смеси добавляли 294 мг 1,1′-карбонилдиимидазола. Полученную смесь затем нагревали при кипячении с обратным холодильником в атмосфере азота в течение 5 минут. После этого к реакционному раствору добавляли 5 мл N,N-диметилформамида и полученную смесь нагревали при кипячении с обратным холодильником в атмосфере азота в течение 45 минут. Реакционный раствор охлаждали до комнатной температуры, после чего удаляли при пониженном давлении растворитель. Потом к остатку добавляли 294 мг 1,1′-карбонилдиимидазола. Реакционную смесь нагревали при кипячении с обратным холодильником в атмосфере азота в течение 30 минут. Реакционный раствор охлаждали до комнатной температуры и затем удаляли при пониженном давлении растворитель. К остатку добавляли воду и собирали фильтрованием осадок. Осадок промывали диэтиловым эфиром. После этого его суспендировали в этаноле и удаляли при пониженном давлении растворитель. К остатку добавляли этилацетат, после чего раствор фильтровали с получением 451 мг требуемого соединения.
1H-ЯМР (ДМСО-d6) (м.д.): 1,94-2,07 (м, 4H), 2,25-2,33 (м, 2H), 2,50-2,55 (м, 2H), 2,89-2,92 (м, 2H), 3,14 (ушир.д, 2H), 3,27 (с, 3H), 3,96 (с, 3H), 4,39-4,47 (м, 1H), 6,50 (д, J=3,4 Гц, 1H), 7,14 (д, J=8,8 Гц, 1H), 7,21 (с, 1H), 7,54-7,60 (м, 2H), 7,66 (д, J=3,4 Гц, 1H), 7,87 (д, J=8,8 Гц, 1H), 7,91 (с, 1H), 8,13 (с, 1H).
Пример 63
Синтез 1-{1-[2-(2-метокси-5-оксо-5,6,7,8-тетрагидронафталин-1-ил)этил]пиперидин-4-ил}-1H-индол-6-карбоксамида

(1) 6-(Аллилокси)-3,4-дигидронафталин-1(2H)-он
3,30 мл аллилбромида добавляли к смеси, состоящей из 5,62 г 6-гидрокси-3,4-дигидроксинафталин-1(2H)-она, 5,27 г карбоната калия и 60 мл ацетона. Полученную смесь нагревали при кипячении с обратным холодильником в атмосфере азота в течение ночи. Реакционный раствор охлаждали до комнатной температуры и осадок удаляли фильтрованием. Удаляли при пониженном давлении растворитель. Остаток очищали хроматографией на колонке с силикагелем (гексан/этилацетат) с получением 6,35 г требуемого соединения.
1H-ЯМР (CDCl3) (м.д.): 2,08-2,15 (м, 2H), 2,59-2,62 (м, 2H), 2,92 (т, J=6,0 Гц, 2H), 4,58-4,60 (м, 2H), 5,30-5,34 (м, 1H), 5,40-5,45 (м, 1H), 6,00-6,10 (м, 1H), 6,72 (д, J=2,6 Гц, 1H), 6,84 (дд, J=2,4, 8,8 Гц, 1H), 8,00 (д, J=8,8 Гц, 1H).
(2) 5-Аллил-6-гидрокси-3,4-дигидронафталин-1(2H)-он
1,13 г 6-(Аллилокси)-3,4-дигидронафталин-1(2H)-она растворяли в 8 мл N,N-диметиланилина. Полученную смесь нагревали при кипячении с обратным холодильником в атмосфере азота в течение 5 часов. Аналогичным образом, 5,21 г 6-(аллилокси)-3,4-дигидронафталин-1(2H)-она растворяли в 40 мл N,N-диметиланилина и полученную смесь нагревали при кипячении с обратным холодильником в атмосфере азота в течение 7 часов. Полученный реакционный раствор охлаждали до комнатной температуры. Два реакционных раствора смешивали, после чего добавляли к ним воду и этилацетат, чтобы отделить органический слой. Полученный органический слой промывали 5 н. хлороводородной кислотой, водой и насыщенным раствором хлорида натрия и затем сушили над безводным сульфатом магния. После удаления фильтрованием осушителя органический слой концентрировали при пониженном давлении. К остатку добавляли этилацетат и трет-бутилметиловый эфир, после чего раствор фильтровали с получением 3,52 г требуемого соединения.
1H-ЯМР (CDCl3) (м.д.): 2,07-2,14 (м, 2H), 2,57-2,61 (м, 2H), 2,89 (т, J=6,0 Гц, 2H), 3,45-3,47 (м, 2H), 4,97-5,02 (м, 1H), 5,07-5,11 (м, 1H), 5,65 (с, 1H), 5,91-6,01 (м, 1H), 6,78 (д, J=8,8 Гц, 1H), 7,95 (д, J=8,8 Гц, 1H).
(3) 5-Аллил-6-метокси-3,4-дигидронафталин-1(2H)-он
901 мкл метилиодида добавляли к смеси, состоящей из 1,46 г 5-аллил-6-гидрокси-3,4-дигидронафталин-1(2H)-она, 1,20 г карбоната калия и 15 мл N,N-диметилформамида. Полученную смесь перемешивали при комнатной температуре в атмосфере азота в течение ночи. После этого к реакционному раствору добавляли воду и этилацетат, чтобы отделить органический слой. Полученный органический слой промывали водой (5 раз) и насыщенным раствором хлорида натрия и затем сушили над безводным сульфатом магния. После удаления фильтрованием осушителя органический слой концентрировали при пониженном давлении. Остаток очищали хроматографией на колонке с силикагелем (гексан/этилацетат) с получением 1,51 г требуемого соединения.
1H-ЯМР (CDCl3) (м.д.): 2,06-2,13 (м, 2H), 2,57-2,61 (м, 2H), 2,89 (т, J=6,0 Гц, 2H), 3,43-3,46 (м, 2H), 3,88 (с, 3H), 4,87-4,93 (м, 1H), 4,97-5,00 (м, 1H), 5,85-5,94 (м, 1H), 6,86 (д, J=8,8 Гц, 1H), 8,03 (д, J=8,8 Гц, 1H).
(4) 5-(2,3-Дигидроксипропил)-6-метокси-3,4-дигидронафталин-1(2H)-он
Смешивали 6,99 г AD-mix- , 15 мл трет-бутанола и 20 мл воды. 1,51 г 5-аллил-6-метокси-3,4-дигидронафталин-1(2H)-она растворяли в 14 мл трет-бутанола и полученный раствор добавляли к смеси, полученной перед тем. Полученную смесь затем перемешивали при комнатной температуре в течение ночи. После этого добавляли к смеси 8,38 г сульфита натрия и полученную смесь перемешивали в течение приблизительно 1 часа с последующим экстрагированием этилацетатом. Полученный органический слой промывали насыщенным раствором хлорида натрия и затем сушили над безводным сульфатом магния. После удаления фильтрованием осушителя органический слой концентрировали при пониженном давлении. К остатку добавляли этилацетат и гексан, после чего раствор фильтровали с получением 1,51 г требуемого соединения.
1H-ЯМР (CDCl3) (м.д.): 2,09-2,15 (м, 2H), 2,59-2,62 (м, 2H), 2,91-3,05 (м, 4H), 3,52 (дд, J=6,0, 11,2 Гц, 1H), 3,66 (дд, J=3,4, 11,2 Гц, 1H), 3,89-3,97 (м, 1H), 3,92 (с, 3H), 6,88 (д, J=8,8 Гц, 1H), 8,06 (д, J=8,8 Гц, 1H).
(5) 1-{1-[2-(2-Метокси-5-оксо-5,6,7,8-тетрагидронафталин-1-ил)этил]пиперидин-4-ил}-1H-индол-6-карбоксамид
0,13 г 5-(2,3-Дигидроксипропил)-6-метокси-3,4-дигидронафталин-1(2H)-она растворяли в смешанном растворе, состоящем из 2 мл тетрагидрофурана, 2 мл метанола и 1,3 мл воды. После этого к полученному раствору добавляли 224 мг метапериодата натрия и полученную смесь энергично перемешивали в течение 30 минут. Убедившись в исчезновении исходного материала, добавляли к реакционному раствору воду и этилацетат, чтобы отделить органический слой. Водный слой экстрагировали этилацетатом и полученный водный слой смешивали с указанным выше органическим слоем. Объединенный слой промывали насыщенным раствором хлорида натрия и затем сушили над безводным сульфатом магния. После удаления фильтрованием осушителя органический слой концентрировали при пониженном давлении с получением 129 мг неочищенного альдегида.
105 мг 1-(Пиперидин-4-ил)-1H-индол-6-карбоксамида растворяли в 4 мл дихлорметана. После этого к реакционному раствору добавляли последовательно 129 мг указанного неочищенного альдегида и 49,4 мкл уксусной кислоты и полученную смесь перемешивали в течение 15 минут. После этого 137 мг триацетоксиборгидрида натрия добавляли к реакционному раствору и полученную смесь перемешивали при комнатной температуре в течение ночи. Потом к реакционному раствору добавляли 10% водный раствор карбоната натрия и хлороформ, чтобы отделить органический слой. Полученный органический слой промывали насыщенным раствором хлорида натрия и затем сушили над безводным сульфатом магния с последующим фильтрованием. Органический слой концентрировали при пониженном давлении и сушили. К остатку добавляли этилацетат и трет-бутилметиловый эфир, после чего раствор фильтровали с получением 142 мг требуемого соединения.
1H-ЯМР (CDCl3) (м.д.): 2,05-2,16 (м, 6H), 2,32 (ушир.с, 2H), 2,50-2,55 (м, 2H), 2,60-2,63 (м, 2H), 2,92-2,98 (м, 4H), 2,25 (ушир.д, 2H), 3,91 (с, 3H), 4,38-4,45 (м, 1H), 5,62 (ушир.с, 1H), 6,17 (ушир.с, 1H), 6,58-6,59 (м, 1H), 6,86 (д, J=8,8 Гц, 1H), 7,39-7,43 (м, 2H), 7,65 (д, J=8,0 Гц, 1H), 8,04 (д, J=8,8 Гц, 1H), 8,13 (с, 1H).
Пример 64
Синтез 1-{1-[2-(2-метокси-6,6-диметил-5-оксо-5,6,7,8-тетрагидронафталин-1-ил)этил]пиперидин-4-ил}-1H-индол-6-карбоксамида

