Патент на изобретение №2331633
|
||||||||||||||||||||||||||||||||||||||||||||||||||
(54) 4-ГЕКСИЛ-3-(ОКТЕН-2-ИЛ)-5-ЦИКЛОГЕКСЕН-1,2-ДИ[N,N-ДИ(2-АЛКИЛ/ЦИКЛОАЛКИЛИМИНО)-ЭТИЛ]-ДИГЕПТАНАМИД
(57) Реферат:
Изобретение относится к получению 4-гексил-3-(октен-2-ил)-5-циклогексен-1,2-ди[N,N-ди(2-алкил/циклоалкилимино)этил]-дигептанамида. Технический результат – 4-гексил-3-(октен-2-ил)-5-циклогексен-1,2-ди[N,N-ди(2-алкил/циклоалкилимино)этил]-дигептанамид, используемый в качестве отвердителя и пластификатора эпоксидных композиций, предназначенных для склеивания и герметизации различных материалов в промышленности и быту. 2 табл. где R –
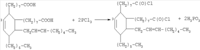
Изобретение относится к химической промышленности, а именно к получению нового производного димеризованной жирной кислоты – ее тетраиминодиамида – 4-гексил-3-(октен-2-ил)-5-циклогексен-1,2-ди[N,N-ди(2-алкил/циклоалкилимино)этил]-дигептанамида, который может быть использован в качестве латентного отвердителя и пластификатора эпоксидных композиций, отверждаемых в условиях высокой влажности и применяемых в строительстве, судостроении, для ремонта гидротехнических и подземных сооружений (шлюзов, шахт, тоннелей). Димеризованная жирная кислота (4-гексил-3-(октен-2-ил)-5-циклогексен-1,2-диоктановая кислота) представляет собой продукт термической полимеризации непредельных жирных кислот (C18), выделенных из природных растительных масел (таллового, льняного, соевого, тунгового) [Сорокин М.Ф., Кочнова З.А., Шодэ Л.Г. Химия и технология пленкообразующих веществ. М.: Химия, 1989. 480 с.]. Особые физико-химические характеристики димеризованной жирной кислоты обеспечивают эластичность, адгезионные свойства, водо- и химстойкость ее производных, что позволяет широко использовать их в качестве клеев-расплавов, отвердителей и модификаторов эпоксидных и фенолформальдегидных смол, а также в составе покрытий, лаков и красителей. Известны производные димеризованной жирной кислоты, представляющие собой – полиамиды, используемые как клеи-расплавы [заявка ФРГ №4408276, С08L 77/08, опубл. 14.09.95 заявка ФРГ №4408277, С09J 177/00, опубл. 14.09.95]; – олигоамиды, используемые в составе покрытий, лаков и красителей [Попова Т.А., Жилина Н.В., Родивилова Л.А. и др. Производство олигоамидов за рубежом. Обзорн. инф. Сер. «Пластические массы и синтетические смолы». М.: НИИТЭХИМ, 1979. 32 с]. Изобретательская задача состояла в поиске нового соединения, являющегося производным димеризованной жирной кислоты, которое при использовании его, например, в качестве латентного отвердителя и пластификатора эпоксидных смол давало бы высокопрочные эластичные композиции, обладающие комплексом ценных физико-механических свойств, хорошей атмосферо- и химстойкостью. Поставленная задача решена 4-гексил-3-(октен-2-ил)-5-циклогексен-1,2-ди[N,N-ди(2-алкил/циклоалкилимино)этил]-дигептанамидом формулы где R – 4-гексил-3-(октен-2-ил)-5-циклогексен-1,2-ди[N,N-ди(2-метилизобутилимино)этил]-дигептанамид представляет собой вязкую жидкость золотистого цвета с кислотным числом 2,30 мг КОН/г продукта; 4-гексил-3-(октен-2-ил)-5-циклогексен-1,2-ди[N,N-ди(2-циклогексанимино)этил]-дигептанамид представляет