Патент на изобретение №2332412
|
||||||||||||||||||||||||||||||||||||||||||||||||||||||||||||||||||||||||||||||||
(54) ПРОИЗВОДНЫЕ ПИРАЗОЛА
(57) Реферат:
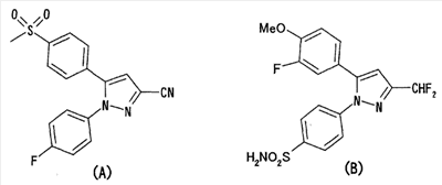
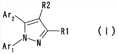
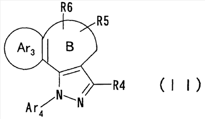
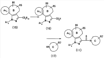
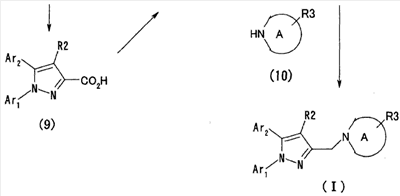
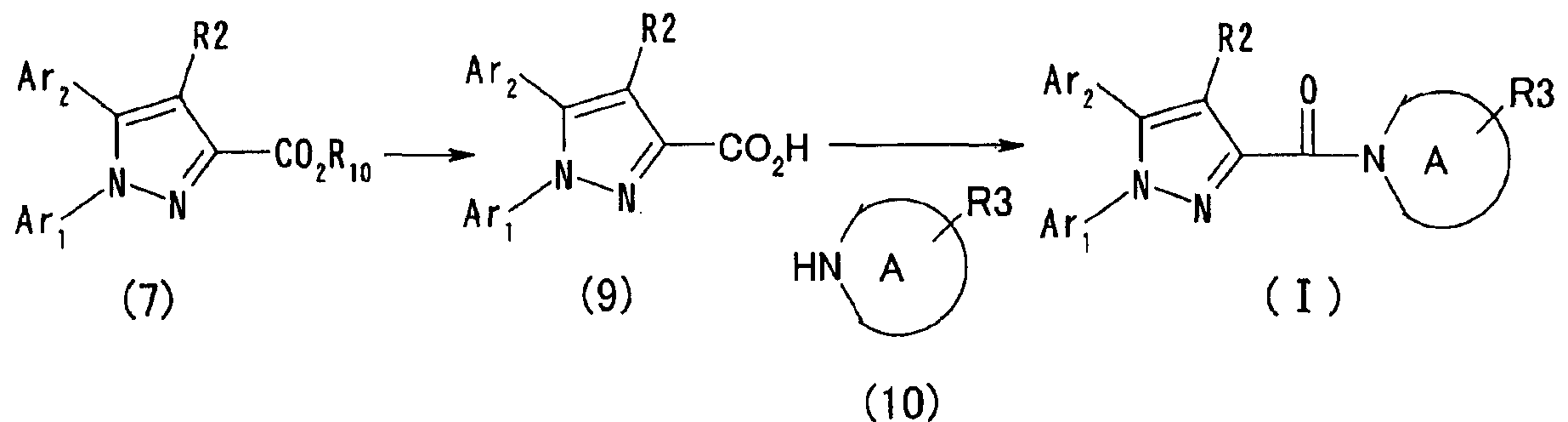
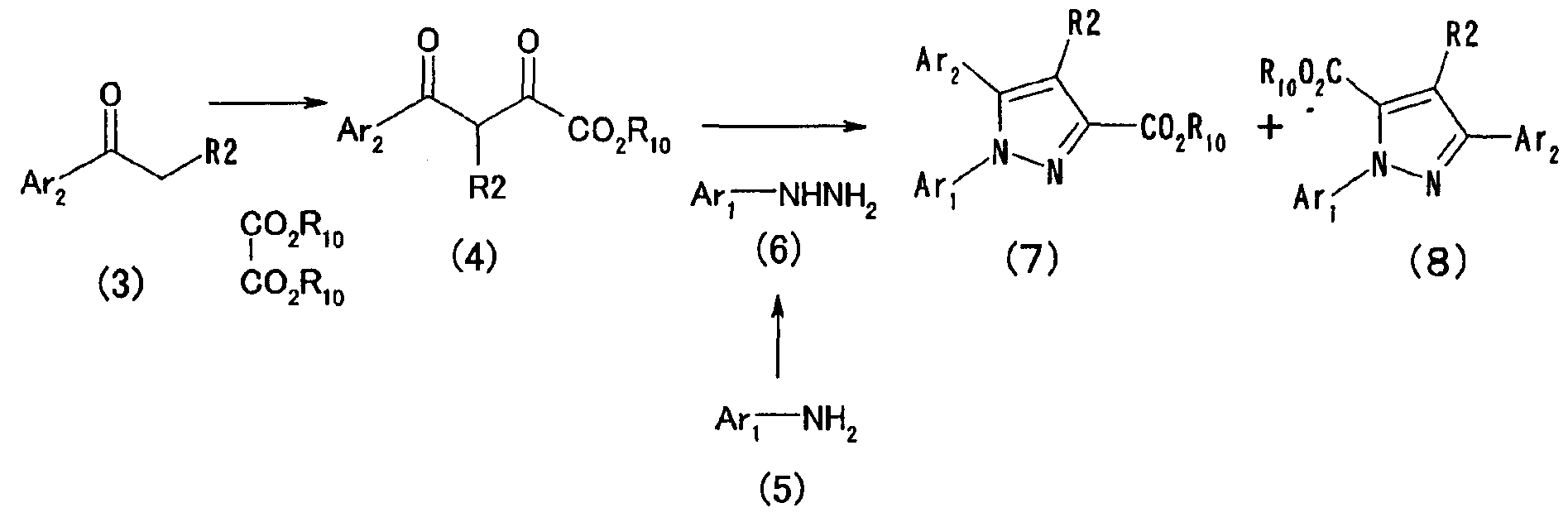
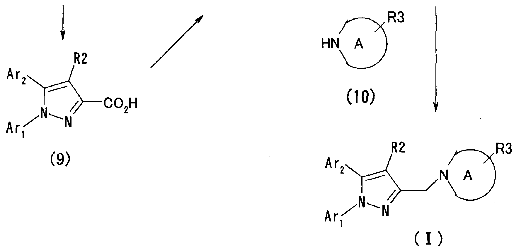
Настоящее изобретение относится к сильно ингибирующему агрегацию тромбоцитов агенту, которое не ингибирует СОХ-1 или СОХ-2. Настоящее изобретение предлагает соединения, представленные формулой (I), или их фармацевтически приемлемые соли, где радикалы и группы в указанной структуре соединений имеют значения, охарактеризованные в формуле изобретения. Предложены также лекарственные средства, содержащие любое из соединений формулы (I) или их фармацевтически приемлемых солей, и профилактические и/или терапевтические агенты для ишемических заболеваний, содержащие любое из соединений формулы (I) или их фармацевтически приемлемых солей. Кроме того, предложены применение вышеописанных соединений и их фармацевтически приемлемых солей для изготовления лекарственного средства, обладающего антитромбической активностью, и способ лечения ишемического заболевания. 6 н. и 6 з.п. ф-лы, 1 табл.
Настоящее изобретние относится к производным пиразола, обладающим активностью, ингибирующей агрегации тромбоцитов. Тромбоциты играют важную роль в остановке кровотечения, вызванного повреждением кровеносного сосуда, посредством коагуляции с образованием тромбов. С другой стороны, известно, что когда васкулярный эндотелий поврежден или кровеносный сосуд сужен, как в случае артериосклероза, тромбоциты агрегируют и запускают образование тромба или эмбола, вызывающего ишемические заболевания, такие как инфаркт миокарда, стенокардия, ишемическое цереброваскулярное нарушение и периферическое васкулярное заболевание. Поэтому ингибиторы агрегации тромбоцитов вводят для профилактики и лечения таких ишемических заболеваний. Аспирин является одним таким ингибитором агрегации тромбоцитов, который использовали в течение продолжительного времени, и действия аспирина были продемонстрированы АРТ (Antiplatelet Trialist’ Collaboration), в котором результаты клинических испытаний, полученных при введении аспирина 100000 пациентам, подвергали метаанализу (BMJ, vol. 308, pages 81-106, 1994). Однако известно, что аспирин вызывает побочные действия, такие как кровотечение в желудочно-кишечном тракте или подобных органах, а именно так называемую «вызванную аспирином язву», и такое побочное действие является доза-зависимым и имеет место при частоте заболевания приблизительно 1 случай на 100 пациентов (BMJ, vol. 321, pages 1183-1187, 2000). Известно, что ингибирующее действие аспирина на агрегацию тромбоцитов основано на активности его ингибировать действие циклооксигеназы. Циклооксигеназа включает в себя циклооксигеназу-1 (СОХ-1) и циклооксигеназу-2 (СОХ-2), и аспирин специфически ингибирует СОХ-1 при низкой дозе, что приводит к ингибированию агрегации тромбоцитов. Ингибирование СОХ-1 вызывает также индуцированную аспирином язву (Neurology, vol. 57, Suppl. 2, pages S5-S7, 2001 and Drugs Today, vol. 35, pages 251-265, 1999). Помимо этого, известно, что нестероидные противовоспалительные лекарственные средства проявляют противовоспалительное действие посредством селективного ингибирования СОХ-2. Как описано выше, хотя аспирин является применимым в качестве ингибитора агрегации тромбоцитов, он вызывает побочное действие в виде желудочно-кишечной дисфункции, приписываемой СОХ-1-ингибирующему действию, которое является механизмом действия ингибирования агрегации тромбоцитов, и имеется существенная потребность в новых ингибиторах агрегации тромбоцитов, не проявляющих активность в ингибировании СОХ-1. Между тем в качестве производных пиразола, обладающих антитромботической активностью, были известны соединение (А) (патент Японии № 2586713 и Chem. Pharm. Bull., vol. 45, pages 987-995, 1997) и соединение (В) (BMJ, vol. 321, pages 1183-1187, 2000). Соединение (А), однако, обнаруживает величину IC50 5,3х10-6 М против индуцированной коллагеназой агрегации тромбоцитов и даже более сильную ингибирующую активность обнаруживает против СОХ-2 (IC50 2,4 х 10-7 М). Ситуация является сходной со случаем соединения (В). Активность по ингибированию агрегации тромбоцитов соединения (В) не является такой сильной, как его ингибирующая активность против СОХ-2. Как описано выше, ингибирование СОХ-2 может привести к противовоспалительному действию, а ингибирование СОХ-2 не обязательно является благоприятным для соединения в качестве ингибитора агрегации тромбоцитов. С точки зрения ситуации, описываемой выше, целью настоящего изобретения является предоставление сильного ингибитора против агрегации тромбоцитов, который, однако, не ингибирует ни один из СОХ-1 и СОХ-2. Авторы настоящего изобретения провели экстенсивное исследование по поиску такого ингибитора агрегации тромбоцитов и обнаружили, что производные пиразола, представленные следующими формулами (I) и (II), проявляют сильную активность в ингибировании агрегации тромбоцитов без ингибирования СОХ-1 или СОХ-2, и тем самым завершили изобретение. В соответствии с этим, настоящее изобретение предлагает соединение, представленное формулой (I), соль этого соединения или сольват соединения или соли: (где Ar1 представляет собой 5- или 6-членную ароматическую гетероциклическую группу, имеющую 1-3 заместителя; Ar2 представляет собой 5- или 6-членную ароматическую гетероциклическую группу, которая может иметь 1-3 заместителя, или фенильную группу, которая может иметь 1-3 заместителя; R1 представляет собой группу, представленную формулой (1): (где циклическая структура А представляет собой 4-7-членное кольцо, которое может иметь помимо атома азота в формуле (1) один гетероатом, выбранный из атома азота, атома кислорода и атома серы; Х представляет собой карбонильную группу, тиокарбонильную группу или метиленовую группу, которая может быть замещена 1 или 2 низшими алкильными группами; R3 представляет собой 1-4 группы на циклической структуре А, причем R3 выбран из группы, состоящей из атома водорода, атома галогена, гидроксильной группы, низшей алкоксигруппы, низшей алкоксикарбонильной группы, карбоксильной группы, сульфогруппы, низшей алкилсульфонильной группы, низшей алкильной группы, которая может иметь 1 или 2 заместителя, аминогруппы, которая может иметь 1 или 2 заместителя, карбамоильной группы, которая может иметь 1 или 2 заместителя, низшей ацильной группы, аминосульфонильной группы, которая может иметь 1 или 2 заместителя, оксогруппы, гидроксииминокарбонильной группы, низшей алкоксииминокарбонильной группы, аралкильной группы, которая может иметь 1-3 заместителя, 4-7-членной алициклической гетероциклической группы, которая может иметь 1 или 2 заместителя, фенильной группы, которая может иметь 1-3 заместителя, 5- или 6-членной ароматической гетероциклической группы, которая может иметь 1-3 заместителя, замещенной или незамещенной 3-6-членной спироалициклической алкильной группы и замещенной или незамещенной 4-6-членной спироалициклической гетероциклической группы), R2 представляет собой атом водорода, атом галогена, гидроксильную группу, низшую алкоксигруппу, низшую алкильную группу, которая может иметь 1 или 2 заместителя, аминогруппу, которая может иметь 1 или 2 заместителя, карбамоильную группу, которая может иметь 1 или 2 заместителя, или ацильную группу, которая может иметь 1 или 2 заместителя). Настоящее изобретение предлагает также соединение, представленное формулой (II), соль этого соединения или сольват соединения или соли: (где циклическая структура В представляет собой 5-7-членное кольцо, которое может иметь один гетероатом или два гетероатома, которые могут быть одинаковыми или отличными друг от друга, причем гетероатом(ы) выбран из атома азота, атома кислорода и атома серы, циклическая структура Ar3 представляет собой 5- или 6-членный ароматический гетероцикл, который может иметь 1-3 заместителя, или бензольное кольцо, которое может иметь 1-3 заместителя; Ar4 представляет собой 5- или 6-членную ароматическую гетероциклическую группу, которая может иметь 1-3 заместителя, или фенильную группу, которая может иметь 1-3 заместителя; R4 представляет собой группу, представленную формулой (2): (где циклическая структура С представляет собой 4-7-членное кольцо, которое может иметь помимо атома азота в формуле (2) один гетероатом, выбранный из атома азота, атома кислорода и атома серы; Y представляет собой карбонильную группу, тиокарбонильную группу или метиленовую группу, которая может быть замещена 1 или 2 низшими алкильными группами; R7 представляет собой 1-4 группы на циклической структуре C, причем R7 выбран из группы, состоящей из атома водорода, атома галогена, гидроксильной группы, низшей алкоксигруппы, низшей алкоксикарбонильной группы, карбоксильной группы, сульфогруппы, низшей алкилсульфонильной группы, низшей алкильной группы, которая может иметь 1 или 2 заместителя, аминогруппы, которая может иметь 1 или 2 заместителя, карбамоильной группы, которая может иметь 1 или 2 заместителя, низшей ацильной группы, аминосульфонильной группы, которая может иметь 1 или 2 заместителя, оксогруппы, гидроксииминокарбонильной группы, низшей алкоксииминокарбонильной группы, аралкильной группы, которая может иметь 1-3 заместителя, 4-7-членной алициклической гетероциклической группы, которая может иметь 1 или 2 заместителя, фенильной группы, которая может иметь 1-3 заместителя, 5- или 6-членной ароматической гетероциклической группой, которая может иметь 1-3 заместителя, замещенной или незамещенной 3-6-членной спироалициклической алкильной группы и замещенной или незамещенной 4-6-членной спироалициклической гетероциклической группы); каждая из R5 и R6 представляет собой группу, выбранную из группы, состоящей из атома водорода, атома галогена, гидроксильной группы, низшей алкоксигруппы, аминогруппы, которая может иметь 1 или 2 заместителя, низшей алкильной группы, которая может иметь 1 или 2 заместителя, или оксогруппы). Настоящее изобретение предлагает также лекарственное средство, содержащее соединение, представленное формулой (I) или (II), соль этого соединения или сольват соединения или соли. Настоящее изобретение предлагает также профилактический и/или терапевтически агент для ишемического заболевания, содержащий соединение, представленное формулой (I) или (II), соль этого соединения или сольват соединения или соли. Настоящее изобретение предлагает также лекарственную композицию, содержащую соединение, представленное формулой (I) или (II), соль этого соединения или сольват соединения или соли, и его фамакологически приемлемый носитель. Настоящее изобретение предлагает также использование соединения, представленного формулой (I) или (II), соли этого соединения или сольвата соединения или соли при получении лекарственного средства. Настоящее изобретение предлагает также способ лечения ишемического заболевания, отличающийся введением эффективного количества соединения, представленного формулой (I) или (II), соли этого соединения или сольвата соединения или соли. Соединения формулы (I) и (II) настоящего изобретения, соли этого соединения и сольваты соединения или солей сильно ингибируют агрегацию тромбоцитов и в соответствии с этим ингибируют также тромбогенез без ингибирования СОХ-1 и СОХ-2. Поэтому они являются применимыми в качестве профилактических и/или терапевтических агентов для ишемических заболеваний, вызванных тромбом или эмболой, таких как инфаркт миокарда, стенокардия (хроническая, стабильная стенокардия, нестабильная стенокардия и тому подобное), ишемическое цереброваскулярное нарушение (преходящее нарушение мозгового кровообращения (TIA), церебральный инфаркт и тому подобное), периферическое васкулярное заболевание, эмболия после замены сосуда искусственным сосудом, тромботическая эмболия после вмешательства в коронарную артерию (обходное шунтирование коронарной артерии (CAGB), чрескожная внутрипросветная коронарная ангиопластика (РТСА), установка стента и тому подобное), диабетическая ретинопатия и нефропатия и эмболия после замены сердечного клапана искусственным, и являются также применимыми в качестве профилактических и/или терапевтических агентов для тромба и эмболии, связанных с операцией на сосудах, искусственным кровообращением и тому подобное. Предпочтительный способ осуществления изобретения Далее будут описаны заместители и циклические структуры соединений, представленных формулой (I) и (II). Ароматическая гетероциклическая группа, представленная Ar1 или Ar4, является 5- или 6-членной ароматической гетероциклической группой, и конкретные примеры ее включают в себя пиридил, пиридазинил, пиримидинил, пиразинил, фурил, тиенил, пирролил, имидазолил, триазолил, оксазолил, изоксазолил, тиазолил и пиразолил. Примеры заместителя ароматической гетероциклической группы Ar1 или Ar4 включают в себя низшую алкильную группу, атом галогена, гидроксильную группу, цианогруппу, низшую алкоксигруппу, аралкилоксигруппу, низшую тиоалкоксигруппу, низшую алкоксикарбонильную группу, карбоксильную группу, низшую алкилсульфонильную группу, аминогруппу, которая может иметь 1 или 2 заместителя, карбамоильную группу, которая может быть замещенной 1 или 2 низшими алкильными группами, аминосульфонильную группу, которая может быть замещенной 1 или 2 низшими алкильными группами, и 4-7-членную алициклическую гетероциклическую группу, которая может иметь 1 или 2 заместителя. Эти заместители будут описаны ниже. Среди вышеуказанных заместителей ароматической гетероциклической группы Ar1 или Ar4 низшая алкильная группа относится к неразветвленной, разветвленной или циклической С1-С6-алкильной группе, примеры ее включают в себя метил, этил, пропил, изопропил, бутил, изобутил, трет-бутил, пентил, изопентил, циклопропил, циклопентил, циклогексил, циклопропилметил и циклопентилметил. Примеры атома галогена включает в себя фтор, хлор и бром. Низшая алкоксигруппа относится к алкоксигруппе, которая имеет неразветвленную, разветвленную или циклическую С1-С6-алкильную группу, примеры ее включает в себя метокси, этокси, пропокси, изопропокси, бутокси, изобутокси, пентокси и циклопентилокси. Аралкильная группа аралкилоксигруппы относится к группе, образованной вышеуказанной низшей алкильной группой и С6-С20-арильной группой, примеры аралкилоксигруппы включают в себя бензилокси и фенетилоксигруппу. Низшая тиоалкоксигруппа относится к тиоалкоксигруппе, имеющей неразветвленную, разветвленную или циклическую С1-С6-алкильную группу, примеры ее включает в себя метилтио, этилтио, пропилтио, изопропилтио, бутилтио, изобутилтио, пентилтио и циклопентилтио. Низшая алкоксикарбонильная группа относится к алкоксикарбонильной группе, имеющей неразветвленную, разветвленную или циклическую С1-С6-алкильную группу, примеры ее включают в себя метоксикарбонил, этоксикарбонил, пропоксикарбонил, изопропоксикарбонил, от н- до трет-бутоксикарбонила, циклобутилоксикарбонил, циклопентилоксикарбонил, циклогексилоксикарбонил и циклопентилметилоксикарбонил. Низшая алкилсульфонильная группа относится к алкилсульфонильной группе, имеющей неразветвленную, разветвленную или циклическую С1-С6-алкильную группу, примеры ее включают в себя метансульфонил, этансульфонил и трифторметансульфонил. Аминогруппа, которая может иметь 1 или 2 заместителя, относится к незамещенной аминогруппе, аминогруппе, замещенной 1 или 2 описанными выше низшими алкильными группами, низшей алканоиламиногруппе, низшей алкоксикарбониламиногруппе или уреидогруппе, которая может быть замещенной 1 или 2 описанными выше низшими алкильными группами. Примеры аминогруппы, замещенной 1 или 2 описанными выше низшими алкильными группами, включают в себя метиламино, этиламино, пропиламино, изопропиламино, циклопропиламино, бутиламино, изобутиламино, циклопентилметиламино, диметиламино, диэтиламино, дипропиламино, дибутиламино, N-метил-N-этиламино, N-этил-N-пропиламино и N-метил-N-циклопентилметиламино. Низшая алканоиламиногруппа относится к аминогруппе, замещенной неразветвленной или разветвленной С2-С6-алканоильной группой, примеры ее включают в себя ацетиламино и пропиониламино. Низшая алкоксикарбониламиногруппа относится к аминогруппе, замещенной неразветвленной или разветвленной С2-С6-низшей алкоксикарбонильной группой, примеры ее включают в себя метоксикарбониламино и этоксикарбониламино. Примеры уреидогруппы, которая может быть замещенной 1 или 2 описанными выше низшими алкильными группами, включают в себя аминокарбониламино, N1-метиламинокарбониламино, N1-этиламинокарбониламино, N3-метиламинокарбониламино, N1,N1-диметиламинокарбониламино, N1,N3-диметиламинокарбониламино и N1-метил-N3-этиламинокарбониламино. Карбамоильная группа, которая может быть замещена 1 или 2 низшими алкильными группами, относится к незамещенной карбамоильной группе или карбамоильной группе, замещенной 1 или 2 описанными выше низшими алкильными группами, примеры ее включают в себя метилкарбамоил, этилкарбамоил, диметилкарбамоил и метилэтилкарбамоил. Аминосульфонильная группа, которая может быть замещена 1 или 2 низшими алкильными группами, относится к незамещенной аминосульфонильной группе или аминосульфонильной группе, замещенной 1 или 2 описанными выше низшими алкильными группами, примеры ее включают в себя метиламиносульфонил, этиламиносульфонил, пропиламиносульфонил, изопропиламиносульфонил, от н- до трет-бутиламиносульфонил, циклопропиламиносульфонил, циклобутиламиносульфонил, циклопентиламиносульфонил, циклогексиламиносульфонил, циклопентилметиламиносульфонил, диметиламиносульфонил и диэтиламиносульфонил. Примеры 4-7-членной алициклической гетероциклической группы, группы, которая может иметь 1 или 2 заместителя, включают в себя азетидинил, пирролидинил, пиперидинил, пиперазинил, гексагидропиридазинил, гексагидропиримидинил, пиразолидинил, имидазолидинил, гомопиперазинил, морфолинил и тиоморфолинил. Примеры алициклической гетероциклической группы, замещенной 1 или 2 группами, включают в себя 3-аминоазетидин-1-ил, 3-метиламиноазетидин-1-ил, 3-диметиламиноазетидин-1-ил, 2-карбамоилазетидин-1-ил, 2-метилкарбамоилазетидин-1-ил, 2-диметилкарбамоилазетидин-1-ил, 3-карбамоилазетидин-1-ил, 3-метилкарбамоилазетидин-1-ил, 2-диметилкарбамоилазетидин-1-ил, 3-гидроксипирролидино, 3-метоксиметилпирролидино, 2-карбамоилпирролидино, 2-метилкарбамоилпирролидино, 2-диметилкарбамоилпирролидино, 3-карбамоилпирролидино, 3-метилкарбамоилпирролидино, 3-диметилкарбамоилпирролидино, 3-аминопиперидино, 4-аминопиперидино, 3-метиламинопиперидино, 4-метиламинопиперидино, 3-диметиламинопиперидино, 4-диметиламинопиперидино, 2-метилпиперидино, 3-метилпиперидино, 4-метилпиперидино, 2,2-диметилпиперидино, 3,3-диметилпиперидино, 4,4-диметилпиперидино, 2-карбамоилпиперидино, 3-карбамоилпиперидино, 4-карбамоилпиперидино, 2-метилкарбамоилпиперидино, 3-метилкарбамоилпиперидино, 4-метилкарбамоилпиперидино, 2-диметилкарбамоилпиперидино, 3-диметилкарбамоилпиперидино, 4-диметилкарбамоилпиперидино, 4-метилпиперазино, 4-циклопропилпиперазино, 4-карбамоилпиперазино, 2,2-диметилморфолино и 3,3-диметилморфолино. Заместитель на ароматической гетероциклической группе Ar1 предпочтительно присутствует в пара-положении относительно кольца пиразола. Примеры заместителей фенильной группы, которая представлена Ar4 и которая может иметь 1-3 заместителя, включают в себя заместители, перечисленные выше в отношении ароматической гетероциклической группы Ar4. 5- или 6-членная ароматическая гетроциклическая группа, представленная Ar4, включают в себя также незамещенные соединения. Ароматическая гетероциклическая группа Ar2 представляет собой 5- или 6-членную ароматическую гетероциклическую группу или фенильную группу, причем эти группы могут иметь 1-3 заместителя. Примеры ароматической гетероциклической группы включают в себя пиридил, пиридазинил, пиримидинил, пиразинил, фурил, тиенил, пирролил, имидазолил, триазолил, оксазолил, изоксазолил, тиазолил и пиразолил. Ароматическое гетероциклическое кольцо Ar3 представляет собой 5- или 6-членное ароматическое гетероциклическое кольцо или бензольное кольцо, причем кольца имеют 1-3 заместителя. Примеры ароматического гетероциклического кольца включают в себя кольцо пиридина, кольцо пиридазина, кольцо пиримидина, кольцо пиразина, кольцо фурана, кольцо тиофена, кольцо пиррола, кольцо имидазола, кольцо триазола, кольцо оксазола, кольцо изоксазола, кольцо тиазола и кольцо пиразола. Примеры заместителя ароматической гетероциклической группы Ar2 или ароматической гетероциклической группы Ar3 включают в себя заместители, перечисленные выше в отношении Ar1 и Ar4. Когда ароматическая гетероциклическая группа Ar1 имеет заместитель в пара-положении относительно кольца пиразола, предпочтительно Ar2, который является ароматической гетероциклической группой или фенильной группой, является незамещенным или имеет заместитель в мета-положении относительно кольца пиразола. Каждая из циклических структур А и С представляет собой 4-7-членное кольцо, которое может иметь в качестве его структурного атома и кроме атома азота, показанного в формулах (1) и (2), один «гетероатом», выбранный из атома азота, атома кислорода и атома серы, причем «гетероатом» может быть атомом азота или другим атомом. Примеры 4-7-членного кольца включают в себя насыщенные гетероциклические кольца, такие как кольцо азетидина, кольцо пирролидина, кольцо имидазолидина, кольцо пиразолина, кольцо пиперидина, кольцо пиперазина, кольцо морфолина, кольцо тиоморфолина, кольцо гексагидропиридазина, кольцо гексагидропиримидина, кольцо гомопиперазина и кольцо азепана; и ненасыщенные гетероциклические кольца, такие как кольцо пиррола, кольцо дигидропиррола, кольцо имидазола, кольцо дигидроимидазола, кольцо пиразола, кольцо дигидропиридина, кольцо дигидропиримидина и кольцо дигидропиридазина. Циклическая структура В представляет собой 5-7-членное кольцо, которое может иметь один гетероатом или два гетероатома, которые являются одинаковыми или отличаются друг от друга, причем гетероатом(ы) выбран из атома азота, атома кислорода и атома серы. Например, когда циклическая структура В является конденсированной с Ar3 и кольцом пиразола, она может быть образована кольцом 1,4-дигидроиндено[1,2-c]пиразола, кольцом 1,4-дигидро-4-оксоиндено[1,2-c]пиразола, кольцом 4,5-дигидро-1Н-бензо[b]индазола, кольцом 1,4-дигидрохромено[4,3-c]пиразола или сходными кольцами. Заместители R2, R3, R5, R6 и R7 будут описаны ниже. Примеры атома галогена включает в себя фтор, хлор и бром. Низшая алкоксигруппа относится к алкоксигруппе, имеющей неразветвленную, разветвленную или циклическую С1-С6-алкильную группу, примеры ее включает в себя метокси, этокси, пропокси, изопропокси, от н- до трет-бутокси, циклобутилокси, циклопентилокси, циклогексилокси и циклопентилметилокси. Низшая алкоксикарбонильная группа относится к алкоксикарбонильной группе, имеющей неразветвленную, разветвленную или циклическую С1-С6-алкильную группу, примеры ее включает в себя метоксикарбонил, этоксикарбонил, пропоксикарбонил, изопропоксикарбонил, от н- до трет-бутоксикарбонила, циклобутилоксикарбонил, циклопентилоксикарбонил, циклогексилоксикарбонил и циклопентилметилоксикарбонил. Низшая алкилсульфонильная группа относится к сульфонильной группе, имеющей неразветвленную, разветвленную или циклическую С1-С6-алкильную группу, примеры ее включает в себя метилсульфонил, этилсульфонил, пропилсульфонил, изопропилсульфонил, от н- до трет-бутилсульфонила, циклопропилсульфонил, циклобутилсульфонил, циклопентилсульфонил, циклогексилсульфонил и циклопентилметилсульфонил. Низшая алкильная группа, которая может иметь 1 или 2 заместителя, относится к неразветвленной, разветвленной или циклической С1-С6-алкильной группе, которая может иметь один заместитель или два заместителя, которые могут быть одинаковыми или отличными друг от друга, причем заместитель(и) выбран из группы, состоящей из гидроксильной группы; атома галогена; карбоксильной группы; сульфогруппы; неразветвленной, разветвленной или циклической С1-С3-алкоксигруппы; алкоксикарбонильной группы, имеющей неразветвленную, разветвленную или циклическую С1-С3-алкильную группу; аминогруппы, которая может быть замещена одной или двумя неразветвленными, разветвленными или циклическими С1-С3-алкильными группами; карбамоильной группы, которая может быть замещена одной или двумя неразветвленными, разветвленными или циклическими С1-С3-алкильными группами; и уреидогруппы, которая может быть замещена одной или двумя неразветвленными, разветвленными или циклическими С1-С3-алкильными группами. Конкретные примеры включают в себя метил, этил, пропил, изопропил, от н- до трет-бутила, пентил, гексил, циклопропил, циклобутил, циклопентил, циклогексил, циклопропилметил, циклопентилметил, гидроксиметил, 2-гидроксиэтил, 3-гидроксипропил, 2-гидроксипропил, 2-фторэтил, 3-фторпропил, 2-фторпропил, 2-фторциклопропил, 2-хлорэтил, 3-хлорпропил, 2-хлорпропил, трифторметил, карбоксиметил, 2-карбоксиэтил, 3-карбоксипропил, 2-карбоксипропил, сульфометил, 2-сульфоэтил, 1-сульфоэтил, 3-сульфопропил, 2-сульфопропил, метоксиметил, этоксиметил, пропоксиметил, изопропоксиметил, 2-метоксиэтил, 3-метоксипропил, метоксикарбонилметил, этоксикарбонилметил, пропоксикарбонилметил, 2-метоксикарбонилэтил, 2-этоксикарбонилэтил, 2-пропоксикарбонилэтил, аминометил, 2-аминоэтил, 1-аминоэтил, 3-аминопропил, 2-аминопропил, метиламинометил, 2-(метиламино)этил, 1-(метиламино)этил, 3-(метиламино)пропил, 2-(метиламино)пропил, диметиламинометил, 2-(диметиламино)этил, 1-(диметиламино)этил, 3-(диметиламино)пропил, 2-(диметиламино)пропил, 2-(метилэтиламино)этил, 1-(метилэтиламино)этил, карбамоилметил, метилкарбамоилметил, этилкарбамоилметил, диметилкарбамоилметил, метилэтилкарбамоилметил, карбамоилэтил, метилкарбамоилэтил, этилкарбамоилэтил, диметилкарбамоилэтил, метилэтилкарбамоилэтил, карбамоилпропил, 2-карбамоилциклопропил, уреидометил, N3-метилуреидометил, N3-этилуреидометил, N3,N3-диметилуреидометил, N3-метил-N3-этилуреидометил, 2-(уреидо)этил, 2-(N3-метилуреидо)этил, 2-(N3-этилуреидо)этил, 2-(N3,N3-диметилуреидо)этил, 2-(N3-метил-N3-этилуреидо)этил, 3-(уреидо)пропил, 2-(уреидо)циклопропил, N1-метилуреидометил, N1-этилуреидометил, N1,N1-диметилуреидометил, N1-метил-N1-этилуреидометил, 2-(уреидо)этил, 2-(N1-метилуреидо)этил, 2-(N1-этилуреидо)этил, 2-(N1,N3-диметилуреидо)этил, 2-(N1-метил-N1-этилуреидо)этил, N1,N3-диметилуреидометил, N1-метил-N3-этилуреидометил, 2-(N3-метил-N1-этил)уреидоэтил, 2-(N1,N3-диэтилуреидо)этил, 1-карбамоил-2-гидроксиэтил и 1,2-дикарбамоилэтил. Аминогруппа, которая может иметь 1 или 2 заместителя, относится к аминогруппе, которая может быть замещенной одной или двумя неразветвленными, разветвленными или циклическими С1-С6-алкильными группами, и примеры ее включает в себя незамещенную амино, метиламино, этиламино, пропиламино, изопропиламино, от н- до трет-бутиламино, пентиламино, гексиламино, циклопропиламино, циклобутиламино, циклопентиламино, циклогексиламино, циклопропилметиламино, циклопентилметиламино, диметиламино, метилэтиламино, диэтиламино, метилпропиламино, метилизопропиламино, метилциклопропиламино, метилциклопропилметиламино и метил-трет-бутоксикарбониламино. Карбамоильная группа, которая может иметь 1 или 2 заместителя, относится к карбамоильной группе, которая может быть замещена одной или двумя неразветвленными, разветвленными или циклическими С1-С6-алкильными группами, и примеры ее включает в себя незамещенный карбамоил, метилкарбамоил, этилкарбамоил, пропилкарбамоил, изопропилкарбамоил, от н- до трет-бутилкарбамоила, пентилкарбамоил, гексилкарбамоил, циклопропилкарбамоил, циклобутилкарбамоил, циклопентилкарбамоил, циклогексилкарбамоил, циклопропилметилкарбамоил, циклопентилметилкарбамоил, диметилкарбамоил, метилэтилкарбамоил, диэтилкарбамоил, метилпропилкарбамоил, метилизопропилкарбамоил, метилциклопропилкарбамоил и метилциклопропилметилкарбамоил. Низший ацил относится к ацильной группе, имеющей неразветвленную, разветвленную или циклическую С1-С6-алкильную группу, и примеры его включает в себя формил, ацетил, пропионил, н- и изобутирил, пивалоил, циклопропилкарбонил, циклобутирилкарбонил, циклопентилкарбонил, циклогексилкарбонил, циклопропилметилкарбонил, циклобутилметилкарбонил и циклопентилметилкарбонил. Аминосульфонильная группа, которая может иметь 1 или 2 заместителя, относится к аминосульфонильной группе, которая может быть замещена одним или двумя С1-С3-алкильными группами, и примеры ее включают в себя незамещенный аминосульфонил, аминосульфонил, метиламиносульфонил, этиламиносульфонил, пропиламиносульфонил, изопропиламиносульфонил, циклопропиламиносульфонил, диметиламиносульфонил, диэтиламиносульфонил, метилэтиламиносульфонил, метилпропиламиносульфонил, диметиламиносульфонил и диэтиламиносульфонил. Низшая алкоксииминокарбонильная группа относится к иминокарбонильной группе, замещенной алкоксигруппой, имеющей неразветвленную, разветвленную или циклическую С1-С6-алкильную группу, и примеры ее включают в себя метоксииминокарбонил, этоксииминокарбонил, пропоксииминокарбонил, изопропоксииминокарбонил, от н- до трет-бутоксииминокарбонила, циклобутилоксииминокарбонил, циклопентилоксииминокарбонил, циклогексилоксииминокарбонил и циклопентилметилоксииминокарбонил. Аралкильная группа, которая может иметь 1-3 заместителя, относится к аралкильной группе, которая образована неразветвленной, разветвленной или циклической С1-С6-алкильной группой и С6-С20-арильной группой и которая может иметь 1-3 заместителя. Примеры ее включают в себя бензил и фенетил. Примеры заместителей аралкильной группы включают в себя гидроксил, карбоксил, сульфо, циано и нитро. Примеры заместителей, относящихся к «фенильной группе, которая может иметь 1-3 заместителя», также включают в себя эти группы. Примеры 5- или 6-членной ароматической гетероциклической группы, которая может иметь 1-3 заместителя, включают в себя пиридил, пиридазинил, пиримидинил, пиразинил, фурил, тиенил, пирролил, имидазолил, триазолил, оксазолил, изоксазолил, тиазолил и пиразолил. Примеры заместителей включают в себя заместители, перечисленные выше в отношении Ar1 и Ar4. Примеры 4-7-членной алициклической гетероциклической группы, которая может иметь 1 или 2 заместителя, включают в себя азетидинил, пирролидинил, пиперидинил, пиперазинил, гексагидропиридазинил, гексагидропиримидинил, пиразолидинил, имидазолидинил, гомопиперазинил, морфолинил и тиоморфолинил. Алициклическая гетероциклическая группа может быть замещенной, и примеры заместителей включают в себя гидроксильную группу, оксогруппу, карбоксильную группу, сульфогруппу, цианогруппу, нитрогруппу, вышеописанный атом галогена, вышеописанную низшую алкоксигруппу, алкилсульфонильную группу, вышеописанную низшую алкильную группу, которая может иметь 1 или 2 заместителя, вышеописанную аминогруппу, которая может иметь 1 или 2 заместителя, вышеописанную карбамоильную группу, которая может иметь 1 или 2 заместителя, вышеописанную низшую ацильную группу и вышеописанную аминосульфонильную группу, которая может иметь 1 или 2 заместителя. Примеры замещенной или незамещенной 3-6-членной спироалициклической алкильной группы включают в себя циклопропанспиро, циклобутанспиро, циклопентанспиро и циклогексанспиро. Спироалициклическая алкильная группа может быть замещенной, и примеры ее заместителей включают в себя гидроксильную группу, оксогруппу, вышеописанную низшую алкоксигруппу, вышеописанную низшую алкильную группу, которая может иметь 1 или 2 заместителя, вышеописанную аминогруппу, которая может иметь 1 или 2 заместителя, вышеописанную карбамоильную группу, которая может иметь 1 или 2 заместителя, вышеописанную низшую ацильную группу и вышеописанную аминосульфонильную группу, которая может иметь 1 или 2 заместителя. Замещенная или незамещенная 4-6-членная спироалициклическая гетероциклическая группа относится к спирогетероциклической группе, которая может иметь одну двойную связь, и примеры ее включают азетидинспиро, пирролидинспиро, пиперидинспиро, пиперазинспиро, пиразолидинспиро, имидазолидинспиро, морфолинспиро и тиоморфолинспиро. Примеры заместителя спироалициклической гетероциклической группы включают в себя гидроксильную группу, оксогруппу, карбоксильную группу, вышеописанную низшую алкоксигруппу, вышеописанную низшую алкильную группу, которая может иметь 1 или 2 заместителя, вышеописанную аминогруппу, которая может иметь 1 или 2 заместителя, вышеописанную карбамоильную группу, которая может иметь 1 или 2 заместителя, вышеописанную ацильную группу, которая может иметь 1 или 2 заместителя, и вышеописанную аминосульфонильную группу, которая может иметь 1 или 2 заместителя. Соединения (I) и (II) настоящего изобретения будут описаны далее более подробно. Ar1 в формуле (I) предпочтительно представляет собой 6-членную ароматическую гетероциклическую группу, которая имеет 1-3 заместителя, более предпочтительно пиридильную группу, имеющую 1-3 заместителя, пиридазинильную группу, имеющую 1-3 заместителя, или пиразинильную группу, имеющую 1-3 заместителя, еще более предпочтительно пиридильную группу, имеющую 1-3 заместителя, или пиридазинильную группу, имеющую 1-3 заместителя. Ar4 в формуле (I) представляет собой предпочтительно 6-членную ароматическую гетероциклическую группу, которая может иметь 1-3 заместителя, или фенильную группу, которая может иметь 1-3 заместителя, более предпочтительно пиридильную группу, которая может иметь 1-3 заместителя, пиридазинильную группу, которая может иметь 1-3 заместителя, пиразинильную группу, которая может иметь 1-3 заместителя, или фенильную группу, имеющую 1-3 заместителя. Как указано выше, ароматическая гетероциклическая группа, представленная Ar1 или Ar4, имеет от одного до трех заместителей. Примеры предпочтительных заместителей включают в себя С1-6 алкильную группу, атом галогена, С1-6 алкоксигруппу, С1-6 алкиламиногруппу и ди(С1-6 алкил)аминогруппу. Ar2 в формуле (I) представляет собой предпочтительно пиридильную группу, которая может иметь 1-3 заместителя, пиридазинильную группу, которая может иметь 1-3 заместителя, пиразинильную группу, которая может иметь 1-3 заместителя, пирролильную группу, которая может иметь 1-3 заместителя, или фенильную группу, которая может иметь 1-3 заместителя. Ar3 в формуле (II) представляет собой предпочтительно 6-членное ароматическое гетероциклическое кольцо, которое может иметь 1-3 заместителя, или бензольное кольцо, которое может иметь 1-3 заместителя. Кроме того, Ar3 представляет собой предпочтительно пиридиновое кольцо, которое может иметь 1-3 заместителя, или бензольное кольцо, которое может иметь 1-3 заместителя. Каждый Ar1 в формуле (I) и Ar4 в формуле (II) представляет собой предпочтительно 3-пиридил, 6-метокси-3-пиридил, 6-метил-3-пиридил, 6-этил-3-пиридил, 6-хлор-3-пиридил, 6-этокси-3-пиридил, 6-изопропилокси-3-пиридил, 6-метиламино-3-пиридил, 6-циклопропиламино-3-пиридил, 5-метокси-2-пиридил, 6-метокси-3-пиридазинил, 6-метил-3-пиридазинил, 5-метокси-2-пиримидинил, 5-метил-2-пиримидинил, 2-метокси-5-пиримидинил, 2-метил-5-пиримидинил, 5-метокси-2-пиразинил или 5-метокси-2-пиразинил. Среди них 6-метокси-3-пиридил, 6-метил-3-пиридил, 5-метокси-2-пиридил, 6-метокси-3-пиридазинил, 6-метил-3-пиридазинил, 5-метокси-2-пиримидинил, 5-метил-2-пиримидинил, 5-метокси-2-пиразинил, 5-метил-2-пиразинил являются более предпочтительными. Из них еще более предпочтительными являются 6-метокси-3-пиридил, 6-метил-3-пиридил, 5-метокси-2-пиридил, 6-метокси-3-пиридазинил. Ar2 представляет собой предпочтительно фенил, 2-фторфенил, 2-хлорфенил, 2-метилфенил, 2-метоксифенил, 2-гидроксифенил, 3-фторфенил, 3-хлорфенил, 3-метилфенил, 3-метоксифенил, 3-гидроксифенил, 4-фторфенил, 4-хлорфенил, 4-метилфенил, 4-этилфенил, 4-метоксифенил, 4-гидроксифенил, 4-трифторметилфенил, 4-бензилоксифенил, 2-пиридил, 3-пиридил, 4-пиридил, 6-метокси-2-пиридил, 6-метил-2-пиридил, 6-метокси-3-пиридил, 6-метил-2-пиридил, 6-метокси-2-пиридил, 6-метил-2-пиридил, 3-метокси-2-пиридил, 3-метил-2-пиридил, 3-фтор-2-пиридил, 4-фтор-2-пиридил, 5-фтор-2-пиридил, 6-фтор-2-пиридил, 4-метил-2-пиридил, 4-этил-2-пиридил, 4-метокси-2-пиридил, 4-этокси-2-пиридил, 4-циано-2-пиридил, 4-карбамоил-2-пиридил, 4-пирролидинил-2-пиридил, 4-метилтио-2-пиридил, 4-метансульфонил-2-пиридил, 4-карбокси-2-пиридил, 6-метокси-3-пиридазинил, 6-метил-3-пиридазинил, 5-метокси-2-пиримидинил, 5-метил-2-пиримидинил, 5-метокси-2-пиразинил, 5-метил-2-пиразинил, пиррол-1-ил, пиррол-2-ил, пиррол-3-ил, 1-метилпиррол-2-ил, 1-метилпиррол-3-ил, 1-этилпиррол-2-ил или 1-этилпиррол-3-ил. Среди них более предпочтительными являются фенил, 2-фторфенил, 2-хлорфенил, 2-метилфенил, 2-метоксифенил, 2-гидроксифенил, 3-фторфенил, 3-хлорфенил, 3-метилфенил, 3-метоксифенил, 3-гидроксифенил, 4-фторфенил, 4-хлорфенил, 4-метилфенил, 4-метоксифенил, 4-гидроксифенил, 2-пиридил, 3-пиридил, 4-пиридил, 6-метокси-3-пиридил, 6-метил-3-пиридил, 6-метокси-2-пиридил, 6-метил-2-пиридил, 3-фтор-2-пиридил, 4-фтор-2-пиридил, 5-фтор-2-пиридил, 6-фтор-2-пиридил, 4-метил-2-пиридил, 4-этил-2-пиридил, 4-метокси-2-пиридил, 4-циано-2-пиридил, 4-карбамоил-2-пиридил, 4-пирролидинил-2-пиридил, 3-метокси-2-пиридил, 3-метил-2-пиридил, 6-метокси-3-пиридазинил, 6-метил-3-пиридазинил, 5-метокси-2-пиримидинил, 5-метил-2-пиримидинил, 5-метокси-2-пиразинил, 5-метил-2-пиразинил, пиррол-1-ил, пиррол-2-ил, пиррол-3-ил, 1-метилпиррол-2-ил, 1-метилпиррол-3-ил, 1-этилпиррол-2-ил и 1-этилпиррол-3-ил. Ar3 представляет собой предпочтительно бензольное кольцо или пиридиновое кольцо, более предпочтительно бензольное кольцо. Как уже указано выше, R1 представляет собой группу, представленную следующей формулой (1): и Х представляет собой карбонильную группу, тиокарбонильную группу или метиленовую группу, которая может быть замещена 1 или 2 низшими алкильными группами. Группа, представленная Х, предпочтительно представляет собой карбонильную группу или метиленовую группу, которая может быть замещена 1 или 2 низшими алкильными группами, более предпочтительно карбонильную группу. Как уже указано выше, R4 представляет собой группу, представленную следующей формулой (2): и Y представляет собой карбонильную группу, тиокарбонильную группу или метиленовую группу, которая может быть замещена 1 или 2 низшими алкильными группами. Группа, представленная Y, предпочтительно представляет собой карбонильную группу или метиленовую группу, которая может быть замещена 1 или 2 низшими алкильными группами, более предпочтительно карбонильную группу. Примеры циклических структур А и С в указанных выше формулах (1) и (2) включают в себя насыщенные гетероциклические кольца, такие как кольцо азетидина, кольцо пирролидина, кольцо имидазолидина, кольцо пиразолина, кольцо пиперидина, кольцо пиперазина, кольцо морфолина, кольцо тиоморфолина, кольцо гексагидропиридазина, кольцо гексагидропиримидина, кольцо гомопиперазина и кольцо азепана; и ненасыщенные гетероциклические кольца, такие как кольцо пиррола, кольцо дигидропиррола, кольцо имидазола, кольцо дигидроимидазола, кольцо пиразола, кольцо дигидропиридина, кольцо дигидропиримидина и кольцо дигидропиразина. Из них предпочтительными являются насыщенные кольца, такие как кольцо азетидина, кольцо пирролидина, кольцо имидазолидина, кольцо пиразолина, кольцо пиперидина, кольцо пиперазина, кольцо морфолина, кольцо тиоморфолина, кольцо гексагидропиридазина, кольцо гексагидропиримидина, кольцо гомопиперазина и кольцо азепана. Типичные заместители, представленные следующими формулами: в формулах (1) или (2), включают в себя следующие заместители: азетидин-1-ил, 3-оксоазетидин-1-ил, 2-окосазетидин-1-ил, 3-аминоазетидин-1-ил, 3-метиламиноазетидин-1-ил, 3-диметиламиноазетидин-1-ил, 2-метилазетидин-1-ил, 3-метилазетидин-1-ил, 2,2-диметилазетидин-1-ил, 3,3-диметилазетидин-1-ил, 2,2-диметил-3-диметиламиноазетидин-1-ил, 3-диметиламинометилазетидин-1-ил, 3-метоксиазетидин-1-ил, 2-гидроксиметилазетидин-1-ил, 3-гидроксиметилазетидин-1-ил, 3-гидроксиазетидин-1-ил, 2-карбоксиазетидин-1-ил, 3-карбоксиазетидин-1-ил, 2-карбамоилазетидин-1-ил, 2-метилкарбамоилазетидин-1-ил, 2-диметилкарбамоилазетидин-1-ил, 3-карбамоилазетидин-1-ил, 3-метилкарбамоилазетидин-1-ил, 3-диметилкарбамоилазетидин-1-ил, пирролидино, 2-оксопирролидино, 3-окоспирролидино, 2,5-диоксопирролидино, 3-аминопирролидино, 3-метиламинопирролидино, 2-диметиламинометилпирролидино, 3-диметиламинопирролидино, 2-метилпирролидино, 3-метилпирролидино, 2,2-диметилпирролидино, 3,3-диметилпирролидино, 2,2-диметил-3-диметиламинопирролидино, 2-гидроксиметилпирролидино, 3-гидроксиметилпирролидино, 3-метоксипирролидино, 2-метоксиметилпирролидино, 3-метоксиметилпирролидино, 2-карбоксипирролидино, 3-карбоксипирролидино, 2-карбамоилпирролидино, 2-метилкарбамоилпирролидино, 2-диметилкарбамоилпирролидино, 3-карбамоилпирролидино, 3-метилкарбамоилпирролидино, 3-диметилкарбамоилпирролидино, имидазолидин-1-ил, 3-метилимидазолидин-1-ил, 2-оксоимидазолидин-1-ил, 4-оксоимидазолидин-1-ил, 3-метил-2-оксоимидазолидин-1-ил, 3-метил-4-оксоимидазолидин-1-ил, 2,2-диметилимидазолин-1-ил, пиразолидин-1-ил, 2-метилпиразолидин-1-ил, 3-оксопиразолидин-1-ил, 3,5-диоксопиразолидин-1-ил, пиперидино, 2-оксопиперидино, 3-оксопиперидино, 4-оксопиперидино, 3-гидроксипиперидино, 4-гидроксипиперидино, 2-гидроксииминопиперидино, 3-гидроксииминопиперидино, 4-гидроксииминопиперидино, 2-метоксипиперидино, 3-метоксипиперидино, 4-метоксипиперидино, 2-метоксииминопиперидино, 3-метоксииминопиперидино, 4-метоксииминопиперидино, 3-аминопиперидино, 4-аминопиперидино, 3-метиламинопиперидино, 4-метиламинопиперидино, 3-диметиламинопиперидино, 4-диметиламинопиперидино, 2-метилпиперидино, 3-метилпиперидино, 4-метилпиперидино, 2,2-диметилпиперидино, 3,3-диметилпиперидино, 4,4-диметилпиперидино, 4-фторпиперидино, 4-хлорпиперидино, 3,3-дифторпиперидино, 4,4-дифторпиперидино, 3,3-дихлорпиперидино, 4,4-дихлорпиперидино, 2-гидроксиметилпиперидино, 3-гидроксиметилпиперидино, 4-гидроксиметилпиперидино, 2-карбоксипиперидино, 3-карбоксипиперидино, 4-карбоксипиперидино, 2-карбамоилпиперидино, 3-карбамоилпиперидино, 4-карбамоилпиперидино, 2-метилкарбамоилпиперидино, 3-метилкарбамоилпиперидино, 4-метилкарбамоилпиперидино, 2-диметилкарбамоилпиперидино, 3-диметилкарбамоилпиперидино, 4-диметилкарбамоилпиперидино, 2-карбоксиметилпиперидино, 3-карбоксиметилпиперидино, 4-карбоксиметилпиперидино, 2-метоксиметилпиперидино, 3-метоксиметилпиперидино, 4-метоксиметилпиперидино, 2-аминометилпиперидино, 3-аминометилпиперидино, 4-аминометилпиперидино, 2-метиламинометилпиперидино, 3-метиламинометилпиперидино, 4-метиламинометилпиперидино, 2-диметиламинометилпиперидино, 3-диметиламинометилпиперидино, 4-диметиламинометилпиперидино, 2-аминоэтилпиперидино, 3-аминоэтилпиперидино, 4-аминоэтилпиперидино, 2-метиламиноэтилпиперидино, 3-метиламиноэтилпиперидино, 4-метиламиноэтилпиперидино, 2-диметиламиноэтилпиперидино, 3-диметиламиноэтилпиперидино, 4-диметиламиноэтилпиперидино, пиперазино, 2-оксопиперазино, 3-оксопиперазино, 2-оксо-4-метилпиперазино, 3-оксо-4-метилпиперазино, 4-формилпиперазино, 2,3-диоксопиперазино, 3,5-диоксопиперазино, 2,6-диоксопиперазино, 2,3-диоксо-4-метилпиперазино, 3,5-диоксо-4-метилпиперазино, 2,6-диоксо-4-метилпиперазино, 2-метилпиперазино, 3-метилпиперазино, 4-метилпиперазино, 2-этилпиперазино, 3-этилпиперазино, 4-этилпиперазино, 2-изопропилпиперазино, 3-изопропилпиперазино, 4-изопропилпиперазино, 2-циклопропилпиперазино, 3-циклопропилпиперазино, 4-циклопропилпиперазино, 4-циклобутилпиперазино, 2-циклопропанспиропиперазино, 3-циклопропанспиропиперазино, 2,2-диметилпиперазино, 3,3-диметилпиперазино, 2,3-диметилпиперазино, 2,4-диметилпиперазино, 3,4-диметилпиперазино, 3,5-диметилпиперазино, 2,6-диметилпиперазино, 2-этил-4-метилпиперазино, 3-этил-4-метилпиперазино, 2-изопропил-4-метилпиперазино, 3-изопропил-4-метилпиперазино, 2-циклопропил-4-метилпиперазино, 3-циклопропил-4-метилпиперазино, 3-метил-4-бензилпиперазино, 4-фенилпиперазино, 4-(2-пиридил)пиперазино, 1,2,6-триметилпиперазино, 3,4,5-триметилпиперазино, 2,2,4-триметилпиперазино, 3,3,4-триметилпиперазино, 3,3,4-триметил-5-оксопиперазино, 2,2,4-триметил-3-оксопиперазино, 2-циклопропанспиро-4-метилпиперазино, 3-циклопропанспиро-4-метилпиперазино, 2-циклопропанспиро-4-метил-3-оксопиперазино, 3-циклопропанспиро-4-метил-5-оксопиперазино, 4-ацетилпиперазино, 4-ацетил-3-циклопропанспиропиперазино, 2-гидроксиметилпиперазино, 3-гидроксиметилпиперазино, 2-метоксиметилпиперазино, 3-метоксиметилпиперазино, 2-гидроксиэтилпиперазино, 3-гидроксиэтилпиперазино, 4-гидроксиэтилпиперазино, 2-гидроксиметил-4-метилпиперазино, 3-гидроксиметил-4-метилпиперазино, 2-метоксиметил-4-метилпиперазино, 3-метоксиметил-4-метилпиперазино, 2-гидроксиэтил-4-метилпиперазино, 3-гидроксиэтил-4-метилпиперазино, 2-метоксиэтил-4-метилпиперазино, 3-метоксиэтил-4-метилпиперазино, 2-карбамоилпиперазино, 3-карбамоилпиперазино, 4-карбамоилпиперазино, 2-метилкарбамоилпиперазино, 3-метилкарбамоилпиперазино, 4-метилкарбамоилпиперазино, 2-диметилкарбамоилпиперазино, 3-диметилкарбамоилпиперазино, 4-диметилкарбамоилпиперазино, 2-карбамоилметилпиперазино, 3-карбамоилметилпиперазино, 4-карбамоилметилпиперазино, 2-метилкарбамоилметилпиперазино, 3-метилкарбамоилметилпиперазино, 4-метилкарбамоилпиперазино, 2-диметилкарбамоилметилпиперазино, 3-диметилкарбамоилметилпиперазино, 2-карбамоил-4-метилпиперазино, 3-карбамоил-4-метилпиперазино, 4-карбамоилпиперазино, 2-метилкарбамоил-4-метилпиперазино, 3-метилкарбамоил-4-метилпиперазино, 4-метилкарбамоилпиперазино, 2-диметилкарбамоил-4-метилпиперазино, 3-диметилкарбамоил-4-метилпиперазино, 4-диметилкарбамоилпиперазино, 2-карбамоилметил-4-метилпиперазино, 3-карбамоилметил-4-метилпиперазино, 4-карбамоилметилпиперазино, 2-метилкарбамоилметил-4-метилпиперазино, 3-метилкарбамоилметил-4-метилпиперазино, 4-метилкарбамоилпиперазино, 2-диметилкарбамоилметил-4-метилпиперазино, 3-диметилкарбамоилметил-4-метилпиперазино, 2-карбоксипиперазино, 3-карбоксипиперазино, 2-метоксикарбоксипиперазино, 3-метоксикарбоксипиперазино, 2-этоксикарбоксипиперазино, 3-этоксикарбоксипиперазино, 2-карбоксиметилпиперазино, 3-карбоксиметилпиперазино, 4-карбоксиметилпиперазино, 2-карбоксиэтилпиперазино, 3-карбоксиэтилпиперазино, 4-карбоксиэтилпиперазино, 4-карбокси-трет-бутилпиперазино, 2-метоксикарбонилметилпиперазино, 3-метоксикарбонилметилпиперазино, 2-метоксикарбонилметилпиперазино, 3-метоксикарбонилметилпиперазино, 4-метоксикарбонилметилпиперазино, 2-этоксикарбонилметилпиперазино, 3-этоксикарбонилметилпиперазино, 4-этоксикарбонилметилпиперазино, 2-карбокси-4-метилпиперазино, 3-карбокси-4-метилпиперазино, 2-карбоксиметил-4-метилпиперазино, 3-карбоксиметил-4-метилпиперазино, 2-метоксикарбонилметил-4-метилпиперазино, 3-метоксикарбонилметил-4-метилпиперазино, 2-метоксикарбонилметил-4-метилпиперазино, 3-метоксикарбонилметил-4-метилпиперазино, 2-этоксикарбонилметил-4-метилпиперазино, 3-этоксикарбонилметил-4-метилпиперазино, 2-аминометилпиперазино, 3-аминометилпиперазино, 2-метиламинометилпиперазино, 3-метиламинометилпиперазино, 2-диметиламинометилпиперазино, 3-диметиламинометилпиперазино, 2-аминоэтилпиперазино, 3-аминоэтилпиперазино, 4-аминоэтилпиперазино, 2-метиламиноэтилпиперазино, 3-метиламиноэтилпиперазино, 4-метиламиноэтилпиперазино, 2-диметиламиноэтилпиперазино, 3-диметиламиноэтилпиперазино, 4-диметиламиноэтилпиперазино, 2-аминометил-4-метилпиперазино, 3-аминометил-4-метилпиперазино, 2-метиламинометил-4-метилпиперазино, 3-метиламинометил-4-метилпиперазино, 2-диметиламинометил-4-метилпиперазино, 3-диметиламинометил-4-метилпиперазино, 2-аминоэтил-4-метилпиперазино, 3-аминоэтил-4-метилпиперазино, 2-метиламиноэтил-4-метилпиперазино, 3-метиламиноэтил-4-метилпиперазино, 2-диметиламиноэтил-4-метилпиперазино, 3-диметиламиноэтил-4-метилпиперазино, 4-метансульфонилпиперазино, 4-аминосульфонилпиперазино, 4-(азетидин-1-ил)пиперазино, 4-пирролидинопиперазино, 4-пиперидинопиперазино, морфолино, 2-метилморфолино, 3-метилморфолино, 2-этилморфолино, 3-этилморфолино, 2-циклопропанспироморфолино, 3-циклопропанспироморфолино, 2,2-диметилморфолино, 3,3-диметилморфолино, 2-гидроксиметилморфолино, 3-гидроксиметилморфолино, 2-метоксиметилморфолино, 3-метоксиметилморфолино, 2-гидроксиэтилморфолино, 3-гидроксиэтилморфолино, 2-метоксиэтилморфолино, 3-метоксиэтилморфолино, 2-карбамоилморфолино, 3-карбамоилморфолино, 2-метилкарбамоилморфолино, 3-метилкарбамоилморфолино, 2-диметилкарбамоилморфолино, 3-диметилкарбамоилморфолино, 2-карбамоилметилморфолино, 3-карбамоилметилморфолино, 2-метилкарбамоилметилморфолино, 3-метилкарбамоилметилморфолино, 2-диметилкарбамоилметилморфолино, 3-диметилкарбамоилметилморфолино, 2-карбамоилэтилморфолино, 3-карбамоилэтилморфолино, 2-метилкарбамоилэтилморфолино, 3-метилкарбамоилэтилморфолино, 2-диметилкарбамоилэтилморфолино, 3-диметилкарбамоилэтилморфолино, 2-карбоксиморфолино, 3-карбоксиморфолино, 2-метоксикарбонилморфолино, 3-метоксикарбонилморфолино, 2-карбоксиметилморфолино, 3-карбоксиметилморфолино, 2-метоксикарбонилметилморфолино, 3-метоксикарбонилметилморфолино, 2-этоксикарбонилметилморфолино, 3-этоксикарбонилметилморфолино, 2-аминометилморфолино, 3-аминометилморфолино, 2-метиламинометилморфолино, 3-метиламинометилморфолино, 2-диметиламинометилморфолино, 3-диметиламинометилморфолино, 2-аминоэтилморфолино, 3-аминоэтилморфолино, 2-метиламиноэтилморфолино, 3-метиламиноэтилморфолино, 2-диметиламиноэтилморфолино, 3-диметиламиноэтилморфолино, тиоморфолино, 3-оксотиоморфолино, 1,1-диоксотиоморфолино, 2-метилтиоморфолино, 3-метилтиоморфолино, 2-этилтиоморфолино, 3-этилтиоморфолино, 2-циклопропанспиротиоморфолино, 3-циклопропанспиротиоморфолино, 2,2-диметилтиоморфолино, 3,3-диметилтиоморфолино, 2-гидроксиметилтиоморфолино, 3-гидроксиметилтиоморфолино, 2-метоксиметилтиоморфолино, 3-метоксиметилтиоморфолино, 2-гидроксиэтилтиоморфолино, 3-гидроксиэтилтиоморфолино, 2-метоксиэтилтиоморфолино, 