|
|
(21), (22) Заявка: 2003133216/15, 29.05.2002
(24) Дата начала отсчета срока действия патента:
29.05.2002
(30) Конвенционный приоритет:
31.05.2001 SE 0101932-2
(43) Дата публикации заявки: 20.04.2005
(46) Опубликовано: 20.08.2008
(56) Список документов, цитированных в отчете о поиске:
WO 00/34283 A1, 15.06.2000. WO 97/03084 A1, 30.01.1997. МАШКОВСКИЙ М.Д. Лекарственные средства. – М.: ООО Новая волна, 2001, ч.1, с.164, 468. МАШКОВСКИЙ М.Д. Лекарственные средства. – М.: Медицина, 1993, ч.1, с.6-7. ТЕНЦОВА А.И., АЖИХИН И.С. Лекарственная форма и терапевтическая активность лекарств. – М.: Медицина, 1974, с.41-42.
(85) Дата перевода заявки PCT на национальную фазу:
31.12.2003
(86) Заявка PCT:
SE 02/01033 (29.05.2002)
(87) Публикация PCT:
WO 02/096428 (05.12.2002)
Адрес для переписки:
191036, Санкт-Петербург, а/я 24, “НЕВИНПАТ”, пат.пов. А.В.Поликарпову
|
(72) Автор(ы):
ДИКСОН Джон (GB), ХАМФРИС Роберт (GB), НАЙКОЛ Эликзэндер (GB)
(73) Патентообладатель(и):
АстраЗенека АБ (SE)
|
(54) ФАРМАЦЕВТИЧЕСКИЕ КОМБИНАЦИИ
(57) Реферат:
Изобретение относится к области фармакологии и медицины и касается набора для применения в лечении тромбоза, содержащего соединение формулы (1) и аспирин, фармацевтической композиции, содержащей соединение формулы (1) и аспирин, и применения фармацевтической композиции, содержащей соединение формулы (1) и фармацевтической композиции, содержащей аспирин, при лечении тромбоза. Изобретение обеспечивает повышенную эффективность лечения. 3 н. и 3 з.п. ф-лы, 1 ил.

Настоящее изобретение относится к фармацевтическим комбинациям, содержащим антагонист Р2T(Р2Y12)-рецептора и другой антитромботический агент, и к их применению при лечении и предупреждении тромбоза.
ПРЕДШЕСТВУЮЩИЙ УРОВЕНЬ ТЕХНИКИ
Возрастающее понимание механизмов, лежащих в основе тромбоза, и воздействий на него, привело к появлению полифармакологического антитромботического подхода, использующего антитромбоцитарные агенты, антикоагулянты и фибринолитические агенты в виде комбинаций, подходящих как для экстренного лечения, так и для вторичной профилактики. Примеры используемых антитромботических соединений включают в себя антитромбоцитарные агенты, такие как аспирин, клопидогрел, тиклопидин, дипиридамол, GPIIb/IIIa-антагонисты; антикоагулянты, такие как ингибиторы тромбина, варфарин, ингибиторы фактора Ха, гепарин и низкомолекулярные гепарины; и фибринолитические агенты, включающие в себя стрептокиназу, тканевой активатор плазминогена (tPA) и тенектеплазу, но не ограничиваясь ими.
В международной заявке на патент WO 97/29753 раскрыта фармацевтическая композиция, содержащая клопидогрел и аспирин. В международной заявке на патент WO 00/53264 раскрыт способ лечения тромбоза путем введения комбинации ингибитора фактора Ха и соединения, выбранного из аспирина, tPA, GPIIb/IIIa-антагониста, низкомолекулярного гепарина и гепарина. В международной заявке на патент WO 00/64470 раскрыт фармацевтический препарат, содержащий низкомолекулярный ингибитор тромбина и пролекарство низкомолекулярного ингибитора тромбина.
Несмотря на сделанный прогресс сохраняется недостаток существующих антитромботических агентов и их комбинаций, который заключается в том, что оптимальное фармакодинамическое соотношение риск/польза (антитромботическое/антигемостатическое действие) до сих пор не достигнуто. Таким образом, существует необходимость в более эффективной антитромботической терапии.