собой вязкую жидкость золотистого цвета с кислотным числом 1,80 мг КОН/г продукта; Структура 4-гексил-3-(октен-2-ил)-5-циклогексен-1,2-ди[N,N-ди(2-алкил/циклоалкилимино)этил]-дигептанамида доказана данными элементного анализа, ИК и ЯМР-спектроскопии. Изобретение позволяет получить следующие преимущества: использование 4-гексил-3-(октен-2-ил)-5-циклогексен-1,2-ди[N,N-ди(2-алкил/циклоалкилимино)этил]-дигептанамида в качестве латентного отвердителя эпоксидной смолы, во-первых, обеспечит химическую стойкость и высокую адгезионную прочность соединения полимера с материалами различной природы благодаря наличию большого количества полярных, но трудногидролизуемых групп -N-C(O)-, во-вторых, наличие в тетраиминодиамиде димеризованной жирной кислоты больших алкильных заместителей будет способствовать образованию так называемых флексибилизированных отвержденных композиций с высокой вибро- и ударостойкостью. Заявляемое новое производное димеризованной жирной кислоты получено следующим способом. Для реализации способа используют следующие вещества: димеризованная жирная кислота «Pripol 1013» (получена полимеризацией линолевой кислоты; содержание димеров не менее 97%) – CAS №61788-89-4 треххлористый фосфор – ГОСТ 91-73 толуол – ГОСТ 5789-78 диэтилентриамин – ЕС №203-865-4 метилизобутилкетон – CAS №108-10-1 циклогексанон – ГОСТ 24615-81 триэтиламин – ГОСТ 9966-88 Способ реализуется в три стадии: 1. Синтез дихлорангидрида димеризованной жирной кислоты по схеме димеризованная жирная кислота В колбу, снабженную холодильником и капельной воронкой с хлоркальциевыми трубками, помещают 290 г (0,52 моль) димеризованной жирной кислоты и по каплям в течение 40 минут добавляют 52,6 мл (0,6 моль) треххлористого фосфора. Нагревают реакционную смесь до 50°С и выдерживают при этой температуре 3 часа, после чего оставляют на ночь при комнатной температуре. В смесь добавляют 150 мл толуола, перемешивают и снова нагревают в течение 2 часов при температуре 50°С. Затем реакционную смесь декантируют, отгоняют из нее растворитель, после чего фильтруют и вакуумируют при 50-60°С и 3 мм рт.ст. до постоянного веса. Выход дихлорангидрида составляет 95,6%.
Молекулярная масса 597. Найдено, %: С 77,20; Н 11,10; Cl 11,80. Вычислено, %: С 77,14; Н 11,07; Cl 11,89. С36Н61O2Cl2. ИК спектр: характерная полоса поглощения валентных колебаний С=O группы хлорангидрида (1805 см-1). ЯМР спектр: ЯМР 1Н ( 1.26 (-(СН2)n-), 4.5-5.36 и 6.79-7.0 (-СН=СН-). ЯМР13 С ( 2. Синтез азометина по схеме где R – В колбу, снабженную мешалкой и насадкой Дина-Старка с холодильником, помещают 100 г (1,0 моль) диэтилентриамина и 300 г (3,0 моля) метилизобутилкетона или 300 г (3,06 моля) циклогексанона, из них 15 г – в насадку. Нагревают реакционную смесь при температуре 130-150°С в течение 5-8 часов до прекращения выделения воды. Избыток кетона и остатки воды отгоняют под вакуумом в течение 3-5 часов при температуре 80-140°С и постепенном повышении давления от 40 до 1 мм рт.ст. Азометин, полученный из диэтилентриамина и метилизобутилкетона, выделяли в процессе вакуумной разгонки при 138-140°С и 1 мм рт.ст. Выход азометина, полученного из диэтилентриамина и метилизобутилкетона, составляет 85,6%.