3-метоксиэтилтиоморфолино, 2-карбамоилтиоморфолино, 3-карбамоилтиоморфолино, 2-метилкарбамоилтиоморфолино, 3-метилкарбамоилтиоморфолино, 2-диметилкарбамоилтиоморфолино, 3-диметилкарбамоилтиоморфолино, 2-карбамоилметилтиоморфолино, 3-карбамоилметилтиоморфолино, 2-метилкарбамоилметилтиоморфолино, 3-метилкарбамоилметилтиоморфолино, 2-диметилкарбамоилметилтиоморфолино, 3-диметилкарбамоилметилтиоморфолино, 2-карбамоилэтилтиоморфолино, 3-карбамоилэтилтиоморфолино, 2-метилкарбамоилэтилтиоморфолино, 3-метилкарбамоилэтилтиоморфолино, 2-диметилкарбамоилэтилтиоморфолино, 3-диметилкарбамоилэтилтиоморфолино, 2-карбокситиоморфолино, 3-карбокситиоморфолино, 2-метоксикарбонилтиоморфолино, 3-метоксикарбонилтиоморфолино, 2-карбоксиметилтиоморфолино, 3-карбоксиметилтиоморфолино, 2-метоксикарбонилметилтиоморфолино, 3-метоксикарбонилметилтиоморфолино, 2-этоксикарбонилметилтиоморфолино, 3-этоксикарбонилметилтиоморфолино, 2-аминометилтиоморфолино, 3-аминометилтиоморфолино, 2-метиламинометилтиоморфолино, 3-метиламинометилтиоморфолино, 2-диметиламинометилтиоморфолино, 3-диметиламинометилтиоморфолино, 2-аминоэтилтиоморфолино, 3-аминоэтилтиоморфолино, 2-метиламиноэтилтиоморфолино, 3-метиламиноэтилтиоморфолино, 2-диметиламиноэтилтиоморфолино, 3-диметиламиноэтилтиоморфолино, гексагидропиридазин-1-ил, 2-ацетилгексагидропиридазин-1-ил, 2-формилгексагидропиридазин-1-ил, 3-оксогексагидропиридазин-1-ил, 6-оксогексагидропиридазин-1-ил, 4-аминогексагидропиридазин-1-ил, 4-метиламиногексагидропиридазин-1-ил, 4-диметиламиногексагидропиридазин-1-ил, 2-метилгексагидропиридазин-1-ил, 3-метилгексагидропиридазин-1-ил, 4-метилгексагидропиридазин-1-ил, 2,3-диметилгексагидропиридазин-1-ил, 3,3-диметилгексагидропиридазин-1-ил, 4,4-диметилгексагидропиридазин-1-ил, 3-гидроксиметилгексагидропиридазин-1-ил, 4-гидроксиметилгексагидропиридазин-1-ил, 5-гидроксиметилгексагидропиридазин-1-ил, 6-гидроксиметилгексагидропиридазин-1-ил, 2-карбамоилгексагидропиридазин-1-ил, 3-карбамоилгексагидропиридазин-1-ил, 4-карбамоилгексагидропиридазин-1-ил, 5-карбамоилгексагидропиридазин-1-ил, 6-карбамоилгексагидропиридазин-1-ил, 2-метилкарбамоилгексагидропиридазин-1-ил, 3-метилкарбамоилгексагидропиридазин-1-ил, 4-метилкарбамоилгексагидропиридазин-1-ил, 5-метилкарбамоилгексагидропиридазин-1-ил, 6-метилкарбамоилгексагидропиридазин-1-ил, 2-диметилкарбамоилгексагидропиридазин-1-ил, 3-диметилкарбамоилгексагидропиридазин-1-ил, 4-диметилкарбамоилгексагидропиридазин-1-ил, 5-диметилкарбамоилгексагидропиридазин-1-ил, 6-диметилкарбамоилгексагидропиридазин-1-ил, 3-карбоксигексагидропиридазин-1-ил, 4-карбоксигексагидропиридазин-1-ил, 5-карбоксигексагидропиридазин-1-ил, 6-карбоксигексагидропиридазин-1-ил, 2-карбоксиметилгексагидропиридазин-1-ил, 3-карбоксиметилгексагидропиридазин-1-ил, 4-карбоксиметилгексагидропиридазин-1-ил, 5-карбоксиметилгексагидропиридазин-1-ил, 6-карбоксиметилгексагидропиридазин-1-ил, 3-метоксикарбоксигексагидропиридазин-1-ил, 4-метоксикарбоксигексагидропиридазин-1-ил, 5-метоксикарбоксигексагидропиридазин-1-ил, 6-метоксикарбоксигексагидропиридазин-1-ил, 2-метоксикарбонилметилгексагидропиридазин-1-ил, 3-метоксикарбонилметилгексагидропиридазин-1-ил, 4-метоксикарбонилметилгексагидропиридазин-1-ил, 5-метоксикарбонилметилгексагидропиридазин-1-ил, 6-метоксикарбонилметилгексагидропиридазин-1-ил, 3-метоксиметилгексагидропиридазин-1-ил, 4-метоксиметилгексагидропиридазин-1-ил, 5-метоксиметилгексагидропиридазин-1-ил, 6-метоксиметилгексагидропиридазин-1-ил, 2-аминоэтилгексагидропиридазин-1-ил, 3-аминоэтилгексагидропиридазин-1-ил, 4-аминоэтилгексагидропиридазин-1-ил, 5-аминоэтилгексагидропиридазин-1-ил, 6-аминоэтилгексагидропиридазин-1-ил, 2-метиламиноэтилгексагидропиридазин-1-ил, 3-метиламиноэтилгексагидропиридазин-1-ил, 4-метиламиноэтилгексагидропиридазин-1-ил, 5-метиламиноэтилгексагидропиридазин-1-ил, 6-метиламиноэтилгексагидропиридазин-1-ил, 3-аминометилгексагидропиридазин-1-ил, 4-аминометилгексагидропиридазин-1-ил, 5-аминометилгексагидропиридазин-1-ил, 6-аминометилгексагидропиридазин-1-ил, 3-метиламинометилгексагидропиридазин-1-ил, 4-метиламинометилгексагидропиридазин-1-ил, 5-метиламинометилгексагидропиридазин-1-ил, 6-метиламинометилгексагидропиридазин-1-ил, 3-диметиламинометилгексагидропиридазин-1-ил, 4-диметиламинометилгексагидропиридазин-1-ил, 5-диметиламинометилгексагидропиридазин-1-ил, 6-диметиламинометилгексагидропиридазин-1-ил, 2-диметиламиноэтилгексагидропиридазин-1-ил, 3-диметиламиноэтилгексагидропиридазин-1-ил, 4-диметиламиноэтилгексагидропиридазин-1-ил, 5-диметиламиноэтилгексагидропиридазин-1-ил, 6-диметиламиноэтилгексагидропиридазин-1-ил, гексагидропиримидин-1-ил, 2-оксогексагидропиримидин-1-ил, 4-оксогексагидропиримидин-1-ил, 5-оксогексагидропиримидин-1-ил, 6-оксогексагидропиримидин-1-ил, 2-метилгексагидропиримидин-1-ил, 3-метилгексагидропиримидин-1-ил, 4-метилгексагидропиримидин-1-ил, 4-метилгексагидропиримидин-1-ил, 2,2-диметилгексагидропиримидин-1-ил, 4,4-диметилгексагидропиримидин-1-ил, 5,5-диметилгексагидропиримидин-1-ил, 6,6-диметилгексагидропиримидин-1-ил, 2-гидроксиметилгексагидропиримидин-1-ил, 4-гидроксиметилгексагидропиримидин-1-ил, 5-гидроксиметилгексагидропиримидин-1-ил, 6-гидроксиметилгексагидропиримидин-1-ил, 2-карбоксигексагидропиримидин-1-ил, 4-карбоксигексагидропиримидин-1-ил, 5-карбоксигексагидропиримидин-1-ил, 6-карбоксигексагидропиримидин-1-ил, 2-карбамоилгексагидропиримидин-1-ил, 3-карбамоилгексагидропиримидин-1-ил, 4-карбамоилгексагидропиримидин-1-ил, 5-карбамоилгексагидропиримидин-1-ил, 6-карбамоилгексагидропиримидин-1-ил, 2-метилкарбамоилгексагидропиримидин-1-ил, 3-метилкарбамоилгексагидропиримидин-1-ил, 4-метилкарбамоилгексагидропиримидин-1-ил, 5-метилкарбамоилгексагидропиримидин-1-ил, 6-метилкарбамоилгексагидропиримидин-1-ил, 2-диметилкарбамоилгексагидропиримидин-1-ил, 3-диметилкарбамоилгексагидропиримидин-1-ил, 4-диметилкарбамоилгексагидропиримидин-1-ил, 5-диметилкарбамоилгексагидропиримидин-1-ил, 6-метилкарбамоилгексагидропиримидин-1-ил, 2-карбоксиметилгексагидропиримидин-1-ил, 3-карбоксиметилгексагидропиримидин-1-ил, 4-карбоксиметилгексагидропиримидин-1-ил, 5-карбоксиметилгексагидропиримидин-1-ил, 6-карбоксиметилгексагидропиримидин-1-ил, 2-метоксикарбонилметилгексагидропиримидин-1-ил, 3-метоксикарбонилметилгексагидропиримидин-1-ил, 4-метоксикарбонилметилгексагидропиримидин-1-ил, 5-метоксикарбонилметилгексагидропиримидин-1-ил, 6-метоксикарбонилметилгексагидропиримидин-1-ил, 3-метоксиметилгексагидропиримидин-1-ил, 4-метоксиметилгексагидропиримидин-1-ил, 5-метоксиметилгексагидропиримидин-1-ил, 6-метоксиметилгексагидропиримидин-1-ил, 2-аминоэтилгексагидропиримидин-1-ил, 3-аминоэтилгексагидропиримидин-1-ил, 4-аминоэтилгексагидропиримидин-1-ил, 5-аминоэтилгексагидропиримидин-1-ил, 6-аминоэтилгексагидропиримидин-1-ил, 2-метиламиноэтилгексагидропиримидин-1-ил, 3-метиламиноэтилгексагидропиримидин-1-ил, 4-метиламиноэтилгексагидропиримидин-1-ил, 5-метиламиноэтилгексагидропиримидин-1-ил, 6-метиламиноэтилгексагидропиримидин-1-ил, 2-диметиламиноэтилгексагидропиримидин-1-ил, 3-диметиламиноэтилгексагидропиримидин-1-ил, 4-диметиламиноэтилгексагидропиримидин-1-ил, 5-диметиламиноэтилгексагидропиримидин-1-ил, 6-диметиламиноэтилгексагидропиримидин-1-ил, гомопиперазино, 2-оксогомопиперазино, 3-оксогомопиперазино, 5-оксогомопиперазино, 6-оксогомопиперазино, 7-оксогомопиперазино, 2-оксо-4-метилгомопиперазино, 3-оксо-4-метилгомопиперазино, 5-оксо-4-метилгомопиперазино, 6-оксо-4-метилгомопиперазино, 7-оксо-4-метилгомопиперазино, 2,3-диоксогомопиперазино, 2,7-диоксогомопиперазино, 3,5-диоксогомопиперазино, 3,7-диоксогомопиперазино, 2,3-диоксо-4-метилгомопиперазино, 2,7-диоксо-4-метилгомопиперазино, 3,5-диоксо-4-метилгомопиперазино, 3,7-диоксо-4-метилгомопиперазино, 2-метилгомопиперазино, 3-метилгомопиперазино, 4-метилгомопиперазино, 5-метилгомопиперазино, 6-метилгомопиперазино, 7-метилгомопиперазино, 2-этилгомопиперазино, 3-этилгомопиперазино, 4-этилгомопиперазино, 5-этилгомопиперазино, 6-этилгомопиперазино, 7-этилгомопиперазино, 4-циклопропилгомопиперазино, 2-циклопропанспирогомопиперазино, 3-циклопропанспирогомопиперазино, 5-циклопропанспирогомопиперазино, 6-циклопропанспирогомопиперазино, 7-циклопропанспирогомопиперазино, 2-циклопропанспиро-4-метилгомопиперазино, 3-циклопропанспиро-4-метилгомопиперазино, 5-циклопропанспиро-4-метилгомопиперазино, 6-циклопропанспиро-4-метилгомопиперазино, 7-циклопропанспиро-4-метилгомопиперазино, 2-циклопропанспиро-4-метил-3-оксогомопиперазино, 2-циклопропанспиро-4-метил-5-оксогомопиперазино, 2-циклопропанспиро-4-метил-7-оксогомопиперазино, 3-циклопропанспиро-4-метил-2-оксогомопиперазино, 3-циклопропанспиро-4-метил-5-оксогомопиперазино, 3-циклопропанспиро-4-метил-7-оксогомопиперазино, 5-циклопропанспиро-4-метил-2-оксогомопиперазино, 5-циклопропанспиро-4-метил-3-оксогомопиперазино, 5-циклопропанспиро-4-метил-7-оксогомопиперазино, 6-циклопропанспиро-4-метил-2-оксогомопиперазино, 6-циклопропанспиро-4-метил-3-оксогомопиперазино, 6-циклопропанспиро-4-метил-5-оксогомопиперазино, 6-циклопропанспиро-4-метил-7-оксогомопиперазино, 7-циклопропанспиро-4-метил-2-оксогомопиперазино, 7-циклопропанспиро-4-метил-3-оксогомопиперазино, 7-циклопропанспиро-4-метил-5-оксогомопиперазино, 2,2-диметилгомопиперазино, 3,3-диметилгомопиперазино, 5,5-диметилгомопиперазино, 6,6-диметилгомопиперазино, 7,7-диметилгомопиперазино, 2,3-диметилгомопиперазино, 2,4-диметилгомопиперазино, 3,4-диметилгомопиперазино, 3,5-диметилгомопиперазино, 3,4,5-триметилгомопиперазино, 2-гидроксиметилгомопиперазино, 3-гидроксиметилгомопиперазино, 5-гидроксиметилгомопиперазино, 6-гидроксиметилгомопиперазино, 7-гидроксиметилгомопиперазино, 2-гидроксиметил-4-метилгомопиперазино, 3-гидроксиметил-4-метилгомопиперазино, 5-гидроксиметил-4-метилгомопиперазино, 6-гидроксиметил-4-метилгомопиперазино, 7-гидроксиметил-4-метилгомопиперазино, 2-метоксиметилгомопиперазино, 3-метоксиметилгомопиперазино, 5-метоксиметилгомопиперазино, 6-метоксиметилгомопиперазино, 7-метоксиметилгомопиперазино, 2-метоксиметил-4-метилгомопиперазино, 3-метоксиметил-4-метилгомопиперазино, 5-метоксиметил-4-метилгомопиперазино, 6-метоксиметил-4-метилгомопиперазино, 7-метоксиметил-4-метилгомопиперазино, 2-гидроксиэтилгомопиперазино, 3-гидроксиэтилгомопиперазино, 4-гидроксиэтилгомопиперазино, 5-гидроксиэтилгомопиперазино, 6-гидроксиэтилгомопиперазино, 7-гидроксиэтилгомопиперазино, 2-гидроксиэтил-4-метилгомопиперазино, 3-гидроксиэтил-4-метилгомопиперазино, 5-гидроксиэтил-4-метилгомопиперазино, 6-гидроксиэтил-4-метилгомопиперазино, 7-гидроксиэтил-4-метилгомопиперазино, 2-метоксиэтилгомопиперазино, 3-метоксиэтилгомопиперазино, 4-метоксиэтилгомопиперазино, 5-метоксиэтилгомопиперазино, 6-метоксиэтилгомопиперазино, 7-метоксиэтилгомопиперазино, 2-метоксиэтил-4-метилгомопиперазино, 3-метоксиэтил-4-метилгомопиперазино, 5-метоксиэтил-4-метилгомопиперазино, 6-метоксиэтил-4-метилгомопиперазино, 7-метоксиэтил-4-метилгомопиперазино, 2-карбамоилгомопиперазино, 3-карбамоилгомопиперазино, 4-карбамоилгомопиперазино, 5-карбамоилгомопиперазино, 6-карбамоилгомопиперазино, 7-карбамоилгомопиперазино, 2-карбамоил-4-метилгомопиперазино, 3-карбамоил-4-метилгомопиперазино, 4-карбамоил-4-метилгомопиперазино, 5-карбамоил-4-метилгомопиперазино, 6-карбамоил-4-метилгомопиперазино, 7-карбамоил-4-метилгомопиперазино, 2-метилкарбамоилгомопиперазино, 3-метилкарбамоилгомопиперазино, 4-метилкарбамоилгомопиперазино, 5-метилкарбамоилгомопиперазино, 6-метилкарбамоилгомопиперазино, 7-метилкарбамоилгомопиперазино, 2-метилкарбамоил-4-метилгомопиперазино, 3-метилкарбамоил-4-метилгомопиперазино, 5-метилкарбамоил-4-метилгомопиперазино, 6-метилкарбамоил-4-метилгомопиперазино, 7-метилкарбамоил-4-метилгомопиперазино, 2-диметилкарбамоилгомопиперазино, 3-диметилкарбамоилгомопиперазино, 4-диметилкарбамоилгомопиперазино, 5-диметилкарбамоилгомопиперазино, 6-диметилкарбамоилгомопиперазино, 7-диметилкарбамоилгомопиперазино, 2-диметилкарбамоил-4-метилгомопиперазино, 3-диметилкарбамоил-4-метилгомопиперазино, 5-диметилкарбамоил-4-метилгомопиперазино, 6-диметилкарбамоил-4-метилгомопиперазино, 7-диметилкарбамоил-4-метилгомопиперазино, 2-карбоксигомопиперазино, 3-карбоксигомопиперазино, 5-карбоксигомопиперазино, 6-карбоксигомопиперазино, 7-карбоксигомопиперазино, 2-карбокси-4-метилгомопиперазино, 3-карбокси-4-метилгомопиперазино, 5-карбокси-4-метилгомопиперазино, 6-карбокси-4-метилгомопиперазино, 7-карбокси-4-метилгомопиперазино, 2-карбоксиметилгомопиперазино, 3-карбоксиметилгомопиперазино, 4-карбоксиметилгомопиперазино, 5-карбоксиметилгомопиперазино, 6-карбоксиметилгомопиперазино, 7-карбоксиметилгомопиперазино, 2-карбоксиметил-4-метилгомопиперазино, 3-карбоксиметил-4-метилгомопиперазино, 5-карбоксиметил-4-метилгомопиперазино, 6-карбоксиметил-4-метилгомопиперазино, 7-карбоксиметил-4-метилгомопиперазино, 2-метоксикарбонилметилгомопиперазино, 3-метоксикарбонилметилгомопиперазино, 4-метоксикарбонилметилгомопиперазино, 5-метоксикарбонилметилгомопиперазино, 6-метоксикарбонилметилгомопиперазино, 7-метоксикарбонилметилгомопиперазино, 2-метоксикарбонилметил-4-метилгомопиперазино, 3-метоксикарбонилметил-4-метилгомопиперазино, 5-метоксикарбонилметил-4-метилгомопиперазино, 6-метоксикарбонилметил-4-метилгомопиперазино, 7-метоксикарбонилметил-4-метилгомопиперазино, 2-этоксикарбонилметилгомопиперазино, 3-этоксикарбонилметилгомопиперазино, 4-этоксикарбонилметилгомопиперазино, 5-этоксикарбонилметилгомопиперазино, 6-этоксикарбонилметилгомопиперазино, 7-этоксикарбонилметилгомопиперазино, 2-этоксикарбонилметил-4-метилгомопиперазино, 3-этоксикарбонилметил-4-метилгомопиперазино, 5-этоксикарбонилметил-4-метилгомопиперазино, 6-этоксикарбонилметил-4-метилгомопиперазино, 7-этоксикарбонилметил-4-метилгомопиперазино, 2-карбамоилметилгомопиперазино, 3-карбамоилметилгомопиперазино, 4-карбамоилметилгомопиперазино, 5-карбамоилметилгомопиперазино, 6-карбамоилметилгомопиперазино, 7-карбамоилметилгомопиперазино, 2-карбамоилметил-4-метилгомопиперазино, 3-карбамоилметил-4-метилгомопиперазино, 5-карбамоилметил-4-метилгомопиперазино, 6-карбамоилметил-4-метилгомопиперазино, 7-карбамоилметил-4-метилгомопиперазино, 2-метилкарбамоилметилгомопиперазино, 3-метилкарбамоилметилгомопиперазино, 4-метилкарбамоилгомопиперазино, 5-метилкарбамоилгомопиперазино, 6-метилкарбамоилгомопиперазино, 7-метилкарбамоилгомопиперазино, 2-метилкарбамоилметил-4-метилгомопиперазино, 3-метилкарбамоилметил-4-метилгомопиперазино, 5-метилкарбамоил-4-метилгомопиперазино, 6-метилкарбамоил-4-метилгомопиперазино, 7-метилкарбамоил-4-метилгомопиперазино, 2-диметилкарбамоилметилгомопиперазино, 3-диметилкарбамоилметилгомопиперазино, 4-диметилкарбамоилметилгомопиперазино, 5-диметилкарбамоилметилгомопиперазино, 6-диметилкарбамоилметилгомопиперазино, 7-диметилкарбамоилметилгомопиперазино, 2-диметилкарбамоилметил-4-метилгомопиперазино, 3-диметилкарбамоилметил-4-метилгомопиперазино, 5-диметилкарбамоилметил-4-метилгомопиперазино, 6-диметилкарбамоилметил-4-метилгомопиперазино, 7-диметилкарбамоилметил-4-метилгомопиперазино, 2-аминометилгомопиперазино, 3-аминометилгомопиперазино, 5-аминометилгомопиперазино, 6-аминометилгомопиперазино, 7-аминометилгомопиперазино, 2-аминометил-4-метилгомопиперазино, 3-аминометил-4-метилгомопиперазино, 5-аминометил-4-метилгомопиперазино, 6-аминометил-4-метилгомопиперазино, 7-аминометил-4-метилгомопиперазино, 2-метиламинометилгомопиперазино, 3-метиламинометилгомопиперазино, 4-метиламинометилгомопиперазино, 5-метиламинометилгомопиперазино, 6-метиламинометилгомопиперазино, 7-метиламинометилгомопиперазино, 2-метиламинометил-4-метилгомопиперазино, 3-метиламинометил-4-метилгомопиперазино, 5-метиламинометил-4-метилгомопиперазино, 6-метиламинометил-4-метилгомопиперазино, 7-метиламинометил-4-метилгомопиперазино, 2-диметиламинометилгомопиперазино, 3-диметиламинометилгомопиперазино, 4-диметиламинометилгомопиперазино, 5-диметиламинометилгомопиперазино, 6-диметиламинометилгомопиперазино, 7-диметиламинометилгомопиперазино, 2-диметиламинометил-4-метилгомопиперазино, 3-диметиламинометил-4-метилгомопиперазино, 5-диметиламинометил-4-метилгомопиперазино, 6-диметиламинометил-4-метилгомопиперазино, 7-диметиламинометил-4-метилгомопиперазино, 2-аминоэтилгомопиперазино, 3-аминоэтилгомопиперазино, 4-аминоэтилгомопиперазино, 5-аминоэтилгомопиперазино, 6-аминоэтилгомопиперазино, 7-аминоэтилгомопиперазино, 2-аминоэтил-4-метилгомопиперазино, 3-аминоэтил-4-метилгомопиперазино, 5-аминоэтил-4-метилгомопиперазино, 6-аминоэтил-4-метилгомопиперазино, 7-аминоэтил-4-метилгомопиперазино, 2-метиламиноэтилгомопиперазино, 3-метиламиноэтилгомопиперазино, 4-метиламиноэтилгомопиперазино, 5-метиламиноэтилгомопиперазино, 6-метиламиноэтилгомопиперазино, 7-метиламиноэтилгомопиперазино, 2-метиламиноэтил-4-метилгомопиперазино, 3-метиламиноэтил-4-метилгомопиперазино, 5-метиламиноэтил-4-метилгомопиперазино, 6-метиламиноэтил-4-метилгомопиперазино, 7-метиламиноэтил-4-метилгомопиперазино, 2-диметиламиноэтилгомопиперазино, 3-диметиламиноэтилгомопиперазино, 4-диметиламиноэтилгомопиперазино, 5-диметиламиноэтилгомопиперазино, 6-диметиламиноэтилгомопиперазино, 7-диметиламиноэтилгомопиперазино, 2-диметиламиноэтил-4-метилгомопиперазино, 3-диметиламиноэтил-4-метилгомопиперазино, 5-диметиламиноэтил-4-метилгомопиперазино, 6-диметиламиноэтил-4-метилгомопиперазино, 7-диметиламиноэтил-4-метилгомопиперазино, 4-метансульфонилгомопиперазино, 4-метансульфониламиногомопиперазино, 4-(азетидин-1-ил)гомопиперазино, 4-пирролидиногомопиперазино, 4-пиперидиногомопиперазино, 1,4-оксазепан-4-ил, спиро[азетидин-3,2′-1′-метилазетидин]-1-ил, спиро[пиперидин-4,2′-1′-метилазетидин]-1-ил, спиро[пиперидин-2,3′-1′-метилазетидин]-1-ил, спиро[пиперидин-2,3′-1′-метилпирролидин]-1-ил, спиро[морфолин-3,3′-1′-метилазетидин]-4-ил, спиро[морфолин-3,3′-1′-метилпирролидин]-4-ил, спиро[пиперазин-3-циклопропан]-1-ил и спиро[4-метилпиперазин-3-циклопропан]-1-ил. Из них предпочтительными являются следующие группы: азетидин-1-ил, 3-диметиламиноазетидин-1-ил, 2-метилазетидин-1-ил, 3-метилазетидин-1-ил, 2,2-диметилазетидин-1-ил, 3,3-диметилазетидин-1-ил, 2,2-диметил-3-диметиламиноазетидин-1-ил, 2-гидроксиметилазетидин-1-ил, 3-гидроксиметилазетидин-1-ил, 2-карбамоилазетидин-1-ил, 2-метилкарбамоилазетидин-1-ил, 2-диметилкарбамоилазетидин-1-ил, пирролидино, 2-оксопирролидино, 2-диметиламинометилпирролидино, 3-диметиламинометилпирролидино, 2,5-диоксопирролидино, 2-метилпирролидино, 3-метилпирролидино, 2,2-диметилпирролидино, 3,3-диметилпирролидино, 2-гидроксиметилпирролидино, 3-гидроксиметилпирролидино, 3-метоксипирролидино, 2-метоксиметилпирролидино, 3-метоксиметилпирролидино, 2-карбамоилпирролидино, 2-метилкарбамоилпирролидино, 2-диметилкарбамоилпирролидино, 2-оксоимидазолидин-1-ил, 4-оксоимидазолидин-1-ил, 3-метил-2-оксоимидазолидин-1-ил, 3-метил-4-оксоимидазолидин-1-ил, 2-метилпиразолидин-1-ил, 3-оксопиразолидин-1-ил, 3,5-диоксопиразолидин-1-ил, пиперидино, 2-оксопиперидино, 3-оксопиперидино, 4-оксопиперидино, 2-гидроксииминопиперидино, 3-гидроксииминопиперидино, 4-гидроксииминопиперидино, 2-метоксипиперидино, 3-метоксипиперидино, 4-метоксипиперидино, 2-метоксииминопиперидино, 3-метоксииминопиперидино, 4-метоксииминопиперидино, 2-метилпиперидино, 3-метилпиперидино, 4-метилпиперидино, 2,2-диметилпиперидино, 3,3-диметилпиперидино, 4,4-диметилпиперидино, 4-фторпиперидино, 4-хлорпиперидино, 3,3-дифторпиперидино, 4,4-дифторпиперидино, 3,3-дихлорпиперидино, 4,4-дихлорпиперидино, 2-гидроксиметилпиперидино, 2-карбамоилпиперидино, 2-метилкарбамоилпиперидино, 2-диметилкарбамоилпиперидино, 2-карбоксиметилпиперидино, 2-метоксиметилпиперидино, 2-аминометилпиперидино, 2-метиламинометилпиперидино, 2-диметиламинометилпиперидино, 2-аминоэтилпиперидино, 2-метиламиноэтилпиперидино, 2-диметиламиноэтилпиперидино, 2-оксо-4-метилпиперазино, 3-оксо-4-метилпиперазино, 4-формилпиперазино, 2,3-диоксо-4-метилпиперазино, 3,5-диоксо-4-метилпиперазино, 2,6-диоксо-4-метилпиперазино, 4-метилпиперазино, 4-этилпиперазино, 4-изопропилпиперазино, 2,4-диметилпиперазино, 3,4-диметилпиперазино, 2-этил-4-метилпиперазино, 3-этил-4-метилпиперазино, 2-изопропил-4-метилпиперазино, 3-изопропил-4-метилпиперазино, 2-циклопропил-4-метилпиперазино, 3-циклопропил-4-метилпиперазино, 3,4,5-триметилпиперазино, 2,2,4-триметилпиперазино, 3,3,4-триметилпиперазино, 3,3,4-триметил-5-оксопиперазино, 2,2,4-триметил-3-оксопиперазино, 2-циклопропанспиро-4-метилпиперазино, 3-циклопропанспиро-4-метилпиперазино, 2-циклопропанспиро-4-метил-3-оксопиперазино, 3-циклопропанспиро-4-метил-5-оксопиперазино, 4-ацетил-3-циклопропанспиропиперазино, 2-гидроксиметил-4-метилпиперазино, 3-гидоксиметил-4-метилпиперазино, 2-метоксиметил-4-метилпиперазино, 3-метоксиметил-4-метилпиперазино, 2-гидоксиэтил-4-метилпиперазино, 3-гидроксиэтил-4-метилпиперазино, 2-метоксиэтил-4-метилпиперазино, 3-метоксиэтил-4-метилпиперазино, 2-карбамоил-4-метилпиперазино, 3-карбамоил-4-метилпиперазино, 4-карбамоилпиперазино, 2-метилкарбамоил-4-метилпиперазино, 3-метилкарбамоил-4-метилпиперазино, 4-метилкарбамоилпиперазино, 2-диметилкарбамоил-4-метилпиперазино, 3-диметилкарбамоил-4-метилпиперазино, 4-диметилкарбамоилпиперазино, 2-карбамоилметил-4-метилпиперазино, 3-карбамоилметил-4-метилпиперазино, 4-карбамоилметилпиперазино, 2-метилкарбамоилметил-4-метилпиперазино, 3-метилкарбамоилметил-4-метилпиперазино, 4-метилкарбамоилпиперазино, 2-диметилкарбамоилметил-4-метилпиперазино, 3-диметилкарбамоилметил-4-метилпиперазино, 2-карбокси-4-метилпиперазино, 2-карбоксиметил-4-метилпиперазино, 2-метоксикарбонилметил-4-метилпиперазино, 3-метоксикарбонилметил-4-метилпиперазино, 2-этоксикарбонилметил-4-метилпиперазино, 3-этоксикарбонилметил-4-метилпиперазино, 2-аминометил-4-метилпиперазино, 2-метиламинометил-4-метилпиперазино, 2-диметиламинометил-4-метилпиперазино, 2-аминоэтил-4-метилпиперазино, 2-метиламиноэтил-4-метилпиперазино, 2-диметиламиноэтил-4-метилпиперазино, морфолино, 2-метилморфолино, 3-метилморфолино, 2-этилморфолино, 3-этилморфолино, 2-циклопропанспироморфолино, 3-циклопропанспироморфолино, 2,2-диметилморфолино, 3,3-диметилморфолино, 3-гидроксиметилморфолино, 3-метоксиметилморфолино, 3-гидроксиэтилморфолино, 3-метоксиэтилморфолино, 3-карбамоилморфолино, 3-метилкарбамоилморфолино, 3-диметилкарбамоилморфолино, 3-карбамоилметилморфолино, 3-метилкарбамоилметилморфолино, 3-диметилкарбамоилметилморфолино, 3-карбамоилэтилморфолино, 3-метилкарбамоилэтилморфолино, 3-диметилкарбамоилэтилморфолино, 3-метоксикарбонилморфолино, 3-метоксикарбонилметилморфолино, 3-этоксикарбонилметилморфолино, 3-аминометилморфолино, 3-метиламинометилморфолино, 3-диметиламинометилморфолино, 3-аминоэтилморфолино, 3-метиламиноэтилморфолино, 3-диметиламиноэтилморфолино, тиоморфолино, 3-оксотиоморфолино, 1,1-диоксотиоморфолино, 2-метилтиоморфолино, 3-метилтиоморфолино, 2-этилтиоморфолино, 3-этилтиоморфолино, 2-циклопропанспиротиоморфолино, 3-циклопропанспиротиоморфолино, 2,2-диметилтиоморфолино, 3,3-диметилтиоморфолино, 3-гидроксиметилтиоморфолино, 3-метоксиметилтиоморфолино, 3-гидроксиэтилтиоморфолино, 3-метоксиэтилтиоморфолино, 3-карбамоилтиоморфолино, 3-метилкарбамоилтиоморфолино, 3-диметилкарбамоилтиоморфолино, 3-карбамоилметилтиоморфолино, 3-метилкарбамоилметилтиоморфолино, 3-диметилкарбамоилметилтиоморфолино, 3-карбамоилэтилтиоморфолино, 3-метилкарбамоилэтилтиоморфолино, 3-диметилкарбамоилэтилтиоморфолино, 3-метоксикарбонилтиоморфолино 3-метоксикарбонилметилтиоморфолино, 3-этоксикарбонилметилтиоморфолино, 2-ацетилгексагидропиридазин-1-ил, 2-формилгексагидропиридазин-1-ил, 3-оксогексагидропиридазин-1-ил, 6-оксогексагидропиридазин-1-ил, 2,3-диметилгексагидропиридазин-1-ил, 3-гидроксиметилгексагидропиридазин-1-ил, 5-гидроксиметилгексагидропиридазин-1-ил, 6-гидроксиметилгексагидропиридазин-1-ил, 2-карбамоилгексагидропиридазин-1-ил, 2-метилкарбамоилгексагидропиридазин-1-ил, 2-диметилкарбамоилгексагидропиридазин-1-ил, 2-оксогексагидропиримидин-1-ил, 4-оксогексагидропиримидин-1-ил, 6-оксогексагидропиримидин-1-ил, 2-метилгексагидропиримидин-1-ил, 3-метилгексагидропиримидин-1-ил, 3-карбамоилгексагидропиримидин-1-ил, 3-метилкарбамоилгексагидропиримидин-1-ил, 3-диметилкарбамоилгексагидропиримидин-1-ил, 2-оксо-4-метилгомопиперазино, 3-оксо-4-метилгомопиперазино, 5-оксо-4-метилгомопиперазино, 6-оксо-4-метилгомопиперазино, 7-оксо-4-метилгомопиперазино, 2,3-диоксогомопиперазино, 2,7-диоксогомопиперазино, 3,5-диоксогомопиперазино, 3,7-диоксогомопиперазино, 2,3-диоксо-4-метилгомопиперазино, 2,7-диоксо-4-метилгомопиперазино, 3,5-диоксо-4-метилгомопиперазино, 3,7-диоксо-4-метилгомопиперазино, 4-метилгомопиперазино, 4-этилгомопиперазино, 4-циклопропилгомопиперазино, 2-циклопропанспирогомопиперазино, 3-циклопропанспирогомопиперазино, 5-циклопропанспирогомопиперазино, 6-циклопропанспирогомопиперазино, 7-циклопропанспирогомопиперазино, 2,4-диметилгомопиперазино, 3,4-диметилгомопиперазино, 3,4,5-триметилгомопиперазино, 2-гидроксиметил-4-метилгомопиперазино, 7-гидроксиметил-4-метилгомопиперазино, 2-метоксиметил-4-метилгомопиперазино, 3-метоксиметил-4-метилгомопиперазино, 5-метоксиметил-4-метилгомопиперазино, 6-метоксиметил-4-метилгомопиперазино, 7-метоксиметил-4-метилгомопиперазино, 2-гидроксиэтил-4-метилгомопиперазино, 7-гидроксиэтил-4-метилгомопиперазино, 2-метоксиэтил-4-метилгомопиперазино, 3-метоксиэтил-4-метилгомопиперазино, 5-метоксиэтил-4-метилгомопиперазино, 6-метоксиэтил-4-метилгомопиперазино, 7-метоксиэтил-4-метилгомопиперазино, 2-карбамоил-4-метилгомопиперазино, 7-карбамоил-4-метилгомопиперазино, 2-метилкарбамоил-4-метилгомопиперазино, 7-метилкарбамоил-4-метилгомопиперазино, 2-диметилкарбамоилгомопиперазино, 7-диметилкарбамоилгомопиперазино, 2-карбоксигомопиперазино, 7-карбоксигомопиперазино, 2-карбокси-4-метилгомопиперазино, 7-карбокси-4-метилгомопиперазино, 2-карбоксиметил-4-метилгомопиперазино, 7-карбоксиметил-4-метилгомопиперазино и 1,4-оксазепан-4-ил. Среди них особенно предпочтительными группами являются следующие группы: Азетидин-1-ил, 3-диметиламиноазетидин-1-ил, 2,2-диметил-3-диметиламиноазетидин-1-ил, 2-гидроксиметилазетидин-1-ил, 2-карбамоилазетидин-1-ил, 2-метилкарбамоилазетидин-1-ил, 2-диметилкарбамоилазетидин-1-ил, пирролидино, 2-оксопирролидино, 2,5-диоксопирролидино, 2-метилпирролидино, 3-метилпирролидино, 2,2-диметилпирролидино, 3,3-диметилпирролидино, 2-диметиламинометилпирролидино, 3-диметиламинометилпирролидино, 2-гидроксиметилпирролидино, 3-метоксиметилпирролидино, 2-карбамоилпирролидино, 2-метилкарбамоилпирролидино, 2-диметилкарбамоилпирролидино, 3-метил-2-оксоимидазолидин-1-ил, 3-метил-4-оксоимидазолидин-1-ил, пиперидино, 2-оксопиперидино, 2-метоксипиперидино, 3-метоксипиперидино, 4-метоксипиперидино, 2-гидроксиметилпиперидино, 2-карбамоилпиперидино, 2-метилкарбамоилпиперидино, 2-диметилкарбамоилпиперидино, 2-метоксиметилпиперидино, 2-аминометилпиперидино, 2-метиламинометилпиперидино, 2-диметиламинометилпиперидино, 2-аминоэтилпиперидино, 2-метиламиноэтилпиперидино, 2-диметиламиноэтилпиперидино, 4-фторпиперидино, 3,3-дифторпиперидино, 4,4-дифторпиперидино, 2-оксо-4-метилпиперазино, 3-оксо-4-метилпиперазино, 4-формилпиперазино, 2,3-диоксопиперазино, 3,5-диоксопиперазино, 2,6-диоксопиперазино, 4-метилпиперазино, 4-этилпиперазино, 4-изопропилпиперазино, 4-циклопропилпиперазино, 2,4-диметилпиперазино, 3,4-диметилпиперазино, 2-метил-4-метилпиперазино, 3-метил-4-метилпиперазино, 3,4,5-триметилпиперазино, 2,2,4-триметилпиперазино, 3,3,4-триметилпиперазино, 3,3,4-триметил-5-оксопиперазино, 2,2,4-триметил-3-оксопиперазино, 2-циклопропанспиро-4-метилпиперазино, 3-циклопропанспиро-4-метилпиперазино, 2-циклопропанспиро-4-метил-3-оксопиперазино, 3-циклопропанспиро-4-метил-5-оксопиперазино, 4-ацетил-3-циклопропанспиропиперазино, 2-гидроксиметил-4-метилпиперазино, 3-гидроксиметил-4-метилпиперазино, 2-метоксиметил-4-метилпиперазино, 3-метоксиметил-4-метилпиперазино, 2-гидроксиэтил-4-метилпиперазино, 3-гидроксиэтил-4-метилпиперазино, 2-метоксиэтил-4-метилпиперазино, 3-метоксиэтил-4-метилпиперазино, 2-карбамоил-4-метилпиперазино, 2-метилкарбамоил-4-метилпиперазино, 2-диметилкарбамоил-4-метилпиперазино, 2-карбамоилметил-4-метилпиперазино, 2-метилкарбамоилметил-4-метилпиперазино, 2-диметилкарбамоилметил-4-метилпиперазино, 2-метоксикарбонилметил-4-метилпиперазино, 2-этоксикарбонилметил-4-метилпиперазино, 2-аминометил-4-метилпиперазино, 2-метиламинометил-4-метилпиперазино, 2-диметиламинометил-4-метилпиперазино, 2-аминоэтил-4-метилпиперазино, 2-метиламиноэтил-4-метилпиперазино, 2-диметиламиноэтил-4-метилпиперазино, морфолино, 2-циклопропанспироморфолино, 3-циклопропанспироморфолино, 2,2-диметилморфолино, 3,3-диметилморфолино, 3-гидроксиметилморфолино, 3-метоксиметилморфолино, 3-гидроксиэтилморфолино, 3-метоксиэтилморфолино, 3-карбамоилморфолино, 3-метилкарбамоилморфолино, 3-диметилкарбамоилморфолино, 3-аминометилморфолино, 3-метиламинометилморфолино, 3-диметиламинометилморфолино, 3-аминоэтилформолино, 3-метиламиноэтилформолино, 3-диметиламиноэтилформолино, тиоморфолино, 3-оксотиоморфолино, 1,1-диоксотиоморфолино, 3-гидроксиметилтиоморфолино, 3-гидроксиэтилтиоморфолино, 2-ацетилгексагидропиридазин-1-ил, 2-формилгексагидропиридазин-1-ил, 3-оксогексагидропиридазин-1-ил, 2-метилгексагидропиридазин-1-ил, 2-карбамоилгексагидропиридазин-1-ил, 2-оксогексагидропиримидин-1-ил, 4-оксогексагидропиримидин-1-ил, 3-метилгексагидропиримидин-1-ил, 6-гидроксиметилгексагидропиримидин-1-ил, 2-оксо-4-метилгомопиперазино, 3-оксо-4-метилгомопиперазино, 5-оксо-4-метилгомопиперазино, 7-оксо-4-метилгомопиперазино, 2,3-диоксогомопиперазино, 2,7-диоксогомопиперазино, 3,5-диоксогомопиперазино, 3,7-диоксогомопиперазино, 4-метилгомопиперазино, 4-этилгомопиперазино, 4-циклопропилгомопиперазино, 2-циклопропанспиро-4-метилгомопиперазино, 3-циклопропанспиро-4-метилгомопиперазино, 5-циклопропанспиро-4-метилгомопиперазино, 7-циклопропанспиро-4-метилгомопипаразино и 1,4-оксазепан-4-ил. Еще более предпочтительные примеры включают в себя 3-диметиламиноазетидин-1-ил, 2,2-диметил-3-диметиламиноазетидин-1-ил, 2-гидроксиметилазетидин-1-ил, 2-карбамоилазетидин-1-ил, 2-оксопирролидино, 2-гидроксиметилпирролидино, 2-карбамоилпирролидино, 2-гидроксиметилпиперидино, 2-карбамоилпиперидино, 2-метилкарбамоилпиперидино, 2-диметилкарбамоилпиперидино, 3-оксо-4-метилпиперазино, 4-метилпиперазино, 4-этилпиперазино, 4-изопропилпиперазино, 4-циклопропилпиперазино, 2,4-диметилпиперазино, 3,4-диметилпиперазино, 3-циклопропил-4-метилпиперазино, 3,4,5-триметилпиперазино, 2,2,4-триметилпиперазино, 3,3,4-триметилпиперазино, 2-циклопропанспиро-4-метилпиперазино, морфолино, 3-карбамоилморфолино, 1,1-диоксотиоморфолино, 2-метилгексагидропиридазин-1-ил, 3-метилгексагидропиридазин-1-ил, 3-оксо-4-метилгомопиперазино, 5-оксо-4-метилгомопиперазино, 4-метилгомопиперазино, 4-этилгомопиперазино, 4-циклопропилгомопиперазино, 1,4-оксазепан-4-ил, пиперидино, 4-метоксипиперидино, тиоморфолино, 4,4-дифторпиперидино, 3,3-дифторпиперидино, 4-фторпиперидино, 2-диметиламинометилпирролидино, 3-диметиламинопирролидино, 3-метил-4-оксоимидазолидин-1-ил, 3-метоксипирролидино, 2-ацетилгексагидропиридазин-1-ил и 2-карбамоилгексагидропиридазин-1-ил. Все соединения (I) и (II) настоящего изобретения не обязательно образуют соли. Однако, когда соединение (I) или (II) имеет карбоксильную группу, аминогруппу или подобную группу и/или когда Ar1, Ar2, Ar3 или Ar4 представляет собой пиридиновое кольцо или аналогичное кольцо, соединение может образовывать соль, и в некоторых случаях соль может образовывать сольват. Примеры соли включают в себя соли неорганических кислот, таких как хлористоводородная кислота, бромистоводородная кислота, серная кислота и азотная кислота; соли органических кислот, таких как метансульфоновая кислота, п-толуолсульфоновая кислота, фумаровая кислота и трифторуксусная кислота, и соли ионов щелочных металлов или ионов щелочноземельных металлов, таких как ион натрия, ион калия или ион кальция. Сольват настоящего соединения (I) или (II) и сольват соли настоящего соединения (I) или (II) включает в себя сольваты, образованные посредством присоединения растворителя, применяемого в стадии кристаллизации, и сольваты, образованные посредством абсорбции влаги в воздухе. Примеры растворителя включают в себя низшие спирты, такие как метанол и этанол; другие органические растворители, такие как ацетон и ацетонитрил, и воду. Соединение (I) настоящего изобретения может быть получено посредством следующего способа: (где Ar1, Ar2 и R2 имеют такие же значения, как описаны выше, и R10 представляет собой метильную группу или этильную группу). Конкретно, соединение (3) и диалкилоксалат растворяют или суспендируют в подходящем растворителе, таком как N,N-диметилформамид, и к раствору добавляют гидрид натрия в потоке аргона при температуре от -20 до 20°С и смесь перемешивают, посредством чего получают соединение (4). В альтернативном случае соединение (4) может быть получено обработкой соединения (3) диалкилоксалатом в присутствии алкоксида натрия (метоксида или этоксида) в растворе спирта (метанола или этанола). Температура реакции составляет предпочтительно от -10 до 100°С. Соединение (4) растворяют в спирте (метаноле или этаноле) и к раствору при комнатной температуре добавляют производное гидразина (6) или его соль. К смеси добавляют подходящее количество уксусной кислоты и смесь кипятят с обратным холодильником, получая при этом соединение (7) и изомер положения (8) в качестве побочного продукта. Соединение (7) можно легко выделить и очистить посредством колоночной хроматографии на силикагеле. В реакции образования кольца пиразола вместо уксусной кислоты перед кипячением с обратным холодильником при нагревании может быть добавлено подходящее количество триэтиламина или концентрированной хлористоводородной кислоты. В некоторых случаях соединение (7) может быть получено без добавления любого реагента из уксусной кислоты, триэтиламина и концентрированной хлористоводородной кислоты. Производное гидразина (6) или его соль, используемое в указанной выше реакции образования кольца пиразола, может быть получено растворением ароматического амина (5) в концентрированной хлористоводородной кислоте, добавлением к раствору при охлаждении льдом нитрита натрия с образованием диазосоединения и обработкой диазосоединения хлоридом олова (II). Температура реакции составляет предпочтительно от -10 до 20°С. Производное гидразина (6) может быть коммерчески доступным продуктом в виде производного гидразина. В альтернативном случае производное гидразина (6) может быть получено взаимодействием галогенированного соединения Ar1 с гидразином, как описано в ссылочных примерах, или посредством подобного способа. Ароматический амин (5) может быть коммерчески доступным продуктом. В альтернативном случае ароматический амин (5) может быть получен посредством способа, описанного в ссылочных примерах, или подобным способом. Когда таким образом полученное соединение (7) обрабатывают следующим способом: (где R2, R3, R10, Ar1, Ar2 и структура кольца А имеют такие же значения, как описано выше), может быть получено соединение (I) настоящего изобретения. Конкретно, соединение (7) гидролизуют обычным способом с образованием карбоновой кислоты (9) и карбоновую кислоту (9) конденсируют с производным амина (10), получая при этом соединение (I) настоящего изобретения. Вышеуказанную реакцию гидролиза можно проводить в присутствии основания или кислоты Льюиса. Примеры основания включают в себя гидроксид щелочного металла (например, лития, натрия или калия). Примеры кислоты Льюиса включают в себя трибромид бора. Температура реакции предпочтительно составляет от -20 до 100°С, более предпочтительно от -5 до 50°С. Когда соединение (7) имеет в качестве заместителя Ar1 атом галогена, такого как хлора или брома, заместитель Ar1 может быть заменен метоксигруппой растворением соединения (7) в метаноле и добавлением метоксида натрия к раствору с последующим кипячением с обратным холодильником при нагревании или растворением соединения (7) в смеси растворителей метаноле и толуоле и добавлением метоксида натрия и катализатора, такого как бромид меди (I), с последующим кипячением с обратным холодильником при нагревании. Таким образом, может быть получено соединение (7), имеющее в качестве заместителя Ar1 метоксигруппу (R10 представляет собой метил). Способ конденсации, описанный выше, может быть проведен по способу, обычно используемому для синтеза пептидов. Примеры способа синтеза пептида включают в себя способ азида, способ хлорангидрида кислоты, способ ангидрида кислоты, способ DCC (дициклогексилкарбодиимида), способ активного сложного эфира, способ карбодиимидазола, способ DCC/HOBT (1-гидроксибензотриазола), способ с применением водорастворимого карбодиимида и способ с применением диэтилцианофосфата. Эти способы описаны, например, в M. Bodanszky, Y.S. Klausner, and M.A. Ondetti, “Peptide Synthesis”, A Wiley-interscience publication, New York, 1976; G.R. Pettit, “Synthetic Peptides”, Elsevier Scientific Publication Company, New York, 1976; and Japanese Society of Chemistry ed. “Lectures on Experimental Chemistry 4th ed., vol. 22, Organic Synthesis IV”, Maruzen Publishing, 1991. Примеры растворителя, применяемого в реакции конденсации, включают в себя N,N-диметилформамид, пиридин, хлороформ, метиленхлорид, тетрагидрофуран, диоксан, ацетонитрил и смесь таких растворителей. Температура реакции составляет предпочтительно от -20 до 50°С, более предпочтительно от -10 до 30°С. Производное амина (10) может быть коммерчески приемлемым продуктом или может быть получено по способу, описанному в документальных источниках или ссылочном примере, или подобным способом. Когда производное амина (10), используемое в реакции конденсации, описанной выше, имеет функциональную группу, такую как гидроксильная группа, аминогруппа или карбоксильная группа, функциональная группа может быть защищена заранее с использованием подходящей защитной группы. Примеры типичной защитной группы для гидроксильной группы включают в себя трет-бутильную группу и бензильную группу. Примеры типичной защитной группы для аминогруппы включают в себя трифторацетильную группу, трет-бутоксикарбонильную группу и бензилоксикарбонильную группу. Когда функциональной группой является карбоксильная группа, производное амина (10) может быть превращено в метиловый эфир или трет-бутиловый эфир перед реакцией конденсации. Такие защитные группы могут быть удалены в подходящих условиях, которые могут изменяться в зависимости от типа защитной группы. Соединение (II) настоящего изобретения может быть получено следующим способом: (где Ar3, Ar4, R5, R6, структура кольца Ar3 и структура кольца В имеют такие же значения, как описаны выше, и R10 представляет собой метильную группу или этильную группу). Конкретно, коммерчески доступное соединение (11) и диалкилоксалат растворяют или суспендируют в подходящем растворителе, например N,N-диметилформамиде, и к раствору в потоке аргона при температуре от -20 до 20°С добавляют гидрид натрия с последующим перемешиванием, получая при этом соединение (12). В альтернативном случае соединение (12) может быть получено обработкой соединения (11) и диэтилоксалата бис(триметилсилил)амидом лития в инертном растворителе, таком как тетрагидрофуран. Температура реакции составляет предпочтительно от -78 до 50°С. Затем соединение (12) растворяют в этаноле и к раствору при комнатной температуре добавляют производное гидразина (14) или его соль. К смеси добавляют подходящее количество уксусной кислоты и затем смесь кипятят с обратным холодильником при нагревании, получая при этом соединение (15). В реакции образования кольца пиразола вместо уксусной кислоты может быть добавлено перед кипячением с обратным холодильником при нагревании подходящее количество триэтиламина. В некоторых случаях соединение (15) может быть получено без добавления любого реагента из уксусной кислоты и триэтиламина. Производное гидразина (14) или его соль, применяемое в указанной выше реакции образования кольца пиразола, может быть получено растворением ароматического амина (13) в концентрированной хлористоводородной кислоте, добавлением нитрита натрия к раствору при охлаждении льдом с образованием диазосоединения и обработкой диазосоединения хлоридом олова (II). Температура реакции составляет предпочтительно от -10 до 20°С. В альтернативном случае производное гидразина (14) может быть коммерчески доступным продуктом в виде производного гидразина. В альтернативном случае производное гидразина (14) может быть получено взаимодействием галогенированного соединения Ar1 с гидразином, как описано в ссылочных примерах, или подобным способом. Ароматический амин (13) может быть коммерчески доступным продуктом. В альтернативном случае ароматический амин (13) может быть получен по способу, описанному в ссылочных примерах, или подобным способом. Когда полученное таким образом соединение (15) обрабатывают по следующему способу: (где R5, R6, R7, R10, Ar4, структура кольца Ar3 и структуры колец В и С имеют такие же значения, как описаны выше), может быть получено соединение (II) настоящего изобретения. Конкретно, соединение (15) гидролизуют по способу, известному per se, с образованием карбоновой кислоты (16), и карбоновую кислоту (16) конденсируют с производным амина (17), получая при этом соединение (II) настоящего изобретения. Вышеуказанную реакцию гидролиза и реакцию конденсации можно проводить в условиях, сходных с условиями, описанными в отношении получения соединения (I). В альтернативном случае соединение (I) настоящего изобретения может быть получено по следующему способу: (где R2, R3, R10, Ar1, Ar2 и структура кольца А имеют такие же значения, как описаны выше, и Z представляет собой высвобождающуюся группу). Конкретно, эфир (7) восстанавливают с образованием спирта (18) и спирт (18) превращают в соединение (19), имеющее высвобождающуюся группу Z (такую как п-толуолсульфонилоксигруппа, метансульфонилоксигруппа, трифторметансульфонилоксигруппа, атом хлора, атом брома или атом иода). Соединение (19) подвергают взаимодействию с производным амина (10), получая при этом соединение (I) настоящего изобретения. Реакция восстановления сложного эфира (7) в спирт (18) может быть проведена, например, обработкой сложного эфира (7) алюминийлитийгидридом, литийборгидридом или сходным соединением в инертном растворителе, таком как тетрагидрофуран, при температуре от -78 до 50°С, предпочтительно от -20 до 30°С. Спирт (18) может быть получен обработкой карбоновой кислоты (9) в инертном растворителе, таком как тетрагидрофуран, алюминийлитийгидридом, комплексом боран-тетрагидрофуран или подобным соединением при температуре от -78 до 50°С, предпочтительно при температуре от -20 до 30°С. Затем спиртовое соединение (18) может быть превращено в соединение (19) следующим образом. Когда группа Z представляет собой метансульфонилоксигруппу, спиртовое соединение (18) подвергают взаимодействию с метансульфонилхлоридом в присутствии основания, такого как пиридин, при температуре от -50 до 50°С. Когда группа Z представляет собой п-толуолсульфонилоксигруппу, трифторметансульфонилоксигруппу или аналогичную группу, превращение в соединение (19) может быть проведено в аналогичных условиях. Когда Z представляет собой атом хлора или атом брома, спиртовое соединение (18) превращают в хлорпроизводное (19) или бромпроизводное (19) посредством использования тионилхлорида, тионилбромида или подобного соединения. Когда группой Z является атом иода или подобная группа, таким образом полученное хлор- или бромпроизводное (19) обрабатывают иодидом натрия, тем самым получая иодпроизводное (19). Условия и реагенты, применяемые в этих реакциях, могут быть определены подходящим образом на основе общих знаний органической химии. Превращение из соединения (19) в соединение (I) настоящего изобретения может быть проведено взаимодействием соединения (19) с амином (10) в подходящем растворителе, таком как тетрагидрофуран или N,N-диметилформамид, с использованием основания, такого как триэтиламин или диизопропилэтиламин, или неорганического основания, такого как карбонат калия, или с использованием такого основания как гидрид натрия. Температура реакции, которая изменяется в зависимости от типа группы Z, предпочтительно находится между -79 и 100°С. В указанной выше реакции в некоторых случаях функциональные группы нужно защитить. Защитные группы и условия, применяемые для удаления защитных групп, могут быть определены подходящим образом на основе общих знаний органической химии. Соединение (I) настоящего изобретения, полученное по любому из указанных выше трех способов, может быть превращено в другое соединение (I) настоящего изобретения посредством химических модификаций на основе общих знаний органической химии. Соединения (I) и (II) настоящего изобретения, их соли или сольваты и сольваты солей обладают сильной активностью против агрегации тромбоцитов, они проявляют эффективность на модели тромбоза, индуцированной стрессом с высоким сдвигом. Поэтому соединения (I) и (II) настоящего изобретения, их соли или сольваты и сольваты солей являются пригодными для людей и других животных в качестве профилактических и/или терапевтических агентов для ишемических заболеваний, вызванных тромбом или эмболой, таких как инфаркт миокарда, стенокардия (хроническая, стабильная стенокардия, нестабильная стенокардия и тому подобное), ишемическое цереброваскулярное нарушение (преходящее нарушение мозгового кровообращения (TIA), церебральный инфаркт и тому подобное), периферическое васкулярное заболевание, эмболия после замены сосуда искусственным сосудом, тромботическая эмболия после вмешательства в коронарную артерию (обходное шунтирование коронарной артерии (CAGB), чрескожная внутрипросветная коронарная ангиопластика (РТСА), установка стента и тому подобное), диабетическая ретинопатия и нефропатия и эмболия после замены сердечного клапана искусственным, а также применимыми в качестве профилактических и/или терапевтических агентов для тромба и эмболии, связанных с операцией на сосудах, искусственным кровообращением и тому подобное. Когда соединение (I) или (II) настоящего изобретения, соль такого соединения или сольват соединения или соли применяют в качестве лекарственного средства, суточная доза для взрослого пациента, которая изменяется в зависимости от возраста, пола, симптомов у пациента и тому подобное, составляет предпочтительно от 0,1 мг до 1 г, более предпочтительно от 5 мг до 500 мг. Лекарственное средство может быть введено один раз в день или несколько раз в день разделенным образом. Если необходимо, соединение/соль/сольват может быть введено в дозе, превышающей вышеуказанную суточную дозу. Никакое конкретное ограничение не накладывается на путь введения и лекарственную форму лекарственного средства, содержащего соединение (I) или (II) настоящего изобретения, соль такого соединения или сольват соединения или соли, и лекарственное средство может быть введено посредством любого пути и в любой желаемой лекарственной форме. Лекарственная форма может быть определена подходящим образом в зависимости от пути введения. Лекарственный препарат может быть получен обычным способом получения лекарственного средства включением требуемого фармакологически приемлемого носителя. Примеры пероральных препаратов включают в себя твердые препараты, такие как таблетки, порошки, гранулы, пилюли и капсулы, а также жидкие препараты, такие как раствор, сироп, эликсир, суспензия и эмульсия. Инъекция может быть получена заполнением контейнера раствором соединения (I) и (II), соли такого соединения или сольвата соединения или соли. Твердый препарат, полученный, например, сушкой вымораживанием такого раствора, может также быть использован в качестве инъекции после повторной гидратации перед применением. При получении такого лекарственного препарата выбирают одну или несколько фармацевтически приемлемых добавок, в соответствии с необходимостью в лекарственный препарат может быть включено, среди других добавок, связывающее вещество, дезинтегратор, стимулятор растворения, смазывающее вещество, наполнитель, эксципиент и аналогичные добавки. [Примеры] Далее будут описаны способы получения типичных соединений настоящего изобретения. Кроме того, будут даны описания специфических испытаний, проведенных для демонстрации полученными соединениями сильного ингибирующего агрегацию тромбоцитов действия без ингибирования СОХ-1 и СОХ-2. [Ссылочный пример 1] Гидрохлорид 5-гидразино-2-метоксипиридина Раствор нитрита натрия (3,795 г) в воде (20 мл) добавляют по каплям к 5-амино-2-метоксипиридину (6,21 г) в концентрированной хлористоводородной кислоте (50 мл) на протяжении периода 60 минут при охлаждении льдом и образовавшуюся смесь перемешивают при постоянной температуре в течение 30 минут. К реакционной смеси по каплям добавляют дигидрат хлорида олова (II) (39,5 г) в концентрированной хлористоводородной кислоте (30 мл) при внутренней температуре приблизительно 10°С в течение 30 минут с последующим перемешиванием в течение 2 часов при комнатной температуре. При охлаждении льдом реакционную смесь распределяют между гидроксидом натрия (75 г) в воде и диэтиловым эфиром. Водный слой экстрагируют диэтиловым эфиром дважды. Затем водный слой насыщают хлоридом натрия с последующей экстракцией диэтиловым эфиром. Органические слои объединяют и сушат над безводным сульфатом натрия с последующим фильтрованием. К фильтрату добавляют 1 М HCl в этаноле (50 мл) и смесь перемешивают. Твердое вещество, которое осаждается, собирают фильтрованием, промывают диэтиловым эфиром и сушат, тем самым получая указанное в заголовке соединение (5,02 г, 57%). 