(1) 6-Метокси-2,2-диметил-3,4-дигидронафталин-1(2H)-он
Смесь, состоящую из 7,12 г трет-бутоксида калия, 20 мл трет-бутанола и 50 мл толуола, охлаждали на льду и затем перемешивали в атмосфере азота. К указанной смеси добавляли 5,02 г 6-гидрокси-2,2-диметил-3,4-динафталин-1(2H)-она, растворенного в 100 мл толуола. Через десять минут к реакционному раствору добавляли 3,99 мл метилиодида и полученную смесь перемешивали при комнатной температуре в течение ночи. После этого к реакционному раствору добавляли воду и этилацетат, чтобы отделить органический слой. Полученный органический слой последовательно промывали водой (5 раз), 10% водным раствором карбоната натрия и насыщенным раствором хлорида натрия. Полученный продукт затем сушили над безводным сульфатом натрия. После удаления фильтрованием осушителя органический слой концентрировали при пониженном давлении. Остаток очищали хроматографией на колонке с силикагелем (гексан/этилацетат) с получением 3,69 г требуемого соединения.
1H-ЯМР (CDCl3) (м.д.): 1,21 (с, 6H), 1,96 (т, J=6,4 Гц, 2H), 2,95 (д, J=6,4 Гц, 2H), 3,85 (с, 3H), 6,66-6,67 (м, 1H), 6,83 (дд, J=2,8, 8,8 Гц, 1H), 8,02 (д, J=8,8 Гц, 1H).
(2) 6-Гидрокси-3,4-дигидронафталин-1(2H)-он
3,69 г 6-метокси-2,2-диметил-3,4-дигидронафталин-1(2H)-она растворяли в 70 мл безводного метиленхлорида. Полученный раствор охлаждали на бане с сухим льдом и ацетоном. После этого к раствору добавляли 36 мл трибромида бора (1,0 M метиленхлоридный раствор) и полученную смесь перемешивали при комнатной температуре в течение ночи. Затем реакционный раствор опять охлаждали на бане с сухим льдом и ацетоном. Добавляли к раствору 36 мл трибромида бора (1,0 M метиленхлоридный раствор) и полученную смесь перемешивали при комнатной температуре в течение ночи. После этого реакционный раствор выливали на лед и затем добавляли к нему хлороформ. Удаляли фильтрованием нерастворимый осадок. Органический слой отделяли и затем сушили над безводным сульфатом натрия. Полученный раствор пропускали через стеклянный фильтр, заполненный силикагелем, и удаляли при пониженном давлении растворитель. Остаток очищали хроматографией на колонке с силикагелем (гексан/этилацетат) с получением 1,52 г требуемого соединения.
1H-ЯМР (CDCl3) (м.д.): 1,20 (с, 6H), 1,94-1,97 (м, 2H), 2,92 (т, J=6,4 Гц, 2H), 5,57 (с, 1H), 6,62-6,63 (м, 1H), 6,74 (дд, J=2,8, 8,4 Гц, 1H), 7,97 (д, J=8,4 Гц, 1H).
(3) 6-(Аллилокси)-2,2-диметил-3,4-дигидронафталин-1(2H)-он
830 мкл аллилбромида добавляли к смеси, состоящей из 1,52 г 6-гидрокси-3,4-дигидронафталин-1(2H)-она, 1,22 г карбоната калия и 15 мл N,N-диметилформамида. Полученную смесь перемешивали при комнатной температуре в атмосфере азота в течение ночи. К реакционному раствору добавляли воду и этилацетат с получением органического слоя. Полученный органический слой последовательно промывали водой (4 раза) и насыщенным раствором хлорида натрия и затем сушили над безводным сульфатом натрия. После удаления фильтрованием осушителя органический слой концентрировали при пониженном давлении. Остаток очищали хроматографией на колонке с силикагелем (гексан/этилацетат) с получением 1,69 г требуемого соединения.
1H-ЯМР (CDCl3) (м.д.): 1,20 (с, 6H), 1,96 (т, J=6,4 Гц, 2H), 2,94 (т, J=6,4 Гц, 2H), 4,58-4,60 (м, 2H), 5,30-5,33 (м, 1H), 5,40-5,45 (м, 1H), 6,00-6,10 (м, 1H), 6,68 (д, J=2,4 Гц, 1H), 6,84 (дд, J=2,4, 8,4 Гц, 1H), 8,01 (д, J=8,4 Гц, 1H).
(4) 5-Аллил-6-гидрокси-2,2-диметил-3,4-дигидронафталин-1(2H)-он
1,69 г 6-(аллилокси)-2,2-диметил-3,4-дигидронафталин-1(2H)-она растворяли в 10 мл N,N-диметиланилина и полученную смесь кипятили с обратным холодильником в атмосфере азота в течение 7 часов. Реакционный раствор охлаждали до комнатной температуры. К реакционному раствору добавляли воду и этилацетат с получением органического слоя. Полученный органический слой последовательно промывали 5 н. хлороводородной кислотой (3 раза), водой (4 раза) и насыщенным раствором хлорида натрия. Полученный продукт затем сушили над безводным сульфатом натрия. После удаления фильтрованием осушителя органический слой концентрировали при пониженном давлении. К остатку добавляли гексан, после чего собирали фильтрованием осадок с получением 1,06 г требуемого соединения.
1H-ЯМР (CDCl3) (м.д.): 1,19 (с, 6H), 1,95 (т, J=6,4 Гц, 2H), 2,89 (т, J=6,4 Гц, 2H), 3,44-3,47 (м, 2H), 4,97-5,03 (м, 1H), 5,07-5,10 (м, 1H), 5,92-6,01 (м, 1H), 6, 78 (д, J=8,6 Гц, 1H), 7,94 (д, J=8,6 Гц, 1H).
(5) 5-Аллил-6-метокси-2,2-диметил-3,4-дигидронафталин-1(2H)-он
575 мкл метилиодида добавляли к смеси, состоящей из 1,06 г 5-аллил-6-гидрокси-2,2-диметил-3,4-дигидронафталин-1(2H)-она, 0,77 г карбоната калия и 10 мл N,N-диметилформамида. Полученную смесь перемешивали при комнатной температуре в атмосфере азота в течение ночи. К реакционному раствору добавляли воду и этилацетат с получением органического слоя. Полученный органический слой промывали водой (5 раз) и насыщенным раствором хлорида натрия и затем сушили над безводным сульфатом натрия. После удаления фильтрованием осушителя органический слой концентрировали при пониженном давлении. Остаток очищали хроматографией на колонке с силикагелем (гексан/этилацетат) с получением 1,09 г требуемого соединения.
1H-ЯМР (CDCl3) (м.д.): 1,19 (с, 6H), 1,94 (т, J=6,4 Гц, 2H), 2,89 (т, J=6,4 Гц, 2H), 3,42-3,45 (м, 2H), 3,88 (с, 3H), 4,87-4,93 (м, 1H), 4,96-5,00 (м, 1H), 5,85-5,95 (м, 1H), 6,87 (д, J=9,0 Гц, 1H), 8,03 (д, J=9,0 Гц, 1H).
(6) 5-(2,3-Дигидроксипропил)-6-метокси-2,2-диметил-3,4-дигидронафталин-1(2H)-он
4,47 г AD-mix- добавляли к смеси, состоящей из 1,09 г 5-аллил-6-метокси-2,2-диметил-3,4-дигидронафталин-1(2H)-она, 17 мл трет-бутанола и 17 мл воды. Полученную смесь перемешивали при комнатной температуре в течение ночи. После этого к реакционному раствору добавляли 5,37 г сульфита натрия и полученную смесь перемешивали в течение 35 минут с последующим экстрагированием этилацетатом. Полученный органический слой промывали насыщенным раствором хлорида натрия и затем сушили над безводным сульфатом натрия. После удаления фильтрованием осушителя реакционный раствор концентрировали при пониженном давлении. Остаток очищали хроматографией на колонке с силикагелем (этилацетат/метанол) с получением 1,25 г требуемого соединения.
1H-ЯМР (CDCl3) (м.д.): 1,19 (с, 3H), 1,19 (с, 3H), 1,97 (т, J=6,7 Гц, 2H), 2,14 (ушир.с, 1H), 2,37 (ушир.с, 1H), 2,90-3,05 (м, 4H), 3,51-3,55 (м, 1H), 3,65-3,69 (м, 1H), 3,89-3,96 (м, 1H), 3,91 (с, 3H), 6,89 (д, J=8,8 Гц, 1H), 8,05 (д, J=8,8 Гц, 1H).
(7) 1-{1-[2-(2-Метокси-6,6-диметил-5-оксо-5,6,7,8-тетрагидронафталин-1-ил)этил]пиперидин-4-ил}-1H-индол-6-карбоксамид
0,13 г 5-(2,3-Дигидроксипропил)-6-метокси-2,2-диметил-3,4-дигидронафталин-1(2H)-она растворяли в смешанном растворе, состоящем из 2 мл тетрагидрофурана, 2 мл метанола и 1,3 мл воды. После этого к полученному раствору добавляли 197 мг метапериодата натрия и полученную смесь энергично перемешивали в течение 30 минут. Убедившись в исчезновении исходного материала, добавляли к реакционному раствору воду и этилацетат, чтобы отделить органический слой. Водный слой экстрагировали этилацетатом и полученный водный слой смешивали с указанным выше органическим слоем. Полученный слой промывали насыщенным раствором хлорида натрия и затем сушили над безводным сульфатом магния. После удаления фильтрованием осушителя органический слой концентрировали при пониженном давлении с получением 117 мг неочищенного альдегида.
93 мг 1-(Пиперидин-4-ил)-1H-индол-6-карбоксамида растворяли в 4 мл дихлорметана. После этого к реакционному раствору добавляли последовательно 117 мг указанного выше неочищенного альдегида и 43,8 мкл уксусной кислоты и полученную смесь затем перемешивали в течение 10 минут. Потом к реакционному раствору добавляли 122 мг триацетоксиборгидрида натрия и полученную смесь перемешивали при комнатной температуре в течение 50 минут. После этого к реакционному раствору добавляли 10% водный раствор карбоната натрия и хлороформ, чтобы отделить органический слой. Полученный органический слой промывали насыщенным раствором хлорида натрия и затем сушили над безводным сульфатом магния. После удаления фильтрованием осушителя органический слой концентрировали при пониженном давлении. К остатку добавляли этилацетат и трет-бутилметиловый эфир, после чего раствор фильтровали с получением 153 мг требуемого соединения.
1H-ЯМР (ДМСО-d6) (м.д.): 1,11 (с, 6H), 1,92-2,08 (м, 6H), 2,29-2,33 (м, 2H), 2,43-2,47 (м, 2H), 2,83-2,87 (м, 2H), 2,94-2,97 (м, 2H), 3,14 (ушир.д, 2H), 3,88 (с, 3H), 4,39-4,47 (м, 1H), 6,51 (д, J=2,8 Гц, 1H), 7,03 (д, J=8,8 Гц, 1H), 7,22 (с, 1H), 7,55-7,61 (м, 2H), 7,67 (д, J=3,6 Гц, 1H), 7,84 (д, J=8,8 Гц, 1H), 7,92 (с, 1H), 8,13 (с, 1H).
Пример 65
Синтез {1-[1-(3,4-дигидро-7-метокси-1(2H)-нафталинон-8-ил)этилпиперидин-4-ил]-(1H)-индол-6-ил}карбоксамида

