|
(21), (22) Заявка: 2006125379/03, 14.07.2006
(24) Дата начала отсчета срока действия патента:
14.07.2006
(43) Дата публикации заявки: 20.01.2008
(46) Опубликовано: 20.08.2008
(56) Список документов, цитированных в отчете о поиске:
RU 2170334 С2, 10.07.2001. SU 723101 А, 25.03.1980. SU 953186 А, 23.08.1982. RU 2060362 C1, 20.05.1996. RU 2182644 С2, 20.05.2002. RU 2247824 C1, 10.03.2005. US 5533570 A, 09.07.1996.
Адрес для переписки:
117997, Москва, ГСП-7, В-420, ул. Наметкина, 16, ОАО “Газпром”, Департамент стратегического развития
|
(72) Автор(ы):
Андрианов Николай Игоревич (RU), Дубенко Валерий Евсеевич (RU), Журавлев Андрей Владимирович (RU), Елиокумсон Владимир Генрихович (RU)
(73) Патентообладатель(и):
Открытое акционерное общество “Газпром” (RU)
|
(54) УСТРОЙСТВО ДЛЯ УСТАНОВКИ ЦЕМЕНТНОГО МОСТА
(57) Реферат:
Изобретение относится к области бурения и капитального ремонта скважин. Обеспечивает повышение качества установки цементного моста и повышение надежности работы устройства. Устройство содержит патрубок со сквозными отверстиями в средней и нижней частях, верхнюю втулку, башмак и нижнюю втулку, расположенную над башмаком. Сквозные отверстия средней части патрубка расположены в шахматном порядке рядами. Количество рядов определено по формуле. Башмак имеет внутреннее промывочное отверстие и коническую наружную поверхность в нижней части, вооруженную лопастью, и выполнен с посадочным седлом под бросовый шар. Башмак в верхней части имеет внутреннюю проточку, в которой расположена нижняя часть нижней втулки, с образованием разгрузочной камеры, гидравлически связанной с полостью патрубка через сквозные отверстия в его нижней части. Лопасть имеет «Г»-образный вырез, разделяющий ее на две части. Нижняя поверхность верхней втулки и верхняя поверхность нижней втулки формируют кольцевую щель. Нижний край сквозных отверстий нижнего ряда расположен выше уровня кольцевой щели на высоту, выбранную из условия. Внутренние поверхности верхней и нижней втулок и ответная им наружная поверхность патрубка образуют кольцевую полость, гидравлически связанную с полостью патрубка. На наружной поверхности патрубка выше уровня верхнего ряда сквозных отверстий его средней части образован кольцевой упорный выступ. На кольцевом упорном выступе расположен элемент, регулирующий раскрытость кольцевой щели. 3 ил.
Изобретение относится к области бурения и капитального ремонта скважин и может быть использовано для установки цементных мостов.
Анализ уровня техники показал следующее:
известно устройство для установки цементного моста, состоящее из патрубка со сквозными радиальными цилиндрическими отверстиями (см. патент US № 5823213 от 06.08.96 г., опубл. 20.10.98 г. МПК6: Е21В 7/18). Внутри патрубок содержит установленный с возможностью осевого перемещения клапан.
Недостатком устройства является низкое качество установки цементного моста из-за формирования разрывной струи тампонажного раствора между наружной поверхностью устройства и стенками скважины, обусловленного расположением рядов сквозных радиальных цилиндрических отверстий на расстоянии друг от друга в двух ярусах. Разрывная струя не полностью очищает стенку скважины от фильтрационной корки в интервале установки цементного моста, каверны от шлама и забойных масс бурового раствора. При подъеме устройства не достигается одновременное воздействие струи по периметру скважины, из-за чего невозможно полное заполнение поглощающих каналов пласта. Загрязняющие частицы при движении устройства вверх проваливаются ниже разрывной струи тампонажного раствора, заполняя ствол скважины и тем самым формируя шламовую пробку. Разрывная струя не обеспечивает полное замещение бурового раствора на тампонажный раствор.