1H-ЯМР (400 МГц, ДМСО-d6) MC (ESI) m/z: 140 (M+H)+. [Ссылочный пример 2] 5-Гидразино-2-метоксипиридин Нитрит натрия (3,795 г) в воде (20 мл) добавляют по каплям к 5-амино-2-метоксипиридину (6,207 г) в концентрированной хлористоводородной кислоте (50 мл) в течение 80 минут при охлаждении льдом с последующим перемешиванием при постоянной температуре в течение 30 минут. К реакционной смеси при внутренней температуре приблизительно 10°С в течение 60 минут по каплям добавляют дигидрат хлорида олова (II) (39,5 г) в концентрированной хлористоводородной кислоте (30 мл) с последующим перемешиванием при комнатной температуре в течение 12,5 часа. При охлаждении льдом к реакционной смеси добавляют гидроксид натрия (54 г) в воде (200 мл) и хлороформ. После удаления нерастворимых веществ в образовавшейся смеси фильтрованием реакционную смесь распределяют. Водный слой экстрагируют два раза хлороформом. Органические слои объединяют и сушат над безводным сульфатом натрия с последующим фильтрованием. Растворитель выпаривают при пониженном давлении, тем самым получая указанное в заголовке соединение в виде кристаллов (4,23 г, 60%). 1H-ЯМР (400 МГц, CDCl3) MC (ESI) m/z: 140 (M+H)+. [Ссылочный пример 3] Этиловый эфир 5-(4-хлорфенил)-1-(6-метокси-3-пиридил)пиразол-3-карбоновой кислоты 1) Этиловый эфир 4-(4-хлорфенил)-2,4-диоксобутановой кислоты Гидрид натрия (который применяют после промывания пентаном и затем сушки; 0,474 г) добавляют к 4′-хлорацетофенону (1,535 г) в N,N-диметилформамиде (25 мл) при 0°С с последующим перемешиванием при комнатной температуре в течение 0,5 часа. К реакционной смеси добавляют диэтилоксалат (2,6 мл) с последующим перемешиванием при комнатной температуре в течение 17 часов. Реакционную смесь распределяют между водой и диэтиловым эфиром. Водный слой подкисляют до рН 3 1 М водной хлористоводородной кислотой с последующей экстракцией диэтиловым эфиром. Затем водный слой дополнительно экстрагируют диэтиловым эфиром. Органический слой промывают насыщенным раствором соли и сушат безводным сульфатом натрия с последующим фильтрованием. Растворитель выпаривают при пониженном давлении, получая при этом этиловый эфир 4-(4-хлорфенил)-2,4-диоксобутановой кислоты (1,952 г, 77%). 1H-ЯМР (400 МГц, CDCl3) MC (ESI) m/z: 255 (M+H)+. 2) Указанное в заголовке соединение Производное гидразина (0,250 г), полученное из ссылочного примера 2, добавляют к раствору полученного выше этилового эфира 4-(4-хлорфенил)-2,4-диоксобутановой кислоты (0,930 г), растворенного в этаноле (20 мл), при комнатной температуре. Смесь кипятят с обратным холодильником при нагревании в течение 12 часов и затем охлаждают на воздухе. Растворитель выпаривают при пониженном давлении и остаток распределяют между водой и хлороформом. Затем водный слой экстрагируют хлороформом. Органический слой промывают насыщенным раствором соли и сушат безводным сульфатом натрия с последующим фильтрованием. Растворитель выпаривают при пониженном давлении и остаток очищают колоночной хроматографией на силикагеле (гексан-этилацетат: 17-50%), получая при этом указанное в заголовке соединение в виде маслянистого вещества (0,543 г, 85%). 1H-ЯМР (400 МГц, CDCl3) MC (FAB) m/z: 358 (M+H)+. [Ссылочный пример 4] 5-(4-Хлорфенил)-1-(6-метокси-3-пиридил)пиразол-3-карбоновая кислота Моногидрат гидроксида лития (68,4 мг) добавляют к этиловому эфиру пиразол-3-карбоновой кислоты (0,543 г), описанному в стадии 2) ссылочного примера 3, в смеси тетрагидрофуран (6 мл) – вода (2 мл) – метанол (1,5 мл) с последующим перемешиванием при комнатной температуре в течение 2 часов. Растворитель выпаривают при пониженном давлении и остаток распределяют между водой и диэтиловым эфиром. Водный слой подкисляют до рН 3 1 М водной хлористоводородной кислотой с последующим перемешиванием при 0°С. Образовавшееся твердое вещество собирают фильтрованием. Твердое вещество последовательно промывают водой, изопропиловым спиртом и диэтиловым эфиром. Затем твердое вещество сушат, получая при этом указанное в заголовке соединение в виде твердого вещества (0,240 г, 48%). 1H-ЯМР (400 МГц, CDCl3) MC (ESI) m/z: 330 (M+H)+. [Ссылочный пример 5] Этиловый эфир 5-(4-этилфенил)-1-(6-метокси-3-пиридил)пиразол-3-карбоновой кислоты 1) Этиловый эфир 4-(4-этилфенил)-2,4-диоксобутановой кислоты Способом, аналогичным способу, описанному в стадии 1) ссылочного примера 3, этиловый эфир 4-(4-этилфенил)-2,4-диоксобутановой кислоты (2,577 г, 97%) получают с применением 4′-этилацетофенона (1,599 г) и диэтилоксалата (2,9 мл). 1H-ЯМР (400 МГц, CDCl3) MC (ESI) m/z: 249 (M+H)+. 2) Указанное в заголовке соединение Способом, аналогичным способу, описанному в стадии 2) ссылочного примера 3, указанное в заголовке соединение получают в виде маслянистого вещества (0,589 г, 83%) с использованием полученного выше этилового эфира 4-(4-этилфенил)-2,4-диоксобутановой кислоты (1,012 г) и 5-гидразино-2-метоксипиридина (0,280 г), полученного в ссылочном примере 2. 1H-ЯМР (400 МГц, CDCl3) МС (FAB) m/z: 352 (М+H)+. [Ссылочный пример 6] 5-(4-Этилфенил)-1-(6-метокси-3-пиридил)пиразол-3-карбоновая кислота Способом, аналогичным способу, описанному в ссылочном примере 4, указанное в заголовке соединение получают в виде твердого вещества (0,457 г, 84%) с использованием этилового эфира пиразол-3-карбоновой кислоты (0,589 г), полученного в стадии 2) ссылочного примера 5. 1H-ЯМР (400 МГц, CDCl3) МС (FAB) m/z: 324 (М+H)+. [Ссылочный пример 7] Этиловый эфир 1-(6-метокси-3-пиридил)-5-(3-метилфенил)пиразол-3-карбоновой кислоты 1) Этиловый эфир 4-(3-метилфенил)-2,4-диоксобутановой кислоты Способом, аналогичным способу, описанному в стадии 1) ссылочного примера 3, этиловый эфир 4-(3-метилфенил)-2,4-диоксобутановой кислоты (2,71 г, количественный выход) получают с применением 3′-метилацетофенона (1,557 г) и диэтилоксалата (3,1 мл). 1H-ЯМР (400 МГц, CDCl3) МС (ESI) m/z: 235 (М+H)+. 2) Указанное в заголовке соединение Гидрохлорид 5-гидразино-2-метоксипиридина (0,380 г), полученный в ссылочном примере 1, и триэтиламин (0,30 мл) добавляют к раствору полученного выше этилового эфира 4-(3-метилфенил)-2,4-диоксобутановой кислоты (1,014 г), растворенного в этаноле (20 мл), при комнатной температуре. Образовавшуюся смесь кипятят с обратным холодильником при нагревании в течение 14 часов и затем охлаждают на воздухе. Растворитель выпаривают при пониженном давлении и остаток распределяют между хлороформом и водой. Водный слой экстрагируют хлороформом. Органический слой промывают насыщенным раствором соли и сушат над безводным сульфатом натрия с последующим фильтрованием. Растворитель выпаривают при пониженном давлении и остаток подвергают колоночной хроматографии на силикагеле (гексан-этилацетат: 20%), получая при этом указанное в заголовке соединение в виде маслянистого вещества (0,451 г, 62%). 1H-ЯМР (400 МГц, CDCl3) МС (FAB) m/z: 338 (М+H)+. [Ссылочный пример 8] 1-(6-Метокси-3-пиридил)-5-(3-метилфенил)пиразол-3-карбоновая кислота Способом, аналогичным способу, описанному в ссылочном примере 4, указанное в заголовке соединение получают в виде твердого вещества (0,353 г, 86%) с применением этилового эфира пиразол-3-карбоновой кислоты (0,451 г), полученного в стадии 2) ссылочного примера 7. 1H-ЯМР (400 МГц, CDCl3) [Ссылочный пример 9] Этиловый эфир 1-(6-метокси-3-пиридил)-5-(2-метилфенил)пиразол-3-карбоновой кислоты 1) Этиловый эфир 4-(2-метилфенил)-2,4-диоксобутановой кислоты Способом, аналогичным способу, описанному в стадии 1) ссылочного примера 3, этиловый эфир 4-(2-метилфенил)-2,4-диоксобутановой кислоты получают в виде маслянистого вещества (2,54 г, 95%) с применением 2′-метилацетофенона (1,543 г) и диэтилоксалата (3,1 мл). 1H-ЯМР (400 МГц, CDCl3) LC-МС m/z: 235 (М+H)+. 2) Указанное в заголовке соединение Способом, аналогичным способу, описанному в стадии 2) ссылочного примера 7, указанное в заголовке соединение получают в виде маслянистого вещества (0,542 г, 69%) с применением полученного выше этилового эфира 4-(2-метилфенил)-2,4-диоксобутановой кислоты (1,074 г) и гидрохлорида 5-гидразино-2-метоксипиридина (0,407 г), полученного в ссылочном примере 1. 1H-ЯМР (400 МГц, CDCl3) МС (FAB) m/z: 338 (М+H)+. [Ссылочный пример 10] (6-Метокси-3-пиридил)-5-(2-метилфенил)пиразол-3-карбоновая кислота Способом, аналогичным способу, описанному в ссылочном примере 4, указанное в заголовке соединение получают в виде твердого вещества (0,479 г, 96%) с применением этилового эфира пиразол-3-карбоновой кислоты (0,542 г), полученного в стадии 2) ссылочного примера 9. 1H-ЯМР (400 МГц, CDCl3) МС (ESI) m/z: 310 (М+H)+. [Ссылочный пример 11] Этиловый эфир 5-(3-фторфенил)-1-(6-метокси-3-пиридил)пиразол-3-карбоновой кислоты 1) Этиловый эфир 4-(3-фторфенил)-2,4-диоксобутановой кислоты Способом, аналогичным способу, описанному в стадии 1) ссылочного примера 3, этиловый эфир 4-(3-фторфенил)-2,4-диоксобутановой кислоты получают в виде твердого вещества (2,26 г, 86%) с использованием 3′-фторацетофенона (1,530 г) и диэтилоксалата (3,0 мл). 1H-ЯМР (400 МГц, CDCl3) МС (ESI) m/z: 239 (М+H)+. 2) Указанное в заголовке соединение Способом, аналогичным способу, описанному в стадии 2) ссылочного примера 7, указанное в заголовке соединение получают в виде маслянистого вещества (0,362 г, 52%) с применением полученного выше этилового эфира 4-(3-фторфенил)-2,4-диоксобутановой кислоты (0,978 г) и гидрохлорида 5-гидразино-2-метоксипиридина (0,385 г), полученного в ссылочном примере 1. 1H-ЯМР (400 МГц, CDCl3) МС (FAB) m/z: 342 (М+H)+. [Ссылочный пример 12] 5-(3-Фторфенил)-(6-метокси-3-пиридил)пиразол-3-карбоновая кислота Способом, аналогичным способу, описанному в ссылочном примере 4, указанное в заголовке соединение (0,302 г, 91%) получают в виде твердого вещества с применением этилового эфира пиразол-3-карбоновой кислоты (0,362 г), полученного в стадии 2) ссылочного примера 11. 1H-ЯМР (400 МГц, CDCl3) МС (ESI) m/z: 314 (М+H)+. [Ссылочный пример 13] Этиловый эфир 5-(4-бензилоксифенил)-1-(6-метокси-3-пиридил)пиразол-3-карбоновой кислоты 1) Этиловый эфир 4-(4-бензилоксифенил)-2,4-диоксобутановой кислоты Способом, аналогичным способу, описанному в стадии 1) ссылочного примера 3, этиловый эфир 4-(4-бензилоксифенил)-2,4-диоксобутановой кислоты (3,18 г, количественный выход) получают в виде маслянистого вещества с применением 4′-бензилоксиацетофенона (2,07 г) и диэтилоксалата (2,5 мл). МС (ESI) m/z: 327 (М+Н)+. 2) Указанное в заголовке соединение Способом, аналогичным способу, описанному в стадии 2) ссылочного примера 3, указанное в заголовке соединение (1,026 г, 35%) получают в виде твердого вещества с применением полученного выше этилового эфира 4-(4-бензилоксифенил)-2,4-диоксобутановой кислоты (3,21 г) и 5-гидразино-2-метоксипиридина (0,952 г), полученного в ссылочном примере 2. 1H-ЯМР (400 МГц, CDCl3) МС (FAB) m/z: 430 (М+H)+. [Ссылочный пример 14] 5-(4-Бензилоксифенил)-1-(6-метокси-3-пиридил)пиразол-3-карбоновая кислота Способом, аналогичным способу, описанному в ссылочном примере 4, указанное в заголовке соединение (0,973 г, количественный выход) получают в виде маслянистого вещества с использованием этилового эфира 5-(4-бензилоксифенил)-1-(6-метокси-3-пиридил)пиразол-3-карбоновой кислоты (0,991 г), полученного в ссылочном пример 13. 1H-ЯМР (400 МГц, CDCl3) МС (FAB) m/z: 402 (М+H)+. [Ссылочный пример 15] 4-Метоксипиридин-2-карбонитрил В атмосфере аргона триэтиламин (17,8 мл) добавляют к N-оксиду 4-метоксипиридина (8,0 г) в ацетонитриле (160 мл) при комнатной температуре. К смеси по каплям добавляют триметилсилилцианид (24,1 мл) с последующим перемешиванием смеси в течение 20 минут. После этого смесь перемешивают при 95°С в течение 14 часов и затем охлаждают на воздухе. Растворитель выпаривают при пониженном давлении. Остаток распределяют между насыщенным водным раствором гидрокарбоната натрия и этилацетатом. Органический слой сушат над безводным гидросульфатом натрия с последующим фильтрованием. Растворитель выпаривают при пониженном давлении и остаток очищают колоночной хроматографией на силикагеле (гексан-этилацетат), получая при этом указанное в заголовке соединение в виде твердого вещества (1,57 г, 18%). 1H-ЯМР (400 МГц, CDCl3) МС (EI) m/z: 134 (М+). [Ссылочный пример 16] 1-(4-Метокси-2-пиридил)этанон
В атмосфере аргона 0,93 М метилмагнийбромид в тетрагидрофуране (13,8 мл) добавляют по каплям к 4-метоксипиридин-2-карбонитрилу (1,56 г) в тетрагидрофуране (31 мл) при -78°С с последующим перемешиванием в течение 15 минут. После этого реакционную смесь перемешивают при 0°С в течение 15 минут и затем при комнатной температуре в течение 5 часов. К реакционной смеси по каплям добавляют воду. Образовавшуюся смесь распределяют между водой и этилацетатом. Органический слой сушат над безводным сульфатом натрия с последующим фильтрованием. Растворитель выпаривают при пониженном давлении и остаток очищают колоночной хроматографией на силикагеле (гексан-этилацетат), получая при этом указанное в заголовке соединение в виде твердого вещества (1,30 г, 73%). 1H-ЯМР (400 МГц, CDCl3) МС (ESI) m/z: 152 (М+H)+. [Ссылочный пример 17] Этиловый эфир 4-(4-метокси-2-пиридил)-2,4-диоксобутановой кислоты Способом, аналогичным способу, описанному в стадии 1) ссылочного примера 3, указанное в заголовке соединение получают в виде твердого вещества (0,713 г, 33%) с применением 1-(4-метокси-2-пиридил)этанона (1,28 г) и диэтилоксалата (2,30 мл). 1H-ЯМР (400 МГц, CDCl3) МС (EI) m/z: 251 (М+). [Ссылочный пример 18] Этиловый эфир 1-(6-метокси-3-пиридил)-5-(4-метокси-2-пиридил)пиразол-3-карбоновой кислоты Способом, аналогичным способу, описанному в стадии 2) ссылочного примера 3, указанное в заголовке соединение получают в виде твердого вещества (0,473 г, 49%) с применением этилового эфира 4-(4-метокси-2-пиридил)-2,4-диоксобутановой кислоты (0,691 г), полученного в ссылочном примере 17, и 5-гидразино-2-метоксипиридина (0,383 г), полученного в ссылочном примере 2. 1H-ЯМР (400 МГц, CDCl3) МС (FAB) m/z: 355 (М+H)+. [Ссылочный пример 19] 1-(6-метокси-3-пиридил)-5-(4-метокси-2-пиридил)пиразол-3-карбоновая кислота 1 н. Водный раствор гидроксида натрия (2,23 мл) добавляют к этиловому эфиру 1-(6-метокси-3-пиридил)-5-(4-метокси-2-пиридил)пиразол-3-карбоновой кислоты (0,416 г), полученному в ссылочном примере 18, в смеси метанола (6,3 мл) и тетрагидрофурана (6,3 мл) при комнатной температуре с последующим перемешиванием в течение 5 часов. Реакционную смесь нейтрализуют 1 н. водным раствором хлористоводородной кислоты (2,23 мл) и затем распределяют между водой и хлороформом. Затем водный слой экстрагируют хлороформом два раза. Органический слой сушат над безводным сульфатом натрия с последующим фильтрованием. Растворитель выпаривают при пониженном давлении, получая при этом указанное в заголовке соединение в виде твердого вещества (0,353 г, 92%). 1Н-ЯМР (400 МГц, ДМСО-d6) МС (FAB) m/z: 327 (М+H)+. [Ссылочный пример 20] 2-Бром-6-метоксипиридин В атмосфере аргона метоксид натрия (1,82 г) добавляют к 2,6-дибромпиридину (8,0 г) в толуоле (120 мл) с последующим перемешиванием при 120°С в течение 13 часов. Затем к смеси добавляют метоксид натрия (0,728 г) с последующим перемешиванием при 120°С в течение 6 часов. Смесь охлаждают на воздухе. Реакционную смесь распределяют между водой и этилацетатом. Органический слой сушат над безводным сульфатом натрия с последующим фильтрованием. Растворитель выпаривают при пониженном давлении. Остаток очищают колоночной хроматографией на силикагеле (гексан-этилацетат), получая при этом указанное в заголовке соединение в виде маслянистого вещества (5,64 г, 89%). 1H-ЯМР (400 МГц, CDCl3) [Ссылочный пример 21] 6-Метоксипиридин-2-карбонитрил Цианид меди (I) (2,68 г) добавляют к 2-бром-6-метоксипиридину (5,62 г) в N,N-диметилформамиде (112 мл) при комнатной температуре с последующим перемешиванием при 165°С в течение 15 часов. Образовавшуюся смесь охлаждают на воздухе. К смеси добавляют воду и этилацетат. Нерастворимое вещество, которое образуется в смеси, фильтруют целитом. Фильтрат распределяют между водой и этилацетатом. Органический слой сушат над безводным сульфатом натрия с последующим фильтрованием. Растворитель выпаривают при пониженном давлении. Остаток подвергают колоночной хроматографии на силикагеле (гексан-этилацетат), получая при этом указанное в заголовке соединение в виде твердого вещества (1,78 г, 44%). 1H-ЯМР (400 МГц, CDCl3) МС (EI) m/z: 134 (М+). [Ссылочный пример 22] 1-(6-Метокси-2-пиридил)этанон
Способом, аналогичным способу, описанному в ссылочном примере 16, указанное в заголовке соединение получают в виде твердого вещества (0,819 г, 42%) с применением 6-метоксипиридин-2-карбонитрила (1,75 г). 1H-ЯМР (400 МГц, CDCl3) МС (ESI) m/z: 152 (М+H)+. [Ссылочный пример 23] Этиловый эфир 4-(6-метокси-2-пиридил)-2,4-диоксобутановой кислоты Способом, аналогичным способу, описанному в стадии 1) ссылочного примера 3, указанное в заголовке соединение получают в виде маслянистого вещества (1,16 г, 87%) с применением 1-(6-метокси-2-пиридил)этанона (0,80 г) и диэтилоксалата (1,44 мл). 1H-ЯМР (400 МГц, CDCl3) МС (EI) m/z: 251 (М+). [Ссылочный пример 24] Этиловый эфир 1-(6-метокси-3-пиридил)-5-(6-метокси-2-пиридил)пиразол-3-карбоновой кислоты Способом, аналогичным способу, описанному в стадии 2) ссылочного примера 3, указанное в заголовке соединение получают в виде маслянистого вещества (0,740 г, 46%) с применением этилового эфира 4-(6-метокси-2-пиридил)-2,4-диоксобутановой кислоты (1,15 г), полученного в ссылочном примере 23, и 5-гидразино-2-метоксипиридина (0,637 г), полученного в ссылочном примере 2. 1H-ЯМР (400 МГц, CDCl3) МС (EI) m/z: 354 (М+). [Ссылочный пример 25] 1-(6-Метокси-3-пиридил)-5-(6-метокси-2-пиридил)пиразол-3-карбоновая кислота Способом, аналогичным способу, описанному в ссылочном примере 19, указанное в заголовке соединение получают в виде твердого вещества (0,584 г 91%) с применением этилового эфира производного пиразол-3-карбоновой кислоты (0,694 г), полученного в ссылочном эфире 24. 1H-ЯМР (400 МГц, CDCl3) МС (FAB) m/z: 327 (М+1)+. [Ссылочный пример 26] 6-Метилпиридин-2-карбонитрил Способом, аналогичным способу, описанному в ссылочном пример 21, указанное в заголовке соединение получают в виде твердого вещества (2,81 г, 41%) с применением 2-бром-6-пиколина (9,87 г) и цианида меди (I) (5,14 г). 1H-ЯМР (400 МГц, CDCl3) МС (EI) m/z: 118 (М+). [Ссылочный пример 27] 1-(6-Метил-2-пиридил)этанон Способом, аналогичным способу, описанному в ссылочном примере 16, указанное в заголовке соединение получают в виде маслянистого вещества (1,04 г, 33%) с применением 6-метилпиридин-2-карбонитрила (2,80 г) и 0,93 М метилмагнийбромида в тетрагидрофуране (28,0 мл). 1H-ЯМР (400 МГц, CDCl3) МС (FAB) m/z: 136 (М+H)+. [Ссылочный пример 28] Этиловый эфир 4-(6-метил-2-пиридил)-2,4-диоксобутановой кислоты Способом, аналогичным способу, описанному в стадии 1) ссылочного примера 3, указанное в заголовке соединение получают в виде маслянистого вещества (0,443 г, 25%) с применением 1-(6-метил-2-пиридил)этанона (1,03 г) и диэтилоксалата (2,07 мл). 1H-ЯМР (400 МГц, CDCl3) МС (EI) m/z: 235 (М+). [Ссылочный пример 29] Этиловый эфир 1-(6-метокси-3-пиридил)-5-(6-метил-2-пиридил)пиразол-3-карбоновой кислоты Способом, аналогичным способу, описанному в стадии 2) ссылочного примера 3, указанное в заголовке соединение получают в виде маслянистого вещества (0,491 г, 79%) с применением этилового эфира 4-(6-метил-2-пиридил)-2,4-диоксобутановой кислоты (0,431 г), полученного в ссылочном примере 28, и 5-гидразино-2-метоксипиридина (0,255 г), полученного в ссылочном примере 2. 1H-ЯМР (400 МГц, CDCl3) МС (FAB) m/z: 339 (М+). [Ссылочный пример 30] 1-(6-Метокси-3-пиридил)-5-(6-метил-2-пиридил)пиразол-3-карбоновая кислота Способом, аналогичным способу, описанному в ссылочном примере 19, указанное в заголовке соединение получают в виде твердого вещества (0,342 г, 84%) с применением этилового эфира пиразол-3-карбоновой кислоты (0,444 г), полученного в ссылочном примере 29. 1H-ЯМР (400 МГц, ДМСО-d6) МС (FAB) m/z: 311 (М+H)+. [Ссылочный пример 31] Этиловый эфир 4-(2-пиридил)-2,4-диоксобутановой кислоты Способом, аналогичным способу, описанному в стадии 1) ссылочного примера 3, указанное в заголовке соединение получают в виде твердого вещества (1,12 г, 41%) с применением 2-ацетилпиридина (1,39 мл) и диэтилоксалата (3,36 мл). 1H-ЯМР (400 МГц, CДC13) МС (EI) m/z: 221 (М+). [Ссылочный пример 32] Этиловый эфир 1-(6-метокси-3-пиридил)-5-(2-пиридил)пиразол-3-карбоновой кислоты 1) Этиловый эфир 5-гидрокси-1-(6-метокси-3-пиридил)-5-(2-пиридил)-4,5-дигидропиразол-3-карбоновой кислоты Этиловый эфир 4-(2-пиридил)-2,4-диоксобутановой кислоты (1,10 г), полученный в ссылочном примере 31, и 5-гидразино-2-метоксипиридин (0,692 г), полученный в ссылочном примере 2, растворяют в этаноле (22 мл). Образовавшуюся смесь кипятят с обратным холодильником при нагревании в течение 14 часов с последующим охлаждением на воздухе. Растворитель выпаривают при пониженном давлении. Остаток очищают колоночной хроматографией на силикагеле (гексан-этилацетат) с последующей очисткой колоночной хроматографией на силикагеле (толуол-ацетон), получая при этом этиловый эфир 5-гидрокси-1-(6-метокси-3-пиридил)-5-(2-пиридил)-4,5-дигидропиразол-3-карбоновой кислоты в виде твердого вещества (0,575 г, 34%). 1H-ЯМР (400 МГц, CDCl3) 2) Указанное в заголовке соединение Полученный выше этиловый эфир 5-гидрокси-1-(6-метокси-3-пиридил)-5-(2-пиридил)-4,5-дигидропиразол-3-карбоновой кислоты (0,546 г) растворяют в этаноле (11 мл). К образовавшейся смеси добавляют уксусную кислоту (0,456 мл) с последующим перемешиванием при 105°С в течение 4 часов. Смесь охлаждают на воздухе. Затем реакционную смесь распределяют с использованием насыщенного водного раствора гидрокарбоната натрия, воды и этилацетата. Органический слой сушат над безводным сульфатом натрия с последующим фильтрованием. Растворитель выпаривают при пониженном давлении. Остаток очищают посредством колоночной хроматографии на силикагеле (гексан-этилацетат), получая при этом указанное в заголовке соединение в виде твердого вещества (0,516 г, 100%). 1H-ЯМР (400 МГц, CDCl3) МС (FAB) m/z: 325 (М+H)+. [Ссылочный пример 33] 1-(6-Метокси-3-пиридил)-5-(2-пиридил)пиразол-3-карбоновая кислота Способом, аналогичным способу, описанному в ссылочном примере 19, указанное в заголовке соединение получают в виде твердого вещества (0,344 г, 86%) с использованием этилового эфира пиразол-3-карбоновой кислоты (0,438 г), полученного в стадии 2) ссылочного примера 32. 1H-ЯМР (400 МГц, ДМСО-d6) МС (FAB) m/z: 297 (М+H)+. [Ссылочный пример 34] Этиловый эфир 4-(4-метилфенил)-2,4-диоксобутановой кислоты Способом, аналогичным способу, описанному в стадии 1) ссылочного примера 3, указанное в заголовке соединение получают в виде маслянистого вещества (1,68 г, 64%) с применением 4′-метилацетофенона (1,50 г) и диэтилоксалата (3,04 мл). 1H-ЯМР (400 МГц, CDCl3) МС (EI) m/z: 234 (М+). [Ссылочный пример 35] Этиловый эфир 1-(6-метокси-3-пиридил)-5-(4-метилфенил)пиразол-3-карбоновой кислоты Способом, аналогичным способу, описанному в стадии 2) ссылочного примера 3, указанное в заголовке соединение получают в виде маслянистого вещества (1,52 г, 63%) с применением этилового эфира 4-(4-метилфенил)-2,4-диоксобутановой кислоты (1,67 г), полученного в ссылочном примере 34, и 5-гидразино-2-метоксипиридина (0,992 г), полученного в ссылочном примере 2. 1H-ЯМР (400 МГц, CDCl3) МС (EI) m/z: 337 (М+). [Ссылочный пример 36] 1-(6-Метокси-3-пиридил)-5-(4-метилфенил)пиразол-3-карбоновая кислота Способом, аналогичным способу, описанному в ссылочном примере 19, указанное в заголовке соединение получают в виде аморфного продукта (1,24 г, 90%) с применением этилового эфира пиразол-3-карбоновой кислоты (1,50 г), полученного в ссылочном примере 35. 1H-ЯМР (400 МГц, CDCl3) МС (EI) m/z: 309 (М+). [Ссылочный пример 37] Этиловый эфир 4-(2-фторфенил)-2,4-диоксобутановой кислоты Способом, аналогичным способу, описанному в стадии 1) ссылочного примера 3, указанное в заголовке соединение получают в виде твердого вещества (0,256 г, 37%) с применением 2′-фторацетофенона (0,40 г) и диэтилоксалата. 1H-ЯМР (400 МГц, CDCl3) МС (FAB) m/z: 239 (М+H)+. [Ссылочный пример 38] Этиловый эфир 5-(2-фторфенил)-1-(6-метокси-3-пиридил)пиразол-3-карбоновой кислоты Способом, аналогичным способу, описанному в стадии 2) ссылочного примера 7, указанное в заголовке соединение получают в виде маслянистого вещества (0,231 г, 65%) с применением этилового эфира 4-(2-фторфенил)-2,4-диоксобутановой кислоты (0,248 г), полученного в ссылочном примере 37, и гидрохлорида 5-гидразино-2-метоксипиридина (0,219 г), полученного в ссылочном примере 1. 1H-ЯМР (400 МГц, CDCl3) МС (EI) m/z: 341 (М+). [Ссылочный пример 39] 5-(2-Фторфенил)-1-(6-метокси-3-пиридил)пиразол-3-карбоновая кислота Способом, аналогичным способу, описанному в ссылочном примере 19, указанное в заголовке соединение получают в виде аморфного продукта (0,199 г, 98%) с применением этилового эфира пиразол-3-карбоновой кислоты (0,222 г), полученного в ссылочном примере 38. 1H-ЯМР (400 МГц, CDCl3) МС (EI) m/z: 313 (М+). [Ссылочный пример 40] Этиловый эфир 1-(6-метокси-3-пиридил)-5-фенилпиразол-3-карбоновой кислоты Способом, аналогичным способу, описанному в стадии 1) ссылочного примера 3, этиловый эфир 4-фенил-2,4-диоксобутановой кислоты получают в виде маслянистого вещества (22,96 г, количественный выход) с использованием ацетофенона (9,85 г) и диэтилоксалата (23,97 г). Затем способом, аналогичным способу, описанному в стадии 2) ссылочного примера 3, указанное в заголовке соединение получают в виде маслянистого вещества (16,37 г, 61%) с использованием полученного выше этилового эфира 4-фенил-2,4-диоксобутановой кислоты и 5-гидразино-2-метоксипиридина (11,39 г), полученного в ссылочном примере 2. 1H-ЯМР (400 МГц, CDCl3) МС (ESI) m/z: 324 (М+H)+. [Ссылочный пример 41] 1-(6-Метокси-3-пиридил)-5-фенилпиразол-3-карбоновая кислота Способом, аналогичным способу, описанному в ссылочном примере 19, указанное в заголовке соединение получают в виде кристаллов (13,88 г, 92%) с применением этилового эфира пиразол-3-карбоновой кислоты (16,37 г), полученного в ссылочном примере 40. 1H-ЯМР (400 МГц, CDCl3) МС (ESI) m/z: 296 (М+H)+. [Ссылочный пример 42] Этиловый эфир 1-(6-хлор-3-пиридазинил)-5-фенилпиразол-3-карбоновой кислоты Способом, аналогичным способу, описанному в стадии 2) ссылочного примера 3, указанное в заголовке соединение получают в виде аморфного продукта (1,93 г, 65%) с применением 3-хлор-6-гидразинопиридазина (1,31 г) и этилового эфира 4-фенил-2,4-диоксобутановой кислоты (2,20 г), полученного способом, аналогичным способу, описанному в ссылочном примере 40. 1H-ЯМР (400 МГц, CDCl3) LC-МС m/z: 329 (М+H)+. [Ссылочный пример 43] 1-(6-Метокси-3-пиридазинил)-5-фенилпиразол-3-карбоновая кислота Этиловый эфир пиразол-3-карбоновой кислоты (329 мг), полученный в ссылочном примере 42, растворяют в метаноле (10 мл). К образовавшейся смеси добавляют 28% метоксид натрия в метаноле (0,6 мл) с последующим кипячением с обратным холодильником при нагревании в течение 2 часов. Смесь охлаждают на воздухе. К реакционной смеси добавляют тетрагидрофуран (5 мл) и воду (5 мл) с последующим перемешиванием при комнатной температуре в течение 30 минут. Затем к реакционной смеси добавляют 1 н. водный раствор хлористоводородной кислоты (4 мл). Образовавшуюся смесь распределяют между водой и этилацетатом. Органический слой последовательно промывают водой и насыщенным раствором соли. Затем органический слой сушат над безводным сульфатом магния с последующим фильтрованием. Растворитель выпаривают при пониженном давлении. К остатку добавляют эфир. Образовавшееся твердое вещество собирают фильтрованием и затем сушат, получая при этом указанное в заголовке соединение в виде твердого вещества (218 мг, 74%). 1H-ЯМР (400 МГц, ДМСО-d6) LC-МС m/z: 297 (М+H)+. [Ссылочный пример 44] Этиловый эфир 5-(4-метоксифенил)-1-(6-метокси-3-пиридил)пиразол-3-карбоновой кислоты 4-Метоксиацетофенон (300 мг) растворяют в N,N-диметилформамиде (4 мл). К образовавшейся смеси при 0°С добавляют 60% гидрид натрия с последующим перемешиванием при комнатной температуре в течение 0,5 часа. При охлаждении льдом к реакционной смеси добавляют диэтилоксалат (542 мкл) с последующим перемешиванием при комнатной температуре в течение 14 часов. К реакционной смеси добавляют гидрохлорид 5-гидразино-2-метоксипиридина (406 мг), полученный в ссылочном примере 1, с последующим перемешиванием при 80°С в течение 3 часов. Смесь охлаждают на воздухе. Реакционную смесь распределяют между водой и этилацетатом. Органический слой последовательно промывают водой и насыщенным раствором соли. Затем органический слой сушат над безводным сульфатом натрия с последующим фильтрованием. Растворитель выпаривают при пониженном давлении. Остаток подвергают колоночной хроматографии на силикагеле (гексан-этилацетат), получая при этом указанное в заголовке соединение в виде маслянистого вещества (517 мг, 73%). 1H-ЯМР (400 МГц, CDCl3) МС (ESI) m/z: 354 (М+H)+. [Ссылочный пример 45] 5-(4-Метоксифенил)-1-(6-метокси-3-пиридил)пиразол-3-карбоновая кислота Этиловый эфир производного пиразол-3-карбоновой кислоты (515 мг), полученный в ссылочном примере 44, растворяют в метаноле (10 мл). К образовавшейся смеси добавляют 1 М водный раствор гидроксида натрия (3,64 мл) с последующим кипячением с обратным холодильником при нагревании в течение 1 часа. Растворитель реакции выпаривают при пониженном давлении. Остаток распределяют между водой и этилацетатом. Водный слой подкисляют 1 М водным раствором хлористоводородной кислоты (4,5 мл). Затем водный слой экстрагируют этилацетатом. Органический слой последовательно промывают водой и насыщенным раствором соли. Затем органический слой сушат над безводным сульфатом натрия с последующим фильтрованием. Растворитель выпаривают при пониженном давлении, получая при этом указанное в заголовке соединение в виде кристаллов (453 мг, 95%). 1H-ЯМР (400 МГц, CDCl3) МС (ESI) m/z: 326 (М+H)+. [Ссылочный пример 46] Этиловый эфир 5-(3-метоксифенил)-1-(6-метокси-3-пиридил)пиразол-3-карбоновой кислоты Способом, аналогичным способу, описанному в ссылочном примере 44, указанное в заголовке соединение получают в виде маслянистого вещества (495 мг, 70%) с применением 3-метоксиацетофенона (300 мг), диэтилоксалата (542 мкл) и гидрохлорида 5-гидразино-2-метоксипиридина (406 мг), полученного в ссылочном примере 1. 1H-ЯМР (400 МГц, CDCl3) МС (ESI) m/z: 354 (М+H)+. [Ссылочный пример 47] 5-(3-Метоксифенил)-1-(6-метокси-3-пиридил)пиразол-3-карбоновая кислота Способом, аналогичным способу, описанному в ссылочном примере 45, указанное в заголовке соединение получают в виде кристаллов (427 мг, 94%) с применением этилового эфира производного пиразол-3-карбоновой кислоты (490 мг), полученного в ссылочном примере 46. 1H-ЯМР (400 МГц, CDCl3) МС (ESI) m/z: 326 (М+H). [Ссылочный пример 48] Этиловый эфир 5-(2-метоксифенил)-1-(6-метокси-3-пиридил)пиразол-3-карбоновой кислоты Способом, аналогичным способу, описанному в ссылочном примере 44, указанное в заголовке соединение получают в виде кристаллов (476 мг, 67%) с применением 2-метоксиацетофенона (300 мг), диэтилоксалата (542 мкл) и гидрохлорида 5-гидразино-2-метоксипиридина (421 мг), полученного в ссылочном примере 1. 1H-ЯМР (400 МГц, CDCl3) МС (ESI) m/z: 354 (М+H)+. [Ссылочный пример 49] 5-(2-Метоксифенил)-1-(6-метокси-3-пиридил)пиразол-3-карбоновая кислота Способом, аналогичным способу, описанному в ссылочном примере 45, указанное в заголовке соединение получают в виде твердого вещества (454 мг, количественный выход) с применением этилового эфира производного пиразол-3-карбоновой кислоты (473 мг), полученного в ссылочном примере 48. 1H-ЯМР (400 МГц, CDCl3) МС (ESI) m/z: 326 (М+H)+. [Ссылочный пример 50] Этиловый эфир 5-[4-(трифторметил)фенил]-1-(6-метокси-3-пиридил)пиразол-3-карбоновой кислоты Способом, аналогичным способу, описанному в ссылочном примере 44, указанное в заголовке соединение получают в виде маслянистого вещества (332 мг, 42%) с применением 4′-(трифторметил)ацетофенона (376 мг), диэтилоксалата (542 мкл) и гидрохлорида 5-гидразино-2-метоксипиридина (421 мг), полученного в ссылочном примере 1. 1H-ЯМР (400 МГц, CDCl3) МС (ESI) m/z: 392 (М+H)+. [Ссылочный пример 51] 5-[4-(Трифторметил)фенил]-1-(6-метокси-3-пиридил)пиразол-3-карбоновая кислота Способом, аналогичным способу, описанному в ссылочном примере 45, указанное в заголовке соединение получают в виде кристаллов (309 мг, количественный выход) с применением этилового эфира производного пиразол-3-карбоновой кислоты (332 мг), полученного в ссылочном примере 50. 1H-ЯМР (400 МГц, CDCl3) МС (ESI) m/z: 364 (М+H)+. [Ссылочный пример 52] 3-Гидразинопиридин Нитрит натрия (4,28 г) в воде (20 мл) добавляют по каплям к 3-аминопиридину (5,15 г) в концентрированной хлористоводородной кислоте при внутренней температуре от 0 до 5°С на протяжении периода 30 минут с последующим перемешиванием в течение 5 минут. Реакционную смесь добавляют по каплям к дигидрату хлорида олова (II) (43,68 г) в концентрированной хлористоводородной кислоте (30 мл) при внутренней температуре 0-10°С на протяжении периода 1 часа с последующим перемешиванием в течение 0,5 часа. Образовавшееся твердое вещество собирают фильтрованием. После этого твердое вещество промывают диэтиловым эфиром и затем сушат при пониженном давлении, получая при этом указанное в заголовке соединение (16,38 г, количественный выход). 1Н-ЯМР (400 МГц, ДМСО-d6) МС (ESI) m/z: 109 (М)+. [Ссылочный пример 53] Этиловый эфир 4-метил-5-фенил-1-(3-пиридил)пиразол-3-карбоновой кислоты 1) Этиловый эфир 3-метил-4-фенил-2,4-диоксобутановой кислоты Пропиофенон (4,0 г) в диэтиловом эфире (5 мл) добавляют к 1,0 М бис(триметилсилил)амиду лития в тетрагидрофуране (30 мл) при -78°С с последующим перемешиванием в течение 30 минут. К реакционной смеси добавляют диэтилоксалат (4,35 г) в диэтиловом эфире (5 мл) с последующим перемешиванием в течение 10 минут. Образовавшуюся смесь дополнительно перемешивают при комнатной температуре в течение 16 часов. Образовавшееся твердое вещество собирают фильтрованием. После этого твердое вещество промывают диэтиловым эфиром и затем сушат, получая при этом литиевую соль этилового эфира 3-метил-4-фенил-2,4-диоксобутановой кислоты в виде твердого вещества (3,23 г, 47%). МС (FAB) m/z: 235 (М+Н)+. 2) Указанное в заголовке соединение Полученную выше литиевую соль этилового эфира 3-метил-4-фенил-2,4-диоксобутановой кислоты (1,502 г) растворяют в этаноле (30 мл). К образовавшейся смеси добавляют 1 М HCl в этаноле (8 мл) и 3-гидразинопиридин (1,977 г), полученный в ссылочном примере 52, с последующим кипячением с обратным холодильником в течение 2,5 часа. Смесь охлаждают на воздухе. Реакционную смесь подщелачивают до рН 10 водным раствором гидроксида натрия. Смесь распределяют между хлороформом и водой. Водный слой экстрагируют хлороформом. Органический слой промывают насыщенным раствором соли и затем сушат над безводным сульфатом натрия с последующим фильтрованием. Растворитель выпаривают при пониженном давлении. Остаток очищают колоночной хроматографией на силикагеле (хлороформ-ацетон), получая при этом указанное в заголовке соединение в виде маслянистого вещества (1,428 г, 34%). 1H-ЯМР (400 МГц, CDCl3) МС (FAB) m/z: 308 (М+H)+. [Ссылочный пример 54] 4-Метил-5-фенил-1-(3-пиридил)пиразол-3-карбоновая кислота Способом, аналогичным способу, описанному в ссылочном примере 45, указанное в заголовке соединение получают в виде твердого вещества (0,892 г, 69%) с применением этилового эфира производного пиразол-3-карбоновой кислоты (1,428 г), полученного в ссылочном примере 53. 1H-ЯМР (400 МГц, ДМСО-d6) LC-МС m/z: 280 (М+H)+. [Ссылочный пример 55] Этиловый эфир 4-метил-1,5-дифенилпиразол-3-карбоновой кислоты Способом, аналогичным способу, описанному в стадии 2) ссылочного примера 53, указанное в заголовке соединение получают в виде маслянистого вещества (1,897 г, 62%) с применением литиевой соли этилового эфира 3-метил-4-фенил-2,4-диоксобутановой кислоты (3,04 г), полученной в стадии 1) ссылочного примера 53, и фенилгидразона (1,671 г). 1H-ЯМР (400 МГц, CDCl3) МС (FAB) m/z: 307 (М+H)+. [Ссылочный пример 56] 4-Метил-1,5-дифенилпиразол-3-карбоновая кислота Способом, аналогичным способу, описанному в ссылочном примере 4, указанное в заголовке соединение получают в виде твердого вещества (1,38 г, 80%) с применением этилового эфира производного пиразол-3-карбоновой кислоты (1,897 г), полученного в ссылочном примере 55. 1Н-ЯМР (400 МГц, ДМСО-d6) МС (FAB) m/z: 279 (М+H)+. [Ссылочный пример 57] Суспензию фторида калия (3,091 г) и 18-краун-6-эфир (0,341 г) в ацетонитриле (25 мл) перемешивают при 55°С в течение 1 часа. К реакционной смеси добавляют 1H-ЯМР (400 МГц, CDCl3) МС (ESI) m/z: 139 (М+H)+. [Ссылочный пример 58] Этиловый эфир 4-фтор-1,5-дифенилпиразол-3-карбоновой кислоты 1) Этиловый эфир 3-фтор-4-фенил-2,4-диоксобутановой кислоты 1,0 М бис(триметилсилил)амид лития в тетрагидрофуране (13 мл) добавляют по каплям к 2) Указанное в заголовке соединение Способом, аналогичным способу, описанному в стадии 2) ссылочного примера 53, указанное в заголовке соединение получают (0,208 г, 15%) с применением полученной выше литиевой соли этилового эфира 3-фтор-4-фенил-2,4-диоксобутановой кислоты (0,753 г) и фенилгидразина (0,350 г). 1H-ЯМР (400 МГц, CDCl3) МС (FAB) m/z: 311 (М+H)+. [Ссылочный пример 59] 4-Фтор-1,5-дифенилпиразол-3-карбоновая кислота Способом, аналогичным способу, описанному в ссылочном примере 4, указанное в заголовке соединение получают в виде твердого вещества (0,169 г, 90%) с применением этилового эфира производного пиразол-3-карбоновой кислоты (0,208 г), полученного в ссылочном примере 58. 1Н-ЯМР (400 МГц, ДМСО-d6) [Ссылочный пример 60] Этиловый эфир 1,4-дигидро-1-(6-метокси-3-пиридил)индено[1,2-c]пиразол-3-карбоновой кислоты 60% Гидрид натрия (400 мг) добавляют к 1-инданону (661 мг) в N,N-диметилформамиде(10 мл) при 0°С с последующим перемешиванием при комнатной температуре в течение 0,5 часа. К реакционной смеси при 0°С добавляют диэтилоксалат (1,36 мл) с последующим перемешиванием при комнатной температуре в течение 16 часов. Реакционную смесь подкисляют 1 М водным раствором хлористоводородной кислоты (11 мл). Затем смесь распределяют между водой и этилацетатом. Органический слой последовательно промывают водой и насыщенным раствором соли и затем сушат над безводным сульфатом натрия. Смесь подвергают фильтрованию и растворитель выпаривают при пониженном давлении, получая при этом этиловый эфир 2-оксо-2-(1-оксоиндан-2-ил)уксусной кислоты в виде маслянистого вещества (1,441 г, количественный выход). К полученному выше этиловому эфиру 2-оксо-2-(1-оксоиндан-2-ил)уксусной кислоты в этаноле (25 мл) добавляют 5-гидразино-2-метоксипиридин (696 мг), полученный в ссылочном примере 2, с последующим кипячением с обратным холодильником при нагревании в течение 16 часов. Затем образовавшуюся смесь охлаждают на воздухе. Растворитель реакции выпаривают при пониженном давлении. Остаток распределяют между водой и этилацетатом. Органический слой последовательно промывают водой и насыщенным раствором соли и сушат над безводным сульфатом натрия. Смесь подвергают фильтрованию и растворитель выпаривают при пониженном давлении. Остаток очищают посредством колоночной хроматографии на силикагеле (гексан-этилацетат), получая при этом указанное в заголовке соединение в виде кристаллов (890 мг, 53%). 1H-ЯМР (400 МГц, CDCl3) МС (ESI) m/z: 336 (М+H)+. [Ссылочный пример 61] 1,4-Дигидро-1-(6-метокси-3-пиридил)индено[1,2-c]пиразол-3-карбоновая кислота Способом, аналогичным способу, описанному в ссылочном примере 45, указанное в заголовке соединение получают в виде кристаллов (791 мг, 97%) с применением этилового эфира 1,4-дигидро-1-(6-метокси-3-пиридил)индено[1,2-c]пиразол-3-карбоновой кислоты (890 мг), полученной в ссылочном примере 60. 1H-ЯМР (400 МГц, CDCl3) МС (ESI) m/z: 308 (М+H)+. [Ссылочный пример 62] Этиловый эфир 2-оксо-2-(1-оксоиндан-2-ил)уксусной кислоты Способом, аналогичным способу, описанному в стадии 1) ссылочного примера 3, указанное в заголовке соединение получают в виде кристаллов (3,39 г, 97%) с применением 1-инданона (1,982 г) и диэтилоксалата (4,07 мл). 1H-ЯМР (400 МГц, CDCl3) МС (ESI) m/z: 233 (М+H)+. [Ссылочный пример 63] Этиловый эфир 1,4-дигидро-1-(6-метил-3-пиридил)индено[1,2-c]пиразол-3-карбоновой кислоты 5-трет-Бутоксикарбониламино-2-метилпиридин (625 мг) в концентрированной хлористоводородной кислоте (3 мл) перемешивают при комнатной температуре в течение 50 минут. При охлаждении льдом к реакционной смеси на протяжении периода 10 минут по каплям добавляют хлорид натрия, нитрит натрия (228 мг) в воде (1 мл) с последующим перемешиванием в течение 10 минут. К реакционной смеси на протяжении периода 10 минут по каплям добавляют дигидрат хлорида олова (II) в концентрированной хлористоводородной кислоте (1,6 мл) с последующим перемешиванием в течение 3 часов при охлаждении льдом. К реакционной смеси добавляют этиловый эфир 2-оксо-2-(1-оксоиндан-2-ил)уксусной кислоты (696 мг), полученный в ссылочном примере 62, в этаноле (20 мл). Образовавшуюся смесь кипятят с обратным холодильником при нагревании в течение 39 часов. При охлаждении льдом реакционную смесь подщелачивают водным раствором гидроксида натрия. Затем образовавшуюся смесь распределяют между этилацетатом и водой. Органический слой последовательно промывают водой и насыщенным раствором соли и сушат над безводным сульфатом натрия. Смесь подвергают фильтрованию и растворитель выпаривают при пониженном давлении. Остаток очищают посредством колоночной хроматографии на силикагеле (хлороформ-ацетон), получая при этом указанное в заголовке соединение в виде кристаллов (340 мг, 35%). 1H-ЯМР (400 МГц, CDCl3) МС (ESI) m/z: 320 (М+H)+. [Ссылочный пример 64] 1,4-Дигидро-1-(6-метил-3-пиридил)индено[1,2-c]пиразол-3-карбоновая кислота Способом, аналогичным способу, описанному в ссылочном примере 45, указанное в заголовке соединение получают в виде твердого вещества (287 мг, 95%) с применением этилового эфира 1,4-дигидро-1-(2-метилпирид-5-ил)индено[1,2-c]пиразол-3-карбоновой кислоты (331 мг), полученного в ссылочном примере 63. 1Н-ЯМР (400 МГц, ДМСО-d6) МС (ESI) m/z: 292 (М+H)+. [Ссылочный пример 65] 5-Нитро-2-винилпиридин В атмосфере аргона трибутил(винил)олово (6,658 г) и тетракис(трифенилфосфин)палладий (0) (1,155 г) добавляют к 2-хлор-5-нитропиридину (3,171 г) и 2,6-ди-трет-бутил-п-крезолу (44 мг) в тетрагидрофуране (40 мл) с последующим кипячением с обратным холодильником при нагревании в течение 14 часов. Образовавшуюся смесь охлаждают на воздухе. Затем к реакционной смеси при комнатной температуре добавляют этилацетат и фторид натрия (2,52 г) в воде (60 мл) с последующим перемешиванием при комнатной температуре в течение 7 часов. Нерастворимое вещество, которое образуется в смеси, отфильтровывают. Для распределения органического слоя добавляют воду. Органический слой промывают насыщенным раствором соли и сушат над безводным сульфатом натрия с последующим фильтрованием. Растворитель выпаривают при пониженном давлении. Остаток очищают посредством колоночной хроматографии на силикагеле (гексан-этилацетат), получая при этом указанное в заголовке соединение в виде кристаллов (1,519 г, 50%). 1H-ЯМР (400 МГц, CDCl3) МС (ESI) m/z: 151 (М+H)+. [Ссылочный пример 66] 5-Амино-2-этилпиридин 10% палладий на угле (50% влаги, 90 мг) добавляют к 5-нитро-2-винилпиридину (450 мг) в этаноле (30 мл) с последующим перемешиванием в атмосфере водорода при комнатной температуре в течение 15 часов. Катализатор удаляют из реакционной смеси фильтрованием. Затем растворитель выпаривают при пониженном давлении, получая при этом указанное в заголовке соединение в виде маслянистого вещества (359 мг, 98%). 1H-ЯМР (400 МГц, CDCl3) МС (ESI) m/z: 123 (М+H)+. [Ссылочный пример 67] Этиловый эфир 1-(6-этил-3-пиридил)-1,4-дигидроиндено[1,2-c]пиразол-3-карбоновой кислоты Нитрит натрия (228 мг) в воде (1 мл) добавляют по каплям к 5-амино-2-этилпиридину (359 мг) в концентрированной хлористоводородной кислоте (3 мл) при охлаждении смесью льда с хлоридом натрия на протяжении периода 10 минут с последующим перемешиванием при постоянной температуре в течение 10 минут. К реакционной смеси на протяжении периода 10 минут по каплям добавляют дигидрат хлорида олова (II) (2,37 г) в концентрированной хлористоводородной кислоте (1,6 мл) с последующим перемешиванием при охлаждении льдом в течение 3 часов. К реакционной смеси добавляют этиловый эфир 2-оксо-2-(1-оксоиндан-2-ил)уксусной кислоты (696 мг), полученный в ссылочном примере 62, в этаноле (20 мл). Образовавшуюся смесь кипятят с обратным холодильником при нагревании в течение 39 часов. При охлаждении льдом реакционную смесь подщелачивают с применением водного раствора гидроксида натрия. Образовавшуюся смесь распределяют между этилацетатом и водой. Органический слой последовательно промывают водой и насыщенным раствором соли и затем сушат над безводным сульфатом натрия. Затем смесь подвергают фильтрованию. Растворитель выпаривают при пониженном давлении. Остаток очищают посредством колоночной хроматографии на силикагеле (хлороформ-ацетон), получая при этом указанное в заголовке соединение в виде кристаллов (372 мг, 37%). 1H-ЯМР (400 МГц, CDCl3) МС (ESI) m/z: 334 (М+H)+. [Ссылочный пример 68] 1-(6-Этил-3-пиридил)-1,4-дигидроиндено[1,2-c]пиразол-3-карбоновая кислота Способом, аналогичным способу, описанному в ссылочном примере 45, указанное в заголовке соединение получают в виде кристаллов (302 мг, 91%) с использованием этилового эфира 1-(6-этил-3-пиридил)-1,4-дигидроиндено[1,2-c]пиразол-3-карбоновой кислоты (360 мг), полученного в ссылочном примере 67. 1H-ЯМР (400 МГц, ДМСО-d6) МС (ESI) m/z: 306 (М+H)+. [Ссылочный пример 69] Этиловый эфир 1,4-дигидро-(2-метоксипирид-5-ил)-4-оксоиндено[1,2-c]пиразол-3-карбоновой кислоты 1,1 М бис(триметилсилил)амид лития в гексане (3 мл) в гексане (3 мл) добавляют по каплям к 1,3-индандиону (438 мг) в тетрагидрофуране (15 мл) в атмосфере аргона при -78°С на протяжении периода 10 минут с последующим перемешиванием в течение 45 минут. К реакционной смеси добавляют этилхлорглиоксилат (450 мг) в тетрагидрофуране (3 мл) с последующим перемешиванием при 0°С в течение 2 часов. Затем растворитель выпаривают при пониженном давлении. Остаток растворяют в этаноле (15 мл). К образовавшейся смеси добавляют 5-гидразино-2-метоксипиридин (417 мг), полученный в ссылочном примере 2, с последующим кипячением при нагревании в течение 14 часов. Смесь охлаждают на воздухе. Растворитель реакции выпаривают при пониженном давлении. Остаток распределяют между водой и этилацетатом. Органический слой последовательно промывают 5% водным раствором лимонной кислоты, водой, насыщенным водным раствором гидрокарбоната натрия, водой и насыщенным раствором соли. Затем органический слой сушат над безводным сульфатом натрия с последующим фильтрованием. Растворитель выпаривают при пониженном давлении. Остаток очищают посредством колоночной хроматографии на силикагеле (гексан-этилацетат), получая при этом указанное в заголовке соединение в виде маслянистого вещества (22 мг, 2%). 1H-ЯМР (400 МГц, CDCl3) МС (ESI) m/z: 350 (М+H)+. [Ссылочный пример 70] 1,4-Дигидро-1-(6-метокси-3-пиридил)-4-оксоиндено[1,2-c]пиразол-3-карбоновая кислота Способом, аналогичным способу, описанному в ссылочном примере 45, указанное в заголовке соединение получают в виде твердого вещества (16 мг, 80%) с применением этилового эфира 1,4-дигидро-(6-метокси-3-пиридил)-4-оксоиндено[1,2-c]пиразол-3-карбоновой кислоты (22 мг), полученного в ссылочном примере 69. 1H-ЯМР (400 МГц, CDCl3) МС (ESI) m/z: 322 (М+H)+. [Ссылочный пример 71] Этиловый эфир 4,5-дигидро-1-(6-метокси-3-пиридил)-1Н-бензо[g]индазол-3-карбоновой кислоты В атмосфере аргона и при охлаждении при -78°С 1,1 М бис(триметилсилил)амид лития в гексане (5 мл) добавляют по каплям к 1H-ЯМР (400 МГц, CDCl3) МС (ESI) m/z: 350 (М+H)+. [Ссылочный пример 72] 4,5-Дигидро-1-(6-метокси-3-пиридил)-1Н-бензо[g]индазол-3-карбоновая кислота Общую процедуру ссылочного примера 45 повторяют посредством использования этилового эфира 4,5-дигидро-1-(6-метокси-3-пиридил)-1Н-бензо[g]индазол-3-карбоновой кислоты (1,015 г), полученного в ссылочном примере 71, получая при этом указанное в заголовке соединение в форме кристаллов (745 мг, 79%). 1H-ЯМР (400 МГц, ДМСО-d6) МС (ESI) m/z: 322 (М+H)+. [Ссылочный пример 73] Этиловый эфир 1,4-дигидро-1-(6-метокси-3-пиридил)хромено[4,3-c]пиразол-3-карбоновой кислоты В атмосфере аргона и при охлаждении при -78°С 1,1 М бис(тиметилсилил)амид лития в гексане (3 мл) добавляют по каплям к 4-хроманону (444 мг) в тетрагидрофуране (10 мл) на протяжении периода 10 минут и образовавшуюся смесь перемешивают в течение 0,5 часа. К реакционной смеси добавляют диэтилоксалат (877 мг) в тетрагидрофуране (3 мл) с последующим перемешиванием при 0°С в течение 2 часов. Реакционную смесь подкисляют добавлением водной 1 М хлористоводородной кислоты (6 мл) с последующим распределением между водой и этилацетатом. Органический слой последовательно промывают водой и насыщенным раствором соли и затем сушат над безводным сульфатом натрия с последующим фильтрованием. Растворитель выпаривают при пониженном давлении, получая при этом этиловый эфир 2-оксо-2-(4-оксохроман-3-ил)уксусной кислоты в виде полутвердого вещества (855 мг, количественный выход). Полученный таким образом этиловый эфир растворяют в этаноле (30 мл) и к образовавшемуся раствору добавляют 5-гидразино-2-метоксипиридин (417 мг), полученный в ссылочном примере 2. Смесь кипятят с обратным холодильником при нагревании в течение 14 часов и затем охлаждают на воздухе. Растворитель реакции выпаривают при пониженном давлении и остаток распределяют между водой и этилацетатом. Органический слой последовательно промывают водой и насыщенным раствором соли и затем сушат над безводным сульфатом натрия с последующим фильтрованием. Растворитель выпаривают при пониженном давлении и затем остаток очищают посредством колоночной хроматографии на силикагеле (гексан-этилацетат). Образовавшиеся кристаллы перекристаллизовывают из смеси этилацетат-гексан, получая при этом указанное в заголовке соединение в форме кристаллов (267 мг). Растворитель в фильтрате выпаривают при пониженном давлении и затем остаток очищают тонкослойной хроматографией на силикагеле (гексан-этилацетат), получая при этом указанное в заголовке соединение (28 мг). Это соединение объединяют с полученными выше кристаллами, получая в конце концов указанное в заголовке соединение (295 мг, 27%). 