(1) 3,4-Дигидро-7-метокси-8-(2-пропенил)-1(2H)-нафталинон
160 мг 3,4-дигидро-7-гидрокси-8-(2-пропенил)-1(2H)-нафталинона (CAS No. 122076-30-6), 140 мг йодметана и 400 мг карбоната калия растворяли в 15 мл ацетона. Реакционный раствор затем перемешивали при 70°C в течение 1,5 часов. Смесь фильтровали и затем промывали ацетоном. Далее органический слой концентрировали при пониженном давлении. Остаток очищали хроматографией на колонке с силикагелем с получением из элюата этилацетат-гексан (1:10) 140 мг требуемого соединения.
1H-ЯМР (CDCl3) (м.д.): 2,05 (ддд, J=6,0, 6,4, 7,2 Гц, 2H), 2,63 (дд, J=6,4, 7,2 Гц, 2H), 2,88 (дд, J=6,0, 6,4 Гц, 2H), 3,83 (с, 3H), 3,85-3,88 (м, 2H), 4,91-5,05 (м, 2H), 5,97-6,08 (м, 1H), 7,01 (д, J=8,4 Гц, 1H), 7,10 (д, J=8,4 Гц, 1H).
(2) {1-[1-(3,4-Дигидро-7-метокси-1(2H)-нафталинон-8-ил)этилпиперидин-4-ил]-(1H)-индол-6-ил}карбоксамид
130 мг 3,4-Дигидро-7-метокси-8-(2-пропенил)-1(2H)-нафталинона растворяли в 6 мл тетрагидрофурана и 3 мл воды. Затем к полученному раствору добавляли при комнатной температуре 0,2 мл 3,3% водного раствора тетроксида осмия, после чего полученную смесь перемешивали в течение 15 минут. Далее к полученной смеси добавляли 600 мг перхлората натрия и полученную смесь перемешивали при комнатной температуре в течение 4 часов. Смесь распределяли между этилацетатом и водой и этилацетатный слой отделяли. Этилацетатный слой промывали 5% раствором тиосульфата натрия, водой и насыщенным раствором хлорида натрия. Полученный продукт затем сушили над сульфатом магния. Смесь фильтровали и органический слой концентрировали при пониженном давлении. Остаток пропускали через короткую колонку с силикагелем с получением 110 мг соответствующего неочищенного альдегидного продукта.
Смесь, состоящую из 110 мг полученного альдегида, 90 мг 1-(пиперидин-4-ил-1H-индол-6-ил)карбоксамида и 100 мг уксусной кислоты, растворяли в 5 мл тетрагидрофурана и полученную смесь затем перемешивали при комнатной температуре в течение 15 минут. После этого к реакционному раствору добавляли 200 мг триацетоксиборгидрида натрия и полученную смесь перемешивали в течение 1,5 часов. Потом к реакционному раствору добавляли 10% раствор карбоната калия с последующим экстрагированием этилацетатом. Этилацетатный слой промывали насыщенным раствором хлорида натрия и затем сушили над сульфатом магния с последующим фильтрованием. Затем указанный слой концентрировали при пониженном давлении. Остаток очищали флэш-хроматографией на силикагеле с получением из элюата метиленхлорид-метанол (10:1) 38 мг требуемого соединения в виде светло-желтого твердого вещества.
1H-ЯМР (CDCl3) (м.д.): 2,10-2,26 (м, 6H), 2,41-2,57 (м, 2H), 2,63 (дд, J=6,4, 7,2 Гц, 2H), 2,62-2,78 (м, 2H), 2,85 (дд, J=6,0, 6,4 Гц, 2H), 3,28-3,44 (м, 4H), 3,83 (с, 3H), 4,36-4,46 (м, 1H), 6,57 (д, J=3,6 Гц, 1H), 7,01 (д, J=8,4 Гц, 1H), 7,12 (д, J=8,4 Гц, 1H), 7,41 (д, J=3,6 Гц, 1H), 7,46 (дд, J=1,2, 8,8 Гц, 1H), 7,64 (д, J=8,8 Гц, 1H), 8,11 (ушир.с, 1H).
Пример 66
Синтез фумарата 1-{1-[2-(7-метокси-2,2-диметил-4-оксохроман-8-ил)этил]пиперидин-4-ил}-N-метил-1H-индол-6-карбоксамида

