Патент на изобретение №2332411
|
|||||||||||||||||||||||||||||||||||||||||||||||||||||||||||||||||||||||||||||||||||||||||||||||||||||||||||||||||||||||||||||||||||||||||||||||||||||||||||||||||||||||||||||||||||||||||||||||||||||||||||||||||||||||||||||||||||||||||||||||||||||||||||||||||||||||||||||||||||||||||||||||||||||||||||||||||||||||||||||||||||||||||||||||||||||||||||||||||||||||||||||||||||||||||||||||||||||||||||||||||||||||||||||||||||||||||||||||||||||||||||||||||||||||||||||||||||||||||||||||||||||||||||||||||||||||||||||||||||||||||||||||||||||||||||||||||||||||||||||||||||||||||||||||||||||||||||||||||||||||||||||||||||||||||||||||||||||||||||||||||||||||||||||||||||||||||||||||||||||||||||||||||||||||||||||||||||||||||||||||||||||||||||||||||||||||||||||||||||||||||||||||||||||||||||||||||||||||||||||||||||||||||||||||||||||||||||||||||||||||||||||||||||||||||||||||||||||||||||||||||||||||||||||||||||||||||||||||||||||||||||||||||||||||||||||||||||||||||||||||||||||||||||||||||||||||||||||||||||||||
(54) НОВЫЕ СОЕДИНЕНИЯ В КАЧЕСТВЕ МОДУЛЯТОРОВ ОПИОИДНЫХ РЕЦЕПТОРОВ
(57) Реферат:
Настоящее изобретение относится к соединениям общей формулы I
где: X означает – (CR15R16)m-, где: m равно 1, и R15 и R16 – водород; R1 выбран из группы, состоящей из
А-В выбран из группы, состоящей из N-C, C-N, N-N и С-С; D-E выбран из группы, состоящей из О-С, S-C и O-N. Соединения могут быть использованы для лечения нарушений, модулируемых опиоидными рецепторами, например боли и желудочно-кишечных нарушений. Описаны также способ получения фармацевтической композиции и применение соединений. 11 н. и 30 з.п. ф-лы, 2 табл.
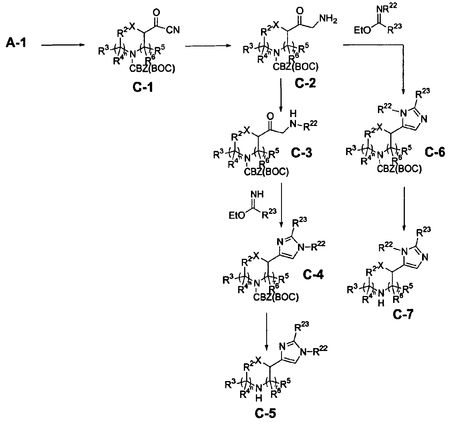
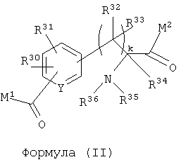
Область изобретения Настоящее изобретение направлено на новые модуляторы опиоидных рецепторов формулы (I). Кроме того, изобретение относится к способам получения таких соединений, к фармацевтическим композициям, содержащим данные соединения, и к их применению для лечения нарушений, модулируемых опиоидными рецепторами. Предпосылки создания изобретения Опиоидные рецепторы были идентифицированы в середине 1970 годов и их сразу классифицировали по трем подгруппам рецепторов (мю, дельта и каппа). Позже три первоначальных типа рецепторов были дополнительно подразделены на подтипы. Также известно, что семейство опиоидных рецепторов принадлежит с суперсемейству рецепторов, сопряженных с G-белками (GPCR). Что касается физиологии, достоверно установлено, что опиоидные рецепторы присутствуют во всей центральной и периферической нервной системе многих видов млекопитающих, в том числе человека, и что модуляция соответствующих рецепторов может вызывать многочисленные, хотя и разные, биологические эффекты, как желательные, так и нежелательные (D.S. Fries, “Analgesics”, in Principles of Medicinal Chemistry, 4th ed.; W.O. Foye, T.L. Lemke, and D.A. Williams, Eds.; Williams and Wilkins: Baltimore, Md., 1995; pp. 247-269; J.V. Aldrich, “Analgesics”, Burger’s Medicinal Chemistry and Drug Discovery, 5th Edition, Volume 3: Therapeutic Agents, John Wiley & Sons, Inc., 1996, pp. 321-441). В большей части существующих в настоящее время публикаций описано, что существует вероятность гетеродимеризации подклассов опиоидных рецепторов, но соответствующие физиологические ответы еще не установлены (Pierre J.M. Riviere and Jean-Louis Junien, “Opioid receptors: Targets for new gastrointestinal drug development”, Drug Development 2000, pp. 203-238). Идентификация биологических эффектов, вызываемых модуляторами опиоидных рецепторов, привела к разработке большого количества полезных медицинских средств. Наиболее важными из них являются модуляторы агонистов опиоидных мю-рецепторов, действующие на центральную нервную систему, которые продаются на рынке как болеутоляющие средства, ослабляющие боль (например, морфин), а также модуляторы агонистов мю-рецепторов, действующие на периферическую нервную систему, которые регулируют моторику (например, лоперамид). В настоящее время продолжаются клинические исследования по применению в медицине избирательных дельта-, мю- и каппа-модуляторов, а также соединений, обладающих способностью модулировать подтип рецепторов в целом. Такие исследования могут привести к разработке средств, имеющих другое применение, или средств, которые имеют меньше побочных эффектов, чем доступные в настоящее время средства (примеры побочных эффектов морфина включают констипацию, угнетение дыхания и привыкание). В настоящее время исследуется возможность применения селективных или смешанных опиоидных модуляторов в некоторых новых областях, связанных с желудочно-кишечным трактом (GI), например, для лечения различных диарейных синдромов, нарушений моторики (послеоперационной непроходимости кишечника, констипации) и боли во внутренних органах (послеоперационной боли, синдрома раздраженной кишки и воспалительных заболеваний кишечника) (Pierre J. M. Riviere and Jean-Louis Junien, “Opioid receptors: Targets for new gastrointestinal drug development” Drug Development, 2000, pp. 203-238). Почти одновременно с опиоидными рецепторами были идентифицированы энкефалины как семейство эндогенных лигандов опиоидных рецепторов (D.S. Fries,”Analgesics”, in Principles of Medicinal Chemistry, 4th ed.; W.O. Foye; T.L. Lemke, and D.A. Williams, Eds.; Williams and Wilkins: Baltimore, Md., 1995; pp. 247-269). Schiller обнаружил, что укорочение природных пентапептидных энкефалинов до более простых дипептидов приводит к получению ряда соединений, сохраняющих опиоидную активность (Schiller, P. WO 96/06855). Однако он описывает потенциальный недостаток таких соединений, заключающийся в присущей им нестабильности (P.W. Schiller et al., Int. J. Pept. Protein Res. 1993, 41 (3), pp. 313-316). Позже было открыто семейство опиоидных псевдопептидов, содержащих гетероароматическое или гетероалифатическое ядро, однако данное семейство имеет другой функциональный профиль, отличный от описанного в работах Schiller (L.H. Lazarus et al., Peptides 2000, 21, pp. 1663-1671). Еще позже Wentland, et al. опубликовали работы, связанные с родственными морфину структурами, в которых описано получение карбоксамидных производных морфина и его аналогов (M.P. Wentland et al., Biorg. Med. Chem. Letters 2001, 11, pp. 1717-1721; M.P. Wentland et al., Biorg. Med. Chem. Letters 2001, 11, pp. 623-626). Wentland обнаружил, что замена фенольного фрагмента в родственных морфину структурах на первичный карбоксамид всегда приводит к получению соединений с активностью, варьирующей от равной до сниженной в 40 раз, в зависимости от опиоидного рецептора и карбоксамида. Также было обнаружено, что любое другое N-замещение в карбоксамиде значительно уменьшает целевую связывающую активность. Соединения настоящего изобретения не были ранее раскрыты, предполагается, что они обладают преимуществами по сравнению с родственными соединениями, так как обеспечивают улучшенные фармакологические профили. Полагают, что модуляторы опиоидных рецепторов, агонисты или антагонисты, можно использовать для лечения и профилактики различных болезненных состояний млекопитающих, например, боли и желудочно-кишечных нарушений, таких как диарейные синдромы, нарушения моторики, в том числе послеоперационная непроходимость кишечника и констипация, и боль во внутренних органах, в том числе послеоперационная боль, синдром раздраженной кишки и воспалительные заболевания кишечника. Целью настоящего изобретения являются модуляторы опиоидных рецепторов. Другой целью изобретения являются агонисты и антагонисты опиоидных рецепторов. Целью настоящего изобретения являются лиганды опиоидных рецепторов, селективные для каждого типа мю-, дельта- и каппа-опиоидных рецепторов. Другой целью настоящего изобретения являются лиганды опиоидных рецепторов, модулирующих два или три типа опиоидных рецепторов, мю, дельта и каппа, одновременно. Целью изобретения являются некоторые растворимые соединения, которые можно использовать как промежуточные соединения при получении новых модуляторов опиоидных рецепторов. Кроме того, целью изобретения является способ лечения или улучшения состояния, опосредованного опиоидным рецептором. А также целью изобретения является полезная фармацевтическая композиция, содержащая соединение настоящего изобретения в качестве модулятора опиоидного рецептора. Краткое описание изобретения Настоящее изобретение предлагает модуляторы опиоидных рецепторов формулы (I): Формула (I) где: X выбран из группы, состоящей из O; S; N(R14) и -(CR15R16)m-, где: m равно целому числу от 0 до 2, и R14, R15 и R16 независимо выбраны из группы, состоящей из водорода, C1-4алкила и арила; при условии, что только один из R15 или R16 может означать C1-4алкил или арил; и общий размер основного кольца, содержащего Х, не превышает размер восьмичленного кольца; R1 выбран из группы, состоящей из бензимидазола, бензоксазола, бензотиазола, индола, фенила, где A-B выбран из группы, состоящей из N-C, C-N, N-N и C-C; D-E выбран из группы, состоящей из O-C, S-C и O-N; R22 означает заместитель, присоединенный к кольцевому азоту и выбранный из группы, состоящей из водорода, C1-4алкила и арила; R23 означает от одного до двух заместителей, независимо выбранных из группы, состоящей из водорода, галогена, амино, арила, ариламино, гетероариламино, гидрокси, арилокси, гетероарилокси, аминокислотного остатка, такого как -C(O)-NH-CH(-R40)-C(O)-NH2, и C1-6алкила {где указанный алкил необязательно замещен заместителем, выбранным из группы, состоящей из гидрокси, гидроксикарбонила, C1-4алкоксикарбонила, аминокарбонила, амино, арила, (C1-4)алкиламинокарбонила, ди(C1-4)алкиламинокарбонила, гетероариламино, гетероарилокси, арил(C1-4)алкокси и гетероарила}; R40 выбран из группы, состоящей из водорода, C1-6алкила, C1-6алкилкарбонила, C1-6алкоксикарбонила, C1-6алкилкарбониламино, диC1-6алкилкарбониламино, арил(C1-6)алкила, гетероарил(C1-6)алкила, арила и гетероарила; где, если R1 означает бензимидазол, указанный бензимидазол необязательно замещен одним или двумя заместителями, независимо выбранными из группы, состоящей из галогена, C1-4алкила, гидрокси, гидроксикарбонила и арила, при условии, что, если R1 означает бензимидазол, r, s и p равны 0, n равно 0 или 1, L означает О, и R3, R4, R9, R12 и R13 все означают водород, Ar не является (4-OH)фенилом или (4-OH-2,6-диMe)фенилом; R2 означает двухвалентный радикал -CH2-CH2-, необязательно замещенный заместителем, выбранным из группы, состоящей из галогена и фенилметила, или выбранный из группы двухвалентных радикалов формул где указанные радикалы -CH2CH2-, b-1 и b-2 необязательно замещены 1-3 заместителями, независимо выбранными из группы, состоящей из галогена, гидрокси, C1-6алкила, C1-6алкокси, нитро, амино, циано, трифторметила и арила; и радикал b-3 незамещен; каждый из R3 и R4 независимо выбран из группы, состоящей из водорода, C1-6алкила, арила и гетероарила; при условии, что только один из R3 или R4 может означать C1-6алкил, арил или гетероарил; каждый из R5 и R6 независимо выбран из группы, состоящей из водорода, C1-6алкила, арила и гетероарила; при условии, что только один из R5 или R6 может означать C1-6алкил, арил или гетероарил; n и r означают целые числа от 0 до 2; L выбран из группы, состоящей из O, S, N(R21) и H2, где R21 выбран из группы, состоящей из водорода, C1-6алкила и арила; каждый из R7 и R8 независимо выбран из группы, состоящей из водорода и C1-6алкила; при условии, что только один из R7 или R8 может означать C1-6алкил; s равно целому числу от 0 до 3; R9 выбран из группы, состоящей из водорода и C1-6алкила; каждый из R10 и R11 независимо выбран из группы, состоящей из водорода и C1-6алкила; при условии, что только один из R10 или R11 может означать C1-6алкил; p равно целому числу от 0 до 3; каждый из R12 и R13 независимо выбран из группы, состоящей из водорода, C1-6алкила, формила, C1-6алкилкарбонила, C1-6алкоксикарбонила, C1-6алкилкарбониламино, диC1-6алкилкарбониламино, арил(C1-6)алкила, гетероарил(C1-6)алкила, арила и гетероарила, где, если R12 и R13 выбраны из C1-6алкила, R12 и R13 могут быть необязательно конденсированы с Ar; Ar выбран из группы, состоящей из фенила, нафтила и гетероарила, где указанный фенил замещен по меньшей мере одним и не более чем четырьмя заместителями Z, и указанный нафтил или гетероарил необязательно замещен 1-4 заместителями Z; Z означает от нуля до четырех заместителей, независимо выбранных из группы, состоящей из галогена, C1-6алкила, C1-6алкокси, нитро, циано, гидрокси, гетероарила, гетероциклила, -(CH2)qC(W)R17, -(CH2)qCOOR17, -(CH2)qC(W)NR17R18, -(CH2)qNR17R18, -(CH2)qNR19C(W)R17, -(CH2)qNR19SO2R17, -(CH2)qNR19C(W)NR17R18, -S(O)qR17, -(CH2)qSO2NR17R18 и -(CH2)qNR19CWR17; где q равно целому числу от 0 до 2; W выбран из группы, состоящей из O, S и NR20; R17 выбран из группы, состоящей из водорода, C1-6алкила, гетероциклила (необязательно замещенного C1-4алкилом) и C3-8циклоалкила (где указанные C1-6алкил и C3-8циклоалкил необязательно замещены C1-4алкилом, причем указанные C1-6алкил, C3-8циклоалкил и их C1-4алкильные заместители могут быть также необязательно замещены заместителем, выбранным из группы, состоящей из гидрокси, меркапто, C1-4алкокси, гидроксикарбонила, C1-4алкоксикарбонила, аминокарбонила, C1-4алкиламинокарбонила, ди(C1-4)алкиламинокарбонила, амино, C1-4алкиламино, ди(C1-4)алкиламино, фенила и гетероарила); при условии, что, если R17 означает гетероциклил и содержит атом N, точкой присоединения указанного гетероциклильного кольца является атом углерода; каждый из R18, R19 и R20 независимо выбран из группы, состоящей из водорода, C1-6алкила и C3-8циклоалкила (где указанные C1-6алкил и C3-8циклоалкил необязательно замещены C1-4алкилом, причем указанные C1-6алкил, C3-8циклоалкил и их C1-4алкильные заместители могут быть также необязательно замещены заместителем, выбранным из группы, состоящей из гидрокси, меркапто, C1-4алкокси, гидроксикарбонила, C1-4алкоксикарбонила, аминокарбонила, C1-4алкиламинокарбонила, ди(C1-4)алкиламинокарбонила, амино, C1-4алкиламино, ди(C1-4)алкиламино, фенила и гетероарила); если R17 и R18 означают C1-6алкил, необязательно замещенный гидрокси, меркапто, C1-4алкокси, амино или C1-4алкиламино, и присутствуют в одном заместителе, то R17 и R18 вместе могут необязательно образовывать 5-8-членное кольцо; кроме того, если R17 или R18 означают C1-6алкил, необязательно замещенный гидрокси, C1-4алкокси, амино или C1-4алкиламино, то R17 и R18 необязательно могут быть конденсированы с Ar; при условии, что, если r, s и p равны 0, n равно 0 или 1, L означает O и R3, R4, R9, R12 и R13 все означают водород, и Ar означает фенил с одним Z, заместитель Z не является 4-OH; а также их фармацевтически приемлемые энантиомеры, диастереомеры и соли. Настоящее изобретение также относится к аминокислотам или их производным (рацемическим смесям или чистым энантиомерам) формулы (II): Формула (II) где: каждый из M1 и M2 независимо выбран из группы, состоящей из гидрокси, C1-6алкила, C1-6алкокси, амино, C1-6алкиламино, ди(C1-6)алкиламино и -NR37R38; где R37 и R38 независимо выбраны из группы, состоящей из C1-6алкила, необязательно замещенного гидрокси, C1-4алкокси, амино, C1-4алкиламино, меркапто, C1-4алкилмеркапто; если R37 и R38 присутствуют на одном заместителе, R37 и R38 необязательно могут вместе образовывать 5-8-членное кольцо; Y выбран из группы, состоящей из CH и одного или двух атомов азота, замещающих одну или две группы CH фенильного кольца; R30 и R31 независимо выбраны из группы, состоящей из C1-6алкила, C1-6алкокси, C1-6алкокси, необязательно замещенного гидрокси и амино, и галогена; R32 и R33 независимо выбраны из группы, состоящей из водорода и C1-6алкила; k равно целому числу от 0 до 2; R34 выбран из группы, состоящей из водорода и C1-6алкила; и R35 и R36 независимо выбраны из группы, состоящей из водорода, C1-6алкила, -C(О)OR37, -C(О)R38 и фенила; где R37 выбран из группы, состоящей из C1-6алкила и арил(C1-6)алкила; и R38 выбран из группы, состоящей из C1-6алкила, арила и гетероарила; а также к их производным с защищенными азотом или кислотными группами, активированным сложным эфирам, фармацевтически приемлемым энантиомерам, диастереомерам и солям. Настоящее изобретение также относится к способу лечения нарушения, модулируемого опиоидным рецептором, у субъекта, нуждающегося в таком лечении, включающему введение субъекту соединения формулы(I). Подробное описание изобретения Настоящее изобретение направлено на лечение нарушений, модулируемых опиоидным рецептором, таких, как боль и желудочно-кишечные нарушения. Предполагается, что соединения настоящего изобретения обладают преимуществами по сравнению с родственными соединениями, так как обеспечивают улучшенные фармакологические профили. Ниже приведены более конкретные воплощения предпочтительных соединений. Воплощения