1H-ЯМР (400 МГц, CDCl3) МС (ESI) m/z: 352 (М+H)+. [Ссылочный пример 74] 1,4-Дигидро-1-(6-метокси-3-пиридил)хромено[4,3-c]пиразол-3-карбоновая кислота Общую процедуру ссылочного примера 45 повторяют посредством использования этилового эфира 1,4-дигидро-1-(2-метоксипирид-5-ил)хромено[4,3-c]пиразол-3-карбоновой кислоты (265 мг), полученного в ссылочном примере 73, получая при этом указанное в заголовке соединение в форме кристаллов (226 мг, 93%). 1H-ЯМР (400 МГц, ДМСО-d6) МС (ESI) m/z: 324 (М+H)+. [Ссылочный пример 75] [1-(6-Метокси-3-пиридил)-5-фенилпиразол-3-ил]метанол В атмосфере аргона при охлаждении льдом 1,08 М комплекс боран-тетрагидрофуран в тетрагидрофуране (9,2 мл) добавляют по каплям к 1-(6-метокси-3-пиридил)-5-фенилпиразол-3-карбоновой кислоте (1,181 г), полученной в ссылочном примере 41, в тетрагидрофуране (20 мл) на протяжении периода 10 минут и образовавшуюся смесь перемешивают при комнатной температуре в течение 7 часов. К реакционной смеси добавляют воду и этилацетат с последующим перемешиванием и осажденное нерастворимое вещество удаляют фильтрованием и затем отделяют органический слой. Органический слой последовательно промывают водой и насыщенным раствором соли и затем сушат над безводным сульфатом натрия с последующим фильтрованием. Растворитель выпаривают при пониженном давлении и остаток очищают посредством колоночной хроматографии на силикагеле (гексан-этилацетат), получая при этом указанное в заголовке соединение в виде маслянистого продукта (682 мг, 60%). 1H-ЯМР (400 МГц, CDCl3) МС (ESI) m/z: 282 (М+H)+. [Ссылочный пример 76] [1-(6-Метокси-3-пиридил)-5-фенилпиразол-3-ил]метилметансульфонат [1-(6-Метокси-3-пиридил)-5-фенилпиразол-3-ил]метанол (112 мг), полученный в ссылочном примере 75, растворяют в метиленхлориде (4 мл). К раствору при комнатной температуре добавляют триэтиламин (61 мкл) и метансульфонилхлорид (34 мкл) с последующим перемешиванием в течение 15 минут. Реакционную смесь распределяют между водой и этилацетатом. Органический слой последовательно промывают водой и насыщенным раствором соли и затем сушат над безводным сульфатом натрия с последующим фильтрованием. Растворитель выпаривают при пониженном давлении, получая при этом указанное в заголовке соединение в виде маслянистого продукта (138 мг, 96%). МС (ESI) m/z: 360 (М+Н)+. [Ссылочный пример 77] трет-Бутиловый эфир 2-(2-гидроксиэтил)пиперидин-1-карбоновой кислоты 2-Пиперидинэтанол (1,292 г) и триэтиламин (1,393 мл) растворяют в метиленхлориде (40 мл). К образовавшемуся раствору при комнатной температуре добавляют ди-трет-бутилдикарбонат (2,182 г) в метиленхлориде (40 мл) с последующим перемешиванием в течение 1 часа. Остаток, полученный удалением посредством выпаривания растворителя реакции при пониженном давлении, распределяют между водой и этилацетатом. Органический слой последовательно промывают 5% водной лимонной кислотой, водой и насыщенным раствором соли и затем сушат над безводным сульфатом натрия с последующим фильтрованием. Растворитель выпаривают при пониженном давлении, получая при этом указанное в заголовке соединение в виде маслянистого продукта (2,182 г, 95%). 1H-ЯМР (400 МГц, CDCl3) [Ссылочный пример 78] 2-(N-трет-Бутоксикарбонилпиперидин-2-ил)этилметансульфонат трет-Бутиловый эфир 2-(2-гидроксиэтил)пиперидин-1-карбоновой кислоты (229 мг), полученный в ссылочном примере 77, и триэтиламин (209 мкл) растворяют в метиленхлориде (5 мл). К образовавшемуся раствору при комнатной температуре добавляют метансульфонилхлорид (116 мкл) с последующим перемешиванием в течение 30 минут. Остаток, полученный посредством выпаривания растворителя реакции при пониженном давлении, распределяют между водой и метиленхлоридом. Органический слой последовательно промывают водой и насыщенным раствором соли и затем сушат над безводным сульфатом натрия с последующим фильтрованием. Растворитель выпаривают при пониженном давлении, получая при этом указанное в заголовке соединение в форме кристаллов (288 мг, 93%). 1H-ЯМР (400 МГц, CDCl3) [Ссылочный пример 79] трет-Бутиловый эфир 2-(2-азидоэтил)пиперидин-1-карбоновой кислоты Азид натрия (325 мг) добавляют к мезилату (288 мг), полученному в ссылочном примере 78, в N,N-диметилформамиде (10 мл) и образовавшуюся смесь перемешивают при 80°С в течение 15 часов. Реакционную смесь распределяют между водой и этилацетатом. Органический слой последовательно промывают водой и насыщенным раствором соли и затем сушат над безводным сульфатом натрия с последующим фильтрованием. Растворитель выпаривают при пониженном давлении, получая при этом указанное в заголовке соединение в виде маслянистого продукта (217 мг, 91%). 1H-ЯМР (400 МГц, CDCl3) [Ссылочный пример 80] 2-(2-Азидоэтил)пиперидин Трифторуксусную кислоту (1 мл) добавляют к азидному соединению (215 мг), полученному в ссылочном примере 79, в метиленхлориде (3 мл) при комнатной температуре и образовавшуюся смесь перемешивают в течение 30 минут. Остаток, полученный посредством выпаривания растворителя реакции при пониженном давлении, распределяют с использованием насыщенного водного гидрокарбоната натрия и метиленхлорида. Водный слой экстрагируют метиленхлоридом и органические слои объединяют и затем сушат над безводным сульфатом натрия с последующим фильтрованием. Растворитель выпаривают при пониженном давлении, получая при этом указанное в заголовке соединение в виде маслянистого продукта (62 мг). Водный слой от процесса распределения насыщают хлоридом натрия и смесь экстрагируют два раза хлороформом. Органические слои объединяют и затем сушат над безводным сульфатом натрия с последующим фильтрованием. Растворитель выпаривают при пониженном давлении, получая при этом указанное в заголовке соединение в виде маслянистого продукта (39 мг). Общий выход указанного в заголовке соединения составляет 101 мг (77%). 1H-ЯМР (400 МГц, CDCl3) МС (ESI) m/z: 155 (М+H)+. [Ссылочный пример 81] 1-[1-(6-Метокси-3-пиридил)-5-фенилпиразол-3-карбонил)-2-(2-азидоэтил)пиперидин 1-(6-Метокси-3-пиридил)-5-фенилпиразол-3-карбоновую кислоту (191 мг), полученную в ссылочном примере 41, 2-(2-азидоэтил)пиперидин (100 мг), полученный в ссылочном примере 80, 1-гидроксибензотриазол (88 мг) и триэтиламин (316 мкл) растворяют в метиленхлориде (10 мл). К образовавшейся смеси при комнатной температуре добавляют гидрохлорид 1-(3-диметиламинопропил)-3-этилкарбодиимида (186 мг) с последующим перемешиванием в течение 14 часов. Остаток, полученный удалением посредством выпаривания растворителя реакции при пониженном давлении, распределяют между водой и этилацетатом. Органический слой последовательно промывают водой и насыщенным раствором соли и затем сушат над безводным сульфатом натрия с последующим фильтрованием. Остаток, полученный удалением посредством упаривания растворителя при пониженном давлении, очищают посредством тонкослойной хроматографии на силикагеле (гексан-этилацетат), получая при этом указанное в заголовке соединение в виде маслянистого продукта (227 мг, 81%). 1H-ЯМР (400 МГц, CDCl3) [в виде смеси двух изомеров] МС (ESI) m/z: 432 (М+H)+. [Ссылочный пример 82] трет-Бутиловый эфир 3-метилпиперазин-1-карбоновой кислоты 2-Метилпиперазин (3,19 г) добавляют к 2-(трет-бутилкарбонилоксиимино)-2-фенилацетонитрилу (7,87 г) в тетрагидрофуране (100 мл) при 0°С с последующим перемешиванием в течение 2 часов. Остаток, полученный удалением посредством упаривания растворителя реакции при пониженном давлении, очищают колоночной хроматографией на силикагеле (хлороформ-7 н. смесь аммиак/метанол), получая при этом указанное в заголовке соединение в виде маслянистого продукта (5,70 г, 89%). 1H-ЯМР (400 МГц, CDCl3) МС (ESI) m/z: 201 (М+H)+. [Ссылочный пример 83] трет-Бутиловый эфир 3,4-диметилпиперазин-1-карбоновой кислоты трет-Бутиловый эфир 3-метилпиперазин-1-карбоновой кислоты (5,70 г), полученный в ссылочном примере 82, растворяют в метаноле (100 мл). К образовавшемуся раствору добавляют 10% палладий на угле (0,59 г), 35% водный формалин (9,7 мл) и 1 М HCl в этаноле (31,3 мл) при комнатной температуре с последующим перемешиванием в атмосфере водорода в течение 15 часов. После продувания системы азотом нерастворимое вещество отфильтровывают и растворитель фильтрата выпаривают при пониженном давлении. К остатку добавляют смесь хлороформ-метанол (9%) и образовавшуюся смесь подщелачивают добавлением водного гидроксида натрия с последующим распределением. Водный слой экстрагируют смесью хлороформ-метанол (9%). Органические слои объединяют и промывают насыщенным раствором соли и затем сушат над безводным сульфатом натрия с последующим фильтрованием. Растворитель выпаривают при пониженном давлении и остаток очищают посредством колоночной хроматографии на силикагеле (хлороформ-метанол), получая при этом указанное в заголовке соединение в виде маслянистого продукта (3,10 г, 51%). 1H-ЯМР (400 МГц, CDCl3) МС (ESI) m/z: 215 (М+H)+. [Ссылочный пример 84] Соль трифторуксусной кислоты и 1,2-диметилпиперазина Трифторуксусную кислоту (15 мл) добавляют к трет-бутиловому эфиру 3,4-диметилпиперазин-1-карбоновой кислоты (3,10 г), полученному в ссылочном примере 83, в метиленхлориде (30 мл) при комнатной температуре с последующим перемешиванием в течение 1 часа. Остаток, полученный удалением посредством выпаривания растворителя реакции при пониженном давлении, кристаллизуют из смеси хлороформ-эфир и кристаллы выделяют фильтрованием, получая при этом указанное в заголовке соединение (2,756 г, 56%). 1Н-ЯМР (400 МГц, ДМСО-d6) МС (ESI) m/z: 115 (М+H)+. [Ссылочный пример 85] Соль трифторуксусной кислоты и 1-бензил-2-метилпиперазина 1) N-Бензилсоединение трет-Бутиловый эфир 3-метилпиперазин-1-карбоновой кислоты (0,530 г), полученный в ссылочном примере 82, растворяют в этаноле (10 мл). К образовавшемуся раствору при комнатной температуре добавляют бензальдегид (0,405 мл), уксусную кислоту (0,230 мл) и цианоборогидрид натрия (0,164 г) при комнатной температуре с последующим перемешиванием в течение 19 часов. При охлаждении при 0°С смесь распределяют с применением насыщенного водного гидрокарбоната натрия и хлороформа. Водный слой экстрагируют хлороформом. Органические слои объединяют и промывают насыщенным раствором соли и затем сушат над сульфатом натрия с последующим фильтрованием. Растворитель выпаривают при пониженном давлении и остаток очищают посредством колоночной хроматографии на силикагеле (хлороформ-ацетон), получая при этом N-бензилсоединение в виде маслянистого продукта (0,547 г, 71%). 1H-ЯМР (400 МГц, CDCl3) LC-МС m/z: 291 (М+H). 2) Указанное в заголовке соединение Трифторуксусную кислоту (1,5 мл) добавляют к полученному выше N-бензилсоединению (0,547 г) в метиленхлориде (10 мл) при комнатной температуре с последующим перемешиванием в течение 2 часов. Растворитель реакции выпаривают при пониженном давлении и к остатку добавляют толуол с последующим азеотропным выпаривание при пониженном давлении. Остаток кристаллизуют из смеси хлороформ-диэтиловый эфир и кристаллы выделяют фильтрованием и затем сушат, получая при этом указанное в заголовке соединение (0,610 г, 55%). 1Н-ЯМР (400 МГц, ДМСО-d6) МС (ESI) m/z: 191 (М+H). [Ссылочный пример 86] (4′-Бензилокси)ацетофенон Карбонат калия (6,15 г) и бензилбромид (2,75 мл) добавляют к 4′-гидроксиацетофенону (3,00 г) в N,N-диметилформамиде (60 мл) при комнатной температуре. Образовавшуюся смесь перемешивают при 80°С в течение 3 часов и затем охлаждают на воздухе. Смесь распределяют между водой и этилацетатом. Водный слой экстрагируют этилацетатом. Органические слои объединяют и промывают насыщенным раствором соли и затем сушат над безводным сульфатом натрия с последующим фильтрованием. Растворитель выпаривают при пониженном давлении, получая при этом указанное в заголовке соединение в виде твердого вещества (4,49 г, 90%). 1H-ЯМР (400 МГц, CDCl3) МС (FAB) m/z: 227 (М+H)+. [Ссылочный пример 87] трет-Бутиловый эфир 3,5-диметилпиперазин-1-карбоновой кислоты цис-2,6-Диметилпиперазин (5,08 г) добавляют к 2-(трет-бутоксикарбонилимино)-2-фенилацетонитрилу (11,35 г) в тетрагидрофуране (150 мл) при 0°С с последующим перемешиванием в течение 2 часов. Растворитель реакции выпаривают при пониженном давлении. Остаток очищают посредством колоночной хроматографии на силикагеле (хлороформ-7 н смесь аммиак/метанол), получая при этом указанное в заголовке соединение (15,36 г, 72%). 1H-ЯМР (400 МГц, CDCl3) МС (ESI) m/z: 214 (М+H)+. [Ссылочный пример 88] трет-Бутиловый эфир 3,4,5-триметилпиперазин-1-карбоновой кислоты трет-Бутиловый эфир 3,5-диметилпиперазин-1-карбоновой кислоты (3,31г), полученный в ссылочном примере 87, растворяют в метаноле (50 мл). К образовавшемуся раствору при комнатной температуре добавляют 10% палладий на угле (0,504 г), 35% водный формалин (1,85 мл) и 1 М HCl в этаноле (15,4 мл) и смесь перемешивают в атмосфере водорода в течение 19 часов. К смеси добавляют 10% палладий на угле (0,95 г), 35% водный формалин (1,8 мл) и 1 М HCl-этанол (15 мл) с последующим перемешиванием в атмосфере водорода в течение 23 часов. После продувания системы азотом образовавшуюся смесь нейтрализуют посредством добавления водного гидроксида натрия и нерастворимый материал удаляют фильтрованием. Фильтрат сушат досуха при пониженном давлении. Остаток очищают колоночной хроматографией на силикагеле (хлороформ-7 н. аммиак/метанол), получая при этом указанное в заголовке соединение в виде маслянистого продукта (2,28 г, 65%). 1H-ЯМР (400 МГц, CDCl3) МС (FAB) m/z: 229 (М+H)+. [Ссылочный пример 89] Соль трифторуксусной кислоты и 1,2,6-триметилпиперазина Общую процедуру ссылочного примера 84 повторяют с использованием трет-бутилового эфира 3,4,5-тиметилпиперазин-1-карбоновой кислоты (2,28 г), полученного в ссылочном примере 88, получая при этом указанное в заголовке соединение в виде твердого вещества (3,579 г, количественный выход). 1H-ЯМР (400 МГц, ДМСО-d6) МС (ESI) m/z: 128 (М+H)+. [Ссылочный пример 90] трет-Бутиловый эфир 4-метил-3-оксопиперазин-1-карбоновой кислоты 1) трет-Бутиловый эфир 3-оксопиперазин-1-карбоновой кислоты Триэтиламин (3,9 мл) и ди-трет-бутилдикарбонат (6,31 г) добавляют к 2-оксопиперазину (2,61 г) в смеси тетрагидрофурана (40 мл) и метанола (50 мл) при комнатной температуре с последующим перемешиванием в течение 3 часов. Растворитель выпаривают при пониженном давлении. К остатку добавляют диэтиловый эфир и осажденное твердое вещество выделяют фильтрованием, получая при этом трет-бутиловый эфир 3-оксопиперазин-1-карбоновой кислоты (4,54 г, 87%). 1H-ЯМР (400 МГц, ДМСО-d6) LC-МС m/z: 201 (М+H)+. 2) Указанное в заголовке соединение К трет-бутиловому эфиру 3-оксопиперазин-1-карбоновой кислоты (0,303 г) в N,N-диметилформамиде (12 мл) добавляют гидрид натрия (промытый пентаном и высушенный, 44,3 мг) при 0°С с последующим перемешиванием в течение 10 минут. К реакционной смеси добавляют метилиодид (0,141 мл) и образовавшуюся смесь перемешивают при комнатной температуре в течение 20 часов. Реакционную смесь распределяют между водой и этилацетатом. Водный слой экстрагируют этилацетатом. Органические слои объединяют и промывают насыщенным раствором соли и затем сушат над безводным сульфатом натрия с последующим фильтрованием. Растворитель выпаривают при пониженном давлении, получая при этом указанное в заголовке соединение в виде маслянистого продукта (0,308 г, 95%). 1H-ЯМР (400 МГц, CDCl3) МС (FAB) m/z: 215 (М+H)+. [Ссылочный пример 91] Соль 1-метилпиперазин-2-она с трифторуксусной кислотой Общую процедуру ссылочного примера 84 повторяют с применением трет-бутилового эфира 3-оксопиперазин-1-карбоновой кислоты (0,308 г), полученного в ссылочном примере 90, получая при этом указанное в заголовке соединение (0,485 г, количественный выход). 1H-ЯМР (400 МГц, CDCl3-CD3OD (15:1)) МС (EI) m/z: 114 (М)+. [Ссылочный пример 92] трет-Бутиловый эфир 2-(2-диметиламиноэтил)пиперидин-1-карбоновой кислоты При охлаждении льдом 2 М диметиламин в метаноле (5 мл) добавляют к метансульфонату (292 мг), полученному в ссылочном примере 78, в метаноле (5 мл) и образовавшуюся смесь перемешивают при комнатной температуре в течение 87 часов. Растворитель выпаривают при пониженном давлении и остаток распределяют между водой и хлороформом. Водный слой экстрагируют хлороформом. Органические слои объединяют и сушат над безводным сульфатом натрия с последующим фильтрованием. Растворитель выпаривают при пониженном давлении, получая при этом указанное в заголовке соединение в виде маслянистого продукта (172 мг, 70%). МС (ESI) m/z: 257 (М+H)+. [Ссылочный пример 93] Этиловый эфир 2-(пиперидин-2-ил)уксусной кислоты
Оксид платины (IV) (15 мг) добавляют к смеси этилового эфира 2-(2-пиридил)уксусной кислоты (1,652 г) в воде (1,25 мл) и концентрированной хлористоводородной кислоты (1,25 мл) в метаноле (15 мл) и образовавшуюся смесь перемешивают в атмосфере водорода при комнатной температуре в течение 15 часов. Катализатор отфильтровывают. Растворитель выпаривают при пониженном давлении и к остатку добавляют этанол и затем растворитель смеси выпаривают снова при пониженном давлении. К остатку добавляют небольшое количество воды, диэтиловый эфир (приблизительно 100 мл) и избыточное количество карбоната калия и образовавшуюся смесь перемешивают с последующим фильтрование. Растворитель фильтрата выпаривают при пониженном давлении, получая при этом указанное в заголовке соединение в виде маслянистого продукта (1,322 г, 77%). 1H-ЯМР (400 МГц, CDCl3) МС (ESI) m/z: 172 (М+H)+. [Ссылочный пример 94] трет-Бутиловый эфир 1-изопропилпиперазин-4-карбоновой кислоты Ацетон (1,47 мл) и 10% палладий на угле (50% влаги, 186 мг) добавляют к трет-бутиловому эфиру пиперазин-1-карбоновой кислоты (1,862 г) в метаноле (20 мл) и образовавшуюся смесь перемешивают в атмосфере водорода при комнатной температуре в течение 10 часов. К смеси добавляют ацетон (1,47 мл) и смесь перемешивают в атмосфере водорода при комнатной температуре в течение 36 часов. Катализатор отфильтровывают. Растворитель выпаривают при пониженном давлении, получая при этом указанное в заголовке соединение в виде маслянистого продукта (2,253 г, 98%). 1H-ЯМР (400 МГц, CDCl3) МС (ESI) m/z: 229 (М+H)+. [Ссылочный пример 95] Гидрохлорид 1-изопропилпиперазина 1 М HCl в этаноле (40 мл) добавляют к трет-бутиловому эфиру 1-изопропилпиперазин-4-карбоновой кислоты (2,253 г), полученному в ссылочном примере 94, и образовавшуюся смесь перемешивают при комнатной температуре в течение 17 часов и затем кипятят с обратным холодильником при нагревании в течение 1 часа. Растворитель выпаривают при пониженном давлении. К остатку добавляют этанол и нерастворимо твердое вещество выделяют фильтрованием, получая при этом указанное в заголовке соединение (824 мг, 41%). 1H-ЯМР (400 МГц, ДМСО-d6) МС (ESI) m/z: 129 (М+H)+. [Ссылочный пример 96] трет-Бутиловый эфир 1-(2-метоксиэтил)пиперазин-4-карбоновой кислоты 2-Бромэтилметиловый простой эфир (0,94 мл) добавляют по каплям к суспензии трет-бутилового эфира пиперазин-4-карбоновой кислоты (1,87 г) и карбоната калия (1,38 г) в N,N-диметилформамиде (20 мл) при комнатной температуре и образовавшуюся смесь перемешивают при 60°С в течение 24 часов. Реакционную смесь распределяют с использованием смеси лед-вода и этилацетата. Органический слой последовательно промывают водой и насыщенным раствором соли и затем сушат над безводным сульфатом магния с последующим фильтрованием. Растворитель выпаривают при пониженном давлении. Остаток очищают посредством колоночной хроматографии на силикагеле (хлороформ-метанол), получая при этом указанное в заголовке соединение в виде маслянистого продукта (1,39 г, 57%). 1H-ЯМР (400 МГц, CDCl3) МС (ESI) m/z: 245 (М+H)+. [Ссылочный пример 97] Гидрохлорид 1-(2-метоксиэтил)пиперазина трет-Бутиловый эфир 1-(2-метоксиэтил)пиперазин-4-карбоновой кислоты (1,39 г), полученный в ссылочном примере 96, растворяют в смеси 4 н. HCl-диоксан (20 мл). Образовавшийся раствор перемешивают при комнатной температуре в течение 3 часов. Растворитель реакционной смеси выпаривают при пониженном давлении и к остатку добавляют этанол и затем растворитель образовавшейся смеси выпаривают. К остатку добавляют этанол и эфир и осажденное твердое вещество выделяют фильтрованием, получая при этом указанное в заголовке соединение (900 мг, 74%). 1H-ЯМР (400 МГц, ДМСО-d6) LC-МС m/z: 145 (М+H)+. [Ссылочный пример 98] трет-Бутиловый эфир 1-циклопропилпиперазин-4-карбоновой кислоты трет-Бутиловый эфир пиперазин-1-карбоновой кислоты (1,87 г), [(1-этоксициклопропил)окси]триметилсилан (8,05 мл) и уксусную кислоту (5,72 г) растворяют в метаноле (60 мл). К образовавшемуся раствору добавляют цианоборогидрид натрия (1,89 г) при комнатной температуре с последующим перемешиванием в течение 5 дней. К остатку, полученному удалением посредством выпаривания растворителя реакции при пониженном давлении, добавляют диэтиловый эфир и нерастворимое вещество отфильтровывают. Фильтрат распределяют добавлением к нему водного 1 н. гидроксида натрия. Органический слой промывают насыщенным раствором соли и затем сушат над безводным сульфатом магния с последующим фильтрованием. Растворитель выпаривают при пониженном давлении. Остаток очищают посредством колоночной хроматографии на силикагеле(гексан-этилацетат), получая при этом указанное в заголовке соединение в виде твердого вещества (1,62 г, 71%). 1H-ЯМР (400 МГц, CDCl3) МС (ESI) m/z: 2 68 (М+MeCN)+. [Ссылочный пример 99] Гидрохлорид 1-циклопропилпиперазина Общую процедуру ссылочного примера 97 повторяют с применением трет-бутилового эфира 1-циклопропилпиперазин-4-карбоновой кислоты (1,61 г, 7,11 ммоль), полученного в ссылочном примере 98, получая при этом указанное в заголовке соединение в виде твердого вещества (1,30 г, 93%). 1H-ЯМР (400 МГц, ДМСО-d6) LC-МС m/z: 127 (М+H). [Ссылочный пример 100] 1-Бензгидрилазетидин-3-он При охлаждении льдом пиридинсульфоновую кислоту (19,7 г) в диметилсульфоксиде (84 мл) добавляют по каплям к 1-бензгидрилазетидин-3-олу (4,79 г) в триэтиламине (27,9 мл) и образовавшуюся смесь перемешивают при 50°С в течение 40 минут. Реакционную смесь распределяют между смесью лед-вода и этилацетатом. Органический слой промывают насыщенным раствором соли и затем сушат над безводным сульфатом магния с последующим фильтрованием. Растворитель выпаривают при пониженном давлении. Остаток очищают посредством колоночной хроматографии на силикагеле (гексан-этилацетат), получая при этом указанное в заголовке соединение в виде твердого вещества (2,85 г, 60%). 1H-ЯМР (400 МГц, CDCl3) [Ссылочный пример 101] (1-Бензгидрилазетидин-3-ил)диметиламин 5% палладий на угле (1,5 г) добавляют к 1-бензгидрилазетидин-3-ону (1,50 г), полученному в ссылочном примере 100, и 40% водному диметиламину (4 мл) в метаноле (30 мл). Образовавшуюся смесь подвергают каталитическому восстановлению в атмосфере водорода на протяжении ночи. Катализатор отфильтровывают и затем растворитель фильтрата выпаривают при пониженном давлении. Остаток очищают посредством колоночной хроматографии на силикагеле (хлороформ-метанол), получая при этом указанное в заголовке соединение в виде твердого вещества (1,55 г, 92%). 1H-ЯМР (400 МГц, CDCl3) МС (ESI) m/z: 267 (М+H)+. [Ссылочный пример 102] Гидрохлорид азетидин-3-илдиметиламина
20% гидроксид палладия на угле (533 мг) добавляют к (1-бензгидрилазетидин-3-ил)диметиламину (533 мл), полученному в ссылочном примере 101, в этаноле (15 мл) и образовавшуюся смесь подвергают каталитическому восстановлению в атмосфере водорода в течение 18 часов. Катализатор отфильтровывают и затем к фильтрату добавляют смесь 1 н. HCl-этанол (4 мл). Растворитель выпаривают при пониженном давлении. К остатку добавляют эфир и осажденное твердое вещество выделяют фильтрованием, получая при этом указанное в заголовке соединение (300 мг, 87%). 1H-ЯМР (400 МГц, ДМСО-d6) LC-МС m/z: 101 (М+H)+. [Ссылочный пример 103] (1-Бензгидрилазетидин-3-ил)метансульфонат При охлаждении льдом метансульфонилхлорид (0,68 мл) добавляют по каплям к 1-бензгидрилазетидин-3-олу (1,50 г) в пиридине (12 мл) с последующим перемешиванием при комнатной температуре на протяжении ночи. К реакционной смеси добавляют смесь лед-вода и осажденный материал выделяют фильтрованием, получая при этом указанное в заголовке соединение (890 мг, 45%). ЖХ-МС m/z: 318 (М+Н)+. [Ссылочный пример 104] 3-Азидо-1-бензгидрилазетидин Метансульфонат (890 мг), полученный в ссылочном примере 103, растворяют в смеси N,N-диметилформамида (17,8 мл) и воды (1,8 мл). К образовавшемуся раствору добавляют азид натрия (237 мг) с последующим перемешиванием при 70°С в течение 3 часов. Реакционную смесь распределяют между водой и этилацетатом. Органический слой последовательно промывают водой и насыщенным раствором соли и затем сушат над безводным сульфатом магния с последующим фильтрованием. Растворитель выпаривают при пониженном давлении. Остаток очищают посредством колоночной хроматографии на силикагеле (гексан-этилацетат), получая при этом указанное в заголовке соединение в виде маслянистого продукта (635 мг, 86%). 1H-ЯМР (400 МГц, CDCl3) LC-МС m/z: 265 (М+H)+. [Ссылочный пример 105] 3-Амино-1-бензгидрилазетидин 5% палладий на угле (200 мг) добавляют к 3-азидо-1-бензгидрилазетидину (630 мг), полученному в ссылочном примере 104, в этилацетате (12 мл). Образовавшуюся смесь подвергают каталитическому восстановлению в атмосфере водорода в течение 15 часов. Катализатор отфильтровывают. Растворитель выпаривают при пониженном давлении. Остаток очищают посредством колоночной хроматографии на силикагеле (хлороформ-метанол), получая при этом указанное в заголовке соединение в виде твердого вещества (410 мг, 65%). 1H-ЯМР (400 МГц, CDCl3) LC-МС m/z: 239 (М+H)+. [Ссылочный пример 106] 1-Бензгидрил-3-метоксиазетидин При охлаждении льдом 1-бензгидрилазетидин-3-ол (718 мг) в тетрагидрофуране (8 мл) добавляют по каплям к суспензии 60% гидрида натрия (144 мг) в N,N-диметилформамиде (8 мл) и образовавшуюся смесь перемешивают в течение 20 минут. К реакционной смеси добавляют метилиодид (0,23 мл) с последующим перемешиванием ее при комнатной температуре на протяжении ночи. Реакционную смесь распределяют между холодным насыщенным водным хлоридом аммония и этилацетатом. Органический слой промывают насыщенным раствором соли и затем сушат над безводным сульфатом магния с последующим фильтрованием. Растворитель выпаривают при пониженном давлении. Остаток очищают посредством колоночной хроматографии на силикагеле (гексан-этилацетат), получая при этом указанное в заголовке соединение в виде маслянистого продукта (680 мг, 90%). 1H-ЯМР (400 МГц, CDCl3) LC-МС m/z: 254 (М+H)+. [Ссылочный пример 107] Гидрохлорид 3-метоксиазетидина Общую процедуру ссылочного примера 102 повторяют с применением 1-бензгидрил-3-метоксиазетидина (680 мг), полученного в ссылочном примере 106, получая при этом указанное в заголовке соединение в виде твердого вещества (287 мг, 87%). 1H-ЯМР (400 МГц, ДМСО-d6) [Ссылочный пример 108] Гидрохлорид 3-гидроксиазетидина Общую процедуру ссылочного примера 102 повторяют с применением 1-бензгидрилазетидин-3-ола (500 мг), получая при этом указанное в заголовке соединение в виде твердого вещества (190 мг, 83%). 1H-ЯМР (400 МГц, ДМСО-d6) [Ссылочный пример 109] трет-Бутиловый эфир 1-циклобутилпиперазин-4-карбоновой кислоты трет-Бутиловый эфир пиперазин-4-карбоновой кислоты (3,74 г), циклобутанон (3,00 мл) и уксусную кислоту (1,15 мл) растворяют в метаноле (100 мл). К образовавшемуся раствору при комнатной температуре добавляют цианоборогидрид натрия (1,89 г) с последующим перемешиванием в течение 3 часов. Растворитель выпаривают при пониженном давлении и остаток распределяют с применением этилацетата и насыщенного водного гидрокарбоната натрия. Органический слой промывают насыщенным раствором соли и затем сушат над безводным сульфатом магния с последующим фильтрованием. Растворитель выпаривают при пониженном давлении. Остаток очищают посредством колоночной хроматографии на силикагеле (хлороформ-метанол), получая при этом указанное в заголовке соединение в виде маслянистого продукта (4,43 г, 92%). 1H-ЯМР (400 МГц, CDCl3) [Ссылочный пример 110] Гидрохлорид 4-циклобутилпиперазина Общую процедуру ссылочного примера 97 повторяют с применением трет-бутилового эфира 1-циклобутилпиперазин-4-карбоновой кислоты (4,40 г), полученного в ссылочном примере 109, получая при этом указанное в заголовке соединение в виде твердого вещества (3,24 г, 83%). 1H-ЯМР (400 МГц, ДМСО-d6) LC-МС m/z: 141 (М+H)+. [Ссылочный пример 111] (1-Бензгидрилазетидин-3-ил)-N,N-диметилметиламин 3-Бензгидрилазетидин-3-карбонитрил (880 мг) в тетрагидрофуране (10 мл) добавляют по каплям к суспензии литийалюминийгидрида (134 мг) в тетрагидрофуране (20 мл) при 0°С и образовавшуюся смесь кипятят с обратным холодильником при нагревании в течение 40 минут. При охлаждении при 0°С к реакционной смеси добавляют по каплям воду (134 мкл) и 15% водный гидроксид натрия (134 мкл) и затем добавляют воду (387 мкл) с последующим перемешиванием в течение 20 минут. Реакционную смесь фильтруют и фильтрат распределяют между водой и этилацетатом. Водный слой экстрагируют этилацетатом. Органические слои объединяют и промывают дважды насыщенным раствором соли и затем сушат над безводным сульфатом натрия с последующим фильтрованием. Растворитель выпаривают при пониженном давлении. К остатку добавляют метанол (20 мл). К смеси при комнатной температуре добавляют цианоборогидрид натрия (1,11 г) и 37% водный формальдегид (1,48 ил) с последующим перемешиванием в течение 24 часов. Растворитель выпаривают при пониженном давлении и остаток распределяют между водой и хлороформом. Органический слой экстрагируют хлороформом. Органические слои объединяют и последовательно промывают насыщенным водным гидрокарбонатом натрия и насыщенным раствором соли и затем сушат над безводным сульфатом натрия с последующим фильтрованием. Растворитель выпаривают при пониженном давлении и остаток очищают посредством колоночной хроматографии на силикагеле (хлороформ-метанол), получая при этом указанное в заголовке соединение в виде маслянистого продукта (161 мг, 16%). 1H-ЯМР (400 МГц, CDCl3) LC-МС m/z: 281 (М+H)+. [Ссылочный пример 112] Гидрохлорид 3-диметиламинометилазетидина Общую процедуру ссылочного примера 102 повторяют с применением (1-бензгидрилазетидин-3-ил)-N,N-диметилметиламина (160 мг), полученного в ссылочном примере 111, получая при этом указанное в заголовке соединение в виде твердого вещества (47 мг, 44%). 1H-ЯМР (400 МГц, ДМСО-d6) [Ссылочный пример 113] 4-Хлорпиридин-2-карбонитрил Общую процедуру ссылочного примера 15 повторяют с применением N-оксида 4-хлорпиридина (6 г) и триметилсилилцианида (17,5 мл), получая при этом указанное в заголовке соединение в виде твердого вещества (5,89 г, 92%). 1H-ЯМР (400 МГц, CDCl3) МС (EI) m/z: 138 (М+). [Ссылочный пример 114] 4-Метилтиопиридин-2-карбонитрил Тиометоксид натрия (1,01 г) добавляют к 4-хлорпиридин-2-карбонитрилу (2,00 г), полученному в ссылочном примере 113, в N,N-диметилформамиде (20 мл) при 0°С с последующим перемешиванием в течение 2 часов. Реакционную смесь распределяют между водой и этилацетатом. Органический слой сушат над безводным сульфатом натрия с последующим фильтрованием. Растворитель выпаривают при пониженном давлении. Остаток очищают колоночной хроматографией на силикагеле (гексан-этилацетат), получая при этом указанное в заголовке соединение в виде твердого вещества (1,96 г, 90%). 1H-ЯМР (400 МГц, CDCl3) МС (EI) m/z: 150 (М+). [Ссылочный пример 115] 1-(4-Метилтио-2-пиридил)этанон Общую процедуру ссылочного примера 16 повторяют с применением 4-метилтиопиридин-2-карбонитрила (1,94 г), полученного в ссылочном примере 114, получая при этом указанное в заголовке соединение в виде твердого вещества (1,77 г, 82%). 1H-ЯМР (400 МГц, CDCl3) МС (EI) m/z: 167 (М+). [Ссылочный пример 116] Этиловый эфир 4-(4-метилтио-2-пиридил)-2,4-диоксобутановой кислоты Общую процедуру ссылочного примера 17 повторяют с применением 1-(4-метилтио-2-пиридил)этанона (1,76 г) и диэтилоксалата (2,86 мл), получая при этом указанное в заголовке соединение в виде твердого вещества (1,64 г, 58%). 1H-ЯМР (400 МГц, CDCl3) МС (EI) m/z: 267 (М+). [Ссылочный пример 117] Этиловый эфир 1-(6-метокси-3-пиридил)-5-(4-метилтио-2-пиридил)пиразол-3-карбоновой кислоты Общую процедуру ссылочного примера 3-2) повторяют с применением этилового эфира 4-(4-метилтио-2-пиридил)-2,4-диоксобутановой кислоты (1,62 г) и 5-гидразино-2-метоксипиридина (0,843 г), полученного в ссылочном примере 2, получая при этом указанное в заголовке соединение в виде твердого вещества (0,366 г, 16%). 1H-ЯМР (400 МГц, CDCl3) МС (FAB) m/z: 371 (М+H)+. [Ссылочный пример 118] 1-(6-Метокси-3-пиридил)-5-(4-метилтио-2-пиридил)пиразол-3-карбоновая кислота Общую процедуру ссылочного примера 19 повторяют с применением этилового эфира 1-(6-метокси-3-пиридил)-5-(4-метилтио-2-пиридил)пиразол-3-карбоновой кислоты (0,326 г), получая при этом указанное в заголовке соединение в виде твердого вещества (0,312 г, количественный выход). 1H-ЯМР (400 МГц, CDCl3) МС (FAB) m/z: 343 (М+H)+. [Ссылочный пример 119] 1-Бензилгексагидро-1Н-1,4-диазепин-5-он Концентрированную серную кислоту (25 мл) добавляют к 1-бензил-4-пиперидону (10,14 г) в уксусной кислоте (50 мл) при комнатной температуре и к смеси добавляют при 0°С на протяжении периода 2 часов азид натрия (3,880 г) с последующим перемешиванием при 5°С в течение 25 часов. Реакционную смесь подщелачивают посредством добавления водного гидроксида натрия с последующим распределением с применением хлороформа. Водный слой экстрагируют хлороформом. Органические слои объединяют и промывают насыщенным раствором соли и затем сушат над безводным сульфатом натрия с последующим фильтрованием. Растворитель выпаривают при пониженном давлении и затем остаток очищают посредством колоночной хроматографии на силикагеле (хлороформ-метанол), получая при этом указанное в заголовке соединение в виде твердого вещества (5,081 г, 47%). 1H-ЯМР (400 МГц, CDCl3) МС (ESI) m/z: 205 (М+H)+. [Ссылочный пример 120] Гидрохлорид гексагидро-1Н-1,4-диазепин-5-она 1 М HCl в этаноле (7,2 мл) и 10% палладий на угле (0,34 г) добавляют к 1-бензилгексагидро-1Н-1,4-диазепин-5-ону (1,490 г) в метаноле (10 мл) при комнатной температуре и образовавшуюся смесь перемешивают в атмосфере водорода в течение 4 часов. После продувания атмосферы реакции азотом нерастворимое вещество удаляют фильтрованием. Растворитель фильтрата выпаривают при пониженном давлении и к остатку добавляют диэтиловый эфир и затем осажденное твердое вещество выделяют фильтрованием, получая при этом указанное в заголовке соединение (1,045 г, 96%). 1Н-ЯМР (400 МГц, CD3OD) МС (ESI) m/z: 115 (М+H)+. [Ссылочный пример 121] Гидрохлорид (2,2-диметилазетидин-3-ил)диметиламина 1)3-Бром-3-метилбутан-2-он При облучении лампой температурного свечения 250 Вт к хлориду калия (2,1 г) и 3-метилбутан-2-ону (30 мл) в воде (20 мл) при 60°С добавляют 3 капли брома. После обесцвечивания смеси при облучении лампой температурного свечения 100 Вт к смеси при 40-45°С в течение периода 1 час по каплям добавляют бром (7,6 мл). Образовавшуюся смесь перемешивают при 40°С в течение 2 часов и затем охлаждают на воздухе. Реакционную смесь распределяют между водой и этилацетатом. Органический слой последовательно промывают водой, насыщенным водным бикарбонатом натрия и насыщенным раствором соли и затем сушат над безводным хлоридом кальция с последующим фильтрованием. Растворитель выпаривают при пониженном давлении и остаток перегоняют (точка кипения: 120-130°С), получая при этом 3-бром-3-метилбутан-2-он в виде маслянистого продукта (5,88 г, 13%). 1H-ЯМР (400 МГц, CDCl3) 2) 3-(Бензгидриламино)-3-метилбутан-2-он К полученному выше 3-бром-3-метилбутан-2-ону (5,88 г) в метаноле (30 мл) добавляют бензгидриламин (5,0 мл) и триэтиламин (7,5 мл). Образовавшуюся смесь перемешивают при 70°С в течение 24 часов и затем охлаждают на воздухе. Реакционную смесь распределяют между водой и этилацетатом. Органический слой последовательно промывают насыщенным водным гидрокарбонатом натрия и насыщенным раствором соли и затем сушат над безводным сульфатом магния с последующим фильтрованием. Растворитель выпаривают при пониженном давлении и к твердому веществу добавляют диэтиловый эфир и затем нерастворимое вещество удаляют фильтрованием. Маточный раствор перегоняют досуха при пониженном давлении. Остаток очищают колоночной хроматографией на силикагеле (гексан-этилацетат), получая при этом 3-(бензгидриламино)-3-метилбутан-2-он в виде маслянистого продукта (3,3 г, 34%). 1H-ЯМР (400 МГц, CDCl3) LC-МС m/z: 268 (М+H)+. 3) 1-Бензгидрил-2,2-диметилазетидин-3-он 3-(Бензгидриламино)-3-метилбутан-2-он (6,5 г) в уксусной кислоте (20 мл) продувают до насыщения газообразным HCl и к смеси по каплям добавляют бром (1,25 мл) с последующим перемешиванием смеси в течение 3 часов. К реакционной смеси добавляют 20% водный гидроксид натрия и тем самым рН смеси регулируют до 14 или выше с последующим распределением смеси с применением тетрахлорида углерода. Органический слой промывают водой. Растворитель выпаривают при пониженном давлении и к остатку добавляют N,N-диметилформамид (30 мл) и насыщенный водный гидрокарбонат натрия (7 мл) с последующим перемешиванием в течение 3 минут. Реакционную смесь распределяют между водой и тетрахлоридом углерода. Органический слой промывают дважды насыщенным раствором соли и затем сушат над безводным сульфатом магния с последующим фильтрованием. Растворитель выпаривают при пониженном давлении и остаток очищают посредством колоночной хроматографии на силикагеле, получая при этом 1-бензгидрил-2,2-диметилазетидин-3-он в виде твердого вещества (754 мг, 12%). 1H-ЯМР (400 МГц, CDCl3) 4) Указанное в заголовке соединение К суспензии 1-бензгидрил-2,2-диметилазетидин-3-она (265 мг) в метаноле (4 мл) добавляют 2 М диметиламин в тетрагидрофуране (3 мл) и 10% палладий на угле (50% влаги, 250 мг) и образовавшуюся смесь перемешивают в атмосфере водорода при комнатной температуре в течение 20 часов. Реакционную смесь фильтруют. Растворитель выпаривают при пониженном давлении и к остатку добавляют этанол (4 мл) и к смеси добавляют 20% гидроксид палладия (50% влаги, 265 мг) с последующим перемешиванием в атмосфере водорода при комнатной температуре в течение 22 часов. Реакционную смесь фильтруют и к фильтрату добавляют 1 н. HCl в этаноле (2,2 мл) с последующим перемешиванием в течение 10 минут. Растворитель реакционной смеси выпаривают при пониженном давлении и остаток отверждают из смеси диэтиловый эфир-этилацетат и полученное таким образом твердое вещество выделяют фильтрованием, получая при этом указанное в заголовке соединение (60 мг, 30%). 1Н-ЯМР (400 МГц, ДМСО-d6) LC-МС m/z: 129 (М+H)+. [Ссылочный пример 122] Гидрохлорид 4,7-диазаспиро[2,5]октана 1,04 М комплекс боран-тетрагидрофуран в тетрагидрофуране (24,7 мл) добавляют по каплям к 4,7-диазаспиро[2,5]октан-5,8-диону (1,2 г) в тетрагидрофуране (30 мл) при 0°С на протяжении периода 30 минут и образовавшуюся смесь кипятят с обратным холодильником при нагревании в течение 13 часов. К реакционной смеси при 0°С добавляют метанол (4 мл) и раствор 4 н. HCl-диоксан (8 мл) и смесь кипятят с обратным холодильником при нагревании в течение 1 часа и затем охлаждают на воздухе. Осажденное твердое вещество выделяют фильтрованием и промывают тетрагидрофураном, получая при этом смесь продуктов, содержащую указанное в заголовке соединение (1,86 г). К полученной таким образом смеси продуктов (1,4 г) в воде (25 мл) добавляют триэтиламин (3,16 мл) и к реакционной смеси добавляют N-карбобензоксисукцинимид (4,7 г) в ацетонитриле (15 мл) с последующим перемешиванием при комнатной температуре в течение 24 часов. Реакционную смесь распределяют между водой и этилацетатом. Водный слой экстрагируют этилацетатом. Органические слои объединяют и последовательно промывают насыщенным водным гидрокарбонатом натрия и насыщенным раствором соли и затем сушат над безводным сульфатом магния с последующим фильтрованием. Растворитель выпаривают при пониженном давлении и остаток очищают колоночной хроматографией на силикагеле (гексан-этилацетат), получая при этом N-бензилоксикарбонилсоедиение в виде маслянистого продукта (1,4 г). 10% палладий на угле (50% влаги, 100 мг) добавляют к полученному таким образом маслянистому продукту (1,4 г) в этаноле (10 мл) и образовавшуюся смесь перемешивают в атмосфере водорода при комнатной температуре в течение 1,5 часа. Реакционную смесь фильтруют и к фильтрату при 0°С добавляют 1 н. HCl в этаноле (5,78 мл) с последующим перемешиванием в течение 1 часа. Растворитель реакционной смеси выпаривают при пониженном давлении и остаток отверждают из этанола и этилацетата и полученное таким образом твердое вещество выделяют фильтрованием, получая при этом указанное в заголовке соединение (315 мг, 26%). 1Н-ЯМР (400 МГц, ДМСО-d6) LC-МС m/z: 113 (М+H)+. [Ссылочный пример 123] 1-(6-Хлор-3-пиридил)-5-фенилпиразол-3-карбоновая кислота 1) Этиловый эфир 4-фенил-2,4-диоксобутановой кислоты 60% гидрид натрия (1,50 г) промывают гексаном и суспендируют в тетрагидрофуране (60 мл). При перемешивании при комнатной температуре к реакционной смеси добавляют ацетофенон (4,20 г) и затем к смеси добавляют диэтилоксалат (5,0 мл). К смеси добавляют N,N-диметилформамид (50 мл) и образовавшуюся смесь перемешивают в атмосфере при 60°С в течение 3 часов и затем охлаждают на воздухе. Реакционную смесь подкисляют водной 1 н. хлористоводородной кислотой с последующим распределением между водой и этилацетатом. Органический слой последовательно промывают водой и насыщенным раствором соли и затем сушат над безводным сульфатом магния с последующим фильтрованием. Растворитель выпаривают при пониженном давлении, получая при этом этиловый эфир 4-фенил-2,4-диоксобутановой кислоты в виде маслянистого продукта. 2) 5-(2-Хлорпиридил)гидразин При охлаждении льдом к 5-амино-2-хлорпиридину (5,22 г) добавляют концентрированную хлористоводородную кислоту (40 мл) с последующим перемешиванием. Смесь перемешивают при поддержании температуры ниже 5°С и к ней по каплям добавляют нитрит натрия (3,20 г) в воде (20 мл). Образовавшуюся смесь перемешивают при охлаждении льдом в течение 1 часа, получая при этом смесь диазосоединения. Дигидрат хлорида олова (II) (40 г) растворяют в концентрированной хлористоводородной кислоте (25 мл) и образовавшийся раствор перемешивают при охлаждении льдом. Смесь перемешивают при поддержании температуры ниже 10°С, к образовавшемуся раствору, поддерживаемому при 10°С или ниже, в течение 1 часа добавляют по каплям в полученную выше смесь диазосоединений. Осажденный продукт выделяют фильтрованием и промывают эфиром, получая при этом сырую соль олова 5-(2-хлорпиридил)гидразина. 3) Этиловый эфир 1-(6-хлор-3-пиридил)-5-фенилпиразол-3-карбоновой кислоты Полученный выше сырой этиловый эфир 4-фенил-2,4-диоксобутановой кислоты и сырой 5-(2-хлорпиридил)гидразин (соль олова) в этаноле (150 мл) кипятят с обратным холодильником в течение 2 часов. Растворитель выпаривают при пониженном давлении и остаток растворяют в этилацетате. Образовавшийся раствор последовательно промывают 30% водным раствором гидроксида калия, водой (дважды) и насыщенным раствором соли и затем сушат над безводным сульфатом магния с последующим фильтрованием. Растворитель выпаривают при пониженном давлении и остаток очищают посредством колоночной хроматографии на силикагеле (гексан-этилацетат), получая при этом этиловый эфир 1-(6-хлор-3-пиридил)-5-фенилпиразол-3-карбоновой кислоты в форме кристаллов (6,01 г, 52%). 1H-ЯМР (400 МГц, CDCl3) Элементный анализ: как С17Н14ClN3O2. Вычислено: С, 62,30%; Н, 4,31%; N, 12,81%. Найдено: С, 62,20%; Н, 4,25%; N, 12,60%. 4) Указанное в заголовке соединение К этиловому эфиру 1-(6-хлор-3-пиридил)-5-фенилпиразол-3-карбоновой кислоты (3,01 г) добавляют метанол (50 мл), тетрагидрофуран (40 мл) и водный 1 н. гидроксид натрия (20 мл) и образовавшуюся смесь перемешивают в течение 6 часов. К остатку, полученному удалением выпариванием растворителя реакции при пониженном давлении, добавляют воду (50 мл) и водный 1 н. гидроксид натрия (30 мл). Смесь промывают дважды эфиром и подкисляют добавлением водной 1 н. хлористоводородной кислоты. Осажденные кристаллы выделяют фильтрованием и промывают водой. Кристаллы растворяют в этилацетате и образовавшийся раствор промывают насыщенным раствором соли и затем сушат над безводным сульфатом магния с последующим фильтрованием. Растворитель выпаривают при пониженном давлении, получая при этом указанное в заголовке соединение в форме кристаллов (2,66 г, 97%). 1H-ЯМР (400 МГц, CDCl3) Элементный анализ: как С15Н10ClN3O2. Вычислено: С, 60,11%; Н, 3,36%; N, 14,02%. Найдено: С, 60,06%; Н, 3,30%; N, 13,84%. [Ссылочный пример 124] [1-(6-хлор-3-пиридил)-5-фенилпиразол-3-карбонил]-1-сукцинимид Хлороформ (50 мл) и триэтиламин (6,5 мл) добавляют к 1-(6-хлор-3-пиридил)-5-фенилпиразол-3-карбоновой кислоте (2,56 г). Образовавшуюся смесь перемешивают при охлаждении льдом и в нее добавляют ди-(N-сукцинимидил)карбонат (4,70 г) с последующим перемешиванием на протяжении ночи. Реакционную смесь распределяют между водой и хлороформом. Органический слой последовательно промывают насыщенным водным гидрокарбонатом натрия, водой и водной 1 н. хлористоводородной кислотой и затем сушат над безводным сульфатом магния с последующим фильтрованием. Растворитель выпаривают при пониженном давлении и к остатку добавляют смесь эфир-гексан и осажденный порошок выделяют фильтрованием, получая при этом указанное в заголовке соединение (3,33 г). 1H-ЯМР (400 МГц, CDCl3) [Ссылочный пример 125] 1-(6-Этокси-3-пиридил)-5-фенилпиразол-3-карбоновая кислота Этиловый эфир 1-(6-хлор-3-пиридил)-5-фенилпиразол-3-карбоновой кислоты (207 мг), полученный в ссылочном примере 123-3), и этоксид натрия (500 мг) растворяют в этаноле (15 мл). Образовавшийся раствор, запаянный в трубку, нагревают при 90°С на протяжении ночи. Остаток, полученный выпариванием растворителя реакции при пониженном давлении, распределяют с применением 1 н. гидроксида натрия (50 мл) и диэтилового эфира. Водный слой подкисляют добавлением 1 н. HCl и экстрагируют этилацетатом. Органический слой последовательно промывают водой и насыщенным раствором соли и затем сушат над безводным сульфатом магния с последующим фильтрованием. Растворитель выпаривают при пониженном давлении и остаточное твердое вещество перекристаллизовывают из смеси эфир-гексан, получая при этом указанное в заголовке соединение (120 мг, 71%). 1H-ЯМР (400 МГц, CDCl3) Элементный анализ: как С17Н15N3O3. Вычислено: С, 66,01%; Н, 4,89%; N, 13,58%. Найдено: С, 65,65%; Н, 4,85%; N, 13,44%. [Ссылочный пример 126] [1-(6-Этокси-3-пиридил)-5-фенилпиразол-3-карбонил]-1-сукцинимид При охлаждении льдом к 1-(6-этокси-3-пиридил)-5-фенилпиразол-3-карбоновой кислоте (110 мг), полученной в ссылочном примере 125, в хлороформе (5 мл) добавляют триэтиламин (0,30 мл) и ди(N-сукцинимидил)карбонат (200 мг). Образовавшуюся смесь перемешивают на протяжении ночи и к ней добавляют ди-(N-сукцинимидил)карбонат (500 мг) с последующим перемешиванием в течение 7 часов. Реакционную смесь распределяют между водой и хлороформом. Органический слой последовательно промывают 10% водной лимонной кислотой, водой, 5% водным карбонатом калия и водой и затем сушат над безводным сульфатом магния с последующим фильтрованием. Растворитель выпаривают при пониженном давлении и остаток очищают колоночной хроматографией на силикагеле (гексан-этилацетат), получая при этом указанное в заголовке соединение в виде маслянистого продукта (232 мг, количественный выход). 1H-ЯМР (400 МГц, CDCl3) [Ссылочный пример 127] 1-(6-Изопропокси-3-пиридил)-5-фенилпиразол-3-карбоновая кислота Общую процедуру ссылочного примера 125 повторяют с применением этилового эфира 1-(6-хлор-3-пиридил)-5-фенилпиразол-3-карбоновой кислоты (1,05 г), полученного в ссылочном примере 123-3), и изопропанола, получая при этом указанное в заголовке соединение в виде порошка (840 мг, 81%). 1H-ЯМР (400 МГц, CDCl3) Элементный анализ: как С18Н17N3O3. Вычислено: С, 66,86%; Н, 5,30%; N, 13,00%. Найдено: С, 66,62%; Н, 5,25%; N, 13,03%. [Ссылочный пример 128] [1-(6-Изопропокси-3-пиридил)-5-фенилпиразол-3-карбонил]-1-сукцинимид Общую процедуру ссылочного примера 126 повторяют с применением 1-(6-изопропокси-3-пиридил)-5-фенилпиразол-3-карбоновой кислоты (0,80 г), полученной в ссылочном примере 127, и ди-(N-сукцинимидил)карбоната (1,9 г), получая при этом указанное в заголовке соединение в виде пенообразного продукта (1,11 г, количественный выход). 1H-ЯМР (400 МГц, CDCl3) [Ссылочный пример 129] [1-(6-Метокси-3-пиридил)-5-фенилпиразол-3-карбонил]-1-сукцинимид Общую процедуру ссылочного примера 126 повторяют с применением 1-(6-метокси-3-пиридил)-5-фенилпиразол-3-карбоновой кислоты (1,00 г), полученной в ссылочном примере 41, и ди-(N-сукцинимидил)карбоната (1,88 г), получая при этом указанное в заголовке соединение (1,22 г, 92%). 1H-ЯМР (400 МГц, CDCl3) [Ссылочный пример 130] 1,3,3-Триметилпиперазин-2,5-дион 1) Этиловый эфир N-[ К N-[(9Н-флуорен-9-илметокси)карбонил]- 1H-ЯМР (400 МГц, CDCl3) 2) Указанное в заголовке соединение Пиперидин (867 мл) добавляют к этиловому эфиру N-[ 1Н-ЯМР (400 МГц, ДМСО-d6) [Ссылочный пример 131] Пиперидин-2-карбоксамид