1-{1-[2-(7-Метокси-2,2-диметил-4-оксохроман-8-ил)этил]пиперидин-4-ил}-N-метил-1H-индол-6-карбоксамид (1,00 г) и фумаровую кислоту (0,249 г) растворяли в смешанном растворителе, состоящем из ацетона (5 мл) и воды (15 мл) при 60°C. После этого полученную смесь оставляли при комнатной температуре в течение 1 часа. Выпавшее в осадок твердое вещество собирали фильтрованием и полученный продукт затем промывали смешанным растворителем, состоящим из ацетона (2,5 мл) и воды (7,5 мл), с получением требуемого соединения (1,09 г).
1H-ЯМР (ДМСО-d6) (м.д.): 1,40 (с, 6H), 1,94-2,11 (м, 4H), 2,27-2,37 (м, 2H), 2,45-2,56 (м, 2H), 2,72 (с, 2H), 2,75-2,84 (м, 5H), 3,12-3,20 (м, 2H), 3,87 (с, 3H), 4,38-4,47 (м, 1H), 6,48-6,51 (м, 1H), 6,60 (с, 1,5H), 6,75 (д, J=9,6 Гц, 1H), 7,50-7,58 (м, 2H), 7,63-7,67 (м, 2H), 8,05 (ушир.с, 1H), 8,29-8,35 (м, 1H).
Пример 67
Синтез L-(+)-тартрата 1-{1-[2-(7-метокси-2,2-диметил-4-оксохроман-8-ил)этил]пиперидин-4-ил}-N-метил-1H-индол-6-карбоксамида

1-{1-[2-(7-Метокси-2,2-диметил-4-оксохроман-8-ил)этил]пиперидин-4-ил}-N-метил-1H-индол-6-карбоксамид (100 мг) растворяли в смешанном растворителе, состоящем из тетрагидрофурана (1 мл) и диэтилового эфира (25 мл). После этого к реакционному раствору добавляли смешанный растворитель, состоящий из тетрагидрофурана (1 мл) и диэтилового эфира (25 мл), содержащего L-(+)-винную кислоту (31 мг), при комнатной температуре. Выпавшее в осадок твердое вещество собирали фильтрованием и полученный продукт затем промывали диэтиловым эфиром с получением требуемого соединения (110 мг).
1H-ЯМР (ДМСО-d6) (м.д.): 1,40 (с, 6H), 1,97-2,14 (м, 4H), 2,40-2,60 (м, 4H), 2,72 (с, 2H), 2,78-2,84 (м, 5H), 3,20-3,30 (м, 2H), 3,87 (с, 3H), 4,20 (с, 2H), 4,43-4,53 (м, 1H), 6,50 (д, J=3,2 Гц, 1H), 6,75 (д, J=8,4 Гц, 1H), 7,50-7,58 (м, 2H), 7,63-7,67 (м, 2H), 8,05 (ушир.с, 1H), 8,28-8,34 (м, 1H).
Пример 68
Синтез малеата 1-{1-[2-(7-метокси-2,2-диметил-4-оксохроман-8-ил)этил]пиперидин-4-ил}-N-метил-1H-индол-6-карбоксамида

