Патент на изобретение №2161160
|
||||||||||||||||||||||||||
(54) СПОСОБ ПОЛУЧЕНИЯ 6,8-ДИМЕТИЛ-2-ПИПЕРИДИНОМЕТИЛ-2,3-ДИГИДРОТИАЗОЛО-[2,3-f]КСАНТИНА
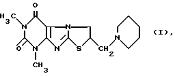
(57) Реферат: Изобретение относится к улучшенному способу получения 6,8-диметил-2-пиперидинометил-2,3-дигидротиазоло[2,3-f] ксантина формулы I, вызывающего индукцию микросомальных ферментов печени. 8-Бромтеофиллин подвергают взаимодействию с 2-(N-пиперидинометил)тиираном в среде диметилформамида в присутствии едкого кали при температуре кипения реакционной смеси. Охлаждают до комнатной температуры и отфильтровывают целевой продукт с выходом 65%, Тпл 238 – 240oC. Изобретение позволяет увеличить выход и упростить процесс. Полученное соединение при двукратном внутрижелудочном введении мышам-самцам вызывает длительную, ярко выраженную индукцию микросомальных ферментов печени, превосходящую по ряду параметров эффект эталонного индуктора микросомальных ферментов бензонала. 3 табл. Изобретение относится к области органической химии, а именно к способу получения 6,8-диметил-2-пиперидинометил-2,3- дигидротиазоло [2, 3-f] ксантина формулы I ![]() которое может найти применение в медицине. Известен способ получения соединения I (лабораторный шифр Х-68). 1. Обработкой 8-бромтеофиллина едким кали получают калиевую соль 8-бромтеофиллина с выходом 92% [Кочергин П.М., Линенко В.И., Ткаченко А.А. и др. Исследования в ряду имидазола. L III. Синтез и фармакологическое действие производных имидазо[1,2-f]ксантина / Хим.-фарм. журн.- 1971.- N 2.- С. 22- 26. ]. Взаимодействием калиевой соли 8-бромтеофиллина с эпитиохлоргидрином в течение 10 ч получают 8-бром-1,3-диметил-7-(2,3-эпитиопропил)-ксантин с выходом 10% [Халиуллин Ф.А., Катаев В.А., Строкин Ю.В. Взаимодействие галогенопроизводных ксантина и бензимидазола с эпитиохлоргидрином / Деп. В ВИНИТИ 22.1 1.88, n 8223.- В. 88.- 5 с.]. Реакцией 8-бром-1,3-диметил-7-(2,3-эпитиопропил)ксантина с пиперидином в течение 3 ч получают соединение I с выходом 93%, Тпл 238- 240oC [Халиуллин Ф.А., Мироненкова Ж.В., Гильманов А. Ж. и др. Синтез и изучение гипогликемической активности производных 2,3-дигидротиазоло[2,3-f]ксантина / Хим.-фарм. журн.- 1994.- N 9.- С. 33- 34]. Общий выход целевого соединения I равен 92% 0.10 0.93 = 8.6%.
Недостатками способа являются: низкий выход (8.6%) соединения I; сложность процесса: получение идет в три стадии, большая общая длительность (13 ч).
Цель изобретения – увеличение выхода и упрощение процесса получения 6,8-диметил-2-пиперидинометил-2,3-дигидротиазоло[2,3- f]ксантина.
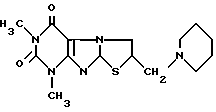
Поставленная цель достигается получением соединения I способом, заключающимся во взаимодействии 8-бромтеофиллина с 2- (N-пиперидинометил)тиираном в среде диметилформамида в присутствии едкого кали при температуре кипения реакционной смеси по схеме (см. в конце описания).
Приведенный ниже пример иллюстрирует описываемый способ получения.
Пример. Раствор 1.30 г (5 ммоль) 8-бромтеофиллина, 0.79 г (5 ммоль) 2-(N-пиперидинометил)тиирана и 0.28 г (5 ммоль) едкого кали в 30 мл диметилформамида кипятят в течение 1 часа. Охлаждают до комнатной температуры, выпавший осадок отфильтровывают, промывают водой, сушат.
Получают 1.09 г (65%) соединения I с Тпл 238- 240oC (изопропанол), который не дает депрессии температуры плавления с образцом, синтезированным по известному методу.
