Патент на изобретение №2331987
|
|||||||||||||||||||||||||||||||||||||||||||||
(54) СПОСОБ АДАПТИВНОЙ КОРРЕКЦИИ ПАРАМЕТРОВ ПЕРЕДАЧИ СООБЩЕНИЙ
(57) Реферат:
Способ адаптивной коррекции параметров передачи сообщений относится к области техники связи и может быть использован для передачи дискретной информации, защищенной помехоустойчивым кодом в нестационарных каналах связи низкого качества. Технический результат – повышение пропускной способности канала связи. Для этого на передающей стороне канала связи исходное сообщение сначала кодируют помехоустойчивым кодом, который затем с определенной скоростью передают в канал связи. На приемной стороне помехоустойчивый код декодируют и по результатам декодирования оценивают качество канала связи, а затем принимают решение об изменении параметров помехоустойчивого кода. При этом на приемной стороне канала связи при декодировании помехоустойчивого кода определяют суммарное количество ошибок в помехоустойчивых кодах в скользящем окне приема длины m помехоустойчивых кодов и при превышении величины этого суммарного количества ошибок первого порогового значения скорость манипуляции в канале связи уменьшают, при величине суммарного количества ошибок меньше первого порогового значения, но больше второго порогового значения, скорость манипуляции в канале связи оставляют без изменения, но изменяют избыточность помехоустойчивого кода, при величине суммарного количества ошибок меньше второго порогового значения скорость манипуляции в канале связи увеличивают. 2 з.п. ф-лы, 1 табл.
Изобретение относится к области техники связи и может быть использовано для передачи дискретной информации, защищенной помехоустойчивым кодом, в нестационарных каналах связи низкого качества. Большинство реальных каналов связи, например радиоканалов, являются нестационарными каналами, состояние которых изменяется со временем. Требуемая вероятность доставки сообщений в таких каналах обеспечивается за счет адаптивной коррекции параметров передачи в зависимости от качества канала. В современных системах связи для передачи информации в нестационарных каналах низкого качества, например в коротковолновых радиолиниях, используют методы многопараметрической адаптации. Адаптация в процессе ведения связи обеспечивается перестройкой на оптимальные рабочие частоты, изменением мощности излучения, скорости манипуляции в канале связи, переключением используемых антенн, оптимальным выбором избыточности и, следовательно, корректирующей способности помехоустойчивого кода и другими способами. В предлагаемом способе для обеспечения требуемой вероятности доставки сообщения используется совместная адаптивная коррекция двух параметров передачи: скорости манипуляции в канале связи и избыточности помехоустойчивого кода. Предлагаемое изобретение может применяться для передачи сообщений, защищенных помехоустойчивым кодом, в частности помехоустойчивым каскадным кодом. Достоверная передача сообщений возможна лишь при скорости передачи информации, не превышающей пропускной способности канала связи. Поэтому для эффективного применения корректирующих помехоустойчивых кодов необходим определенный уровень качества канала связи, который может быть достигнут за счет изменения скорости манипуляции в зависимости от состояния нестационарного канала связи. Скорость манипуляции в канале связи может выбираться из заранее определенного для каналообразующей аппаратуры ряда значений скоростей, например для коротковолнового канала значения скоростей манипуляции могут принимать величины 300, 600, 1200, 2400, 4800, 9800 бит/с. Длительность элементарной посылки, а значит, и ее энергия с переходом на более высокую скорость манипуляции уменьшается вдвое, что может привести к существенному ухудшению качества приема сообщений. В этом случае за счет плавного изменения корректирующей способности кода можно обеспечить необходимую вероятность доведения сообщения. При изменении скорости манипуляции происходит скачкообразное изменение качества приема сообщений и, следовательно, пропускной способности канала связи. За счет изменения избыточности кода происходит плавное изменение пропускной способности канала связи, но при этом изменение качества приема ограничено диапазоном возможных значений параметров помехоустойчивого кода. Только совместное изменение скорости манипуляции и избыточности помехоустойчивого кода обеспечивает плавное изменение пропускной способности канала связи в широком диапазоне ее значений. Известен способ адаптивной коррекции параметров передачи сообщений, заключающийся в том, что передача сообщения начинается с максимально возможной скорости манипуляции. При приеме переданного сообщения скорость манипуляции сохраняется, а при отсутствии приема переданного сообщения передатчик переключается на меньшую скорость. Если при меньшей скорости приемник принимает сообщение, то выбранная скорость манипуляции сохраняется. Если же при повторной передаче сообщения с меньшей скоростью манипуляции сообщение не принимается, то устанавливается еще более низкая скорость манипуляции. Снижение скорости манипуляции выполняется до тех пор, пока сообщение не будет принято [Филимонов Ю.