1-{1-[2-(7-Метокси-2,2-диметил-4-оксохроман-8-ил)этил]пиперидин-4-ил}-N-метил-1H-индол-6-карбоксамид (105 мг) растворяли в тетрагидрофуране (10 мл). После этого к реакционному раствору добавляли тетрагидрофурановый раствор (10 мл), содержащий малеиновую кислоту (25 мг), при комнатной температуре. Затем к полученной смеси добавляли при комнатной температуре трет-бутилметиловый эфир и полученную смесь концентрировали при пониженном давлении. К остатку для его отверждения добавляли диэтиловый эфир. Полученную суспензию перемешивали в течение 10 минут при охлаждении на льду, после чего твердое вещество собирали фильтрованием. Твердое вещество промывали диэтиловым эфиром с получением требуемого соединения (117 мг).
1H-ЯМР (ДМСО-d6) (м.д.): 1,44 (с, 6H), 2,17-2,32 (м, 4H), 2,45-2,55 (м, 4H), 2,76 (с, 2H), 2,83 (д, J=7,2 Гц, 3H), 2,94-3,05 (м, 2H), 3,25-3,40 (м, 2H), 3,91 (с, 3H), 4,74-4,85 (м, 1H), 6,02 (с, 1,5H), 6,54-6,59 (м, 1H), 6,82 (д, J=8,0 Гц, 1H), 7,50-7,62 (м, 3H), 7,73 (д, J=8,0 Гц, 1H), 8,09 (с, 1H), 8,28-8,35 (м, 1H).
Пример 69
Синтез фумарата 1-{1-[2-(7-метокси-2,2-диметил-4-оксохроман-8-ил)этил]пиперидин-4-ил}-N-метил-1H-индол-6-карбоксамида
Фумарат 1-{1-[2-(7-метокси-2,2-диметил-4-оксохроман-8-ил)этил]пиперидин-4-ил}-N-метил-1H-индол-6-карбоксамида (2,05 г) растворяли в смешанном растворителе, состоящем из н-пропанола (6 мл) и воды (18 мл), при 60°C. После этого реакционный раствор выдерживали при комнатной температуре и затем при 0°C. Выпавшие в осадок кристаллы собирали фильтрованием. Собранные кристаллы сушили при комнатной температуре при пониженном давлении в течение 30 минут с получением требуемого соединения (2,02 г).
Пример 70
Синтез фумарата 1-{1-[2-(7-метокси-2,2-диметил-4-оксохроман-8-ил)этил]пиперидин-4-ил}-N-метил-1H-индол-6-карбоксамида (кристаллы A-типа)
1-{1-[2-(7-Метокси-2,2-диметил-4-оксохроман-8-ил)этил]пиперидин-4-ил}-N-метил-1H-индол-6-карбоксамид (1,00 г) и фумаровую кислоту (0,249 г) растворяли в смешанном растворителе, состоящем из ацетона (5 мл) и воды (15 мл), при 60°C. После этого реакционный раствор выдерживали при комнатной температуре в течение 1 часа. Выпавшее в осадок твердое вещество собирали фильтрованием. Собранные кристаллы промывали смешанным растворителем, состоящим из ацетона (2,5 мл) и воды (7,5 мл), с получением требуемого соединения (1,09 г).
[Рентгеновская порошковая дифрактометрия кристаллов А-типа]
Кристаллы (кристаллическая форма A), полученные описанным выше способом кристаллизации, измельчали в агатовой ступке. Полученный образец помещали на столик рентгеновского порошкового дифрактометра и проводили анализ при следующих условиях (фиг.1).
Условия измерения
| Таблица 8 |
| Держатель образца |
Стекло или медь |
| Мишень |
Медь |
| Детектор |
Сцинтилляционный счетчик |
| Напряжение на трубке |
40 кВ |
| Сила тока трубки |
200 мА |
| Щель |
DSI/2°, RS 0,3 мм, SSI/2° |
| Скорость сканирования |
2°/мин |
| Интервал дискретизации |
0,02° |
| Интервал сканирования |
От 5° до 40° |
| Гониометр |
Вертикальный гониометр |
Пример 71
Синтез фумарата 1-{1-[2-(7-метокси-2,2-диметил-4-оксохроман-8-ил)этил]пиперидин-4-ил}-N-метил-1H-индол-6-карбоксамида (кристалл B-типа)
Фумарат 1-{1-[2-(7-метокси-2,2-диметил-4-оксохроман-8-ил)этил]пиперидин-4-ил}-N-метил-1H-индол-6-карбоксамида (2,05 г) растворяли в смешанном растворителе, состоящем из н-пропанола (6 мл) и воды (18 мл), при 60°C. После этого реакционный раствор выдерживали при комнатной температуре и затем при 0°C. Выпавшие в осадок кристаллы собирали фильтрованием. Собранные кристаллы сушили при комнатной температуре при пониженном давлении в течение 30 минут с получением требуемого соединения (2,02 г).
[Рентгеновская порошковая дифрактометрия кристаллов В-типа]
Кристаллы (кристаллическая форма В), полученные описанным выше способом кристаллизации, измельчали в агатовой ступке. Полученный образец помещали на столик рентгеновского порошкового дифрактометра и проводили анализ при следующих условиях (фиг.2).
Условия измерения
| Таблица 9 |
| Держатель образца |
Стекло или медь |
| Мишень |
Медь |
| Детектор |
Сцинтилляционный счетчик |
| Напряжение на трубке |
40 кВ |
| Сила тока трубки |
200 мА |
| Щель |
DSI/2°, RS 0,3 мм, SSI/2° |
| Скорость сканирования |
2°/мин |
| Интервал дискретизации |
0,01° |
| Интервал сканирования |
От 5° до 40° |
| Гониометр |
Вертикальный гониометр |
Пример 72
Синтез фумарата 1-{1-[2-(7-метокси-2,2-диметил-4-оксохроман-8-ил)этил]пиперидин-4-ил}-N-метил-1H-индол-6-карбоксамида (кристаллическая форма C)
Фумарат 1-{1-[2-(7-метокси-2,2-диметил-4-оксохроман-8-ил)этил]пиперидин-4-ил}-N-метил-1H-индол-6-карбоксамида (100 мг) взвешивали и помещали в круглодонную колбу. Соединение один раз растворяли в смешанном растворителе, состоящем из воды (1 мл) и метанола (0,6 мл), при нагревании. Реакционный раствор затем держали при комнатной температуре. Выпавшие в осадок кристаллы собирали фильтрованием. Собранные кристаллы сушили при 60°C с получением требуемого соединения (68 мг).
[Рентгеновская порошковая дифрактометрия кристаллов С-типа]
Кристаллы (кристаллы С-типа), полученные описанным выше способом кристаллизации, измельчали в агатовой ступке. Полученный образец помещали на столик рентгеновского порошкового дифрактометра и проводили анализ при следующих условиях (фиг.3).
Условия измерения
| Таблица 10 |
| Держатель образца |
Стекло или медь |
| Мишень |
Медь |
| Детектор |
Сцинтилляционный счетчик |
| Напряжение на трубке |
40 кВ |
| Сила тока трубки |
200 мА |
| Щель |
DSI/2°, RS 0,3 мм, SSI/2° |
| Скорость сканирования |
2°/мин |
| Интервал дискретизации |
0,01° |
| Интервал сканирования |
От 5° до 40° |
| Гониометр |
Вертикальный гониометр |
Пример 73
Синтез фумарата 1-{1-[2-(7-метокси-2,2-диметил-4-оксохроман-8-ил)этил]пиперидин-4-ил}-N-метил-1H-индол-6-карбоксамида (кристаллы D-типа)
Фумарат 1-{1-[2-(7-метокси-2,2-диметил-4-оксохроман-8-ил)этил]пиперидин-4-ил}-N-метил-1H-индол-6-карбоксамида (100 мг) взвешивали и помещали в круглодонную колбу. Соединение один раз растворяли в 2-пропаноле (1 мл) при нагревании. Реакционный раствор затем держали при комнатной температуре. Выпавшие в осадок кристаллы собирали фильтрованием. Собранные кристаллы сушили при 60°C с получением требуемого соединения (80 мг).
[Рентгеновская порошковая дифрактометрия кристаллов D-типа]
Кристаллы (кристаллы D-типа), полученные описанным выше способом кристаллизации, измельчали в агатовой ступке. Полученный образец помещали на столик рентгеновского порошкового дифрактометра и проводили анализ при следующих условиях (фиг.4).
Условия измерения
| Таблица 11 |
| Держатель образца |
Стекло или медь |
| Мишень |
Медь |
| Детектор |
Сцинтилляционный счетчик |
| Напряжение на трубке |
40 кВ |
| Сила тока трубки |
200 мА |
| Щель |
DSI/2°, RS 0,3 мм, SSI/2° |
| Скорость сканирования |
2°/мин |
| Интервал дискретизации |
0,01° |
| Интервал сканирования |
От 5° до 40° |
| Гониометр |
Вертикальный гониометр |
Примеры изготовления лекарственных форм
Ниже описаны примеры изготовления лекарственных форм, включающих соединения по настоящему изобретению. Но описанные примеры не ограничивают изготовление лекарственных форм из соединений по настоящему изобретению.
Пример 1 изготовления лекарственных форм
| Соединение примера 20 |
45 (частей) |
| Высоковязкий оксид магния |
15 |
| Лактоза |
75 |
Указанные выше соединения тщательно перемешивали с получением порошка или порошка, состоящего из мелких гранул размером 350 мкм или менее. Указанный порошок помещали в капсульный контейнер, получая в результате капсулу.
Пример 2 изготовления лекарственных форм
| Соединение примера 24 (1-{1-[2-(7-метокси-2,2-диметил-4-оксохроман-6-ил)этил]пиперидин-4-ил}-1H-индол-6-карбоксамид) |
45 (частей) |
| Крахмал |
15 |
| Лактоза |
16 |
| Кристаллическая целлюлоза |
21 |
| Поливиниловый спирт |
3 |
| Дистиллированная вода |
30 |
Указанные выше соединения тщательно перемешивали. Полученную смесь гранулировали измельчением и затем высушиванием. После этого полученный продукт разделяли просеиванием с получением гранул размером от 1410 до 177 мкм.
Пример 3 изготовления лекарственных форм
Получали гранулы способом, подобным описанному в примере 2 изготовления. После этого к 96 частям полученных гранул добавляли 4 части стеарата кальция, после чего осуществляли формование прессованием с получением таблеток диаметром 10 мм.
Пример 4 изготовления лекарственных форм
К 90 частям гранул, полученных способом, подобным описанному в примере 2 изготовления, добавляли 10 частей кристаллической целлюлозы и 3 части стеарата кальция. Полученную смесь подвергали формованию прессованием с получением таблеток диаметром 8 мм. После этого на таблетки наносили суспензию, содержащую желатинообразный сироп и осажденный карбонат кальция, с получением таблеток с сахарным покрытием.
Пример 5 изготовления лекарственных форм
| Соединение примера 22 (1-{1-[2-(7-метокси-2,2-диметил-4-оксохроман-8-ил)этил]пиперидин-4-ил}-1H-индол-6-карбоксамид) |
0,6 частей |
| Неионогенное поверхностно-активное вещество |
2,4 |
| Физиологический раствор |
97 |
Указанные компоненты смешивали при нагревании и полученную смесь затем помещали в ампулу. После этого ее стерилизовали с получением лекарственной формы для инъекции.
Пример 6 изготовления лекарственных форм
Смешивали соединение примера 20 (1-{1-[2-(7-метокси-2,2-диметил-4-оксохроман-8-ил)этил]пиперидин-4-ил}-N-метил-1H-индол-6-карбоксамид), лактозу, кукурузный крахмал и низкозамещенную гидроксипропилцеллюлозу. После этого, используя гидроксипропилцеллюлозу, растворенную в подходящем количестве дистиллированной воды, осуществляли влажное гранулирование. Полученный при этом гранулированный продукт сушили и затем классифицировали. После этого к полученным гранулам добавляли низкозамещенную гидроксипропилцеллюлозу и стеарат магния и указанные компоненты затем перемешивали с последующим изготовлением таблеток. Полученные таблетки покрывали водным раствором, содержащим основу покрытия (Opadry желтый). Количество материалов на одну таблетку показано в таблице ниже.
| Таблица 12 |
| Используемый материал |
1 мг таблетка |
10 мг таблетка |
60 мг таблетка |
| Соединение 1 по настоящему изобретению |
1 мг |
10 мг |
60 мг |
| Лактоза |
122 мг |
113 мг |
63 мг |
| Кукурузный крахмал |
20 мг |
20 мг |
20 мг |
| Низкозамещенная гидроксипропилцеллюлоза |
20 мг |
20 мг |
20 мг |
| Гидроксипропилцеллюллоза |
6 мг |
6 мг |
6 мг |
| Дистиллированная вода |
подходящее количество |
подходящее количество |
подходящее количество |
| Низкозамещенная гидроксипропилцеллюлоза |
10 мг |
10 мг |
10 мг |
| Кристаллическая целлюлоза |
20 мг |
20 мг |
20 мг |
| Стеарат магния |
1 мг |
1 мг |
1 мг |
| Желтый Opadry (примечание) |
8 мг |
8 мг |
8 мг |
| Итого |
208 мг |
208 мг |
208 мг |
(Примечание) Предварительно смешанный материал, образованный смешиванием 56% гидроксипропилметилцеллюлозы 2910, 28% талька, 10% Макрогола 6000, 4% оксида титана и 2% желтого полуторного оксида железа.
Промышленная применимость
Соединение по настоящему изобретению, представленное общей формулой (I), обладает эффектом связывания с 5-HT1A рецептором, а также антагонистическим эффектом против указанного рецептора. Поэтому оно применимо в качестве средства для лечения или профилактики симптомов со стороны нижних мочевых путей и, в частности, учащенного мочеиспускания, недержания мочи или тому подобного.
Краткое описание чертежей
[Фиг.1] – порошковая рентгенограмма кристалла типа А, полученного в примере 70. По горизонтальной оси показан угол дифракции (2 ), а по вертикальной оси – максимальная прочность;
[Фиг.2] – порошковая рентгенограмма кристалла типа В, полученного в примере 71. По горизонтальной оси показан угол дифракции (2 ), а по вертикальной оси – максимальная прочность;
[Фиг.3] – порошковая рентгенограмма кристалла типа С, полученного в примере 71. По горизонтальной оси показан угол дифракции (2 ), а по вертикальной оси – максимальная прочность;
[Фиг.4] – порошковая рентгенограмма кристалла типа D, полученного в примере 72. По горизонтальной оси показан угол дифракции (2 ), а по вертикальной оси – максимальная прочность.
Формула изобретения
1. Соединение, представленное следующей формулой (I), или его фармакологически приемлемая соль