Найдено,%: С 53.92, H 6.39, N 20.75;Вычислено,%: С 53.71, H 6.31, N 20.88. Спектр ЯМР 1H (CDCl3, ТМС): 3.31 и 3.49 (по 3H, с, NCH3); 2.65 (J 8.0 Гц) и 2.70 (J 7.5 Гц) (2H,2J 12.7 Гц, 2-CH2N); 4.21 (J 7.1 Гц) и 4.44 (J 7.6 Гц) (2H, 2J 11.3 Гц, NCH2); 4.57- 4.67 (1H, м, SCH); 1.35- 1.43 (2H, м, CCH2), 1.47- 1.61 (4H, м, C(CH2)2); 2.37-2.45 (4H, м, N(CH2)2). Спектр ЯМР 13С (CDCl3): 27.97 и 29.96 (6- и 8-СН3); 49.78 (С3), 52.03 (C2), 62.17 (2-CH2); углероды пиперидина: 24.16 (CH2); 25.90 (2CH2); 54.86 (N(CH2)2); углероды ксантина 107.11; 151.40; 152.46; 153.72 и 156.91. Спектр ЯМР сняты на приборе Bruker АМ-300 Таким образом, описываемый способ получения позволяет: увеличить выход соединения 1 до 65% (в условиях известного способа 8.6%); упростить процесс получения, уменьшив количество стадий до одной (в условиях известного способа три стадии) и сократив длительность процесса до 1 часа (в условиях известного способа 13 часов). Влияние соединения I (X-68) на микросомальную активность печени изучали в экспериментах на неинбредных половозрелых мышах-самцах с использованием общепринятого теста “гексеналового сна”, позволяющего косвенно судить о функциональной активности смешанных оксидаз [Каспаров А.А., Саноцкий И.В., 1986]. С целью исключения центральных влияний на длительность сна (психостимулирующего и гипноседативного эффектов) соединение исследовано в тесте “барбиталового сна” [Гацура В.В., Саратиков А.С., 1977]. В качестве препарата сравнения выбран бензонал (1-бензоил-5- этил-5-фенилбарбитуровая кислота), который, наряду с фенобарбиталом, является эталонным индуктором микросомальных ферментов, но существенно превосходит его по способности индуцировать микросомальные ферменты печени и оказывает менее выраженный гипноседативный эффект [Машковский М.Д., 1997, Новожеева Т. П., 1998]. Соединения разводили в 2% крахмальной взвеси, вводили двукратно внутрижелудочно с интервалом 24 часа, спустя сутки после последнего введения проводили тестирование. Контрольные животные получали 2% крахмальную взвесь в эквиобъемных количествах. Острую токсичность определяли при внутрижелудочном введении по методу Litchfield J. и Wilcoxon F. в модификации Прозоровского В.Б., 1962. Выживаемость животных наблюдали в течение первых суток. LD50 X-68 = 816 (734-892) мг/кг, что соответствует 3 классу опасности (умеренно опасные). Бензонал относится к этому же классу химически опасных веществ LD50 = 192 (162-223) мг/кг. X-68 в широком диапазоне доз вызывал статистически значимое уменьшение длительности гексеналового сна, четкий эффект наблюдался даже в дозе 0.0005 мг/кг, что является 1/16324000 частью от LD50 изучаемого соединения (табл. 1). Как видно из таблицы, зависимости эффекта от дозы X-68 не наблюдалось, что не позволило, используя общепринятые методы, вычислить среднюю эффективную дозу и, соответственно, терапевтический индекс соединения. Укорочение гексеналового сна, наблюдаемое после двукратного введения X-68, не связано с влиянием на ЦНС, поскольку длительность барбиталового сна (барбитал – труднометаболизируемое инертное соединение, практически полностью, до 95%, выводимое почками в неизменном виде) при аналогичной схеме и дозах введения не отличалась от значений контрольной группы. Введение эквитоксических доз бензонала и Х-68 выявило существенные преимущества описываемого соединения: наблюдаемый индуцирующий эффект был более выражен и превосходил таковой бензонала. Так, в 1/100 от DL50 бензонал не оказывал заметного влияния, тогда как X-68 вызывал укорочение длительности гексеналового сна на 70%; а в 1/20 от DL50 индекс стимуляции бензонала составил 42%, Х-68 – 89% (табл.2). Изученное соединение, в отличие от бензонала, обладает существенно более длительным индуцирующим эффектом (табл. 2). Укорочение гексеналового сна, как в дозе 1/100 DL50 (8 мг/кг), так и в дозе 1/20 DL50 (41 мг/кг), достоверно и на 8-е сутки после введения, тогда как длительность эффекта бензола (1/20 DL50) не более 2 суток, а доза 1/100 DL50, не являясь индуцирующей, на 4-6 сутки с момента последнего введения вызывает угнетение микросомальных ферментов печени (табл. 3). При использовании бензонала в дозе, вызывающей четкую индукцию микросомальных ферментов и, по литературным данным, наиболее часто применяемой (35 мг/кг) [Новожеева Т.П., 1998], эффект регистрируется лишь 4 суток (табл. 3). Индукция микросомальных ферментов под влиянием Х-68 подтверждена в опытах прямого количественного определения уровня цитохрома P 450 в печени крыс по методу Omura Т. и Sato R., 1962. Уровень цитохрома P 450 после 2-кратного внутрижелудочного введения X-68 (35 мг/кг) достоверно увеличивался на 32% (X-68 – 657.36 38.22 мМ/г ткани; контроль – 499.17 39.99 мМ/г ткани; P<0.05).
Таким образом, Х-68 обладает ярко выраженным длительным индуцирующим эффектом, существенно превосходит бензонал по терапевтической широте, длительности действия и выгодно отличается более низкой токсичностью. Формула изобретения
![]() включающий использование 8-бромтеофиллина, отличающийся тем, что 8-бромтеофиллин подвергают взаимодействию с 2-(N-пиперидинометил)тиираном в среде диметилформамида в присутствии едкого кали при температуре кипения реакционной смеси. РИСУНКИ
MM4A Досрочное прекращение действия патента Российской Федерации на изобретение из-за неуплаты в установленный срок пошлины за поддержание патента в силе
Дата прекращения действия патента: 02.04.2002
Номер и год публикации бюллетеня: 12-2003
Извещение опубликовано: 27.04.2003
|
||||||||||||||||||||||||||


0.10
38.22 мМ/г ткани; контроль – 499.17