В качестве прототипа выбрано устройство для установки цементного моста, описанное в способе установки цементного моста (см. патент RU № 2170334 от 24.08.1999, опубл. 10.07.2001 г. МПК7: Е 33/13). Устройство содержит патрубок со сквозными радиальными отверстиями в средней части, верхнюю втулку, жестко связанную с патрубком в верхней части, башмак, жестко связанный с нижней частью патрубка, имеющий внутреннее промывочное отверстие, коаксиальное патрубку, и коническую наружную поверхность в нижней части, вооруженную пикообразной лопастью, выполненный с посадочным седлом под бросовый шар, и нижнюю втулку, расположенную над башмаком с возможностью осевого перемещения вдоль патрубка. Нижняя поверхность верхней втулки и верхняя поверхность нижней втулки формируют кольцевую щель. Образующие кольцевой щели имеют форму боковой поверхности усеченного круглого прямого конуса, коаксиального патрубку, с вершиной ниже уровня кольцевой щели. Внутренние поверхности верхней и нижней втулок и ответная им наружная поверхность патрубка образуют кольцевую полость, гидравлически связанную с полостью патрубка через сквозные радиальные отверстия. Сквозные радиальные отверстия выполнены продольными. Между нижней втулкой и башмаком расположен резиновый демпфирующий элемент.
Недостатком устройства является низкое качество установки цементного моста из-за формирования разрывной струи тампонажного раствора между его наружной поверхностью и стенками скважины, обусловленного выполнением сквозных радиальных отверстий в средней части патрубка продольными и расположенными на уровне кольцевой щели устройства. Разрывная струя не позволяет полностью очистить стенку скважины от фильтрационной корки в интервале установки цементного моста, очистить каверны от шлама и забойных масс бурового раствора. При подъеме устройства не достигается одновременное воздействие струи по периметру скважины, из-за чего невозможно полное заполнение поглощающих каналов пласта. Загрязняющие частицы при движении устройства вверх проваливаются ниже разрывной струи тампонажного раствора, заполняя ствол скважины и тем самым формируя шламовую пробку. Недостатком также является ненадежность работы устройства при высоких рабочих давлениях, связанная с возможностью резинового демпфирующего элемента увеличивать раскрытость щели. Кроме того, недостатком устройства является наличие сплошной пикообразной лопасти, что приводит к делению струи бурового раствора в области начального участка на два потока, резкому ее затуханию, засорению внутреннего промывочного отверстия башмака и не обеспечивает надежность работы устройства.
Техническим результатом является следующее:
– повышение качества установки цементного моста за счет формирования непрерывной струи цементного раствора, достигаемого расположением нижнего ряда сквозных радиальных цилиндрических отверстий выше уровня кольцевой щели;
– повышение надежности работы устройства при высоких рабочих давлениях за счет сохранения раскрытости щели;
– повышение надежности работы устройства за счет предотвращения засорения внутреннего промывочного отверстия башмака, обусловленного наличием «Г»-образного выреза пикообразной лопасти.
Технический результат достигается с помощью известного устройства, содержащего патрубок со сквозными радиальными отверстиями в средней части, верхнюю втулку, жестко связанную с патрубком в верхней части, башмак, жестко связанный с нижней частью патрубка, имеющий внутреннее промывочное отверстие, коаксиальное патрубку, и коническую наружную поверхность в нижней части, вооруженную пикообразной лопастью, выполненный с посадочным седлом под бросовый шар, и нижнюю втулку, расположенную над башмаком с возможностью осевого перемещения вдоль патрубка, а нижняя поверхность верхней втулки и верхняя поверхность нижней втулки формируют кольцевую щель, образующие которой имеют форму боковой поверхности усеченного круглого прямого конуса, коаксиального патрубку, с вершиной ниже уровня кольцевой щели, причем внутренние поверхности верхней и нижней втулок и ответная им наружная поверхность патрубка образуют кольцевую полость, гидравлически связанную с полостью патрубка через сквозные радиальные отверстия.
Согласно изобретения патрубок дополнительно в нижней части имеет сквозные радиальные цилиндрические отверстия.
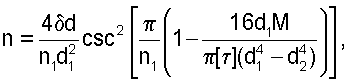
Сквозные радиальные отверстия средней части патрубка также выполнены цилиндрическими и расположены в шахматном порядке рядами, количество которых определяют по формуле

где n – количество рядов сквозных радиальных цилиндрических отверстий средней части патрубка;
– раскрытость кольцевой щели, м;
d – наружный диаметр кольцевой щели, м;
n1 – количество сквозных радиальных цилиндрических отверстий в ряду, равное n1=2, 4, 6…;
d1 – наружный диаметр патрубка в средней части, м;
М – крутящий момент, передаваемый от колонны труб к вооружению устройства, Нм;
[ ] – допустимое напряжение при кручении, определяемое по справочным данным, Па;
d2 – внутренний диаметр патрубка в средней части, м.