настоящего изобретения включают соединения, где X предпочтительно означает -(CR15R16)m-. Воплощения настоящего изобретения включают соединения, где m, предпочтительно, равно целому числу от 1 до 2. Более предпочтительно, m равно 1. Воплощения настоящего изобретения включают соединения, где, предпочтительно, каждый из R15 и R16 означает водород. Воплощения настоящего изобретения включают соединения, где R1, предпочтительно, означает a-1. Воплощения настоящего изобретения включают соединения, где A-B, предпочтительно, выбран из группы, состоящей из N-C и O-N. Более предпочтительно, A-B означает N-C. Воплощения настоящего изобретения включают соединения, где R22, предпочтительно, означает водород. Воплощения настоящего изобретения включают соединения, где R23, предпочтительно, означает фенил. Воплощения настоящего изобретения включают соединения, где R2, предпочтительно, выбран из группы, состоящей из -CH2CH2– и b-1. Воплощения настоящего изобретения включают соединения, где R3, предпочтительно, означает водород. Воплощения настоящего изобретения включают соединения, где R4, предпочтительно, означает водород. Воплощения настоящего изобретения включают соединения, где n, предпочтительно, равно целому числу от 0 до 1. Более предпочтительно, n равно 1. Воплощения настоящего изобретения включают соединения, где r, предпочтительно, равно 0. Воплощения настоящего изобретения включают соединения, где L предпочтительно означает O. Воплощения настоящего изобретения включают соединения, где s, предпочтительно, равно 0. Воплощения настоящего изобретения включают соединения, где R9, предпочтительно, выбран из группы, состоящей из водорода и метила. Воплощения настоящего изобретения включают соединения, где R12, предпочтительно, выбран из группы, состоящей из водорода и метила. Более предпочтительно, R12 означает водород. Воплощения настоящего изобретения включают соединения, где R13, предпочтительно, выбран из группы, состоящей из водорода и метила. Более предпочтительно, R13 означает водород. Воплощения настоящего изобретения включают соединения, где p, предпочтительно, равно 1. Воплощения настоящего изобретения включают соединения, где Ar, предпочтительно, означает фенил. Воплощения настоящего изобретения включают соединения, где Z, предпочтительно, означает от одного до трех заместителей, независимо выбранных из группы, состоящей из гидрокси, C1-6алкила и -(CH2)qC(W)NR17R18, при условии, что, если r, s и p равны 0, n равно 0 или 1, L означает O и R3, R4, R9, R12 и R13 все означают водород, и Ar означает фенил с одним Z, то заместитель Z не является 4-OH. Воплощения настоящего изобретения включают соединения, где q, предпочтительно, равно 0. Воплощения настоящего изобретения включают соединения, где W, предпочтительно, означает O. Воплощения настоящего изобретения включают соединения, где R17, предпочтительно, выбран из группы, состоящей из водорода, C1-6алкила и C1-6алкокси. Воплощения настоящего изобретения включают соединения, где R18, предпочтительно, выбран из группы, состоящей из водорода, C1-6алкила и C1-6алкокси. Воплощения настоящего изобретения включают соединения, где R17 и R18, предпочтительно, независимо выбраны из группы, состоящей из водорода, C1-6алкила и C1-6алкокси, где, если R17 и R18 присутствуют на одном заместителе, R17 и R18 необязательно могут вместе образовывать 5-8-членное кольцо. Воплощения настоящего изобретения включают новые, конкретные примеры соединений формулы (II), приведенных ниже, и соответствующих стандартных N-защищенных производных, таких как, но не ограничиваясь ими, Boc-, Fmoc- и CBZ-защищенные соединения, и соответствующих защищенных кислот или активированных сложных эфиров, таких как, но не ограничиваясь ими, метиловые, этиловые и бензиловые сложные эфиры и гидросукцинимидные активированные эфиры, которые все являются предпочтительными ключевыми промежуточными соединениями для синтеза агонистов/антагонистов опиоидных рецепторов, антагонистов интегрина и других. Типичные соединения настоящего изобретения включают соединения формулы (Ia): Формула (Ia) где R1, Z, R9 и R12 выбраны из: Другие типичные соединения настоящего изобретения включают соединения формулы (Ib): Формула (Ib) где R1, Z, R9 и R12 выбраны из: Другие типичные соединения настоящего изобретения включают соединения формулы (Ic): Формула (Ic) где R1, Ar, Z, R12 и R13 выбраны из: Типичные соединения настоящего изобретения включают соединения формулы (Id): Формула (Id) где R1, Z, R9 и R12 выбраны из: Типичные соединения настоящего изобретения включают соединения формулы (Ie): Формула (Ie) Другие типичные соединения настоящего изобретения включают соединения, приведенные ниже: Соединения настоящего изобретения могут также существовать в виде фармацевтически приемлемых солей. Соли соединений настоящего изобретения, предназначенные для применения в медицине, называются нетоксичными «фармацевтически приемлемыми солями» (Ref. International J. Pharm., 1986, 33, 201-217; J. Pharm. Sci., 1997 (Jan), 66, 1, 1). Однако для получения соединений настоящего изобретения или их фармацевтически приемлемых солей могут применяться и другие соли. Типичные органические и неорганические кислоты включают, но, не ограничиваясь ими, хлористоводородную, бромистоводородную, йодистоводородную, хлорную, серную, азотную, фосфорную, уксусную, пропионовую, гликолевую, молочную, янтарную, малеиновую, фумаровую, малоновую, винную, лимонную, бензойную, миндальную, метансульфоновую, гидроксиэтансульфоновую, бензолсульфоновую, щавелевую, памовую, 2-нафталинсульфоновую, п-толуолсульфоновую, циклогексансульфонаминовую, салициловую, сахариновую или трифторуксусную кислоту. Типичные органические или неорганические основания включают, но, не ограничиваясь ими, основания, образующие основные или катионные соли, такие как соли бензатина, хлорпрокаина, холина, диэтаноламина, этилендиамина, меглумина, прокаина, алюминия, кальция, лития, магния, калия, натрия и цинка. В объем настоящего изобретения входят пролекарства описанных в нем соединений. Обычно такие пролекарства представляют собой функциональные производные соединений, которые легко превращаются in vivo в нужное соединение. Таким образом, в способах лечения настоящего изобретения термин «введение» означает лечение различных описанных заболеваний соединением, специально описанным в изобретении, или соединением, которое может быть специально не описано, но которое превращается в указанное соединение in vivo после введения пациенту. Типичные методики выбора и получения подходящего пролекарства описаны, например, в “Design of Prodrugs”, ed. H. Bundgaard, Elsevier, 1985. Если в соединениях настоящего изобретения есть хотя бы один хиральный центр, они могут существовать в виде энантиомеров. Кроме того, если в соединениях есть несколько хиральных центров, они могут существовать в виде диастереомеров. Следует понимать, что все такие изомеры и их смеси входят в объем настоящего изобретения. Более того, некоторые кристаллические формы соединений могут представлять собой полиморфные модификации и, как таковые, также входят в объем изобретения. Кроме того, некоторые из указанных соединений могут образовывать сольваты с водой (то есть гидраты), или с обычными органическими растворителями; такие сольваты также входят в объем настоящего изобретения. Если при получении соединений с помощью способов данного изобретения образуется смесь стереоизомеров, ее можно разделить обычными методами, такими как препаративная хроматография. Соединения можно получить в виде рацематов; или можно получить индивидуальные энантиомеры путем энантиоспецифического синтеза или разделения. Например, соединения можно разделить на их энантиомерные компоненты стандартными методами, такими как получение диастереомерных пар образованием солей с оптически активной кислотой, такой как (-)-ди-п-толил-d-винная кислота и/или (+)-ди-п-толил-l-винная кислота, с последующей фракционной кристаллизацией и регенерацией свободного основания. Соединения можно также разделить образованием их диастереомерных эфиров или амидов, с последующим хроматографическим разделением и удалением вспомогательных хиральных групп. Альтернативно, соединения можно разделить с использованием ВЭЖХ на хиральных колонках. При получении соединений настоящего изобретения может оказаться необходимо и/или желательно защитить чувствительные или реакционноспособные группы молекул этих соединений. Для этого можно использовать обычные защитные группы, такие как описано в “Protective Groups in Organic Chemistry”, ed. J.F.W. McOmie, Plenum Press, 1973 и T.W. Greene & P.G.M. Wuts, “Protective Groups in Organic Synthesis”, John Wiley & Sons, 1991. Защитные группы можно удалить на подходящей последующей стадии с помощью методов, известных специалистам в данной области. Предполагается, что определение любого заместителя или переменного фрагмента молекулы в определенном месте молекулы не зависит от их определений в других частях молекулы. Понятно, что средний специалист в данной области может выбрать такие заместители и способы замещения для соединений настоящего изобретения, которые приводят к получению химически стабильных соединений, которые можно легко синтезировать методами, известными в данной области, а также методами, которые описаны в настоящем изобретении. В описании настоящего изобретения используется стандартная номенклатура, в соответствии с которой концевой фрагмент обозначаемой боковой цепи ставится первым, а затем к нему присоединяется описание примыкающих групп. Например, заместитель «фенилC1-C6алкиламинокарбонилC1-C6алкил» означает группу формулы Двухвалентные заместители, формулы или описания которых приведены в данном описании, читаются в основной структуре слева направо. Термины, используемые в описании настоящего изобретения, являются общепринятыми терминами, известными специалистам в данной области. Однако ниже определены термины, которые могут иметь другие значения. Эти определения относятся к терминам, которые используются в данном описании, если в конкретных случаях не указано иначе, либо индивидуально, либо в составе более крупной группы. Термин «независимо выбранный заместитель» относится к группе заместителей, в которую могут входить различные заместители. Поэтому указанное число атомов углерода (такого как C1-8) относится независимо к числу атомов углерода в алкильном или циклоалкильном фрагменте или в алкильном фрагменте более крупного заместителя, в котором «алкил» используется в качестве префикса. Если не указано иное, термин «алкил» относится к неразветвленной или разветвленной цепи, состоящей из 1-8 атомов углерода, замещенных атомами водорода, или из атомов углерода, замещенных атомами водорода или фтора, где на каждом атоме углерода может быть 1-3 атома фтора, при условии, что общее число атомов фтора не превышает 3, а общее число атомов углерода не превышает 8; предпочтительно, 1-6 атомов углерода, замещенных атомами водорода или атомами водорода и фтора, где на каждом атоме углерода может находиться 1-3 атома фтора, при условии, что общее число атомов фтора не превышает 3, а общее число атомов углерода не превышает 6; и, наиболее предпочтительно, 1-4 атома углерода, замещенных атомами водорода или атомами водорода и фтора, где на каждом атоме углерода может находиться 1-3 атома фтора, при условии, что общее число атомов фтора не превышает 3, а общее число атомов углерода не превышает 4. Термин «алкокси» относится к группе -O-алкил, где «алкил» определен выше. Термин «гидроксиалкил» относится к радикалам, в которых алкильная цепь заканчивается гидроксирадикалом общей формулы HO-алкил, где алкил определен выше. Алкильные цепи могут содержать необязательные заместители в самой цепи или на концевом атоме углерода. Термин «циклоалкил» относится к насыщенному или частично ненасыщенному моноциклическому алкильному кольцу, которое состоит из 3-8 атомов углерода, замещенных водородом, или к насыщенному или частично ненасыщенному бициклическому кольцу, которое состоит из 9 или 10 атомов углерода, замещенных водородом. Примеры включают, но не ограничиваясь ими, циклопропил, циклопентил, циклогексил или циклогептил. Термин «гетероциклил» относится к насыщенному или частично ненасыщенному кольцу, которое состоит из пяти или шести атомов, из которых, по меньшей мере, один представляет собой атом N, O или S, и которое необязательно содержит дополнительные атомы N, O или S; к насыщенному или частично ненасыщенному бициклическому кольцу, которое состоит из девяти или десяти атомов, из которых по меньшей мере один представляет собой атом N, O или S, и которое необязательно содержит дополнительные атомы N, O или S. Примеры включают, но не ограничиваясь ими, пирролинил, пирролидинил, 1,3-диоксоланил, имидазолинил, имидазолидинил, пиразолинил, пиразолидинил, пиперидинил, морфолинил или пиперазинил. Термин «арил» относится к фенильной или нафтильной группе. Термин «гетероарил» относится к ароматической моноциклической кольцевой системе, которая состоит из пяти или шести атомов, из которых по меньшей мере один представляет собой атом N, O или S, и которая необязательно содержит дополнительные атомы N, S или O; к ароматическому бициклическому кольцу, которое состоит из девяти или десяти атомов, из которых по меньшей мере один представляет собой атом N, O или S, и которое необязательно содержит дополнительные атомы N, S или O. Примеры включают, но, не ограничиваясь ими, фурил, тиенил, пирролил, оксазолил, тиазолил, имидазолил, пиразолил, изоксазолил, изотиазолил, пиридинил, пиридазинил, пиримидинил, пиразинил, индолил, индазолил, бензо[b]тиенил, хинолинил, изохинолинил или хиназолинил. Если термины «арил» и «гетероарил» используются самостоятельно или как части при обозначении заместителя (например, арилокси, гетероарилокси и т.п.), указанные арил или гетероарил могут необязательно содержать от одного до трех заместителей, независимо выбранных из группы, состоящей из галогена, гидрокси, циано, С1-6алкила, С1-6алкокси и нитро; кроме того, арил или гетероарил могут быть необязательно замещены одной фенильной группой (которая необязательно может содержать от одного до трех заместителей, независимо выбранных из группы, состоящей из галогена, гидрокси, циано, С1-6алкила, С1-6алкокси и нитро), где заместители в арильной или гетероарильной группе никаким иным образом не указываются. Если термины «алкил», «арил» или «гетероарил» или любой из их префиксов встречаются в названии заместителя (например, гетероарил(C1-6)алкил), их следует интерпретировать, учитывая ограничения, описанные выше для терминов «алкил», «арил» и «гетероарил». Указанное число атомов углерода (например, C1-6) независимо относится к числу атомов углерода в алкильной или циклоалкильной группе, или в алкильном фрагменте более крупного заместителя, в котором «алкил» используется в качестве префикса. Термин «галоген» включает йод, бром, хлор и фтор. Термин «субъект» в настоящем изобретении относится к животному, предпочтительно млекопитающему, наиболее предпочтительно к человеку, который служит объектом лечения, наблюдения или эксперимента. Термин «терапевтически эффективное количество» в настоящем описании означает количество активного соединения или фармацевтического средства, которое вызывает биологический или медицинский ответ в тканевой системе животного или человека, который хочет получить исследователь, ветеринар, доктор или другой клиницист; указанный эффект включает улучшение симптомов заболевания или нарушения, подлежащего лечению. В данном описании термин «композиция» включает продукт, содержащий конкретные ингредиенты в определенных количествах, а также любой продукт, полученный косвенно или непосредственно комбинированием конкретных ингредиентов в определенных количествах. Новые соединения настоящего изобретения можно использовать как модуляторы опиоидных рецепторов. В частности, некоторые соединения являются агонистами опиоидных рецепторов, которые можно использовать для лечения или улучшения таких состояний, как боль или желудочно-кишечные нарушения. Примеры боли, входящие в объем настоящего изобретения, включают, но не ограничиваясь ими, боль, опосредованную центральной нервной системой, боль, опосредованную периферической нервной системой, боль, связанную с повреждениями структурных или мягких тканей, боль, связанную с прогрессирующим заболеванием, невропатическую боль и острую боль, например, вызванную острым повреждением, травмой или хирургическим вмешательством, и хроническую боль, например, вызванную невропатическими болями, диабетической периферийной невропатией, пост-герпетической невралгией, невралгией тройничного нерва, постинсультными болевыми синдромами, кластерными головными болями или головными болями, которые вызваны мигренью. Примеры желудочно-кишечных нарушений, входящие в объем данного изобретения, включают, но