Аминное число 609,40 мг КОН/г продукта. Молекулярная масса 267. Найдено, %: С 71,88; Н 12,39; N 15,70. Вычислено, %: С 71,91; Н 12,36; N 15,73. C16H33N3. ИК спектр: характерные полосы поглощения валентных колебаний С=N-групп (1662 см-1); NH-групп (3200-3500 см-1) и деформационных колебаний С-Н в гем-диметильной группе (расщепление в дуплет полосы 1380 см-1). ЯМР спектр: AMP 1H ( 1.81 (c, 6H, N=CCH3); 1.98 2.93 (т, 4H, CH2NH, J=6,3); 3.36 (т, 4H, CH2N, J=6,3). По данным ЯМР 13С и DEPT-135 продукт является смесью двух Е,Е(I) и Z,E(II)-изомеров относительно двойной C=N связи. Спектр ЯМР 13С изомера I ( 25.9 Азометин, полученный из диэтилентриамина и циклогексанона, выделяли в процессе вакуумной разгонки при 190-194°С и 1 мм рт.ст. Выход азометина, полученного из диэтилентриамина и циклогексанона, составляет 86%.
Аминное число 586,50 мг КОН/г продукта. Молекулярная масса 263. Найдено, %: С 72,96; Н 11,08; N 15,94. Вычислено, %: С 73,0; Н 11,03; N 15,97. C16H29N3. ИК спектр: характерные полосы поглощения С=N-групп (1664 см-1); NH-групп (3300 см-1). ЯМР спектр: AMP 1H ( ЯМР 13С и DEPT ( 3. Синтез 4-гексил-3-(октен-2-ил)-5-циклогексен-1,2-ди[N,N-ди(2-алкил/циклоалкилимино)этил]-дигептанамида по схеме где R – В колбу, снабженную мешалкой, термометром, холодильником и капельной воронкой с хлоркальциевыми трубками, помещают 100 г (0,37 моль) азометина, растворенного в 200 мл толуола и 50,5 г (0,5 моль) триэтиламина, растворенного в 50 мл толуола, перемешивают. Дихлорангидрид димеризованной жирной кислоты в количестве 110,45 г (0,185 моль) растворяют в 150 мл толуола и по каплям в течение 2 часов при комнатной температуре добавляют в реакционную смесь, которую перемешивают еще 1 час и оставляют на ночь. К продукту реакции прибавляют 50 мл толуола и фильтруют под вакуумом на фильтре Шотта, постепенно повышая давление до 45 мм рт.ст. Избыток толуола и триэтиламин отгоняют в вакууме при 70-10 мм рт.ст. и температуре 45-75°С. Выход 4-гексил-3-(октен-2-ил)-5-циклогексен-1,2-ди[N,N-ди(2-метилизобутилимино)этил]-дигептанамида составляет 97,4%.
Кислотное число 2,30 мг КОН/г продукта. Молекулярная масса 1058. Найдено, %: С 77,53; Н 11,96; N 7,85. Вычислено, %: С 77,13; Н 11,91; N 7,94. С68Н126N6O2. ИК спектр: сложный характер поглощения 1650 см-1 – суммарные валентные колебания С=O третичной амидной группы и C=N-групп. ЯМР спектр: ЯМР 1H ( ЯМР 13С ( Выход 4-гексил-3-(октен-2-ил)-5-циклогексен-1,2-ди[N,N-ди(2-циклогексанимино)этил]-дигептанамида составляет 96,5%.
Кислотное число 1,80 мг КОН/г продукта. Молекулярная масса 1050. Найдено, %: С 77,65; Н 11,30; N 7,90. Вычислено, %: С 77,71; Н 11,24; N 8,0. С68Н118N6О2. ИК спектр: сложная полоса поглощения 1650 см-1 – суммарные валентные колебания С=O третичной амидной группы и C=N-групп. ЯМР спектр: ЯМР 1H ( ЯМР 13С ( Ниже приведены примеры конкретного применения предлагаемого нового химического соединения. Однако эти примеры не исчерпывают другие его возможные области применения. Пример: Использование 4-гексил-3-(октен-2-ил)-5-циклогексен-1,2-ди[N,N-ди(2-алкил/циклоалкилимино)этил]-дигептанамида в качестве латентного отвердителя и пластификатора эпоксидных