Ф. Анализ вариантов реализации режима работы АПД, адаптивного к помеховой обстановке в канале связи. Труды V Российской научно-технической конференции, Калуга. Часть 1, изд-во ЦНТИ, 2006]. Недостатком этого способа является снижение пропускной способности каналов связи больше, чем это необходимо для доведения сообщения с заданной вероятностью из-за того, что возможные значения скоростей манипуляции выбираются из заранее установленного для каналообразующей аппаратуры ряда скоростей, которые могут значительно отличаться между собой и, поэтому, невозможно плавно изменять скорость манипуляции в канале связи для обеспечения заданной вероятности доведения сообщения. Известен также способ передачи сообщений, в соответствии с которым на передающей стороне осуществляют непрерывный контроль за состоянием канала связи (например, за уровнем естественных шумов или искусственной помехи и т.д.). Результаты контроля качества канала связи используются для выбора наилучших помехоустойчивых кодов, при этом используются две схемы кодирования: первая из них осуществляет кодирование информации с помощью циклического помехоустойчивого кода с обнаружением ошибок, а вторая – с помощью кода с исправлением ошибок. Далее выбранный помехоустойчивый код передают в канал связи. На приемной стороне помехоустойчивый код декодируется с обнаружением или исправлением ошибок в зависимости от используемого кода (Пат. US №6044485, МПК7 G06F 11/10, опубл. 2000). Недостатком этого способа также является снижение пропускной способности каналов связи, обусловленное неоптимальным выбором помехоустойчивого кода, поскольку решение о выборе помехоустойчивого кода и алгоритма его декодирования принимается на передающей стороне канала связи, а качество канала связи на передающей стороне может отличаться от качества канала на приемной стороне (особенно в каналах связи большой протяженности). Наиболее близким к предлагаемому способу (прототипом) является способ адаптивной коррекции параметров передачи сообщений, заключающийся в том, что на передающей стороне канала связи исходное сообщение сначала кодируют помехоустойчивым кодом, который затем с определенной скоростью передают в канал связи. На приемной стороне помехоустойчивый код декодируют и по результатам декодирования оценивают качество канала связи, а затем принимают решение об изменении параметров помехоустойчивого кода [Патент РФ №2276837, МПК7 Н04L 1/20. Кухарев А.Д., Квашенников В.В., Зимихин Д.А., Манкевич Д.М. Способ передачи информации с использованием адаптивного помехоустойчивого кодирования. Приор. 22.11.2004, опубл. 20.05.2006]. Недостаток известного способа заключается в снижении пропускной способности каналов связи, особенно нестационарных каналов низкого качества, из-за того, что изменение параметров помехоустойчивого кода выполняется в определенном диапазоне значений, обусловленном структурой кода, и может быть недостаточно для получения заданной вероятности доведения сообщения. В этом случае для доведения сообщения используется повторение передачи сообщения, что приводит к увеличению времени передачи сообщения, то есть снижению пропускной способности канала связи. Цель изобретения – увеличение пропускной способности канала связи за счет того, что в зависимости от оценивания качества канала принимается оптимальное решение об изменении либо скорости передачи сообщения, либо избыточности помехоустойчивого кода, которая обеспечивает заданную вероятность доведения сообщения. Для достижения цели предложен способ адаптивной коррекции параметров передачи сообщений, заключающийся в том, что на передающей стороне канала связи исходное сообщение сначала кодируют помехоустойчивым кодом, который затем с определенной скоростью передают в канал связи. На приемной стороне помехоустойчивый код декодируют и по результатам декодирования оценивают качество канала связи, а затем принимают решение об изменении параметров помехоустойчивого кода. Новым является то, что на приемной стороне канала связи при декодировании