не ограничиваясь ими, диарейные синдромы, нарушения моторики, такие как послеоперационная кишечная непроходимость и констипация, а также висцеральную боль. Кроме того, некоторые соединения настоящего изобретения являются агонистами опиоидных рецепторов, которые можно использовать для лечения или улучшения таких состояний, как боль и желудочно-кишечные нарушения. В настоящем изобретении также описаны фармацевтические композиции, содержащие одно или несколько соединений настоящего изобретения, в сочетании с фармацевтически приемлемым носителем. Такие композиции предпочтительно используются в виде единичных дозированных лекарственных форм, таких как таблетки, пилюли, порошки, гранулы, стерильные растворы или суспензии для парентерального введения, дозированные аэрозоли или жидкие спреи, капли, ампулы, устройства для самоинъекций или суппозитории; их можно вводить перорально, парентерально, интраназально, подъязычно, ректально, а также путем ингаляции или вдувания. Альтернативно, композицию можно использовать в форме, предназначенной для введения один раз в неделю или один раз в месяц; например, нерастворимую соль активного соединения, например деканоат, можно использовать для получения депо препарата для внутримышечных инъекций. Твердые композиции, например таблетки, получают, смешивая основной активный компонент с фармацевтическим носителем, например, обычными ингредиентами для таблетирования, такими как кукурузный крахмал, лактоза, сахароза, тальк, стеариновая кислота, стеарат магния, дикальцийфосфат или смолы, а также с другими фармацевтическими разбавителями, например, с водой, с образованием твердой предварительной композиции, представляющей собой гомогенную смесь, которая содержит соединение настоящего изобретения или его фармацевтически приемлемую соль. Если данные предварительные композиции называют гомогенными, это означает, что активный ингредиент равномерно распределен по всей композиции, так что композицию можно легко разделить на лекарственные формы равной эффективности, такие как таблетки, пилюли и капсулы. Полученную твердую предварительную композицию разделяют на единичные дозированные лекарственные формы описанных выше типов, которые содержат от 5 до 1000 мг активного ингредиента настоящего изобретения. Таблетки или пилюли, содержащие новую композицию, можно заключить в оболочку или обработать иным образом, получив лекарственную форму с пролонгированным действием. Например, таблетка или пилюля может содержать внутренний лекарственный компонент и внешний лекарственный компонент, причем внешний компонент будет покрывать внутренний. Два компонента могут разделяться энтеросолюбильным слоем, который предотвращает дезинтеграцию в желудке и позволяет внутреннему компоненту в неизмененном виде попадать в двенадцатиперстную кишку или высвобождаться замедленно. В качестве таких энтеросолюбильных слоев можно использовать разнообразные вещества, которые включают ряд полимерных кислот в сочетании с такими веществами, как шеллак, цетиловый спирт и ацетат целлюлозы. Жидкие формы, в которые могут быть включены новые композиции настоящего изобретения, предназначенные для перорального введения или введения с помощью инъекции, включают водные растворы, соответствующим образом ароматизированные сиропы, водные или масляные суспензии, ароматизированные эмульсии, содержащие пищевые масла, такие как хлопковое, кунжутное, кокосовое или арахисовое, а также эликсиры и аналогичные фармацевтические среды. Подходящие диспергирующие или суспендирующие средства для водных суспензий включают синтетические и природные смолы, такие как трагакант, гуммиарабик, альгинат, декстран, карбоксиметилцеллюлоза натрия, метилцеллюлоза, поливинилпирролидон или желатин. Способ лечения боли или желудочно-кишечных нарушений, который описан в настоящем изобретении, также может включать в себя использование фармацевтической композиции, содержащей любое из описываемых соединений и фармацевтически приемлемый носитель. Фармацевтическая композиция может содержать от 5 до 1000 мг, предпочтительно от 10 до 500 мг соединения, и композицию можно составить в любой форме, подходящей для выбранного метода введения. Носители включают необходимые и инертные фармацевтические эксципиенты, включая, но не ограничиваясь ими, связующие вещества, суспендирующие средства, смазывающие вещества, ароматизаторы, подсластители, консерванты, красители и покрытия. Композиции, подходящие для перорального введения, включают твердые формы, такие как пилюли, таблетки, пастилки, капсулы (причем каждая включает композиции с немедленным высвобождением, с задержанным высвобождением и с замедленным высвобождением), гранулы, порошки и жидкие формы, такие как растворы, сиропы, эликсиры, эмульсии и суспензии. Формы, предназначенные для парентерального введения, включают стерильные растворы, эмульсии и суспензии. Предпочтительно, соединения настоящего изобретения можно вводить как однократную дневную дозу или общую дневную дозу можно разделить на две, три или четыре дозы. Кроме того, соединения настоящего изобретения можно вводить интраназально, используя для местного применения подходящие интраназальные средства, или чрескожно, используя кожные пластыри, хорошо известные специалистам в данной области. В случае чрескожной системы доставки введение дозы в большей степени будет являться непрерывным, нежели чем перемежающимся, на протяжении всего дозировочного режима. Например, для перорального введения в виде таблетки или капсулы активный лекарственный компонент можно объединить с нетоксичным фармацевтически приемлемым инертным носителем для перорального введения, таким как этанол, глицерин, вода и т.п. Более того, при желании или при необходимости в смесь можно добавить подходящие связующие средства, смазывающие средства, дезинтегрирующие средства и красители. Подходящие связующие средства включают, но не ограничиваясь ими, крахмал, желатин, природные сахара, такие как глюкоза или бета-лактоза, кукурузные подсластители, природные и синтетические смолы, такие как гуммиарабик, трагакант или олеат натрия, стеарат натрия, стеарат магния, бензоат натрия, ацетат натрия, хлорид натрия и т.п. Дезинтегрирующие средства включают, но не ограничиваясь ими, крахмал, метилцеллюлозу, агар, бентонит, ксантановую смолу и т.п. Жидкие формы могут включать в себя соответственно ароматизированные суспендирующие или диспергирующие средства, такие как синтетические и природные смолы, такие как трагакант, гуммиарабик, метилцеллюлоза и т.п. Для парентерального введения желательно использовать стерильные суспензии и растворы. Если желательно применить внутривенное введение, используют изотонические растворы, обычно содержащие подходящие консерванты. Соединения настоящего изобретения можно также вводить в виде липосомальных систем доставки, таких как маленькие однослойные везикулы, большие однослойные везикулы и многослойные везикулы. Липосомы могут быть получены из разных фосфолипидов, таких как холестерин, стеариламин или фосфатидилхолин. Настоящее изобретение включает способ лечения заболеваний, модулируемых опиоидным рецептором. Воплощением настоящего изобретения является способ лечения боли или желудочно-кишечных нарушений, или любого другого нарушения, модулируемого опиоидным рецептором. Таким образом, настоящее изобретение предлагает способ применения соединений настоящего изобретения в качестве модуляторов опиоидного рецептора, включающий в себя введение субъекту любого описываемого соединения в терапевтически эффективном количестве. Соединение можно вводить субъекту, нуждающемуся в лечении, любыми удобными способами, включающими в себя, но, не ограничиваясь ими, пероральный, назальный, подъязычный, офтальмологический, чрескожный, ректальный, внутривагинальный и парентеральный (то есть подкожный, внутримышечный, внутривенный и др.). Терапевтически эффективное количество соединений настоящего изобретения или содержащих их фармацевтических композиций включает интервал доз приблизительно от 0,001 мг до 1000 мг, предпочтительно, приблизительно от 0,1 мг до 500 мг или, более предпочтительно, приблизительно от 1 мг до 250 мг активного ингредиента в день для человека со средним весом (70 кг). Для перорального введения фармацевтические композиции лучше всего использовать в виде таблеток, содержащих 0,01, 0,05, 0,1, 0,5, 1,0, 2,5, 5,0, 10,0, 15,0, 25,0, 50,0, 100, 150, 200, 250 и 500 миллиграмм активного ингредиента для симптоматического подбора дозы для субъекта, подлежащего лечению. Предпочтительно, соединения настоящего изобретения можно вводить в виде однократной дневной дозы или общую дневную дозу можно разделить на два, три или четыре приема. Для специалистов в данной области очевидно, что терапевтически эффективная доза активных соединений данного изобретения или содержащей их фармацевтической композиции зависит от желаемого эффекта. Поэтому оптимальные вводимые дозы можно легко определить, и они будут зависеть от конкретного используемого соединения, способа введения, эффективности препарата и от развития заболевания. Кроме того, факторы, связанные с конкретным субъектом, подлежащим лечению, которые включают возраст, массу, диету субъекта и время введения препарата, вызывают необходимость корректировать дозу для получения подходящего терапевтического уровня. Дозу лекарственного средства у пациента можно отслеживать обычными методами, известными в данной области, такими как мониторинг концентрации лекарственного препарата в крови пациента. Соединения данного изобретения можно вводить в составе любых из указанных выше композиций, используя любые дозировочные режимы, или посредством принятых в данной области композиций и дозировочных режимов, если для лечения субъекта требуется применение соединений настоящего изобретения как модуляторов опиоидных рецепторов. Термины, используемые в описании настоящего изобретения, являются общепринятыми терминами, и они известны специалистам в данной области. В описании настоящего изобретения используются следующие сокращения: ДМФА = N,N-Диметилформамид, CBZ = Бензилоксикарбонил, BOC = трет-Бутилоксикарбонил, ТФУК = Трифторуксусная кислота, TMSI = Триметилсилилиодид, EDCI = Гидрохлорид 1-(3-диметиламинопропил)-3-этилкарбодиимида, HOBT = 1-Гидроксибензотриазол, NMM = N-Метилморфолин, ДХМ = Дихлорметан, DPPF = 1,1′-бис(дифенилфосфино)ферроцен, PyBOP = Гексафторфосфат бензотриазол-1-илокситриспирролидинфосфония DIPEA = Диизопропилэтиламин. Общие способы синтеза Типичные соединения настоящего изобретения можно синтезировать с помощью описанных ниже общих способов синтеза, которые иллюстрируются следующими схемами. Так как схемы являются иллюстративными, изобретение не должно истолковываться как ограниченное описанными химическими реакциями и условиями. Получение различных исходных веществ, используемых в приведенных схемах, вполне доступно специалистам в данной области. Схема A Некоторые гетероциклические промежуточные соединения настоящего изобретения можно получить по способу, проиллюстрированному ниже на схеме А. Схема А Более конкретно, карбоновую кислоту формулы A-1, либо коммерчески доступную, либо полученную способами, описанными в научной литературе, сочетают с амином формулы H-D-N(R22)-C(=NH)-R23, либо коммерчески доступным, либо полученным способами, описанными в научной литературе, где D выбран из группы, состоящей из O и N, используя стандартные условия сочетания карбодиимидов, с образованием соединения формулы A-2. Затем соединение формулы A-2 циклизуют с образованием соединения формулы A-3 в присутствии основания, такого как пиридин, при нагревании или в обычных условиях, если D является O, или в подходящем растворителе, таком как ксилол, если D является N. Защитную группу из соединения формулы A-3 удаляют в условиях, известных специалистам в данной области и соответствующих конкретной защитной группе. Например, BOC-защитную группу удаляют обработкой ТФУК, а CBZ-защитную группу удаляют обработкой TMSI. Альтернативно, соединение формулы A-1 сочетают с амином формулы NH2CH2C(O)R23, используя те же описанные выше стандартные условия сочетания карбодиимидов, с образованием соединения формулы A-6. При нагревании соединения формулы A-6 в присутствии ацетата аммония в подходящем растворителе, таком как ксилол, происходит циклизация с образованием имидазолильного соединения формулы A-7, из которого защитные группы можно удалить описанным выше способом или гидрогенолизом в присутствии Pd и H2, как альтернативным способом удаления защитной группы CBZ, с образованием соединения формулы A-8. Альтернативно, оксазолильные соединения формулы A-9 можно получить обработкой промежуточного соединения формулы A-6 таким реагентом, как POCl3. После удаления защитных групп описанными выше способами получают соединения формулы A-11. Наконец, промежуточные соединения формулы A-6 можно превратить в соответствующие тиокетоны формулы A-5 обработкой реагентом Лоуссона. Затем тиокетоны формулы A-5 можно циклизовать при нагревании в уксусной кислоте с образованием тиазольных соединений формулы A-10. После удаления защитных групп описанными выше способами получают соединения формулы A-12. Схема B Некоторые гетероциклические промежуточные соединения настоящего изобретения можно получить по способу, проиллюстрированному ниже на схеме B. Схема B Более конкретно, пиразолильные промежуточные соединения формулы B-3 можно получить, превратив соединение формулы A-1 в
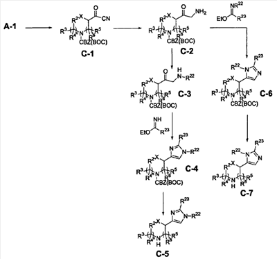
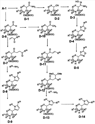
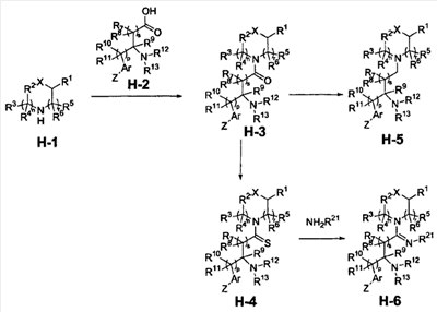
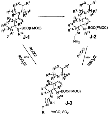
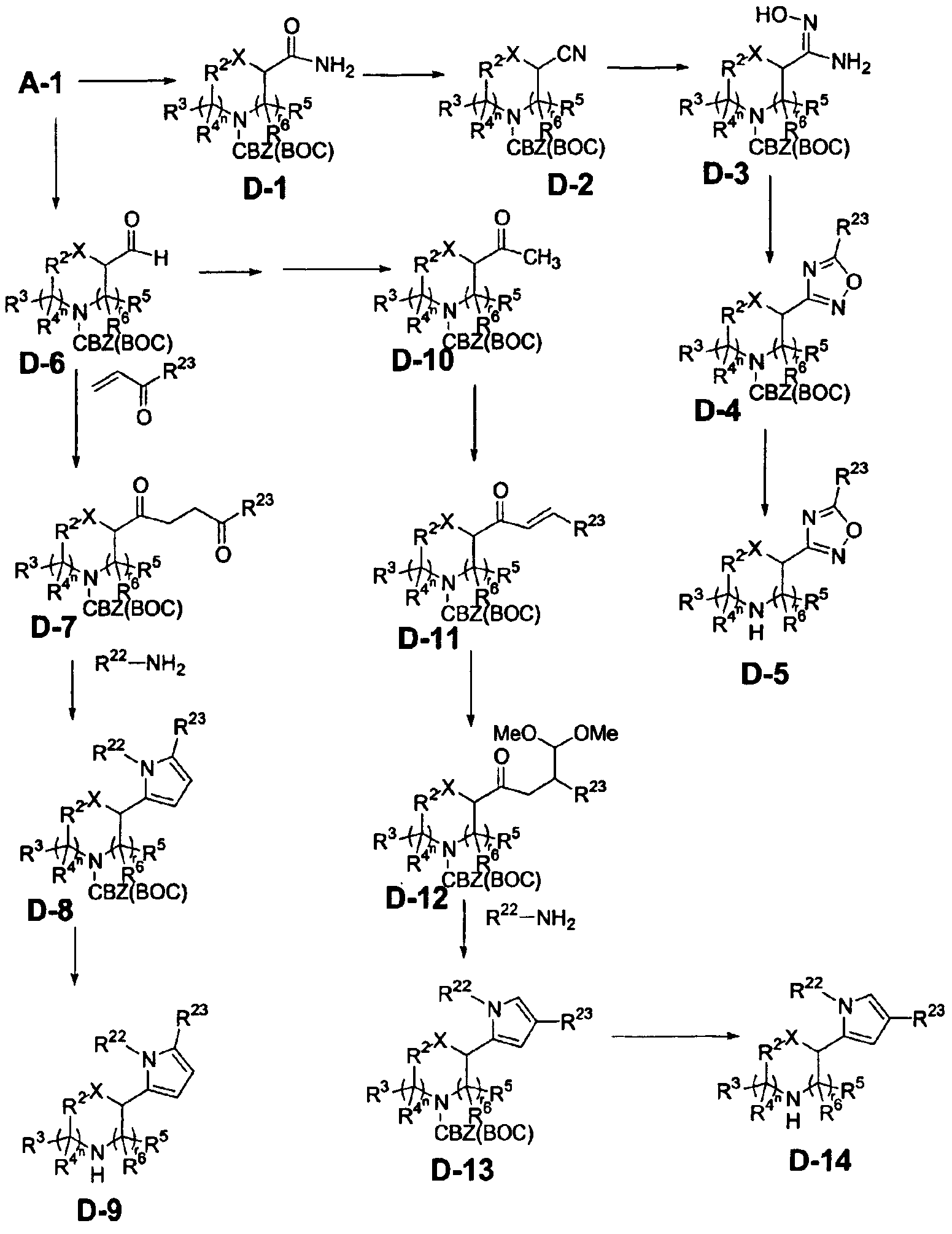
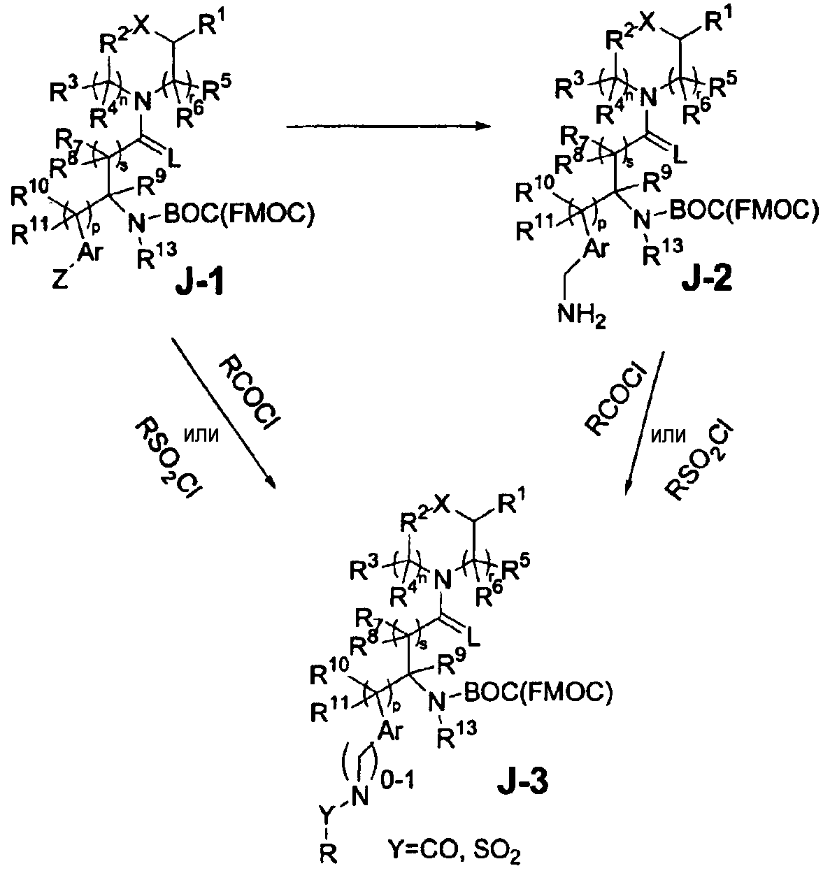
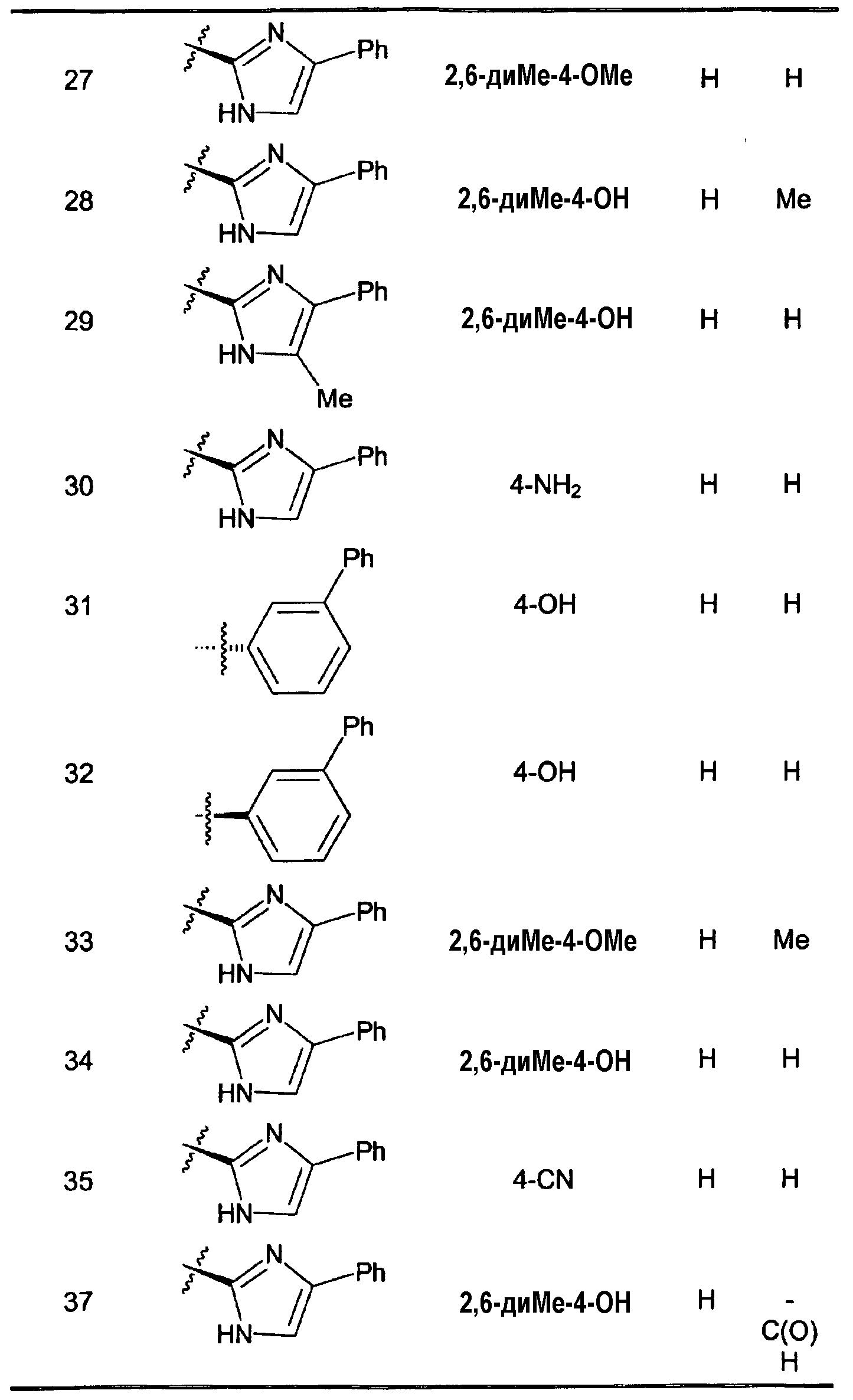
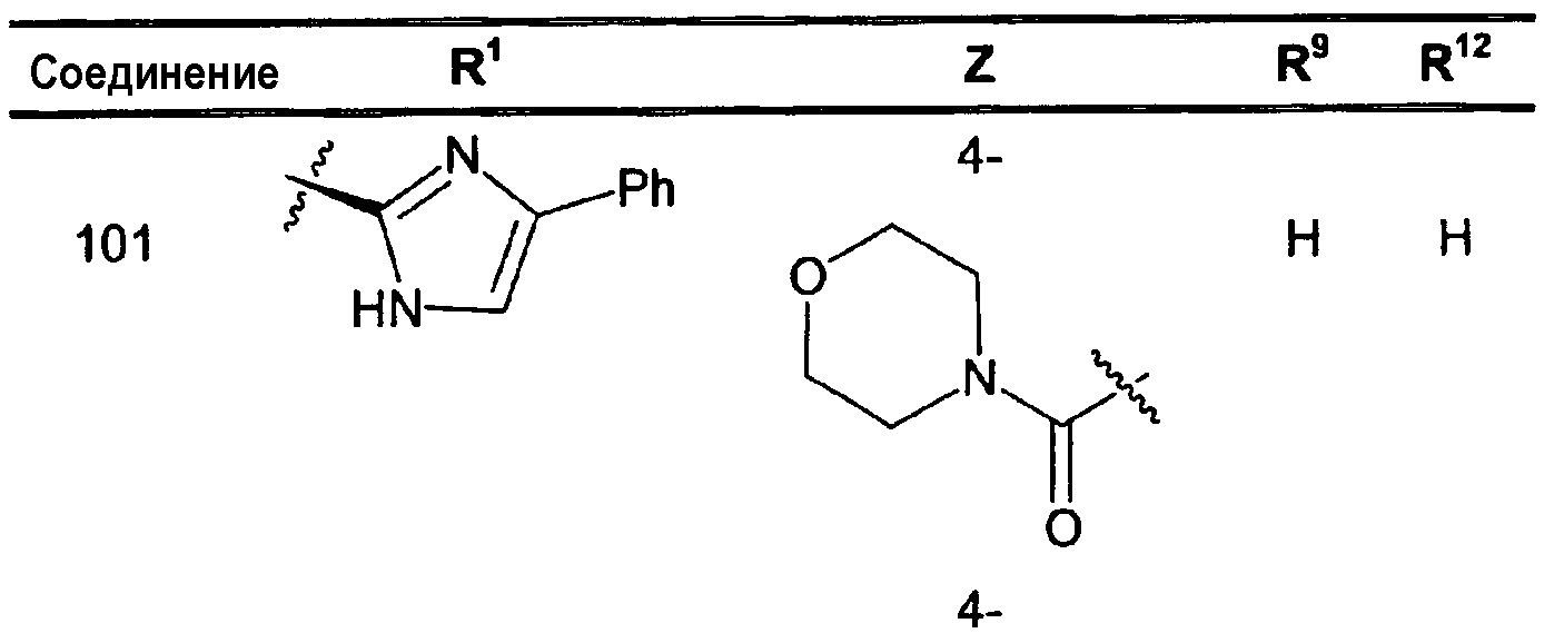
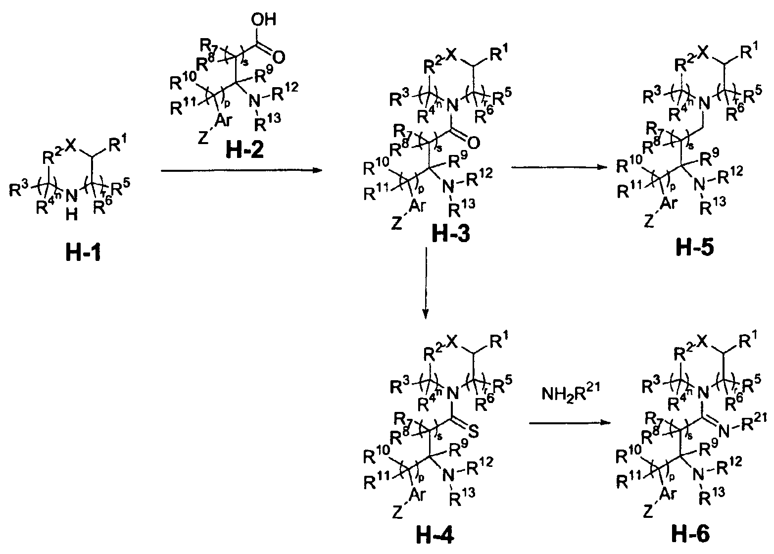
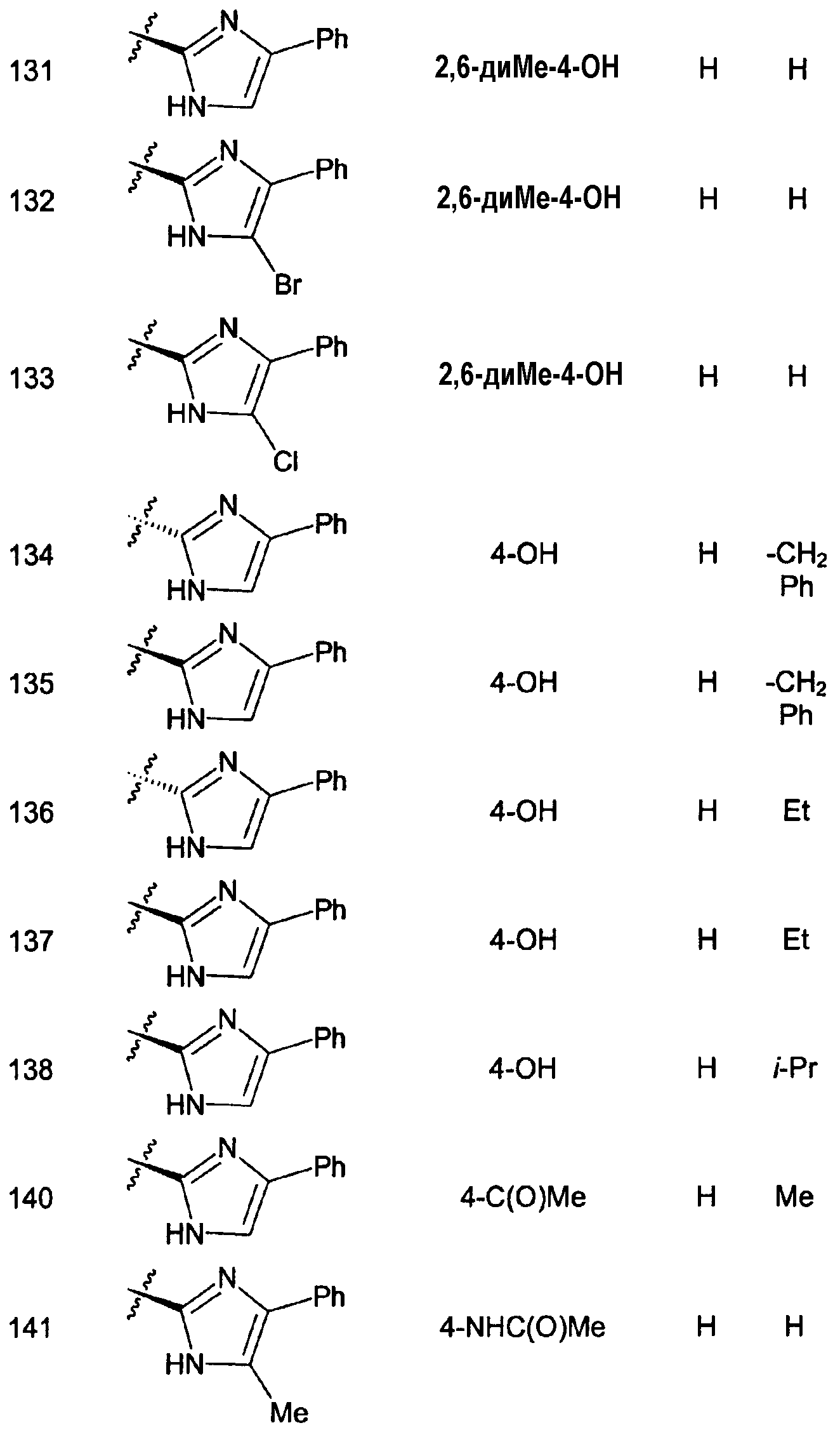
Схема C Некоторые гетероциклические промежуточные соединения настоящего изобретения можно получить по способу, проиллюстрированному ниже на схеме C. Схема C Более конкретно, имидазолильные промежуточные соединения формулы C-5 и C-7 можно получить, переведя сначала карбоновую кислоту формулы A-1 в ацилнитрил формулы C-1 взаимодействием кислоты с таким реагентом, как (EtO)2P(O)CN, в присутствии такого амина, как Et3N. Ацилнитрил затем восстанавливают до амина формулы C-2 гидрированием в присутствии подходящего палладиевого катализатора и такой кислоты, как AcOH. Первичный амин формулы C-2 затем подвергают восстановительному алкилированию, используя стандартные условия, такие как обработка альдегидом формулы RCHO с последующей обработкой восстанавливающим агентом, таким как NaB(OAc)3H), что приводит к получению соединений формулы C-3. Соединение формулы C-3 затем циклизуют с получением имидазолильного соединения формулы C-4 путем взаимодействия с имидатом формулы EtOC(NH)R23. После удаления защитных групп, как показано на схеме A, получают соединения формулы C-5. Альтернативно, соединения формулы C-2 можно циклизовать с имидатом формулы EtOC(NR22)R23 с получением соединений формулы C-6. После удаления защитных групп, как показано на схеме A, получают соединения формулы C-7. Схема D Некоторые гетероциклические промежуточные соединения настоящего изобретения можно получить по способу, проиллюстрированному ниже на схеме D. Схема D Более конкретно, некоторые оксадиазольные промежуточные соединения формулы D-5 можно синтезировать, получив сначала первичные амидосоединения формулы D-1 сочетанием карбоновых кислот формулы A-1 с аммиаком, используя реагент сочетания карбодиимидов, такой как EDC. Соединение формулы D-1 затем обрабатывают реагентом формулы Cl3C(O)Cl в присутствии амина, такого как Et3N, с получением нитрила формулы D-2. Нитрил формулы D-2 превращают в соединение формулы D-3 взаимодействием с таким реагентом, как гидроксиламин. Соединение формулы D-3 затем циклизуют с получением оксадиазола формулы D-4 в несколько стадий, сначала обрабатывая его хлорангидридом кислоты формулы R23C(O)Cl, и затем нагревая с основанием, таким как пиридин или т.