N-Бензилоксипиперидин-2-карбоновую кислоту (2,0 г), 1-гидроксибензотриазол (1,6 г) и гидрохлорид 1-(3-диметиламинопропил)-3-этилкарбодиимида (2,3 г) растворяют в метиленхлориде (20 мл). К образовавшемуся раствору при комнатной температуре добавляют концентрированный водный аммиак (3 мл) и триэтиламин (2 мл) с последующим перемешиванием в течение 3 дней. Реакционную смесь распределяют между водой и метиленхлоридом. Органический слой сушат над безводным сульфатом магния с последующим фильтрованием. Растворитель выпаривают при пониженном давлении. К остатку в метаноле (30 мл) добавляют 10% палладий на угле (1 г, 50% влаги) и образовавшуюся смесь перемешивают в атмосфере водорода в течение 20 часов. Катализатор удаляют фильтрованием. Растворитель выпаривают при пониженном давлении и полученный таким образом масляный продукт сушат, получая при этом указанное в заголовке соединение в виде твердого вещества (970 мг, количественный выход). МС (ESI) m/z: 128 (М+). [Ссылочный пример 132] Метиламид пиперидин-2-карбоновой кислоты Общую процедуру ссылочного примера 131 повторяют с применением N-бензилоксипиперидин-2-карбоновой кислоты (2,0 г) и 1,0 М метиламина в тетрагидрофуране (4 мл), получая при этом указанное в заголовке соединение в виде маслянистого продукта (970 мг, количественный выход). МС (ESI) m/z: 142 (М+). [Ссылочный пример 133] Диметиламид пиперидин-2-карбоновой кислоты Общую процедуру ссылочного примера 131 повторяют с применением N-бензилоксипиперидин-2-карбоновой кислоты (6,4 г) и гидрохлорида диметиламина (2 г), получая при этом указанное в заголовке соединение в виде маслянистого продукта (3,8 г, количественный выход). МС (ESI) m/z: 156 (М+). [Ссылочный пример 134] Этиловый эфир 4-(4-фторфенил)-2,4-диоксобутановой кислоты Общую процедуру ссылочного примера 3-1) повторяют с применением 4′-фторацетофенона (3,0 г) и диэтилоксалата (5,9 мл), получая при этом указанное в заголовке соединение в виде твердого вещества (3,12 г, 60%). 1H-ЯМР (400 МГц, CDCl3) МС (ESI) m/z: 239 (М+1)+. [Ссылочный пример 135] Этиловый эфир 5-(4-фторфенил)-1-(6-метокси-3-пиридил)пиразол-3-карбоновой кислоты Общую процедуру ссылочного примера 3-2) повторяют с применением 5-гидразино-2-метоксипиридина (1,0 г), полученного в ссылочном примере 2, и этилового эфира 4-(4-фторфенил)-2,4-диоксобутановой кислоты (1,88 г), полученного в ссылочном примере 134, получая при этом указанное в заголовке соединение в виде маслянистого продукта (2,12 г, 86%). 1H-ЯМР (400 МГц, CDCl3) МС (EI) m/z: 341 (М+). [Ссылочный пример 136] 5-(4-Фторфенил)-1-(6-метокси-3-пиидил)пиразол-3-карбоновая кислота Водный 1 н. гидроксид натрия (1,2 л) добавляют к этиловому эфиру 5-(4-фторфенил)-1-(6-метокси-3-пиридил)пиразол-3-карбоновой кислоты (164 г) в метаноле (1,6 л) и образовавшуюся смесь перемешивают при комнатной температуре в течение 5 часов. Растворитель реакции удаляют при пониженном давлении и остаток распределяют между водой и диэтиловым эфиром. рН водного слоя регулируют при значении 2 посредством добавления водной 1 н. хлористоводородной кислоты (1,5 л) и осажденные кристаллы растворяют в хлороформе. Образовавшийся раствор распределяют с применением насыщенного раствора соли и органический слой сушат над безводным сульфатом натрия с последующим фильтрованием. Растворитель выпаривают при пониженном давлении и осажденные кристаллы из диэтилового эфира выделяют фильтрованием, получая при этом указанное в заголовке соединение (132,0 г, 88%). 1H-ЯМР (400 МГц, CDCl3) [Ссылочный пример 137] 1-(5-Метокси-2-пиридил)-5-фенилпиразол-3-карбоновая кислота 1) 5-Амино-2-хлорпиридин Концентрированную хлористоводородную кислоту (1 мл) добавляют к 2-хлор-5-нитропиридину (20 г) в смеси этанола (160 мл) и воды (40 мл). Восстановленное железо (70,5 г) постепенно добавляют к образовавшейся смеси при комнатной температуре и смесь перемешивают при 90°С в течение 1 часа и затем охлаждают на воздухе. Реакционную смесь фильтруют через целит и растворитель маточного раствора удаляют при пониженном давлении. Остаток очищают посредством колоночной хроматографии на силикагеле (этилацетат-гексан), получая при этом производное амина в виде твердого вещества (15,2 г, 94%). 1H-ЯМР (400 МГц, CDCl3) LC-МС m/z: 129 (М+H)+. 2) 5-Ацетокси-2-хлорпиридин 48% водную тетрафторборную кислоту (40,5 мл) добавляют к полученному выше 5-амино-2-хлорпиридину (18 г) в этаноле (360 мл) и к образовавшейся смеси по каплям добавляют при охлаждении при -5°С трет-бутилнитрит (23,5 мл) с последующим перемешиванием в течение 20 минут. К реакционной смеси добавляют диэтиловый эфир и осажденный продукт выделяют фильтрованием с последующим высушиванием, получая при этом тетрафторборат 6-хлорпиридин-3-диазония (32 г, количественный выход). Полученную таким образом диазониевую соль (32 г) в уксусном ангидриде (160 мл) постепенно нагревают до 90°С и смесь перемешивают в течение 45 минут и затем охлаждают на воздухе. Растворитель реакции удаляют при пониженном давлении и остаток распределяют между этилацетатом и водой. Органический слой последовательно промывают водой и насыщенным раствором соли и затем сушат над безводным сульфатом магния с последующим фильтрованием. Растворитель удаляют при пониженном давлении и остаток очищают колоночной хроматографией на силикагеле (гексан-этилацетат), получая при этом 5-ацетокси-2-хлорпиридин в виде твердого вещества (10 г, 42%). 1H-ЯМР (400 МГц, CDCl3) LC-МС m/z: 172 (М+H)+. 3) 2-Хлор-5-гидроксипиридин Карбонат калия (400 мг) добавляют к полученному выше 5-ацетокси-2-хлорпиридину (10 г) в метаноле (200 мл) с последующим перемешиванием при комнатной температуре в течение 20 часов. Растворитель реакции удаляют при пониженном давлении и остаток очищают колоночной хроматографией на силикагеле (этилацетат), получая при этом 2-хлор-5-гидроксипиридин в виде твердого вещества (6,86 г, 91%). 1H-ЯМР (400 МГц, ДМСО-d6) LC-МС m/z: 130 (М+H)+. 4) 2-Хлор-5-метоксипиридин 28% раствор метоксид натрия-метанол (2,0 мл) добавляют по каплям к полученному выше 2-хлор-5-гидроксипиридину (1,30 г) и метилиодиду (1,25 мл) в N,N-диметилформамиде (26 мл) с последующим перемешиванием при комнатной температуре в течение 1,5 часа. Реакционную смесь распределяют с применением насыщенного водного хлорида аммония и этилацетата. Органический слой промывают насыщенным раствором соли и затем сушат над безводным сульфатом магния с последующим фильтрованием. Растворитель удаляют при пониженном давлении и остаток очищают колоночной хроматографией на силикагеле (гексан-этилацетат), получая при этом 2-хлор-5-метоксипиридин в виде твердого вещества (1,40 г, 98%). 1H-ЯМР (400 МГц, CDCl3) LC-МС m/z: 144 (М+H)+. 5) 2-Гидразино-5-метоксипиридин Полученный выше 2-хлор-5-метоксипиридин (4,0 г) в моногидрате гидразина (30 мл) перемешивают при 100°С в течение 24 часов и затем охлаждают на воздухе. Растворитель реакции удаляют при пониженном давлении и остаток распределяют с применением хлороформа и водного 1 н. гидроксида натрия. Органический слой сушат над безводным сульфатом магния с последующим фильтрованием. Растворитель удаляют при пониженном давлении, получая при этом 2-гидразино-5-метоксипиридин в виде маслянистого продукта (705 мг, 18%). ЖХ-МС m/z: 140 (М+Н)+. 6) Этиловый эфир 1-(5-метокси-2-пиридил)-5-фенилпиразол-3-карбоновой кислоты Полученный выше 2-гидразино-5-метоксипиридин (705 мг) и этиловый эфир 2,4-диоксо-4-фенилмасляной кислоты (1,12 г), полученный в ссылочном примере 123-1), в этаноле (25 мл), кипятят с обратным холодильником при нагревании в течение 19 часов и затем охлаждают на воздухе. Растворитель реакции удаляют при пониженном давлении и остаток распределяют с применением этилацетата и насыщенного водного гидрокарбоната натрия. Органический слой промывают насыщенным раствором соли и затем сушат над безводным сульфатом магния с последующим фильтрованием. Растворитель удаляют при пониженном давлении и остаток очищают хроматографией на силикагеле (гексан-этилацетат), получая при этом этиловый эфир 1-(5-метокси-2-пиридил)-5-фенилпиразол-3-карбоновой кислоты в виде аморфного продукта (705 мг, 43%). 1H-ЯМР (400 МГц, CDCl3) LC-МС m/z: 324 (М+H)+. 7) Указанное в заголовке соединение Водный 1 н. гидроксид натрия (3,5 мл) добавляют к полученному выше этиловому эфиру 1-(5-метокси-2-пиридил)-5-фенилпиразол-3-карбоновой кислоты (700 мг) в смеси метанола (7 мл) и тетрагидрофурана (7 мл) с последующим перемешиванием при комнатной температуре в течение 2 часов. К реакционной смеси при охлаждении льдом добавляют водную 1 н. хлористоводородную кислоту (3,6 мл). Смесь распределяют между водой и этилацетатом. Органический слой промывают насыщенным раствором соли и затем сушат над безводным сульфатом магния с последующим фильтрованием. Растворитель удаляют при пониженном давлении, получая при этом указанное в заголовке соединение в виде твердого вещества (602 мг, 94%). 1H-ЯМР (400 МГц, CDCl3) LC-МС m/z: 296 (М+H)+. [Ссылочный пример 138] 1-(5-Метокси-2-пиридил)-5-(2-пиридил)пиразол-3-карбоновая кислота 1) 5-Бром-2-гидразинопиридин Моногидрат гидразина (10 мл) добавляют к 2,5-дибромпиридину (10,0 г) в пиридине (100 мл) при комнатной температуре и образовавшуюся смесь кипятят с обратным холодильником при нагревании в течение 13 часов и затем охлаждают на воздухе. Растворитель реакции удаляют при пониженном давлении и остаток распределяют с применением водного 0,5 н. гидроксида натрия и хлороформа. Органический слой сушат над безводным сульфатом натрия с последующим фильтрованием. Растворитель удаляют при пониженном давлении, получая при этом 5-бром-2-гидразинопиридин в виде твердого вещества (7,61 г, 96%). 1Н-ЯМР (400 МГц, ДМСО-d6) EI-МС m/z: 188 (М+). 2) Этиловый эфир 1-(5-бром-2-пиридил)-5-(2-пиридил)пиразол-3-карбоновой кислоты Полученный выше 5-бром-2-гидразинопиридин (7,12 г) и этиловый эфир 4-(2-пиридил)-2,4-диоксобутановой кислоты (8,38 г), полученный в ссылочном примере 31, суспендируют в этаноле (126 мл). К суспензии при комнатной температуре добавляют уксусную кислоту (8,67 мл) и смесь кипятят с обратным холодильником при нагревании в течение 12 часов и затем охлаждают на воздухе. Реакционную смесь распределяют с применением насыщенного водного гидрокарбоната натрия и этилацетата. Органический слой сушат над безводным сульфатом натрия с последующим фильтрованием. Растворитель удаляют при пониженном давлении и остаток очищают посредством колоночной хроматографии на силикагеле (гексан-этилацетат), получая при этом производное дигидропиразола. К полученному таким образом производному дигидропиразола в этаноле (146 мл) при комнатной температуре добавляют концентрированную хлористоводородную кислоту (4,9 мл) и образовавшуюся смесь кипятят с обратным холодильником при нагревании в течение 3 часов и затем охлаждают на воздухе. Реакционную смесь распределяют с применением насыщенного водного гидрокарбоната натрия и этилацетата. Органический слой сушат над сульфатом натрия с последующим фильтрованием. Растворитель удаляют при пониженном давлении и остаток очищают колоночной хроматографией на силикагеле (гексан-этилацетат), получая при этом этиловый эфир 1-(5 бром-2-пиридил)-5-(2-пиридил)пиразол-3-карбоновой кислоты в виде твердого вещества (11,6 г, 82%). 1H-ЯМР (400 МГц, CDCl3) EI-МС m/z: 373 (М+). 3) Указанное в заголовке соединение В атмосфере аргона при комнатной температуре к полученному выше этиловому эфиру 1-(5 бром-2-пиридил)-5-(2-пиридил)пиразол-3-карбоновой кислоты (3,00 г) в смеси метанола (30 мл) и толуола (30 мл) добавляют метоксид натрия (1,74 г) и бромид меди (I) (0,231 г). Образовавшуюся смесь кипятят с обратным холодильником в течение 47 часов и затем охлаждают на воздухе. К реакционной смеси добавляют воду (50 мл) с последующим перемешиванием при комнатной температуре в течение 1,5 часа. Реакционную смесь распределяют с применением воды, уксусной кислоты (10 мл) и смеси растворителей метанол-хлороформ (1:10). Органический слой сушат над безводным сульфатом натрия с последующим фильтрованием. Растворитель удаляют при пониженном давлении, получая при этом указанное в заголовке соединение в виде твердого вещества (1,68 г, 71%). 1Н-ЯМР (400 МГц, ДМСО-d6) FAB-МС m/z: 297 (М+H)+. [Ссылочный пример 139] 1-(6-Метокси-2-пиридазинил)-5-(2-пиридил)пиразол-3-карбоновая кислота Способ А) 1) Этиловый эфир 1-(6-хлор-2-пиридазинил)-5-(2-пиридил)пиразол-3-карбоновой кислоты 3-Хлор-6-гидразинопиридазин (1,59 г) и этиловый эфир 4-(2-пиридил)-2,4-диоксобутановой кислоты (2,45 г), полученный в ссылочном примере 31, в этаноле (60 мл) кипятят с обратным холодильником при нагревании в течение 6 часов. К реакционной смеси добавляют концентрированную хлористоводородную кислоту (1 мл) и смесь кипятят с обратным холодильником при нагревании в течение 1 часа и затем охлаждают на воздухе. Растворитель реакции удаляют при пониженном давлении и остаток распределяют с применением этилацетата и насыщенного водного гидрокарбоната натрия. Органический слой промывают насыщенным раствором соли и затем сушат над безводным сульфатом магния с последующим фильтрованием. Растворитель удаляют при пониженном давлении и остаток очищают хроматографией на силикагеле (этилацетат-гексан), получая при этом этиловый эфир 1-(6-хлор-2-пиридазинил)-5-(2-пиридил)пиразол-3-карбоновой кислоты в виде твердого вещества (1,50 г, 41%). 1H-ЯМР (400 МГц, CDCl3) LC-МС m/z: 330 (М+H)+. 2) Метиловый эфир 1-(6-метокси-2-пиридазинил)-5-(2-пиридил)пиразол-3-карбоновой кислоты Раствор 28% метоксид натрия-метанол (3 мл) добавляют к полученному выше этиловому эфиру 1-(6-хлор-2-пиридазинил)-5-(2-пиридил)пиразол-3-карбоновой кислоты (1,50 г) в метаноле (45 мл) и образовавшуюся смесь кипятят с обратным холодильником при нагревании в течение 2 часов и затем охлаждают на воздухе. Растворитель реакции удаляют при пониженном давлении и остаток распределяют с применением этилацетата и насыщенного водного гидрокарбоната натрия. Органический слой сушат над безводным сульфатом магния с последующим фильтрованием. Растворитель удаляют при пониженном давлении и остаток очищают хроматографией на силикагеле (этилацетат-гексан), получая при этом метиловый эфир 1-(6-метокси-3-пиридазинил)-5-(2-пиридил)пиразол-3-карбоновой кислоты в виде твердого вещества (480 мг, 34%). 1H-ЯМР (400 МГц, CDCl3) LC-МС m/z: 312 (М+H)+. 3) Указанное в заголовке соединение Водный 1 н. гидроксид натрия (3 мл) добавляют к полученному выше метиловому эфиру 1-(6-метокси-3-пиридазинил)-5-(2-пиридил)пиразол-3-карбоновой кислоты (475 мг) в смеси этанола (10 мл) и тетрагидрофурана (10 мл) с последующим перемешиванием при комнатной температуре в течение 20 часов. При охлаждении льдом реакционную смесь нейтрализуют посредством добавления водной 1 н. хлористоводородной кислоты (3 мл) и затем реакционную смесь распределяют с применением смеси растворителей хлороформ-метанол (10:1). Органический слой сушат над безводным сульфатом магния с последующим фильтрованием. Растворитель удаляют при пониженном давлении, получая при этом указанное в заголовке соединение в виде твердого вещества (300 мг, 66%). 1H-ЯМР (400 МГц, ДМСО-d6) LC-МС m/z: 298 (М+H)+. Способ В 1) Метиловый эфир 4-(2-пиридил)-2,4-диоксобутановой кислоты В атмосфере аргона при комнатной температуре 2-ацетилпиридин (2,56 г) в метаноле (26 мл) добавляют к диметилоксалату (5,00 г) и метоксиду натрия (2,29 г) в метаноле (26 мл) с последующим перемешиванием в течение 15 минут. Смесь перемешивают при 60°С в течение 45 минут и затем охлаждают на воздухе. К реакционной смеси добавляют воду и образовавшуюся смесь промывают диэтиловым эфиром. Водный слой распределяют с применением насыщенного водного хлорида аммония и хлороформа. Органический слой сушат над безводным сульфатом натрия с последующим фильтрованием. Растворитель удаляют при пониженном давлении, получая при этом метиловый эфир 4-(2-пиридил)-2,4-диоксобутановой кислоты в виде твердого вещества (3,44 г, 79%). 1H-ЯМР (400 МГц, CDCl3) EI-МС m/z: 207 (М+). 2) Метиловый эфир 1-(6-хлор-3-пиридазинил)-5-(2-пиридил)пиразол-3-карбоновой кислоты Полученный выше метиловый эфир 4-(2-пиридил)-2,4-диоксобутановой кислоты (4,143 г) и 3-хлор-6-гидразинопиридин (2,891 г) в метаноле (100 мл) кипятят с обратным холодильником при нагревании в течение 109 часов. К реакционной смеси добавляют концентрированную хлористоводородную кислоту (2 мл) и смесь кипятят с обратным холодильником при нагревании в течение 6 часов и затем охлаждают на воздухе. Реакционную смесь распределяют с применением насыщенного водного гидрокарбоната натрия и этилацетата. Органический слой последовательно промывают водой и насыщенным раствором соли и затем сушат над безводным сульфатом натрия с последующим фильтрованием. Растворитель удаляют при пониженном давлении, получая при этом метиловый эфир 1-(6-хлор-3-пиридазинил)-5-(2-пиридил)пиразол-3-карбоновой кислоты в виде твердого вещества (3,169 г, 50%). 1H-ЯМР (400 МГц, CDCl3) ESI-МС m/z: 316 (М+H)+. 3) Метиловый эфир 1-(6-метокси-3-пиридазинил)-5-(2-пиридил)пиразол-3-карбоновой кислоты Метоксид натрия (1,530 г) добавляют к полученному выше метиловом эфиру 1-(6-хлор-3-пиридазинил)-5-(2-пиридил)пиразол-3-карбоновой кислоты (2,981 г) в метаноле (190 мл) при комнатной температуре с последующим перемешиванием в течение 19 часов. К реакционной смеси добавляют водную 1 н. хлористоводородную кислоту (19 мл). Воду добавляют к остатку, полученному выпариванием метанола при пониженном давлении. Нерастворимый продукт выделяют фильтрованием и сушат, получая при этом метиловый эфир 1-(6-метокси-3-пиридазинил)-5-(2-пиридил)пиразол-3-карбоновой кислоты в виде твердого вещества (2,571 г, 87%). [Ссылочный пример 140] 1-(6-Метокси-3-пиридазинил)-5-(4-диметиламинофенил)пиразол-3-карбоновая кислота 1) Метиловый эфир 4-(4-диметиламинофенил)-2,4-диоксобутановой кислоты Общую процедуру стадии 1) способа В ссылочного примера 139 повторяют посредством применения 4′-диметиламиноацетофенона (1,224 г), диметилоксалата (1,771 г) и метоксида натрия (180 мг), получая при этом метиловый эфир 4-(4-диметиламинофенил)-2,4-диоксобутановой кислоты в виде твердого вещества (742 мг, 39%). 1H-ЯМР (400 МГц, CDCl3) ESI-МС m/z: 250 (М+H)+. 2) Метиловый эфир 1-(6-хлор-3-пиридазинил)-5-(4-диметиламинофенил)пиразол-3-карбоновой кислоты Полученный выше метиловый эфир 4-(4-диметиламинофенил)-2,4-диоксобутановой кислоты (742 мг) и 3-хлор-6-гидразинопиридазин (473 мг) в метаноле (30 мл) кипятят с обратным холодильником при нагревании в течение 18 часов и затем охлаждают на воздухе. Растворитель реакции удаляют при пониженном давлении и остаток распределяют с применением насыщенного водного гидрокарбоната натрия и хлороформа. Органический слой сушат над безводным сульфатом натрия с последующим фильтрованием. Растворитель удаляют при пониженном давлении и остаток очищают колоночной хроматографией на силикагеле (хлороформ-метанол), получая при этом метиловый эфир 1-(6-хлор-3-пиридазинил)-5-(4-диметиламинофенил)пиразол-3-карбоновой кислоты в виде твердого вещества (679 мг, 63%). 1H-ЯМР (400 МГц, CDCl3) ESI-МС m/z: 358 (М+H)+. 3) Указанное в заголовке соединение Общую процедуру ссылочного примера 137-7) повторяют посредством применения полученного выше метилового эфира 1-(6-хлор-3-пиридазинил)-5-(4-диметиламинофенил)пиразол-3-карбоновой кислоты (679 мг), получая при этом указанное в заголовке соединение в виде твердого вещества (592 мг, 91%). 1H-ЯМР (400 МГц, CDCl3) ESI-МС m/z: 340 (М+H)+. [Ссылочный пример 141] 5-(5-Хлор-2-пиридил)-1-(6-метокси-3-пиридазинил)пиразол-3-карбоновая кислота 1) 2-Бром-5-хлорпиридин Бром (12 мл) добавляют к 2-амино-5-хлорпиридину (5 г) в 47% бромистоводородной кислоте (50 мл) при 0°С и к реакционной смеси по каплям добавляют нитрит натрия (15 г) в воде (20 мл) с последующим перемешиванием в течение 1 часа. Реакционную смесь распределяют с применением гидроксида натрия (32 г) в воде (80 мл) и этилацетата. Органический слой сушат над безводным сульфатом натрия с последующим фильтрованием. Растворитель удаляют при пониженном давлении, получая при этом 2-бром-5-хлорпиридин в виде твердого вещества (6,8 г, 91%). 1H-ЯМР (400 МГц, CDCl3) 2) 1-(5-Хлор-2-пиридил)этанон При охлаждении при -78°С 1,56 М н-бутиллитий в гексане (27 мл) добавляют по каплям к 2-бром-5-хлорпиридину (6,8 г) в диэтиловом эфире (45 мл) и затем к смеси по каплям добавляют N,N-диметилацетамид (5 мл) с последующим перемешиванием в течение 30 минут. Реакционную смесь распределяют с применением насыщенного водного хлорида аммония и этилацетата. Органический слой сушат над безводным сульфатом натрия с последующим фильтрованием. Растворитель удаляют при пониженном давлении и остаток очищают колоночной хроматографией на силикагеле (гексан-этилацетат), получая при этом 1-(5-хлор-2-пиридил)этанон в виде твердого вещества (3,26 г, 59%). 1H-ЯМР (400 МГц, CDCl3) 3) Этиловый эфир 4-(5-хлор-2-пиридил)-2,4-диоксобутановой кислоты Диметилоксалат (5 г) добавляют к метоксиду натрия (2,26 г) в этаноле (100 мл) и смесь перемешивают в течение 5 минут. К смеси добавляют 1-(5-хлор-2-пиридил)этанон (3,26 г) с последующим перемешиванием при комнатной температуре в течение 45 минут. К реакционной смеси добавляют воду и образовавшуюся смесь промывают диэтиловым эфиром. Водный слой подкисляют водной 1 н. хлористоводородной кислотой и для распределения к смеси добавляют хлороформ. Органический слой сушат над безводным сульфатом натрия с последующим фильтрованием. Растворитель удаляют при пониженном давлении, получая при этом этиловый эфир 4-(5-хлор-2-пиридил)-2,4-диоксобутановой кислоты в виде твердого вещества (4,12 г, 77%). 1H-ЯМР (400 МГц, CDCl3) EI-МС m/z: 256 (М+H)+. 4) Этиловый эфир 1-(6-хлор-3-пиридазинил)-5-(5-хлор-2-пиридил)пиразол-3-карбоновой кислоты Общую процедуру стадии 1) способа А ссылочного примера 139 повторяют с применением полученного выше этилового эфира 4-(5-хлор-2-пиридил)-2,4-диоксобутановой кислоты (1 г) и 3-хлор-6-гидразинопиридазина (735 мг), получая при этом этиловый эфир 1-(6-хлор-3-пиридазинил)-5-(5-хлор-2-пиридил)пиразол-3-карбоновой кислоты в виде твердого вещества (500 мг, 35%). 1H-ЯМР (400 МГц, CDCl3) 5) Указанное в заголовке соединение Метоксид натрия (150 мг) добавляют к полученному выше этиловому эфиру 1-(6-хлор-3-пиридазинил)-5-(5-хлор-2-пиридил)пиразол-3-карбоновой кислоты (500 мг) в метаноле (10 мл) с последующим перемешиванием при комнатной температуре в течение 15 часов. Реакционную смесь распределяют с применением водной 1 н. хлористоводородной кислоты и хлороформа. Органический слой сушат над безводным сульфатом натрия с последующим фильтрованием. Растворитель удаляют при пониженном давлении, получая при этом указанное в заголовке соединение в виде аморфного продукта (483 мг, >100%). 1H-ЯМР (400 МГц, CDCl3) EI-МС m/z: 332 (М+H)+. [Ссылочный пример 142] 1-(5-Метокси-2-пиразинил)-5-(2-пиридил)пиразол-3-карбоновая кислота 1) 5-Хлор-2-гидразинопиразин 5-Хлор-2-гидроксипиразин (1,84 г), синтезированный из аминопиразина по способу Palamidessi et al. (J. Org. Chem., vol. 29, p. 2491-2492, 1964), растворяют в оксихлориде фосфора (28 мл). Раствор, запаянный в трубке, перемешивают в атмосфере при 130°С в течение 6 часов и затем охлаждают на воздухе. Реакционную смесь распределяют между смесью лед-вода и метиленхлоридом. Органический слой сушат над безводным сульфатом натрия с последующим фильтрованием. Растворитель удаляют при пониженном давлении. К остатку в этаноле (14 мл) добавляют моногидрат гидразина (1,39 мл) и образовавшуюся смесь перемешивают при комнатной температуре в течение 150 минут и при 80°С в течение 15 минут и затем охлаждают на воздухе. Растворитель реакционной смеси удаляют при пониженном давлении и остаток распределяют с применением воды и смеси растворителей хлороформ-метанол (1:10). Органический слой сушат над безводным сульфатом натрия с последующим фильтрованием. Растворитель удаляют при пониженном давлении, получая при этом 5-хлор-2-гидразинопиразин в виде твердого вещества (0,325 г, 16%). 1H-ЯМР (400 МГц, ДМСО-d6) EI-МС m/z: 144 (М+). 2) Метиловый эфир 1-(5-хлор-2-пиразинил)-5-(2-пиридил)пиразол-3-карбоновой кислоты Общую процедуру стадии 2) способа В ссылочного примера 139 повторяют с применением метилового эфира 4-(2-пиридил)-2,4-диоксобутановой кислоты (0,414 г), полученного в стадии 1) способа В ссылочного примера 139, и полученного выше 5-хлор-2-гидразинопиразина (0,289 г), получая при этом метиловый эфир 1-(5-хлор-2-пиразинил)-5-(2-пиридил)пиразол-3-карбоновой кислоты в виде твердого вещества (0,260 г, 41%). 1H-ЯМР (400 МГц, CDCl3) FAB-МС m/z: 316 (М+H)+. 3) Указанное в заголовке соединение Общую процедуру ссылочного примера 137-7) повторяют с применением полученного выше метилового эфира 1-(5-хлор-2-пиразинил)-5-(2-пиридил)пиразол-3-карбоновой кислоты (0,254 г), получая при этом указанное в заголовке соединение в виде твердого вещества (0,237 г, 99%). 1H-ЯМР (400 МГц, ДМСО-d6) FAB-МС m/z: 298 (М+H)+. [Ссылочный пример 143] Этиловый эфир 1-(6-метил-3-пиридил)-5-(2-пиридил)пиразол-3-карбоновой кислоты Общую процедуру ссылочного примера 3-2) повторяют с применением 5-гидразино-2-метилпиридина (1,20 г), полученного в ссылочном примере 63, и этилового эфира 4-(2-пиридил)-2,4-диоксобутановой кислоты (3,48 г), полученного в ссылочном примере 31, получая при этом указанное в заголовке соединение в виде маслянистого продукта (0,459 г, 15%). 1H-ЯМР (400 МГц, CDCl3) FAB-МС m/z: 309 (М+H)+. [Ссылочный пример 144] Литиевая соль 1-(6-метокси-3-пиридил)-5-(3-пиридазинил)пиразол-3-карбоновой кислоты 1) Метиловый эфир 4-(3-пиридазинил)-2,4-диоксобутановой кислоты В атмосфере аргона и при охлаждении при -78°С к 3-ацетилпиридазину (2,097 г) в тетрагидрофуране (50 мл) по каплям добавляют 1,0 М бис(триметилсилил)амид лития в тетрагидрофуране (19 мл) с последующим перемешиванием в течение 1 часа. К реакционной смеси по каплям добавляют диметилоксалат (4,055 г) в тетрагидрофуране (35 мл) и образовавшуюся смесь перемешивают при 0°С в течение 2 часов. Растворитель реакции удаляют при пониженном давлении. К остатку добавляют воду и смесь промывают диэтиловым эфиром. Водный слой слегка подкисляют водной 1 н. хлористоводородной кислотой и экстрагируют этилацетатом. Органический слой сушат над безводным сульфатом натрия с последующим фильтрованием. Растворитель удаляют при пониженном давлении, получая при этом метиловый эфир 4-(3-пиридазинил)-2,4-диоксобутановой кислоты в виде твердого вещества (2,63 г, 73%). 1H-ЯМР (400 МГц, CDCl3) ESI-МС m/z: 209 (М+H)+. 2) Метиловый эфир 1-(6-метокси-3-пиридил)-5-(3-пиридазинил)пиразол-3-карбоновой кислоты Общую процедуру ссылочного примера 140-2) повторяют с применением полученного выше метилового эфира 4-(3-пиридазинил)-2,4-диоксобутановой кислоты (1,086 г) и 5-гидразино-2-метоксипиридина (726 мг), полученного в ссылочном примере 2, получая при этом метиловый эфир 1-(6-метокси-3-пиридил)-5-(3-пиридазинил)пиразол-3-карбоновой кислоты в виде твердого вещества (309 мг, 19%). 1H-ЯМР (400 МГц, CDCl3) ESI-МС m/z: 312 (М+H)+. 3) Указанное в заголовке соединение Моногидрат гидроксида лития (42 мг) добавляют к полученному выше метиловому эфиру 1-(6-метокси-3-пиридил)-5-(3-пиридазинил)пиразол-3-карбоновой кислоты (309 мг) в метаноле (20 мл) и образовавшуюся смесь кипятят с обратным холодильником в течение 18 часов и затем охлаждают на воздухе. Растворитель реакции удаляют при пониженном давлении, получая при этом указанное в заголовке соединение в виде аморфного продукта (322 мг, >100%). ESI-МС m/z: 298 (М+Н)+. [Ссылочный пример 145] 1-(6-Метокси-3-пиридил)-5-(4-метил-2-пиридил)пиразол-3-карбоновая кислота 1) 4-Метилпиридин-2-карбонитрил Общую процедуру ссылочного примера 15 повторяют с применением N-оксида 4-метилпиридина (6,00 г), получая при этом 4-метилпиридин-2-карбонитрил в виде твердого вещества (4,65 г, 72%). 1H-ЯМР (400 МГц, CDCl3) EI-МС m/z: 118 (М+). 2) 1-(4-Метил-2-пиридил)этанон Общую процедуру ссылочного примера 16 повторяют с применением полученного выше 4-метилпиридин-2-карбонитрила (4,46 г), получая при этом 1-(4-метил-2-пиридил)этанон в виде маслянистого продукта (4,38 г, 86%). 1H-ЯМР (400 МГц, CDCl3) EI-МС m/z: 135 (М+). 3) Этиловый эфир 4-(4-метил-2-пиридил)-2,4-диоксобутановой кислоты Диэтилоксалат (4,42 г) добавляют к этоксиду натрия (2,22 г) в этаноле (22 мл) и смесь перемешивают в течение 10 минут. К смеси добавляют полученный выше 1-(4-метил-2-пиридил)этанон (2,20 г) в этаноле (22 мл) с последующим перемешиванием при комнатной температуре в течение 20 минут. К реакционной смеси добавляют воду и образовавшуюся смесь промывают диэтиловым эфиром и затем водный слой распределяют с применением насыщенного водного хлорида аммония и хлороформа. Органический слой сушат над безводным сульфатом натрия с последующим фильтрованием. Растворитель удаляют при пониженном давлении, получая при этом этиловый эфир 4-(4-метил-2-пиридил)-2,4-диоксобутановой кислоты в виде маслянистого продукта (2,84 г, 74%). 1H-ЯМР (400 МГц, CDCl3) EI-МС m/z: 235 (М+). 4) Этиловый эфир 1-(6-метокси-3-пиридил)-5-(4-метил-2-пиридил)пиразол-3-карбоновой кислоты Общую процедуру ссылочного примера 138-2) повторяют с применением полученного выше этилового эфира 4-(4-метил-2-пиридил)-2,4-диоксобутановой кислоты (2,83 г) и 5-гидразино-2-метоксипиридина (1,67 г), полученного в ссылочном примере 2, получая при этом этиловый эфир 1-(6-метокси-3-пиридил)-5-(4-метил-2-пиридил)пиразол-3-карбоновой кислоты в виде твердого вещества (1,66 г, 41%). 1H-ЯМР (400 МГц, CDCl3) EI-МС m/z: 338 (М+). 5) Указанное в заголовке соединение Общую процедуру ссылочного примера 137-7) повторяют с применением полученного выше этилового эфира 1-(6-метокси-3-пиридил)-5-(4-метил-2-пиридил)пиразол-3-карбоновой кислоты (1,04 г), получая при этом указанное в заголовке соединение в виде твердого вещества (0,944 г, 99%). 1H-ЯМР (400 МГц, ДМСО-d6) EI-МС m/z: 310 (М+). [Ссылочный пример 146] 1-(6-Метокси-3-пиридил)-5-(5-метил-2-пиридил)пиразол-3-карбоновая кислота 1) 1-(5-Метил-2-пиридил)этанон Общую процедуру ссылочного примера 141-2) повторяют с применением 2-бром-5-метилпиридина (10,0 г), получая при этом 1-(5-метил-2-пиридил)этанон в виде маслянистого продукта (6,71 г, 85%). 1H-ЯМР (400 МГц, CDCl3) EI-МС m/z: 135 (М+). 2) Этиловый эфир 4-(5-метил-2-пиридил)-2,4-диоксобутановой кислоты Общую процедуру ссылочного примера 146-3) повторяют с применением полученного выше 1-(5-метил-2-пиридил)этанона (6,7 г) и диэтилоксалата (13,5 мл), получая при этом этиловый эфир 4-(5-метил-2-пиридил)-2,4-диоксомасляной кислоты в виде твердого вещества (8,99 г, 77%). 1Н-ЯМР (400 МГц, CDCl3) EI-МС m/z: 235 (М+). 3) Этиловый эфир 1-(6-метокси-3-пиридил)-5-(5-метил-2-пиридил)пиразол-3-карбоновой кислоты Общую процедуру ссылочного примера 138-2) повторяют с применением полученного выше этилового эфира 4-(5-метил-2-пиридил)-2,4-диоксобутановой кислоты (8,98 г) и 5-гидразино-2-метоксипиридина (5,31 г), полученного в ссылочном примере 2, получая при этом этиловый эфир 1-(6-метокси-3-пиридил)-5-(5-метил-2-пиридил)пиразол-3-карбоновой кислоты в виде твердого вещества (7,31 г, 57%). 1Н-ЯМР (400 МГц, CDCl3) FAB-МС m/z: 339 (М+H)+. 4) Указанное в заголовке соединение Общую процедуру ссылочного примера 137-7) повторяют с применением полученного выше этилового эфира 1-(6-метокси-3-пиридил)-5-(5-метил-2-пиридил)пиразол-3-карбоновой кислоты (1,00 г), получая при этом указанное в заголовке соединение в виде твердого вещества (0,789 г, 86%). 1H-ЯМР (400 МГц, ДМСО-d6) FAB-МС m/z: 311 (М+H)+. [Ссылочный пример 147] Этиловый эфир 1-трет-бутоксикарбонилпиперазин-3-карбоновой кислоты 1) Этиловый эфир 1,4-ди-трет-бутоксикарбонилпиперазин-3-карбоновой кислоты Гидрохлорид пиперазин-2-карбоновой кислоты (5,0 г) и ди-трет-бутоксикарбонат (11,8 г) растворяют в тетрагидрофуране (50 мл). К образовавшемуся раствору добавляют триэтиламин (10,7 мл) и 6 н. водный гидроксид натрия (1 мл) с последующим перемешиванием смеси при комнатной температуре в течение 6 часов. Реакционную смесь распределяют с применением метиленхлорида. Органический слой сушат над безводным сульфатом магния с последующим фильтрованием. Растворитель удаляют при пониженном давлении и остаток очищают колоночной хроматографией на силикагеле (метиленхлорид-метанол), получая при этом 1,4-ди-трет-бутоксикарбонилпиперазин-3-карбоновую кислоту (5,45 г, 67%). Общую процедуру ссылочного примера 81 повторяют с применением полученного таким образом 1,4-ди-трет-бутоксикарбонилпиперазин-3-карбоновой кислоты и этанола (2 мл), получая при этом этиловый эфир 1,4-ди-трет-бутоксикарбонилпиперазин-3-карбоновой кислоты (5,5 г, 62%). ES-МС m/z: 358 (М+). 2) Указанное в заголовке соединение Концентрированную хлористоводородную кислоту (5 мл) добавляют к полученному выше этиловому эфиру 1,4-ди-трет-бутоксикарбонилпиперазин-3-карбоновой кислоты (5,5 г) в этаноле (50 мл) с последующим перемешиванием при комнатной температуре в течение 3 дней. Растворитель реакционной смеси удаляют при пониженном давлении, получая при этом гидрохлорид этилового эфира пиперазин-2-карбоновой кислоты (3,4 г, 95,7%). При охлаждении льдом к полученному таким образом гидрохлориду этилового эфира пиперазин-2-карбоновой кислоты (3,4 г) в тетрагидрофуране (30 мл) добавляют триэтиламин (5 мл) и 2-(трет-бутоксикарбонилоксиимино)-2-фенилацетонитрил (4,0 г) с последующим перемешиванием при комнатной температуре в течение 16 часов. Реакционную смесь распределяют с применением метиленхлорида. Органический слой сушат над безводным сульфатом магния с последующим фильтрованием. Растворитель удаляют при пониженном давлении и остаток очищают колоночной хроматографией на силикагеле (метиленхлорид-метанол), получая при этом указанное в заголовке соединение в виде маслянистого продукта (3,14 г, 49%). 1Н-ЯМР (400 МГц, CDCl3) EI-МС m/z: 258 (М+). [Ссылочный пример 148] Метиловый эфир (3S)-морфолин-3-карбоновой кислоты
1) Метиловый эфир (2S)-2-(N-бензилоксикарбонил)амино-3-(2-хлорэтокси)пропановой кислоты К 1-бензил-2-метиловому эфиру (S)-(-)-1,2-азетидиндикарбоновой кислоты (1 г) в хлороформе (10 мл) по каплям добавляют 2-хлорэтанол (3 мл) и каталитическое количество комплекса трифторид бора-диэтиловый эфир (3 капли) с последующим перемешиванием при комнатной температуре в течение 4 часов. Реакционную смесь распределяют между водой и хлороформом. Органический слой сушат над безводным сульфатом натрия с последующим фильтрованием. Растворитель удаляют при пониженном давлении и остаток очищают колоночной хроматографией на силикагеле (гексан-этилацетат), получая при этом метиловый эфир (2S)-2-(N-бензилоксикарбонил)амино-3-(2-хлорэтокси)пропановой кислоты в виде маслянистого продукта (1,09 г, 81%). 1Н-ЯМР (400 МГц, CDCl3) EI-МС m/z: 316 (М+H)+. 2) Метиловый эфир (2S)-2-амино-3-(2-хлорэтокси)пропановой кислоты 5% Палладий на угле (170 мг) добавляют к полученному выше метиловому эфиру (2S)-2-(N-бензилоксикарбонил)амино-3-(2-хлорэтокси)пропановой кислоты (1,09 г) в метаноле (15 мл) и образовавшуюся смесь перемешивают при комнатной температуре в атмосфере водорода в течение 16,5 часа. Реакционную смесь фильтруют через целит и растворитель фильтрата удаляют при пониженном давлении, получая при этом метиловый эфир (2S)-2-амино-3-(2-хлорэтокси)пропановой кислоты в виде маслянистого продукта (608 мг, 97%). 1H-ЯМР (400 МГц, CD3OD) EI-МС m/z: 182 (М+H)+. 3) Указанное в заголовке соединение Триэтиламин (1,2 мл) добавляют к полученному выше метиловому эфиру (2S)-2-амино-3-(2-хлорэтокси)пропановой кислоты (726 мг) в метаноле (10 мл) и образовавшуюся смесь кипятят с обратным холодильником в течение 3 часов и затем охлаждают на воздухе. Растворитель реакции удаляют при пониженном давлении. К остатку добавляют этилацетат и нерастворимое вещество удаляют фильтрованием. Растворитель фильтрата удаляют при пониженном давлении, получая при этом указанное в заголовке соединение в виде маслянистого продукта (467 мг, 80%). 1Н-ЯМР (400 МГц, D2О) [Ссылочный пример 149] Гидрохлорид 1,4-оксазепана 1) 1,4-Оксазепан-5-он При охлаждении льдом к тетрагидро-4Н-пиран-4-ону (9,80 г) в концентрированной хлористоводородной кислоте (50 мл) на протяжении периода 40 минут добавляют азид натрия (17,8 г) с последующим перемешиванием в течение 30 минут и затем при комнатной температуре в течение 16 часов. При охлаждении льдом к реакционной смеси для установления рН при 8-9 добавляют карбонат натрия с последующим распределением смеси добавлением хлороформа. Органический слой промывают насыщенным раствором соли и затем сушат над безводным сульфатом магния с последующим фильтрованием. Растворитель удаляют при пониженном давлении, получая при этом 1,4-оксазеран-5-он в виде твердого вещества (5,34 г, 47,4%). 1Н-ЯМР (400 МГц, CDCl3) FAB-МС m/z: 116 (М+H)+. 2) трет-Бутиловый эфир 1,4-оксазепан-4-карбоновой кислоты В атмосфере азота при охлаждении льдом полученный выше 1,4-оксазепан-5-он (3,041 г) добавляют к 1,0 М комплекса боран-тетрагидрофуран в тетрагидрофуране (40 мл) на протяжении периода 30 минут с последующим перемешиванием при комнатной температуре в течение 30 минут. Образовавшуюся смесь кипятят с обратным холодильником при нагревании в течение 2,5 часа и затем охлаждают на воздухе. К реакционной смеси добавляют 4 н. HCl-диоксан (25 мл) и метанол (12 мл) и смесь кипятят с обратным холодильником при нагревании в течение 1 часа и затем охлаждают на воздухе. К реакционной смеси добавляют водный 1 н. гидроксид натрия (80 мл) и к смеси добавляют при комнатной температуре ди-трет-бутоксикарбонат (8,849 г) в тетрагидрофуране (25 мл) и метаноле (20 мл) с последующим перемешиванием в течение 17 часов. Реакционную смесь распределяют между водой и хлороформом. Органический слой промывают насыщенным раствором соли и сушат над безводным сульфатом натрия с последующим фильтрованием. Растворитель удаляют при пониженном давлении и остаток очищают колоночной хроматографией на силикагеле (гексан-этилацетат), получая при этом трет-бутиловый эфир 1,4-оксазепан-4-карбоновой кислоты в виде маслянистого продукта (2,68 г, 50%). 1Н-ЯМР (400 МГц, CDCl3) 3) Указанное в заголовке соединение 4 н. Диоксан-HCl (4,6 мл) добавляют к полученному выше трет-бутиловому эфиру 1,4-оксазепан-4-карбоновой кислоты (0,468 г) в метиленхлориде (9,2 мл) при 0°С с последующим перемешиванием при комнатной температуре в течение 0,5 часа. Растворитель реакции удаляют при пониженном давлении, получая при этом указанное в заголовке соединение в виде твердого вещества (0,263 г, 82%). 1Н-ЯМР (400 МГц, CDCl3) ESI-МС m/z: 102 (М+H)+. [Ссылочный пример 150] 1-Метилгексагидропиридазин
1) Бензилэтилгидразин-1,2-дикарбоксилат Триэтиламин (100 мл) и бензилхлорформиат (103 мл) добавляют к этилкарбазату (50,0 г) в метиленхлориде (400 мл) при 0°С с последующим перемешиванием при комнатной температуре в течение 18 часов. Реакционную смесь распределяют с применением насыщенного водного гидрокарбоната натрия и хлороформа. Органический слой промывают насыщенным раствором соли и затем сушат над безводным сульфатом магния с последующим фильтрованием. Растворитель удаляют при пониженном давлении и остаток очищают колоночной хроматографией на силикагеле (гексан-этилацетат), получая при этом бензилэтилгидразин-1,2-дикарбоксилат в виде маслянистого продукта (31,7 г, 27,7%). 1Н-ЯМР (300 МГц, CDCl3) 2) Бензилэтилазо-1,2-дикарбоксилат трет-Бутилгипохлорит (19,1 мл) добавляют к полученному выше бензилэтилгидразин-1,2-дикарбоксилату (31,0 г) в этилацетате (150 мл) при комнатной температуре с последующим перемешиванием в течение 3 часов. Реакционную смесь распределяют с применением насыщенного водного карбоната натрия и воды. Органический слой сушат над безводным сульфатом магния с последующим фильтрованием. Растворитель удаляют при пониженном давлении, получая при этом бензилэтилазо-1,2-дикарбоксилат в виде маслянистого продукта (28,7 г, 93,4%). 1Н-ЯМР (300 МГц, CDCl3) 3) 1-Бензиловый эфир-2-этиловый эфир 1,2,3,6-тетрагидропиридазин-1,2-дикарбоновой кислоты 1,3-Бутадиен (64,0 г) продувают в полученный выше бензилэтилазо-1,2-дикарбоксилат (28,0 г) в бензоле (100 мл) при -10°С с последующим перемешиванием при комнатной температуре в течение 18 часов. Растворитель реакции удаляют при пониженном давлении, получая при этом 1-бензиловый эфир-2-этиловый эфир 1,2,3,6-тетрагидропиридазин-1,2-дикарбоновой кислоты, имеющий примеси, в виде маслянистого продукта (32 г). FAB-МС m/z: 291 (М+Н)+. 4) Этиловый эфир гексагидропиридазин-1-карбоновой кислоты В атмосфере водорода к полученному выше 1-бензиловому эфиру-2-этиловому эфиру 1,2,3,6-тетрагидропиридазин-1,2-дикарбоновой кислоты (32 г) в этаноле (100 мл) добавляют 10% палладий на угле (3,2 г) и образовавшуюся смесь перемешивают при 40°С в течение 24 часов и затем охлаждают на воздухе. Реакционную смесь фильтруют и растворитель фильтрата удаляют при пониженном давлении и остаток очищают перегонкой (точка кипения 81°С/1 мм Hg), получая при этом этиловый эфир гексагидропиридазин-1-карбоновой кислоты в виде маслянистого продукта (5,96 г, выход 2 процессов: 31,1%). 1Н-ЯМР (300 МГц, CDCl3) 5) Указанное в заголовке соединение К суспензии литийалюминийгидрида (2,64 г) в диэтиловом эфире (50 мл) на протяжении периода 1 час при комнатной температуре по каплям добавляют полученный выше этиловый эфир гексагидропиридазин-1-карбоновой кислоты (5,5 г) в диэтиловом эфире (20 мл). Образовавшуюся смесь кипятят с обратным холодильником при нагревании в течение 4 часов. При охлаждении при -10°С к реакционной смеси по каплям добавляют 40% водный раствор гидроксида калия (100 мл), затем к смеси добавляют диэтиловый эфир, посредством чего смесь распределяется. Органический слой промывают насыщенным раствором соли и затем сушат над безводным сульфатом магния с последующим фильтрованием. Растворитель удаляют при пониженном давлении, получая при этом указанное в заголовке соединение в виде маслянистого продукта (1,75 г, 50,3%). 1Н-ЯМР (300 МГц, CDCl3) [Ссылочный пример 151] Соль трифторуксусной кислоты и 4-метоксипиперидина 1) трет-Бутиловый эфир 4-метоксипиперидин-1-карбоновой кислоты Общую процедуру ссылочного примера 106 повторяют с применением трет-бутилового эфира 4-гидрокси-1-пиперазинкарбоновой кислоты (2,0 г), получая при этом трет-бутиловый эфир 4-метоксипиперидин-1-карбоновой кислоты в виде маслянистого продукта (1,43 г, 67%). 1Н-ЯМР (400 МГц, CDCl3) 2) Указанное в заголовке соединение Общую процедуру ссылочного примера 85-2) повторяют с применением полученного выше трет-бутилового эфира 4-метоксипиперидин-1-карбоновой кислоты (1,42 г), получая при этом указанное в заголовке соединение в виде маслянистого продукта (2,65 г, количественный выход). 1Н-ЯМР (400 МГц, CDCl3) [Ссылочный пример 152] Гидрохлорид 4,4-дифторпиперидина 1) N-Бензил-4,4,-дифторпиперидин В атмосфере аргона при 0°С трифторид диэтиламиносеры (8,38 мл) добавляют по каплям к 1-бензил-4-пиперидону (5,00 г) в бензоле (200 мл) и образовавшуюся смесь перемешивают в течение 30 минут и затем кипятят с обратным холодильником при нагревании в течение 18 часов. При охлаждении при 0°С образовавшуюся смесь распределяют с применением насыщенного водного гидрокарбоната натрия и этилацетата. Органический слой сушат над безводным сульфатом натрия с последующим фильтрованием. Растворитель удаляют при пониженном давлении и остаток очищают колоночной хроматографией на силикагеле (гексан-этилацетат), получая при этом N-бензил-4,4-дифторпиперидин в виде маслянистого продукта (4,67 г, 84%). 1Н-ЯМР (400 МГц, CDCl3) EI-МС m/z: 211 (М+). 2) Указанное в заголовке соединение В атмосфере аргона 1-хлорэтилхлорформиат (2,62 мл) добавляют по каплям к полученному выше N-бензил-4,4-дифторпиперидину (4,66 г) в метиленхлориде (93 мл) при 0°С и образовавшуюся смесь перемешивают при 55°С в течение 2 часов и затем охлаждают на воздухе. Растворитель реакции удаляют при пониженном давлении и остаток в метаноле (93 мл) кипятят с обратным холодильником при нагревании в течение 4 часов и затем охлаждают на воздухе. Растворитель реакции удаляют при пониженном давлении, получая при этом указанное в заголовке соединение в виде твердого вещества (3,03 г, 87%). FAB-МС m/z: 122 (М+Н)+. [Ссылочный пример 153] Гидрохлорид 3,3-дифторпиперидина 1) N-Бензил-3,3-дифторпиперидин Общую процедуру ссылочного примера 152-1) повторяют с применением гидрохлорида 1-бензил-3-пиперидона (4,00 г), получая при этом N-бензил-3,3-дифторпиперидин в виде маслянистого продукта (1,09 г, 31%). 1Н-ЯМР (400 МГц, CDCl3) FAB-МС m/z: 212 (М+H)+. 2) Указанное в заголовке соединение Общую процедуру ссылочного примера 152-2) повторяют с применением полученного выше N-бензил-3,3-дифторпиперидина (1,08 г), получая при этом указанное в заголовке соединение в виде твердого вещества (0,764 г, 95%). 1Н-ЯМР (400 МГц, D3О) FAB-МС m/z: 122 (М+H)+. [Ссылочный пример 154] Гидрохлорид 4-фторпиперидина 1) трет-Бутиловый эфир 4-фторпиперидин-N-карбоновой кислоты В атмосфере аргона при охлаждении при -78°С трифторид [бис-(2-метоксиэтил)амино]серы (7,33 мл) добавляют по каплям к трет-бутиловому эфиру 4-гидрокси-1-пиперидинкарбоновой кислоты (4,00 г) в метиленхлориде (80 мл) с последующим перемешиванием в течение 30 минут. Образовавшуюся смесь перемешивают при 0°С в течение 30 минут и затем при комнатной температуре в течение 2 часов. Реакционную смесь распределяют с применением насыщенного водного гидрокарбоната натрия и хлороформа. Органический слой сушат над безводным сульфатом натрия с последующим фильтрованием. Растворитель удаляют при пониженном давлении и остаток очищают колоночной хроматографией на силикагеле (хлороформ-этилацетат), получая при этом трет-бутиловый эфир 4-фторпиперидин-N-карбоновой кислоты в виде маслянистого продукта (1,77 г, 44%). 1Н-ЯМР (400 МГц, CDCl3) EI-МС m/z: 203 (М+). 2) Указанное в заголовке соединение Общую процедуру ссылочного примера 85-2) повторяют с применением полученного выше трет-бутилового эфира 4-фторпиперидин-N-карбоновой кислоты (1,74 г), получая при этом указанное в заголовке соединение в виде твердого вещества (0,870 г, 73%). 1Н-ЯМР (400 МГц, ДМСО-d6) FAB-МС m/z: 104 (М+H)+. [Ссылочный пример 155] трет-Бутиловый эфир (3R)-3-метоксипирролидин-1-карбоновой кислоты Общую процедуру ссылочного примера 106 повторяют с применением трет-бутилового эфира (3R)-3-гидроксипирролидин-1-карбоновой кислоты (0,955 г) и метилиодида (0,47 мл), получая при этом указанное в заголовке соединение в виде маслянистого продукта (0,899 г, 89%). 1Н-ЯМР (400 МГц, CDCl3) ESI-МС m/z: 146 (М-Bu+H)+. [Ссылочный пример 156] Гексагидропиридазин