Нижний край сквозных радиальных цилиндрических отверстий нижнего ряда расположен выше уровня кольцевой щели на высоту, выбранную из условия
h d3-d1,
где h – высота расположения нижнего ряда сквозных радиальных цилиндрических отверстий относительно уровня кольцевой щели, м;
d3 – внутренний диаметр верхней втулки, м.
На наружной поверхности патрубка выше уровня верхнего ряда сквозных радиальных цилиндрических отверстий его средней части образован кольцевой упорный выступ.
На кольцевом упорном выступе расположен элемент, регулирующий раскрытость кольцевой щели.
Башмак в верхней части имеет внутреннюю проточку, в которой расположена зафиксированная штифтом относительно башмака нижняя часть нижней втулки, с образованием разгрузочной камеры при основании внутренней проточки, гидравлически связанной с полостью патрубка через сквозные радиальные цилиндрические отверстия в его нижней части.
Пикообразная лопасть имеет «Г»-образный вырез, разделяющий ее на две части при вершине сопряжения граней, сквозная продольная часть которого смещена относительно оси устройства в сторону набегающей грани одной части, а поперечная – представляет собой проточку, выполненную в противоположную сторону от смещения на задней грани другой части, при этом часть лопасти в месте выполнения поперечной части выреза в продольном сечении имеет форму трапеции.
Таким образом, заявляемое техническое решение соответствует критерию новизны.
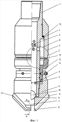
На фиг.1 представлено устройство для установки цементного моста, продольный разрез;
на фиг.2 – сечение А-А пикообразной лопасти башмака;
на фиг.3 – выносной элемент I с продлением образующих кольцевой щели на ось устройства.
Устройство для установки цементного моста содержит патрубок 1 со сквозными радиальными цилиндрическими отверстиями 2, 3 в средней и нижней части (фиг.1). Сквозные радиальные цилиндрические отверстия 2 в средней части патрубка 1 расположены в шахматном порядке рядами, количество которых определяют по формуле

где n – количество рядов сквозных радиальных цилиндрических отверстий средней части патрубка;
– раскрытость кольцевой щели, м;
d – наружный диаметр кольцевой щели, м;
n1 – количество сквозных радиальных цилиндрических отверстий в ряду, равное n1=2, 4, 6…;
d1 – наружный диаметр патрубка в средней части, м;
М – крутящий момент, передаваемый от колонны труб к вооружению устройства, Нм;
[ ] – допустимое напряжение при кручении, определяемое по справочным данным, Па;
d2 – внутренний диаметр патрубка в средней части, м.
На наружной поверхности патрубка 1 выше уровня верхнего ряда сквозных радиальных цилиндрических отверстий 2 его средней части образован кольцевой упорный выступ 4.
Устройство содержит верхнюю втулку 5, жестко связанную с патрубком 1 в верхней части, и башмак 6, жестко связанный с нижней частью патрубка 1. Башмак 6 имеет внутреннее промывочное отверстие 7, коаксиальное патрубку 1, и коническую наружную поверхность в нижней части, вооруженную пикообразной лопастью 8. Башмак выполнен с посадочным седлом 9 под бросовый шар 10. В верхней части башмак 6 имеет внутреннюю проточку. Пикообразная лопасть 8 имеет Г-образный вырез, разделяющий ее на две части при вершине сопряжения граней. Сквозная продольная часть выреза смещена относительно оси устройства в сторону набегающей грани 11 одной части, а поперечная – представляет собой проточку, выполненную в противоположную сторону от смещения на задней грани 12 другой части. Часть лопасти в месте выполнения поперечной части выреза в продольном сечении имеет форму трапеции (фиг.2).
Устройство содержит нижнюю втулку 13, расположенную над башмаком 6 с возможностью осевого перемещения вдоль патрубка 1. Нижняя часть нижней втулки 13 зафиксирована штифтом 14 относительно башмака 6 и расположена во внутренней проточке последнего с образованием разгрузочной камеры А при основании внутренней проточки. Разгрузочная камера А гидравлически связана с полостью патрубка 1 через сквозные радиальные цилиндрические отверстия 3 в его нижней части.