п. После удаления защитных групп, как показано на схеме A, получают соединения формулы D-5. Альтернативно, пирролильные промежуточные соединения формулы D-8 можно получить восстановлением соединения формулы A-1 до альдегида формулы D-6. Это превращение можно выполнить в несколько стадий обработкой кислоты N-метилметоксиламином в присутствии реагента сочетания, такого как EDC, а также в присутствии связующей добавки, такой как HOBT, с последующим восстановлением полученного промежуточного соединения восстанавливающим реагентом, таким как LAH. Соединение формулы D-6 затем можно превратить в дикетосоединение D-7 обработкой альдегида ненасыщенным кетоном формулы CH=CH-C(O)R23 в присутствии катализатора. Дикетосоединение формулы D-7 затем циклизуют с амином формулы R22-NH2 нагреванием в кислоте, такой как AcOH, с получением пирролильного соединения формулы D-8. После удаления защитных групп, как показано на схеме A, получают соединения формулы D-9. Другой тип пирролильных промежуточных соединений, соединение формулы D-14, можно получить взаимодействием соединения формулы D-6 с реактивом Гриньяра с последующим окислением полученного спирта с образованием соединения формулы D-10. Затем метилкетон формулы D-10 вводят в реакцию альдольной конденсации с альдегидом формулы R23C(O)H с последующим удалением воды, получая соединения формулы D-11. Затем соединение формулы D-11 в три стадии превращают в соединение формулы D-12. Сначала соединение формулы D-11 подвергают реакции Михаэля с анионом такого реагента, как нитрометан, в присутствии основания. Полученное промежуточное соединение подвергают взаимодействию с основанием и затем гасят спиртовым растворителем, таким как метанол, этанол и т.п., в присутствии кислоты, получая соединение формулы D-12. Соединение формулы D-12 затем циклизуют при нагревании в кислоте, такой как AcOH, в присутствии амина формулы R22-NH2 с получением соединения формулы D-13. После удаления защитных групп, как показано на схеме A, получают соединения формулы D-14. Все химические реакции, показанные на схеме D, в результате которых получают пирролильные промежуточные соединения D-8 и D-14, более подробно описаны в литературе (J. Med. Chem. 2000, 43, 409-419). Схема E Некоторые гетероциклические промежуточные соединения настоящего изобретения можно получить по способу, проиллюстрированному ниже на схеме E. Схема E Более конкретно, имидазолильные промежуточные соединения формулы E-2 можно получить взаимодействием соединений формулы D-6 с дикетосоединениями формулы R23C(O)C(O)R23, где заместители R23 могут быть одинаковыми или различными, при нагревании в присутствии такого реагента, как ацетат аммония, а также в присутствии кислоты, такой как AcOH, с образованием соединения формулы E-1. После удаления защитных групп, как показано на схеме A, получают соединения формулы E-2. Схема F Некоторые карбоновые кислоты как промежуточные соединения настоящего изобретения можно получить по способу, проиллюстрированному ниже на схеме F. Более конкретно, метиловый эфир формулы F-1 можно превратить в соответствующий трифлат обработкой реагентом формулы (CF3SO2)2NC6H5 в присутствии основания, такого как Et3N, с образованием соединения формулы F-2. Трифлат формулы F-2 затем превращают в карбоновую кислоту формулы F-3 обработкой газообразным монооксидом углерода в присутствии палладиевого катализатора, такого как Pd(OAc)2, а также в присутствии основания, такого как карбонат калия, или такого реагента, как DPPF, в таком растворителе, как ДМФА. Кислоту формулы F-3 затем сочетают с амином формулы HNR17R18 в стандартных условиях сочетания пептидов, используя реагент сочетания, такой как PyBOP, в присутствии связующей добавки, такой как HOBT, с последующим гидролизом метилового эфира в присутствии основания, такого как LiOH, в водном растворителе, таком как водный ТГФ и т.п., что приводит к образованию целевого промежуточного соединения формулы F-4. Соединение формулы F-4 можно использовать так, как это показано на нижеследующих схемах, или можно удалить защитные группы в стандартных условиях, известных специалистам в данной области, и использовать в нижеследующих схемах. Схема G Некоторые карбоновые кислоты как промежуточные соединения настоящего изобретения можно получить по способу, проиллюстрированному ниже на схеме G (см. ниже). Схема G Карбоновую кислоту формулы G-1 подвергают взаимодействию с электрофильным реагентом, таким как алкилиодид или бензилбромид и т.п., в присутствии основания, такого как NaH, с получением замещенного оксисоединения формулы G-2. Соединение формулы G-2 затем подвергают взаимодействию с электрофильным реагентом, таким как соединения формулы R12I, в присутствии основания, такого как NaH, с получением промежуточного соединения формулы G-3. Соединение формулы G-3 можно использовать так, как это показано на нижеследующих схемах, или можно удалить защитные группы в стандартных условиях, известных специалистам в данной области, и использовать в нижеследующих схемах. Схема H Некоторые целевые соединения настоящего изобретения можно получить по способу, проиллюстрированному ниже на схеме H. Схема H Более конкретно, некоторые соединения настоящего изобретения можно получить сочетанием промежуточного соединения формулы H-1, синтез которого описан на предыдущих схемах для различных заместителей R1, с карбоновой кислотой формулы H-2 в стандартных условиях сочетания пептидов, таких как присутствие реагентов сочетания, таких как EDC или PyBop, а также в присутствии связующей добавки, такой как HOBT, с получением соединения формулы H-3. Соединение формулы H-3 можно обработать реагентом Лоуссона с образованием целевого соединения формулы H-4 и последующим взаимодействием с амином формулы NH2R21 дополнительно получить целевое соединение формулы H-6. Альтернативно, соединение формулы H-3 можно восстановить восстанавливающим агентом, таким как боран, с получением целевого соединения формулы H-5. Схема I Некоторые целевые соединения настоящего изобретения можно получить по способу, проиллюстрированному ниже на схеме I. Схема I Более конкретно, из соединения формулы I-1 можно удалить защитные группы обработкой кислотой, такой как ТФУК, HCl и т.п., с получением соединения формулы I-2. Соединение формулы I-2 можно затем сочетать с амином в стандартных условиях сочетания пептидов, как описано выше, с образованием соединения формулы I-3. Защитные группы из соединения формулы I-3 можно удалить обработкой соединения основанием, таким как пиперидин, с получением соединения формулы I-4. Соединение формулы I-4 можно затем ацилировать с помощью соответствующего реагента, такого как хлорангидрид кислоты формулы RC(O)Cl или ангидрид формулы RCO2C(O)R1, с образованием соединения формулы I-5, где R12 представляет собой ацильную группу. Альтернативно, соединение формулы I-4 можно подвергнуть восстановительному алкилированию с альдегидом формулы RCHO в присутствии восстанавливающего агента, такого как NaB(OAc)3H, с образованием соединения формулы I-5, где R12 представляет собой алкильную группу. Схема J Некоторые целевые соединения настоящего изобретения можно получить по способу, проиллюстрированному ниже на схеме J. Схема J Более конкретно, соединение формулы J-1, где Z представляет собой CN, можно восстановить до соединения формулы J-2 в стандартных условиях гидрирования, которые известны специалистам в данной области. Соединение формулы J-2 можно затем функционализировать взаимодействием с хлорангидридом кислоты формулы RC(O)Cl с получением ацилированных аминосоединений формулы J-3, где Y представляет собой CO и где присутствует один метилен. Альтернативно, соединение формулы J-2 можно подвергнуть взаимодействию с сульфонилхлоридом формулы RSO2Cl с образованием сульфонамида формулы J-3, где Y представляет собой SO2 и где присутствует один метилен. Альтернативно, если Z представляет собой амин, соединение формулы J-1 можно функционализировать далее взаимодействием с хлорангидридом кислоты формулы RC(O)Cl с образованием ацилированных аминосоединений формулы J-3, где Y представляет собой CO и где отсутствует метилен. Альтернативно, соединение формулы J-1 можно подвергнуть взаимодействию с сульфонилхлоридом формулы RSO2Cl с образованием сульфонамидов формулы J-3, где Y представляет собой SO2 и где отсутствует метилен. Схема K Некоторые целевые соединения настоящего изобретения можно получить по способу, проиллюстрированному ниже на схеме K. Схема K Более конкретно, из соединения формулы K-1 можно удалить защитные группы, используя стандартные условия, известные специалистам в данной области, с получением соединения формулы K-2. Соединение формулы K-2 можно затем ацилировать с помощью соответствующего реагента, такого как хлорангидрид кислоты формулы RC(O)Cl или ангидрид формулы RCO2C(O)R‘, с образованием соединения формулы K-3, где R12 представляет собой ацильную группу. Альтернативно, соединение формулы K-2 можно подвергнуть восстановительному алкилированию с альдегидом формулы RCHO в присутствии восстанавливающего агента, такого как NaB(OAc)3H, с образованием соединения формулы K-3, где R12 представляет собой алкильную группу. Снятие защиты описанными выше способами приводит к получению целевых соединений формулы K-4. Схема L Некоторые промежуточные соединения настоящего изобретения можно получить по способу, проиллюстрированному ниже на схеме L. Схема L Более конкретно, некоторые промежуточные соединения формул L-3 и L-5 можно получить по реакции сочетания Сузуки коммерчески доступного арил- или гетероарилбромида, соответствующих формуле L-1, но не ограниченных ею, с гетероарил- или арилбороновой кислотой, представленной формулами A и B (но не ограниченной ими), с образованием соединения формулы L-2 или L-4 соответственно. Подобным образом, соединение формулы L-2 или L-4 можно восстановить до промежуточных соединений формул L-3 и L-5, используя стандартные условия гидрирования, которые известны специалистам в данной области. Используя указанные общие схемы синтеза и описанные промежуточные соединения и варьируя соответствующие исходные соединения и условия реакций, что должно быть известно специалисту в данной области, можно синтезировать соединения настоящего изобретения. Конкретные примеры синтеза Конкретные соединения, представляющие данное изобретение, могут быть получены в соответствии с нижеследующими примерами, которые предлагаются для иллюстрации, но не для ограничения. Ни для каких реакций не предпринимались попытки оптимизировать получаемый выход. Специалисту в данной области должно быть известно, как увеличить такие выходы, варьируя в обычном порядке время реакции, температуру, растворители и/или реагенты. Если не указано иначе, спектры 1H-ЯМР получали на приборе Bruker AC-300. Масс-спектрометрические анализы проводили на приборе Fisons (Hewlett-Packard ВЭЖХ-масс-спектрометр с ионизацией электрораспылением). Получение ключевых промежуточных соединений и некоторых примеров соединений Пример 1 3-(4-Фенил-1H-имидазол-2-ил)-1,2,3,4-тетрагидроизохинолин A. трет-Бутиловый эфир 3-(2-оксо-2-фенилэтилкарбамоил)-3,4-дигидро-1H-изохинолин-2-карбоновой кислоты 2-трет-Бутиловый эфир 3,4-дигидро-1H-изохинолин-2,3-дикарбоновой кислоты (2,77 г, 10 ммоль), 2-амино-1-фенилэтанон (1,71 г, 10 ммоль) и HOBT (1-гидроксибензотриазол) (2,70 г, 20 ммоль) растворяют в дихлорметане (100 мл). Раствор охлаждают до 0°C, добавляют (4-диметиламинобутил)этилкарбодиимид (2,29 г, 12 ммоль) и затем NMM (N-метилморфолин) (1,31 г, 13 ммоль). Затем реакционную смесь нагревают до комнатной температуры. Через 72 часа реакционную смесь экстрагируют водой и органическую фазу последовательно экстрагируют насыщенным NaHCO3, 2N лимонной кислотой и NaHCO3, сушат над MgSO4, фильтруют и концентрируют, получая указанный в заголовке продукт в виде желтой пены. По данным анализа ЖХ (214 нм) чистота соединения составляет 86%, и соединение используют без дополнительной очистки. В. трет-Бутиловый эфир 3-(4-фенил-1Н-имидазол-2-ил)-3,4-дигидро-1H-изохинолин-2-карбоновой кислоты Продукт, полученный на вышеописанной стадии А (3,55 г, 9 ммоль), NH4OAc (ацетат аммония) (20,8 г, 270 ммоль) и АсОН (уксусную кислоту) (30 мл) объединяют при комнатной температуре и реакционную смесь нагревают на паровой бане в течение 3 часов. Затем реакционную смесь охлаждают до комнатной температуры и выливают в измельченный лед (400 г). К полученной смеси добавляют концентрированный гидроксид аммония (50 мл) и диэтиловый эфир. Слои разделяют и водную фазу промывают второй порцией диэтилового эфира. Органические фазы объединяют, сушат над MgSO4, фильтруют и концентрируют при пониженном давлении, получая коричневую пену. Полученный образец очищают препаративной ВЭЖХ, получая указанное в заголовке соединение в виде белого порошка. По данным ЖХ при 214 нм чистота соединения составляет 96%. Измеренная ММ (MH+): 376. C. 3-(4-Фенил-1H-имидазол-2-ил)-1,2,3,4-тетрагидроизохинолин Трифторуксусную кислоту (ТФУК) (4 мл) охлаждают в пробирке приблизительно до 0°C. К охлажденному растворителю затем добавляют продукт, полученный на описанной выше стадии B (0,75 г, 2 ммоль). Реакционную смесь оставляют нагреваться до комнатной температуры в течение приблизительно 45 минут. Избыток ТФУК удаляют в потоке газообразного N2. Остаток распределяют между дихлорметаном (15 мл) и насыщенным NaHCO3. Водную фазу затем повторно экстрагируют второй порцией дихлорметана, органические фазы объединяют, сушат над MgSO4 и фильтруют, получая раствор указанного в заголовке соединения в дихлорметане. Фильтрат используют на следующей стадии без дополнительной очистки или выделения. Измеренная ММ (MH+): 276. Пример 2 3-(5-Фенилоксазол-2-ил)-1,2,3,4-тетрагидроизохинолин Дегидратация бензилового эфира 3-(2-оксо-2-фенилэтилкарбамоил)-3,4-дигидро-1H-изохинолин-2-карбоновой кислоты (полученного аналогично способу получения трет-бутилового эфира 3-(2-оксо-2-фенилэтилкарбамоил)-3,4-дигидро-1H-изохинолин-2-карбоновой кислоты примера 1) под действием POCl3 дает следующее промежуточное соединение: Группу CBZ легко удаляют из полученного оксазола обработкой йодтриметилсиланом. Полученное промежуточное соединение нор-аминоксазол можно использовать для получения различных примеров соединений. Пример 3 3-(5-Метил-4-фенил-1H-имидазол-2-ил)-3,4,-дигидро-1H-изохинолин A. трет-Бутиловый эфир 3-(5-метил-4-фенил-1Н-имидазол-2-ил)-3,4-дигидро-1H-изохинолин-2-карбоновой кислоты трет-Бутиловый эфир 3-формил-3,4-дигидро-1H-изохинолин-2-карбоновой кислоты (1,83 г, 7 ммоль) объединяют с AcOH (25 мл) и сразу добавляют 1-фенилпропан-1,2-дион (3,11 г, 21 ммоль) и NH4OAc (13,49 г, 175 ммоль). Затем реакционную смесь помещают в паровую баню и нагревают в атмосфере аргона в течение 20 минут. Реакционную смесь охлаждают на бане со льдом и затем добавляют к измельченному льду (44 г). Полученную смесь подщелачивают, добавляя концентрированный NH4OH (50 мл), и затем дважды экстрагируют диэтиловым эфиром (каждый раз по 150 мл). Объединенные органические фазы сушат над MgSO4, фильтруют и концентрируют, получая неочищенный продукт. Полученное вещество очищают препаративной ВЭЖХ, получая указанное в заголовке соединение в виде белого твердого вещества. Измеренная ММ (MH+): 390. B. 3-(5-Метил-4-фенил-1H-имидазол-2-ил)-3,4-дигидро-1H-изохинолин К раствору ТФУК (5 мл), охлажденному приблизительно до 0°C, добавляют соединение, полученное на описанной выше стадии A (1,10 г, 2,82 ммоль), и реакционную смесь перемешивают в течение приблизительно 30 минут. Затем реакционную смесь удаляют из бани со льдом и оставляют нагреваться до комнатной температуры. Избыток ТФУК удаляют в потоке N2. Остаток распределяют между насыщенным NaHCO3 и дихлорметаном. Водную фазу промывают второй порцией дихлорметана и органические фазы объединяют. Объединенные органические фазы сушат над Na2SO4, затем фильтруют, получая указанный в заголовке продукт в виде раствора в дихлорметане, который используют без дополнительной очистки или выделения. Пример 4 (S)-2-(3-Фенил-[1,2,4]оксадиазол-5-ил)пиперидин
A. O-Ациламидоксим Раствор (S)-1-(трет-бутоксикарбонил)-2-пиперидинкарбоновой кислоты (0,229 г, 1,00 ммоль) и N-гидроксибензамидина (0,140 г, 1,03 ммоль) в дихлорметане (10 мл) охлаждают на бане со льдом. Через час при перемешивании последовательно добавляют HOBT (0,27 г, 2,0 ммоль), NMM (0,24 мл, 2,2 ммоль) и EDCI (0,25 г, 1,3 ммоль) и полученный желтый раствор медленно нагревают до комнатной температуры. После исчезновения исходных веществ, которое отслеживают по ТСХ, реакцию гасят, добавляя холодную воду. Отделенную органическую фазу промывают насыщенным водным раствором NaHCO3, 2N водным раствором лимонной кислоты, насыщенным водным раствором NaHCO3 и сушат над Na2SO4. После фильтрования и упаривания остаток (0,216 г ярко-желтого масла) анализируют и идентифицируют его как O-ациламидоксим (ВЭЖХ: 77% при 254 нм, 75% при 214 нм), достаточно чистый для использования в следующей реакции. МС (ES+) (относительная интенсивность): 348,3 (100) (M+1). B. трет-Бутиловый эфир (S)-2-(3-фенил-[1,2,4]оксадиазол-5-ил)пиперидин-1-карбоновой кислоты
Раствор неочищенного O-ациламидоксима (0,216 г) в пиридине (10 мл) нагревают до температуры кипения с обратным холодильником. Через четыре часа анализ ВЭЖХ показывает, что реакция завершилась. Реакционную смесь охлаждают до комнатной температуры и концентрируют в вакууме, получая остаток, который подвергают колоночной флэш-хроматографии на силикагеле (элюент: гексан-EtOAc 3:1, об./об.). Получают 0,132 г [40% для двух стадий] оксадиазола в виде бесцветного масла. 1Н-ЯМР (300 МГц, CDCl3): C. (S)-2-(3-Фенил-[1,2,4]оксадиазол-5-ил)пиперидин