где R1 и R2 представляют собой заместители, смежные друг с другом, и вместе с двумя углеродными атомами, к каждому из которых они присоединены, образуют группу, представленную следующей формулой:
1) , или 
2) , , , , , , , , или 
3) или
4) , , или 
где атом водорода в каждой циклической группе может быть замещенным 1-4 заместителями, выбранными из следующей группы заместителей В1,
R3 представляет собой атом водорода или метильную группу; и
R6 представляет собой заместитель, выбранный из следующей группы А1 заместителей,
группа А1 заместителей: (1) атом водорода, (2) С1-С6 алкоксигруппа;
группа В1 заместителей: (1) атом водорода, (2) гидроксильная группа, (3) оксогруппа, (4) С1-С6 алканоильная группа, (5) С3-С8 циклоалкильная группа, (6) С1-С6 алкильная группа (где указанная С1-С6 алкильная группа может быть замещенной С1-С6 алкоксигруппой), (7) С1-С6 алкоксигруппа, (8) С1-С6 алкоксииминогруппа, (9) С5-С6 циклоалкильная группа, образованная двумя С1-С3 алкильными группами, присоединенными к одному и тому же углеродному атому, и (10) тетрагидропиранильная группа, образованная двумя С1-С3 алкильными группами, присоединенными к одному и тому же углеродному атому, вместе с атомом кислорода и указанным атомом углерода.
2. Соединение по п.1 или его фармакологически приемлемая соль, где R1 и R2 представляют собой заместители, смежные друг с другом, и вместе с двумя углеродными атомами, к каждому из которых они присоединены, образуют группу, представленную следующей формулой:
1) , или 
2) , , , , , , , , или 
3) или
4) , , или 
где атом водорода в каждой циклической группе может быть замещенным 1-4 заместителями, выбранными из следующей группы заместителей В1, группа В1 заместителей: (1) атом водорода, (2) гидроксильная группа, (3) оксогруппа, (4) С1-С6 алканоильная группа, (5) С3-С8 циклоалкильная группа, (6) С1-С6 алкильная группа (где указанная С1-С6 алкильная группа может быть замещенной С1-С6 алкоксигруппой), (7) С1-С6 алкоксигруппа, (8) С1-С6 алкоксииминогруппа, (9) С5-С6 циклоалкильная группа, образованная двумя С1-С3 алкильными группами, присоединенными к одному и тому же углеродному атому, и (10) тетрагидропиранильная группа, образованная двумя С1-С3 алкильными группами, присоединенными к одному и тому же углеродному атому, вместе с атомом кислорода и указанным атомом углерода.
3. Соединение по п.1 или его фармакологически приемлемая соль, которое представлено формулой (I-а-1), формулой (I-а-2), формулой (I-а-3) или формулой (1-а-4)