В международной заявке на патент WO 9905143 раскрыт в общем ряд триазоло[4,5-d]пиримидиновых соединений, обладающих активностью Р2T (также известных как P2Y12, Р2YADP или Р2ТAC)-антагонистов. Недавно был описан новый класс прямых (которые не являются пролекарством) антагонистов Р2T-рецептора, которые дают значительные улучшения по сравнению с другими антитромботическими агентами. В международной заявке на патент WO 0034283 раскрыты новые «прямые» антагонисты Р2T-рецептора, включающие в себя соединения формулы (I) (смотри ниже). Эти соединения могут быть использованы при любом состоянии, в которое вовлечена активация или агрегация тромбоцитов. Таким образом, данные соединения могут действовать как антитромботические агенты и могут быть использованы в первичной и вторичной профилактике и лечении тромботических осложнений.
ОПИСАНИЕ ИЗОБРЕТЕНИЯ
Авторами настоящего изобретения неожиданно обнаружено, что введение соединения формулы (I):

где:
R представляет собой СН2OH или O(СН2)2OH;
R1 представляет собой С3-4алкил, возможно, замещенный тремя атомами галогена;
R2 представляет собой фенил или 3,4-дифторфенил;
или его фармацевтически приемлемого производного
и другого антитромботического агента или его фармацевтически приемлемого производного,
дает значительное улучшение по сравнению с другими доступными в настоящее время комбинированными способами антитромботического лечения.
В соответствии с этим комбинированное введение соединения формулы (I) или его фармацевтически приемлемого производного и другого антитромботического агента или его фармацевтически приемлемого производного может быть использовано при лечении и предупреждении тромбоза, в частности при лечении тромботических осложнений атеросклеротического заболевания и воздействий на него.
Согласно первому аспекту данного изобретения предложен набор, содержащий:
(а) соединение формулы (I) или его фармацевтически приемлемое производное (компонент а); и
(б) другой антитромботический агент или его фармацевтически приемлемое производное (компонент б);
где компоненты (а) и (б), каждый, предложены в форме (которая может быть одинаковой или разной), подходящей для введения в сочетании друг с другом.
Фармацевтически приемлемые производные соединения формулы (I) и другого антитромботического агента включают в себя соли (например фармацевтически приемлемые нетоксичные соли присоединения органической или неорганической кислоты (такие как соль соляной, бромистоводородной, азотной, серной или уксусной кислоты)), сольваты и сольваты солей.
Если имеется более чем один препарат, содержащий соединение формулы (I) или другой антитромботический агент, например, для обеспечения повторного дозирования, то такие препараты могут быть одинаковыми или могут быть разными в показателях дозировки, химического состава и/или физической формы.
R1 предпочтительно представляет собой н-пропил, 3,3,3-трифторпропил или н-бутил.
Другой антитромботический агент предпочтительно выбран из антитромбоцитарных агентов, антикоагулянтов, фибринолитических агентов и любой их комбинации.
Более предпочтительно другой антитромботический агент выбран из группы, состоящей из аспирина, клопидогрела, тиклопидина, дипиридамола, GPIIb/IIIa-антагониста, прямого ингибитора тромбина, пролекарства прямого ингибитора тромбина, варфарина, ингибитора фактора Ха, гепарина, низкомолекулярного гепарина, тканевого активатора плазминогена, тенектеплазы или любой их комбинации, но не ограничен ими.
Подходящие примеры прямого ингибитора тромбина включают в себя мелагатран (WO 94/29336). Подходящие примеры пролекарства прямого ингибитора тромбина включают в себя примеры, описанные в WO 97/23499, и в частности включают в себя Пример 17 этой заявки. Пример 17 из WO 97/23499 представляет собой Н 376/95, который представляет собой EtO2C-CH2-(R)Cgl-Aze-Pab-OH, где Cgl представляет собой циклогексилглицинил, Aze представляет собой (S)-азетидин-2-карбонил, и Pab представляет собой пара-амидинобензиламино, и ОН заменяет один из атомов водорода амидиногруппы в Pab.
Согласно данному изобретению соединение формулы (I), другой антитромботический агент и их производные могут быть введены перорально, внутривенно, подкожно, трансбуккально, ректально, назально, трахеально, бронхиально, местно или посредством ингаляции в легкие. Предпочтительными способами доставки являются системные. Для соединения формулы (I) и его производных предпочтительным способом введения является пероральный. Для другого антитромботического агента и его производных предпочтительными способами введения являются пероральный или в случае нефракционированных или низкомолекулярных гепаринов, некоторых прямых ингибиторов тромбина и фибринолитических агентов внутривенный или подкожный.