помехоустойчивого кода определяют суммарное количество ошибок в помехоустойчивых кодах в скользящем окне приема длины m помехоустойчивых кодов и при превышении величины этого суммарного количества ошибок первого порогового значения скорость манипуляции в канале связи уменьшают, при величине суммарного количества ошибок меньше первого порогового значения, но больше второго порогового значения – скорость манипуляции в канале связи оставляют без изменения, но изменяют избыточность помехоустойчивого кода, при величине суммарного количества ошибок меньше второго порогового значения, скорость манипуляции в канале связи увеличивают. При этом исходное сообщение кодируют помехоустойчивым каскадным кодом и при декодировании помехоустойчивого кода вычисляют суммарное количество ошибок во внутренних кодах помехоустойчивого каскадного кода с учетом стираний и трансформаций внутренних кодов помехоустойчивого каскадного кода. Причем первое и второе пороговые значения выбирают из условия обеспечения заданной вероятности доведения сообщений. Предлагаемый способ адаптивной коррекции параметров передачи сообщений реализуется следующим образом. На передающей стороне формируют помехоустойчивый каскадный код, например каскадный код, внешним кодом которого является код Рида-Соломона, а внутренним – двоичный код Боуза-Чоудхури-Хоквинхема (БЧХ-коды). Для этого на передающей стороне исходное сообщение, объемом k m-ичных (m>1) символов, вначале кодируют m-ичным помехоустойчивым кодом Рида-Соломона. Код Рида-Соломона является внешним кодом или кодом первой ступени помехоустойчивого каскадного кода. В результате кодирования информации получают кодовое слово кода Рида-Соломона (N, K), информационная длина которого равна К, а блоковая – N символов. Далее информацию кодируют двоичным кодом БЧХ. Код БЧХ является внутренним кодом или кодом второй ступени помехоустойчивого каскадного кода. Код БЧХ имеет постоянные параметры: n – блоковая длина кода, k – информационная длина кода. Исходной информацией для каждого слова двоичного кода БЧХ являются символы кода Рида-Соломона, рассматриваемые как последовательность двоичных символов. В результате кодирования кодом БЧХ будет N двоичных слов кода БЧХ (n, k). Таким образом, на выходе передающей части будут получены N слов кода БЧХ, которые далее с определенной скоростью манипуляции передают в канал связи. В канале связи возможно искажение передаваемого сигнала. Это может привести к тому, что каскадный код будет принят с ошибками. На приемной стороне осуществляют декодирование каскадного кода. Каскадный код, поступающий на вход приемника, содержит N слов внутреннего кода каскадного кода. Декодирование каскадного кода начинают с декодирования слов внутреннего кода каскадного кода с обнаружением и исправлением ошибок. Предположим, что код гарантированно исправляет t1 и менее ошибок в кодовом слове, а t2 ошибок обнаруживает (t2>t1), тогда справедливо неравенство
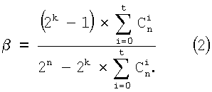
где d – минимальное кодовое расстояние кода. При декодировании внутреннего кода каскадного кода можно точно определить количество ошибок в коде, если оно не превосходит корректирующей способности этого кода t1. При количестве ошибок во внутреннем коде, большем t1, но меньшем t2, будут происходить стирания кодовых слов. При количестве ошибок во внутреннем коде, большем t2, будут происходить стирания и трансформации кодовых слов. Количество s стертых слов внутреннего кода можно точно определить по результатам декодирования кода. Количество r трансформированных кодовых слов и число ошибок в стертых и трансформированных кодовых словах можно оценить по приближенным формулам. Отношение числа r трансформированных кодовых слов к числу стертых s кодовых слов внутреннего кода приближенно оценивают коэффициентом трансформаций При исправлении i ошибок в кодовом слове количество двоичных комбинаций, которые могут приводить к трансформации, будет равно
Общее число двоичных комбинаций, которые могут приводить к стиранию принятых слов, будет равно
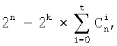
отсюда получим уравнение
Тогда число трансформаций примерно будет равно