Охлажденный на льду 10% раствор ТФУК в дихлорметане добавляют одной порцией к трет-Boc-защищенному пиперидину (0,132 г, 0,40 ммоль). Реакционную смесь помещают на баню со льдом и медленно нагревают до комнатной температуры. После исчезновения исходных веществ, которое отслеживают по ТСХ, реакционную смесь разбавляют ацетонитрилом и концентрируют в вакууме при температуре окружающей среды. Получают 0,186 г (100% для соли бис-ТФУК) указанного в заголовке пиперидина в виде бежевого воска. По данным анализа ВЭЖХ чистота соединения составляет 100% при 254 нм и 214 нм. 1Н-ЯМР (300 МГц, CDCl3): Пример 5 2-(4-Фенил-1H-имидазол-2-ил)пиперидин
A. Бензиловый эфир 2-(2-оксо-2-фенилэтилкарбамоил)пиперидин-1-карбоновой кислоты (S)-1-(Карбобензилокси)-2-пиперидинкарбоновую кислоту (15,8 г, 60 ммоль), гидрохлорид 2-амино-1-фенилэтанона (10,30 г, 60 ммоль) и HOBT (1-гидроксибензотриазол) (16,20 г, 120 ммоль) смешивают в дихлорметане (400 мл). Смесь при перемешивании охлаждают до 0°C и затем добавляют (4-диметиламинобутил)этилкарбодиимид (14,90 г, 78 ммоль) и NMM (N-метилморфолин) (7,27 г, 72 ммоль). Реакционную смесь затем нагревают до комнатной температуры. Через 16 часов реакционную смесь обрабатывают водой и полученное твердое вещество отфильтровывают. Органическую фазу из фильтрата отделяют и промывают последовательно насыщенным NaHCO3, 2N лимонной кислотой и еще раз насыщенным NaHCO3, затем сушат над MgSO4, фильтруют и концентрируют, получая указанный в заголовке продукт бензиловый эфир 2-(2-оксо-2-фенилэтилкарбамоил)пиперидин-1-карбоновой кислоты в виде желтого масла, который используют без дополнительной очистки. B. Бензиловый эфир 2-(4-фенил-1H-имидазол-2-ил)пиперидин-1-карбоновой кислоты Бензиловый эфир 2-(2-оксо-2-фенилэтилкарбамоил)пиперидин-1-карбоновой кислоты (22,83 г, 60 ммоль), NH4OAc (ацетат аммония) (63,5 г, 824 ммоль), AcOH (уксусную кислоту) (30 мл) и ксилол (350 мл) смешивают при комнатной температуре, реакционную смесь при перемешивании нагревают на масляной бане при 165°C в течение приблизительно 6 часов. Затем реакционную смесь охлаждают до комнатной температуры и выливают в насыщенный раствор соли. Органическую фазу сушат над MgSO4, фильтруют и концентрируют при пониженном давлении, получая 31,24 г не совсем белого порошка. Полученный образец растирают с диэтиловым эфиром (100 мл), фильтруют и обильно промывают диэтиловым эфиром, получая 15,12 г (70% для двух стадий) целевого продукта бензилового эфира 2-(4-фенил-1H-имидазол-2-ил)пиперидин-1-карбоновой кислоты в виде белого твердого вещества. По данным анализа ВЭЖХ чистота соединения составляет 100% при 254 нм и 98,1% при 214 нм. C. 2-(4-Фенил-1H-имидазол-2-ил)пиперидин
Суспендированный в этаноле (200 мл) бензиловый эфир 2-(4-фенил-1H-имидазол-2-ил)пиперидин-1-карбоновой кислоты (7,50 г, 20,75 ммоль) в атмосфере Ar добавляют в колбу Парра, содержащую 0,75 г 10% Pd/C. Затем образец обрабатывают водородом в течение 48 часов при давлении 45 фунт/кв. дюйм (310,3 кПа). Полученную смесь фильтруют через дикалит и концентрируют при пониженном давлении, получая 5,45 г коричневого масла. Полученное вещество последовательно растирают с диэтиловым эфиром и охлажденным на льду ацетонитрилом (10 мл). Полученное твердое вещество фильтруют и промывают 5 мл охлажденного на льду ацетонитрила, получая 2,86 г (61%) целевого 2-(4-фенил-1H-имидазол-2-ил)пиперидина в виде белого твердого вещества, чистота которого по данным ВЭЖХ при 254 и 214 нм составляет 99,6%. (ЖХ/МС; Измеренная ММ (MH+): 228). Пример 6 2-(5-Фенилоксазол-2-ил)пиперидин
C. Бензиловый эфир 2-(5-фенилоксазол-2-ил)пиперидин-1-карбоновой кислоты К 0,8 г (2,0 ммоль) бензилового эфира 2-(2-оксо-2-фенилэтилкарбамоил)пиперидин-1-карбоновой кислоты добавляют 4 мл оксихлорида фосфора. Полученную смесь нагревают до 120°C в атмосфере аргона в течение одного часа. Смесь выливают на лед и pH доводят до 7, добавляя раствор гидроксида аммония. Полученный раствор экстрагируют три раза хлороформом. Объединенные органические экстракты сушат над сульфатом магния и концентрируют, получая коричневое масло. Остаток растворяют в метиленхлориде и фильтруют через рыхлый слой силикагеля. Рыхлый слой затем промывают 5% раствором метанола в хлороформе. Фильтрат концентрируют, получая 0,56 г (1,5 ммоль, выход неочищенного вещества 75%) бензилового эфира 2-(5-фенилоксазол-2-ил)пиперидин-1-карбоновой кислоты в виде коричневого масла. По данным ЖХ чистота масла составляет 80%, и его используют без дополнительной очистки. D. 2-(5-Фенилоксазол-2-ил)пиперидин
К раствору 0,56 г (1,5 ммоль) бензилового эфира 2-(5-фенилоксазол-2-ил)пиперидин-1-карбоновой кислоты в 5 мл хлороформа, охлажденного на бане со льдом в атмосфере аргона, добавляют 5 мл триметилсилилиодида. Смесь оставляют медленно нагреваться до комнатной температуры и перемешивают в течение пяти часов. К реакционной смеси добавляют 10 мл метанола и полученную смесь оставляют перемешиваться при комнатной температуре в течение 0,5 часа. Полученную смесь распределяют между диэтиловым эфиром и 2N хлористоводородной кислотой. Водный слой отделяют, подщелачивают 2N гидроксидом натрия и дважды экстрагируют диэтиловым эфиром. Объединенные экстракты сушат над сульфатом магния и концентрируют, получая 0,20 г (0,88 ммоль, выход 58%) желтого масла. По данным ЖХ чистота масла составляет 98%. Пример 7 (S)-2-трет-Бутоксикарбониламино-3-(4-карбамоил-2,6-диметилфенил)пропионовая кислота A. Метиловый эфир (5)-2-трет-бутоксикарбониламино-3-(2,6-диметил-4-трифторметансульфонилфенил)пропионовой кислоты В холодный раствор Boc-L-(2,6-диMe)Tyr-OMe (7,0 г, 21,6 ммоль) и N-фенилтрифторметансульфонимида (7,9 г, 22,0 ммоль) в дихлорметане (60 мл) добавляют триэтиламин (3,25 мл, 23,3 ммоль). Полученный раствор перемешивают при 0°C в течение 1 ч и медленно нагревают до комнатной температуры. После исчезновения исходных веществ, которое отслеживают по ТСХ, реакцию гасят, добавляя холодную воду. Отделенную органическую фазу промывают 1N водным раствором NaOH, водой и сушат в течение ночи над Na2SO4. После фильтрования и упаривания остаток очищают колоночной флэш-хроматографией (элюент: EtOAc-гексан: 3:7, об./об.), получая указанный в заголовке трифлат. 9,74 г, 99%. 1Н-ЯМР (300 МГц, CDCl3): B. (S)-4-(2-трет-Бутоксикарбониламино-2-метоксикарбонилэтил)-3,5-диметилбензойная кислота В суспензию трифлата (9,68 г, 21,3 ммоль), K2CO3 (14,1 г, 0,102 моль), Pd(OAc)2 (0,48 г, 2,13 ммоль) и 1,1′-бис(дифенилфосфино)ферроцена (DPPF, 2,56 г, 4,47 ммоль) в ДМФА (48 мл) барботируют CO в течение 15 мин. Смесь нагревают до 60°C в течение 8 ч с баллоном CO. Холодную смесь распределяют между NaHCO3 и EtOAc и фильтруют. Водный слой отделяют, подкисляют 10% водным раствором лимонной кислоты, экстрагируют EtOAc и, наконец, сушат над Na2SO4. Перекристаллизация из смеси EtOAc-гексан дает указанную в заголовке кислоту. 7,05 г, 94%. 1Н-ЯМР (300 МГц, CDCl3): C. Метиловый эфир (S)-2-трет-бутоксикарбониламино-3-(4-карбамоил-2,6-диметилфенил)пропионовая кислота В перемешиваемый раствор бензойной кислоты со стадии B (3,00 г, 8,54 ммоль), PyBOP (6,68 г, 12,8 ммоль) и HOBt (1,74 г, 12,8 ммоль) в ДМФА (36 мл) добавляют DIPEA (5,96 мл, 34,2 ммоль) и NH4Cl (0,92 г, 17,1 ммоль). Полученную смесь перемешивают при комнатной температуре в течение 40 мин и затем распределяют между водным раствором NH4Cl и EtOAc. Отделенную органическую фазу промывают 2N водным раствором лимонной кислоты, насыщенным водным раствором NaHCO3 и насыщенным раствором соли и сушат над Na2SO4 в течение ночи. После концентрирования остаток очищают колоночной флэш-хроматографией (элюент: EtOAc), получая указанный в заголовке амид. 3,00 г, 100%. 1Н-ЯМР (300 МГц, CDCl3): D. (S)-2-трет-Бутоксикарбониламино-3-(4-карбамоил-2,6-диметилфенил)пропионовая кислота В охлажденный на льду раствор метилового эфира со стадии C (2,99 г, 8,54 ммоль) в ТГФ (50 мл) добавляют водный раствор LiOH (1N, 50 мл) и перемешивают при 0°C. После исчезновения исходных веществ, которое отслеживают по ТСХ, органические растворители удаляют, водную фазу нейтрализуют охлажденной 1N HCl при 0°C, экстрагируют EtOAc и, наконец, сушат над Na2SO4 в течение ночи. Фильтрование и упаривание досуха дает указанную в заголовке кислоту. 2,51 г, 87%. 1Н-ЯМР (300 МГц, ДМСО-d6): Пример 8 4-{2-Амино-3-оксо-3-[2-(4-фенил-1H-имидазол-2-ил)пиперидин-1-ил]пропил}-3,5-диметилфениловый эфир 2,2-диметилпропионовой кислоты A. трет-Бутиловый эфир {1-(4-гидрокси-2,6-диметилбензил)-2-оксо-2-[2-(4-фенил-1H-имидазол-2-ил)пиперидин-1-ил]этил}карбаминовой кислоты К смеси 114 мг (0,5 ммоль) 2-(4-фенил-1H-имидазол-2-ил)пиперидина, 155 мг (0,5 ммоль) 2-трет-бутоксикарбониламино-3-(4-гидрокси-2,6-диметилфенил)пропионовой кислоты, 135 мг (1,0 ммоль) гидрата гидроксибензотриазола и 115 мг (0,6 ммоль) гидрохлорида 1-[3-(диметиламино)пропил]-3-этилкарбодиимида добавляют 1 мл диметилформамида. Полученную смесь оставляют перемешиваться при комнатной температуре в атмосфере аргона в течение ночи. Смесь распределяют между этилацетатом и водой. Органический слой отделяют, промывают лимонной кислотой, раствором бикарбоната натрия и водой, сушат над сульфатом магния и концентрируют. Получают 214 мг (0,41 ммоль, выход 82%) неочищенного продукта трет-бутилового эфира {1-(4-гидрокси-2,6-диметилбензил)-2-оксо-2-[2-(4-фенил-1H-имидазол-2-ил)пиперидин-1-ил]этил}карбаминовой кислоты, который используют на следующей стадии без дополнительной очистки. В. 4-{2-Амино-3-оксо-3-[2-(4-фенил-1H-имидазол-2-ил)пиперидин-1-ил]пропил}-3,5-диметилфениловый эфир 2,2-диметилпропионовой кислоты К раствору трет-бутилового эфира {1-(4-гидрокси-2,6-диметилбензил)-2-оксо-2-[2-(4-фенил-1H-имидазол-2-ил)пиперидин-1-ил]этил)карбаминовой кислоты в 5 мл хлороформа, охлажденному на бане со льдом в атмосфере аргона, добавляют 62 мкл (0,5 ммоль) 2,2-диметилпропионилхлорида и затем 75 мкл (0,5 ммоль) DBU. Смесь оставляют медленно нагреваться до комнатной температуры и перемешивают в течение ночи. Данные анализа ЖХ показывают, что реакция завершилась. К полученной смеси добавляют 1 мл трифторуксусной кислоты. После перемешивания в течение 2 часов данные ЖХ показывают, что реакция завершилась примерно на 50%. Добавляют еще 1 мл трифторуксусной кислоты. После перемешивания в течение еще 1 часа данные ЖХ показывают, что реакция завершилась. Смесь концентрируют и очищают препаративной ЖХ Gilson. Получают 61 мг (0,10 ммоль, выход 25%) продукта 4-{2-амино-3-оксо-3-[2-(4-фенил-1H-имидазол-2-ил)пиперидин-1-ил]пропил}-3,5-диметилфенилового эфира 2,2-диметилпропионовой кислоты в виде белого порошка. 1Н-ЯМР (300 МГц, CD3OD): ТСХ (90:9:1, CHCl3:MeOH:NH4OH) Rf=0,50 МС (ES+) (относительная интенсивность): 503,0 (100). Пример 9 S,S-Изомер 4-{2-амино-3-оксо-3-[3-(4-фенил-1H-имидазол-2-ил)-3,4-дигидро-1H-изохинолин-2-ил]пропил}-3,5-диметилбензамида A. трет-Бутиловый эфир {1-(4-карбамоил-2,6-диметилбензил)-2-оксо-2-[3-(4-фенил-1H-имидазол-2-ил)-3,4-дигидро-1H-изохинолин-2-ил]этил}карбаминовой кислоты К смеси 220 мг (0,8 ммоль) 3-(4-фенил-1H-имидазол-2-ил)-1,2,3,4-тетрагидроизохинолина, 269 мг (0,8 ммоль) 2-трет-бутоксикарбониламино-3-(4-карбамоил-2,6-диметилфенил)пропионовой кислоты, 216 мг (1,6 ммоль) гидрата гидроксибензотриазола и 184 мг (0,96 ммоль) гидрохлорида 1-[3-(диметиламино)пропил]-3-этилкарбодиимида добавляют 3 мл диметилформамида. Полученную смесь оставляют перемешиваться в течение ночи при комнатной температуре в атмосфере аргона. Затем смесь распределяют между этилацетатом и водой. Органический слой отделяют, сушат над сульфатом магния и концентрируют. Продукт трет-бутиловый эфир {1-(4-карбамоил-2,6-диметилбензил)-2-оксо-2-[3-(4-фенил-1H-имидазол-2-ил)-3,4-дигидро-1H-изохинолин-2-ил]этил}карбаминовой кислоты используют на следующей стадии без дополнительной очистки. B. S,S-Изомер 4-{2-амино-3-оксо-3-[3-(4-фенил-1H-имидазол-2-ил)-3,4-дигидро-1H-изохинолин-2-ил]пропил}-3,5-диметилбензамида К 0,8 ммоль трет-бутилового эфира {1-(4-карбамоил-2,6-диметилбензил)-2-оксо-2-[3-(4-фенил-1H-имидазол-2-ил)-3,4-дигидро-1H-изохинолин-2-ил]этил}карбаминовой кислоты, охлажденной на бане со льдом в атмосфере аргона, добавляют 3 мл трифторуксусной кислоты. После перемешивания в течение 3 часов реакционную смесь концентрируют и очищают на препаративной системе ЖХ Gilson. Получают 79 мг (0,13 ммоль) чистого S,S-изомера 4-{2-амино-3-оксо-3-[3-(4-фенил-1H-имидазол-2-ил)-3,4-дигидро-1H-изохинолин-2-ил]пропил}-3,5-диметилбензамида и 58 мг (0,09 ммоль) смеси диастереомеров, всего 137 мг (0,22 ммоль, выход 28%). Данные для «чистого» изомера (может содержать следовые количества другого изомера, как видно из ТСХ): 1Н-ЯМР (300 МГц, CD3OD): ТСХ (90:9:1, CHCl3:MeOH:NH4OH) Rf=0,31 основное, 0,23 минорное МС (ES+) (относительная интенсивность): 494,1 (100). Пример 10 4-{2-Амино-3-оксо-3-[2-(4-фенил-1H-имидазол-2-ил)пиперидин-1-ил]пропил}-N-метилбензамид A. трет-Бутиловый эфир 4-{2-(9H-флуорен-9-илметоксикарбониламино)-3-оксо-3-[2-(4-фенил-1H-имидазол-2-ил)пиперидин-1-ил]пропил}бензойной кислоты К смеси 182 мг (0,8 ммоль) 2-(4-фенил-1H-имидазол-2-ил)пиперидина, 390 мг (0,8 ммоль) трет-бутилового эфира 4-[2-карбокси-2-(9H-флуорен-9-илметоксикарбониламино)этил]бензойной кислоты, 216 мг (1,6 ммоль) гидрохлорида 1-[3-(диметиламино)пропил]-3-этилкарбодиимида и 192 мг гидрата 1-гидроксибензотриазола добавляют 2,5 мл диметилформамида. Смесь оставляют перемешиваться при комнатной температуре в течение ночи. Затем смесь распределяют между этилацетатом и водой. Органический слой разделяют, сушат над MgSO4 и концентрируют, получая 670 мг неочищенного продукта. B. 4-{2-(9H-Флуорен-9-илметоксикарбониламино)-3-оксо-3-[2-(4-фенил-1H-имидазол-2-ил)пиперидин-1-ил]пропил}бензойная кислота К 670 мг продукта, полученного на стадии A (неочищенный, но на основе предыдущей реакции его количество предположительно составляет 0,8 ммоль), охлажденного на бане со льдом в атмосфере аргона, добавляют 3 мл трифторуксусной кислоты. Полученную смесь оставляют медленно нагреваться до комнатной температуры и перемешивают в течение 5 часов. Затем смесь распределяют между насыщенным раствором NaHCO3 и этилацетатом. Органический слой разделяют, сушат над MgSO4 и концентрируют, получая 139 мг белого твердого вещества (по данным ЖХ чистота 83%). Водный слой дважды экстрагируют этилацетатом, органические слои объединяют, сушат над MgSO4 и концентрируют, получая 0,10 г желтого масла (по данным ЖХ чистота 70%). Всего получают 239 мг (0,37 ммоль, выход 47%) неочищенного указанного в заголовке продукта. C. 9H-Флуорен-9-илметиловый эфир {1-(4-метилкарбамоилбензил)-2-оксо-2-[2-(4-фенил-1H-имидазол-2-ил)пиперидин-1-ил]этил}карбаминовой кислоты К смеси 150 мг (0,23 ммоль) продукта, полученного на стадии B, 17 мг (0,25 ммоль) гидрохлорида метиламина, 27 мкл (0,25 ммоль) N-метилморфолина, 62 мг (0,46 ммоль) гидрата 1-гидроксибензотриазола и 57 мг (0,3 ммоль) гидрохлорида 1-[3-(диметиламино)пропил]-3-этилкарбодиимида добавляют 2 мл диметилформамида. Полученную смесь оставляют перемешиваться при комнатной температуре в атмосфере аргона в течение 5,5 часов. Смесь распределяют между этилацетатом и водой и разделяют. Органический слой сушат над MgSO4 и концентрируют. Получают 148 мг (0,21 ммоль, выход 92%) неочищенного продукта. D. 4-{2-Амино-3-оксо-3-[2-(4-фенил-1H-имидазол-2-ил)пиперидин-1-ил]пропил}-N-метилбензамид К раствору 148 мг (0,21 ммоль) продукта, полученного на стадии C, в 2 мл хлороформа добавляют 2 мл пиперидина. Полученную смесь оставляют перемешиваться при комнатной температуре в атмосфере аргона в течение 3,5 часов. Реакционную смесь затем концентрируют и остаток очищают с помощью препаративной системы ЖХ Gilson. Продукт лиофилизируют, получая 47 мг (0,08 ммоль, выход 48%) целевого продукта в виде белого порошка, который предположительно является солью ТФУК. 1Н-ЯМР (300 МГц, CD3OD): ТСХ (90:9:9, CHCl3:MeOH:NH4OH) Rf =0,33. Пример 11 4-{2-Амино-3-оксо-3-[2-(4-фенил-1H-имидазол-2-ил)пиперидин-1-ил]пропил}бензамид A. 9H-Флуорен-9-илметиловый эфир {1-(4-карбамоилбензил)-2-оксо-2-[2-(4-фенил-1H-имидазол-2-ил)пиперидин-1-ил]этил}карбаминовой кислоты К смеси 138 мг (0,5 ммоль) 2-(4-фенил-1H-имидазол-2-ил)пиперидина, 215 мг (0,5 ммоль) 3-(4-карбамоилфенил)-2-(9H-флуорен-9-илметоксикарбониламино)пропионовой кислоты, 135 мг (1,0 ммоль) гидрата гидроксибензотриазола, 115 мг (0,6 ммоль) гидрохлорида 1-[3-(диметиламино)пропил]-3-этилкарбодиимида добавляют 2 мл диметилформамида. Полученную смесь оставляют перемешиваться при комнатной температуры в атмосфере аргона в течение ночи. Затем смесь распределяют между этилацетатом и водой. Органический слой отделяют, сушат над MgSO4 и концентрируют, получая желтое масло, которое используют на следующей стадии без дополнительной очистки. B. 4-{2-Амино-3-оксо-3-[2-(4-фенил-1H-имидазол-2-ил)пиперидин-1-ил]пропил}бензамид К раствору продукта, полученного на стадии A (предположительно 