1) Дибензиловый эфир 1,2,3,6-тетрагидропиридазин-1,2-дикарбоновой кислоты Общую процедуру ссылочного примера 151-3) повторяют с применением дибензилового эфира 1,2-азодикарбоновой кислоты (10,28 г), получая при этом дибензиловый эфир 1,2,3,6-тетрагидропиридазин-1,2-дикарбоновой кислоты в виде маслянистого продукта (2,57 г, 21%). 1Н-ЯМР (400 МГц, CDCl3) FAB-МС m/z: 353 (М+H)+. 2) Указанное в заголовке соединение Общую процедуру ссылочного примера 151-4) повторяют с применением полученного выше дибензилового эфира 1,2,3,6-тетрагидропиридазин-1,2-дикарбоновой кислоты (2,57 г), получая при этом указанное в заголовке соединение в виде маслянистого продукта (0,629 г, количественный выход). 1Н-ЯМР (400 МГц, ДМСО-d6) ESI-МС m/z: 87 (М+H)+. [Ссылочный пример 157] Гидрохлорид 1-метилпиперазин-2-она 4 н. HCl-диоксан (20 мл) добавляют к трет-бутиловому эфиру 3-оксопиперазин-1-карбоновой кислоты (2,06 г), полученному в ссылочном примере 90, с последующим перемешиванием при комнатной температуре в течение 1 часа. Растворитель реакции удаляют при пониженном давлении, получая при этом указанное в заголовке соединение в виде маслянистого продукта (1,44 г, 99%). 1Н-ЯМР (400 МГц, ДМСО-d6) ESI-МС m/z: 115 (М+H)+. [Ссылочный пример 158] 1-(6-Метокси-3-пиридазинил)-5-(4-метокси-2-пиридил)пиразол-3-карбоновая кислота 1) Этиловый эфир 1-(6-хлор-3-пиридазинил)-5-(4-метокси-2-пиридил)пиразол-3-карбоновой кислоты Общую процедуру стадии 1) способа А ссылочного примера 139 повторяют с применением этилового эфира 4-(4-метокси-2-пиридил)-2,4-диоксобутановой кислоты (4,94 г), полученного в ссылочном примере 17, и 3-хлор-6-гидразинопиридазина (2,84 г), получая при этом этиловый эфир 1-(6-хлор-3-пиридазинил)-5-(4-метокси-2-пиридил)пиразол-3-карбоновой кислоты в виде твердого вещества (2,02 г, 29%). 1Н-ЯМР (400 МГц, CDCl3) EI-МС m/z: 359 (М+). 2) Указанное в заголовке соединение Водный 1 н. гидроксид натрия (14 мл) добавляют к полученному выше этиловому эфиру 1-(6-хлор-3-пиридазинил)-5-(4-метокси-2-пиридил)пиразол-3-карбоновой кислоты (2,01 г) в смеси метанола (40 мл) и тетрагидрофурана (40 мл) при комнатной температуре с последующим перемешиванием в течение 1 часа. Растворитель реакции удаляют при пониженном давлении и к остатку добавляют воду и смесь промывают хлороформом. Водный слой распределяют между уксусной кислотой (20 мл) и смесью растворителей метанол-хлороформ (1:5). Органический слой сушат над безводным сульфатом натрия с последующим фильтрованием. Растворитель удаляют при пониженном давлении и остаток растворяют в метаноле (14 мл). В атмосфере аргона к образовавшемуся раствору при комнатной температуре добавляют метоксид натрия (0,332 г) с последующим перемешиванием в течение 3 часов. Смесь кипятят с обратным холодильником при нагревании в течение 2 часов и затем охлаждают на воздухе. Реакционную смесь распределяют с применением уксусной кислоты (10 мл), воды и смеси растворителей метанол-хлороформ (1:10). Органический слой сушат над безводным сульфатом натрия с последующим фильтрованием. Растворитель удаляют при пониженном давлении, получая при этом указанное в заголовке соединение в виде твердого вещества (0,626 г, 34%). 1Н-ЯМР (400 МГц, ДМСО-d6) EI-МС m/z: 327 (М+). [Ссылочный пример 159] 1-(6-Метокси-3-пиридил)-5-(пиррол-2-ил)пиразол-3-карбоновая кислота При охлаждении льдом к этоксиду натрия (1,63 г) в этаноле (20 мл) добавляют диэтилоксалат (3,10 мл) и 1-[1-(фенилсульфонил)пиррол-2-ил]-1-этанон (2,49 г) с последующим перемешиванием при комнатной температуре в течение 5 часов. К реакционной смеси добавляют гидрохлорид 5-гидразино-2-метоксипиридина (2,52 г), полученный в ссылочном примере 1, и этанол (20 мл) и образовавшуюся смесь кипятят с обратным холодильником при нагревании в течение 14,5 часа и затем охлаждают на воздухе. Растворитель реакции удаляют при пониженном давлении и остаток распределяют с применением этилацетата и насыщенного водного гидрокарбоната натрия. Водный слой экстрагируют снова этилацетатом. Органические слой объединяют и затем сушат над безводным сульфатом натрия с последующим фильтрованием. Растворитель удаляют при пониженном давлении, остаток очищают колоночной хроматографией на силикагеле (этилацетат-гексан), получая при этом этиловый эфир 1-(6-метокси-3-пиридил)-5-[1-(фенилсульфонил)пиррол-2-ил]пиразол-3-карбоновой кислоты в виде маслянистого продукта (3,28 г, 72%). К полученному таким образом этиловому эфиру (3,28 г) в этаноле (22 мл) добавляют водный 1 н. гидроксид натрия (22 мл) с последующим перемешиванием при комнатной температуре в течение 2 дней. К реакционной смеси добавляют водную 1 н. хлористоводородную кислоту и осажденное твердое вещество выделяют фильтрованием, получая при этом указанное в заголовке соединение в виде твердого вещества (1,40 г, 68%). 1Н-ЯМР (400 МГц, ДМСО-d6) ESI-МС m/z: 285 (М+H)+. [Ссылочный пример 160] 1-(6-Метокси-3-пиридазинил)-5-(2-пиридил)пиразол-3-карбоновая кислота Метиловый эфир 1-(6-Метокси-3-пиридазинил)-5-(2-пиридил)пиразол-3-карбоновой кислоты (2,20 г), полученный в стадии 3) способа В ссылочного примера 139, растворяют в смеси растворителей метанола (30 мл) и тетрагидрофурана (30 мл) и к раствору при комнатной температуре добавляют 1 н. водный гидроксид натрия (15 мл) с последующим перемешиванием в течение 2,5 часа. При охлаждении льдом к реакционной смеси добавляют 1 н. водную хлористоводородную кислоту (15 мл) и смесь растворителей хлороформ-метанол (10:1) для распределения смеси. Органический слой сушат над безводным сульфатом натрия с последующим фильтрованием. Растворитель удаляют при пониженном давлении и к остатку добавляют изопропиловый эфир и затем осажденное твердое вещество выделяют фильтрованием, получая при этом указанное в заголовке соединение (1,42 г, 47,6%). 1Н-ЯМР (400 МГц, ДМСО-d6) LC-МС m/z: 298 (М+H)+. [Ссылочный пример 161] 1-(6-Метокси-3-пиридил)-5-(1-метилпиррол-2-ил)пиразол-3-карбоновая кислота При охлаждении при -78°С к 1-(1-метилпиррол-2-ил)-1-этанону (1,19 мл) в тетрагидрофуране (10 мл) добавляют 1,0 М бис(триметилсилил)амид лития в тетрагидрофуране (10,4 мл) с последующим перемешиванием смеси в течение 35 минут. К реакционной смеси добавляют диэтилоксалат (2,05 мл) и образовавшуюся смесь постепенно доводят до комнатной температуры с последующим перемешиванием при комнатной температуре в течение 2,5 часа. К реакционной смеси добавляют триэтиламин (1,64 мл), гидрохлорид 5-гидразино-2-метоксипиридина (2,52 г), полученного в ссылочном примере 1, и этанол (50 мл). Смесь кипятят с обратным холодильником при нагревании в течение 2,5 часа. К смеси добавляют уксусную кислоту (5 мл) и реакционную смесь кипятят с обратным холодильником в течение 3 дней и затем охлаждают на воздухе. Растворитель реакции удаляют при пониженном давлении. Остаток распределяют с применением этилацетата и насыщенного водного гидрокарбоната натрия и водный слой экстрагируют этилацетатом. Органические слои объединяют и затем сушат над безводным сульфатом натрия с последующим фильтрованием. Растворитель удаляют при пониженном давлении и остаток очищают колоночной хроматографией на силикагеле (этилацетат-гексан), получая при этом этиловый эфир 1-(6-метокси-3-пиридил)-5-(1-метилпиррол-2-ил)пиразол-3-карбоновой кислоты в виде маслянистого продукта (2,70 г, 82%). К полученному таким образом этиловому эфиру (2,70 г) в этаноле (20 мл) добавляют водный 1 н. гидроксид натрия (21 мл) с последующим перемешиванием при комнатной температуре в течение 26 часов. Реакционную смесь распределяют с применением водной 1 н. хлористоводородной кислоты и этилацетата и водный слой экстрагируют снова этилацетатом. Органические слои объединяют и затем сушат над безводным сульфатом магния с последующим фильтрованием. Растворитель удаляют при пониженном давлении, получая при этом указанное в заголовке соединение в виде аморфного твердого вещества (2,57 г, количественный выход). Без дополнительной очистки соединение подвергают последующему взаимодействию. [Пример 1] 1-[5-(4-Хлорфенил)-1-(6-метокси-3-пиридил)пиразол-3-карбонил)-4-метилпиперазин 1) Указанное в заголовке соединение К раствору 5-(4-хлорфенил)-1-(6-метокси-3-пиридил)пиразол-3-карбоновой кислоты (0,237 г), полученной в ссылочном примере 4, в N,N-диметилформамиде (5,0 мл) при комнатной температуре добавляют 1-гидроксибензотриазол (0,110 г), гидрохлорид 1-(3-диметиламинопропил)-3-этилкарбодиимида (0,303 г), триэтиламин (0,255 мл) и N-метилпиперазин (0,240 мл). Образовавшуюся смесь перемешивают в течение 21 часа и распределяют между водой и этилацетатом. Затем водный слой экстрагируют этилацетатом. Органические слои объединяют и образовавшийся органический слой промывают насыщенным раствором соли и сушат над безводным сульфатом натрия. После фильтрования растворитель удаляют при пониженном давлении. Остаток очищают колоночной хроматографией на силикагеле (хлороформ-метанол), получая при этом указанное в заголовке соединение (0,261 г, 88%). 1Н-ЯМР (400 МГц, CDCl3) МС (ESI) m/z: 412 (М+H)+. 2) Соль указанного в заголовке соединения с хлористоводородной кислотой К раствору указанного в заголовке соединения (0,261 г) в хлороформе (1,0 мл) добавляют 1 М HCl в этаноле (0635 мл) с последующим перемешиванием смеси. К реакционной смеси для осаждения добавляют диэтиловый эфир и пентан. Осажденное таким образом твердое вещество собирают фильтрованием и промывают диэтиловым эфиром с последующей сушкой, получая при этом соль указанного в заголовке соединения с хлористоводородной кислотой (0,223 г, 75%). 1Н-ЯМР (400 МГц, ДМСО-d6) МС (ESI) m/z: 412 (М+H)+. [Пример 2] 1-[5-(4-Этилфенил)-1-(6-метокси-3-пиридил)пиразол-3-карбонил)-4-метилпиперазин 1) Указанное в заголовке соединение Способом, аналогичным способу, применяемому в стадии 1) примера 1, указанное в заголовке соединение получают в виде маслянистого продукта (0,294 г, 87%) с применением 5-(4-этилфенил)-1-(6-метокси-3-пиридил)пиразол-3-карбоновой кислоты (0,269 г), полученной в ссылочном примере 6, и N-метилпиперазина (0,275 мл). 1Н-ЯМР (400 МГц, CDCl3) МС (ESI) m/z: 406 (М+H)+. 2) Соль указанного в заголовке соединения с хлористоводородной кислотой Способом, аналогичным способу, применяемому в стадии 2) примера 1, соль указанного в заголовке соединения с хлористоводородной кислотой получают в виде твердого вещества (0,276 г, 81%) с применением полученного выше, указанного в заголовке соединения (0,294 г). 1Н-ЯМР (400 МГц, ДМСО-d6) LC-МС m/z: 406 (М+H)+. Элементный анализ: как С23Н27N5O2 Вычислено: С, 58,90; Н, 6,66; Cl, 7,56; N, 14,93. Найдено: С, 58,65; Н, 6,51; Cl, 7,63; N, 14,84. [Пример 3] 1-[1-(6-Метокси-3-пиридил)-5-(3-метилфенил)пиразол-3-карбонил]-4-метилпиперазин 1) Указанное в заголовке соединение Способом, аналогичным способу, применяемому в стадии 1) примера 1, указанное в заголовке соединение получают в виде маслянистого продукта (0,471 г, количественный выход) с применением 1-(6-метокси-3-пиридил)-5-(3-метилфенил)пиразол-3-карбоновой кислоты (0,353 г), полученной в ссылочном примере 8, и N-метилпиперазина (0,380 мл). 1Н-ЯМР (400 МГц, CDCl3) МС (ESI) m/z: 392 (М+H)+. 2) Соль указанного в заголовке соединения с хлористоводородной кислотой Способом, аналогичным способу, применяемому в стадии 2) примера 1, соль указанного в заголовке соединения с хлористоводородной кислотой получают в виде твердого вещества (0,356 г, 70%) с применением полученного выше, указанного в заголовке соединения (0,471 г). 1Н-ЯМР (400 МГц, ДМСО-d6) LC-МС m/z: 392 (М+H)+. [Пример 4] 1-[1-(6-Метокси-3-пиридил)-5-(2-метилфенил)пиразол-3-карбонил]-4-метилпиперазин 1) Указанное в заголовке соединение Способом, аналогичным способу, применяемому в стадии 1) примера 1, указанное в заголовке соединение получают в виде маслянистого продукта (0,335 г, 86%) с применением 1-(6-метокси-3-пиридил)-5-(2-метилфенил)пиразол-3-карбоновой кислоты (0,307 г), полученной в ссылочном примере 10, и N-метилпиперазина (0,330 мл). 1Н-ЯМР (400 МГц, CDCl3) МС (ESI) m/z: 392 (М+H)+. 2) Соль указанного в заголовке соединения с хлористоводородной кислотой Способом, аналогичным способу, применяемому в стадии 2) примера 1, соль указанного в заголовке соединения с хлористоводородной кислотой получают в виде твердого вещества (0,30 г, 81%) с применением полученного выше, указанного в заголовке соединения (0,335 г). 1Н-ЯМР (400 МГц, ДМСО-d6) МС (ESI) m/z: 392 (М+H)+. [Пример 5] 1-[5-(3-Фторфенил)-1-(6-метокси-3-пиридил)пиразол-3-карбонил]-4-метилпиперазин 1) Указанное в заголовке соединение Способом, аналогичным способу, применяемому в стадии 1) примера 1, указанное в заголовке соединение получают в виде маслянистого продукта (0,314 г, 83%) с применением 5-(3-фторфенил)-1-(6-метокси-3-пиридил)пиразол-3-карбоновой кислоты (0,302 г), полученной в ссылочном примере 12, и N-метилпиперазина (0,320 мл). 1Н-ЯМР (400 МГц, CDCl3) МС (ESI) m/z: 396 (М+H)+. 2) Соль указанного в заголовке соединения с хлористоводородной кислотой Способом, аналогичным способу, применяемому в стадии 2) примера 1, соль указанного в заголовке соединения с хлористоводородной кислотой получают в виде твердого вещества (0,282 г, 79%) с применением полученного выше, указанного в заголовке соединения (0,314 г). 1Н-ЯМР (400 МГц, ДМСО-d6) LC-МС m/z: 396 (М+H)+. Элементный анализ: как С21Н22FN5O2 Вычислено: С, 56,06; Н, 5,60; Cl, 7,88; F, 4,22; N, 15,57. Найдено: С, 55,97; Н, 5,60; Cl, 8,01 F, 4,20; N, 15,36. [Пример 6] 4-[1-(6-Метокси-3-пиридил)-5-фенилпиразол-3-карбонил)морфолин Способом, аналогичным способу, применяемому в стадии 1) примера 1, указанное в заголовке соединение получают в виде твердого вещества (0,126 г, 66%) с применением 1-(6-метокси-3-пиридил)-5-фенилпиразол-3-карбоновой кислоты (0,155 г), полученной в ссылочном примере 41, и морфолина (0,137 мл). 1Н-ЯМР (400 МГц, CDCl3) МС (FAB) m/z: 365 (М+H)+. [Пример 7] 1-[1-(6-Метокси-3-пиридил)-5-фенилпиразол-3-карбонил]-3,4-диметилпиперазин 1) Указанное в заголовке соединение Способом, аналогичным способу, применяемому в стадии 1) примера 1, указанное в заголовке соединение получают в виде маслянистого продукта (0,268 г, 84%) с применением 1-(6-метокси-3-пиридил)-5-фенилпиразол-3-карбоновой кислоты (0,241 г), полученной в ссылочном примере 41, и соли 1,2-диметилпиперазина с трифторуксусной кислотой (0,838 г), полученной в ссылочном примере 84. 1Н-ЯМР (400 МГц, CDCl3) LC-МС m/z: 392 (М+H)+. 2) Соль указанного в заголовке соединения с хлористоводородной кислотой Способом, аналогичным способу, применяемому в стадии 2) примера 1, соль указанного в заголовке соединения с хлористоводородной кислотой получают в виде твердого вещества (0,173 г, 54%) с применением полученного выше, указанного в заголовке соединения (0,268 г). 1Н-ЯМР (400 МГц, ДМСО-d6) LC-МС m/z: 392 (М+H)+. [Пример 8] 1-[4-Метил-5-фенил-1-(3-пиридил)пиразол-3-карбонил)-4-метилпиперазин 1) Указанное в заголовке соединение Способом, аналогичным способу, применяемому в стадии 1) примера 1, указанное в заголовке соединение получают в виде маслянистого продукта (0,596 г, 61%) с применением 4-метил-5-фенил-1-(3-пиридил)пиразол-3-карбоновой кислоты (0,752 г), полученной в ссылочном примере 54, и N-метилпиперазина (0,90 мл). 1Н-ЯМР (400 МГц, CDCl3) МС (ESI) m/z: 362 (М+H)+. 2) Соль указанного в заголовке соединения с хлористоводородной кислотой Способом, аналогичным способу, применяемому в стадии 2) примера 1, соль указанного в заголовке соединения с хлористоводородной кислотой получают в виде твердого вещества (0,565 г, 84%) с применением полученного выше указанного в заголовке соединения (0,596 г). 1Н-ЯМР (400 МГц, ДМСО-d6) МС (ESI) m/z: 362 (М+H)+. [Пример 9] 1-[4-Метил-1,5-дифенилпиразол-3-карбонил]-4-метилпиперазин 1) Указанное в заголовке соединение Способом, аналогичным способу, применяемому в стадии 1) примера 1, указанное в заголовке соединение получают в виде маслянистого продукта (0,818 г, 90%) с применением 4-метил-1,5-дифенилпиразол-3-карбоновой кислоты (0,70 г), полученной в ссылочном примере 56, и N-метилпиперазина (0,840 мл). 1Н-ЯМР (400 МГц, CDCl3) МС (ESI) m/z: 361 (М+H)+. 2) Соль указанного в заголовке соединения с хлористоводородной кислотой Способом, аналогичным способу, применяемому в стадии 2) примера 1, соль указанного в заголовке соединения с хлористоводородной кислотой получают в виде твердого вещества (0,685 г, 56%) с применением полученного выше, указанного в заголовке соединения (0,818 г). 1Н-ЯМР (400 МГц, ДМСО-d6) МС (ESI) m/z: 361 (М+H)+. Элементный анализ: как С22Н24N4O Вычислено: С, 63,13; Н, 6,53; Cl, 9,32; N, 13,38. Найдено: С, 63,32; Н, 6,42; Cl, 9,11; N, 13,45. [Пример 10] 1-[4-Фтор-1,5-дифенилпиразол-3-карбонил]-4-метилпиперазин 1) Указанное в заголовке соединение Способом, аналогичным способу, применяемому в стадии 1) примера 1, указанное в заголовке соединение получают в виде маслянистого продукта (0,124 г, 49%) с применением 4-фтор-1,5-дифенилпиразол-3-карбоновой кислоты (0,169 г), полученной в ссылочном примере 59, и N-метилпиперазина (0,20 мл). 1Н-ЯМР (400 МГц, CDCl3) МС (ESI) m/z: 365 (М+H)+. 2) Соль указанного в заголовке соединения с хлористоводородной кислотой Способом, аналогичным способу, применяемому в стадии 2) примера 1, указанное в заголовке соединение получают в виде твердого вещества (0,108 г, 79%) с применением полученного выше, указанного в заголовке соединения (0,124 г). 1Н-ЯМР (400 МГц, ДМСО-d6) МС (ESI) m/z: 365 (М+H)+. [Пример 11] 4-[1-(6-Метокси-3-пиридил)-5-фенилпиразол-3-карбонил]-1,1-диоксотиоморфолин Способом, аналогичным способу, применяемому в стадии 1) примера 1, указанное в заголовке соединение получают в виде твердого вещества (0,185 г, 51%) с применением 1-(6-метокси-3-пиридил)-5-фенилпиразол-3-карбоновой кислоты (0,250 г), полученной в ссылочном примере 41, и 1,1-диоксида тиоморфолина (0,126 г). 1Н-ЯМР (400 МГц, CDCl3) МС (EI) m/z: 412 (М+). [Пример 12] 1-[5-(4-Фторфенил)-1-(6-метокси-3-пиридил)пиразол-3-карбонил)-4-метилпиперазин 1) Указанное в заголовке соединение К раствору этилового эфира 5-(4-фторфенил)-1-(6-метокси-3-пиридил)пиразол-3-карбоновой кислоты (2,1 г), полученного в ссылочном примере 135, в метаноле (20 мл) добавляют при 0°С 1 М водный гидроксид натрия (15,4 мл). Образовавшуюся смесь перемешивают при комнатной температуре в течение 4,5 часа и затем охлаждают до 0°С. К смеси медленно добавляют концентрированную хлористоводородную кислоту, посредством чего рН устанавливают до 3. Затем к смеси добавляют хлороформ и образованное твердое вещество растворяют. Растворитель удаляют при пониженном давлении и остаток распределяют между водой и смесью растворителей хлороформ-метанол (9:1). Органический слой промывают насыщенным раствором соли и сушат над безводным сульфатом натрия. После фильтрования растворитель удаляют при пониженном давлении. Остаток растворяют в смеси растворителей N,N-диметилформамида (50 мл) и метиленхлорида (30 мл). К образовавшейся смеси добавляют N-метилпиперазин (1,37 мл), триэтиламин (3,4 мл), 1-гидроксибензотриазол (1,66 г) и гидрохлорид 1-(3-диметиламинопропил)-3-этилкарбодиимида (2,36 г) при комнатной температуре. Смесь перемешивают при комнатной температуре в течение 62 часов и распределяют между насыщенным водным гидрокарбонатом натрия и хлороформом. Органический слой промывают насыщенным раствором соли и сушат над безводным сульфатом натрия. Образовавшуюся смесь подвергают фильтрованию и растворитель удаляют при пониженном давлении. Остаток очищают колоночной хроматографией на силикагеле (хлороформ-метанол), получая при этом указанное в заголовке соединение (2,421 г, 99,5%). 1Н-ЯМР (400 МГц, CDCl3) МС (EI) m/z: 395 (М+). 2) Соль указанного в заголовке соединения с хлористоводородной кислотой 1-[5-(4-Фторфенил)-1-(6-метокси-3-пиридил)пиразол-3-карбонил)-4-метилпиперазин (1,12 г) растворяют в диэтиловом эфире (10 мл). В потоке аргона 1 М HCl в этаноле (8,5 мл) добавляют к раствору при комнатной температуре. Образовавшуюся смесь перемешивают при постоянной температуре в течение 4 часов. К смеси добавляют этанол и затем растворитель удаляют при пониженном давлении. К остатку добавляют эфир и гексан и осажденное твердое вещество промывают с последующим фильтрованием. Отфильтрованное твердое вещество перекристаллизовывают из этанола, получая при этом указанное в заголовке соединение в виде твердого вещества (715 мг, 57%). МС (EI) m/z: 395 (М+). Элементный анализ: как С21Н22FN5O2 Вычислено: С, 57,21; Н, 5,49; N, 15,88; F, 4,31; Cl, 8,04. Найдено: С, 57,28; Н, 5,37; N, 16,22; F, 4,19; Cl, 8,06. [Пример 13] 4-[5-(4-Фторфенил)-1-(6-метокси-3-пиридил)пиразол-3-карбонил)морфолин Способом, аналогичным способу, применяемому в стадии 1) примера 1, указанное в заголовке соединение получают в виде твердого вещества (0,386 г, 86%) с применением 5-(4-фторфенил)-1-(6-метокси-3-пиридил)пиразол-3-карбоновой кислоты (0,368 г), полученной в ссылочном примере 136, и морфолина (0,310 мл). 1Н-ЯМР (400 МГц, CDCl3) [Пример 14] 1-[1-(6-Метокси-3-пиридил)-5-фенилпиразол-3-карбонил)-4-бензил-3-метилпиперазин Способом, аналогичным способу, применяемому в стадии 1) примера 1, указанное в заголовке соединение получают в виде маслянистого продукта (0,462 г, количественный выход) с применением 1-(6-метокси-3-пиридил)-5-фенилпиразол-3-карбоновой кислоты (0,290 г), полученной в ссылочном примере 41, и соли 1-бензил-2-метилпиперазина с трифторуксусной кислотой (0,609 г), полученной в стадии 2) ссылочного примера 85. 1Н-ЯМР (400 МГц, CDCl3) МС (FAB) m/z: 468 (М+H)+. [Пример 15] 1-[1-(6-Метокси-3-пиридил)-5-фенилпиразол-3-карбонил]-3-метилпиперазин 1) Указанное в заголовке соединение К раствору 1-[1-(6-метокси-3-пиридил)-5-фенилпиразол-3-карбонил]-4-бензил-3-метилпиперазина (0,459 г), полученного в примере 14, в этаноле (10 мл) при комнатной температуре добавляют 1 М HCl-этанол (0,980 мл) и 10% палладий на угле (123 мг). Образовавшуюся смесь перемешивают в атмосфере водорода в течение 5,5 часа. После замены атмосферы на азот смесь нейтрализуют до рН 8 1 М водным гидроксидом натрия с последующим удалением нерастворимого вещества посредством фильтрования. Растворитель фильтрата удаляют при пониженном давлении и затем остаток распределяют между водой и хлороформом. Водный слой экстрагируют хлороформом. Органические слои объединяют и промывают насыщенным раствором соли с последующей сушкой над безводным сульфатом натрия. Образовавшуюся смесь подвергают фильтрованию и растворитель удаляют при пониженном давлении. Остаток очищают колоночной хроматографией на силикагеле (хлороформ-метанол), получая при этом указанное в заголовке соединение в виде маслянистого продукта (0,250 г, 67%). 1Н-ЯМР (400 МГц, CDCl3) МС (ESI) m/z: 378 (М+H)+. 2) Соль указанного в заголовке соединения с хлористоводородной кислотой Способом, аналогичным способу, применяемому в стадии 2) примера 1, соль указанного в заголовке соединения с хлористоводородной кислотой получают в виде твердого вещества (0,201 г, 68%) с применением полученного выше соединения (0,250 г). 1Н-ЯМР (400 МГц, CDCl3) МС (ESI) m/z: 378 (М+H)+. Элементный анализ: как С21Н23N5O2 Вычислено: С, 56,27; Н, 6,12; Cl, 9,49; N, 15,62. Найдено: С, 56,12; Н, 6,00; Cl, 9,84; N, 15,45. [Пример 16] 1-[1-(6-Метокси-3-пиридил)-5-фенилпиразол-3-карбонил]пиперазин 1) трет-Бутиловый эфир 1-[1-(6-метокси-3-пиридил)-5-фенилпиразол-3-карбонил]пиперазин-4-карбоновой кислоты Способом, аналогичным способу, применяемому в стадии 1) примера 1, трет-бутиловый эфир 1-[1-(6-метокси-3-пиридил)-5-фенилпиразол-3-карбонил]пиперазин-4-карбоновой кислоты получают в виде маслянистого продукта (0,772 г, количественный выход) с применением 1-(6-метокси-3-пиридил)-5-фенилпиразол-3-карбоновой кислоты (0,407 г), полученной в ссылочном примере 41, и трет-бутилового эфира пиперазин-1-карбоновой кислоты. 1Н-ЯМР (400 МГц, CDCl3) МС (ESI) m/z: 464 (М+Н)+. 2) Указанное в заголовке соединение При комнатной температуре трифторуксусную кислоту (2,4 мл) добавляют к раствору указанного выше трет-бутилового эфира 1-[1-(6-метокси-3-пиридил)-5-фенилпиразол-3-карбонил]пиперазин-4-карбоновой кислоты (0,639 г) в метиленхлориде (15 мл) с последующим перемешиванием смеси в течение 0,7 часа. Растворитель реакции удаляют при пониженном давлении и остаток распределяют между хлороформом и насыщенным водным гидрокарбонатом натрия. Водный слой экстрагируют хлороформом. Органические слои объединяют и промывают насыщенным раствором соли с последующей сушкой над безводным сульфатом натрия. После фильтрования растворитель удаляют при пониженном давлении. Остаток очищают колоночной хроматографией на силикагеле (хлороформ-метанол), получая при этом указанное в заголовке соединение в виде маслянистого продукта (0,446 г, 89%). 1Н-ЯМР (400 МГц, CDCl3) МС (FAB) m/z: 364 (М+H)+. [Пример 17] 1-[1-(6-Метокси-3-пиридил)-5-фенилпиразол-3-карбонил]-4-изопропилпиперазин 1) Указанное в заголовке соединение К раствору 1-[1-(6-метокси-3-пиридил)-5-фенилпиразол-3-карбонил]пиперазина (0,446 г), полученного в примере 16, в N,N-диметилформамиде (7,5 мл) при комнатной температуре добавляют карбонат калия (0,505 г) и изопропилбромид (0,30 мл) и смесь перемешивают при 60°С в течение 16 часов и затем охлаждают на воздухе. Реакционную смесь распределяют между водой и этилацетатом. Затем водный слой экстрагируют этилацетатом. Органические слои объединяют и промывают насыщенным раствором соли с последующей сушкой над безводным сульфатом натрия. После фильтрования растворитель удаляют при пониженном давлении. Остаток очищают колоночной хроматографией на силикагеле (хлороформ-метанол), получая при этом указанное в заголовке соединение в виде маслянистого продукта (0,283 г, 57%). 1Н-ЯМР (400 МГц, CDCl3) МС (ESI) m/z: 406 (М+H)+. 2) Соль указанного в заголовке соединения с хлористоводородной кислотой Способом, аналогичным способу, применяемому в стадии 2) примера 1, указанное в заголовке соединение получают в виде твердого вещества (0,226 г, 73%) с применением полученного выше, указанного в заголовке соединения (0,283 г). 1Н-ЯМР (400 МГц, ДМСО-d6) МС (ESI) m/z: 406 (М+H)+. [Пример 18] 1-[5-(4-Бензилоксифенил)-1-(6-метокси-3-пиридил)пиразол-3-карбонил]-4-метилпиперазин Способом, аналогичным способу, применяемому в стадии 1) примера 1, указанное в заголовке соединение получают в виде маслянистого продукта (0,802 г, 72%) с применением 5-(4-бензилоксифенил)-1-(6-метокси-3-пиридил)пиразол-3-карбоновой кислоты (0,926 г), полученной в ссылочном примере 14, и N-метилпиперазина (0,765 мл). 1Н-ЯМР (400 МГц, CDCl3) МС (FAB) m/z: 484 (М+H)+. [Пример 19] 1-[5-(4-Гидроксифенил)-1-(6-метокси-5-пиридил)пиразол-3-карбонил]-4-метилпиперазин 1) Указанное в заголовке соединение К раствору 1-[5-(4-бензилоксифенил)-1-(6-метокси-3-пиридил)пиразол-3-карбонил]-4-метилпиперазина (0,802 г), полученного в примере 18, в этаноле (15 мл) добавляют 10% палладий на угле (0,466 г) и 1 М HCl-этанол (1,65 мл) и смесь перемешивают при комнатной температуре в атмосфере водорода в течение 24 часов. После завершения реакции атмосферу меняют на азот и смесь нейтрализуют водным гидроксидом натрия. Нерастворимое вещество отделяют и остаток промывают метанолом. Растворитель фильтрата удаляют при пониженном давлении и остаток распределяют между водой и хлороформом. Затем водный слой экстрагируют хлороформом. Органические слои объединяют и промывают насыщенным раствором соли с последующей сушкой над безводным сульфатом натрия. После фильтрования растворитель удаляют при пониженном давлении. Остаток очищают колоночной хроматографией на силикагеле (хлороформ-метанол), получая при этом указанное в заголовке соединение в виде пенообразного вещества (0,493 г, 69%). 1Н-ЯМР (400 МГц, CDCl3) МС (ESI) m/z: 394 (М+H)+. 2) Соль указанного в заголовке соединения с хлористоводородной кислотой Способом, аналогичным способу, применяемому в стадии 2) примера 1, соль указанного в заголовке соединения с хлористоводородной кислотой получают в виде твердого вещества (0,436 г, 72%) с применением полученного выше, указанного в заголовке соединения (0,493 г). 1Н-ЯМР (400 МГц, ДМСО-d6) МС (ESI) m/z: 394 (М+H)+. [Пример 20] 1-[1-(6-Метокси-3-пиридил)-5-фенилпиразол-3-карбонил]-4-метил-3-оксопиперазин При комнатной температуре 1-гидроксибензотриазол (0,341 г), гидрохлорид 1-(3-диметиламинопропил)-3-этилкарбодиимида (0,971 г), триэтиламин (1,61 мл) и соль N-метилпиперазин-2-она с трифторуксусной кислотой (1,06 г), полученную в ссылочном примере 91, добавляют к раствору 1-(6-метокси-3-пиридил)-5-фенилпиразол-3-карбоновой кислоты (0,695 г), полученной в ссылочном примере 41, в метиленхлориде (15 мл) с последующим перемешиванием смеси в течение 26 часов. Реакционную смесь подкисляют до рН 4 1 М водной хлористоводородной кислотой. Смесь распределяют между водой и хлороформом. Затем водный слой экстрагируют хлороформом и органические слои объединяют с последующим промыванием насыщенным раствором соли и сушкой над безводным сульфатом натрия. После фильтрования растворитель удаляют при пониженном давлении. Остаток очищают колоночной хроматографией на силикагеле (хлороформ-ацетон), получая при этом указанное в заголовке соединение в виде твердого вещества (0,707 г, 79%). 1Н-ЯМР (400 МГц, CDCl3) МС (ESI) m/z: 392 (М+H)+. [Пример 21] 4-[1-(6-Метокси-3-пиридил)-5-фенилпиразол-3-карбонил]-1,2,6-триметилпиперазин 1) Указанное в заголовке соединение Способом, аналогичным способу, применяемому в стадии 1) примера 1, указанное в заголовке соединение получают в виде маслянистого продукта (0,351 г, 76%) с применением 1-(6-метокси-3-пиридил)-5-фенилпиразол-3-карбоновой кислоты (0,337 г), полученной в ссылочном примере 41, и солью 1,2,6-триметилпиперазина с трифторуксусной кислотой (1,178 г), полученной в ссылочном примере 89. 1Н-ЯМР (400 МГц, CDCl3) МС (ESI) m/z: 406 (М+H)+. 2) Соль указанного в заголовке соединения с хлористоводородной кислотой Способом, аналогичным способу, применяемому в стадии 2) примера 1, соль указанного в заголовке соединения с хлористоводородной кислотой получают в виде твердого вещества (0,277 г, 71%) с применением полученного выше, указанного в заголовке соединения (0,335 г). 1Н-ЯМР (400 МГц, ДМСО-d6) МС (ESI) m/z: 406 (М+H)+. [Пример 22] 4-[1-(6-Метокси-3-пиридил)-5-фенилпиразол-3-карбонил]-2,6-диметилпиперазин Способом, аналогичным способу, применяемому в примере 20, указанное в заголовке соединение получают в виде твердого вещества (0,312 г, 94%) с применением 1-(6-метокси-3-пиридил)-5-фенилпиразол-3-карбоновой кислоты (0,278 г), полученной в ссылочном примере 41, и 2,6-диметилпиперазина (0,214 г). 1Н-ЯМР (400 МГц, CDCl3) LC-МС m/z: 392 (М+H)+. [Пример 23] 1-[1-(6-Метокси-3-пиридил)-5-(2-пиридил)пиразол-3-карбонил]-4-метил-3-оксопиперазин Способом, аналогичным способу, применяемому в примере 20, указанное в заголовке соединение получают в виде пенообразного вещества (0,213 г, 94%) с применением 1-(6-метокси-3-пиридил)-5-(2-пиридил)пиразол-3-карбоновой кислоты (0,171 г), полученной в ссылочном примере 33, и соли N-метилпиперазин-2-она с трифторуксусной кислотой (0,251 г), полученной в ссылочном примере 91. 1Н-ЯМР (400 МГц, CDCl3) МС (FAB) m/z: 393 (М+H)+. Элементный анализ: как С20Н20N6O3 Вычислено: С, 57,27; Н, 5,53; N, 20,04. Найдено: С, 57,03; Н, 5,06; N, 19,66. [Пример 24] 4-[1-(6-Метокси-3-пиридил)-5-(2-пиридил)пиразол-3-карбонил]-1,2,6-триметилпиперазин 1) Указанное в заголовке соединение Способом, аналогичным способу, применяемому в примере 20, указанное в заголовке соединение получают в виде пенообразного вещества (0,272 г, количественный выход) с применением 1-(6-метокси-3-пиридил)-5-(2-пиридил)пиразол-3-карбоновой кислоты (0,197 г), полученной в ссылочном примере 33, и соли 1,2,6-триметилпиперазина с трифторуксусной кислотой (0,477 г), полученной в ссылочном примере 89. 1Н-ЯМР (400 МГц, CDCl3) МС (SEI) m/z: 407 (М+H)+. 2) Соль указанного в заголовке соединения с хлористоводородной кислотой Способом, аналогичным способу, применяемому в стадии 2) примера 1, соль указанного в заголовке соединения с хлористоводородной кислотой получают в виде твердого вещества (0,222 г, 67%) с применением полученного выше, указанного в заголовке соединения (0,272 г). 1Н-ЯМР (400 МГц, ДМСО-d6) МС (ESI) m/z: 407 (М+H)+. [Пример 25] 1-[1-(6-Метокси-3-пиридил)-5-фенилпиразол-3-карбонил]-4-фенилпиперазин Способом, аналогичным способу, применяемому в примере 20, указанное в заголовке соединение получают в виде пенообразного вещества (0,372 г, 85%) с применением 1-(6-метокси-3-пиридил)-5-фенилпиразол-3-карбоновой кислоты (0,296 г), полученной в ссылочном примере 41, и N-фенилпиперазина (0,305 мл). 1Н-ЯМР (400 МГц, CDCl3) МС (FAB) m/z: 440 (M+H)+. [Пример 26] 1-[1-(6-Метокси-3-пиридил)-5-фенилпиразол-3-карбонил]-4-(2-пиридил)пиперазин Способом, аналогичным способу, применяемому в примере 20, указанное в заголовке соединение получают в виде аморфного продукта (0,393 г, 90%) с применением 1-(6-метокси-3-пиридил)-5-фенилпиразол-3-карбоновой кислоты (0,299 г), полученной в ссылочном примере 41, и N-(пиридин-2-ил)пиперазина (0,275 мл). 1Н-ЯМР (400 МГц, CDCl3) МС (FAB) m/z: 441 (М+H)+. [Пример 27] 1-[1-(6-Метокси-3-пиридил)-5-(4-метокси-2-пиридил)пиразол-3-карбонил]-4-метилпиперазин Способом, аналогичным способу, применяемому в стадии 1) примера 1, указанное в заголовке соединение получают в виде твердого вещества (0,140 г, 65%) с применением 1-(6-метокси-3-пиридил)-5-(4-метокси-2-пиридил)пиразол-3-карбоновой кислоты (0,171 г), полученной в ссылочном примере 19, и N-метилпиперазина (0,0639 мл). 1Н-ЯМР (400 МГц, CDCl3) МС (EI) m/z: 408 (М+). [Пример 28] 4-[1-(6-Метокси-3-пиридил)-5-(4-метокси-2-пиридил)пиразол-3-карбонил]морфолин Способом, аналогичным способу, применяемому в стадии 1) примера 1, указанное в заголовке соединение получают в виде твердого вещества (0,132 г, 62%) с применением 1-(6-метокси-3-пиридил)-5-(4-метокси-2-пиридил)пиразол-3-карбоновой кислоты (0,171 г), полученной в ссылочном примере 19, и морфолина (0,0502 мл). 1Н-ЯМР (400 МГц, CDCl3) МС (FAB) m/z: 396 (М+H)+. Элементный анализ: как С20Н21N5O4 Вычислено: С, 59,40; Н, 5,48; N, 17,32. Найдено: С, 59,64; Н, 5,31; N, 17,19. [Пример 29] 1-[1-(6-Метокси-3-пиридил)-5-(2-пиридил)пиразол-3-карбонил]-4-этилпиперазин 1) Указанное в заголовке соединение Способом, аналогичным способу, применяемому в стадии 1) примера 1, указанное в заголовке соединение получают в виде маслянистого продукта (0,265 г, количественный выход) с применением 1-(6-метокси-3-пиридил)-5-(2-пиридил)пиразол-3-карбоновой кислоты (0,20 г), полученной в ссылочном примере 33, и N-этилпиперазина (0,0942 мл). 1Н-ЯМР (400 МГц, CDCl3) МС (EI) m/z: 392 (М+). 2) Соль указанного в заголовке соединения с хлористоводородной кислотой При 0°С 1 н. HCl-этанол (1,27 мл) добавляют по каплям к раствору полученного выше, указанного в заголовке соединения (0,249 г) в диэтиловом эфире (10 мл) с последующим перемешиванием смеси в течение 10 минут. Осажденные кристаллы собирают фильтрованием с последующим промыванием диэтиловым эфиром и сушкой, получая при этом соль указанного в заголовке соединения с хлористоводородной кислотой в виде твердого вещества (0,257 г, 81%). 1Н-ЯМР (400 МГц, ДМСО-d6) МС (EI) m/z: 392 (М+). [Пример 30] 1-[1-(6-Метокси-3-пиридил)-5-(2-пиридил)пиразол-3-карбонил]-3,4-диметилпиперазин 1) Указанное в заголовке соединение Способом, аналогичным способу, применяемому в стадии 1) примера 1, указанное в заголовке соединение получают в виде маслянистого продукта (0,234 г, 88%) с применением 1-(6-метокси-3-пиридил)-5-(2-пиридил)пиразол-3-карбоновой кислоты (0,20 г), полученной в ссылочном примере 33, и соли 1,2-диметилпиперазина с трифторуксусной кислотой (0,254 г), полученной в ссылочном примере 84. 1Н-ЯМР (400 МГц, CDCl3) МС (EI) m/z: 392 (М+). 2) Соль указанного в заголовке соединения с хлористоводородной кислотой Способом, подобным способу, применяемому в стадии 2) примера 29, соль указанного в заголовке соединения с хлористоводородной кислотой получают в виде твердого вещества (0,192 г, 67%) с применением полученного выше, указанного в заголовке соединения (0,223 г). 1Н-ЯМР (400 МГц, ДМСО-d6) МС (EI) m/z: 392 (М+). [Пример 31] 1-[1-(6-Метокси-3-пиридил)-5-(6-метокси-2-пиридил)пиразол-3-карбонил]-4-метилпиперазин 1) Указанное в заголовке соединение Способом, аналогичным способу, применяемому в стадии 1) примера 1, указанное в заголовке соединение получают в виде маслянистого продукта (0,217 г, 96%) с применением 1-(6-метокси-3-пиридил)-5-(6-метокси-2-пиридил)пиразол-3-карбоновой кислоты (0,180 г), полученной в ссылочном примере 25, и N-метилпиперазина (0,0673 г). 1Н-ЯМР (400 МГц, CDCl3) МС (EI) m/z: 408 (М+). 2) Соль указанного в заголовке соединения с хлористоводородной кислотой Способом, подобным способу, применяемому в стадии 2) примера 29, соль указанного в заголовке соединения с хлористоводородной кислотой получают в виде твердого вещества (0,185 г, 78%) с применением полученного выше, указанного в заголовке соединения (0,209 г). 1Н-ЯМР (400 МГц, CD3OD) МС (EI) m/z: 408 (М+). Элементный анализ: как С21Н24N6O3 Вычислено: С, 54,49; Н, 5,88; N, 18,15; Cl, 7,66. Найдено: С, 54,46; Н, 5,94; N, 18,01; Cl, 7,75. [Пример 32] 4-[1-(6-Метокси-3-пиридил)-5-(6-метокси-2-пиридил)пиразол-3-карбонил]морфолин Способом, аналогичным способу, применяемому в стадии 1) примера 1, указанное в заголовке соединение получают в виде твердого вещества (0,176 г, 80%) с применением 1-(6-метокси-3-пиридил)-5-(6-метокси-2-пиридил)пиразол-3-карбоновой кислоты (0,180 г), полученной в ссылочном примере 25, и морфолина (0,0529 мл). 1Н-ЯМР (400 МГц, CDCl3) МС (EI) m/z: 395 (М+). [Пример 33] 1-[1-(6-Метокси-3-пиридил)-5-(6-метил-2-пиридил)пиразол-3-карбонил]-4-метилпиперазин Способом, аналогичным способу, применяемому в стадии 1) примера 1, указанное в заголовке соединение получают в виде твердого вещества (0,148 г, 72%) с применением 1-(6-метокси-3-пиридил)-5-(6-метил-2-пиридил)пиразол-3-карбоновой кислоты (0,162 г), полученной в ссылочном примере 30, и N-метилпиперазина (0,0637 мл). 1Н-ЯМР (400 МГц, CDCl3) МС (EI) m/z: 392 (М+). [Пример 34] 4-[1-(6-Метокси-3-пиридил)-5-(6-метил-2-пиридил)пиразол-3-карбонил]морфолин Способом, аналогичным способу, применяемому в стадии 1) примера 1, указанное в заголовке соединение получают в виде твердого вещества (0,156 г, 78%) с применением 1-(6-метокси-3-пиридил)-5-(6-метил-2-пиридил)пиразол-3-карбоновой кислоты (0,162 г), полученной в ссылочном примере 30, и морфолина (0,050 мл). 1Н-ЯМР (400 МГц, CDCl3) МС (EI) m/z: 379 (М+). Элементный анализ: как С20Н21N5O3 Вычислено: С, 62,57%; Н, 5,64%; N, 18,24%. Найдено: С, 62,61%; Н, 5,53%; N, 17,98%. [Пример 35] 1-[1-(6-Метокси-3-пиридил)-5-(2-пиридил)пиразол-3-карбонил]-4-метилпиперазин 1) Указанное в заголовке соединение Способом, аналогичным способу, применяемому в стадии 1) примера 1, указанное в заголовке соединение получают в виде аморфного продукта (0,132 г, 63%) с применением 1-(6-метокси-3-пиридил)-5-(2-пиридил)пиразол-3-карбоновой кислоты (0,164 г), полученной в ссылочном примере 33, и N-метилпиперазина (0,0675 мл). 1Н-ЯМР (400 МГц, CDCl3) МС (EI) m/z: 378 (М+). 2) Соль указанного в заголовке соединения с хлористоводородной кислотой Способом, аналогичным способу, применяемому в стадии 2) примера 29, указанное в заголовке соединение получают в виде твердого вещества (0,135 г, 45%) с применением полученного выше, указанного в заголовке соединения (0,241 г). 1Н-ЯМР (400 МГц, ДМСО-d6) МС (EI) m/z: 378 (М+). [Пример 36] 4-[1-(6-Метокси-3-пиридил)-5-(2-пиридил)пиразол-3-карбонил]морфолин Способом, аналогичным способу, применяемому в стадии 1) примера 1, указанное в заголовке соединение получают в виде твердого вещества (0,171 г, 83%) с применением 1-(6-метокси-3-пиридил)-5-(2-пиридил)пиразол-3-карбоновой кислоты (0,164 г), полученной в ссылочном примере 33, и морфолина (0,053 мл). 1Н-ЯМР (400 МГц, CDCl3) МС (EI) m/z: 365 (М+). [Пример 37] 1-[1-(6-Метокси-3-пиридил)-5-(4-метилфенил)пиразол-3-карбонил]-4-метилпиперазин 1) Указанное в заголовке соединение Способом, аналогичным способу, применяемому в стадии 1) примера 1, указанное в заголовке соединение получают в виде аморфного продукта (0,912 г, количественный выход) с применением 1-(6-метокси-3-пиридил)-5-(4-метилфенил)пиразол-3-карбоновой кислоты (0,70 г), полученной в ссылочном примере 36, и N-метилпиперазина (0,276 мл). 1Н-ЯМР (400 МГц, CDCl3) МС (EI) m/z: 391 (М+). 2) Соль указанного в заголовке соединения с хлористоводородной кислотой Способом, подобным способу, применяемому в стадии 2) примера 29, соль указанного в заголовке соединения с хлористоводородной кислотой получают в виде твердого вещества (0,425 г, 75%) с применением полученного выше, указанного в заголовке соединения (0,493 г). 1H-ЯМР (400 МГц, CD3OD) МС (EI) m/z: 391 (М+). [Пример 38] 1-[5-(2-Фторфенил)-1-(6-метокси-3-пиридил)пиразол-3-карбонил]-4-метилпиперазин 1) Указанное в заголовке соединение Способом, аналогичным способу, применяемому в стадии 1) примера 1, указанное в заголовке соединение получают в виде маслянистого продукта (0,238 г, 97%) с применением 5-(2-фторфенил)-1-(6-метокси-3-пиридил)пиразол-3-карбоновой кислоты (0,195 г), полученной в ссылочном примере 39, и N-метилпиперазина (0,076 мл). 1Н-ЯМР (400 МГц, CDCl3) МС (EI) m/z: 395 (М+). 2) Соль указанного в заголовке соединения с хлористоводородной кислотой Способом, аналогичным способу, применяемому в стадии 2) примера 29, соль указанного в заголовке соединения с хлористоводородной кислотой получают в виде твердого вещества (0,125 г, 51%) с применением полученного выше, указанного в заголовке соединения (0,224 г). 1Н-ЯМР (400 МГц, CD3OD) МС (EI) m/z: 395 (М+). [Пример 39] Гидрохлорид 1-[1-(6-метокси-3-пиридил)-5-фенилпиразол-3-карбонил]-2-(2-аминоэтил)пиперидина К раствору 1-[1-(6-метокси-3-пиридил)-5-фенилпиразол-3-карбонил]-2-(2-азидоэтил)пиперидина (179 мг), полученного в ссылочном примере 81, в метаноле (5 мл) добавляют 1 М водную хлористоводородную кислоту (415 мкл) и 10% палладий на угле (50% влаги, 36 мг). Образовавшуюся смесь перемешивают при комнатной температуре в течение 10 часов в атмосфере водорода. После удаления катализатора фильтрованием растворитель фильтрата удаляют при пониженном давлении и остаток растворяют в воде с последующей лиофилизацией, получая при этом указанное в заголовке соединение в виде твердого вещества (172 мг, 89%). 1Н-ЯМР (400 МГц, ДМСО-d6) МС (ESI) m/z: 406 (М+H)+. [Пример 40] 1-[1-(6-Метокси-3-пиридил)-5-фенилпиразол-3-карбонил]-2-(2-диметиламиноэтил)пиперидин 1) Указанное в заголовке соединение К раствору трет-бутилового эфира 2-(2-диметиламиноэтил)пиперидин-1-карбоновой кислоты (172 мг), полученного в ссылочном примере 92, в метиленхлориде (3 мл), добавляют трифторуксусную кислоту (1 мл). Образовавшуюся смесь перемешивают при комнатной температуре в течение 30 минут. Растворитель удаляют при пониженном давлении и остаток растворяют в метиленхлориде (10 мл). К смеси добавляют 1-(6-метокси-3-пиридил)-5-фенилпиразол-3-карбоновую кислоту (198 мг), полученную в ссылочном примере 41, 1-гидроксибензотриазол (90 мг), триэтиламин (467 мкл) и гидрохлорид 1-(3-диметиламинопропил)-3-этилкарбодиимида (192 мг) с последующим перемешиванием при комнатной температуре в течение 15 часов. Растворитель удаляют при пониженном давлении и остаток распределяют между водой и этилацетатом. Органический слой промывают водой и насыщенным раствором соли с последующей сушкой над безводным сульфатом натрия. Образовавшуюся смесь подвергают фильтрованию и растворитель удаляют при пониженном давлении. Остаток очищают тонкослойной хроматографией на силикагеле (хлороформ-метанол), получая при этом указанное в заголовке соединение в виде маслянистого продукта (100 мг, 34%). 1Н-ЯМР (400 МГц, CDCl3) [как смесь двух изомеров] МС (ESI) m/z: 434 (М+H)+. 2) Соль указанного в заголовке соединения с хлористоводородной кислотой Способом, аналогичным способу, применяемому в стадии 2) примера 29, соль указанного в заголовке соединения с хлористоводородной кислотой получают в виде твердого вещества (109 мг, 93%) с применением полученного выше, указанного в заголовке соединения (100 мг). 1Н-ЯМР (400 МГц, ДМСО-d6) МС (ESI) m/z: 434 (М+H)+. [Пример 41] 1-[1,4-Дигидро-1-(6-метокси-3-пиридил)индено[1,2-c]пиразол-3-карбонил]-4-метилпиперазин Способом, аналогичным способу, применяемому в примере 20, указанное в заголовке соединение получают в виде аморфного продукта (281 мг, 72%) с применением 1,4-дигидро-1-(6-метокси-3-пиридил)индено[1,2-c]пиразол-3-карбоновой кислоты (307 мг), полученной в ссылочном примере 61, и N-метилпиперазина (166 мкл). 1Н-ЯМР (400 МГц, CDCl3) МС (ESI) m/z: 390 (М+H)+. [Пример 42] 1-[4,5-Дигидро-1-(6-метокси-3-пиридил)бензо[g]индазол-3-карбонил]-4-метилпиперазин 1) Указанное в заголовке соединение Способом, аналогичным способу, применяемому в примере 20, указанное в заголовке соединение получают в виде твердого вещества (281 мг, 93%) с применением 4,5-дигидро-1-(6-метокси-3-пиридил)бензо[g]индазол-3-карбоновой кислоты (241 мг), полученной в ссылочном примере 72, и N-метилпиперазина (125 мкл). 2) Соль указанного в заголовке соединения с хлористоводородной кислотой Способом, подобным способу, применяемому в стадии 2) примера 29, соль указанного в заголовке соединения с хлористоводородной кислотой получают в виде кристаллов (259 мг, 83%) с применением полученного выше, указанного в заголовке соединения (278 мг). 1Н-ЯМР (400 МГц, ДМСО-d6) МС (ESI) m/z: 404 (М+H)+. Элементный анализ: как С23Н25N5O2 Вычислено: С, 61,53; Н, 6,06; N, 15,60; Cl, 7,90. Найдено: С, 61,70; Н, 6,06; N, 15,57; Cl, 8,06. [Пример 43] 1-[1,4-Дигидро-1-(6-метокси-3-пиридил)хромено[4,3-c]пиразол-3-карбонил]-4-метилпиперазин Способом, аналогичным способу, применяемому в примере 20, указанное в заголовке соединение получают в виде кристаллов (187 мг, 76%) с применением 1,4-дигидро-1-(6-метокси-3-пиридил)хромено[4,3-c]пиразол-3-карбоновой кислоты (194 мг), полученной в ссылочном примере 74, и N-метилпиперазина (100 мкл). 1Н-ЯМР (400 МГц, CDCl3) МС (ESI) m/z: 406 (М+H)+. Элементный анализ: как С22Н23N5O3. Вычислено: С, 65,17; Н, 5,72; N, 17,27. Найдено: С, 65,02; Н, 5,64; N, 17,19. [Пример 44] 1-[1,4-Дигидро-1-(6-метокси-3-пиридил)-4-оксоиндено[1,2-c]пиразол-3-карбонил]-4-метилпиперазин Способом, аналогичным способу, применяемому в примере 20, указанное в заголовке соединение получают в виде маслянистого продукта (12 мг, 60%) с применением 1,4-дигидро-1-(6-метокси-3-пиридил)-4-оксоиндено[1,2-c]пиразол-3-карбоновой кислоты (16 мг), полученной в ссылочном примере 70, и N-метилпиперазина (11 мкл). 1Н-ЯМР (400 МГц, CDCl3) МС (ESI) m/z: 404 (М+H)+. [Пример 45] 1-[1,4-Дигидро-1-(6-метил-3-пиридил)индено[1,2-c]пиразол-3-карбонил]-4-метилпиперазин Способом, аналогичным способу, применяемому в примере 20, указанное в заголовке соединение получают в виде кристаллов (108 мг, 57%) с применением 1,4-дигидро-1-(6-метил-3-пиридил)индено[1,2-c]пиразол-3-карбоновой кислоты (145 мг), полученной в ссылочном примере 64, и N-метилпиперазина (66 мкл). 1Н-ЯМР (400 МГц, CDCl3) МС (ESI) m/z: 374 (М+H)+. Элементный анализ: как С22Н23N5O·0,25 Н2О. Вычислено: С, 69,91; Н, 6,27; N, 18,53. Найдено: С, 69,79; Н, 6,10; N, 18,24. [Пример 46] 1-[1,4-Дигидро-1-(6-этил-3-пиридил)индено[1,2-c]пиразол-3-карбонил]-4-метилпиперазин Способом, аналогичным способу, применяемому в примере 20, указанное в заголовке соединение получают в виде кристаллов (163 мг, 84%) с применением 1,4-дигидро-1-(6-этил-3-пиридил)-индено[1,2-c]пиразол-3-карбоновой кислоты (152 мг), полученной в ссылочном примере 68, и N-метилпиперазина (66 мкл). 1Н-ЯМР (400 МГц, CDCl3) МС (ESI) m/z: 388 (М+H)+. Элементный анализ: как С23Н25N5O. Вычислено: С, 71,29; Н, 6,50; N, 18,07. Найдено: С, 71,06; Н, 6,49; N, 17,73. [Пример 47] трет-Бутиловый эфир 4-[1-(6-метокси-3-пиридил)-5-(4-метилтио-2-пиридил)пиразол-3-карбонил]пиперазин-1-карбоновой кислоты Способом, аналогичным примеру, применяемому в стадии 1) примера 1, указанное в заголовке соединение получают в виде твердого вещества (0,379 г, 84%) с применением 1-(6-метокси-3-пиридил)-5-(4-метилтио-2-пиридил)пиразол-3-карбоновой кислоты (0,305 г), полученной в ссылочном примере 118, и трет-бутилового эфира пиперидин-1-карбоновой кислоты (0,180 г). 1Н-ЯМР (400 МГц, CDCl3) МС (EI) m/z: 510 (М+). [Пример 48] трет-Бутиловый эфир 4-[1-(6-метокси-3-пиридил)-5-(4-метилсульфонил-2-пиридил)пиразол-3-карбонил]пиперазин-1-карбоновой кислоты При 0°С 3-хлорпербензойную кислоту (0,260 г) добавляют к раствору трет-бутилового эфира 4-[1-(6-метокси-3-пиридил)-5-(4-метилтио-2-пиридил)пиразол-3-карбонил]пиперазин-1-карбоновой кислоты (0,366 г), полученной в примере 47, в метиленхлориде (7,3 мл) и смесь перемешивают в течение 20 минут. Затем смесь перемешивают при комнатной температуре в течение дополнительных 2 часов. При 0°С к смеси добавляют 3-хлорпербензойную кислоту (0,124 г) и образовавшуюся смесь перемешивают в течение 2 часов. К реакционной смеси добавляют насыщенный водный тиосульфат натрия (10 мл) и насыщенный водный гидрокарбонат натрия (10 мл) с последующим перемешиванием. Реакционную смесь распределяют между водой и хлороформом. Органический слой сушат над безводным сульфатом натрия. После фильтрования растворитель удаляют при пониженном давлении. Остаток очищают колоночной хроматографией на силикагеле (хлороформ-метанол), получая при этом указанное в заголовке соединение в виде аморфного продукта (0,387 г, 99%). 1Н-ЯМР (400 МГц, CDCl3) МС (EI) m/z: 542 (М+). [Пример 49] 1-[5-(4-Этокси-2-пиридил)-1-(6-метокси-3-пиридил)пиразол-3-карбонил]-4-метилпиперазин 1) трет-Бутиловый эфир 4-[5-(4-этокси-2-пиридил)-1-(6-метокси-3-пиридил)пиразол-3-карбонил]пиперазин-1-карбоновой кислоты В атмосфере аргона этоксид натрия (28,4 мг) добавляют к раствору трет-бутилового эфира 4-[1-(6-метокси-3-пиридил)-5-(4-метилсульфонил-2-пиридил)пиразол-3-карбонил]пиперазин-1-карбоновой кислоты (0,189 г), полученного в примере 48, в тетрагидрофуране (3,8 мл) при комнатной температуре. Образовавшуюся смесь перемешивают в течение 1 часа и затем перемешивают в течение 90 минут при 80°С. Затем к смеси добавляют этоксид натрия (85,2 мг). Смесь перемешивают при 80°С в течение 2 часов и 20 минут и затем охлаждают на воздухе. Образовавшуюся смесь распределяют между водой и этилацетатом. Органический слой сушат над безводным сульфатом натрия. После фильтрования растворитель удаляют при пониженном давлении. Остаток очищают колоночной хроматографией на силикагеле (этилацетат-хлороформ), получая при этом трет-бутиловый эфир 4-[5-(4-этокси-2-пиридил)-1-(6-метокси-3-пиридил)пиразол-3-карбонил]пиперазин-1-карбоновой кислоты (0,139 г, 79%) в виде твердого вещества. 1Н-ЯМР (400 МГц, CDCl3) МС (EI) m/z: 508 (М+). 2) Указанное в заголовке соединение При комнатной температуре трифторуксусную кислоту (1,4 мл) добавляют к раствору полученного выше трет-бутилового эфира 4-[5-(4-этокси-2-пиридил)-1-(6-метокси-3-пиридил)пиразол-3-карбонил]пиперазин-1-карбоновой кислоты (0,135 г) в метиленхлориде (2,7 мл) и смесь перемешивают в течение 30 минут. Растворитель удаляют при пониженном давлении и остаток растворяют в этаноле (2,7 мл). К смеси добавляют 35% водный раствор формалина (0,114 г), уксусную кислоту (0,076 мл) и цианоборогидрид натрия (50,0 мг). Образовавшуюся смесь перемешивают в течение 100 минут при комнатной температуре. К смеси дополнительно добавляют цианоборогидрид натрия (33,3 мг) и смесь перемешивают в течение 50 минут. Реакционную смесь распределяют между насыщенным водным гидрокарбонатом натрия и хлороформом. Органический слой сушат над безводным сульфатом натрия. После фильтрования растворитель удаляют при пониженном давлении. Остаток очищают колоночной хроматографией на силикагеле (хлороформ-метанол). Остаток затем очищают тонкослойной хроматографией на силикагеле (хлороформ-метанол), получая при этом указанное в заголовке соединение в виде масляного продукта (86,9 мг, 78%). 1Н-ЯМР (400 МГц, CDCl3) МС (EI) m/z: 422 (М+). [Пример 50] трет-Бутиловый эфир 4-[1-(6-метокси-3-пиридил)-5-[4-(пирролидин-1-ил)-2-пиридил]пиразол-3-карбонил]пиперазин-1-карбоновой кислоты Раствор трет-бутилового эфира 4-[1-(6-метокси-3-пиридил)-5-(4-метилсульфонил-2-пиридил)пиразол-3-карбонил]пиперазин-1-карбоновой кислоты (0,186 г), полученной в примере 48, в пирролидине (3,7 мл) перемешивают при 100°С в течение 17 часов и затем смесь охлаждают на воздухе. Реакционную смесь распределяют между водой и этилацетатом. Органический слой сушат над безводным сульфатом натрия. После фильтрования растворитель удаляют при пониженном давлении. Остаток очищают колоночной хроматографией на силикагеле (хлороформ-метанол), получая при этом указанное в заголовке соединение в виде твердого вещества (0,176 г, 96%). 1Н-ЯМР (400 МГц, CDCl3) МС (EI) m/z: 533 (М+). [Пример 51] 1-[1-(6-Метокси-3-пиридил)-5-[4-(пирролидин-1-ил)-2-пиридил]пиразол-3-карбонил]-4-метилпиперазин Способом, аналогичным способу, применяемому в стадии 2) примера 49, указанное в заголовке соединение получают в виде твердого вещества (70,1 мг, 50%) с применением трет-бутилового эфира 1-[1-(6-метокси-3-пиридил)-5-[4-(пирролидин-1-ил)-2-пиридил]пиразол-3-карбонил]пиперазин-4-карбоновой кислоты (0,167 г), полученного в ссылочном примере 50. 1Н-ЯМР (400 МГц, CDCl3) МС (EI) m/z: 447 (М+). Элементный анализ: как С24Н29N7O2 Вычислено: С, 63,77%; Н, 6,58%; N, 21,69%. Найдено: С, 63,93%; Н, 6,67%; N, 21,31%. [Пример 52] Этиловый эфир 1-[1-(6-метокси-3-пиридил)-5-фенилпиразол-3-карбонил]пиперидин-2-илуксусной кислоты Способом, аналогичным способу, применяемому в примере 20, указанное в заголовке соединение получают в виде маслянистого продукта (331 мг, 98%) с применением 1-(6-метокси-3-пиридил)-5-фенилпиразол-3-карбоновой кислоты (221 мг), полученной в ссылочном примере 41, и этилового эфира пиперидин-2-илуксусной кислоты (154 мг), полученного в ссылочном примере 93. 1Н-ЯМР (400 МГц, CDCl3) [как смесь двух изомеров] МС (ESI) m/z: 449 (М+H)+. [Пример 53] 1-[1-(6-Метокси-3-пиридил)-5-фенилпиразол-3-карбонил]пиперидин-2-илуксусная кислота К раствору этилового эфира 1-[1-(6-метокси-3-пиридил)-5-фенилпиразол-3-карбонил]пиперидин-2-илуксусной кислоты (330 мг), полученного в примере 52, в метаноле (4 мл) добавляют 1 М водный гидроксид натрия (1,84 мл) и смесь перемешивают в течение 2 часов при комнатной температуре. Растворитель удаляют при пониженном давлении и остаток распределяют между водой и этилацетатом. Водный слой подкисляют 1 М водной хлористоводородной кислотой (2 мл) с последующей экстракцией этилацетатом. Полученный таким образом органический слой промывают водой и насыщенным раствором соли и сушат над безводным сульфатом натрия. Образовавшуюся смесь подвергают фильтрованию и растворитель удаляют при пониженном давлении, получая при этом указанное в заголовке соединение в виде аморфного продукта (311 мг, 98%). 