где R3 представляет собой атом водорода или метильную группу; R4a и R5a представляют собой заместители, выбранные из следующей группы В1 заместителей; R6 представляет собой заместитель, выбранный из следующей группы А1 заместителей; R11a представляет собой гидроксильную группу, R12a представляет собой атом водорода или С1-С6 алкильную группу или R11a и R12a представляют собой карбонильную группу или группу формулы C=N-OR8c (где R8c представляет собой С1-С6 алкильную группу) вместе с углеродными атомами, к которым присоединены R11a и R12a; Ха представляет собой метиленовую группу или атом кислорода; и nа представляет собой целое число от 1 до 3,
группа А1 заместителей: (1) атом водорода, (2) С1-С6 алкоксигруппа; группа В1 заместителей: (1) атом водорода, (2) гидроксильная группа, (3) оксогруппа, (4) С1-С6 алканоильная группа, (5) С3-С8 циклоалкильная группа, (6) С1-С6 алкильная группа (где указанная С1-С6 алкильная группа может быть замещенной С1-С6 алкоксигруппой), (7) С1-С6 алкоксигруппа, (8) С1-С6 алкоксииминогруппа, (9) С5-С6 циклоалкильная группа, образованная двумя С1-С3 алкильными группами, присоединенными к одному и тому же углеродному атому, и (10) тетрагидропиранильная группа, образованная двумя С1-С3 алкильными группами, присоединенными к одному и тому же углеродному атому, вместе с атомом кислорода и указанным атомом углерода.
4. Соединение по п.3 или его фармакологически приемлемая соль, где R11a и R12a образуют карбонильную группу вместе с атомами углерода, к которым R11a и R12a присоединены.
5. Соединение по п.3 или 4 или его фармакологически приемлемая соль, где R4a и R5a представляют собой заместители, выбранные из следующей группы В2 заместителей, и R6 представляет собой заместитель, выбранный из следующей группы А2 заместителей, группа А2 заместителей: (1) атом водорода, (2) С1-С6 алкоксигруппа;
группа В2 заместителей: (1) атом водорода, (2) гидроксильная группа, (3) С1-С6 алкильная группа, (4) С1-С6 алкоксигруппа, (5) С5-С6 циклоалкильная группа, образованная двумя С1-С3 алкильными группами, присоединенными к одному и тому же углеродному атому, и (6) тетрагидропиранильная группа, образованная двумя С1-С3 алкильными группами, присоединенными к одному и тому же углеродному атому, вместе с атомом кислорода и указанным выше атомом углерода.
6. Соединение по п.3 или его фармакологически приемлемая соль, где R4a и R5a представляют собой заместители, выбранные из следующей группы В5 заместителей, и R6 представляет собой заместитель, выбранный из следующей группы А4 заместителей, группа А4 заместителей: (1) атом водорода, (2) С1-С6 алкоксигруппа;
группа В5 заместителей: (1) атом водорода, (2) С1-С6 алкильная группа, (3) С5-С6 циклоалкильная группа, образованная двумя С1-С3 алкильными группами, присоединенными к одному и тому же углеродному атому, и (4) тетрагидропиранильная группа, образованная двумя С1-С3 алкильными группами, присоединенными к одному и тому же углеродному атому, вместе с атомом кислорода и указанным атомом углерода.
7. Соединение по п.3 или его фармакологически приемлемая соль, где Ха представляет собой атом кислорода.
8. Соединение по п.1 или его фармакологически приемлемая соль, которое представлено формулой (I-b-1), формулой (I-b-2), формулой (I-b-3) или формулой (I-b-4)


где R4a и R5a представляют собой заместители, выбранные из следующей группы В5 заместителей, и R6 представляет собой заместитель, выбранный из следующей группы А4 заместителей,
группа А4 заместителей: (1) атом водорода, (2) С1-С6 алкоксигруппа;
группа В5 заместителей: (1) атом водорода, (2) С1-С6 алкильная группа, (3) С5-С6 циклоалкильная группа, образованная двумя С1-С3 алкильными группами, присоединенными к одному и тому же углеродному атому, и (4) тетрагидропиранильная группа, образованная двумя С1-С3 алкильными группами, присоединенными к одному и тому же углеродному атому, вместе с атомом кислорода и указанным атомом углерода.
9. Соединение по п.3 или его фармакологически приемлемая соль, где R11a представляет собой гидроксильную группу и R12a представляет собой атом водорода или С1-С6 алкильную группу.
10. Соединение по п.9 или его фармакологически приемлемая соль, где R4a и R5a представляют собой заместители, выбранные из следующей группы В2 заместителей, и R6 представляет собой заместитель, выбранный из следующей группы А2 заместителей,
группа А2 заместителей: (1) атом водорода, (2) С1-С6 алкоксигруппа;
группа В2 заместителей: (1) атом водорода, (2) С1-С6 алкильная группа, (3) гидроксильная группа, (4) С1-С6 алкоксигруппа, (5) С5-С6 циклоалкильная группа, образованная двумя С1-С3 алкильными группами, присоединенными к одному и тому же углеродному атому, и (6) тетрагидропиранильная группа, образованная двумя С1-С3 алкильными группами, присоединенными к одному и тому же углеродному атому, вместе с атомом кислорода и указанным атомом углерода.
11. Соединение по п.9 или 10 или его фармакологически приемлемая соль, где Ха представляет собой атом кислорода.
12. Соединение по п.3 или его фармакологически приемлемая соль, где R11a и R12a вместе образуют группу формулы =N-OR8c (где R8c представляет собой С1-С6 алкильную группу).
13. Соединение по п. 12 или его фармакологически приемлемая соль, где R4a и R5a представляют собой заместители, выбранные из следующей группы В3 заместителей, и R6 представляет собой заместитель, выбранный из следующей группы А2 заместителей,
группа А2 заместителей: (1) атом водорода, (2) С1-С6 алкильная группа и (3) С1-С6 алкоксигруппа;
группа ВЗ заместителей: (1) атом водорода, (2) гидроксильная группа, (3) С1-С6 алкоксигруппа.
14. Соединение по п. 12 или 13 или его фармакологически приемлемая соль, где Ха представляет собой атом кислорода.
15. Соединение по п.1 или его фармакологически приемлемая соль, которое представлено формулой (I-c-1) или формулой (I-c-2)

где R3 представляет собой атом водорода или метильную группу и R4d, R5d и R6 представляют собой заместители, выбранные из следующей группы А1 заместителей,
группа А1 заместителей: (1) атом водорода, (2) С1-С6 алкоксигруппа.
16. Соединение по п. 15 или его фармакологически приемлемая соль, где R4d и R5d представляют собой заместители, выбранные из следующей группы В4 заместителей, и R6 представляет собой заместитель, выбранный из следующей группы А2 заместителей,
группа А2 заместителей: (1) атом водорода, (2) С1-С6 алкоксигруппа;
группа В4 заместителей: (1) атом водорода, (2) С1-С6 алкильная группа и (3) С1-С6 алкоксигруппа.
17. Соединение по п.1 или его фармакологически приемлемая соль, которое представлено формулой (I-d-1) или формулой (I-d-2)

где R3 представляет собой атом водорода или метильную группу; R4e и R5e представляют собой заместители, выбранные из следующей группы А1 заместителей; R6 представляет собой заместитель, выбранный из следующей группы А1 заместителей; и каждый из Хе и Ye представляет собой (1) атом кислорода, (2) метиленовую группу, (3) -CONR7e– (где R7e представляет собой (1) атом водорода или (2) С1-С6 алкильную группу), (4) -NR7eCO- (где R7e имеет определенное выше значение), (5) -NR8e– (где R8e представляет собой (1) С1-С6 алкильную группу или (2) С1-С6 ацильную группу) или (6) одинарная связь, группа А1 заместителей: (1) атом водорода, (2) С1-С6 алкоксигруппа.
18. Соединение по п. 17 или его фармакологически приемлемая соль, где R4e и R5e представляют собой заместители, выбранные из следующей группы В3 заместителей, и R6 представляет собой заместитель, выбранный из следующей группы А2 заместителей,
группа А2 заместителей: (1) атом водорода, (2) С1-С6 алкоксигруппа;
группа В3 заместителей: (1) атом водорода, (2) гидроксильная группа, (3) С1-С6 алкильная группа и (4) С1-С6 алкоксигруппа.
19. Соединение по п.1 или его фармакологически приемлемая соль, которое представлено формулой (I-е-1) или формулой (I-е-2)