Последовательность, в которой препараты, содержащие соединение формулы (I) и другой антитромботический агент, могут быть введены (то есть который из двух, и в какой момент имеет место последовательное, раздельное и/или одновременное введение), может быть определена врачом или специалистом. Например, последовательность может зависеть от многих факторов, например от того, который из двух, в какое время в продолжение курса или периода лечения, один или другой из препаратов не может быть введен субъекту из практических соображений (например, субъект находится без сознания и поэтому не способен принять пероральный препарат).
Соответствующие препараты, содержащие соединение формулы (I) и/или другой антитромботический агент, могут быть введены последовательно, раздельно и/или одновременно в продолжение курса лечения релевантного состояния, причем данное состояние может быть острым или хроническим.
Предпочтительно два препарата вводят (возможно неоднократно) достаточно близко по времени для получения у пациента целебного эффекта, который оказывается более сильным в продолжение курса лечения релевантного состояния, чем когда каждый из этих двух препаратов вводят (возможно, неоднократно) по отдельности, в отсутствие другого препарата, в продолжение того же самого курса лечения. Определение того, дает ли комбинация более сильный целебный эффект в отношении конкретного состояния или в продолжение курса лечения конкретного состояния, будет зависеть от подвергаемого лечению или профилактике состояния, но может быть типично выполнено специалистом.
Альтернативно один или другой из двухкомпонентных препаратов может быть введен (возможно, неоднократно) до, после и/или в одно и то же время с введением другого компонента. Интервал между приемом индивидуальных доз соединения формулы (I) и другого антитромботического агента может составлять не более 48 часов (например 24 часа).
При терапевтическом лечении животных и в особенности людей соединение формулы (I), другой антитромботический агент и их производные могут быть введены по отдельности, но, как правило, они будут введены в виде фармацевтического препарата в смеси с фармацевтически приемлемым адъювантом, разбавителем или носителем, который следует выбирать, учитывая предполагаемый способ введения и обычную фармацевтическую практику.
Согласно данному изобретению в лекарственной терапии, подходящей для лечения тромбоза, может быть использован набор. Специалистам в данной области техники очевидно, что лечение тромбоза включает в себя лечение и предупреждение тромботических осложнений атеросклеротического заболевания и воздействий на него, таких как фибринолиз, эндартерэктомия или чрескожная транслюминальная коронарная реваскуляризация (PTCR), включая чрескожную транслюминальную коронарную ангиопластику (РТСА) с эндопротезированием сосуда или без него, но не ограничены ими. Тромботические осложнения атеросклеротического заболевания включают в себя острый коронарный синдром (охватывая острый инфаркт миокарда с повышением ST или без повышения ST и нестабильную стенокардию) и тромботический удар, но не ограничены ими.
Согласно еще одному аспекту данного изобретения предложен способ лечения тромбоза (например тромботических осложнений атеросклеротического заболевания и воздействий на него, таких как фибринолиз, эндартерэктомия или чрескожная транслюминальная коронарная реваскуляризация (PTCR), включая чрескожную транслюминальную коронарную ангиопластику (РТСА) с эндопротезированием сосуда или без него, но не ограничены ими), при котором используют набор для введения терапевтически эффективного количества Р2T-рецептора и другого антитромботического агента субъекту, страдающему от такого расстройства или подверженному такому расстройству.
Во избежание сомнения термин «лечение» включает в себя терапевтическое и/или профилактическое лечение.
Согласно другому аспекту данного изобретения предложен способ изготовления набора, как он определен здесь, при котором соединение формулы (I) объединяют с другим антитромботическим агентом, тем самым делая два компонента подходящими для введения в сочетании друг с другом. В понятие «объединение двух компонентов друг с другом» авторы настоящего изобретения включают то, что соединение формулы (I) и другой антитромботический агент могут быть:
1) представлены упакованными и приобретенными в виде отдельных препаратов, которые затем используют в сочетании в комбинированной терапии; или
2) упакованными и представленными вместе в виде отдельных компонентов комбинационной упаковки для применения в сочетании друг с другом в комбинированной терапии.
Кроме того, согласно настоящему изобретению предложен набор, содержащий:
(1) соединение формулы (I) и другой антитромботический агент, как он определен здесь; вместе с
(2) инструкциями по применению компонентов в сочетании друг с другом.