1Н-ЯМР (400 МГц, CDCl3) МС (ESI) m/z: 421 (М+H)+. Элементный анализ: как С23Н24N4O4 Вычислено: С, 64,32; Н, 5,87; N, 13,05. Найдено: С, 64,11; Н, 5,90; N, 12,75. [Пример 54] 1-[1-(6-Метокси-3-пиридил)-5-(2-пиридил)пиразол-3-карбонил]-4-изопропилпиперазин 1) Указанное в заголовке соединение Способом, аналогичным способу, применяемому в примере 20, указанное в заголовке соединение получают в виде аморфного продукта (251 мг, 82%) с применением 1-(6-метокси-3-пиридил)-5-(2-пиридил)пиразол-3-карбоновой кислоты (222 мг), полученной в ссылочном примере 33, и гидрохлорида 1-изопропилпиперазина (181 мг), полученного в ссылочном примере 95. 1Н-ЯМР (400 МГц, CDCl3) МС (ESI) m/z: 407 (М+H)+. 2) Соль указанного в заголовке соединения с хлористоводородной кислотой Способом, подобным способу, применяемому в стадии 2) примера 29, соль указанного в заголовке соединения с хлористоводородной кислотой получают в виде кристаллов (235 мг, 73%) с применением полученного выше, указанного в заголовке соединения (251 мг). 1H-ЯМР (400 МГц, ДМСО-d6) МС (ESI) m/z: 407 (М+H)+. Элементный анализ: как С22Н26N6O2 Вычислено: С, 51,27; Н, 6,26; N, 16,30; Cl, 13,76. Найдено: С, 51,30; Н, 6,18; N, 15,97; Cl, 13,36. [Пример 55] 1-[1-(6-Метокси-3-пиридил)-5-(2-пиридил)пиразол-3-карбонил]-4-циклопропилпиперазин Способом, аналогичным способу, применяемому в примере 20, указанное в заголовке соединение получают в виде кристаллов (253 мг, 83%) с применением 1-(6-метокси-3-пиридил)-5-(2-пиридил)пиразол-3-карбоновой кислоты (222 мг), полученной в ссылочном примере 33, и гидрохлорида 1-циклопропилпиперазина (179 мг), полученного в ссылочном примере 99. 1Н-ЯМР (400 МГц, CDCl3) МС (ESI) m/z: 404 (М+H)+. Элементный анализ: как С22Н24N6O2. Вычислено: С, 65,33; Н, 5,98; N, 20,78. Найдено: С, 64,97; Н, 5,92; N, 20,53. [Пример 56] 1-[1-(6-Метокси-3-пиридил)-5-фенилпиразол-3-карбонил]-2-(2-гидроксиэтил)пиперидин Способом, аналогичным способу, применяемому в примере 20, указанное в заголовке соединение получают в виде аморфного продукта (82 мг, 39%) с применением 1-(6-метокси-3-пиридил)-5-фенилпиразол-3-карбоновой кислоты (148 мг), полученной в ссылочном примере 41, и 2-(пиперидин-2-ил)этанола (78 мг). 1Н-ЯМР (400 МГц, CDCl3) [как смесь двух изомеров] МС (ESI) m/z: 407 (М+H)+. Элементный анализ: как С23Н26N4O3 Вычислено: С, 66,49; Н, 6,55; N, 13,48. Найдено: С, 66,68; Н, 6,53; N, 13,31. [Пример 57] 1-[1-(6-Метокси-3-пиридил)-5-фенилпиразол-3-карбонил]пиперидин Способом, аналогичным способу, применяемому в примере 20, указанное в заголовке соединение получают в виде кристаллов (137 мг, 75%) с применением 1-(6-метокси-3-пиридил)-5-фенилпиразол-3-карбоновой кислоты (148 мг), полученной в ссылочном примере 41, и пиперидина (59 мкл). 1Н-ЯМР (400 МГц, CDCl3) МС (ESI) m/z: 363 (М+H)+. Элементный анализ: как С21Н22N4O2. Вычислено: С, 69,59; Н, 6,12; N, 15,46. Найдено: С, 69,43; Н, 6,09; N, 15,20. [Пример 58] 1-[5-(4-Метоксифенил)-1-(6-метокси-3-пиридил)пиразол-3-карбонил]-4-метилпиперазин Способом, аналогичным способу, применяемому в примере 20, указанное в заголовке соединение получают в виде кристаллов (237 мг, 77%) с применением 5-(4-метоксифенил)-1-(6-метокси-3-пиридил)пиразол-3-карбоновой кислоты (244 мг), полученной в ссылочном примере 45, и N-метилпиперазина (125 мкл). 1Н-ЯМР (400 МГц, CDCl3) МС (ESI) m/z: 408 (М+H)+. Элементный анализ: как С22Н25N5O3. Вычислено: С, 64,85; Н, 6,18; N, 17,19. Найдено: С, 64,66; Н, 6,20; N, 17,06. [Пример 59] 1-[5-(3-Метоксифенил)-1-(6-метокси-3-пиридил)пиразол-3-карбонил]-4-метилпиперазин 1) Указанное в заголовке соединение Способом, аналогичным способу, применяемому в примере 20, указанное в заголовке соединение получают в виде маслянистого продукта (243 мг, 79%) с применением 5-(3-метоксифенил)-1-(6-метокси-3-пиридил)пиразол-3-карбоновой кислоты (244 мг), полученной в ссылочном примере 47, и N-метилпиперазина (125 мкл). 2) Соль указанного в заголовке соединения с хлористоводородной кислотой Способом, аналогичным способу, применяемому в стадии 2) примера 29, соль указанного в заголовке соединения с хлористоводородной кислотой получают в виде кристаллов (253 мг, 92%) с применением полученного выше, указанного в заголовке соединения. 1Н-ЯМР (400 МГц, ДМСО-d6) МС (ESI) m/z: 408 (М+H)+. Элементный анализ: как С22Н25N5O3 Вычислено: С, 57,20; Н, 6,11; N, 15,16; Cl, 7,67. Найдено: С, 57,12; Н, 6,09; N, 15,08; Cl, 7,74. [Пример 60] 1-[5-(2-Метоксифенил)-1-(6-метокси-3-пиридил)пиразол-3-карбонил]-4-метилпиперазин Способом, аналогичным способу, применяемому в примере 20, указанное в заголовке соединение получают в виде кристаллов (263 мг, 84%) с применением 5-(2-метоксифенил)-1-(6-метокси-3-пиридил)пиразол-3-карбоновой кислоты (244 мг), полученной в ссылочном примере 49, и N-метилпиперазина (125 мкл). 1Н-ЯМР (400 МГц, CDCl3) МС (ESI) m/z: 408 (М+H)+. [Пример 61] 1-[1-(6-Метокси-3-пиридил)-5-(4-трифторметилфенил)пиразол-3-карбонил]-4-метилпиперазин Способом, аналогичным способу, применяемому в примере 20, указанное в заголовке соединение получают в виде кристаллов (272 мг, 81%) с применением 1-(6-метокси-3-пиридил)-5-(4-трифторметилфенил)пиразол-3-карбоновой кислоты (272 мг), полученной в ссылочном примере 51, и N-метилпиперазина (125 мкл). 1Н-ЯМР (400 МГц, CDCl3) МС (ESI) m/z: 446 (М+H)+. Элементный анализ: как С22Н22F3N5O2. Вычислено: С, 59,32; Н, 4,98; N, 15,72; F, 12,80. Найдено: С, 58,95; Н, 4,93; N, 15,71; F, 12,57. [Пример 62] 1-[1-(6-Метокси-3-пиридил)-5-фенилпиразол-3-карбонил]-4-метилпиперазин 1) Указанное в заголовке соединение Способом, аналогичным способу, применяемому в примере 20, указанное в заголовке соединение получают в виде маслянистого продукта (6,23 г, 66%) с применением 1-(6-метокси-3-пиридил)-5-фенилпиразол-3-карбоновой кислоты (7,38 г), полученной в ссылочном примере 41, и N-метилпиперазина (3,32 мл). 2) Соль указанного в заголовке соединения с хлористоводородной кислотой К раствору полученного выше, указанного в заголовке соединения (6,23 г) в метаноле (200 мл) добавляют 1 М водную хлористоводородную кислоту (17 мл) с последующим перемешиванием. Растворитель удаляют при пониженном давлении и к остатку добавляют этанол и растворитель дополнительно удаляют при пониженном давлении. Остаток кристаллизуют из смеси этанол-диэтиловый эфир с последующим сбором кристаллов фильтрованием, получая при этом соль указанного в заголовке соединения с хлористоводородной кислотой в виде кристаллов (5,04 г, 72%). 1Н-ЯМР (400 МГц, ДМСО-d6) МС (ESI) m/z: 378 (М+H). Элементный анализ: как С21Н23N5O2 Вычислено: С, 59,64; Н, 5,96; N, 16,56%; Cl, 8,38. Найдено: С, 59,60; Н, 6,17; N, 16,43; Cl, 8,56. [Пример 63] 1-[1-(6-Метокси-3-пиридил)-5-фенилпиразол-3-тиокарбонил]-4-метилпиперазин К раствору 1-[1-(6-метокси-3-пиридил)-5-фенилпиразол-3-карбонил]-4-метилпиперазина (173 мг), полученного в примере 62, в толуоле (10 мл) добавляют 2,4-бис-(4-метоксифенил)-1,3,2,4-дитиадифосфетан-2,4-дисульфид (реагент Лаусона, 222 мг). Смесь кипятят с обратным холодильником в течение 14 часов при нагревании. Реакционную смесь распределяют между водой и этилацетатом. Органический слой промывают насыщенным водным гидрокарбонатом натрия, водой и насыщенным раствором соли с последующей сушкой над безводным сульфатом натрия. После фильтрования растворитель удаляют при пониженном давлении. Остаток очищают тонкослойной хроматографией на силикагеле (хлороформ-метанол), получая при этом указанное в заголовке соединение в виде аморфного продукта (61 мг, 33%). 1Н-ЯМР (400 МГц, CDCl3) МС (ESI) m/z: 394 (М+H)+. [Пример 64] трет-Бутиловый эфир 4-[1-(6-метокси-3-пиридил)-5-фенилпиразол-3-карбонил]пиперазин-1-карбоновой кислоты К раствору, содержащему в метиленхлориде (5 мл) 1-(6-метокси-3-пиридил)-5-фенилпиразол-3-карбоновую кислоту (295 мг), полученному в ссылочном примере 41, добавляют трет-бутиловый эфир пиперазин-1-карбоновой кислоты (186 мг), 1-гидроксибензотриазол (135 мг) и триэтиламин (488 мкл), гидрохлорид 1-(3-диметиламинопропил)-3-этилкарбодиимида (288 мг). Образовавшуюся смесь перемешивают при комнатной температуре в течение 13 часов. Растворитель реакции удаляют при пониженном давлении и к остатку добавляют воду и этилацетат, получая при этом водный слой и органический слой. Органический слой промывают водой и насыщенным раствором соли с последующей сушкой над безводным сульфатом натрия. После фильтрования растворитель удаляют при пониженном давлении. Полученное таким образом твердое вещество перекристаллизовывают из смеси этилацетат-гексан, получая при этом указанное в заголовке соединение в виде кристаллов (225 мг). Отдельно растворитель полученного выше водного слоя удаляют при пониженном давлении. Остаток очищают тонкослойной хроматографией на силикагеле (гексан-этилацетат), получая при этом дополнительное указанное в заголовке соединение (154 мг). Соединение и полученные выше кристаллы объединяют (379 мг, 81%). 1Н-ЯМР (400 МГц, CDCl3) МС (ESI) m/z: 464 (М+H)+. [Пример 65] Гидрохлорид 1-[1-(6-метокси-3-пиридил)-5-фенилпиразол-3-карбонил]пиперазина К раствору трет-бутилового эфира 4-[1-(6-метокси-3-пиридил)-5-фенилпиразол-3-карбонил]пиперазин-1-карбоновой кислоты (332 мг), полученного в примере 64, в метиленхлориде (2 мл), добавляют анизол (0,4 мл) и трифторуксусную кислоту (1,6 мл) и смесь перемешивают при комнатной температуре в течение 30 минут. Растворитель реакции удаляют при пониженном давлении и остаток распределяют между водой и диэтиловым эфиром. Водный слой подщелачивают насыщенным водным гидрокарбонатом натрия и экстрагируют этилацетатом четыре раза. Органические слои объединяют с последующей сушкой над безводным сульфатом натрия. После фильтрования растворитель удаляют при пониженном давлении. Остаток растворяют в смеси растворителей диэтилового эфира и небольшого количества метанола. К раствору добавляют смесь 1 М HCl-этанол (0,78 мл) и осажденные кристаллы собирают фильтрованием. Полученное таким образом вещество перекристаллизовывают из смеси метанол-диэтиловый эфир, получая при этом указанное в заголовке соединение (229 мг, 76%). 1Н-ЯМР (400 МГц, ДМСО-d6) МС (ESI) m/z: 364 (М+H)+. Элементный анализ: как С20Н21N5O2 Вычислено: С, 57,48; Н, 5,79; N, 16,76; Cl, 8,48. Найдено: С, 57,11; Н, 5,70; N, 16,58; Cl, 8,81. [Пример 66] трет-Бутиловый эфир 4-[5-(4-фторфенил)-1-(6-метокси-3-пиридил)пиразол-3-карбонил]пиперазин-1-карбоновой кислоты К раствору, содержащему в метиленхлориде (5 мл) 5-(4-фторфенил)-1-(6-метокси-3-пиридил)пиразол-3-карбоновую кислоту (313 мг), полученную в ссылочном примере 136, добавляют трет-бутиловый эфир пиперидин-1-карбоновой кислоты (186 мг), 1-гидроксибензотриазол (135 мг) и триэтиламин (488 мкл), гидрохлорид 1-(3-диметиламинопропил)-3-этилкарбодиимида (288 мг) и смесь перемешивают при комнатной температуре в течение 13 часов. Растворитель удаляют при пониженном давлении. К остатку добавляют воду и этилацетат, получая при этом водный слой и органический слой. Органический слой промывают водой и насыщенным раствором соли с последующей сушкой над безводным сульфатом натрия. После фильтрования растворитель удаляют при пониженном давлении. Полученное таким образом твердое вещество перекристаллизовывают из смеси этилацетат-гексан, получая при этом указанное в заголовке соединение (241 мг). Отдельно растворитель полученного выше слоя удаляют при пониженном давлении. Остаток очищают тонкослойной хроматографией на силикагеле (гексан-этилацетат), получая при этом указанное в заголовке соединение в виде кристаллов (170 мг). Первые кристаллы и последние кристаллы объединяют (411 мг, 85%). 1Н-ЯМР (400 МГц, CDCl3) МС (ESI) m/z: 482 (М+H)+. Элементный анализ: как С25Н28FN5O4 Вычислено: С, 61,21; Н, 5,96; N, 14,28; F, 3,87. Найдено: С, 61,41; Н, 5,76; N, 14,18; F, 3,95. [Пример 67] Гидрохлорид 1-[5-(4-фторфенил)-1-(6-метокси-3-пиридил)пиразол-3-карбонил]пиперазина Способом, аналогичным способу, применяемому в примере 65, указанное в заголовке соединение получают в виде кристаллов (278 мг, 81%) с применением трет-бутилового эфира 4-[5-(4-фторфенил)-1-(6-метокси-3-пиридил)пиразол-3-карбонил]пиперазин-1-карбоновой кислоты (363 мг), полученного в примере 66. 1Н-ЯМР (400 МГц, ДМСО-d6) МС (ESI) m/z: 382 (М+H)+. [Пример 68] 1-[1-(6-Метокси-3-пиридил)-5-фенилпиразол-3-карбонил]-4-метоксиэтилпиперазин 1) Указанное в заголовке соединение Способом, аналогичным способу, применяемому в стадии 1) примера 1, указанное в заголовке соединение (285 мг, количественный выход) получают с применением 1-(6-метокси-3-пиридил)-5-фенилпиразол-3-карбоновой кислоты (200 мг), полученной в ссылочном примере 41, и гидрохлорида 1-(2-метоксиэтил)пиперазина (175 мг), полученного в ссылочном примере 97. 2) Соль указанного в заголовке соединения с хлористоводородной кислотой Способом, аналогичным способу, применяемому в стадии 2) примера 29, соль указанного в заголовке соединения с хлористоводородной кислотой получают в виде твердого вещества 255 мг, 82%) с применением полученного выше, указанного в заголовке соединения (285 мг). 1Н-ЯМР (400 МГц, ДМСО-d6) МС (FAB) m/z: 422 (М+H)+. Элементный анализ: как С23Н27N5O3 Вычислено: С, 60,45; Н, 6,18; N, 15,33; Cl, 7,76. Найдено: С, 60,15; Н, 6,14; N, 15,01; Cl, 7,63. [Пример 69] 1-[1-(6-Метокси-3-пиридил)-5-фенилпиразол-3-карбонил]-4-циклопропилпиперазин Способом, аналогичным способу, применяемому в стадии 1) примера 1, указанное в заголовке соединение получают в виде твердого вещества (180 мг, 66%) с применением 1-(6-метокси-3-пиридил)-5-фенилпиразол-3-карбоновой кислоты (200 мг), полученной в ссылочном примере 41, и гидрохлорида 1-циклопропилпиперазина (160 мг), полученного в ссылочном примере 99. 1Н-ЯМР (400 МГц, ДМСО-d6) МС (EI) m/z: 403 (М+). Элементный анализ: как С23Н25N5O2. Вычислено: С, 68,47; Н, 6,25; N, 16,36%. Найдено: С, 68,45; Н, 6,29; N, 17,23. [Пример 70] 1-[1-(6-Метокси-3-пиридил)-5-фенилпиразол-3-карбонил]-3-диметиламиноазетидин 1) Указанное в заголовке соединение Способом, аналогичным способу, применяемому в стадии 1) примера 1, указанное в заголовке соединение (185 мг, 95%) получают с применением 1-(6-метокси-3-пиридил)-5-фенилпиразол-3-карбоновой кислоты (150 мг), полученной в ссылочном примере 41, и гидрохлорида азетидин-3-илдиметиламина (106 мг), полученного в ссылочном примере 102. 2) Соль указанного в заголовке соединения с хлористоводородной кислотой Способом, аналогичным способу, применяемому в стадии 2) примера 29, соль указанного в заголовке соединения с хлористоводородной кислотой получают в виде твердого вещества (155 мг, 74%) с применением полученного выше, указанного в заголовке соединения (185 мг). 1Н-ЯМР (400 МГц, ДМСО-d6) МС (EI) m/z: 377 (М+). Элементный анализ: как С23Н27N5O3 Вычислено: С, 58,40; Н, 6,07; N, 16,21%; Cl, 8,21. Найдено: С, 58,08; Н, 6,02; N, 15,97; Cl, 8,23. [Пример 71] 1-[1-(6-Метокси-3-пиридил)-5-фенилпиразол-3-карбонил]-3-метоксиазетидин Способом, аналогичным способу, применяемому в стадии 1) примера 1, указанное в заголовке соединение получают в виде твердого вещества (140 мг, 76%) с применением 1-(6-метокси-3-пиридил)-5-фенилпиразол-3-карбоновой кислоты (150 мг), полученной в ссылочном примере 41, и гидрохлорида 3-метоксиазетидина (75,6 мг), полученного в ссылочном примере 107. 1Н-ЯМР (400 МГц, CDCl3) LC-МС m/z: 365 (М+H)+. Элементный анализ: как С20Н20N4O3 Вычислено: С, 65,12; Н, 5,60; N, 15,19. Найдено: С, 65,12; Н, 5,44; N, 15,13. [Пример 72] 1-[1-(6-Метокси-3-пиридил)-5-фенилпиразол-3-карбонил]-3-гидроксиазетидин Способом, аналогичным способу, применяемому в стадии 1) примера 1, указанное в заголовке соединение получают в виде твердого вещества (135 мг, 76%) с применением 1-(6-метокси-3-пиридил)-5-фенилпиразол-3-карбоновой кислоты (150 мг), полученной в ссылочном примере 41, и гидрохлорида 3-гидоксиазетидина (67,0 мг), полученного в ссылочном примере 108. 1Н-ЯМР (400 МГц, CDCl3) LC-МС m/z: 351 (М+H)+. Элементный анализ: как С19Н18N4O3 Вычислено: С, 64,31; Н, 5,25; N, 15,79. Найдено: С, 64,19; Н, 5,15; N, 15,60. [Пример 73] 1-[1-(6-Метокси-3-пиридил)-5-фенилпиразол-3-карбонил]-4-циклобутилпиперазин 1) Указанное в заголовке соединение Способом, аналогичным способу, применяемому в стадии 1) примера 1, указанное в заголовке соединение (283 мг, количественный выход) получают с применением 1-(6-метокси-3-пиридил)-5-фенилпиразол-3-карбоновой кислоты (200 мг), полученной в ссылочном примере 41, и гидрохлорида 4-циклобутилпиперазина (173 мг), полученного в ссылочном примере 110. 2) Соль указанного в заголовке соединения с хлористоводородной кислотой Способом, аналогичным способу, применяемому в стадии 2) примера 29, соль указанного в заголовке соединения с хлористоводородной кислотой получают в виде твердого вещества (254 мг, 83%) с применением полученного выше, указанного в заголовке соединения (283 мг). 1Н-ЯМР (400 МГц, ДМСО-d6) LC-МС m/z: 418 (М+H)+. Элементный анализ: как С24Н27N5O2 Вычислено: С, 62,87; Н, 6,27; N, 15,28; Cl, 7,73. Найдено: С, 63,05; Н, 6,25; N, 15,05; Cl, 7,69. [Пример 74] 1-[1-(6-Метокси-3-пиридазинил)-5-фенилпиразол-3-карбонил]-4-метилпиперазин Способом, аналогичным способу, применяемому в стадии 1) примера 1, указанное в заголовке соединение получают в виде твердого вещества (150 мг, 78%) с применением 1-(6-метокси-3-пиридазинил)-5-фенилпиразол-3-карбоновой кислоты (150 мг), полученной в ссылочном примере 43, и N-метилпиперазина (0,068 мл). 1Н-ЯМР (400 МГц, ДМСО-d6) LC-МС m/z: 379 (М+H)+. Элементный анализ: как С20Н22N6O2 Вычислено: С, 62,73; Н, 5,92; N, 21,95. Найдено: С, 62,69; Н, 5,81; N, 21,66. [Пример 75] Гидрохлорид 1-[1-(6-метокси-3-пиридил)-5-фенилпиразол-3-карбонил]-4-этилпиперазина Способом, аналогичным способу, применяемому в стадии 1) примера 1, 1-[1-(6-метокси-3-пиридил)-5-фенилпиразол-3-карбонил]-4-этилпиперазин получают с применением 1-(6-метокси-3-пиридил)-5-фенилпиразол-3-карбоновой кислоты (100 мг), полученной в ссылочном примере 41, и N-этилпиперазина (52 мкл). Способом, аналогичным способу, применяемому в стадии 2) примера 29, указанное в заголовке соединение получают в виде твердого вещества (111 мг, 76%) с применением полученного выше продукта. 1Н-ЯМР (400 МГц, ДМСО-d6) LC-МС m/z: 392 (М+H)+. Элементный анализ: как С22Н25N6O2 Вычислено: С, 59,86; Н, 6,28; N, 15,87; Cl, 8,03. Найдено: С, 59,89; Н, 6,20; N, 15,81; Cl, 8,08. [Пример 76] Гидрохлорид 1-[5-(4-фторфенил)-1-(6-метокси-3-пиридил)-пиразол-3-карбонил]-4-этилпиперазина Способом, аналогичным способу, применяемому в стадии 1) примера 1, 1-[5-(4-фторфенил)-1-(6-метокси-3-пиридил)пиразол-3-карбонил]-4-этилпиперазин получают с применением 5-(4-фторфенил)-1-(6-метокси-3-пиридил)пиразол-3-карбоновой кислоты (150 мг), полученной в ссылочном примере 136, и N-этилпиперазина (73 мкл). Способом, аналогичным способу, применяемому в стадии 2) примера 29, указанное в заголовке соединение получают в виде твердого вещества (96 мг, 45%) с применением полученного выше продукта. 1Н-ЯМР (400 МГц, ДМСО-d6) LC-МС m/z: 410 (М+H)+. Элементный анализ: как С22Н24 FN5O2 Вычислено: С, 58,08; Н, 5,76; N, 15,39; F, 4,18; Cl, 7,79. Найдено: С, 57,90; Н, 5,82; N, 15,12; F 4,07; Cl, 7,64. [Пример 77] 1-[1-(6-Метокси-3-пиридил)-5-фенилпиразол-3-карбонил]-3-диметиламинометилазетидин Способом, аналогичным способу, применяемому в стадии 1) примера 1, указанное в заголовке соединение получают в виде твердого вещества (17 мг, 22%) с применением 1-(6-метокси-3-пиридил)-5-фенилпиразол-3-карбоновой кислоты (60 мг), полученной в ссылочном примере 41, и гидрохлорида 3-диметиламинометилазетидина (40 мг), полученного в ссылочном примере 112. 1Н-ЯМР (400 МГц, CDCl3) МС (ESI) m/z: 392 (М+H)+. Элементный анализ: как С20Н22N6O2 Вычислено: С, 65,98; Н, 6,54; N, 17,48. Найдено: С, 65,92; Н, 6,36; N, 17,37. [Пример 78] трет-Бутиловый эфир N-[1-[1-(6-метокси-3-пиридил)-5-фенилпиразол-3-карбонил]азетидин-3-ил]-N-метилкарбаминовой кислоты Способом, аналогичным способу, применяемому в стадии 1) примера 1, указанное в заголовке соединение получают в виде аморфного продукта (453 мг, 96%) с применением 1-(6-метокси-3-пиридил)-5-фенилпиразол-3-карбоновой кислоты (300 мг), полученной в ссылочном примере 41, и трет-бутилового эфира азетидин-3-ил-N-метилкарбаминовой кислоты (250 мг). 1Н-ЯМР (400 МГц, CDCl3) МС (ESI) m/z: 464 (М+H)+. [Пример 79] 1-[1-(6-Метокси-3-пиридил)-5-фенилпиразол-3-карбонил]-3-метиламиноазетидин Способом, аналогичным способу, применяемому в стадии 2) примера 49, указанное в заголовке соединение получают в виде твердого вещества (255 мг, 72%) с применением трет-бутилового эфира N-[1-[1-(6-метокси-3-пиридил)-5-фенилпиразол-3-карбонил]азетидин-3-ил]-N-метилкарбаминовой кислоты (450 мг), полученной в примере 78. 1Н-ЯМР (400 МГц, CDCl3) МС (FAB) m/z: 364 (М+H)+. [Пример 80] трет-Бутиловый эфир 4-[1-(6-метокси-3-пиридил)-5-(2-пиридил)пиразол-3-карбонил]пиперазин-1-карбоновой кислоты Способом, аналогичным способу, применяемому в примере 20, указанное в заголовке соединение получают в виде аморфного продукта (0,407 г, количественный выход) с применением 1-(6-метокси-3-пиридил)-5-(2-пиридил)пиразол-3-карбоновой кислоты (0,252 г), полученной в ссылочном примере 33, и трет-бутилового эфира пиперазин-1-карбоновой кислоты (0,311 г). 1Н-ЯМР (400 МГц, CDCl3) МС (FAB) m/z: 465 (М+H)+. [Пример 81] 4-[1-(6-Метокси-3-пиридил)-5-(2-пиридил)пиразол-3-карбонил]пиперазин 1) Указанное в заголовке соединение Способом, аналогичным способу, применяемому в стадии 2) примера 49, указанное в заголовке соединение получают в виде маслянистого продукта (0,281 мг, 91%) с применением трет-бутилового эфира 4-[1-(6-метокси-3-пиридил)-5-(2-пиридил)пиразол-3-карбонил]пиперазин-1-карбоновой кислоты (0,396 г), полученной в примере 80. 1Н-ЯМР (400 МГц, CDCl3) LC-МС m/z: 365 (М+H)+. 2) Соль указанного в заголовке соединения с хлористоводородной кислотой Способом, аналогичным способу, применяемому в стадии 2) примера 1, соль указанного в заголовке соединения с хлористоводородной кислотой получают в виде твердого вещества (0,237 г, 69%) с применением полученного выше, указанного в заголовке соединения (0,281 г). 1Н-ЯМР (400 МГц, ДМСО-d6) LC-МС m/z: 365 (М+H)+. [Пример 82] 4-[1-(6-Метокси-3-пиридил)-5-(2-пиридил)пиразол-3-карбонил]-3-оксопиперазин Способом, аналогичным способу, применяемому в примере 20, указанное в заголовке соединение получают в виде твердого вещества (210 мг, 66%) с применением 1-(6-метокси-3-пиридил)-5-(2-пиридил)пиразол-3-карбоновой кислоты (0,248 г), полученной в ссылочном примере 33, и пиперазин-2-она (0,129 г). 1Н-ЯМР (400 МГц, CDCl3) МС (ESI) m/z: 379 (М+H)+. Элементный анализ: как С19Н18N6O3 Вычислено: С, 59,46; Н, 4,88; N, 21,90. Найдено: С, 59,35; Н, 4,71; N, 21,57. [Пример 83] 1-[1-(6-Метокси-3-пиридил)-5-(2-пиридил)пиразол-3-карбонил]-3,5-диметилпиперазин Способом, аналогичным способу, применяемому в примере 20, указанное в заголовке соединение получают в виде твердого вещества (0,142 г, 72%) с применением 1-(6-метокси-3-пиридил)-5-(2-пиридил)пиразол-3-карбоновой кислоты (0,150 мг), полученной в ссылочном примере 33, и 2,6-диметилпиперазина (91,4 мг). 1Н-ЯМР (400 МГц, CDCl3) МС (ESI) m/z: 393 (М+H)+. [Пример 84] 4-[1-(6-Метокси-3-пиридил)-5-(2-пиридил)пиразол-3-карбонил]-3-диметиламиноазетидин Способом, аналогичным способу, применяемому в примере 20, указанное в заголовке соединение получают в виде твердого вещества (0,248 г, 90%) с применением 1-(6-метокси-3-пиридил)-5-(2-пиридил)пиразол-3-карбоновой кислоты (0,216 мг), полученной в ссылочном примере 33, и гидрохлорида 3-диметиламиноазетидина (0,252 г), полученного в ссылочном примере 102. 1Н-ЯМР (400 МГц, CDCl3) МС (ESI) m/z: 379 (М+H)+. Элементный анализ: как С20Н22N6O2: Вычислено: С, 63,48; Н, 5,86; N, 22,21. Найдено: С, 63,34; Н, 5,84; N, 22,31. [Пример 85] Этиловый эфир 1-[5-(4-фторфенил)-1-(6-метокси-3-пиридил)пиразол-3-карбонил]пиперидин-4-карбоновой кислоты Способом, аналогичным способу, применяемому в примере 20, указанное в заголовке соединение получают в виде маслянистого продукта (262 мг, 90%) с применением 5-(4-фторфенил)-1-(6-метокси-3-пиридил)пиразол-3-карбоновой кислоты (0,2 г), полученной в ссылочном примере 136, и этилового эфира изонипекотиновой кислоты (0,1 г). 1Н-ЯМР (400 МГц, CDCl3) МС (EI) m/z: 452 (М+). [Пример 86] 1-[5-(4-Фторфенил)-1-(6-метокси-3-пиридил)пиразол-3-карбонил]пиперидин-4-карбоновая кислота Способом, аналогичным способу, применяемому в ссылочном примере 4, указанное в заголовке соединение получают в виде аморфного продукта (170 мг, 69%) с применением этилового эфира 1-[5-(4-фторфенил)-1-(6-метокси-3-пиридил)пиразол-3-карбонил]пиперидин-4-карбоновой кислоты (262 мг), полученного примере 85. 1Н-ЯМР (400 МГц, CDCl3) МС (EI) m/z: 424 (М+). Элементный анализ: как С22Н21FN4O4 Вычислено: С, 60,36; Н, 5,18; N, 12,80. Найдено: С, 60,24; Н, 5,01; N, 12,47. [Пример 87] Этиловый эфир 1-[5-(4-фторфенил)-1-(6-метокси-3-пиридил)пиразол-3-карбонил]пиперидин-3-карбоновой кислоты Способом, аналогичным способу, применяемому в примере 20, указанное в заголовке соединение получают в виде маслянистого продукта (280 мг, 97%) с применением 5-(4-фторфенил)-1-(6-метокси-3-пиридил)пиразол-3-карбоновой кислоты (0,2 г), полученной в ссылочном примере 136, и этилового эфира нипекотиновой кислоты (0,1 г) 1Н-ЯМР (400 МГц, CDCl3) МС (EI) m/z: 452 (М+). [Пример 88] 1-[5-(4-Фторфенил)-1-(6-метокси-3-пиридил)пиразол-3-карбонил]пиперидин-3-карбоновая кислота Способом, аналогичным способу, применяемому в ссылочном примере 4, указанное в заголовке соединение получают в виде аморфного продукта (150 мг, 57%) с применением этилового эфира 1-[5-(4-фторфенил)-1-(6-метокси-3-пиридил)пиразол-3-карбонил]пиперидин-3-карбоновой кислоты (280 мг), полученной в примере 87. 1Н-ЯМР (400 МГц, CDCl3) МС (EI) m/z: 424 (М+). Элементный анализ: как С22Н21FN4O4 Вычислено: С, 60,36; Н, 5,18; N, 12,80. Найдено: С, 60,49; Н, 5,04; N, 12,47. [Пример 89] Этиловый эфир 1-[5-(4-Фторфенил)-1-(6-метокси-3-пиридил)пиразол-3-карбонил]пиперидин-2-карбоновой кислоты Способом, аналогичным способу, применяемому в примере 20, указанное в заголовке соединение получают в виде маслянистого продукта (270 мг, 93%) с применением 5-(4-фторфенил)-1-(6-метокси-3-пиридил)пиразол-3-карбоновой кислоты (0,2 г), полученной в ссылочном примере 136, и этилового эфира нипекотиновой кислоты (0,1 г). 1Н-ЯМР (400 МГц, CDCl3) МС (EI) m/z: 452 (М+). [Пример 90] 1-[5-(4-Фторфенил)-1-(6-метокси-3-пиридил)пиразол-3-карбонил]пиперидин-2-карбоновая кислота Способом, аналогичным способу, применяемому в ссылочном примере 4, указанное в заголовке соединение получают в виде аморфного продукта (130 мг, 51%) с применением этилового эфира 1-[5-(4-фторфенил)-1-(6-метокси-3-пиридил)пиразол-3-карбонил]пиперидин-2-карбоновой кислоты (270 мг), полученного в примере 89. 1Н-ЯМР (400 МГц, CDCl3) МС (EI) m/z: 424 (М+). Элементный анализ: как С22Н21FN4O4 Вычислено: С, 59,74; Н, 5,24; N, 12,67. Найдено: С, 59,85; Н, 5,00; N, 12,26. [Пример 91] 1-[1-(6-Метокси-3-пиридил)-5-фенилпиразол-3-карбонил]-2-гидроксиметилпиперидин Способом, аналогичным способу, применяемому в примере 20, указанное в заголовке соединение получают в виде аморфного продукта (220 мг, 48%) с применением 1-(6-метокси-3-пиридил)-5-фенилпиразол-3-карбоновой кислоты (300 мг), полученной в ссылочном примере 41, и 2-гидроксиметилпиперидина (234 мг). 1Н-ЯМР (400 МГц, CDCl3) МС (FAB) m/z: 393 (М+H)+. [Пример 92] 1-[1-(6-Метокси-3-пиридил)-5-(2-пиридил)пиразол-3-карбонил]-2-гидроксиметилпиперидин Способом, аналогичным способу, применяемому в примере 20, указанное в заголовке соединение получают в виде аморфного продукта (250 мг, 55%) с применением 1-(6-метокси-3-пиридил)-5-(2-пиридил)пиразол-3-карбоновой кислоты (300 мг), полученной в ссылочном примере 33, и 2-гидроксиметилпиперидина (234 мг). 1Н-ЯМР (400 МГц, CDCl3) МС (FAB) m/z: 394 (М+H)+. [Пример 93] 1-[1-(6-Метокси-3-пиридил)-5-фенилпиразол-3-карбонил]пиперидин-2-карбоксамид Способом, аналогичным способу, применяемому в примере 20, указанное в заголовке соединение получают в виде аморфного продукта (270 мг, 58%) с применением 1-(6-метокси-3-пиридил)-5-фенилпиразол-3-карбоновой кислоты (300 мг), полученной в ссылочном примере 41, и пиперидин-2-карбоксамида (131 мг), полученного в ссылочном примере 131. 1Н-ЯМР (400 МГц, CDCl3) МС (EI) m/z: 405 (М+). [Пример 94] Метиламид 1-[1-(6-метокси-3-пиридил)-5-фенилпиразол-3-карбонил]пиперидин-2-карбоновой кислоты Способом, аналогичным способу, применяемому в примере 20, указанное в заголовке соединение получают в виде аморфного продукта (150 мг, 32%) с применением 1-(6-метокси-3-пиридил)-5-фенилпиразол-3-карбоновой кислоты (300 мг), полученной в ссылочном примере 41, и метиламида пиперидин-2-карбоновой кислоты (145 мг), полученного в ссылочном примере 132. 1Н-ЯМР (400 МГц, CDCl3) МС (EI) m/z: 419 (М+). Элементный анализ: как С23Н25N5O3 Вычислено: С, 61,46; Н, 5,60; N, 15,38. Найдено: С, 61,06; Н, 5,68; N, 15,08. [Пример 95] Диметиламид 1-[1-(6-метокси-3-пиридил)-5-фенилпиразол-3-карбонил]пиперидин-2-карбоновой кислоты Способом, аналогичным способу, применяемому в примере 20, указанное в заголовке соединение получают в виде аморфного продукта (194 мг, 42%) с применением 1-(6-метокси-3-пиридил)-5-фенилпиразол-3-карбоновой кислоты (300 мг), полученной в ссылочном примере 41, и диметиламида пиперидин-2-карбоновой кислоты (159 мг), полученного в ссылочном примере 133. 1Н-ЯМР (400 МГц, CDCl3) МС (EI) m/z: 433 (М+). Элементный анализ: как С24Н27N5O3 Вычислено: С, 64,48; Н, 6,43; N, 15,67. Найдено: С, 61,11; Н, 6,09; N, 15,58. [Пример 96] 1-[1-(6-Метокси-3-пиридил)-5-(4-метилтио-2-пиридил)пиразол-3-карбонил]пиперидин Способом, аналогичным способу, применяемому в стадии 1) примера 1, указанное в заголовке соединение получают в виде твердого продукта (0,870 г, 91%) с применением 1-(6-метокси-3-пиридил)-5-(4-метилтио-2-пиридил)пиразол-3-карбоновой кислоты (0,80 г), полученной в ссылочном примере 118, и пиперидина (0,254 мл). 1Н-ЯМР (400 МГц, CDCl3) МС (EI) m/z: 409 (М+). [Пример 97] 1-[5-(4-Метансульфонил-2-пиридил)-1-(6-метокси-3-пиридил)пиразол-3-карбонил]пиперидин Способом, аналогичным способу, применяемому в примере 48, указанное в заголовке соединение получают в виде твердого вещества (0,935 г, количественный выход) с применением 1-[1-(6-метокси-3-пиридил)-5-(4-метилтио-2-пиридил)пиразол-3-карбонил]пиперидина (0,869 г), полученного в примере 96, и 3-хлорпербензойной кислоты (1,10 г). 1Н-ЯМР (400 МГц, CDCl3) МС (EI) m/z: 441 (М+). Элементный анализ: как С21Н23N5O4S Вычислено: С, 56,55%; Н, 5,31%; N, 15,70%, S, 7,19%. Найдено: С, 56,73%; Н, 5,05%; N, 15,68%, S, 7,30%. [Пример 98] 1-[5-(4-Циано-2-пиридил)-1-(6-метокси-3-пиридил)пиразол-3-карбонил]пиперидин К раствору 1-[5-(4-метансульфонил-2-пиридил)-1-(6-метокси-3-пиридил)пиразол-3-карбонил]пиперидина (0,60 г), полученного в примере 97, в N,N-диметилформамиде (12 мл) при комнатной температуре добавляют цианид калия (97,3 мг). Смесь перемешивают при 120°С в течение 37 часов и затем к смеси дополнительно добавляют цианид калия (97,3 мг). Смесь дополнительно перемешивают при 120°С в течение 4 часов и затем охлаждают на воздухе. Реакционную смесь распределяют между насыщенным раствором соли и этилацетатом. Органический слой сушат над безводным сульфатом натрия. После фильтрования растворитель удаляют при пониженном давлении и остаток очищают колоночной хроматографией на силикагеле (хлороформ-этилацетат), получая при этом указанное в заголовке соединение в виде твердого вещества (0,441 г, 84%). 1Н-ЯМР (400 МГц, CDCl3) МС (EI) m/z: 388 (М+). [Пример 99] 2-[1-(6-Метокси-3-пиридил)-3-(пиперидин-1-карбонил)пиразол-5-ил]изоникотиновая кислота К раствору 1-[5-(4-циано-2-пиридил)-1-(6-метокси-3-пиридил)пиразол-3-карбонил]пиперидина (0,418 г), полученного в примере 98, в смеси метанола (8,4 мл) и тетрагидрофурана (8,4 мл) при комнатной температуре добавляют 1 н. водный гидроксид натрия (5,38 мл). Образовавшуюся смесь перемешивают при 80°С в течение 7 часов и затем охлаждают на воздухе. Реакционную смесь распределяют между водой и хлороформом. Органический слой нейтрализуют до рН 6 1 н. водной хлористоводородной кислотой. К водному слою для распределения добавляют хлороформ. Водный слой дополнительно экстрагируют хлороформом. Органические слои объединяют и сушат над безводным сульфатом натрия. После фильтрования растворитель удаляют при пониженном давлении, получая при этом указанное в заголовке соединение в виде твердого вещества (0,239 г, 52%). 1Н-ЯМР (400 МГц, CDCl3) МС (EI) m/z: 407 (М+). [Пример 100] 2-[1-(6-Метокси-3-пиридил)-3-(пиперидин-1-карбонил)пиразол-5-ил]изоникотинамид Способом, аналогичном способу, применяемому в стадии 1) примера 1, указанное в заголовке соединение получают в виде твердого вещества (52,0 мг, 42%) с применением 2-[1-(6-метокси-3-пиридил)-3-(пиперидин-1-карбонил)пиразол-5-ил]изоникотиновой кислоты (0,120 г), полученной в примере 99, и 28% водного аммиака (53,7 мг). 1Н-ЯМР (400 МГц, ДМСО-d6) МС (EI) m/z: 406 (М+). [Пример 101] N-[1-(6-метокси-3-пиридил)-5-фенилпиразол-3-ил]метил-2-оксопирролидин При комнатной температуре 60% гидрид натрия (26 мг) добавляют к раствору 2-пирролидинона (55 мг) в тетрагидрофуране (5 мл) и смесь перемешивают в течение 30 минут. К реакционной смеси добавляют N,N-диметилформамид (2 мл) и смесь перемешивают в течение 30 минут. К смеси добавляют раствор [1-(6-метокси-3-пиридил)-5-фенилпиразол-3-ил]метилметансульфоната (195 мг), полученного в ссылочном примере 76, в тетрагидрофуране (3 мл) с последующим перемешиванием при комнатной температуре в течение 16 часов. Растворитель удаляют при пониженном давлении и остаток распределяют между водой и этилацетатом. Органический слой промывают водой и насыщенным раствором соли и затем сушат над безводным сульфатом натрия. После фильтрования растворитель удаляют при пониженном давлении. Остаток очищают тонкослойной хроматографией на силикагеле (хлороформ-метанол), получая при этом указанное в заголовке соединение в виде маслянистого продукта (140 мг, 74%). 1Н-ЯМР (400 МГц, CDCl3) МС (ESI) m/z: 349 (М+H)+. [Пример 102] 3-Метил-1-[1-(6-метокси-3-пиридил)-5-фенилпиразол-3-ил]метил-2-оксоимидазолидин Способом, аналогичным способу, применяемому в примере 101, указанное в заголовке соединение получают в виде кристаллов (167 мг, 77%) с применением 1-метилимидазолидин-2-она (71 мг) и [1-(6-метокси-3-пиридил)-5-фенилпиразол-3-ил]метилметансульфоната (214 мг), полученного в ссылочном примере 76. 1Н-ЯМР (400 МГц, CDCl3) МС (ESI) m/z: 364 (М+H)+. Элементный анализ: как С20Н21N5O2. Вычислено: С, 66,10; Н, 5,82; N, 19,27. Найдено: С, 65,76; Н, 5,80; N, 18,97. [Пример 103] 1-[1-(6-Метокси-3-пиридил)-5-фенилпиразол-3-ил]метил-2,5-диоксопирролидин При комнатной температуре карбонат калия (373 мг) добавляют к раствору [1-(6-метокси-3-пиридил)-5-фенилпиразол-3-ил]метилметансульфоната (194 мг), полученного в ссылочном примере 76, и сукцинимида (53 мг) в N,N-диметилформамиде (5 мл). Смесь перемешивают при 60°С в течение 16 часов и затем охлаждают на воздухе. Реакционную смесь распределяют между водой и этилацетатом. Органический слой промывают водой и насыщенным раствором соли и затем сушат над безводным сульфатом натрия. После фильтрования растворитель удаляют при пониженном давлении. Остаток очищают тонкослойной хроматографией на силикагеле (хлороформ-метанол), получая при этом указанное в заголовке соединение в виде кристаллов (151 мг, 75%). 1Н-ЯМР (400 МГц, CDCl3) МС (ESI) m/z: 363 (М+H)+. Элементный анализ: как С20Н18N4O3 Вычислено: С, 64,68; Н, 5,16; N, 15,09. Найдено: С, 64,74; Н, 4,96; N, 14,85. [Пример 104] 1-[1-(6-Метокси-3-пиридил)-5-фенилпиразол-3-карбонил]-2,2-диметил-3-диметиламиноазетидин Способом, аналогичным примеру, применяемому в стадии 1) примера 1, указанное в заголовке соединение получают в виде твердого вещества (48 мг, 47%) с применением 1-(6-метокси-3-пиридил)-5-фенилпиразол-3-карбоновой кислоты (74 г), полученной в ссылочном примере 41, и гидрохлорида (2,2-диметилазетидин-3-ил)диметиламина (50 мг), полученного в ссылочном примере 121. 1Н-ЯМР (400 МГц, CDCl3) МС (ESI) m/z: 406 (М+H)+. Элементный анализ: как С23Н27N5O2 Вычислено: С, 67,38; Н, 6,76; N, 17,08. Найдено: С, 67,27; Н, 6,67; N, 17,03. [Пример 105] 7-[1-(6-Метокси-3-пиридил)-5-фенилпиразол-3-карбонил]-4,7-диазаспиро[2,5]октан Способом, аналогичным способу, применяемому в стадии 1) примера 1, указанное в заголовке соединение получают в виде твердого вещества (224 мг, 71%) с применением 1-(6-метокси-3-пиридил)-5-фенилпиразол-3-карбоновой кислоты (240 г), полученной в ссылочном примере 41, и гидрохлорида 4,7-диазаспиро[2.5]октана (150 мг), полученного в ссылочном примере 122. 1Н-ЯМР (400 МГц, ДМСО-d6) МС (ESI) m/z: 390 (М+H)+. Элементный анализ: как С22Н23N5O2. Вычислено: С, 67,85; Н, 5,95; N, 17,98. Найдено: С, 67,62; Н, 5,96; N, 17,94. [Пример 106] Гидрохлорид 4-метил-7-[1-(6-метокси-3-пиридил)-5-фенилпиразол-3-карбонил]-4,7-диазаспиро[2,5]октана При комнатной температуре к раствору 7-[1-(6-метокси-3-пиридил)-5-фенилпиразол-3-карбонил]-4,7-диазаспиро[2,5]октана (120 мг), полученного в примере 105, в метаноле (4 мл) добавляют цианоборогидрид натрия (78 мг) и 37% водный раствор формальдегида (26 мкл) и смесь перемешивают в течение 41,5 часа. Затем к реакционной смеси добавляют цианоборогидрид натрия (78 мг) и 37% водный раствор формальдегида (26 мкл) и смесь перемешивают в течение 4 часов. Растворитель удаляют при пониженном давлении и остаток распределяют между этилацетатом и водой. Органический слой последовательно промывают насыщенным водным гидрокарбонатом натрия и насыщенным раствором соли и затем сушат над безводным сульфатом магния. После фильтрования растворитель удаляют при пониженном давлении. Остаток очищают колоночной хроматографией на силикагеле (хлороформ-метанол), получая при этом 4-метил-7-[1-(6-метокси-3-пиридил)-5-фенилпиразол-3-карбонил]-4,7-диазаспиро[2,5]октан. Полученный таким образом продукт растворяют в диэтиловом эфире (4 мл). К раствору при 0°С добавляют 1 н. HCl в этаноле (372 мкл) с последующим перемешиванием в течение 10 минут. Растворитель удаляют при пониженном давлении и остаток кристаллизуют из смеси диэтиловый эфир-гексан, получая при этом указанное в заголовке соединение в виде твердого вещества (101 мг, 74%). 1Н-ЯМР (400 МГц, ДМСО-d6) МС (ESI) m/z: 404 (М+H)+. Элементный анализ: как С23Н25N5O2 Вычислено: С, 62,16; Н, 6,01; N, 15,76; Cl, 7,98. Найдено: С, 62,17; Н, 5,90; N, 15,79; Cl, 7,98. [Пример 107] 1-[1-(6-Метокси-3-пиридил)-5-(2-пиридил)пиразол-3-карбонил]-4-ацетилпиперазин При 0°С триэтиламин (0,205 мл) и ацетилхлорид (0,0447 мл) добавляют к раствору гидрохлорида 4-[1-(6-метокси-3-пиридил)-5-(2-пиридил)пиразол-3-карбонил]пиперазина (0,185 г), полученного в примере 81, в метиленхлориде (5,0 мл). Смесь перемешивают при комнатной температуре в течение 1 часа. Реакционную смесь распределяют между водой и хлороформом. Водный слой дополнительно экстрагируют хлороформом и органические слои объединяют с последующим промыванием насыщенным раствором соли и сушкой над безводным сульфатом натрия. После фильтрования растворитель удаляют при пониженном давлении. Остаток очищают колоночной хроматографией на силикагеле (хлороформ-метанол), получая при этом указанное в заголовке соединение в виде аморфного продукта (0,147 г, 87%). 1Н-ЯМР (400 МГц, CDCl3) LC-МС m/z: 407 (М+H)+. [Пример 108] 1-[1-(6-Метокси-3-пиридил)-5-(2-пиридил)пиразол-3-карбонил]-5-оксо-1,4-диазепан Способом, аналогичным способу, применяемому в примере 20, указанное в заголовке соединение получают в виде твердого вещества (0,223 г, 76%) с применением 1-(6-метокси-3-пиридил)-5-(2-пиридил)пиразол-3-карбоновой кислоты (0,223 г), полученной в ссылочном примере 33, и гидрохлорида гексагидро-1Н-1,4-диазепин-5-она (0,227 г), полученного в ссылочном примере 120. 1Н-ЯМР (400 МГц, CDCl3) LC-МС m/z: 393 (М+H)+. Элементный анализ: как С20Н20N6O3. Вычислено: С, 61,22; Н, 5,14; N, 21,42. Найдено: С, 61,01; Н, 5,05; N, 21,23. [Пример 109] 1-[1-(6-Метокси-3-пиридил)-5-(2-пиридил)пиразол-3-карбонил]-4-метил-5-оксо-1,4-диазепан При 0°С гидрид натрия (промыт пентаном и высушен, 20,4 мг) добавляют к раствору 1-[1-(6-метокси-3-пиридил)-5-(2-пиридил)пиразол-3-карбонил]-5-оксо-1,4-диазепана (0,253 г), полученного в примере 108, в N,N-диметилформамиде (5,0 мл) и смесь перемешивают в течение 15 минут. К реакционной смеси добавляют метилиодид (0,0602 мл) и смесь перемешивают при комнатной температуре в течение 14 часов. Образовавшуюся смесь распределяют между водой и смесью хлороформ-метанол (5%). Водный слой дополнительно экстрагируют смесью хлороформ-метанол (5%) и органические слои объединяют с последующим промыванием насыщенным раствором соли и сушкой над безводным сульфатом натрия. После фильтрования растворитель удаляют при пониженном давлении и остаток очищают колоночной хроматографией на силикагеле (хлороформ-метанол), получая при этом указанное в заголовке соединение в виде аморфного продукта (0,231 г, 88%). 1Н-ЯМР (400 МГц, CDCl3) LC-МС m/z: 407 (М+H)+. [Пример 110] 1-[1-(6-Хлор-3-пиридил)-5-фенилпиразол-3-карбонил]-4-метилпиперазин При комнатной температуре N-метилпиперазин (1,80 мл) добавляют к раствору 1-[1-(6-хлор-3-пиридил)-5-фенилпиразол-3-карбонил]-1-сукцинимида (3,20 г), полученного в ссылочном примере 124, в хлороформе (30 мл) и смесь перемешивают в течение 2 часов. Реакционную смесь распределяют между водой и хлороформом. Органический слой последовательно промывают водой, 1 н. водным гидроксидом натрия и водой и затем сушат над безводным сульфатом магния. После фильтрования растворитель удаляют при пониженном давлении и таким образом полученное твердое вещество перекристаллизовывают из смеси эфир-гексан, получая при этом указанное в заголовке соединение (2,60 г, 80%). 1Н-ЯМР (400 МГц, CDCl3) Элементный анализ: как С20Н20ClN5O. Вычислено: С, 62,91%; Н, 5,28%; N, 18,34%. Найдено: С, 62,67%; Н, 5,22%; N, 18,29%. [Пример 111] Гидрохлорид 1-[1-(6-этокси-3-пиридил)-5-фенилпиразол-3-карбонил]-4-метилпиперазина Способом, аналогичным способу, применяемому в примере 110, 1-[1-(6-этокси-3-пиридил)-5-фенилпиразол-3-карбонил]-4-метилпиперазин получают с применением [1-(6-этокси-3-пиридил)-5-фенилпиразол-3-карбонил]-1-сукцинимида (232 мг), полученного в ссылочном примере 126, и N-метилпиперазина (0,14 мл). Полученный таким образом продукт растворяют в этаноле и к раствору добавляют 1 н. водную хлористоводородную кислоту (0,07 мл) с последующим перемешиванием. Растворитель удаляют при пониженном давлении и остаточное твердое вещество перекристаллизовывают из смеси эфир-гексан, получая при этом указанное в заголовке соединение (25 мг, 16%). 1Н-ЯМР (400 МГц, CDCl3) Элементный анализ: как С22Н26ClN5O2 Вычислено: С, 61,11%; Н, 6,18%; N, 16,20%. Найдено: С, 61,10%; Н, 6,15%; N, 16,02%. [Пример 112] Гидрохлорид 1-[1-(6-изопропилокси-3-пиридил)-5-фенилпиразол-3-карбонил]-4-метилпиперазина При комнатной температуре N-метилпиперазин (0,64 мл) добавляют к раствору [1-(6-изопропокси-3-пиридил)-5-фенилпиразол-3-карбонил]-1-сукцинимида (1,11 г), полученного в ссылочном примере 128, в метиленхлориде (20 мл) и смесь перемешивают на протяжении ночи. Реакционную смесь распределяют между хлороформом и водой. Органический слой последовательно промывают водой, 1 н. водным гидроксидом натрия и водой и затем сушат над безводным сульфатом магния. После фильтрования растворитель удаляют при пониженном давлении. Остаток очищают колоночной хроматографией на силикагеле (хлороформ-метанол) и получают 1-[1-(6-изопропилокси-3-пиридил)-5-фенилпиразол-3-карбонил]-4-метилпиперазин. Полученный таким образом продукт растворяют в этаноле и к раствору добавляют 1 н. водную хлористоводородную кислоту (2,9 мл) с последующим перемешиванием. Растворитель удаляют при пониженном давлении. Полученное таким образом твердое вещество перекристаллизовывают из смеси эфир-этанол, получая при этом указанное в заголовке соединение (25 г, 16%). 1Н-ЯМР (400 МГц, CDCl3) Элементный анализ: как С23Н28ClN5O2 Вычислено: С, 61,88%; Н, 6,43%; N, 15,69%. Найдено: С, 61,98%; Н, 6,40%; N, 15,62%. [Пример 113] 1-[1-(6-Метиламино-3-пиридил)-5-фенилпиразол-3-карбонил]-4-метилпиперазин К раствору 1-[1-(6-хлор-3-пиридил)-5-фенилпиразол-3-карбонил]-4-метилпиперазина (300 мг), полученного в примере 110, в N,N-диметилформамиде (1,5 мл) добавляют 40% раствор метиламина в метаноле (0,6 мл). Смесь перемешивают при 85°С в течение 3 дней в запаянной трубке и затем охлаждают на воздухе. Реакционную смесь распределяют между 1 н. водным гидроксидом натрия (30 мл) и этилацетатом. Органический слой последовательно промывают водой, насыщенным водным гидрокарбонатом натрия и водой и затем сушат над безводным сульфатом магния. После фильтрования растворитель удаляют при пониженном давлении и остаток растворяют в диметилсульфоксиде (1 мл). Раствор очищают препаративной высокоэффективной жидкостной хроматографией (элюент: вода-ацетонитрил) с последующей перекристаллизацией из смеси эфир-гексан, получая при этом указанное в заголовке соединение (11,7 мг, 4%). 1Н-ЯМР (400 МГц, CDCl3) Элементный анализ: как С21Н24N6O Вычислено: С, 66,21%; Н, 6,48%; N, 22,06%. Найдено: С, 66,21%; Н, 6,39%; N, 21,86%. [Пример 114] 1-[1-(6-Циклопропиламино-3-пиридил)-5-фенилпиразол-3-карбонил]-4-метилпиперазин К раствору 1-[1-(6-хлор-3-пиридил)-5-фенилпиразол-3-карбонил]-4-метилпиперазина (200 мг), полученного в примере 110, в диоксане (1,0 мл) добавляют циклопропиламин (1,0 мл). Смесь перемешивают при 100°С в течение 3 дней в запаянной трубке и затем охлаждают на воздухе. Реакционную смесь распределяют между водой и этилацетатом. Органический слой последовательно промывают водой и насыщенным водным гидрокарбонатом натрия и затем сушат над безводным сульфатом магния. После фильтрования растворитель удаляют при пониженном давлении и остаток растворяют в диметилсульфоксиде (1 мл). Раствор очищают препаративной высокоэффективной жидкостной хроматографией (элюент: вода-ацетонитрил), получая при этом указанное в заголовке соединение в виде маслянистого продукта(19,6 мг, 9%). МС (ESI) m/z: 403 (М+Н)+. [Пример 115] 1-[1-(6-Метокси-3-пиридил)-5-фенилпиразол-3-карбонил]-2,2,4-триметилпиперазин К раствору 1,3,3-триметилпиперазин-2,5-диона (162 мг), полученного в ссылочном примере 130, в тетрагидрофуране (2 мл) добавляют раствор комплекса 1,0 М боран-тетрагидрофуран в тетрагидрофуране (3 мл). Смесь кипятят с обратным холодильником при нагревании в течение 14 часов и затем охлаждают на воздухе. Растворитель удаляют при пониженном давлении и к остатку добавляют 1 н. водную хлористоводородную кислоту (4 мл). Образовавшуюся смесь нагревают при 100°С в течение 30 минут и затем охлаждают на воздухе. К реакционной смеси добавляют тетрагидрофуран (3 мл) и анионообменную смолу (амберлит, 3,29 г), предварительно промытую этанолом. Смесь перемешивают при комнатной температуре в течение 8 часов. Реакционную смесь подвергают фильтрованию и растворитель удаляют при пониженном давлении, получая при этом смесь 1,3,3-триметилпиперазина и 1-флуоренилметилпиперидина в виде маслянистого продукта (71,0 мг). Маслянистую смесь и 1-[1-(6-метокси-3-пиридил)-5-фенилпиразол-3-карбонил]-1-сукцинимида (66,4 мг), полученного в ссылочном примере 129, растворяют в метиленхлориде (2 мл) и в смесь добавляют диизопропилэтиламин (185 мкл). Образовавшуюся смесь перемешивают при комнатной температуре в течение 48 часов. Реакционную смесь концентрируют до 1 мл при пониженном давлении с последующей очисткой препаративной высокоэффективной жидкостной хроматографией (ацетонитрил-вода (с 1% муравьиной кислотой, 12-50 об./об.%)), получая при этом указанное в заголовке соединение в виде маслянистого продукта (11,8 мг, 15%). МС (FAB) m/z: 406 (М+Н)+. [Пример 116] 4-[1-(6-Метокси-3-пиридил)-5-фенилпиразол-3-карбонил]-1,2,6-триметилпиперазин 4-[1-(6-Метокси-3-пиридил)-5-фенилпиразол-3-карбонил]-2,6-диметилпиперазин (29,7 мг), полученный в примере 22, растворяют в этаноле (2,0 мл). К раствору при комнатной температуре добавляют 35% водный раствор формалина (0,0325 мл), уксусную кислоту (0,0217 мл) и цианоборогидрид натрия (9,2 мг) с последующим перемешиванием в течение 1,5 часа. Реакционную смесь распределяют между водным гидрокарбонатом натрия и хлороформом при 0°С. Водный слой дополнительно экстрагируют хлороформом. Органические слои объединяют и промывают насыщенным раствором соли с последующей сушкой над безводным сульфатом натрия. После фильтрования растворитель удаляют при пониженном давлении и остаток сушат, получая при этом указанное в заголовке соединение (40 мг, количественный выход). ЖХ-МС m/z: 406 (М+Н)+. [Пример 117] 1-[1-(5-Метокси-2-пиридил)-5-фенилпиразол-3-карбонил]-4-метилпиперазин Способом, аналогичным способу, применяемому в стадии 1) примера 1, указанное в заголовке соединение получают в виде твердого вещества (130 мг, 68%) с применением 1-(5-метокси-2-пиридил)-5-фенилпиразол-3-карбоновой кислоты (150 мг), полученной в ссылочном примере 137, и N-метилпиперазина (0,068 мл). 1Н-ЯМР (400 МГц, ДМСО-d6) LC-МС m/z: 378 (М+H)+. Элементный анализ: как С21Н23N5O2. Вычислено: С, 66,77; Н, 6,15; N, 18,63. Найдено: С, 66,83; Н, 6,14; N, 18,55. [Пример 118] (2S)-1-[1-(5-Метокси-2-пиридил)-5-фенилпиразол-3-карбонил]пирролидин-2-карбоксамид Способом, аналогичным способу, применяемому в стадии 1) примера 1, указанное в заголовке соединение получают в виде твердого вещества (270 мг, 81%) с применением 1-(5-метокси-2-пиридил)-5-фенилпиразол-3-карбоновой кислоты (250 мг), полученной в ссылочном примере 137, и L-пролинамида (116 мг). 