Суммарное количество ошибок в m внутренних кодах каскадного кода приближенно можно оценить величиной где В результате декодирования слов внутреннего кода каскадного кода получают символы внешнего кода каскадного кода. Если количество принятых символов внешнего кода каскадного кода достаточно для декодирования внешнего кода, осуществляют декодирование внешнего кода каскадного кода с исправлением ошибок и стираний. При этом суммарное количество ошибок T, подсчитанное в скользящем окне приема длины m помехоустойчивых кодов по формуле (4), сравнивают с пороговыми значениями и принимают решение об изменении либо скорости манипуляции в канале связи, либо избыточности помехоустойчивого кода. Если суммарное количество ошибок Т больше первого порогового значения Т1, то качество канала настолько низкое, что помехоустойчивый код при своей максимальной избыточности не обеспечивает требуемой вероятности доведения сообщения, и в этом случае уменьшают скорость манипуляции в канале связи. В том случае, если суммарное количество ошибок Т меньше первого порогового значения t1, но больше второго порогового значения T2, заданную вероятность доведения сообщения можно обеспечить за счет изменения избыточности помехоустойчивого кода. Плавное изменение избыточности кода выполняется путем изменения блоковой либо информационной длины кода через единицу до получения заданной вероятности доведения сообщения. При суммарном количестве ошибок меньше второго порогового значения Т2 качество канала высокое и можно увеличить скорость манипуляциии в канале связи. Немаловажным для реализации предлагаемого способа является рациональный выбор величин первого и второго пороговых значений T1 и T2. Эти величины могут быть получены по результатам работы в реальном канале связи либо расчетным путем, если известна модель ошибок реального канала связи. Первое пороговое значение T1 соответствует количеству ошибок, которое при наибольшей возможной избыточности кода позволяет принимать сообщения с заданной вероятностью доведения. При дальнейшем увеличении суммарного количества ошибок обеспечить заданную вероятность доведения сообщения можно только за счет уменьшения скорости передачи сообщения. Наибольшая возможная избыточность кода определяется структурой кода. Например, для каскадного помехоустойчивого кода наиболее просто, с точки зрения технической реализации, изменять избыточность внешнего кода Рида-Соломона. Пределы изменения блоковой и информационной длины для этого кода определяются размерностью поля Галуа, над которым задан помехоустойчивый код. Для кода, определенного над полем Галуа GF(2m), блоковая длина кода N может находиться в диапазоне величин
где К – информационная длина кода. Значит, наибольшая возможная избыточность кода ограничена величиной 2m-1. На практике наибольшая избыточность может быть меньше указанной величины, что обусловлено возможностями технической реализации. Для получения первого порогового значения T1 следует для различного числа ошибок Т рассчитать вероятности приема сообщения при максимальной избыточности кода. Количество ошибок, при котором обеспечивается заданная вероятность доведения сообщения, при максимальной избыточности кода и будет искомым первым пороговым значением T1. Второе пороговое значение T2 соответствует количеству ошибок, которое при минимально возможной избыточности кода позволяет принимать сообщения с вероятностью доведения не менее заданной величины. Минимальная избыточность кода равна 1. Поэтому, если при этой избыточности кода вероятность доведения сообщения сохраняет значение выше заданной величины, то целесообразно увеличить скорость передачи сообщений. Таким образом, для получения второго порогового значения T2 следует для различного количества ошибок рассчитать вероятность приема сообщения при минимальной избыточности кода. В качестве второго порогового значения T2 выбирается количество ошибок, которое обеспечивает заданную вероятность доведения сообщения при минимальной избыточности кода. Следовательно, для выбора первого и второго пороговых значений T1 и T2 необходимо получить вероятности правильного приема каскадного кода для различного числа ошибок в канале связи, то есть средней вероятности ошибки на бит в канале. Для этого сначала рассчитываются вероятности правильного приема, трансформации и стирания слов внутреннего кода каскадного кода. Для канала с независимыми ошибками вероятность правильного приема pi символов кода при исправлении i ошибок равна
где n – блоковая длина внутреннего кода, р – средняя вероятность ошибок на бит в канале. Для канала с независимыми ошибками вероятность трансформации при исправлении i ошибок qi рассчитывается на основе весовой структуры кода по формуле где A(w) – количество слов в коде веса w, d – минимальное кодовое расстояние внутреннего кода. Суммарная вероятность правильного приема кода запишется в виде
где t – количество ошибок, исправляемых внутренним кодом БЧХ. Аналогично суммарная вероятность трансформации равна