Нижняя поверхность верхней втулки 5 и верхняя поверхность нижней втулки 13 формируют кольцевую щель 15, образующие которой имеют форму боковой поверхности усеченного круглого прямого конуса, коаксиального патрубку 1 с вершиной ниже уровня кольцевой щели 15 (фиг.3).
На кольцевом упорном выступе 4 расположен элемент 16, регулирующий раскрытость кольцевой щели 15.
Нижний край сквозных радиальных цилиндрических отверстий 2 нижнего ряда расположен выше уровня кольцевой щели 15 на высоту, выбранную из условия
h d3-d1,
где h – высота расположения нижнего ряда сквозных радиальных цилиндрических отверстий относительно уровня кольцевой щели, м;
d3 – внутренний диаметр верхней втулки, м.
Внутренние поверхности верхней 5 и нижней 13 втулок и ответная им наружная поверхность патрубка 1 образуют кольцевую полость В, гидравлически связанную с полостью патрубка через сквозные радиальные цилиндрические отверстия 2 в средней части.
Перед спуском устройства в скважину на кольцевом упорном выступе 4 устанавливают элемент 16, обеспечивающий раскрытость кольцевой щели 15, позволяющей пропуск через нее частиц цемента, остающихся в тампонажном растворе при затворении.
Устройство коаксиально соединяют с низом колонны бурильных труб и спускают в скважину, заполненную буровым раствором до нижней грани интервала установки цементного моста. В процессе спуска через внутреннее промывочное отверстие 7 и кольцевую щель 15 происходит самозаполнение буровым раствором устройства и внутренней полости колонны бурильных труб. При наличии в стволе скважины не спрессованного шламового стакана выше нижней границы интервала установки цементного моста восстанавливают прямую циркуляцию бурового раствора. При этом буровой раствор закачивают в колонну бурильных труб, откуда он поступает в полость патрубка 1. Часть потока бурового раствора через сквозные радиальные цилиндрические отверстия 2, полость В и кольцевую щель 15 выходит в кольцевое пространство. Другая часть потока бурового раствора выходит на забой через внутреннее промывочное отверстие 7 в виде асимметричной струи и размывает шламовый стакан. Обогащенный шламом буровой раствор поднимается по кольцевому пространству на дневную поверхность, смешиваясь с частью потока, выходящего из кольцевой щели 15.
«Г»-образный вырез пикообразной лопасти 8 уменьшает возмущения в начальном участке струи, тем самым сохраняя ее гидравлическую энергию, расходуемую на размыв шламового стакана. Этому способствует сквозная продольная часть выреза, не перекрывающая живое сечение струи. Поперечная часть выреза, выполненная в виде проточки, обеспечивает плавное деление струи. При этом часть лопасти в месте выполнения поперечной части выреза имеет форму трапеции, одна боковая сторона которой является лезвием части пикообразной лопасти и служит для механического разрушения шламового стакана в скважине, а другая боковая сторона ориентирована под острым углом к направлению струи, что обеспечивает плавное набегание последней на лопасть.
По мере размыва шламового стакана устройство допускают на колонне бурильных труб к нижней границе интервала установки цементного моста.
При наличии в стволе скважины спрессованного шламового стакана выше нижней границы интервала установки цементного моста, не размываемого асимметричной струей, прямую циркуляцию бурового раствора ведут с одновременным вращением бурильной колонны и созданием осевой нагрузки на забой через пикообразную лопасть 8. При этом крутящий момент, необходимый для разрушения шламового осадка пикообразной лопастью 8, предается к ней от колонны бурильных труб через патрубок 1 и жестко связанный с его нижней частью башмак 6. Прочность патрубка 1 со сквозными радиальными цилиндрическими отверстиями 2 в средней части обеспечивает передачу крутящего момента, необходимого для разрушения шламового стакана.
При достижении нижней границы интервала установки цементного моста прямую циркуляцию бурового раствора останавливают. В колонну бурильных труб опускают бросовый шар 10. Бросовый шар 10 опускается под действием собственного веса на посадочное седло 9 башмака 6, перекрывая тем самым внутреннее промывочное отверстие 7.
В колонну бурильных труб закачивают порцию тампонажного раствора, объем которой обеспечивает заполнение ствола скважины в интервале установки цементного моста с учетом запаса на смешение с буровым раствором и заполнение поглощающих каналов пласта. Порцию тампонажного раствора продавливают к устройству закачкой в колонну бурильных труб бурового раствора с расчетной подачей. При этом весь поток поступает в полость патрубка 1 и через сквозные радиальные цилиндрические отверстия 2 в полость В и далее через кольцевую щель 15 в кольцевое пространство скважины.