0,5 ммоль на основе предыдущей стадии), в 4 мл хлороформа добавляют 1 мл пиперидина. Смесь оставляют перемешиваться в течение ночи при комнатной температуре в атмосфере аргона. Затем смесь концентрируют и остаток очищают с помощью препаративной системы ЖХ Gilson. По данным ЖХ соединение находится в виде смеси диастереомеров 88:12 с преобладанием S,S-изомера (как изображено). Получают 48 мг (0,083 ммоль, выход 17%) продукта в виде бледно-желтого порошка, который предположительно является солью ТФУК. 1Н-ЯМР (300 МГц, CD3OD): ТСХ (90:9:9, CHCl3:MeOH:NH4OH) Rf=0,53 (минорное), 0,60 (основное). Пример 12 3-(4-Гидроксифенил)-2-изопропиламино-1-[3-(4-фенил-1H-имидазол-2-ил)-3,4-дигидро-1H-изохинолин-2-ил]пропан-1-он A. 9H-Флуорен-9-илметиловый эфир {1-(4-трет-бутоксибензил)-2-оксо-2-[3-(4-фенил-1H-имидазол-2-ил)-3,4-дигидро-1H-изохинолин-2-ил]этил}карбаминовой кислоты 3-(4-трет-Бутоксифенил)-2-(9H-флуорен-9-илметоксикарбониламино)пропионовую кислоту (1,93 г, 4,2 ммоль) растворяют в дихлорметане (100 мл), охлаждают до 0°C, затем добавляют чистый N-метилморфолин (0,42 г, 4,2 ммоль) и после него изобутилхлорформиат (0,52 мл, 4 ммоль). Через 1,25 часа добавляют чистый 3-(4-фенил-1Н-имидазол-2-ил)-1,2,3,4-тетрагидроизохинолин (1,10 г, 4 ммоль) и реакционную смесь оставляют нагреваться до комнатной температуры. Через 16 часов реакционную смесь экстрагируют водой, затем насыщенным NaHCO3, сушат над Na2SO4, фильтруют и концентрируют при пониженном давлении, получая 2,53 г (88%) целевого продукта 9H-флуорен-9-илметилового эфира {1-(4-трет-бутоксибензил)-2-оксо-2-[3-(4-фенил-1H-имидазол-2-ил)-3,4-дигидро-1H-изохинолин-2-ил]этил}карбаминовой кислоты в виде коричневой пены, который используют без дополнительной очистки. (ЖХ/МС; измеренная ММ (МН+): 717). В. 2-Амино-3-(4-трет-бутоксифенил)-1-[3-(4-фенил-1Н-имидазол-2-ил)-3,4-дигидро-1Н-изохинолин-2-ил]пропан-1-он Пиперидин в метаноле (20%; 2 мл) добавляют к 9H-флуорен-9-илметиловому эфиру {1-(4-трет-бутоксибензил)-2-оксо-2-[3-(4-фенил-1H-имидазол-2-ил)-3,4-дигидро-1H-изохинолин-2-ил]этил}карбаминовой кислоты (0,20 г, 0,28 ммоль) при комнатной температуре. Через 30 минут реакционную смесь концентрируют при пониженном давлении и остаток 200 мг целевого продукта 2-амино-3-(4-трет-бутоксифенил)-1-[3-(4-фенил-1H-имидазол-2-ил)-3,4-дигидро-1H-изохинолин-2-ил]пропан-1-она используют без дополнительной очистки (ЖХ/МС; Измеренная ММ (MH+): 495). C. 3-(4-трет-Бутоксифенил)-2-изопропиламино-1-[3-(4-фенил-1H-имидазол-2-ил)-3,4-дигидро-1H-изохинолин-2-ил]пропан-1-он 2-Амино-3-(4-трет-бутоксифенил)-1-[3-(4-фенил-1H-имидазол-2-ил)-3,4-дигидро-1H-изохинолин-2-ил]пропан-1-он (0,145 г, 0,29 ммоль) растворяют в 1,2-дихлорэтане (12 мл). К раствору добавляют ацетон (0,068 г, 1,17 ммоль), затем уксусную кислоту (0,018 г, 0,29 ммоль) и триацетоксиборгидрид натрия (0,10 г, 0,47 ммоль). Через 3 часа реакционную смесь обрабатывают насыщенным водным раствором NaHCO3 (5 мл) и перемешивают в течение 1 часа. Затем слои разделяют, органическую фазу сушат над MgSO4, фильтруют и концентрируют при пониженном давлении, получая 0,16 г прозрачного масла. Полученное масло обрабатывают этиловым эфиром (2 мл) и полученное твердое вещество фильтруют и промывают этиловым эфиром, получая 60 мг (38%) целевого продукта 3-(4-трет-бутоксифенил)-2-изопропиламино-1-[3-(4-фенил-1H-имидазол-2-ил)-3,4-дигидро-1H-изохинолин-2-ил]пропан-1-она в виде белого твердого вещества, чистота которого по данным ВЭЖХ составляет 100% при 254 и 214 нм (ЖХ/МС; Измеренная ММ (MH+): 537). D. 3-(4-Гидроксифенил)-2-изопропиламино-1-[3-(4-фенил-1H-имидазол-2-ил)-3,4-дигидро-1H-изохинолин-2-ил]пропан-1-он 3-(4-трет-Бутоксифенил)-2-изопропиламино-1-[3-(4-фенил-1H-имидазол-2-ил)-3,4-дигидро-1H-изохинолин-2-ил]пропан-1-он (0,086 г, 0,16 ммоль) добавляют к охлажденной на льду трифторуксусной кислоте (3 мл). Через 1,5 часа реакционную смесь концентрируют при пониженном давлении, получая прозрачное масло. Данное вещество очищают препаративной ВЭЖХ Gilson и после лиофилизации получают целевой продукт 3-(4-гидроксифенил)-2-изопропиламино-1-[3-(4-фенил-1H-имидазол-2-ил)-3,4-дигидро-1H-изохинолин-2-ил]пропан-1-он в виде белого твердого вещества, чистота которого по данным ВЭЖХ составляет 100% при 254 и 214 нм (ЖХ/МС; измеренная ММ (MH+): 481). Пример 13 3-(4-Ацетокси-2,6-диметилфенил)-2-трет-бутоксикарбониламинопропионовая кислота
К раствору 0,77 г (2,5 ммоль) 2-трет-бутоксикарбониламино-3-(4-гидрокси-2,6-диметилфенил)пропионовой кислоты в 3 мл 3N раствора гидроксида натрия, охлажденного на бане со льдом, добавляют по каплям 0,89 мл (9,4 ммоль) уксусного ангидрида в течение приблизительно 30 секунд. После перемешивания в течение 2 часов смесь подкисляют, добавляя 4,5 мл 2N хлористоводородной кислоты. Смесь дважды экстрагируют этилацетатом. Объединенные органические слои сушат над сульфатом магния и концентрируют, получая прозрачное масло. Указанный в заголовке продукт используют в следующей реакции без дополнительной очистки. Пример 14 4-(2-Амино-3-оксо-3-[2-(5-фенил-1H-имидазол-2-ил)пиперидин-1-ил]пропил}-3,5-диметилфениловый эфир уксусной кислоты A. 4-{2-трет-Бутоксикарбониламино-3-оксо-3-[2-(5-фенил-1H-имидазол-2-ил)пиперидин-1-ил]пропил}-3,5-диметилфениловый эфир уксусной кислоты К смеси 0,377 г (1,66 ммоль) 2-(5-фенил-1H-имидазол-2-ил)пиперидина, 0,72 г (1,66 ммоль) 3-(4-ацетокси-2,6-диметилфенил)-2-трет-бутоксикарбониламинопропионовой кислоты, 0,448 г (3,32 ммоль) гидрата гидроксибензотриазола и 0,383 г (1,99 ммоль) гидрохлорида 1-[3-(диметиламино)пропил]-3-этилкарбодиимида добавляют 2,5 мл диметилформамида. Полученную смесь оставляют перемешиваться при комнатной температуре в атмосфере аргона в течение ночи. Затем смесь распределяют между этилацетатом и водой. Органический слой отделяют, сушат над сульфатом магния и концентрируют. Получают 0,81 г (1,4 ммоль, выход 88%) неочищенного продукта в виде коричневого масла, которое используют в следующей реакции без дополнительной очистки. В. 4-(2-Амино-3-оксо-3-[2-(5-фенил-1H-имидазол-2-ил)пиперидин-1-ил]пропил}-3,5-диметилфениловый эфир уксусной кислоты К раствору 0,81 г (1,4 ммоль) продукта, полученного на стадии А, в 5 мл хлороформа, охлажденного на бане со льдом, добавляют 3,5 мл трифторуксусной кислоты. Смесь оставляют медленно нагреваться до комнатной температуры и перемешивают в атмосфере аргона в течение 3 часов. Смесь концентрируют, получая 0,59 г (1,3 ммоль, выход 93%) продукта в виде коричневого масла. Половину его используют на следующей стадии в виде неочищенного продукта. Половину очищают препаративной ЖХ Gilson. Получают 0,083 г (0,14 ммоль) чистого продукта в виде белого порошка, предположительно являющегося солью ТФУК. 1Н-ЯМР (300 МГц, CD3OD): ЖХ 92% при 214 нм ТСХ (90:9:1, CHCl3:MeOH:NH4OH) Rf=0,33 (минорное), 0,37 (основное). Пример 16 N-{1-(4-Гидрокси-2,6-диметилбензил)-2-оксо-2-[2-(5-фенил-1Н-имидазол-2-ил)пиперидин-1-ил]этил}формамид А. 4-{2-Формиламино-3-оксо-3-[2-(5-фенил-1Н-имидазол-2-ил)пиперидин-1-ил]пропил}-3,5-диметилфениловый эфир уксусной кислоты К раствору 0,7 ммоль 4-{2-амино-3-оксо-3-[2-(5-фенил-1Н-имидазол-2-ил)пиперидин-1-ил]пропил}-3,5-диметилфенилового эфира уксусной кислоты в 0,8 мл формальдегида, охлажденному на бане со льдом в атмосфере аргона, добавляют 0,5 мл уксусной кислоты. Полученную смесь оставляют медленно нагреваться до комнатной температуры и перемешивают в течение ночи. Затем смесь экстрагируют этилацетатом. Этилацетат промывают водой, сушат над сульфатом магния и концентрируют, получая 0,39 г желто-оранжевого масла, которое используют на следующей стадии без дополнительной очистки. B. N-{1-(4-Гидрокси-2,6-диметилбензил)-2-оксо-2-[2-(5-фенил-1Н-имидазол-2-ил)пиперидин-1-ил]этил}формамид К раствору 0,34 г (0,7 ммоль) продукта, полученного на стадии A, приблизительно в 10 мл метанола добавляют 0,211 г (1,5 ммоль) карбоната калия. После перемешивания в течение 2 часов, как показывает анализ ЖХ, реакция завершается. Добавляют еще 100 мг карбоната калия и смесь перемешивают еще два часа. По данным ЖХ реакция завершается. Смесь фильтруют и концентрируют. Концентрат очищают на системе препаративной ЖХ, получая 45 мг (0,08 ммоль, выход 10%) продукта в виде белого порошка. Предположительно продукт является солью ТФУК. 1Н-ЯМР (300 МГц, CD3OD): ТСХ (90:9:1, CHCl3:MeOH:NH4OH) Rf=0,33 МС (ES+) (относительная интенсивность): 447,3 (100). Пример 17 4-{2-Амино-3-оксо-3-[2-(4-фенил-1H-имидазол-2-ил)пиперидин-1-ил]пропил}-3,5-диметилбензамид A. трет-Бутиловый эфир {1-(4-карбамоил-2,6-диметилбензил)-2-оксо-2-[2-(4-фенил-1H-имидазол-2-ил)пиперидин-1-ил]этил}карбаминовой кислоты 2-трет-Бутоксикарбониламино-3-(4-карбамоил-2,6-диметилфенил)пропионовую кислоту (0,42 г, 1,25 ммоль) растворяют в ДМФА (5 мл), затем добавляют 1-гидроксибензотриазол (0,34 г, 1,75 ммоль) и полученный раствор охлаждают до 0°C. К полученной реакционной смеси добавляют 2-(4-фенил-1H-имидазол-2-ил)пиперидин (0,31 г, 1,75 ммоль), затем (4-диметиламинобутил)этилкарбодиимид (0,34 г, 1,75 ммоль). Реакционную смесь нагревают до комнатной температуры и перемешивают в течение 16 часов. Затем реакционную смесь объединяют с 2N лимонной кислотой и промывают несколько раз этилацетатом. Объединенные органические слои промывают насыщенным водным раствором NaHCO3, сушат над Na2SO4, фильтруют и концентрируют при пониженном давлении, получая 600 мг целевого продукта трет-бутилового эфира {1-(4-карбамоил-2,6-диметилбензил)-2-оксо-2-[2-(4-фенил-1H-имидазол-2-ил)пиперидин-1-ил]этил}карбаминовой кислоты в виде стекла, который используют без дополнительной очистки. (ТСХ: 5:1 CHCl3:MeOH Rf=0,6). B. 4-{2-Амино-3-оксо-3-[2-(4-фенил-1H-имидазол-2-ил)пиперидин-1-ил]пропил}-3,5-диметилбензамид К трет-бутиловому эфиру {1-(4-карбамоил-2,6-диметилбензил)-2-оксо-2-[2-(4-фенил-1H-имидазол-2-ил)пиперидин-1-ил]этил}карбаминовой кислоты (0,60 г, 1,10 ммоль) добавляют трифторуксусную кислоту, охлажденную до 0°C (4 мл). Полученный раствор нагревают до комнатной температуры и через 30 минут избыток трифторуксусной кислоты удаляют в потоке азота. Данное вещество очищают препаративной ВЭЖХ Gilson и после лиофилизации получают целевой продукт 4-{2-амино-3-оксо-3-[2-(4-фенил-1H-имидазол-2-ил)пиперидин-1-ил]пропил}-3,5-диметилбензамид в виде белого твердого вещества, чистота которого по данным ВЭЖХ составляет 100% при 254 и 214 нм. (ЖХ/МС; измеренная ММ (MH+): 446). Пример 18 2-Амино-3-(4-гидроксифенил)-1-[2-(5-фенилоксазол-2-ил)пиперидин-1-ил]пропан-1-он A. трет-Бутиловый эфир {1-(4-трет-бутоксибензил)-2-оксо-2-[2-(5-фенилоксазол-2-ил)пиперидин-1-ил]этил}карбаминовой кислоты К смеси 0,20 г (0,88 ммоль) 2-(5-фенилоксазол-2-ил)пиперидина, 0,36 г (1,05 ммоль) 2-трет-бутоксикарбониламино-3-(4-трет-бутоксифенил)пропионовой кислоты, 0,49 г (1,05 ммоль) PyBrop и 0,287 мл диизопропилэтиламина добавляют 1 мл диметилформамида. Полученную смесь оставляют перемешиваться в атмосфере аргона при комнатной температуре в течение ночи. На следующее утро, как показывает анализ ЖХ, остается приблизительно 20% исходного вещества. Добавляют еще 0,09 г (0,26 ммоль) 2-трет-бутоксикарбониламино-3-(4-трет-бутоксифенил)пропионовой кислоты, 0,12 г (0,26 ммоль) PyBrop и 0,072 мл (0,45 ммоль) диизопропилэтиламина. После перемешивания в течение 3 часов смесь распределяют между этилацетатом и водой. Органический слой отделяют, промывают водой, сушат над сульфатом магния и концентрируют. Продукт используют на следующей стадии без дополнительной очистки. B. 2-Амино-3-(4-гидроксифенил)-1-[2-(5-фенилоксазол-2-ил)пиперидин-1-ил]пропан-1-он К раствору 0,88 ммоль продукта, полученного на стадии A, в 3 мл хлороформа, охлажденного на бане со льдом, добавляют 3 мл трифторуксусной кислоты. Смесь оставляют медленно нагреваться до комнатной температуры и перемешивают в течение двух часов. Анализ ЖХ показывает, что реакция завершилась. Смесь концентрируют и концентрат очищают препаративной ЖХ. Получают 126 мг (0,25 ммоль, выход 28%) продукта в виде белого порошка, чистота которого составляет 88% по данным ЖХ. Предположительно продукт является солью ТФУК. Используя способы описанных выше примеров, а также подходящие реагенты, исходные вещества и методы очистки, известные специалистам в данной области, можно получить другие соединения настоящего изобретения, включающие, но не ограничиваясь ими:
Биологические примеры С помощью нижеследующих методов определяют способность опиоидного рецептора связывать соединения настоящего изобретения и описывают полученные результаты. Пример 1 Анализ связывания дельта-опиоидного рецептора мозга крысы Самцов крыс Wistar (150-250 г, VAF, Charles River, Kingston, NY) умерщвляют путем смещения шейных позвонков, удаляют мозг и сразу помещают их в охлажденный на льду буфер Трис-HCl (50 мМ, pH 7,4). Передний мозг отделяют от остального мозга путем коронарного сечения, которое начинается с верхней части в области колликул и проходит к нижней части через соединение среднего мозга с варолиевым мостом. После отделения передний мозг гомогенизируют в буфере Трис в стеклянном гомогенизаторе с покрытием Teflon. Гомогенат разбавляют до получения концентрации переднего мозга 1 г на 80 мл Трис и центрифугируют при 39000×g 10 мин. Осадок повторно суспендируют в таком же объеме буфера Трис, содержащего 5 мМ MgCl2, с несколькими короткими импульсами в гомогенизаторе Poltron. Полученный дисперсный препарат используют для анализа связывания дельта-опиоидного рецептора. После инкубации с дельта-селективным пептидным лигандом 4 нМ [3H]DPDPE при 25°C в течение 2,5 часов в 96-луночном планшете в общем объеме 1 мл, содержимое планшета фильтруют через В-листы фильтра Wallac на харвестере Tomtec для 96-луночного планшета. Фильтры промывают три раза 2 мл 10 мМ HEPES (pH 7,4) и сушат в микроволновой печи 1:45 мин дважды. На каждый участок, содержащий образец, добавляют 2×40 мкл сцинтилляционной жидкости Betaplate Scint (LKB) и анализируют на жидкостном сцинтилляционном счетчике LKB (Wallac) 1205 BetaPlate. Полученные данные используют для расчета либо % ингибирования по сравнению с контрольным связыванием (если анализируется только одна концентрация тестируемого соединения), либо значения Ki (если анализируется ряд концентраций). % Ингибирования рассчитывается следующим образом: [(общее количество отсчетов в минуту – отсчеты в минуту тестируемого соединения)/(общее количество отсчетов в минуту – неспецифические отсчеты в минуту)]×100. Значения Kd и Ki рассчитывают с помощью программы анализа данных GraphPad PRISM. Пример 2 Анализ связывания мю-опиоидного рецептора мозга крысы Самцов крыс Wistar (150-250 г, VAF, Charles River, Kingston, NY) умерщвляют путем смещения шейных позвонков, удаляют мозг и сразу помещают их в охлажденный на льду буфер Трис-HCl (50 мМ, pH 7,4). Передний мозг отделяют от остального мозга путем коронарного сечения, которое начинается с верхней части в области колликул и проходит к нижней части через соединение среднего мозга с варолиевым мостом. После отделения передний мозг гомогенизируют в буфере Трис в стеклянном гомогенизаторе с покрытием Teflon. Гомогенат разбавляют до получения концентрации переднего мозга 1 г на 80 мл Трис и центрифугируют при 39000×g 10 мин. Осадок повторно суспендируют в таком же объеме буфера Трис, содержащего 5 мМ MgCl2, с несколькими короткими импульсами в гомогенизаторе Poltron. Полученный дисперсный препарат используют для анализа связывания мю-опиоидного рецептора. После инкубации с мю-селективным пептидным лигандом 0,8 нМ [3H]DAMGO при 25°C в течение 2,5 часов в 96-луночном планшете в общем объеме 1 мл, содержимое планшета фильтруют через В-листы фильтра Wallac на харвестере Tomtec для 96-луночного планшета. Фильтры промывают три раза 2 мл 10 мМ HEPES (pH 7,4) и сушат в микроволновой печи 1:45 мин дважды. На каждый участок, содержащий образец, добавляют 2×40 мкл сцинтилляционной жидкости Betaplate Scint (LKB) и анализируют на жидкостном сцинтилляционном счётчике LKB (Wallac) 1205 BetaPlate. Полученные данные используют для расчета либо % ингибирования по сравнению с контрольным связыванием (если анализируется только одна концентрация тестируемого соединения), либо значения Ki (если анализируется ряд концентраций). % Ингибирования рассчитывается следующим образом: [(общее количество отсчетов в минуту – отсчеты в минуту тестируемого соединения)/(общее количество отсчетов в минуту – неспецифические отсчеты в минуту)]×100. Значения Kd и Ki рассчитывают с помощью программы анализа данных GraphPad PRISM. Биологическая активность, в том числе связывание с
Хотя в вышеприведенном описании объясняются принципы настоящего изобретения и предоставляются иллюстративные примеры, следует понимать, что реализация изобретения охватывает все обычные вариации, адаптации и/или модификации, входящие в объем нижеследующей формулы изобретения, а также их эквиваленты.