Вероятность правильного приема, трансформации и стирания кода образуют полную группу событий, и вероятность стирания вычисляется по формуле
Формула, связывающая вероятность правильного приема каскадного кода с вероятностями правильного приема, стирания и трансформации слов внутреннего кода помехоустойчивого каскадного кода, записывается в виде
где число ошибок t, исправляемых внешним кодом помехоустойчивого каскадного кода, выражается формулой
где INT(r) – ближайшее целое, не превосходящее r, N и К – блоковая и информационная длины внешнего кода. В качестве примера в таблице представлены рассчитанные по приведенным выше формулам вероятности правильного приема каскадного кода, внутренним кодом которого является двоичный код БЧХ (31, 16) с исправлением тройных ошибок, а внешним – код Рида-Соломона (N, 16), определенный над полем Галуа GF(28). Во второй и третьей колонке таблицы приведены вероятности правильного приема каскадного кода для минимальной R=1 и максимальной R=16 избыточности кода (R=N-K). Из таблицы следует, что при минимальной избыточности кода R=1, заданная вероятность доведения не менее 0.99 обеспечивается при средней вероятности ошибки на бит в канале связи, равной 0.02, а при максимальной избыточности R=16 – при средней вероятности ошибки на бит в канале связи, равной 0.08. Поэтому при длине скользящего окна, равной 1000 бит, первое пороговое значение T1=0.02·1000=20, а второе – T2=0.08·1000=80.
В предлагаемом изобретении за счет совместного изменения скорости передачи сообщений и избыточности помехоустойчивого кода увеличивается пропускная способность канала связи и, следовательно, сокращается время передачи сообщения по сравнению с известным способом. Причем решение об изменении параметров передачи принимается на основании оценивания качества канала связи на приемной стороне по результатам декодирования помехоустойчивого кода в рабочем режиме и не требует передачи специальных проверочных сообщений для тестирования канала, что также сокращает время доведения сообщения в канале связи. Оценивание качества канала связи на основании результатов декодирования внутреннего кода помехоустойчивого каскадного кода осуществляется в процессе декодирования кода. При этом используется информация о количестве ошибок в словах помехоустойчивого кода и количестве стертых слов помехоустойчивого кода, которую получают при декодировании кода. Для принятия решения об изменении избыточности кода или скорости манипуляции в канале связи требуется небольшое число дополнительных операций или оборудования, что незначительно усложняет программную или аппаратную реализацию предлагаемого способа. Достигаемым техническим результатом способа адаптивной коррекции параметров передачи сообщений является увеличение пропускной способности канала связи.
Формула изобретения
1. Способ адаптивной коррекции параметров передачи сообщений, заключающийся в том, что на передающей стороне канала связи исходное сообщение сначала кодируют помехоустойчивым кодом, который затем с определенной скоростью манипуляции передают в канал связи, на приемной стороне помехоустойчивый код декодируют и по результатам декодирования оценивают качество канала связи, а затем принимают решение об изменении параметров помехоустойчивого кода, отличающийся тем, что на приемной стороне канала связи при декодировании помехоустойчивого кода определяют суммарное количество ошибок в помехоустойчивых кодах в скользящем окне приема длины m помехоустойчивых кодов и при превышении величиной этого суммарного количества ошибок первого порогового значения скорость манипуляции в канале связи уменьшают, при величине суммарного количества ошибок меньше первого порогового значения, но больше второго порогового значения, скорость манипуляции в канале связи оставляют без изменения, но изменяют избыточность помехоустойчивого кода, при величине суммарного количества ошибок меньше второго порогового значения скорость манипуляции в канале связи увеличивают. 2. Способ по п.1, отличающийся тем, что исходное сообщение кодируют помехоустойчивым каскадным кодом и при декодировании помехоустойчивого кода вычисляют суммарное количество ошибок во внутренних кодах помехоустойчивого каскадного кода с учетом стираний и трансформаций внутренних кодов помехоустойчивого каскадного кода. 3. Способ по п.1, отличающийся тем, что первое и второе пороговые значения выбирают из условия обеспечения заданной вероятности доведения сообщений.
|
|||||||||||||||||||||||||||||||||||||||||||||


по “объему сфер”.




– суммарное число ошибок, исправленных в m внутренних кодах каскадного кода.