Кроме того, согласно данному изобретению предложено применение соединения формулы (I) или его фармацевтически приемлемого производного в производстве набора для лечения тромбоза.
Кроме того, соединение формулы (I) и другой антитромботический агент, как он описан здесь, могут быть изготовлены вместе в виде комбинированного препарата (то есть представленного в виде единого препарата, включающего в себя соединение формулы (I) и другой антитромботический агент).
Таким образом, согласно еще одному аспекту данного изобретения предложена фармацевтическая композиция, содержащая:
(а) соединение формулы (I) или его фармацевтически приемлемое производное; и
(б) другой антитромботический агент или его фармацевтически приемлемое производное в смеси с фармацевтически приемлемым адъювантом, разбавителем или носителем.
R1 предпочтительно представляет собой н-пропил, 3,3,3-трифторпропил или н-бутил.
Другой антитромботический агент предпочтительно выбран из антитромбоцитарных агентов, антикоагулянтов, фибринолитических агентов и любых их комбинаций.
Более предпочтительно другой антитромботический агент выбран из группы, состоящей из аспирина, клопидогрела, тиклопидина, дипиридамола, GPIIb/IIIa-антагониста, прямого ингибитора тромбина, пролекарства прямого ингибитора тромбина, варфарина, ингибитора фактора Ха, гепарина, низкомолекулярного гепарина, тканевого активатора плазминогена, тенектеплазы или любой их комбинации, но не ограничен ими.
Подходящие примеры прямого ингибитора тромбина включают в себя мелагатран (WO 94/29336). Подходящие примеры пролекарства прямого ингибитора тромбина включают в себя EtO2C-CH2-(R)Cgl-Aze-Pab-OH (WO 97/23499).
Согласно настоящему изобретению предложен фармацевтический препарат, содержащий:
(а) соединение формулы (I) или его фармацевтически приемлемое производное; и
(б) другой антитромботический агент или его фармацевтически приемлемое производное; в смеси с фармацевтически приемлемым адъювантом, разбавителем или носителем; для применения в лекарственной терапии, подходящей для лечения тромбоза.
Кроме того, согласно данному изобретению предложен способ лечения тромбоза, при котором субъекту, страдающему от такого расстройства или подверженному такому расстройству, вводят терапевтически эффективное количество фармацевтического препарата, содержащего:
(а) соединение формулы (I) или его фармацевтически приемлемое производное; и
(б) другой антитромботический агент или его фармацевтически приемлемое производное;
в смеси с фармацевтически приемлемым адъювантом, разбавителем или носителем.
Согласно другому аспекту настоящего изобретения предложен способ изготовления фармацевтического препарата, при котором соединение формулы (I) смешивают с другим антитромботическим агентом.
Кроме того, согласно данному изобретению предложено применение фармацевтического препарата, как он определен выше, в производстве лекарства для лечения тромбоза.
Другой аспект данного изобретения охватывает применение:
(а) фармацевтического препарата, содержащего соединение формулы (I) или его фармацевтически приемлемое производное в смеси с фармацевтически приемлемым адъювантом, разбавителем или носителем; и
(б) фармацевтического препарата, содержащего другой антитромботический агент или его фармацевтически приемлемое производное в смеси с фармацевтически приемлемым адъювантом, разбавителем или носителем,
в терапии, подходящей для лечения тромбоза.
Согласно еще одному аспекту данного изобретения предложен способ лечения тромбоза, при котором субъекту, страдающему от такого расстройства или подверженному такому расстройству, вводят:
(а) фармацевтический препарат, содержащий соединение формулы (I) или его фармацевтически приемлемое производное в смеси с фармацевтически приемлемым адъювантом, разбавителем или носителем; и
(б) фармацевтический препарат, содержащий другой антитромботический агент или его фармацевтически приемлемое производное в смеси с фармацевтически приемлемым адъювантом, разбавителем или носителем.
R1 предпочтительно представляет собой н-пропил, 3,3,3-трифторпропил или н-бутил.
Другой антитромботический агент предпочтительно выбран из антитромбоцитарных агентов, антикоагулянтов, фибринолитических агентов и любой их комбинации.
Более предпочтительно другой антитромботический агент выбран из группы, состоящей из аспирина, клопидогрела, тиклопидина, дипиридамола, GPIIb/IIIa-антагониста, прямого ингибитора тромбина, пролекарства прямого ингибитора тромбина, варфарина, ингибитора фактора Ха, гепарина, низкомолекулярного гепарина, тканевого активатора плазминогена, тенектеплазы или любой их комбинации, но не ограничен ими.