Формула изобретения
1. Соединение формулы (I)
где X означает – (CR15R16)m-, где m равно целому числу 1, и R15 и R16 означают водород; R1 выбран из группы, состоящей из
где А-В выбран из группы, состоящей из N-C, C-N, N-N и С-С; D-E выбран из группы, состоящей из О-С, S-C и O-N; R22 означает заместитель, присоединенный к кольцевому азоту и выбранный из группы, состоящей из водорода, С1-4алкила и арила; R23 означает от одного до двух заместителей, независимо выбранных из группы, состоящей из водорода, галогена, амино, арила, ариламино, гетероариламино, гидрокси, арилокси, гетероарилокси, аминокислотного остатка, такого как -C(O)-NH-CH(-R40)-C(O)-NH2, и С1-6алкила {где указанный алкил необязательно замещен заместителем, выбранным из группы, состоящей из гидрокси, гидроксикарбонила, С1-4алкоксикарбонила, аминокарбонила, амино, арила, (С1-4) алкиламинокарбонила, ди(С1-4)алкиламинокарбонила, гетероариламино, гетероарилокси, арил (С1-4)алкокси и гетероарила}; R40 выбран из группы, состоящей из водорода, С1-6алкила, С1-6алкилкарбонила, С1-6алкоксикарбонила, С1-6алкилкарбониламино, диС1-6алкилкарбониламино, арил (C1-6)алкила, гетероарил (C1-6)алкила, арила и гетероарила; R2 означает двухвалентный радикал
необязательно замещенный 1-3 заместителями, независимо выбранными из группы, состоящей из галогена, гидрокси, С1-6алкила, С1-6алкокси, нитро, амино, циано, трифторметила и арила; каждый из R3 и R4 независимо выбран из группы, состоящей из водорода, C1-6алкила, арила и гетероарила; при условии, что только один из R3 или R4 может означать С1-6алкил, арил или гетероарил; каждый из R5 и R6 независимо выбран из группы, состоящей из водорода, C1-6алкила, арила и гетероарила; при условии, что только один из R5 или R6 может означать С1-6алкил, арил или гетероарил; n и r означают целые числа от 0 до 2; L означает О; каждый из R7 и R8 независимо выбран из группы, состоящей из водорода и С1-6алкила; при условии, что только один из R7 или R8 может означать С1-6алкил; s равно целому числу от 0 до 3; R9 выбран из группы, состоящей из водорода и С1-6алкила; каждый из R10 и R11 независимо выбран из группы, состоящей из водорода и C1-6алкила; при условии, что только один из R10 или R11 может означать С1-6алкил; р равно целому числу от 0 до 3; каждый из R12 и R13 независимо выбран из группы, состоящей из водорода, С1-6алкила, формила, С1-6алкилкарбонила, С1-6алкоксикарбонила, С1-6алкилкарбониламино, диС1-6алкилкарбониламино, арил (C1-6)алкила, гетероарил (С1-6)алкила, арила и гетероарила, где, если R12 и R13 выбраны из С1-6алкила, R12 и R13 могут быть необязательно соединены с Ar; Ar выбран из группы, состоящей из фенила, нафтила и гетероарила, где указанный фенил замещен по меньшей мере одним и не более чем четырьмя заместителями Z, и указанный нафтил или гетероарил необязательно замещен 1-4 заместителями Z; Z означает от нуля до четырех заместителей, независимо выбранных из группы, состоящей из галогена, С1-6алкила, С1-6алкокси, нитро, циано, гидрокси, гетероарила, гетероциклила, -(CH2)qC(W)R17, -(CH2)qCOOR17, -(CH2)qC(W)NR17R18, -(CH2)qNR17R18, -(CH2)qNR19C(W)R17, -(CH2)qNR19SO2R17, -(CH2)qNR19C(W)NR17R18, -S(O)qR17, -(CH2)qSO2NRl7R18 и -(CH2)qNR19CWR17; где q равно целому числу от 0 до 2; W выбран из группы, состоящей из О, S и NR20; R17 выбран из группы, состоящей из водорода, С1-6алкила, гетероциклила (необязательно замещенного С1-4алкилом) и С3–8циклоалкила (где указанные С1-6алкил и С3-8циклоалкил необязательно замещены С1-4алкилом, причем указанные С1-6алкил, С3-8циклоалкил и их С1-4алкильные заместители могут быть также необязательно замещены заместителем, выбранным из группы, состоящей из гидрокси, меркапто, С1-4алкокси, гидроксикарбонила, С1-4алкоксикарбонила, аминокарбонила, С1-4алкиламинокарбонила, ди(С1-4)алкиламинокарбонила, амино, С1-4алкиламино, ди (С1-4)алкиламино, фенила и гетероарила); при условии, что, если R17 означает гетероциклил и содержит атом N, точкой присоединения указанного гетероциклильного кольца является атом углерода; каждый из R18, R19 и R20 независимо выбран из группы, состоящей из водорода, С1-6алкила и С3-8циклоалкила (где указанные С1-6алкил и С3-8циклоалкил необязательно замещены С1-4алкилом, причем указанные С1-6алкил, С3-8циклоалкил и их С1-4алкильные заместители могут быть также необязательно замещены заместителем, выбранным из группы, состоящей из гидрокси, меркапто, С1-4алкокси, гидроксикарбонила, С1-4алкоксикарбонила, аминокарбонила, С1-4алкиламинокарбонила, ди(С1-4)алкиламинокарбонила, амино, С1-4алкиламино, ди(С1-4)алкиламино, фенила и гетероарила); если R17 и R18 означают С1-6алкил, необязательно замещенный гидрокси, С1-4алкокси, амино или С1-4алкиламино, и присутствуют в одном заместителе, то R17 и R18 вместе могут необязательно образовывать 5-8-членное кольцо; кроме того, если R17 или R18 означают С1-6алкил, необязательно замещенный гидрокси, С1-4алкокси, амино или С1-4алкиламино, то R17 и R18 необязательно могут быть соединены с Ar; при условии, что, если r, s и р равны 0, n равно 0 или 1, L означает О и R3, R4, R9, R12 и R13 все означают водород, и Ar означает фенил с одним Z, заместитель Z не является 4-ОН; а также его фармацевтически приемлемые энантиомеры, диастереомеры и соли. 2. Соединение по п.1, где X означает – (CRl5R16)m-. 3. Соединение по п.1, где R1 означает а-1. 4. Соединение по п.1, где А-В выбран из группы, состоящей из N-C и O-N. 5. Соединение по п.1, где R23 означает фенил. 6. Соединение по п.1, где R2 означает b-1. 7. Соединение по п.1, где L означает О. 8. Соединение по п.1, где Ar означает фенил. 9. Соединение по п.1, где Z означает от одного до трех заместителей, независимо выбранных из группы, состоящей из гидрокси, С1-6алкила и -(CH2)qC(W)NR17R18, при условии, что, если r, s и р равны 0, n равно 0 или 1, L означает О и R3, R4, R9, R12 и R13 все означают водород, и Ar означает фенил с одним Z, заместитель Z не является 4-ОН. 10. Соединение по п.1, где W означает О. 11. Соединение по п.1, где R17 выбран из группы, состоящей из водорода, C1-6алкила и С1-6алкокси. 12. Соединение по п.1, где R18 выбран из группы, состоящей из водорода, С1-6алкила и С1-6алкокси. 13. Соединение по п.1, где R17 и R18 независимо выбраны из группы, состоящей из водорода, С1-6алкила и С1-6алкокси, где, если R17 и R18 присутствуют в одном заместителе, то R17 и R18 вместе могут необязательно образовывать 5-8-членное кольцо. 14. Соединение формулы (1а)
где R1 выбран из группы, состоящей из бензимидазола, бензоксазола, бензотиазола, индола, фенила,
где А-В выбран из группы, состоящей из N-C, C-N, N-N и С-С; D-E выбран из группы, состоящей из О-С, S-C и O-N; R22 означает заместитель, присоединенный к кольцевому азоту и выбранный из группы, состоящей из водорода, С1-4алкила и арила; R23 означает от одного до двух заместителей, независимо выбранных из группы, состоящей из водорода, галогена, амино, арила, ариламино, гетероариламино, гидрокси, арилокси, гетероарилокси, аминокислотного остатка, такого как -C(O)-NH-CH(-R40)-C(O)-NH2, и С1-6алкила {где указанный алкил необязательно замещен заместителем, выбранным из группы, состоящей из гидрокси, гидроксикарбонила, С1-4алкоксикарбонила, аминокарбонила, амино, арила, (С1-4)алкиламинокарбонила, ди(С1-4)алкиламинокарбонила, гетероариламино, гетероарилокси, арил (С1-4)алкокси и гетероарила}; R40 выбран из группы, состоящей из водорода, С1-6алкила, С1-6алкилкарбонила, С1-6алкоксикарбонила, С1-6алкилкарбониламино, диC1-6алкилкарбониламино, арил (С1-6)алкила, гетероарил (С1-6)алкила, арила и гетероарила; где, если R1 означает бензимидазол, указанный бензимидазол необязательно замещен одним или двумя заместителями, независимо выбранными из группы, состоящей из галогена, С1-4алкила, гидрокси, гидроксикарбонила и арила, при условии, что, если R1 означает бензимидазол, r, s и р равны 0, n равно 0 или 1, L означает 0 и R3, R4, R9, R12 и R13 все означают водород, Ar не является (4-ОН)фенилом или (4-ОН-2,6-диМе)фенилом; R9 выбран из группы, состоящей из водорода и С1-6алкила; R12 независимо выбран из группы, состоящей из водорода, С1-6алкила, формила, С1-6алкилкарбонила, С1-6алкоксикарбонила, С1-6алкилкарбониламино, диС1-6алкилкарбониламино, арил(С1-6)алкила, гетероарил(С1-6)алкила, арила и гетероарила, где, если R12 означает С1-6алкил, R12 может быть необязательно соединен с Ar; и Z означает от нуля до четырех заместителей, независимо выбранных из группы, состоящей из галогена, C1-6алкила, С1-6алкокси, нитро, циано, гидрокси, гетероарила, гетероциклила, -(CH2)qC(W)R17, -(CH2)qCOOR17, -(CH2)qC(W)NR17R18, -(CH2)qNR17R18, -(CH2)qNR19C(W)R17, -(CH2)qNR19SO2R17, -(CH2)qNR19C(W)NR17R18, -S(O)qR17, -(CH2)qSO2NR17R18 и -(CH2)qNR19CWR17; где q равно целому числу от 0 до 2; W выбран из группы, состоящей из О, S и NR20; R17 выбран из группы, состоящей из водорода, С1-6алкила, гетероциклила (необязательно замещенного С1-4алкилом) и С3-8циклоалкила (где указанные С1-6алкил и С3-8циклоалкил необязательно замещены С1-4алкилом, причем указанные С1-6алкил, С3-8циклоалкил и их С1-4алкильные заместители могут быть также необязательно замещены заместителем, выбранным из группы, состоящей из гидрокси, меркапто, С1-4алкокси, гидроксикарбонила, С1-4алкоксикарбонила, аминокарбонила, С1-4алкиламинокарбонила, ди(С1-4)алкиламинокарбонила, амино, С1-4алкиламино, ди(С1-4)алкиламино, фенила и гетероарила); при условии, что, если R17 означает гетероциклил и содержит атом N, точкой присоединения указанного гетероциклильного кольца является атом углерода; каждый из R18, R19 и R20 независимо выбран из группы, состоящей из водорода, С1-6алкила и С3-8циклоалкила (где указанные С1-6алкил и С3-8циклоалкил необязательно замещены С1-4алкилом, причем указанные С1-6алкил, С3-8циклоалкил и их С1-4алкильные заместители могут быть также необязательно замещены заместителем, выбранным из группы, состоящей из гидрокси, меркапто, С1-4алкокси, гидроксикарбонила, С1-4алкоксикарбонила, аминокарбонила, С1-4алкиламинокарбонила, ди(С1-4)алкиламинокарбонила, амино, С1-4алкиламино, ди(С1-4)алкиламино, фенила и гетероарила); если R17 и R18 означают С1-6алкил, необязательно замещенный гидрокси, С1-4алкокси, амино или С1-4алкиламино, и присутствуют в одном заместителе, то R17 и R18 вместе могут необязательно образовывать 5-8-членное кольцо; кроме того, если R17 или R18 означают С1-6алкил, необязательно замещенный гидрокси, С1-4алкокси, амино или С1-4алкиламино, то R17 и R18 необязательно могут быть соединены с Ar; при условии, что, если r, s и р равны 0, n равно 0 или 1, L означает О и R3, R4, R9, R12 и R13 все означают водород, и Ar означает фенил с одним Z, заместитель Z не является 4-ОН; а также его фармацевтически приемлемые энантиомеры, диастереомеры и соли. 15. Соединение по п.14, где R1 означает а-1. 16. Соединение по п.14, где R9 выбран из группы, состоящей из водорода и метила. 17. Соединение по п.14, где R12 выбран из группы, состоящей из водорода и метила. 18. Соединение по п.14, где Z означает от одного до трех заместителей, независимо выбранных из группы, состоящей из гидрокси, С1-6алкила и -(CH2)qC(W)NR17R18, при условии, что, если r, s и р равны 0, n равно 0 или 1, L означает О и R3, R4, R9, R12 и R13 все означают водород, и Ar означает фенил с одним Z, заместитель Z не является 4-ОН. 19. Соединение формулы (1а)
где R1, Z, R9 и R12 выбраны из
а также его фармацевтически приемлемые энантиомеры, диастереомеры и соли. 20. Соединение формулы (lb)
где R1 выбран из группы, состоящей из бензимидазола, бензоксазола, бензотиазола, индола, фенила,
где А-В выбран из группы, состоящей из N-C, C-N, N-N и С-С; D-E выбран из группы, состоящей из О-С, S-C и O-N; R22 означает заместитель, присоединенный к кольцевому азоту и выбранный из группы, состоящей из водорода, С1-4алкила и арила; R23 означает от одного до двух заместителей, независимо выбранных из группы, состоящей из водорода, галогена, амино, арила, ариламино, гетероариламино, гидрокси, арилокси, гетероарилокси, аминокислотного остатка, такого как -C(O)-NH-CH(-R40)-C(O)-NH2, и С1-6алкила {где указанный алкил необязательно замещен заместителем, выбранным из группы, состоящей из гидрокси, гидроксикарбонила, С1-4алкоксикарбонила, аминокарбонила, амино, арила, (С1-4)алкиламинокарбонила, ди(С1-4)алкиламинокарбонила, гетероариламино, гетероарилокси, арил (C1-4)алкокси и гетероарила}; R40 выбран из группы, состоящей из водорода, С1-6алкила, С1-6алкилкарбонила, С1-6алкоксикарбонила, С1-6алкилкарбониламино, диС1-6алкилкарбониламино, арил(С1-6)алкила, гетероарил(С1-6)алкила, арила и гетероарила; где, если R1 означает бензимидазол, указанный бензимидазол необязательно замещен одним или двумя заместителями, независимо выбранными из группы, состоящей из галогена, С1-4алкила, гидрокси, гидроксикарбонила и арила, при условии, что, если R1 означает бензимидазол, r, s и р равны 0, n равно 0 или 1, L означает О и R3, R4, R9, R12 и R13 все означают водород, Ar не является (4-ОН)фенилом или (4-ОН-2,6-диМе)фенилом; R9 выбран из группы, состоящей из водорода и С1-6алкила; R12 независимо выбран из группы, состоящей из водорода, С1-6алкила, формила, C1-6алкилкарбонила, С1-6алкоксикарбонила, C1-6алкилкарбониламино, диС1-6алкилкарбониламино, арил(С1-6)алкила, гетероарил(С1-6)алкила, арила и гетероарила, где, если R12 означает C1-6алкил, R12 может быть необязательно соединен с Ar; и Z означает от нуля до четырех заместителей, независимо выбранных из группы, состоящей из галогена, С1-6алкила, С1-6балкокси, нитро, циано, гидрокси, гетероарила, гетероциклила, -(CH2)qC(W)R17, -(CH2)qCOOR17, -(CH2)qC(W)NR17R18, -(CH2)qNR17R18, -(CH2)qNR19C(W)R17, -(CH2)qNR19SO2R17, -(CH2)qNR19C(W)NR17R18, -S(O)qR17, -(CH2)qSO2NR17R18 и -(CH2)qNR19CWR17; где q равно целому числу от 0 до 2; W выбран из группы, состоящей из О, S и NR20; R17 выбран из группы, состоящей из водорода, С1-6алкила, гетероциклила (необязательно замещенного С1-4алкилом) и С3-8циклоалкила (где указанные С1-6алкил и С3-8циклоалкил необязательно замещены С1-4алкилом, причем указанные С1-6алкил, С3-8циклоалкил и их С1-4алкильные заместители могут быть также необязательно замещены заместителем, выбранным из группы, состоящей из гидрокси, меркапто, С1-4алкокси, гидроксикарбонила, С1-4алкоксикарбонила, аминокарбонила, C1-4алкиламинокарбонила, ди(С1-4)алкиламинокарбонила, амино, С1-4алкиламино, ди(С1-4)алкиламино, фенила и гетероарила); при условии, что, если R17 означает гетероциклил и содержит атом N, точкой присоединения указанного гетероциклильного кольца является атом углерода; каждый из R18, R19 и R20 независимо выбран из группы, состоящей из водорода, С1-6алкила и С3-8циклоалкила (где указанные С1-6алкил и С3-8циклоалкил необязательно замещены С1-4алкилом, причем указанные C1-6алкил, С3-8циклоалкил и их С1-4алкильные заместители могут быть также необязательно замещены заместителем, выбранным из группы, состоящей из гидрокси, меркапто, С1-4алкокси, гидроксикарбонила, С1-4алкоксикарбонила, аминокарбонила, С1-4алкиламинокарбонила, ди(С1-4)алкиламинокарбонила, амино, С1-4алкиламино, ди(С1-4)алкиламино, фенила и гетероарила); если R17 и R18 означают С1-6алкил, необязательно замещенный гидрокси, С1-4алкокси, амино или С1-4алкиламино, и присутствуют в одном заместителе, то R17 и R18 вместе могут необязательно образовывать 5-8-членное кольцо; кроме того, если R17 или R18 означают С1-6алкил, необязательно замещенный гидрокси, С1-4алкокси, амино или С1-4алкиламино, то R17 и R18 необязательно могут быть соединены с Ar; при условии, что, если r, s и р равны 0, n равно 0 или 1, L означает О и R3, R4, R9, R12 и R13 все означают водород, и Ar означает фенил с одним Z, заместитель Z не является 4-ОН; а также его фармацевтически приемлемые энантиомеры, диастереомеры и соли. 21. Соединение по п.20, где R1 означает а-1. 22. Соединение по п.20, где R9 выбран из группы, состоящей из водорода и метила. 23. Соединение по п.20, где R12 выбран из группы, состоящей из водорода и метила. 24. Соединение по п.20, где Z означает от одного до трех заместителей, независимо выбранных из группы, состоящей из гидрокси, С1-6алкила и -(CH2)qC(W)NR17R18, при условии, что, если r, s и р равны 0, n равно 0 или 1, L означает О и R3, R4, R9, R12 и R13 все означают водород, и Ar означает фенил с одним Z, заместитель Z не является 4-ОН. 25. Соединение формулы (Ib)
где R1, Z, R9 и R12 выбраны из:
а также его фармацевтически приемлемые энантиомеры, диастереомеры и соли. 26. Соединение формулы (Ic)
где R1 выбран из группы, состоящей из бензимидазола, бензоксазола, бензотиазола, индола, фенила,
где А-В выбран из группы, состоящей из N-C, C-N, N-N и С-С; D-E выбран из группы, состоящей из О-С, S-C и O-N; R22 означает заместитель, присоединенный к кольцевому азоту и выбранный из группы, состоящей из водорода, С1-4алкила и арила; R23 означает от одного до двух заместителей, независимо выбранных из группы, состоящей из водорода, галогена, амино, арила, ариламино, гетероариламино, гидрокси, арилокси, гетероарилокси, аминокислотного остатка, такого как -C(O)-NH-CH(-R40)-C(O)-NH2, и С1-6алкила {где указанный алкил необязательно замещен заместителем, выбранным из группы, состоящей из гидрокси, гидроксикарбонила, C1-4алкоксикарбонила, аминокарбонила, амино, арила, (С1-4)алкиламинокарбонила, ди(C1-4)алкиламинокарбонила, гетероариламино, гетероарилокси, арил (С1-4)алкокси и гетероарила}; R40 выбран из группы, состоящей из водорода, С1-6алкила, С1-6алкилкарбонила, С1-6алкоксикарбонила, С1-6алкилкарбониламино, диС1-6алкилкарбониламино, арил(С1-6)алкила, гетероарил(С1-6)алкила, арила и гетероарила; где, если R1 означает бензимидазол, указанный бензимидазол необязательно замещен одним или двумя заместителями, независимо выбранными из группы, состоящей из галогена, С1-4алкила, гидрокси, гидроксикарбонила и арила, при условии, что, если R1 означает бензимидазол, r, s и р равны 0, n равно 0 или 1, L означает О и R3, R4, R9, R12 и R13 все означают водород, Ar не является (4-ОН)фенилом или (4-ОН-2,6-диМе)фенилом; каждый из R12 и R13 независимо выбран из группы, состоящей из водорода, C1-6алкила, формила, С1-6алкилкарбонила, С1-6алкоксикарбонила, С1-6алкилкарбониламино, диС1-6алкилкарбониламино, арил(С1-6)алкила, гетероарил(С1-6)алкила, арила и гетероарила, где, если R12 и R13 выбраны из С1-6алкила, R12 и R13 могут быть необязательно соединены с Ar; Ar выбран из группы, состоящей из фенила, нафтила и гетероарила, где указанный фенил замещен по меньшей мере одним и не более чем четырьмя заместителями Z, и указанный нафтил или гетероарил необязательно замещен 1-4 заместителями Z; Z означает от нуля до четырех заместителей, независимо выбранных из группы, состоящей из галогена, С1-6алкила, С1-6алкокси, нитро, циано, гидрокси, гетероарила, гетероциклила, -(CH2)qC(W)R17, -(CH2)qCOOR17, -(CH2)qC(W)NR17R18, -(CH2)qNR17R18, -(CH2)qNR19C(W)R17, -(CH2)qNR19SO2R17, -(CH2)qNR19C(W)NR17R18, -S(O)qR17, -(CH2)qSO2NR17R18 и -(CH2)qNR19CWR17; где q равно целому числу от 0 до 2; W выбран из группы, состоящей из О, S и NR20; R17 выбран из группы, состоящей из водорода, С1-6алкила, гетероциклила (необязательно замещенного С1-4алкилом) и С3-8циклоалкила (где указанные С1-6алкил и С3-8циклоалкил необязательно замещены С1-4алкилом, причем указанные С1-6алкил, С3-8циклоалкил и их С1-4алкильные заместители могут быть также необязательно замещены заместителем, выбранным из группы, состоящей из гидрокси, меркапто, С1-4алкокси, гидроксикарбонила, С1-4алкоксикарбонила, аминокарбонила, С1-4алкиламинокарбонила, ди(С1-4)алкиламинокарбонила, амино, С1-4алкиламино, ди(С1-4)алкиламино, фенила и гетероарила); при условии, что, если R17 означает гетероциклил и содержит атом N, точкой присоединения указанного гетероциклильного кольца является атом углерода; каждый из R18, R19 и R20 независимо выбран из группы, состоящей из водорода, C1-6алкила и С3-8циклоалкила (где указанные С1-6алкил и С3-8циклоалкил необязательно замещены С1-4алкилом, причем указанные С1-6алкил, С3-8циклоалкил и их С1-4алкильные заместители могут быть также необязательно замещены заместителем, выбранным из группы, состоящей из гидрокси, меркапто, С1-4алкокси, гидроксикарбонила, С1-4алкоксикарбонила, аминокарбонила, С1-4алкиламинокарбонила, ди(С1-4)алкиламинокарбонила, амино, С1-4алкиламино, ди(С1-4)алкиламино, фенила и гетероарила); если R17 и R18 означают С1-6алкил, необязательно замещенный гидрокси, С1-4алкокси, амино или С1-4алкиламино, и присутствуют в одном заместителе, то R17 и R18 вместе могут необязательно образовывать 5-8-членное кольцо; кроме того, если R17 или R18 означают С1-6алкил, необязательно замещенный гидрокси, С1-4алкокси, амино или С1-4алкиламино, то R17 и R18 необязательно могут быть соединены с Ar; при условии, что, если r, s и р равны 0, n равно 0 или 1, L означает О и R3, R4, R9, R12 и R13 все означают водород, и Ar означает фенил с одним Z, заместитель Z не является 4-ОН; а также его фармацевтически приемлемые энантиомеры, диастереомеры и соли. 27. Соединение формулы (Id)