где R3 представляет собой атом водорода или метильную группу; R6 представляет собой заместитель, выбранный из следующей группы А1 заместителей; R7f представляет собой (1) атом водорода, (2) С1-С6 алкильную группу, (3) С3-С8 циклоалкильную группу, (4) С2-С6 алкенильную группу, (5) С2-С6 алкинильную группу или (6) С1-С6 алкокси-С1-С6 алкильную группу; и каждый из Xf и Yf представляет собой (1) одинарную связь, (2) метиленовую группу, которая может иметь заместитель, выбранный из следующей группы А1 заместителей, или (3) карбонильную группу, группа А1 заместителей: (1) атом водорода, (2) С1-С6 алкоксигруппа.
20. Соединение по п. 19 или его фармакологически приемлемая соль, где R6 представляет собой заместитель, выбранный из следующей группы А2 заместителей; R7f представляет собой заместитель, выбранный из следующей группы В4 заместителей; и каждый из Xf и Yf представляет собой (1) одинарную связь, (2) метиленовую группу, которая может иметь заместитель, выбранный из следующей группы В4 заместителей, или (3) карбонильную группу, группа А2 заместителей: (1) атом водорода, (2) С1-С6 алкоксигруппа;
группа В4 заместителей: (1) атом водорода, (2) гидроксильная группа, (3) С1-С6 алкильная группа и (4) С1-С6 алкоксигруппа.
21. Соединение по п.1 или его фармакологически приемлемая соль, которое представлено формулой (I-f-1), формулой (I-f-2), формулой (I-f-3), формулой (I-f-4), формулой (I-g-1), формулой (I-g-2), формулой (I-h-1), формулой (I-h-2), формулой (I-h-3) или формулой (I-h-4)





где R3 представляет собой атом водорода или метильную группу и R6 и R7g представляют собой заместители, выбранные из следующей группы А1 заместителей (но случай, когда R7g представляет собой гидроксильную группу исключен),
группа А1 заместителей: (1) атом водорода, (2) С1-С6 алкоксигруппа.
22. Соединение по п.21 или его фармакологически приемлемая соль, где R6 представляет собой заместитель, выбранный из следующей группы А2 заместителей, и R7g представляет собой заместитель, выбранный из следующей группы В7 заместителей,
группа А2 заместителей: (1) атом водорода, (2) С1-С6 алкоксигруппа;
группа В7 заместителей: (1) атом водорода и (2) С1-С6 алкильная группа.
23. Соединение по п.21 или 22 или его фармакологически приемлемая соль, где R6 представляет собой заместитель, выбранный из следующей группы А4 заместителей, и R7g представляет собой заместитель, выбранный из следующей группы В 6 заместителей,
группа А4 заместителей: (1) атом водорода, (2) С1-С6 алкоксигруппа;
группа В6 заместителей: (1) атом водорода и (2) С1-С6 алкильная группа.
24. Соединение по п.1 или его фармакологически приемлемая соль, которое представлено формулой (I-i-1) или формулой (I-i-2)

где R3 представляет собой атом водорода или метильную группу и R6, R9h и R10h представляют собой заместители, выбранные из следующей группы А1 заместителей; и Хh и Yh представляют собой (1) метиновую группу или (2) атом азота, группа А1 заместителей: (1) атом водорода, (2) С1-С6 алкоксигруппа.
25. Соединение по п. 24 или его фармакологически приемлемая соль, где R9h, R10h и R6 представляют собой заместители, выбранные из следующей группы А2 заместителей, и Хh и Yh представляют собой (1) метиновую группу или (2) атом азота, группа А2 заместителей: (1) атом водорода, (2) С1-С6 алкоксигруппа.
26. Соединение по п.1, выбранное из следующей группы, или его фармакологически приемлемая соль:
1) 1-{1-[2-(7-метокси-2,2-диметил-4-оксохроман-8-ил)этил]пиперидин-4-ил}-N-метил-1Н-индол-6-карбоксамид,
2) 1-{1-[2-(7-метокси-2,2-диметил-4-оксохроман-8-ил)этил]пиперидин-4-ил}-1Н-индол-6-карбоксамид,
3) 1-{1-[2-(7-метокси-2,2-диметил-4-оксохроман-6-ил)этил]пиперидин-4-ил}-1Н-индол-6-карбоксамид,
4) 1-{1-[2-(6-метокси-3-оксоиндан-5-ил)этил]пиперидин-4-ил}-1Н-индол-6-карбоксамид,
5) 1-{1-[2-(6-метокси-2-метилбензоксазол-5-ил)этил]пиперидин-4-ил}-1Н-индол-6-карбоксамид,
6) 1-{1-[2-(6-метокси-2-метилбензоксазол-7-ил)этил]пиперидин-4-ил}-1Н-индол-6-карбоксамид,
7) 1-{1-[2-(6-метокси-3-метилбензо[d]изоксазол-5-ил)этил]пиперидин-4-ил}-1Н-индол-6-карбоксамид,
8) 1-{1-[2-(6-метокси-3-метилбензо[d]изоксазол-7-ил)этил]пиперидин-4-ил}-1Н-индол-6-карбоксамид,
9) 1-{1-[2-(5-метокси-1-оксоиндан-4-ил)этил]пиперидин-4-ил}-1Н-индол-6-карбоксамид и
10)1-{1-[2-(7-метокси-2,3-дигидробензо[1,4]диоксин-6-ил)этил]пиперидин-4-ил}-1Н-индол-6-карбоксамид.
27. Соединение по п.1, выбранное из следующей группы, или его фармакологически приемлемая соль:
1) 1-{1-[2-(7-метокси-2,2-диметил-4-оксохроман-8-ил)этил]пиперидин-4-ил}-N-метил-1Н-индол-6-карбоксамид,
2) 1-{1-[2-(7-метокси-2,2-диметил-4-оксохроман-8-ил)этил]пиперидин-4-ил}-1Н-индол-6-карбоксамид и
3) 1-{1-[2-(7-метокси-2,2-диметил-4-оксохроман-6-ил)этил]пиперидин-4-ил}-1Н-индол-6-карбоксамид.
28. Фармацевтическая композиция, обладающая ингибирующей активностью по отношению к серотониновым 1А рецепторам, содержащая в качестве активного компонента соединение, представленное следующей формулой (I), или его фармакологически приемлемую соль

где R1 и R2 представляют собой заместители, смежные друг с другом, и вместе с двумя углеродными атомами, к каждому из которых они присоединены, образуют
1) , или 
2) , , , , , , , , или 
3) или
4) , , или 
где атом водорода в каждой циклической группе может быть замещенным 1-4 заместителями, выбранными из следующей группы заместителей В1,
R3 представляет собой атом водорода или метильную группу; и
R6 представляет собой заместитель, выбранный из следующей группы А1 заместителей,
группа А1 заместителей: (1) атом водорода, (2) С1-С6 алкоксигруппа;
группа В1 заместителей: (1) атом водорода, (2) гидроксильная группа, (3) оксогруппа, (4) С1-С6 алканоильная группа, (5) С3-С8 циклоалкильная группа, (6) С1-С6 алкильная группа (где указанная С1-С6 алкильная группа может быть замещенной С1-С6 алкоксигруппой), (7) С1-С6 алкоксигруппа, (8) С1-С6 алкоксииминогруппа, (9) С5-С6 циклоалкильная группа, образованная двумя С1-С3 алкильными группами, присоединенными к одному и тому же углеродному атому, и (10) тетрагидропиранильная группа, образованная двумя С1-С3 алкильными группами, присоединенными к одному и тому же углеродному атому, вместе с атомом кислорода и указанным атомом углерода.
29. Фармацевтическая композиция по п.28, отличающаяся тем, что является средством для лечения или профилактики симптомов со стороны нижних мочевых путей.
30. Фармацевтическая композиция по п.29, отличающаяся тем, что является средством для лечения или профилактики симптомов со стороны задержки мочеиспускания.
31. Фармацевтическая композиция по п.29 или 30, отличающаяся тем, что является средством для лечения или профилактики учащенного мочеиспускания или недержания мочи.
32. Фармацевтическая композиция по п.28, отличающаяся тем, что является средством для лечения или профилактики снижения познавательной способности, связанной с болезнью Альцгеймера или сенильной деменцией, снижения способности к обучению, или нарушения памяти, или тревожного расстройства.
33. Фармацевтическая композиция по п.28, отличающаяся тем, что является средством для лечения или профилактики шизофрении, эмоционального расстройства, алкогольной и/или кокаиновой зависимости, симптомов, связанных с отказом от заглатывания никотина или курения, или расстройства зрительного внимания.
34. Фармацевтическая композиция по п.28, отличающаяся тем, что является средством для лечения или профилактики расстройства сна, мигрени, нестабильности температуры, расстройства питания, рвоты, желудочно-кишечного расстройства или генитальной недостаточности.
РИСУНКИ
|
|