|
(21), (22) Заявка: 2006143701/28, 08.12.2006
(24) Дата начала отсчета срока действия патента:
08.12.2006
(46) Опубликовано: 20.08.2008
(56) Список документов, цитированных в отчете о поиске:
SU 911382 А, 07.03.1982. SU 446854 А, 15.10.1974. SU 1012161 А 15.04.1983.
Адрес для переписки:
394026, г.Воронеж, Московский пр-кт, 14, ГОУВПО “ВГТУ”, патентный отдел
|
(72) Автор(ы):
Горлов Митрофан Иванович (RU), Жарких Александр Петрович (RU)
(73) Патентообладатель(и):
Государственное образовательное учреждение высшего профессионального образования “Воронежский государственный технический университет” (RU)
|
(54) СПОСОБ НЕРАЗРУШАЮЩЕГО КОНТРОЛЯ КАЧЕСТВА СОЕДИНЕНИЙ ЭЛЕМЕНТОВ КОНСТРУКЦИИ ПОЛУПРОВОДНИКОВЫХ ИЗДЕЛИЙ
(57) Реферат:
Изобретение относится к испытательной технике и может быть использовано при контроле микросхем и полупроводниковых приборов. Сущность: на первом этапе из партии полупроводниковых изделий одного типа случайным образом формируют выборку. На полупроводниковые изделия выборки подают импульсы тока различной частоты, нагревая их. Измеряют амплитуду упругой деформации корпуса изделий, возникающую за счет нагрева. Строят график зависимости амплитуды упругой деформации корпуса от частоты подаваемых импульсов. Определяют резонансную частоту по максимальной амплитуде упругой деформации и интервал резонансных частот (fрез, fрез). Определяют интервал амплитуд на резонансной частоте (Арез, Арез), на которых соединение конструкции полупроводниковых изделий надежно. На втором этапе на всю партию полупроводниковых изделий подают импульсы тока с резонансной частотой. Если амплитуда упругой деформации корпуса полупроводникового изделия входит в интервал Арез± Арез, то соединение конструкции считают надежным. Если не входит в этот интервал, то на это изделие подают импульсы тока различной скважности. Определяют резонансную частоту колебаний конструкции полупроводникового изделия. Если резонансная частота не входит в диапазон fрез± fрез, то конструкцию соединений считают ненадежной. Технический результат: повышение точности контроля. 1 ил.
Изобретение относится к испытательной технике и может быть использовано в технологии производства изделий электронной техники, например интегральных микросхем и полупроводниковых приборов (диодов, транзисторов), и на входном контроле приборостроительных предприятий.
Известен способ неразрушающего контроля изделий электронной техники, согласно которому механические связи контролируются косвенно с помощью теплового сопротивления между элементами конструкции, например между кристаллом интегральной схемы и ее корпусом [1].
Недостатком этого способа является невозможность определения степени жесткости механических связей элементов конструкции электрорадиодеталей, поскольку передача тепла лишь частично определяется механической прочностью их соединения, завися от посторонних факторов (площадь соединения и т.п.).
Известен способ неразрушающего контроля механических связей, состоящий в том, что нагревают один из элементов конструкции (р-n переход транзистора) путем подведения импульсной энергии, измеряют скорость изменения во времени температурно-чувствительного параметра, например прямого падения напряжения на р-n переходе, и сравнивают ее с эталонной величиной [2].
Недостатком данного способа является невозможность определения прочности механической связи элементов конструкции изделий электронной техники, например, в случае отсутствия прочной механической связи и касания кристаллом его корпуса, результат контроля скорости изменения во времени температурно-чувствительного параметра, например прямого падения напряжения, оказывается таким же, как и при наличии жесткой механической связи.
Наиболее близким к изобретению является способ, состоящий в том, что нагреваная элемент конструкции, измеряют амплитуду упругой деформации корпуса изделия посредством измерителя малых перемещений и по амплитуде судят о качестве соединений [3].
Недостатком способа является то, что о качестве соединений судят только по амплитуде упругой деформации корпуса изделия посредством измерителя малых перемещений.
Изобретение направлено на определение прочности механических связей элементов конструкции изделий и повышение точности контроля тепловых сопротивлений между ними.
Это достигается тем, что на выборке полупроводниковых изделий (ППИ) одного типа измеряют амплитуду упругой деформации корпуса изделий посредством измерителя малых перемещений, подавая различной частоты импульсы тока через ППИ и по максимальной амплитуде колебаний корпуса изделия определяют собственную (резонансную) частоту системы кристалл-корпус. Дальнейшие измерения проводят на резонансной частоте системы кристалл-корпус и по значениям резонансной частоты и амплитуды резонансной частоты всю партию ПНИ разделяют по уровню прочности механических связей конструкции изделия.
При этом зависимость амплитуды упругой деформации от частоты импульсов тока, подаваемых на ППИ, дает более достоверную информацию об уровне прочности механических связей изделия, чем просто измерение амплитуды деформации корпуса.
Высокочувствительный датчик малых перемещений, например на основе фазовых дифракционных решеток, применяется на первом этапе при определении резонансной частоты и интервала резонансных частот системы кристалл-корпус ППИ. Дальнейшие измерения проводят на резонансной частоте и поэтому можно применять менее чувствительный датчик, например емкостного типа, ДЛТ или другой марки, определяется экспериментально.
Величина теплового сопротивления в том числе, зависит от качества соединения системы кристалл-корпус ППИ. Например, транзисторы с дефектами посадки или с трещинами кристалла имеют более высокое тепловое сопротивление, и сделать об этом вывод можно по зависимости амплитуды колебаний упругой деформации корпуса при резком нагреве одного из элементов конструкции. Если ППИ признано дефектным, по предложенному изобретению, то и тепловое сопротивление данного ППИ имеет аномальное значение. Не нужно снимать кривые остывания или применять известные методы диагностики ППИ по тепловым характеристикам [4].
Предлагаемый способ основан на использовании эффекта возникновения упругой деформации корпуса при резком нагреве одного из элементов конструкции, например кристалла полупроводникового изделия, величина которой достигает порядка десятых долей микрона.
Реализуется предложенный способ в два этапа.
Первый этап: из партии ППИ одного типа случайным образом формируют выборку, на ППИ выборки подают импульсы тока различной частоты, измеряют амплитуду упругой деформации корпуса изделий, строят график зависимости амплитуды упругой деформации корпуса от частоты подаваемых импульсов (см. чертеж), определяют резонансную частоту по максимальной амплитуде и интервал резонансных частот (fрез, fрез), определяют интервал амплитуд на резонансной частоте (Арез, Арез), на которых соединение конструкции изделия надежно.
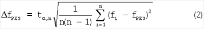
Для определения fрез, fрез, Арез, Арез можно использовать известные формулы из математической статистики для среднеарифметического значения и полуширины доверительного интервала:

где fi – значение резонансной частоты i ППИ,
n – количество ППИ в выборке.
Для fрез получим следующее выражение:

где t , n – коэффициент Стьюдента, который зависит от n (числа ППИ в выборке) и от надежности (от 0.5 до 0.99) [5].
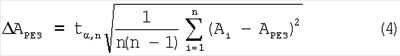
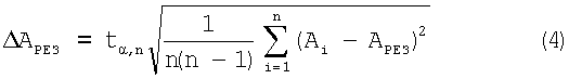
Для Арез, Арез получаются аналогичные выражения:

где Ai – значение амплитуды резонансной частоты i ППИ,

Так как выборка ППИ может содержать изделия с ненадежными соединениями конструкции, например кристалл-корпус, то можно поступить двумя способами:
первый способ – выделить из выборки ППИ изделия с ненадежными соединениями, используя любой другой диагностический способ определения ненадежности соединения ППИ, например по тепловым характеристикам [4];
второй способ – применение возможностей математической статистики. Ненадежным изделием под номером k в выборке ППИ будем считать изделие с коэффициентом промаха > мах. При этом мах зависит от числа изделий в выборке ППИ – n и от надежности (0.9-0.99) [6, стр.32].
Промах для k-го ППИ по значению амплитуды резонансной частоты вычисляют по формуле:

Промах для k-го ППИ по значению резонансной частоты вычисляют по формуле:

При > мах результат k-го измерения объявляется промахом, т.е. k-e ППИ ненадежно и должно быть отброшено, после чего вычисляются новые значения fрез, fрез, Арез, Арез по формулам (1-4). В противном случае k-e изделие остается в выборке.
На втором этапе на всю партию ППИ подают импульсы тока с резонансной частотой, при этом, если амплитуда упругой деформации корпуса ППИ входит в интервал Арез± Арез, то соединение конструкции считают надежным, если не входит в этот интервал, то на это изделие подают импульсы тока различной скважности, определяют резонансную частоту колебаний конструкции ППИ, если резонансная частота не входит в диапазон fрез± fрез, то конструкцию соединений считают ненадежной.
Источники информации
1. Патент США №3745460, кл. G01R 31/26, опубл.10.06.73.
2. Авт. св. СССР №446854, кл. G01R 31/26, опубл. 15.10.74.
3. Авт. св. СССР №911382, кл. G01R 31/26, опубл. 07.03.82.
4. Горлов М.И., Ануфриев Л.П., Бордюжа О.Л. Обеспечение и повышение надежности полупроводниковых приборов и интегральных схем в процессе серийного производства. Минск, 1997 г. 390 с.
5. Кембровский Г.С. Приближенные вычисления и методы обработки результатов измерений в физике. – Минск: издательство Университетское, 1990 – 189 с.
6. Емельянов В.А., Лин Д.Г., Шолох В.Ф. Методы обработки результатов измерений в лаборатории физпрактикума. – Минск: Бестпринт, 1997 – 90 с.
Формула изобретения
Способ неразрушающего контроля качества соединений элементов конструкции полупроводниковых изделий, состоящий в нагревании элемента импульсами тока, измерении амплитуды упругой деформации корпуса изделия посредством измерителя малых перемещений, отличающийся тем, что на первом этапе из партии полупроводниковых изделий одного типа случайным образом формируют выборку, на полупроводниковые изделия выборки подают импульсы тока различной частоты, измеряют амплитуду упругой деформации корпуса изделий, строят график зависимости амплитуды упругой деформации корпуса от частоты подаваемых импульсов, определяют резонансную частоту по максимальной амплитуде упругой деформации и интервал резонансных частот (fрез, fрез); определяют интервал амплитуд на резонансной частоте (Арез, Арез), на которых соединение конструкции полупроводниковых изделий надежно, на втором этапе на всю партию полупроводниковых изделий подают импульсы тока с резонансной частотой, при этом если амплитуда упругой деформации корпуса полупроводникового изделия входит в интервал Арез± Арез, то соединение конструкции считают надежным, если не входит в этот интервал, то на это изделие подают импульсы тока различной скважности, определяют резонансную частоту колебаний конструкции полупроводникового изделия и если резонансная частота не входит в диапазон fрез± fрез, то конструкцию соединений считают ненадежной.
РИСУНКИ
MM4A – Досрочное прекращение действия патента СССР или патента Российской Федерации на изобретение из-за неуплаты в установленный срок пошлины за поддержание патента в силе
Дата прекращения действия патента: 09.12.2008
Извещение опубликовано: 10.08.2010 БИ: 22/2010
|