Кольцевая щель 15 формирует неразрывную струю в направлении от оси устройства между наружной поверхностью устройства и стенкой скважины.
Формирование неразрывного потока жидкости в полости В на уровне входа в кольцевую щель 15 обеспечивается за счет шахматного расположения сквозных радиальных цилиндрических отверстий 2 и расположения их нижнего ряда выше уровня кольцевой щели 15 на высоту, превышающую или равную разнице внутреннего диаметра верхней втулки и наружного диаметра патрубка в средней части. Это позволяет предотвратить образование локальных завихрений при движении жидкости по направлению к входу в кольцевую щель 15 параллельно оси устройства и ликвидировать концевые эффекты при движении потока по полости В. При этом происходит качественное очищение стенок скважины от фильтрационной корки в интервале установки цементного моста, очистка каверн от шлама и застойных масс бурового раствора, т.к. воздействие струи оказывается одновременно по всему периметру.
Образующие кольцевой щели 15 задают направление начального участка неразрывной струи из устройства в сторону верхней границы интервала установки цементного моста.
Уменьшить давление на дно полости В (нижняя втулка 13) позволяет наличие разгрузочной камеры А, в которую передается давление из полости В через сквозные радиальные цилиндрические отверстия 2, полость патрубка 1 и сквозные радиальные цилиндрические отверстия 3.
При подходе тампонажного раствора к кольцевой щели 15 без прекращения его продавливания устройство поднимают к верхней границе интервала установки цементного моста за счет извлечения из скважины колонны бурильных труб. По окончании продавливания устройство должно находиться на уровне верхней границы интервала установки цементного моста. Продолжают закачивание бурового раствора в колонну бурильных труб с целью вымывания излишков тампонажного раствора из скважины. После этого устройство приподнимают, а скважину оставляют на период ожидания затвердевания тампонажного раствора.
В случае засорения кольцевой щели 15 при непрекращающемся нагнетании жидкости в бурильную колонну давление в полости В резко возрастает. Сила давления, действующая на дно полости В, приводит к срезу штифта 14. В результате этого нижняя втулка 13 перемещается в сторону башмака 6 вдоль патрубка 1. При этом раскрытость кольцевой щели 15 между верхней 5 и нижней 13 втулками увеличивается и засоряющие вещества вымываются в кольцевое пространство. Тем самым избегается аварийная ситуация в виде затвердевания тампонажного раствора в полости бурильной колонны и устройства.
Анализ изобретательского уровня показал следующее:
известно устройство, в котором подвижная втулка, образующая с корпусом полость, гидравлически связанную через радиальные отверстия с проходным каналом корпуса, перемещается под действием перепада давления (см. а.с. SU № 470589 от 04.01.74 г. E21В 37/02, опубл. 15.05.75 г. ОБ № 18).
Из общедоступных источников патентной и научно-технической литературы нам не известны технические решения, имеющие в своей основе признаки, совпадающие со всеми отличительными признаками заявляемого технического решения. Таким образом, последнее не следует явным образом из проанализированного уровня техники, т.е. имеет изобретательский уровень.
Возможность осуществления предлагаемого технического решения поясняется следующим примером.
Устройство было испытано в процессе борьбы с поглощением бурового раствора при бурении скважины. Ствол скважины до глубины 229 м обсажен кондуктором диаметром 0,3239 м (с толщиной стенки 0,012 м). В процессе проводки скважины долотом диаметром 0,2953 м в интервале 236-236,5 м при резком увеличении механической скорости бурения произошло интенсивное поглощение бурового раствора плотностью 1150 кг/м3.
Для ликвидации поглощения в скважине устанавливают цементный мост в интервале 240 м (забой скважины, соответствующий нижней границе интервала установки цементного моста) – 229 м (верхняя граница интервала установки цементного моста соответствует глубине спуска кондуктора).
Перед спуском в скважину устройства на кольцевом упорном выступе 4 устанавливают элемент 16, обеспечивающий раскрытость кольцевой щели 15 =0,008 м, что позволяет пропуск через нее частиц цемента диаметром до остающихся в тампонажном растворе при затворении без последующего использования фильтра Устройство соединяют с низом колонны бурильных труб диаметром 0,127 м и спускают в скважину. В процессе спуска устройство и внутренняя полость бурильных труб самозаполняются буровым раствором через внутреннее промывочное отверстие 7 башмака 6 и кольцевую щель 15.