композиций, применяемых в строительстве, судостроении, для ремонта гидротехнических и подземных сооружений. Эпоксидную композицию готовят путем тщательного смешения компонентов в соотношениях, указанных в таблицах. Испытания эпоксидных клеевых композиций проводили на образцах из стали марки Ст3 и алюминиевого сплава Д16АТ. Для обеспечения необходимой прочности и долговечности клеевого соединения стальные образцы обезжиривали ацетоном и обрабатывали шлифовальной шкуркой до равномерной шероховатости, алюминиевые образцы обезжиривали ацетоном и протравливали в специальном растворе. Обработку поверхностей склеиваемых образцов осуществляли по методикам [Кардашов Д.А. Конструкционные клеи. М.: Химия, 1980. 288 с.]. Эпоксидные композиции наносят на увлажненные водой поверхности образцов, соединяют и фиксируют изделие для обеспечения правильного положения склеиваемых деталей относительно друг друга. Жизнеспособность композиций ЭД-20 : ЦГ в соотношениях 100:100 и 100:50 (вес.ч.) при 13-20°С без доступа влаги (атмосфера азота) составляет 8 суток, затем начинается процесс желатинизации.
Наряду с использованием 4-гексил-3-(октен-2-ил)-5-циклогексен-1,2-ди[N,N-ди(2-алкил/циклоалкилимино)этил]-дигептанамида в качестве латентного отвердителя эпоксидной смолы при склеивании металлов, данное соединение испытывали в композициях состава: ЭД-20 : 4-гексил-3-(октен-2-ил)-5-циклогексен-1,2-ди[N,N-ди(2-метилизобутилимино)этил]-дигептанамид : полиэтиленполиамин (соотношение 100:20:14 вес.ч.) и ЭД-20 : 4-гексил-3-(октен-2-ил)-5-циклогексен-1,2-ди[N,N-ди(2-циклогексанимино)этил]-дигептанамид : полиэтиленполиамин (соотношение 100:20:14 вес.ч.) для соединения стеклопластика марки ГАРС. Прочность клеевого соединения при сдвиге составила соответственно 11,0 МПа и 12,0 МПа. Исследование 4-гексил-3-(октен-2-ил)-5-циклогексен-1,2-ди[N,N-ди(2-метилизобутилимино)этил]-дигептанамида и 4-гексил-3-(октен-2-ил)-5-циклогексен-1,2-ди[N,N-ди(2-циклогексанимино)этил]-дигептанамида в качестве дополнительных компонентов системы ЭД-20 : полиэтиленполиамин (соотношение 100:14 вес.ч.) показало, что данная композиция, полученная без использования этих соединений, представляет собой хрупкое вещество, растрескивающееся при определении твердости по Бриннелю (ГОСТ 4670-91). Введение в композицию 20 вес.ч. одного из соединений позволяет получить продукты с твердостью по Бриннелю соответственно 43 Н/мм2 и 42 Н/мм2, что указывает на значительные пластифицирующие свойства 4-гексил-3-(октен-2-ил)-5-циклогексен-1,2-ди[N,N-ди(2-алкил/циклоалкилимино)этил]-дигептанамида, обусловленные наличием в его составе объемного циклоалкиленового фрагмента.
Формула изобретения
4-гексил-3-(октен-2-ил)-5-циклогексен-1,2-ди[N,N-ди(2-алкил/циклоалкилимино)этил]-дигептанамид формулы где R –
|
||||||||||||||||||||||||||||||||||||||||||||||||||


, 

, 




, м.д.): 0.85-0.88 (-СН3),
, 

J=6.3;
2.13 (м, 4H, N=CCH2);
50.4, 51.6 и 51.1
170.4 (C=N); изомера II (
22.5
26.2
27.3
41.2
50,6
50.8 и 51.0
170.5 ((E)-C=N); 170.8 ((Z)-C=N).

2.91
2.29 (
-протоны циклогексильного фрагмента СН2-С=N).
173.0 

, 

4.5-5.36 и 6.79-7.0 (СН=СН).

122.0, 123.7 и 135.6 (СН=СН); 173.1 (-C(O)-N-).
, 