Подходящие примеры прямого ингибитора тромбина включают в себя мелагатран (WO 94/29336). Подходящие примеры пролекарства прямого ингибитора тромбина включают в себя EtO2C-CH2-(R)Cgl-Aze-Pab-OH (WO 97/23499).
Согласно другому аспекту настоящего изобретения предложено применение соединения формулы (I) или его фармацевтически приемлемого производного в производстве лекарства для использования в комбинации с другим антитромботическим агентом при лечении тромбоза.
Подходящие препараты для введения соединения формулы (I) известны в данной области техники, и они включают в себя препараты, известные из WO 0034283.
Подходящие препараты для введения другого антитромботического агента описаны в литературе, например, когда другой антитромботический агент представляет собой мелагатран или пролекарство мелагатрана, подходящие препараты включают в себя препараты, описанные среди прочего в WO 94/29336, WO 96/14084, WO 96/16671, WO 97/23499, WO 97/39770, WO 97/45138, WO 98/16252, WO 99/27912, WO 99/27913, WO 00/13672 и WO 00/12043. Иначе, приготовление подходящих препаратов может быть выполнено специалистом с использованием стандартных методик.
Подходящие дозы соединения формулы (I), другого антитромботического агента и их производных могут быть определены практикующим врачом или другим специалистом и будут зависеть от тяжести состояния и от субъекта, подвергаемого лечению, а также от используемого(ых) соединения(й). Соответствующие дозы обсуждены в документах предшествующего уровня техники, раскрывающих соединения формулы (I) и другие антитромботические агенты, которые упомянуты выше.
В случае соединения формулы (I) подходящие дозы активного соединения при терапевтическом и/или профилактическом лечении пациентов млекопитающих, в особенности людей, включают в себя дозы, которые дают среднюю концентрацию в плазме до 10 мкмоль/л, например в интервале от 0,001 до 10 мкмоль/л, в продолжение курса лечения релевантного состояния. В любом случае врач или специалист будет способен определить реальную дозировку, в наибольшей степени подходящую для конкретного субъекта, которая, вероятно, должна изменяться в зависимости от подвергаемого лечению состояния, а также от возраста, массы тела, пола и реакции конкретного подвергаемого лечению субъекта. Вышеупомянутые дозировки являются примерами типичного случая. Несомненно, могут быть индивидуальные случаи, при которых полезны более высокие или более низкие интервалы дозирования, и они находятся в пределах объема этого изобретения.
Фармацевтический препарат по данному изобретению может содержать и в действительности обычно будет содержать различные другие ингредиенты, известные в данной области техники, например консерванты, стабилизирующие агенты, регулирующие вязкость агенты, эмульгирующие агенты и забуферивающие агенты. Так, фармацевтический препарат по данному изобретению обычно будет содержать суммарное количество (а) соединения формулы (I) и (б) другого антитромботического агента (активных ингредиентов) в интервале от 0,05 до 99 мас.% (процент по массе), более предпочтительно в интервале от 0,10 до 70 мас.% и еще более предпочтительно в интервале от 0,10 до 50 мас.%, при этом все значения процентов по массе отнесены к суммарному препарату.
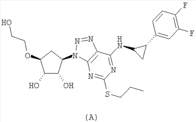
Согласно еще одному аспекту данного изобретения предложено соединение формулы (I), представляющее собой соединение (А):

в комбинации с аспирином, клопидогрелом, тиклопидином, дипиридамолом, GPIIb/IIIa-антагонистом, прямым ингибитором тромбина, пролекарством прямого ингибитора тромбина, варфарином, ингибитором фактора Ха, гепарином, низкомолекулярным гепарином, тканевым активатором плазминогена, тенектеплазой или любой их комбинацией.
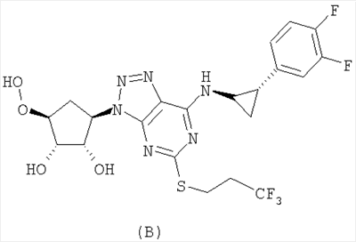
Согласно еще одному аспекту данного изобретения предложено соединение формулы (I), представляющее собой соединение (В):

в комбинации с аспирином, клопидогрелом, тиклопидином, дипиридамолом, GPIIb/IIIa-антагонистом, прямым ингибитором тромбина, пролекарством прямого ингибитора тромбина, варфарином, ингибитором фактора Ха, гепарином, низкомолекулярным гепарином, тканевым активатором плазминогена, тенектеплазой или любой их комбинацией.