На глубине 238 м был встречен шламовый стакан высотой 2 м, образовавшийся при бурении из-за начавшегося поглощения. Для размыва шламового стакана к колонне бурильных труб присоединяют ведущую трубу с вертлюгом и восстанавливают прямую циркуляцию бурового раствора с расходом 0,031 м3/с. При этом буровой раствор насосом У8-6МА2 нагнетают в колонну бурильных труб, из которых он поступает в патрубок 1 устройства. Здесь часть потока через внутреннее промывочное отверстие 7 башмака 6 разбивает шламовый стакан и поднимается по кольцевому пространству.
Другая часть потока через сквозное радиальное цилиндрическое отверстие 2 в средней части патрубка 1, кольцевую полость В и кольцевую щель 15 выходит в кольцевое пространство и соединяется с первой частью, поднимающейся с забоя. Далее весь поток бурового раствора поднимается по кольцевому пространству на дневную поверхность.
Для более эффективного разрушения шламового стакана устройство через колонну бурильных труб вращают механическим ротором Р-460 со скоростью N=15 мин-1, создавая при этом осевую нагрузку G=39,2 кН на пикообразную лопасть 8 башмака 6. При этом крутящий момент, передаваемый от колонны труб к вооружению устройства, составлял (Федоров B.C. Практические расчеты в бурении. – М.: Недра, 1966):


При достижении глубины 240 м – нижней границы интервала установки цементного моста, вращение колонны бурильных труб останавливают, скважину промывают до прекращения выноса шлама, после чего циркуляцию бурового раствора прекращают.
В колонну бурильных труб опускают бросовой шар 10 диаметром 0,065 м. Бросовой шар 10 под действием собственного веса опускается в посадочное седло 9 башмака 6 устройства и перекрывает тем самым внутреннее промывочное отверстие 7 в нем.
В колонну бурильных труб закачивают порцию тампонажного раствора в объеме 1,0 м3, плотностью 1800 кг/м3, растекаемостью по концу по конусу АзНИИ 0,018-0,020 м, приготовленного из портландцемента тампонажного ПЦТ I – СС-50. Продавливают тампонажный раствор по колонне бурильных труб к устройству закачкой 1,2 м3 бурового раствора с расходом 0,031 м3/с. При этом буровой раствор, а затем тампонажный раствор всем потоком поступает в полость патрубка 1 устройства, откуда через сквозные радиальные цилиндрические отверстия 2 в средней части патрубка диаметром 0,02 м поступают в кольцевую полость B. Количество рядов сквозных радиальных цилиндрических отверстий 2 определяют по формуле:

Количество сквозных радиальных цилиндрических отверстий 2 в ряду (n=6) принято с учетом диаметральных размеров патрубка 1 устройства и самих отверстий. А величина допустимого напряжения на кручение определена по справочным данным для стали Сталь 40, из которой изготовлен патрубок; (В.И.Анурьев. Справочник конструктора-машиностроителя, T.1, -М.: Машиностроение, 2001) с учетом коэффициента концентрации напряжений от трех поперечных отверстий в валу К =23=8 (Решетов Д.Н. Детали машин. М.: Машиностроение, 1964):

При этом нижний край сквозных радиальных цилиндрических отверстий нижнего ряда 2 расположен выше уровня кольцевой щели 15 устройства на высоту:
Н=0,18-0,125-0,055 м,
что обеспечивает ликвидацию концевых эффектов потока в полости В на уровне входа в кольцевую щель 15 устройства.
Из полости В весь поток жидкости напорно истекает в кольцевое пространство скважины через кольцевую щель 15, образованную нижней поверхностью верхней втулки 5 и верхней поверхностью нижней втулки 13. При этом образующие кольцевой щели 15 имеют форму боковой поверхности усеченного круглого прямого конуса, коаксиального патрубку 1, с вершиной ниже уровня кольцевой щели 15 и углом при вершине конуса 160°. За счет этого из кольцевой щели 15 устройства выходит неразрывная струя тампонажного раствора в направлении от оси устройства между его наружной поверхностью и стенкой скважины. Причем начальный участок неразрывной струи тампонажного раствора из устройства направлен под углом 80° в сторону верхней границе интервала установки цементного моста относительно оси устройства.