где R1 выбран из группы, состоящей из бензимидазола, бензоксазола, бензотиазола, индола, фенила,
где А-В выбран из группы, состоящей из N-C, C-N, N-N и С-С; D-E выбран из группы, состоящей из О-С, S-C и O-N; R22 означает заместитель, присоединенный к кольцевому азоту и выбранный из группы, состоящей из водорода, С1-4алкила и арила; R23 означает от одного до двух заместителей, независимо выбранных из группы, состоящей из водорода, галогена, амино, арила, ариламино, гетероариламино, гидрокси, арилокси, гетероарилокси, аминокислотного остатка, такого как -C(O)-NH-CH(-R40)-C(O)-NH2, и С1-6алкила {где указанный алкил необязательно замещен заместителем, выбранным из группы, состоящей из гидрокси, гидроксикарбонила, С1-4алкоксикарбонила, аминокарбонила, амино, арила, (С1-4) алкиламинокарбонила, ди(С1-4)алкиламинокарбонила, гетероариламино, гетероарилокси, арил (С1-4)алкокси и гетероарила}; R40 выбран из группы, состоящей из водорода, С1-6алкила, C1-6алкилкарбонила, C1-6алкоксикарбонила, С1-6алкилкарбониламино, диС1-6алкилкарбониламино, арил(С1-6)алкила, гетероарил(С1-6)алкила, арила и гетероарила; где, если R1 означает бензимидазол, указанный бензимидазол необязательно замещен одним или двумя заместителями, независимо выбранными из группы, состоящей из галогена, С1-4алкила, гидрокси, гидроксикарбонила и арила, при условии, что, если R1 означает бензимидазол, r, s и р равны 0, n равно 0 или 1, L означает О и R3, R4, R9, R12 и R13 все означают водород, Ar не является (4-ОН)фенилом или (4-ОН-2,6-диМе)фенилом; каждый из R12 и R13 независимо выбран из группы, состоящей из водорода, C1-6алкила, формила, С1-6алкилкарбонила, С1-6алкоксикарбонила, С1-6алкилкарбонилмино, диС1-6алкилкарбониламино, арил (С1-6)алкила, гетероарил(С1-6)алкила, арила и гетероарила, где, если R12 и R13 выбраны из С1-6алкила, R12 и R13 могут быть необязательно соединены с Ar; Ar выбран из группы, состоящей из фенила, нафтила и гетероарила, где указанный фенил замещен по меньшей мере одним и не более чем четырьмя заместителями Z, и указанный нафтил или гетероарил необязательно замещен 1-4 заместителями Z; Z означает от нуля до четырех заместителей, независимо выбранных из группы, состоящей из галогена, С1-6алкила, С1-6алкокси, нитро, циано, гидрокси, гетероарила, гетероциклила, -(CH2)qC(W)R17, -(CH2)qCOOR17, -(CH2)qC(W)NR17R18, -(CH2)qNR17R18, -(CH2)qNR19C(W)R17, -(CH2)qNR19SO2R17, -(CH2)qNR19C(W)NR17R18, -S(O)qR17, -(CH2)qSO2NR17R18 и -(CH2)qNR19CWR17; где q равно целому числу от 0 до 2; W выбран из группы, состоящей из О, S и NR20; R17 выбран из группы, состоящей из водорода, С1-6алкила, гетероциклила (необязательно замещенного С1-4алкилом) и С3-8циклоалкила (где указанные С1-6алкил и С3-8диклоалкил необязательно замещены С1-4алкилом, причем указанные С1-6алкил, С3-8циклоалкил и их С1-4алкильные заместители могут быть также необязательно замещены заместителем, выбранным из группы, состоящей из гидрокси, меркапто, С1-4алкокси, гидроксикарбонила, С1-4алкоксикарбонила, аминокарбонила, С1-4алкиламинокарбонила, ди(С1-4)алкиламинокарбонила, амино, С1-4алкиламино, ди(С1-4)алкиламино, фенила и гетероарила); при условии, что, если R17 означает гетероциклил и содержит атом N, точкой присоединения указанного гетероциклильного кольца является атом углерода; каждый из R18, R19 и R20 независимо выбран из группы, состоящей из водорода, C1-6алкила и С3-8циклоалкила (где указанные С1-6алкил и С3-8циклоалкил необязательно замещены С1-4алкилом, причем указанные С1-6алкил, С3-8циклоалкил и их С1-4алкильные заместители могут быть также необязательно замещены заместителем, выбранным из группы, состоящей из гидрокси, меркапто, С1-4алкокси, гидроксикарбонила, С1-4алкоксикарбонила, аминокарбонила, С1-4алкиламинокарбонила, ди(С1-4алкиламинокарбонила, амино, С1-4алкиламино, ди(С1-4)алкиламино, фенила и гетероарила); если R17 и R18 означают С1-6алкил, необязательно замещенный гидрокси, С1-4алкокси, амино или С1-4алкиламино, и присутствуют в одном заместителе, то R17 и R18 вместе могут необязательно образовывать 5-8-членное кольцо; кроме того, если R17 или R18 означают С1-6алкил, необязательно замещенный гидрокси, С1-4алкокси, амино или С1-4алкиламино, то R17 и R18 необязательно могут быть соединены с Ar; при условии, что, если r, s и р равны 0, n равно 0 или 1, L означает О и R3, R4, R9, R12 и R13 все означают водород, и Ar означает фенил с одним Z, заместитель Z не является 4-ОН; а также его фармацевтически приемлемые энантиомеры, диастереомеры и соли. 28. Соединение по п.27, где R1 означает а-1. 29. Соединение по п.27, где R9 выбран из группы, состоящей из водорода и метила. 30. Соединение по п.27, где R12 выбран из группы, состоящей из водорода и метила. 31. Соединение по п.27, где Z означает от одного до трех заместителей, независимо выбранных из группы, состоящей из гидрокси, С1-6алкила и -(CH2)qC(W)NR17R18, при условии, что, если r, s и р равны 0, n равно 0 или 1, L означает О и R3, R4, R9, R12 и R13 все означают водород, и Ar означает фенил с одним Z, заместитель Z не является 4-ОН. 32. Соединение формулы (Ie)
где R1 выбран из группы, состоящей из бензимидазола, бензоксазола, бензотиазола, индола, фенила,
где А-В выбран из группы, состоящей из N-C, C-N, N-N и С-С; D-E выбран из группы, состоящей из О-С, S-C и O-N; R22 означает заместитель, присоединенный к кольцевому азоту и выбранный из группы, состоящей из водорода, С1-4алкила и арила; R23 означает от одного до двух заместителей, независимо выбранных из группы, состоящей из водорода, галогена, амино, арила, ариламино, гетероариламино, гидрокси, арилокси, гетероарилокси, аминокислотного остатка, такого как -C(O)-NH-CH(-R40)-C(O)-NH2, и С1-6алкила {где указанный алкил необязательно замещен заместителем, выбранным из группы, состоящей из гидрокси, гидроксикарбонила, С1-4алкоксикарбонила, аминокарбонила, амино, арила, (С1-4)алкиламинокарбонила, ди(С1-4)алкиламинокарбонила, гетероариламино, гетероарилокси, арил (С1-4)алкокси и гетероарила}; R40 выбран из группы, состоящей из водорода, С1-6алкила, С1-6алкилкарбонила, С1-6алкоксикарбонила, C1-6алкилкарбониламино, диС1-6алкилкарбониламино, арил(С1-6)алкила, гетероарил(С1-6)алкила, арила и гетероарила; где, если R1 означает бензимидазол, указанный бензимидазол необязательно замещен одним или двумя заместителями, независимо выбранными из группы, состоящей из галогена, С1-4алкила, гидрокси, гидроксикарбонила и арила, при условии, что, если R1 означает бензимидазол, r, s и р равны 0, n равно 0 или 1, L означает О и R3, R4, R9, R12 и R13 все означают водород, Ar не является (4-ОН)фенилом или (4-ОН-2,6-диМе)фенилом; каждый из R12 и R13 независимо выбран из группы, состоящей из водорода, С1-6алкила, формила, C1-6алкилкарбонила, С1-6алкоксикарбонила, С1-6алкилкарбониламино, диС1-6алкилкарбониламино, арил(С1-6)алкила, гетероарил(С1-6)алкила, арила и гетероарила, где, если R12 и R13 выбраны из С1-6алкила, R12 и R13 могут быть необязательно соединены с Ar; Ar выбран из группы, состоящей из фенила, нафтила и гетероарила, где указанный фенил замещен по меньшей мере одним и не более чем четырьмя заместителями Z, и указанный нафтил или гетероарил необязательно замещен 1-4 заместителями Z; Z означает от нуля до четырех заместителей, независимо выбранных из группы, состоящей из галогена, С1-6алкила, С1-6алкокси, нитро, циано, гидрокси, гетероарила, гетероциклила, -(CH2)qC(W)R17, -(CH2)qCOOR17, -(CH2)qC(W)NR17R18, -(CH2)qNR17R18, -(CH2)qNRl9C(W)R17, -(CH2)qNR19SO2R17, -(CH2)qNR19C(W)NR17R18, -S(O)qR17, -(CH2)qSO2NR17R18 и -(CH2)qNR19CWR17; где q равно целому числу от 0 до 2; W выбран из группы, состоящей из О, S и NR20; R17 выбран из группы, состоящей из водорода, С1-6алкила, гетероциклила (необязательно замещенного С1-4алкилом) и С3-8циклоалкила (где указанные С1-6алкил и С3-8циклоалкил необязательно замещены C1-4алкилом, причем указанные С1-6алкил, С3-8циклоалкил и их С1-4алкильные заместители могут быть также необязательно замещены заместителем, выбранным из группы, состоящей из гидрокси, меркапто, С1-4алкокси, гидроксикарбонила, С1-4алкоксикарбонила, аминокарбонила, С1-4алкиламинокарбонила, ди(С1-4)алкиламинокарбонила, амино, С1-4алкиламино, ди(С1-4)алкиламино, фенила и гетероарила); при условии, что, если R17 означает гетероциклил и содержит атом N, точкой присоединения указанного гетероциклильного кольца является атом углерода; каждый из R18, R19 и R20 независимо выбран из группы, состоящей из водорода, С1-6алкила и С3-8циклоалкила (где указанные С1-6алкил и С3-8циклоалкил необязательно замещены С1-4алкилом, причем указанные C1-6алкил, С3-8циклоалкил и их С1-4алкильные заместители могут быть также необязательно замещены заместителем, выбранным из группы, состоящей из гидрокси, меркапто, С1-4алкокси, гидроксикарбонила, С1-4алкоксикарбонила, аминокарбонила, С1-4алкиламинокарбонила, ди(С1-4)алкиламинокарбонила, амино, С1-4алкиламино, ди(С1-4)алкиламино, фенила и гетероарила); если R17 и R18 означают С1-6алкил, необязательно замещенный гидрокси, С1-4алкокси, амино или С1-4алкиламино, и присутствуют в одном заместителе, то R17 и R18 вместе могут необязательно образовывать 5-8-членное кольцо; кроме того, если R17 или R18 означают С1-6алкил, необязательно замещенный гидрокси, С1-4алкокси, амино или С1-4алкиламино, то R17 и R18 необязательно могут быть соединены с Ar; при условии, что, если r, s и р равны 0, n равно 0 или 1, L означает О и R3, R4, R9, R12 и R13 все означают водород, и Ar означает фенил с одним Z, заместитель Z не является 4-ОН; а также его фармацевтически приемлемые энантиомеры, диастереомеры и соли. 33. Соединение по п.32, где R1 означает а-1. 34. Соединение по п.32, где R9 выбран из группы, состоящей из водорода и метила. 35. Соединение по п.32, где R12 выбран из группы, состоящей из водорода и метила. 36. Соединение по п.32, где Z означает от одного до трех заместителей, независимо выбранных из группы, состоящей из гидрокси, С1-6алкила и -(CH2)qC(W)NR17R18, при условии, что, если r, s и р равны 0, n равно 0 или 1, L означает О и R3, R4, R9, R12 и R13 все означают водород, и Ar означает фенил с одним Z, заместитель Z не является 4-ОН. 37. Способ получения фармацевтической композиции, включающий смешивание соединения по п.1 и фармацевтически приемлемого носителя. 38. Применение соединения формулы (I)
где X означает – (CR15R16)m-, где m равно целому числу 1, и R15 и R16 означают водород; R1 выбран из группы, состоящей из
где А-В выбран из группы, состоящей из N-C, C-N, N-N и С-С; D-E выбран из группы, состоящей из О-С, S-C и O-N; R22 означает заместитель, присоединенный к кольцевому азоту и выбранный из группы, состоящей из водорода, С1-4алкила и арила; R23 означает от одного до двух заместителей, независимо выбранных из группы, состоящей из водорода, галогена, амино, арила, ариламино, гетероариламино, гидрокси, арилокси, гетероарилокси, аминокислотного остатка, такого как -C(O)-NH-CH(-R40)-C(O)-NH2, и С1-6алкила {где указанный алкил необязательно замещен заместителем, выбранным из группы, состоящей из гидрокси, гидроксикарбонила, С1-4алкоксикарбонила, аминокарбонила, амино, арила, (С1-4)алкиламинокарбонила, ди(С1-4)алкиламинокарбонила, гетероариламино, гетероарилокси, арил(С1-4)алкокси и гетероарила}; R40 выбран из группы, состоящей из водорода, С1-6алкила, C1-6алкилкарбонила, С1-6алкоксикарбонила, С1-6алкилкарбониламино, диС1-6алкилкарбониламино, арил(С1-6)алкила, гетероарил(С1-6)алкила, арила и гетероарила; R2 означает двухвалентный радикал
необязательно замещенный 1-3 заместителями, независимо выбранными из группы, состоящей из галогена, гидрокси, С1-6алкила, С1-6алкокси, нитро, амино, циано, трифторметила и арила; каждый из R3 и R4 независимо выбран из группы, состоящей из водорода, C1-6алкила, арила и гетероарила; при условии, что только один из R3 или R4 может означать С1-6алкил, арил или гетероарил; каждый из R5 и R6 независимо выбран из группы, состоящей из водорода, С1-6алкила, арила и гетероарила; при условии, что только один из R5 или R6 может означать C1-6алкил, арил или гетероарил; n и r означают целые числа от 0 до 2; L означает О; каждый из R7 и R8 независимо выбран из группы, состоящей из водорода и С1-6алкила; при условии, что только один из R7 или R8 может означать С1-6алкил; s равно целому числу от 0 до 3; R9 выбран из группы, состоящей из водорода и C1-6алкила; каждый из R10 и R11 независимо выбран из группы, состоящей из водорода и С1-6алкила; при условии, что только один из R10 или R11 может означать С1-6алкил; р равно целому числу от 0 до 3; каждый из R12 и R13 независимо выбран из группы, состоящей из водорода, С1-6алкила, формила, С1-6алкилкарбонила, С1-6алкоксикарбонила, C1-6алкилкарбониламино, диС1-6алкилкарбониламино, арил(С1-6)алкила, гетероарил(С1-6)алкила, арила и гетероарила, где, если R12 и R13 выбраны из C1-6алкила, могут быть необязательно соединены с Ar; Ar выбран из группы, состоящей из фенила, нафтила и гетероарила, где указанный фенил замещен по меньшей мере одним и не более чем четырьмя заместителями Z, и указанный нафтил или гетероарил необязательно замещен 1-4 заместителями Z; Z означает от нуля до четырех заместителей, независимо выбранных из группы, состоящей из галогена, С1-6алкила, С1-6алкокси, нитро, циано, гидрокси, гетероарила, гетероциклила, -(CH2)qC(W)R17, -(CH2)qCOOR17, -(CH2)qC(W)NR17R18, -(CH2)qNR17R18, -(CH2)qNR19C(W)R17, -(CH2)qNR19SO2R17, -(CH2)qNR19C(W)NR17R18, -S(O)qR17, -(CH2)qSO2NR17R18 и -(CH2)qNR19CWR17; где q равно целому числу от 0 до 2; W выбран из группы, состоящей из О, S и NR20; R17 выбран из группы, состоящей из водорода, С1-6алкила, гетероциклила (необязательно замещенного С1-4алкилом) и С3-8циклоалкила (где указанные С1-6алкил и С3-8циклоалкил необязательно замещены С1-4алкилом), причем указанные С1-6алкил, С3-8циклоалкил и их С1-4алкильные заместители могут быть также необязательно замещены заместителем, выбранным из группы, состоящей из гидрокси, меркапто, С1-4алкокси, гидроксикарбонила, С1-4алкоксикарбонила, аминокарбонила, С1-4алкиламинокарбонила, ди(С1-4)алкиламинокарбонила, амино, C1-4алкиламино, ди(С1-4)алкиламино, фенила и гетероарила); при условии, что, если R17 означает гетероциклил и содержит атом N, точкой присоединения указанного гетероциклильного кольца является атом углерода; каждый из R18, R19 и R20 независимо выбран из группы, состоящей из водорода, С1-6алкила и С3-8циклоалкила (где указанные С1-6алкил и С3-8циклоалкил необязательно замещены С1-4алкилом, причем указанные C1-6алкил, С3-8циклоалкил и их С1-4алкильные заместители могут быть также необязательно замещены заместителем, выбранным из группы, состоящей из гидрокси, меркапто, С1-4алкокси, гидроксикарбонила, С1-4алкоксикарбонила, аминокарбонила, С1-4алкиламинокарбонила, ди(С1-4)алкиламинокарбонила, амино, С1-4алкиламино, ди(С1-4)алкиламино, фенила и гетероарила); если R17 и R18 означают C1-6алкил, необязательно замещенный гидрокси, С1-4алкокси, амино или С1-44алкиламино, и присутствуют в одном заместителе, то R17 и R18 вместе могут необязательно образовывать 5-8-членное кольцо; кроме того, если R17 или R18 означают С1-6алкил, необязательно замещенный гидрокси, С1-4алкокси, амино или С1-4алкиламино, то R17 и R18 необязательно могут быть соединены с Ar; при условии, что, если r, s и р равны 0, n равно 0 или 1, L означает О и R3, R4, R9, R12 и R13 все означают водород, и Ar означает фенил с одним Z, заместитель Z не является 4-ОН; а также его фармацевтически приемлемых энантиомеров, диастереомеров и солей для приготовления лекарственного средства для лечения нарушения, модулируемого опиоидным рецептором. 39. Применение по п.38, где нарушением, модулируемым опиоидным рецептором, является боль. 40. Применение по п.38, где нарушением, модулируемым опиоидным рецептором, является желудочно-кишечное нарушение. 41. Соединение формулы (II)
где каждый из М1 и М2 независимо выбран из группы, состоящей из гидрокси, С1-6алкила, С1-6алкокси, амино, С1-6алкиламино, ди(С1-6)алкиламино и -NR37R38; где R37 и R38 независимо выбраны из группы, состоящей из С1-6алкила, необязательно замещенного гидрокси, С1-4алкокси, амино, С1-4алкиламино, меркапто, С1-4алкилмеркапто; если R37 и R38 присутствуют в одном заместителе, R37 и R38 необязательно могут вместе образовывать 5-8-членное кольцо; Y выбран из группы, состоящей из СН и одного или двух атомов азота, замещающих одну или две группы СН фенильного кольца; R30 и R31 независимо выбраны из группы, состоящей из С1-6алкила, С1-6алкокси, С1-6алкокси, необязательно замещенной гидрокси и амино, и галогена; R32 и R33 независимо выбраны из группы, состоящей из водорода и С1-6алкила; k равно целому числу от 0 до 2; R34 выбран из группы, состоящей из водорода и С1-6алкила; и R35 и R36 независимо выбраны из группы, состоящей из водорода, С1-6алкила, -C(O)OR37 и фенила, при этом R35 и R36 одновременно не могут быть водородом; где R37 выбран из группы, состоящей из С1-6алкила; и R38 выбран из группы, состоящей из С1-6алкила, арила и гетероарила; а также его фармацевтически приемлемые энантиомеры, диастереомеры и соли.
|
|||||||||||||||||||||||||||||||||||||||||||||||||||||||||||||||||||||||||||||||||||||||||||||||||||||||||||||||||||||||||||||||||||||||||||||||||||||||||||||||||||||||||||||||||||||||||||||||||||||||||||||||||||||||||||||||||||||||||||||||||||||||||||||||||||||||||||||||||||||||||||||||||||||||||||||||||||||||||||||||||||||||||||||||||||||||||||||||||||||||||||||||||||||||||||||||||||||||||||||||||||||||||||||||||||||||||||||||||||||||||||||||||||||||||||||||||||||||||||||||||||||||||||||||||||||||||||||||||||||||||||||||||||||||||||||||||||||||||||||||||||||||||||||||||||||||||||||||||||||||||||||||||||||||||||||||||||||||||||||||||||||||||||||||||||||||||||||||||||||||||||||||||||||||||||||||||||||||||||||||||||||||||||||||||||||||||||||||||||||||||||||||||||||||||||||||||||||||||||||||||||||||||||||||||||||||||||||||||||||||||||||||||||||||||||||||||||||||||||||||||||||||||||||||||||||||||||||||||||||||||||||||||||||||||||||||||||||||||||||||||||||||||||||||||||||||||||||||||||||||



































-дикетон формулы B-1. Данное превращение можно осуществить с помощью последовательности реакций, которая описана для субстратов аминокислотного типа в Tetrahedron 1992, 48, 8007-8022.





















1,48 [(9H, с) перекрывается с 2H, м], 1,73 (2H, дт, J=13,4, 2,7Гц), 1,94 (1H, м), 2,38 (1H, д, J=13,4Гц), 3,04 (1H, шир.т), 4,11 (1H, шир.с) 5,65 (1H, шир.д), 7,44-7,56 (3H, м), 8,09 (2H, дд, J=7,4, 2,8Гц); МС (ES+) (относительная интенсивность): 274 (100) (M-tBu), 681 (85) (2M+Na).












































-опиоидным рецептором (Ki), измеренная для некоторых соединений настоящего изобретения, приведена ниже в таблице 1, измерения проводили в одной серии экспериментов с помощью описанных выше методов.
, 
,
и 










и 





















,