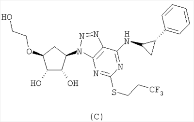
Согласно еще одному аспекту данного изобретения предложено соединение формулы (I), представляющее собой соединение (С):

в комбинации с аспирином, клопидогрелом, тиклопидином, дипиридамолом, GPIIb/IIIa-антагонистом, прямым ингибитором тромбина, пролекарством прямого ингибитора тромбина, варфарином, ингибитором фактора Ха, гепарином, низкомолекулярным гепарином, тканевым активатором плазминогена, тенектеплазой или любой их комбинацией.
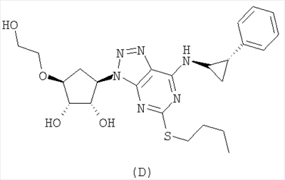
Согласно еще одному аспекту данного изобретения предложено соединение формулы (I), представляющее собой соединение (D):

в комбинации с аспирином, клопидогрелом, тиклопидином, дипиридамолом, GPIIb/IIIa-антагонистом, прямым ингибитором тромбина, пролекарством прямого ингибитора тромбина, варфарином, ингибитором фактора Ха, гепарином, низкомолекулярным гепарином, тканевым активатором плазминогена, тенектеплазмой или любой их комбинацией.
ПРИМЕРЫ
Данное изобретение проиллюстрировано следующим примером, но не ограничено им.
Пример 1
Модель тромбоза бедренной артерии собаки – соединение А и аспирин
Соединение А, как оно определено выше, использовали в комбинации с аспирином в модели тромбоза бедренной артерии собаки с целью определения того, будет ли комбинация антагониста Р2T-рецептора и предварительного лечения аспирином иметь улучшенный профиль при сравнении с эффектом от каждого используемого агента по отдельности.
Результаты экспериментов наглядно представлены на чертеже, где прослеживается четкая (хотя и статистически незначимая) тенденция к увеличению антитромботической эффективности (как оценено по дозе (ID50), требуемой для осуществления 50%-ного ингибирования тромбоза) Соединения А при введении в комбинации с аспирином.
Чертеж иллюстрирует эффект соединения (А), введенного с аспирином и без аспирина, в модели артериального тромбоза у собаки.
Сокращения
ADP = аденозиндифосфат
GPIIb/IIIa-антагонист = антагонист гликопротеина IIb/IIIa
PTCR = чрескожная транслюминальная
коронарная реваскуляризация
РТСА = чрескожная транслюминальная
коронарная ангиопластика
Формула изобретения
1. Набор, содержащий:
(а) соединение формулы (I)

где R представляет собой СН2ОН или О(СН2)2ОН;
R1 представляет собой С3–4алкил, возможно замещенный тремя атомами галогена;
R2 представляет собой фенил или 3,4-дифторфенил;
или его фармацевтически приемлемое производное (компонент а); и
(б) аспирин (компонент б);
где компоненты (а) и (б), каждый, предложены в форме (которая может быть одинаковой или разной), подходящей для введения в сочетании друг с другом;
для применения в лечении тромбоза.
2. Набор по п.1, где R1 представляет собой н-пропил, 3,3,3-трифторпропил или н-бутил.
3. Набор по п.1, где компоненты (а) и (б) подходят для последовательного, раздельного и/или одновременного введения.
4. Фармацевтическая композиция, содержащая:
(а) соединение формулы (I) или его фармацевтически приемлемое производное; и
(б) аспирин;
в смеси с фармацевтически приемлемым адъювантом, разбавителем или носителем;
в диапазоне от 0,05 до 99 мас.% от общей массы композиции,
для применения в лечении тромбоза.
5. Фармацевтическая композиция по п.4, где R1 представляет собой н-пропил,
3,3,3-трифторпропил или н-бутил.
6. Применение:
(а) фармацевтической композиции, содержащей соединение формулы (I) или его фармацевтически приемлемое производное в смеси с фармацевтически приемлемым адъювантом, разбавителем или носителем; и
(б) фармацевтической композиции, содержащей аспирин в смеси с фармацевтически приемлемым адъювантом, разбавителем или носителем, при лечении тромбоза.
РИСУНКИ
|
|