С началом выхода тампонажного раствора из кольцевой щели 15 устройство поднимают на колонне бурильных труб с расчетной скоростью 0,45 м/с к верхней границе интервала установки цементного моста 229 м, не прекращая продавливания в объеме 1,2 м3. В ходе подъема струя тампонажного раствора одновременно по периметру ствола скважины заполняет поглощающие каналы пласта. При достижении верхней границы интервала установки цементного моста подъем устройства прекращают и продолжают промывку скважины для вымывания излишков тампонажного раствора, прокачивая буровой раствор в объеме 1,3 м3. После этого устройство поднимают, а скважину оставляют на ожидание затвердения тампонажного раствора.
По окончании срока ОЗЦ в скважину на колонне бурильных труб спустили долото диаметром 0,2953 м, которым обнаружили кровлю цементного моста на глубине 229 м, что свидетельствует о качестве установки цементного моста. После разбуривания цементного моста поглощение бурового раствора не наблюдалось.
Таким образом, можно сделать вывод о соответствии заявляемого технического решения критерию промышленная применимость.
Предлагаемое изобретение соответствует условию патентоспособности, так как является новым, имеет изобретательский уровень и промышленно применимо.
Формула изобретения
Устройство для установки цементного моста, содержащее патрубок со сквозными радиальными отверстиями в средней части, верхнюю втулку, жестко связанную с патрубком в верхней части, башмак, жестко связанный с нижней частью патрубка, имеющий внутреннее промывочное отверстие, коаксиальное патрубку, и коническую наружную поверхность в нижней части, вооруженную пикообразной лопастью, выполненный с посадочным седлом под бросовый шар, и нижнюю втулку, расположенную над башмаком с возможностью осевого перемещения вдоль патрубка, а нижняя поверхность верхней втулки и верхняя поверхность нижней втулки формируют кольцевую щель, образующие которой имеют форму боковой поверхности усеченного круглого прямого конуса, коаксиального патрубку, с вершиной ниже уровня кольцевой щели, причем внутренние поверхности верхней и нижней втулок, и ответная им наружная поверхность патрубка образуют кольцевую полость, гидравлически связанную с полостью патрубка через сквозные радиальные отверстия, отличающееся тем, что дополнительно патрубок в нижней части имеет сквозные радиальные цилиндрические отверстия, при этом сквозные радиальные отверстия средней части патрубка также выполнены цилиндрическими и расположены в шахматном порядке рядами, количество которых определено по формуле
,
где n – количество рядов сквозных радиальных цилиндрических отверстий средней части патрубка;
– раскрытость кольцевой щели, м;
d – наружный диаметр кольцевой щели, м;
n1 – количество сквозных радиальных цилиндрических отверстий в ряду, равное n1=2, 4, 6…;
d1 – наружный диаметр патрубка в средней части, м;
М – крутящий момент, передаваемый от колонны труб к вооружению устройства, Нм;
[ ] – допустимое напряжение при кручении, определяемое по справочным данным, Па;
d2 – внутренний диаметр патрубка в средней части, м;
причем нижний край сквозных радиальных цилиндрических отверстий нижнего ряда расположен выше уровня кольцевой щели на высоту, выбранную из условия
h d3-d1,
где h – высота расположения нижнего ряда сквозных радиальных цилиндрических отверстий относительно уровня кольцевой щели, м;
d3 – внутренний диаметр верхней втулки, м,
а на наружной поверхности патрубка выше уровня верхнего ряда сквозных радиальных цилиндрических отверстий его средней части образован кольцевой упорный выступ, на котором расположен элемент, регулирующий раскрытость кольцевой щели, при этом башмак в верхней части имеет внутреннюю проточку, в которой расположена зафиксированная штифтом относительно башмака нижняя часть нижней втулки, с образованием разгрузочной камеры при основании внутренней проточки, гидравлически связанной с полостью патрубка через сквозные радиальные цилиндрические отверстия в его нижней части, а пикообразная лопасть имеет Г-образный вырез, разделяющий ее на две части при вершине сопряжения граней, сквозная продольная часть которого смещена относительно оси устройства в сторону набегающей грани одной части, а поперечная – представляет собой проточку, выполненную в противоположную сторону от смещения на задней грани другой части, при этом часть лопасти в месте выполнения поперечной части выреза в продольном сечении имеет форму трапеции.
РИСУНКИ
|