1Н-ЯМР (400 МГц, CDCl3) FAB-МС m/z: 392 (М+H)+. [Пример 119] 1-[1-(5-Метокси-2-пиридил)-5-фенилпиразол-3-карбонил]пиперидин-2-карбоксамид Способом, аналогичным способу, применяемому в стадии 1) примера 1, указанное в заголовке соединение получают в виде твердого вещества (229 мг, 66%) с применением 1-(5-метокси-2-пиридил)-5-фенилпиразол-3-карбоновой кислоты (250 мг), полученной в ссылочном примере 137, и пиперидин-2-карбоксамида (119 мг), полученного в ссылочном примере 131. 1Н-ЯМР (400 МГц, CDCl3) EI-МС m/z: 405 (М+). [Пример 120] 1-[1-(5-Метокси-2-пиридил)-5-(2-пиридил)пиразол-3-карбонил]-4-метилпиперазин 1) Указанное в заголовке соединение Способом, аналогичным способу, применяемому в стадии 1) примера 1, указанное в заголовке соединение получают в виде маслянистого продукта (264 мг, 69%) с применением 1-(5-метокси-2-пиридил)-5-(2-пиридил)пиразол-3-карбоновой кислоты (300 мг), полученной в ссылочном примере 138, и N-метилпиперазина (0,247 мл). 1Н-ЯМР (400 МГц, CDCl3) EI-МС m/z: 378 (М+). 2) Соль указанного в заголовке соединения с хлористоводородной кислотой Способом, аналогичным способу, применяемому в стадии 2) примера 29, соль указанного в заголовке соединения с хлористоводородной кислотой получают в виде твердого вещества (187 мг, 64%) с применением полученного выше, указанного в заголовке соединения (254 мг). 1Н-ЯМР (400 МГц, ДМСО-d6) EI-МС m/z: 378 (М+). [Пример 121] 4-[1-(6-Метокси-3-пиридазинил)-5-(2-пиридил)пиразол-3-карбонил]морфолин Способом, аналогичным способу, применяемому в стадии 1) примера 1, указанное в заголовке соединение получают в виде твердого вещества (85 мг, 69%) с применением 1-(6-метокси-3-пиридазинил)-5-(2-пиридил)пиразол-3-карбоновой кислоты (100 мг), полученной в ссылочном примере 139, и морфолина (0,035 мл). 1Н-ЯМР (400 МГц, ДМСО-d6) LC-МС m/z: 367 (М+H)+. Элементный анализ: как С18Н18N6O3 Вычислено: С, 58,29; Н, 5,03; N, 22,66. Найдено: С, 58,59; Н, 4,89; N, 22,57. [Пример 122] 1-[1-(6-Метокси-3-пиридазинил)-5-(2-пиридил)пиразол-3-карбонил]пиперидин Способом, аналогичным способу, применяемому в стадии 1) примера 1, указанное в заголовке соединение получают в виде твердого вещества (87 мг, 71%) с применением 1-(6-метокси-3-пиридазинил)-5-(2-пиридил)пиразол-3-карбоновой кислоты (100 мг), полученной в ссылочном примере 139, и пиперидина (0,040 мл). 1Н-ЯМР (400 МГц, ДМСО-d6) LC-МС m/z: 365 (М+H)+. Элементный анализ: как С19Н20N6O2. Вычислено: С, 62,62; Н, 5,53; N, 23,06. Найдено: С, 62,46; Н, 5,43; N, 23,01. [Пример 123] 4-[1-(6-Метокси-3-пиридазинил)-5-фенилпиразол-3-карбонил]морфолин Способом, аналогичным способу, применяемому в стадии 1) примера 1, указанное в заголовке соединение получают в виде твердого вещества (170 мг, 69%) с применением 1-(6-метокси-3-пиридазинил)-5-фенилпиразол-3-карбоновой кислоты (200 мг), полученной в ссылочном примере 43, и морфолина (0,071 мл). 1Н-ЯМР (400 МГц, ДМСО-d6) LC-МС m/z: 366 (М+Н)+. [Пример 124] 1-[1-(6-Метокси-3-пиридазинил)-5-(2-пиридил)пиразол-3-карбонил]-4-метил-3-оксопиперазин Способом, аналогичным способу, применяемому в стадии 1) примера 1, указанное в заголовке соединение получают в виде твердого вещества (54 мг, 43%) с применением 1-(6-метокси-3-пиридазинил)-5-(2-пиридил)пиразол-3-карбоновой кислоты (90 мг), полученной в ссылочном примере 139, и гидрохлорида 1-метилпиперазин-2-она (57 мг), полученного в ссылочном примере 157. 1Н-ЯМР (400 МГц, CDCl3) ESI-МС m/z: 394 (М+H)+. [Пример 125] 1-[1-(6-Метокси-3-пиридазинил)-5-фенилпиразол-3-карбонил]-4-метил-3-оксопиперазин Способом, аналогичным способу, применяемому в стадии 1) примера 1, указанное в заголовке соединение получают в виде твердого вещества (125 мг, 63%) с применением 1-(6-метокси-3-пиридазинил)-5-фенилпиразол-3-карбоновой кислоты (151 мг), полученной в ссылочном примере 43, и соли 1-метилпиперазин-2-она с трифторуксусной кислотой (128 мг), полученной в ссылочном примере 91. 1Н-ЯМР (400 МГц, ДМСО-d6) LC-МС m/z: 393 (М+H)+. [Пример 126] (2S)-1-[1-(6-Метокси-3-пиридазинил)-5-фенилпиразол-3-карбонил]-2-гидроксиметилпирролидин 1-[1-(6-Метокси-3-пиридазинил)-5-фенилпиразол-3-карбоновую кислоту (237 мг), полученную в ссылочном примере 43, растворяют в N,N-диметилформамиде (4 мл). К раствору добавляют дифенилфосфорилазид (0,19 мл), триэтиламин (0,245 мл) и (S)-2-пирролидинметанол (0,118 мл) с последующим перемешиванием при комнатной температуре в течение 17 часов. Реакционную смесь распределяют между водой и хлороформом. Органический слой промывают насыщенным водным гидрокарбонатом натрия с последующей сушкой над безводным сульфатом натрия. После фильтрования растворитель удаляют при пониженном давлении и остаток очищают колоночной хроматографией на силикагеле (хлороформ-метанол), получая при этом указанное в заголовке соединение в виде твердого вещества (0,166 г, 47%). 1Н-ЯМР (400 МГц, CDCl3) ESI-МС m/z: 380 (М+H)+. [Пример 127] 1-[1-(6-Метокси-3-пиридазинил)-5-фенилпиразол-3-карбонил]пиперидин-2-карбоксамид Способом, аналогичным способу, применяемому в стадии 1) примера 1, указанное в заголовке соединение получают в виде твердого вещества (213 мг, 65%) с применением 1-(6-метокси-3-пиридазинил)-5-фенилпиразол-3-карбоновой кислоты (151 мг), полученной в ссылочном примере 43, и пиперидин-2-карбоксамида (154 мг), полученного в ссылочном примере 131. 1Н-ЯМР (400 МГц, CDCl3) ESI-МС m/z: 407 (М+H)+. Элементный анализ: как С21Н22N6O3. Вычислено: С, 62,06; Н, 5,46; N, 20,68. Найдено: С, 62,16; Н, 5,52; N, 20,59. [Пример 128] 1-[1-(6-Метокси-3-пиридазинил)-5-(2-пиридил)пиразол-3-карбонил]пирролидин Способом, аналогичным способу, применяемому в стадии 1) примера 1, указанное в заголовке соединение получают в виде твердого вещества (226 мг, 77%) с применением 1-(6-метокси-3-пиридазинил)-5-(2-пиридил)пиразол-3-карбоновой кислоты (250 мг), полученной в ссылочном примере 139, и пирролидина (0,084 мл). 1Н-ЯМР (400 МГц, ДМСО-d6) FAB-МС m/z: 351 (М+H)+. Элементный анализ: как С18Н18N6O2. Вычислено: С, 61,70; Н, 5,18; N, 23,99. Найдено: С, 61,42; Н, 5,01; N, 23,87. [Пример 129] 4-[1-(6-Метокси-3-пиридазинил)-5-(2-пиридил)пиразол-3-карбонил]-1,4-оксазепан Способом, аналогичным способу, применяемому в стадии 1) примера 1, указанное в заголовке соединение получают в виде твердого вещества (77,5 мг, 25%) с применением 1-(6-метокси-3-пиридазинил)-5-(2-пиридил)пиразол-3-карбоновой кислоты (250 мг), полученной в ссылочном примере 139, и гидрохлорида 1,4-оксазепана (363 мг), полученного в ссылочном примере 149. 1Н-ЯМР (400 МГц, CDCl3) ESI-МС m/z: 381 (М+H)+. [Пример 130] 1-[1-(6-Метокси-3-пиридазинил)-5-(2-пиридил)пиразол-3-карбонил]-4-метоксипиперидин Способом, аналогичным способу, применяемому в стадии 1) примера 1, указанное в заголовке соединение получают в виде твердого вещества (130 мг, 39%) с применением 1-(6-метокси-3-пиридазинил)-5-(2-пиридил)пиразол-3-карбоновой кислоты (250 мг), полученной в ссылочном примере 139, и соли 4-метоксипиперидина с трифторуксусной кислотой (386 мг), полученной в ссылочном примере 151. 1Н-ЯМР (400 МГц, CDCl3) EI-МС m/z: 394 (М+). Элементный анализ: как С19Н20N6O3. Вычислено: С, 60,90; Н, 5,62; N, 21,31. Найдено: С, 60,72; Н, 5,38; N, 21,15. [Пример 131] 1-[1-(6-Метокси-3-пиридазинил)-5-(2-пиридил)пиразол-3-карбонил]-2-метилгексагидропиридазин Способом, аналогичным способу, применяемому в стадии 1) примера 1, указанное в заголовке соединение получают в виде аморфного продукта (16,5 мг, 5%) с применением 1-(6-метокси-3-пиридазинил)-5-(2-пиридил)пиразол-3-карбоновой кислоты (251 мг), полученной в ссылочном примере 139, и 1-метилгексагидропиридазина (143 мг), полученного в ссылочном примере 150. 1Н-ЯМР (400 МГц, CDCl3) ESI-МС m/z: 380 (М+H)+. [Пример 132] 1-[1-(6-Метокси-3-пиридазинил)-5-(2-пиридил)пиразол-3-карбонил]-4-метилпиперазин Способом, аналогичным способу, применяемому в стадии 1) примера 1, указанное в заголовке соединение получают в виде твердого вещества (215 мг, 71%) с применением 1-(6-метокси-3-пиридазинил)-5-(2-пиридил)пиразол-3-карбоновой кислоты (238 мг), полученной в ссылочном примере 139, и N-метилпиперазина (122 мг). 1Н-ЯМР (400 МГц, CDCl3) ESI-МС m/z: 380 (М+H)+. Элементный анализ: как С19Н21N7O2. Вычислено: С, 60,15; Н, 5,58; N, 25,84. Найдено: С, 59,95; Н, 5,40; N, 25,71. [Пример 133] 1-[1-(6-Метокси-3-пиридазинил)-5-(2-пиридил)пиразол-3-карбонил]-4-пиперазин 1) трет-Бутиловый эфир 1-[1-(6-метокси-3-пиридазинил)-5-(2-пиридил)пиразол-3-карбонил]пиперазин-4-карбоновой кислоты Способом, аналогичным способу, применяемому в стадии 1) примера 1, трет-бутиловый эфир 1-[1-(6-метокси-3-пиридазинил)-5-(2-пиридил)пиразол-3-карбонил]пиперазин-4-карбоновой кислоты получают в виде твердого вещества (349 мг, 94%) с применением 1-(6-метокси-3-пиридазинил)-5-(2-пиридил)пиразол-3-карбоновой кислоты (237 мг), полученной в ссылочном примере 139, и N-трет-бутоксикарбонилпиперазина (223 мг). 1Н-ЯМР (400 МГц, CDCl3) ESI-МС m/z: 466 (М+H)+. 2) Указанное в заголовке соединение Способом, аналогичным способу, применяемому в стадии 2) примера 16, указанное в заголовке соединение получают в виде твердого вещества (242 мг, 88%) с применением полученного выше продукта, трет-бутилового эфира 1-[1-(6-метокси-3-пиридазинил)-5-(2-пиридил)пиразол-3-карбонил]-4-пиперазин-4-карбоновой кислоты (349 мг) 1Н-ЯМР (400 МГц, CDCl3) ESI-МС m/z: 366 (М+H)+. [Пример 134] 1-[1-(6-Метокси-3-пиридазинил)-5-(2-пиридил)пиразол-3-карбонил]-3-оксопиперидин 1) Гидрохлорид пиперидин-3-она трет-Бутиловый эфир 3-оксопиперидин-1-карбоновой кислоты (400 мг) растворяют в метиленхлориде (5 мл). К раствору добавляют раствор 4 н. HCl-диоксан (3 мл) с последующим перемешиванием при комнатной температуре в течение 3 часов. Растворитель реакции удаляют при пониженном давлении, получая при этом гидрохлорид пиперидин-3-она. 1H-ЯМР (400 МГц, CD3OD) 2) Указанное в заголовке соединение Способом, аналогичным способу, применяемому в стадии 1) примера 1, указанное в заголовке соединение получают в виде твердого вещества (53 мг, 10%) с применением 1-(6-метокси-3-пиридазинил)-5-(2-пиридил)пиразол-3-карбоновой кислоты (400 мг), полученной в ссылочном примере 139, и полученного выше продукта, гидрохлорида пиперидин-3-она (272 мг). 1Н-ЯМР (400 МГц, CDCl3) FAB-МС m/z: 379 (М+H)+. [Пример 135] 1-[1-(6-Метокси-3-пиридазинил)-5-(4-метокси-2-пиридил)пиразол-3-карбонил]-4-метилпиперазин Способом, аналогичным способу, применяемому в стадии 1) примера 1, указанное в заголовке соединение получают в виде твердого вещества (226 мг, 60%) с применением 1-(6-метокси-3-пиридазинил)-5-(4-метокси-2-пиридил)пиразол-3-карбоновой кислоты (300 мг), полученной в ссылочном примере 158, и N-метилпиперазина (0,244 мл). 1Н-ЯМР (400 МГц, CDCl3) EI-МС m/z: 409 (М+). Элементный анализ: как С20Н23N7O3 Вычислено: С, 58,03; Н, 5,72; N, 23,69. Найдено: С, 58,07; Н, 5,64; N, 23,47. [Пример 136] 4-Циклопропил-1-[1-(6-метокси-3-пиридазинил)-5-(2-пиридил)пиразол-3-карбонил]пиперазин Способом, аналогичным способу, применяемому в стадии 1) примера 1, указанное в заголовке соединение получают в виде твердого вещества (271 мг, 79%) с применением 1-(6-метокси-3-пиридазинил)-5-(2-пиридил)пиразол-3-карбоновой кислоты (250 мг), полученной в ссылочном примере 139, и гидрохлорид 1-циклопропилпиперазина (0,284 мг), полученного в ссылочном примере 99. 1Н-ЯМР (400 МГц, CDCl3) EI-МС m/z: 405 (М+). Элементный анализ: как С21Н23N7O2 Вычислено: С, 61,51; Н, 5,78; N, 23,92. Найдено: С, 61,51; Н, 5,54; N, 23,94. [Пример 137] 4-[1-(6-Метокси-3-пиридазинил)-5-(2-пиридил)пиразол-3-карбонил]-1,1-диоксотиоморфолин Способом, аналогичным способу, применяемому в стадии 1) примера 1, указанное в заголовке соединение получают в виде твердого вещества (235 мг, 72%) с применением 1-(6-метокси-3-пиридазинил)-5-(2-пиридил)пиразол-3-карбоновой кислоты (250 мг), полученной в ссылочном примере 139, и тиоморфолин-1,1-диоксида (0,136 мл). 1Н-ЯМР (400 МГц, ДМСО-d6) FAB-МС m/z: 415 (М+H)+. [Пример 138] 4-[1-(6-Метокси-3-пиридазинил)-5-(2-пиридил)пиразол-3-карбонил]тиоморфолин Способом, аналогичным способу, применяемому в стадии 1) примера 1, указанное в заголовке соединение получают в виде твердого вещества (236 мг, 92%) с применением 1-(6-метокси-3-пиридазинил)-5-(2-пиридил)пиразол-3-карбоновой кислоты (200 мг), полученной в ссылочном примере 139, и тиоморфолина (0,081 мл). 1Н-ЯМР (400 МГц, CDCl3) FAB-МС m/z: 383 (М+H)+. [Пример 139] 1-[1-(6-Метокси-3-пиридазинил)-5-(2-пиридил)пиразол-3-карбонил]-4,4-дифторпиперидин Способом, аналогичным способу, применяемому в стадии 1) примера 1, указанное в заголовке соединение получают в виде твердого вещества (574 мг, 85%) с применением 1-(6-метокси-3-пиридазинил)-5-(2-пиридил)пиразол-3-карбоновой кислоты (500 мг), полученной в ссылочном примере 139, и гидрохлорида 4,4-дифторпиперидина (398 мг), полученного в ссылочном примере 152. 1Н-ЯМР (400 МГц, CDCl3) EI-МС m/z: 400 (М+). [Пример 140] 1-[1-(6-Метокси-3-пиридазинил)-5-(2-пиридил)пиразол-3-карбонил]-3,3-дифторпиперидин Способом, аналогичным способу, применяемому в стадии 1) примера 1, указанное в заголовке соединение получают в виде твердого вещества (403 мг, 74%) с применением 1-(6-метокси-3-пиридазинил)-5-(2-пиридил)пиразол-3-карбоновой кислоты (400 мг), полученной в ссылочном примере 139, и гидрохлорида 3,3-дифторпиперидина (233 мг), полученного в ссылочном примере 153. 1Н-ЯМР (400 МГц, CDCl3) EI-МС m/z: 400 (М+). [Пример 141] 1-[1-(6-Метокси-3-пиридазинил)-5-(2-пиридил)пиразол-3-карбонил]-4-фторпиперидин Способом, аналогичным способу, применяемому в стадии 1) примера 1, указанное в заголовке соединение получают в виде твердого вещества (403 мг, 74%) с применением 1-(6-метокси-3-пиридазинил)-5-(2-пиридил)пиразол-3-карбоновой кислоты (400 мг), полученной в ссылочном примере 139, и гидрохлорида 4-фторпиперидина (207 мг), полученного в ссылочном примере 154. 1Н-ЯМР (400 МГц, CDCl3) FAB-МС m/z: 383 (М+H)+. Элементный анализ: как С19Н19FN6O2. Вычислено: С, 59,68; Н, 5,01; N, 21,99; F, 4,97. Найдено: С, 59,65; Н, 4,96; N, 22,04; F, 4,91. [Пример 142] 1-[1-(6-Метокси-3-пиридазинил)-5-(4-диметиламинофенил)пиразол-3-карбонил]-4-метилпиперазин Способом, аналогичным способу, применяемому в примере 20, указанное в заголовке соединение получают в виде аморфного продукта (200 мг, 76%) с применением 1-(6-метокси-3-пиридазинил)-5-(4-диметиламинофенил)пиразол-3-карбоновой кислоты (203 мг), полученной в ссылочном примере 140, и N-метилпиперазина (0,067 мл). 1Н-ЯМР (400 МГц, CDCl3) ESI-МС m/z: 422 (М+H)+. Элементный анализ: как С22Н27N7O2 Вычислено: С, 60,74; Н, 6,60; N, 22,54. Найдено: С, 60,62; Н, 6,68; N, 22,54. [Пример 143] 1-[5-(5-Хлор-2-пиридил)-5-(6-метокси-3-пиридазинил)пиразол-3-карбонил]-4-метил-3-оксопиперазин Способом, аналогичным способу, применяемому в примере 20, указанное в заголовке соединение получают в виде твердого вещества (45 мг, 7%) с применением 5-(5-хлор-2-пиридил)-1-(6-метокси-3-пиридазинил)пиразол-3-карбоновой кислоты (483 мг), полученной в ссылочном примере 141, и гидрохлорида N-метилпиперазин-2-она (440 мг), полученного в ссылочном примере 157. 1Н-ЯМР (400 МГц, CDCl3) FAB-МС m/z: 428 (М+H)+. [Пример 144] 1-[1-(5-Метокси-2-пиразинил)-5-(2-пиридил)пиразол-3-карбонил]-4-метилпиперазин Способом, аналогичным способу, применяемому в стадии 1) примера 1, указанное в заголовке соединение получают в виде твердого вещества (251 мг, 61%) с применением 1-(5-метокси-2-пиразинил)-5-(2-пиридил)пиразол-3-карбоновой кислоты (320 мг), полученной в ссылочном примере 142, и N-метилпиперазина (0,179 мл). 1Н-ЯМР (400 МГц, CDCl3) EI-МС m/z: 379 (М+). [Пример 145] 1-[1-(5-Метокси-2-пиразинил)-5-(2-пиридил)пиразол-3-карбонил]-4-метил-3-оксопиперазин Способом, аналогичным способу, применяемому в стадии 1) примера 1, указанное в заголовке соединение получают в виде твердого вещества (287 мг, 64%) с применением 1-(5-метокси-2-пиразинил)-5-(2-пиридил)пиразол-3-карбоновой кислоты (329 мг), полученной в ссылочном примере 142, и гидрохлорида 1-метилпиперазин-2-она (333 мг), полученного в ссылочном примере 157. 1Н-ЯМР (400 МГц, CDCl3) FAB-МС m/z: 394 (М+H)+. Элементный анализ: как С19Н19N7O3. Вычислено: С, 56,71; Н, 5,01; N, 24,36. Найдено: С, 56,77; Н, 5,16; N, 24,40. [Пример 146] 1-[1-(6-Метил-3-пиридил)-5-(2-пиридил)пиразол-3-карбонил]-4-метилпиперазин К раствору этилового эфира 1-(6-метил-3-пиридил)-5-(2-пиридил)пиразол-3-карбоновой кислоты (245 мг), полученного в ссылочном примере 143, в смеси тетрагидрофурана (2 мл), этанола (0,5 мл) и воды (1 мл) при комнатной температуре добавляют моногидрат гидроксида лития (40,1 мг) с последующим перемешиванием в течение 1 часа. К реакционной смеси добавляют 1 н. водную хлористоводородную кислоту (0,191 мл) и растворитель реакции удаляют при пониженном давлении, получая при этом литиевую соль 1-(6-метил-3-пиридил)-5-(2-пиридил)пиразол-3-карбоновой кислоты. К раствору полученной таким образом литиевой соли в N,N-диметилформамиде (4,0 мл) при комнатной температуре добавляют 1-гидроксибензотриазол (153 мг), гидрохлорид 1-этил-3-(3-диметиламинопропил)карбодиимида (238 мг) и N-метилпиперазин (0,265 мл) с последующим перемешиванием в течение 3 дней. Реакционную смесь распределяют между водой и растворителем хлороформ-метанол (15:1) и органический слой сушат над безводным сульфатом натрия. После фильтрования растворитель удаляют при пониженном давлении и остаток очищают колоночной хроматографией на силикагеле (хлороформ-метанол), получая при этом указанное в заголовке соединение в виде аморфного продукта (66,5 мг, 25%). 1Н-ЯМР (400 МГц, CDCl3) ESI-МС m/z: 362 (М+H)+. [Пример 147] Гидрохлорид 1-[1-(6-метокси-3-пиридил)-5-(3-пиридазинил)пиразол-3-карбонил]-4-метилпиперазина Способом, аналогичным способу, применяемому в стадии 1) примера 1, 1-[1-(6-метокси-3-пиридил)-5-(3-пиридазинил)пиразол-3-карбонил]-4-метилпиперазин получают с применением литиевой соли 1-(6-метокси-3-пиридил)-5-(3-пиридазинил)пиразол-3-карбоновой кислоты (160 мг), полученной в ссылочном примере 144, и N-метилпиперазина (0,088 мл). Способом, аналогичным способу, применяемому в стадии 2) примера 29, указанное в заголовке соединение получают в виде твердого вещества (123 мг, 50%) с применением полученного выше продукта. 1Н-ЯМР (400 МГц, ДМСО-d6) ESI-МС m/z: 380 (М+H)+. [Пример 148] 1-[1-(6-Метокси-3-пиридил)-5-(2-пиразинил)пиразол-3-карбонил]-4-метилпиперазин 1) Этиловый эфир 4-(2-пиразинил)-2,4-диоксомасляной кислоты Способом, аналогичным способу, применяемому в ссылочном примере 71, этиловый эфир 4-(2-пиразинил)-2,4-оксомасляной кислоты получают в виде твердого вещества (1,83 г, 82%) с применением 1-(2-пиразинил)-1-этанона (1,22 г) и диэтилоксалата (2,05 мл). Полученный таким образом продукт подвергают следующим реакциям, без очистки. 2) Этиловый эфир 1-(6-метокси-3-пиридил)-5-(2-пиразинил)пиразол-3-карбоновой кислоты Способом, аналогичным способу, применяемому в стадии 2) ссылочного примера 138, этиловый эфир 1-(6-метокси-3-пиридил)-5-(2-пиразинил)пиразол-3-карбоновой кислоты получают в виде твердого вещества (1,05 г, 45%) с применением образовавшегося продукта, этилового эфира 4-(2-пиразинил)-2,4-оксомасляной кислоты (1,58 г), и гидрохлорида 5-гидразино-2-метоксипиридина (1,50 г), полученного в ссылочном примере 1. 3) 1-(6-Метокси-3-пиридил)-5-(2-пиразинил)пиразол-3-карбоновая кислота Способом, аналогичным способу, применяемому в стадии 7) ссылочного примера 137, 1-(6-метокси-3-пиридил)-5-(2-пиразинил)пиразол-3-карбоновую кислоту получают в виде твердого вещества (0,883 г, 92%) с применением образовавшегося продукта, этилового эфира 1-(6-метокси-3-пиридил)-5-(2-пиразинил)пиразол-3-карбоновой кислоты (1,05 г). 4) Указанное в заголовке соединение Способом, аналогичным способу, применяемому в стадии 1) примера 1, указанное в заголовке соединение получают в виде твердого вещества (145 мг, 48%) с применением образовавшегося продукта, 1-(6-метокси-3-пиридил)-5-(2-пиразинил)пиразол-3-карбоновой кислоты (0,232 г), и N-метилпиперазина (0,156 мл). 1Н-ЯМР (400 МГц, CDCl3) ESI-МС m/z: 380 (М+H)+. Элементный анализ: как С19Н21N7O2. Вычислено: С, 60,15; Н, 5,58; N, 25,83. Найдено: С, 60,00; Н, 5,52; N, 25,57. [Пример 149] (2S)-1-[1-(6-Метокси-3-пиридил)-5-(2-пиридил)пиразол-3-карбонил]-2-диметиламинометилпирролидин 1) (2S)-2-Диметиламинометилпирролидин При охлаждении при -78°С раствор сульфурилхлорида (0,409 мл) в метиленхлориде (30 мл) добавляют по каплям к раствору (2S)-2-пирролидинметанола (0,498 мл) и триэтиламина (1,39 мл) в метиленхлориде (30 мл) на протяжении периода 10 минут. Температуру образовавшейся смеси постепенно возвращают к комнатной температуре с последующим перемешиванием смеси в течение 20 часов. Реакционную смесь распределяют между 1 н. водной хлористоводородной кислотой и метиленхлоридом и органический слой промывают насыщенным раствором соли с последующей сушкой над безводным сульфатом натрия. После фильтрования растворитель удаляют при пониженном давлении и к остатку добавляют раствор 2,0 М диметиламина в тетрагидрофуране (25 мл) с последующим перемешиванием в запаянной трубке при внутренней температуре 100°С в течение 14 часов и 30 минут и затем охлаждают на воздухе. К смеси добавляют трифторуксусную кислоту (одну каплю). Образовавшуюся смесь дополнительно перемешивают в запаянной трубке при внутренней температуре 100°С в течение 21 часа и затем охлаждают на воздухе. Растворитель удаляют при нормальном давлении и к остатку добавляют 2 н. водный гидроксид натрия (50 мл) с последующим перемешиванием при 100°С в течение 15 часов. Образовавшуюся смесь охлаждают на воздухе. Для распределения смеси к ней добавляют диэтиловый эфир и органический слой сушат над безводным сульфатом натрия. После фильтрования растворитель удаляют при пониженном давлении, получая при этом (2S)-2-диметиламинометилпирролидин. 2) Указанное в заголовке соединение Способом, аналогичным способу, применяемому в стадии 1) примера 1, указанное в заголовке соединение получают в виде твердого вещества (116 мг, 5,1%) с применением образовавшегося продукта, (2S)-2-диметиламинометилпирролидина, и 1-(6-метокси-3-пиридил)-5-(2-пиридил)пиразол-3-карбоновой кислоты (231 мг), полученной в ссылочном примере 33. 1Н-ЯМР (400 МГц, CDCl3) ESI-МС m/z: 407 (М+H)+. [Пример 150] 1-[1-(6-Метокси-3-пиридил)-5-(2-пиридил)пиразол-3-карбонил]-3-диметиламинопирролидин Способом, аналогичным способу, применяемому в стадии 1) примера 1, указанное в заголовке соединение получают в виде твердого вещества (250 мг, 80%) с применением 1-(6-метокси-3-пиридил)-5-(2-пиридил)пиразол-3-карбоновой кислоты (231 мг), полученной в ссылочном примере 33, и 3-диметиламинопирролидина (0,148 мл). 1Н-ЯМР (400 МГц, CDCl3) ESI-МС m/z: 393 (М+H)+. [Пример 151] 1-[1-(6-Метокси-3-пиридил)-5-(2-пиридил)пиразол-3-карбонил]-2-метил-3-оксопиразолидин 1) 1-[1-(6-Метокси-3-пиридил)-5-(2-пиридил)пиразол-3-карбонил]-3-оксопиразолидин Способом, аналогичным способу, применяемому в стадии 1) примера 1, 1-[1-(6-метокси-3-пиридил)-5-(2-пиридил)пиразол-3-карбонил]-3-оксопиразолидин получают в виде твердого вещества (141 мг, 48%) с применением 1-(6-метокси-3-пиридил)-5-(2-пиридил)пиразол-3-карбоновой кислоты (231 мг), полученной в ссылочном примере 33, и гидрохлорида 3-оксопиразолидина (115 мг). 1Н-ЯМР (400 МГц, ДМСО-d6) ESI-МС m/z: 365 (М+H)+. 2) Указанное в заголовке соединение 60% гидрид натрия (142,4 мг) добавляют к полученному выше 1-[1-(6-метокси-3-пиридил)-5-(2-пиридил)пиразол-3-карбонил]-3-оксопиразолидину (0,542 г) в N,N-диметилформамиде (5 мл) при комнатной температуре с последующим перемешиванием в течение 15 минут. Затем к образовавшейся смеси добавляют метилиодид (0,828 мл) с последующим перемешиванием в течение 10 дней. К реакционной смеси добавляют карбонат калия (0,614 г) и метилиодид (0,276 мл). Образовавшуюся смесь перемешивают при 60°С в течение 2 часов и затем охлаждают на воздухе. Реакционную смесь распределяют между насыщенным водным раствором гидрокарбоната натрия и этилацетатом. Органический слой сушат над безводным сульфатом натрия. Смесь подвергают фильтрованию и растворитель удаляют при пониженном давлении. Остаток очищают колоночной хроматографией на силикагеле (этилацетат-гексан), получая при этом указанное в заголовке соединение в виде твердого вещества (89,8 мг, 15%). 1Н-ЯМР (400 МГц, CDCl3) ESI-МС m/z: 379 (М+H)+. [Пример 152] 1-[1-(6-Метокси-3-пиридил)-5-фенилпиразол-3-карбонил]-4-метилпиперазин-2-карбоксамид 1) Этиловый эфир 4-трет-бутоксикарбонил-1-[1-(6-метокси-3-пиридил)-5-фенилпиразол-3-карбонил]пиперазин-2-карбоновой кислоты Способом, аналогичным способу, применяемому в примере 20, этиловый эфир 4-трет-бутоксикарбонил-1-[1-(6-метокси-3-пиридил)-5-фенилпиразол-3-карбонил]пиперазин-2-карбоновой кислоты (992 мг, 95%) получают в виде аморфного продукта с применением 1-(6-метокси-3-пиридил)-5-фенилпиразол-3-карбоновой кислоты (540 мг), полученной в ссылочном примере 41, и этилового эфира 4-трет-бутоксикарбонилпиперазин-2-карбоновой кислоты (500 мг), полученного в ссылочном примере 147. 1Н-ЯМР (400 МГц, CDCl3) FAB-МС m/z: 536 (М+H)+. 2) Этиловый эфир 1-[1-(6-метокси-3-пиридил)-5-фенилпиразол-3-карбонил]-4-метилпиперазин-2-карбоновой кислоты Способом, аналогичным способу, применяемому в стадии 2) примера 16, этиловый эфир 1-[1-(6-метокси-3-пиридил)-5-фенилпиразол-3-карбонил]пиперазин-2-карбоновой кислоты получают с применением полученного выше этилового эфира 4-трет-бутоксикарбонил-1-[1-(6-метокси-3-пиридил)-5-фенилпиразол-3-карбонил]пиперазин-2-карбоновой кислоты (992 мг) и трифторуксусной кислоты (2 мл). Это соединение растворяют в метиленхлориде (27 мл). К образовавшейся смеси добавляют 37% водный раствор формалина (0,36 мл) и триацетоксиборогидрид натрия (1,4 г) с последующим перемешиванием при комнатной температуре в течение 1 часа. Затем для распределения реакционной смеси добавляют насыщенный водный раствор гидрокарбоната натрия. Органический слой сушат над безводным сульфатом магния. Смесь подвергают фильтрованию и растворитель удаляют при пониженном давлении и затем сушат, получая при этом этиловый эфир 1-[1-(6-метокси-3-пиридил)-5-фенилпиразол-3-карбонил]-4-метилпиперазин-2-карбоновой кислоты в виде аморфного продукта (702 мг, 84%). 1Н-ЯМР (400 МГц, CDCl3) EI-МС m/z: 449 (М+). 3) Указанное в заголовке соединение Моногидрат гидроксида лития (66 мг) добавляют к полученному выше этиловому эфиру 1-[1-(6-метокси-3-пиридил)-5-фенилпиразол-3-карбонил]-4-метилпиперазин-2-карбоновой кислоты (702 мг) в смеси тетрагидрофурана (33 мл) и воды (7 мл) с последующим перемешиванием при комнатной температуре в течение 41 часа. Реакционную смесь нейтрализуют с применением концентрированной хлористоводородной кислоты. Затем для распределения смеси добавляют метиленхлорид. Органический слой сушат над безводным сульфатом магния с последующим фильтрованием. Растворитель удаляют при пониженном давлении, получая при этом производное карбоновой кислоты. К смеси производного карбоновой кислоты, которое получают, добавляют триэтиламин (0,5 мл), 1-гидроксибензотриазол (422 мг), гидрохлорид 1-этил-3-(3-диметиламинопропил)карбодиимида (600 мг) и 28% водный раствор аммиака (1,0 мл) в метиленхлориде (10 мл) с последующим перемешиванием при комнатной температуре в течение 1 дня. Для распределения реакционной смеси добавляют воду. Органический слой сушат над безводным сульфатом магния. Смесь подвергают фильтрованию и растворитель удаляют при пониженном давлении. Остаток очищают тонкослойной хроматографией на силикагеле (метиленхлорид-метанол), получая при этом указанное в заголовке соединение в виде аморфного продукта (430 мг, 65%). 1Н-ЯМР (400 МГц, CDCl3) FAB-МС m/z: 421 (М+H)+. [Пример 153] (3S)-4-[1-(6-Метокси-3-пиридил)-5-(2-пиридил)пиразол-3-карбонил]морфолин-3-карбоксамид 1) Метиловый эфир (3S)-4-[1-(6-метокси-3-пиридил)-5-(2-пиридил)пиразол-3-карбонил]морфолин-3-карбоновой кислоты Способом, аналогичным способу, применяемому в примере 20, метиловый эфир (3S)-4-[1-(6-метокси-3-пиридил)-5-(2-пиридил)пиразол-3-карбонил]морфолин-3-карбоновой кислоты получают в виде аморфного продукта (387 мг, количественный выход) с применением 1-(6-метокси-3-пиридил)-5-(2-пиридил)пиразол-3-карбоновой кислоты (250 мг), полученной в ссылочном примере 33, и метилового эфира морфолин-3-карбоновой кислоты (190 мг), полученного в ссылочном примере 148. 1Н-ЯМР (400 МГц, CDCl3) EI-МС m/z: 424 (М+H)+. 2) (3S)-4-[1-(6-Метокси-3-пиридил)-5-(2-пиридил)пиразол-3-карбонил]морфолин-3-карбоновая кислота 1 н. Водный раствор гидроксида натрия (3 мл) добавляют по каплям к полученному выше метиловому эфиру (3S)-4-[1-(6-метокси-3-пиридил)-5-(2-пиридил)пиразол-3-карбонил]морфолин-3-карбоновой кислоты (387 мг) в тетрагидрофуране (5 мл) при охлаждении льдом с последующим перемешиванием при комнатной температуре в течение 3 часов. Реакционную смесь распределяют между 1 н. водным раствором хлористоводородной кислоты (3,5 мл) и хлороформом. Затем органический слой сушат над безводным сульфатом натрия. Смесь подвергают фильтрованию и растворитель удаляют при пониженном давлении, получая при этом (3S)-4-[1-(6-метокси-3-пиридил)-5-(2-пиридил)пиразол-3-карбонил]морфолин-3-карбоновую кислоту в виде аморфного продукта (338 мг, 90%). 1Н-ЯМР (400 МГц, CDCl3) EI-МС m/z: 410 (М+H)+. 3) Указанное в заголовке соединение Способом, подобным способу, применяемому в примере 20, указанное в заголовке соединение получают в виде аморфного продукта (58 мг, 17%) с применением полученной выше (3S)-4-[1-(6-метокси-3-пиридил)-5-(2-пиридил)пиразол-3-карбонил]морфолин-3-карбоновой кислоты (338 мг) и хлорида аммония (221 мг). 1Н-ЯМР (400 МГц, CDCl3) FAB-МС m/z: 409 (М+H)+. [Пример 154] 1-[1-(6-Метокси-3-пиридил)-5-(2-пиридил)пиразол-3-карбонил]-3-метил-4-оксоимидазолидин 1) 1-[1-(6-Метокси-3-пиридил)-5-(2-пиридил)пиразол-3-карбонил]-4-оксоимидазолидин Способом, аналогичным способу, применяемому в стадии 1) примера 1, 1-[1-(6-метокси-3-пиридил)-5-(2-пиридил)пиразол-3-карбонил]-4-оксоимидазолидин получают в виде твердого вещества (200 мг, 70%) с применением 1-(6-метокси-3-пиридил)-5-(2-пиридил)пиразол-3-карбоновой кислоты (231 мг), полученной в ссылочном примере 33, и 4-имидазолинона (80,5 мг). 2) Указанное в заголовке соединение Способом, аналогичным способу, применяемому в стадии 1) ссылочного примера 152, указанное в заголовке соединение получают в виде твердого вещества (141 мг, 68%) с применением полученного выше 1-[1-(6-метокси-3-пиридил)-5-(2-пиридил)пиразол-3-карбонил]-4-оксоимидазолидина (200 мг) и метилиодида (0,052 мл). 1Н-ЯМР (400 МГц, CDCl3) ESI-МС m/z: 379 (М+H)+. [Пример 155] (3R)-1-[1-(6-Метокси-3-пиридил)-5-(2-пиридил)пиразол-3-карбонил]-3-метоксипирролидин 1) Гидрохлорид (3R)-3-метоксипирролидина 4 н. Раствор HCl-диоксан (10 мл) добавляют к трет-бутиловому эфиру (3R)-3-метоксипирролидин-1-карбоновой кислоты (899 мг), полученному в ссылочном примере 155, с последующим перемешиванием при комнатной температуре в течение 18,5 часа. Реакционную смесь обрабатывают при пониженном давлении, получая при этом гидрохлорид (3R)-3-метоксипирролидина (0,637 г, количественный выход). 2) Указанное в заголовке соединение Способом, аналогичным способу, применяемому в стадии 1) примера 1, указанное в заголовке соединение получают в виде маслянистого вещества (267 мг, 88%) с применением полученного выше гидрохлорида (3R)-3-метоксипирролидина (0,20 г) и 1-(6-метокси-3-пиридил)-5-(2-пиридил)пиразол-3-карбоновой кислоты (231 мг), полученной в ссылочном примере 33. 1Н-ЯМР (400 МГц, CDCl3) ESI-МС m/z: 380 (М+H)+. Элементный анализ: как С20Н21N5O3 Вычислено: С, 61,84; Н, 5,71; N, 18,03. Найдено: С, 61,69; Н, 5,60; N, 17,74. [Пример 156] 1-[1-(6-Метокси-3-пиридил)-5-(4-метил-2-пиридил)пиразол-3-карбонил]-4-метилпиперазин Способом, аналогичным способу, применяемому в стадии 1) примера 1, указанное в заголовке соединение получают в виде твердого вещества (265 мг, 82%) с применением 1-(6-метокси-3-пиридил)-5-(4-метил-2-пиридил)пиразол-3-карбоновой кислоты (250 мг), полученной в ссылочном примере 145, и N-метилпиперазина (0,0983 мл). 1Н-ЯМР (400 МГц, CDCl3) EI-МС m/z: 392 (М+). Элементный анализ: как С21Н24N6O2 Вычислено: С, 62,83; Н, 6,28; N, 20,93. Найдено: С, 63,09; Н, 6,18; N, 20,67. [Пример 157] 1-[1-(6-Метокси-3-пиридил)-5-(4-метил-2-пиридил)пиразол-3-карбонил]-4-метил-3-оксопиперазин Способом, аналогичным способу, применяемому в стадии 1) примера 1, указанное в заголовке соединение получают в виде твердого вещества (204 мг, 57%) с применением 1-(6-метокси-3-пиридил)-5-(4-метил-2-пиридил)пиразол-3-карбоновой кислоты (250 мг), полученной в ссылочном примере 145, и соли N-метилпиперазин-2-она с трифторуксусной кислотой (313 мг), полученной в ссылочном примере 91. 1Н-ЯМР (400 МГц, CDCl3) EI-МС m/z: 406 (М+). Элементный анализ: как С21Н22N6O3 Вычислено: С, 60,71; Н, 5,58; N, 20,23. Найдено: С, 60,83; Н, 5,55; N, 20,19. [Пример 158] 1-[1-(6-Метокси-3-пиридил)-5-(2-пиридил)пиразол-3-карбонил]пиперидин-2-карбоксамид Способом, аналогичным способу, применяемому в стадии 1) примера 1, указанное в заголовке соединение получают в виде твердого вещества (198 мг, 59%) с применением 1-(6-метокси-3-пиридил)-5-(2-пиридил)пиразол-3-карбоновой кислоты (231 мг), полученной в ссылочном примере 33, и пиперидин-2-карбоксамида (150 мг), полученного в ссылочном примере 131. 1Н-ЯМР (400 МГц, CDCl3) ESI-МС m/z: 407 (М+H)+. [Пример 159] 1-[1-(6-Метокси-3-пиридил)-5-(5-метил-2-пиридил)пиразол-3-карбонил]-4-метил-3-оксопиперазин Способом, аналогичным способу, применяемому в стадии 1) примера 1, указанное в заголовке соединение получают в виде твердого вещества (156 мг, 46%) с применением 1-(6-метокси-3-пиридил)-5-(5-метил-2-пиридил)пиразол-3-карбоновой кислоты (250 мг), полученной в ссылочном примере 146, и соли N-метилпиперазин-2-она с трифторуксусной кислотой (313 мг), полученной в ссылочном примере 91. 1Н-ЯМР (400 МГц, CDCl3) EI-МС m/z: 406 (М+). [Пример 160] 4-[1-(6-Метокси-3-пиридил)-5-(2-пиридил)пиразол-3-карбонил]-1,4-оксазепан Способом, аналогичным способу, применяемому в примере 20, указанное в заголовке соединение получают в виде твердого вещества (215 мг, 66%) с применением 1-(6-метокси-3-пиридил)-5-(2-пиридил)пиразол-3-карбоновой кислоты (250 мг), полученной в ссылочном примере 33, и гидрохлорида 1,4-оксазепана (173 мг), полученного в ссылочном примере 149. 1H-ЯМР (400 МГц, ДМСО-d6) FAB-МС m/z: 380 (М+H)+. Элементный анализ: как С20Н21N5O3 Вычислено: С, 61,84; Н, 5,71; N, 18,03. Найдено: С, 62,12; Н, 5,49; N, 17,89. [Пример 161] 1-[1-(6-Метокси-3-пиридил)-5-(4-метокси-2-пиридил)пиразол-3-карбонил]-4-метилгомопиперазин 1) Указанное в заголовке соединение Способом, аналогичным способу, применяемому в стадии 1) примера 1, указанное в заголовке соединение получают в виде твердого вещества (136 мг, 42%) с применением 1-(6-метокси-3-пиридил)-5-(4-метокси-2-пиридил)пиразол-3-карбоновой кислоты (250 мг), полученной в ссылочном примере 158, и N-метилгомопиперазина (0,105 мл). 1Н-ЯМР (400 МГц, CDCl3) EI-МС m/z: 422 (М+). 2) Соль указанного в заголовке соединение с хлористоводородной кислотой Способом, аналогичным способу, применяемому в стадии 2) примера 29, соль указанного в заголовке соединения с хлористоводородной кислотой получают в виде твердого вещества (140 мг, 82%) с применением полученного выше, указанного в заголовке соединения (132 мг). 1H-ЯМР (400 МГц, ДМСО-d6) EI-МС m/z: 422 (М+). [Пример 162] 1-[1-(6-Метокси-3-пиридил)-5-(2-пиридил)пиразол-3-карбонил]гексагидропиридазин Способом, аналогичным способу, применяемому в стадии 1) примера 1, указанное в заголовке соединение получают в виде аморфного продукта (1,61 г, 87%) с применением 1-(6-метокси-3-пиридил)-5-(2-пиридил)пиразол-3-карбоновой кислоты (1,495 г), полученной в ссылочном примере 33, и гексагидропиридазина (0,629 г), полученного в ссылочном примере 156. 1Н-ЯМР (400 МГц, CDCl3) FAB-МС m/z: 365 (М+H)+. [Пример 163] 1-[1-(6-Метокси-3-пиридил)-5-(2-пиридил)пиразол-3-карбонил]-2-ацетилгексагидропиридазин Триэтиламин (0,210 мл), ацетилхлорид (0,0807 мл) и 4-диметиламинопиридин (13,5 мг) добавляют к 1-[1-(6-метокси-3-пиридил)-5-(2-пиридил)пиразол-3-карбонил]гексагидропиридазину (0,275 г), полученному в примере 162, в метиленхлориде (6,0 мл) при комнатной температуре с последующим перемешиванием в течение 20 минут. Смесь распределяют между водой и хлороформом. Органический слой промывают насыщенным раствором соли и затем сушат над безводным сульфатом натрия. Смесь подвергают фильтрованию и растворитель удаляют при пониженном давлении. Остаток очищают колоночной хроматографией на силикагеле (хлороформ-метанол), получая при этом указанное в заголовке соединение в виде аморфного продукта (0,149 г, 59%). 1Н-ЯМР (400 МГц, CDCl3) ESI-МС m/z: 407 (М+H)+. [Пример 164] 1-[1-(6-Метокси-3-пиридил)-5-(2-пиридил)пиразол-3-карбонил]гексагидропиридазин-2-карбоксамид Триметилсилилизоцианид (0,920 мл) добавляют к 1-[1-(6-метокси-3-пиридил)-5-(2-пиридил)пиразол-3-карбонил]гексагидропиридазину (0,397 г), полученному в примере 162, в 1,4-диоксане (3 мл) при комнатной температуре с последующим перемешиванием при внутренней температуре 110°С в запаянной трубке в течение 4 дней. Затем смесь охлаждают на воздухе. После добавления к реакционной смеси метанола растворитель реакции удаляют при пониженном давлении. Остаток распределяют между насыщенным водным раствором гидрокарбоната натрия и смесью растворителей хлороформ-метанол (20:1). Органический слой промывают насыщенным раствором соли и затем сушат над безводным сульфатом натрия. Смесь подвергают фильтрованию и растворитель удаляют при пониженном давлении. Остаток очищают колоночной хроматографией на силикагеле (хлороформ-метанол), получая при этом указанное в заголовке соединение в виде твердого вещества (0,122 г, 25%). 1Н-ЯМР (400 МГц, CDCl3) ESI-МС m/z: 408 (М+H)+. [Пример 165] 1-[1-(6-Метокси-3-пиридазинил)-5-(2-пиридил)пиразол-3-карбонил]-4-формилпиперазин Способом, аналогичным способу, применяемому в примере 20, указанное в заголовке соединение получают в виде твердого вещества (0,249 г, 77%) с применением 1-(6-метокси-3-пиридазинил)-5-(2-пиридил)пиразол-3-карбоновой кислоты (0,246 г), полученной в ссылочном примере 139, и N-формилпиперазина (0,185 мл). 1Н-ЯМР (400 МГц, CDCl3) ESI-МС m/z: 394 (М+H)+. [Пример 166] 1-[1-(6-Метокси-3-пиридил)-5-(2-пиридил)пиразол-3-карбонил]-2-формилгексагидропиридазин 4-Диметиламинопиридин (0,142 г) и безводную трифторметансульфоновую кислоту (0,140 мл) добавляют к 1-[1-(6-метокси-3-пиридил)-5-(2-пиридил)пиразол-3-карбонил]гексагидропиридазину (0,203 г), полученному в примере 162, в N,N-диметилформамиде (4,0 мл) при 0°С с последующим перемешиванием в течение 20 минут. Реакционную смесь распределяют между насыщенным водным раствором гидрокарбоната натрия и этилацетатом. Органический слой промывают насыщенным раствором соли и затем сушат над безводным сульфатом натрия. Смесь подвергают фильтрованию и растворитель удаляют при пониженном давлении. Остаток очищают колоночной хроматографией на силикагеле (хлороформ-метанол), получая при этом указанное в заголовке соединение в виде твердого вещества (65,5 мг, 30%). 1Н-ЯМР (400 МГц, CDCl3) FAB-МС m/z: 393 (М+H)+. [Пример 167] 1-[1-(6-Метокси-3-пиридил)-5-(пиррол-2-ил)пиразол-3-карбонил]-4-метилпиперазин Способом, аналогичным способу, применяемому в стадии 1) примера 1, указанное в заголовке соединение получают в виде твердого вещества (218 мг, 76%) с применением 1-(6-метокси-3-пиридил)-5-(пиррол-2-ил)пиразол-3-карбоновой кислоты (222 мг), полученной в ссылочном примере 159, и N-метилпиперазина (0,156 мл). 1Н-ЯМР (400 МГц, CDCl3) ESI-МС m/z: 367 (М+H)+. Элементный анализ: как С19Н22N6O2. Вычислено: С, 62,28; Н, 6,05; N, 22,94. Найдено: С, 62,08; Н, 6,08; N, 22,73. [Пример 168] 4-[1-(6-Метокси-3-пиридил)-5-(пиррол-2-ил)пиразол-3-карбонил]морфолин Способом, аналогичным способу, применяемому в стадии 1) примера 1, указанное в заголовке соединение получают в виде твердого вещества (212 мг, 76%) с применением 1-(6-метокси-3-пиридил)-5-(пиррол-2-ил)пиразол-3-карбоновой кислоты (222 мг), полученной в ссылочном примере 159, и морфолина (0,123 мл). 1Н-ЯМР (400 МГц, CDCl3) ESI-МС m/z: 354 (М+H)+. [Пример 168] 4-[1-(6-Метокси-3-пиридил)-5-(2-пиразинил)пиразол-3-карбонил]морфолин Способом, аналогичным способу, применяемому в стадии 1) примера 1, указанное в заголовке соединение получают в виде твердого вещества (141 мг, 55%) с применением 1-(6-метокси-3-пиридил)-5-(2-пиразинил)пиразол-3-карбоновой кислоты (195 мг), полученной в стадии 3) примера 148, и морфолина (0,123 мл). 1Н-ЯМР (400 МГц, CDCl3) ESI-МС m/z: 367 (М+H)+. [Пример 170] 1-[1-(6-Метокси-3-пиридил)-5-(1-метилпиррол-2-ил)пиразол-3-карбонил]-4-метилпиперазин Способом, аналогичным способу, применяемому в стадии 1) примера 1, указанное в заголовке соединение получают в виде вязкого вещества (258 мг, 81%) с применением 1-(6-метокси-3-пиридил)-5-(1-метилпиррол-2-ил)пиразол-3-карбоновой кислоты (232 мг), полученной в ссылочном примере 161, и N-метилпиперазина (0,156 мл). 1Н-ЯМР (400 МГц, CDCl3) ESI-МС m/z: 381 (М+H)+. [Пример испытания 1] Действие по ингибированию агрегации тромбоцитов Кровь человека собирают в присутствии 3,13% цитрата натрия в качестве антикоагулянта в объеме 1/10 объемов крови. Собранную кровь центрифугируют при 180 g в течение 10 минут, чтобы выделить из крови верхний слой, т.е. обогащенную тромбоцитами плазму (PRP). Оставшийся нижний слой далее центрифугируют при 1600 g в течение 10 минут и собирают обедненную тромбоцитами плазму (РРР), т.е. полученный таким образом верхний слой. К PRP (200 мкл) добавляют раствор (1 мкл) соединения изобретения и смеси дают возможность стоять при 37°С в течение 2 минут. Затем к образовавшейся смеси добавляют коллаген (2 мкл), чтобы индуцировать агрегацию тромбоцитов. Процентную агрегацию тромбоцитов измеряют при помощи РАМ-12С (SSR Engineering). Оптическое пропускание РРР применяют в качестве величины, отражающей состояние, при котором имеет место 100% коагуляция. Величины процентной агрегации тромбоцитов PRP определяют при ряде концентраций каждого соединения примера. Из определенных величин вычисляют IC50 для каждого соединения. Результаты показаны в таблице 1. [Пример испытания 2] Ингибирующие действия, оказываемые на циклооксигеназу-1 (СОХ-1) и циклооксигеназу-2 (СОХ-2) Ингибирующую активность против СОХ-1 и СОХ-2 соединений, полученных в примерах, измеряли с применением набора для анализа скрининга ингибитора СОХ (продукт of Cayman Chemical Company, Catalog №№ 560101 and 560121). Перед началом измерения буфер реакции, гем, арахидоновую кислоту, SnCl2, буфер EIA, буфер промывания, стандарт EIA скрининга простагландина (ПГ), ацетилхолинэстеразу (AchE) скрининга ПГ, метку (конъюгат хромогенного фермента HRP) и антисыворотку EIA скрининга ПГ получали готовыми для применения. (1) Получение ПГF2 Реакционную смесь, содержащую соединение примеров (50 мкМ) и СОХ-1 и СОХ-2 инкубировали при 37°С в течение 10 минут. К смеси добавляли арахидоновую кислоту (10 мкл) и образовавшуюся смесь дополнительно инкубировали при 37°С в течение 2 минут. К реакционной смеси добавляли 1 н. хлористоводородную кислоту (50 мкл), чтобы тем самым остановить реакцию. К смеси добавляли раствор SnCl2 (100 мкл) и образовавшуюся смесь выдерживали при комнатной температуре в течение 5 минут. (2) Количественное определение ПГF2 Антисыворотку (кроличьи антитела против ПГF2 (3) Вычисление ингибирующей активности соединения примеров. Калибровочную кривую получали с применением стандарта EIA скрининга ПГ и из поглощения определяли количество продуцирования ПГF2 Значительным является то, что при вычислении процентного ингибирования количество продуцированного ПГF2
Как явно видно из таблицы 1, соединения (I) и (II) настоящего изобретения, их соли, или их сольваты, или сольваты солей обладают сильной активностью, ингибирующей агрегацию тромбоцитов, без ингибирования как СОХ-1, так и СОХ-2.
Формула изобретения
1. Производные пиразола, представленные формулой (I), или их фармацевтически приемлемые соли
где Ar1 представляет собой пиридильную, пиридазинильную или пиразинильную группу, имеющую заместитель, выбранный из низшей алкильной группы, атома галогена, низшей алкоксигруппы, аминогруппы, которая может быть замещена 1 или 2 низшими алкильными группами, и С3-6циклоалкиламиногруппы; Ar2 представляет собой 5- или 6-членную ароматическую гетероциклическую группу, выбранную из пиридильной, пиридазинильной, пиразинильной и пирролильной групп, которая может иметь заместитель, выбранный из низшей алкильной группы, атома галогена, низшей алкоксигруппы, низшей тиоалкоксигруппы, цианогруппы, низшей алкоксикарбонильной группы, карбоксильной группы, низшей алкилсульфонильной группы, аминогруппы, которая может быть замещена 1 или 2 низшими алкильными группами, карбамоильной группы, которая может быть замещена 1 или 2 низшими алкильными группами и пирролидиногруппы; или Ar2 представляет собой фенильную группу, которая может иметь заместитель, выбранный из низшей алкильной группы, атома галогена, гидроксильной группы, низшей алкоксигруппы, фенил(низший алкил)оксигруппы, аминогруппы, которая может быть замещена 1 или 2 низшими алкильными группами, и трифторметила; R1 представляет собой группу, представленную формулой (1)
где циклическая структура А представляет собой 4-7-членное насыщенное кольцо, которое может иметь помимо атома азота в формуле (1) один гетероатом, выбранный из атома азота, атома кислорода и атома серы; X представляет собой карбонильную группу, тиокарбонильную группу или метиленовую группу; R3 представляет собой 1-3 группы на циклической структуре А, причем R3 выбран из группы, состоящей из атома водорода, атома галогена, гидроксильной группы, низшей алкоксигруппы, низшей алкоксикарбонильной группы, карбоксильной группы, С3-6циклоалкильной группы, низшей алкильной группы, которая может быть замещенной гидроксигруппой, низшей алкоксигруппой, низшей алкоксикарбонильной группой, карбоксильной группой, аминогруппой, которая может быть замещена 1 или 2 низшими алкильными группами, аминогруппы, которая может иметь 1 или 2 заместителя, выбранных из низшей алкильной группы и низшей алкоксикарбонильной группы, карбамоильной группы, которая может быть замещена 1 или 2 низшими алкильными группами, низшей ацильной группы, оксогруппы, фенильной группы, пиридильной группы, 3-6-членной спироалициклической алкильной группы; R2 представляет собой атом водорода или низшую алкильную группу. 2. Соединения по п.1 или их фармацевтически приемлемые соли, где X представляет собой карбонильную группу. 3. Соединение по п.1 или их фармацевтически приемлемые соли, где X представляет собой метиленовую группу. 4. Соединения по п.3 или их фармацевтически приемлемые соли, где Ar1 представляет собой пиридильную группу или пиридазинильную группу, имеющие заместитель, определенный в п.1. 5. Соединение по п.3 или их фармацевтически приемлемые соли, где Ar2 представляет собой пиридильную группу или пирролильную группу, которые могут иметь заместитель, определенный в п.1, или фенильную группу, которая может иметь заместитель, определенный в п.1. 6. Соединение по п.2 или их фармацевтически приемлемые соли, где часть, представленная следующей формулой:
является группой, выбранной из числа 3-диметиламиноазетидин-1-ильной группы, 2,2-диметил-3-диметиламиноазетидин-1-ильной группы, 2-оксопирролидиногруппы, 2-гидроксиметилпирролидиногруппы, 2-карбамоилпирролидиногруппы, 2-гидроксиметилпиперидиногруппы, 2-карбамоилпиперидиногруппы, 2-метилкарбамоилпиперидиногруппы, 2-диметилкарбамоилпиперидиногруппы, 3-оксо-4-метилпиперазиногруппы, 4-метилпиперазиногруппы, 4-этилпиперазиногруппы, 4-изопропилпиперазиногруппы, 4-циклопропилпиперазиногруппы, 3,4-диметилпиперазиногруппы, 3,4,5-триметилпиперазиногруппы, 2,2,4-триметилпиперазиногруппы, 2-циклопропанспиро-4-метилпиперазиногруппы, морфолиногруппы, 3-карбамоилморфолиногруппы, 1,1-диоксотиоморфолиногруппы, 2-метилгексагидропиридазин-1-ильной группы, 5-оксо-4-метилгомопиперазиногруппы, 4-метилгомопиперазиногруппы, 4-циклопропилгомопиперазиногруппы, 1,4-оксазепан-4-ильной группы, пиперидиногруппы, 4-метоксипиперидиногруппы, тиоморфолиногруппы, 4,4-дифторпиперидиногруппы, 3,3-дифторпиперидиногруппы, 4-фторпиперидиногруппы, 2-диметиламинометилпирролидиногруппы, 3-диметиламинопирролидиногруппы, 3-метил-4-оксоимидазолидин-1-ильной группы, 3-метоксипирролидиногруппы, 2-ацетилгексагидропиридазин-1-ильной группы и 2-карбамоилгексагидропиридазин-1-ильной группы. 7. Лекарственное средство, обладающее антитромбической активностью, содержащее соединение по любому одному из пп.1-6 или его фармацевтически приемлемую соль. 8. Профилактический и/или терапевтический агент для ишемического заболевания, где агент содержит соединение по любому одному из пп.1-6 или его фармацевтически приемлемую соль. 9. Фармацевтическая композиция, обладающая активностью, ингибирующей агрегацию тромбоцитов, содержащая в качестве активного ингредиента соединение по любому одному из пп.1-6 или его фармацевтически приемлемую соль в эффективном количестве и фармакологически приемлемый носитель. 10. Применение соединения по любому одному из пп.1-6 или его фармацевтически приемлемой соли для изготовления лекарственного средства, обладающего антитромбической активностью. 11. Применение по п.10, где лекарственное средство применяют для лечения ишемического заболевания. 12. Способ лечения ишемического заболевания, включающий введение эффективного количества соединения по любому одному из пп.1-6 или его фармацевтически приемлемой соли.
|
||||||||||||||||||||||||||||||||||||||||||||||||||||||||||||||||||||||||||||||||















: 3,81 (3H, с), 6,82 (1H, д, J=8,8 Гц), 7,57 (1H, дд, J=8,8, 2,9 Гц), 7,97 (1H, д, J=2,9 Гц), 8,55-9,20 (1H, ушир.), 10,13-10,50 (3Н, ушир.).

















































-Фторацетофенон













































































1,0 HCl 








































































































































































