|
|
(21), (22) Заявка: 2006117903/15, 24.05.2006
(24) Дата начала отсчета срока действия патента:
24.05.2006
(43) Дата публикации заявки: 10.12.2007
(46) Опубликовано: 20.08.2008
(56) Список документов, цитированных в отчете о поиске:
ЭНЦИКЛОПЕДИЯ ЛЕКАРСТВ. – М.: РЛС 2001 с.1107. RU 2228753 С2, 20.05.2004. GB 711756 А, 07.07.1954. WO 01/25207 A1, 12.04.2001. МИХАЙЛОВ И.Б. Настольная книга по клинической фармакологии. – СПб.: Фолиант 2001 с.571-572.
Адрес для переписки:
614990, г.Пермь, Ленина, 48, ГОУ ВПО ПГФА Росздрава, патентный отдел
|
(72) Автор(ы):
Колотова Нина Васильевна (RU), Котегов Виктор Петрович (RU), Долженко Антон Владимирович (RU), Рудакова Галина Васильевна (RU)
(73) Патентообладатель(и):
Государственное образовательное учреждение высшего профессионального образования “Пермская государственная фармацевтическая академия Федерального агентства по здравоохранению и социальному развитию” (ГОУ ВПО ПГФА Росздрава) (RU)
|
(54) ИЗОНИКОТИНОИЛГИДРАЗИД ФТАЛЕВОЙ КИСЛОТЫ КАК АНТИДИАБЕТИЧЕСКОЕ СРЕДСТВО
(57) Реферат:
Предложено применение изоникотиноилгидразида фталевой кислоты в качестве лекарственного средства для снижения содержания свободных жирных кислот, холестерина, триглицеридов. Показано снижение концентрации бета-липопротеидов в крови как у интактных животных, так и на фоне диабета. Благодаря выявленному эффекту снижения атерогенных свойств крови изоникотиноилгидразид фталевой кислоты может найти новое применение в медицине. 12 табл., 6 ил.
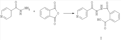
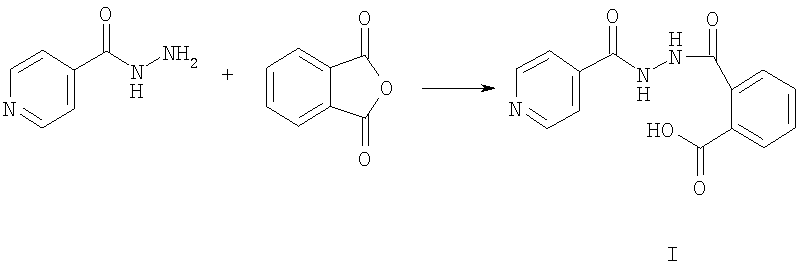
Изобретение относится к биологически активным соединениям, а именно изоникотиноилгидразиду фталевой кислоты (I) формулы

обладающему противодиабетической активностью, что позволяет предположить возможность его использования в медицине в качестве лекарственного средства для лечения сахарного диабета. Ближайшим структурным аналогом заявляемого соединения является лекарственное средство изониазид: гидразид изоникотиновой кислоты формулы

используемый в качестве противотуберкулезного препарата [Машковский М.Д. Лекарственные средства (пособие для врачей), Харьков: Торсинг, Т.2, С.332, (1997)]. Данных о его антидиабетической активности в литературе не имеется.
Ранее у заявляемого соединения нами была обнаружена выраженная гипогликемическая активность [Патент России №2228753 (2004). Долженко А.В., Колотова Н.В., Козьминых В.О. и др. Изоникотиноилгидразид фталевой кислоты, проявляющий гипогликемическую активность. Опубл. 20 мая 2004, Бюл. №14].
Известны и применяются при терапии сахарного диабета лекарственные препараты: метформин, гликлазид и глибенкламид [Энциклопедия лекарств (ред. Вышковский Г.Л.) М., “РЛС-2004”, 2004, С.234, 248 и 549), которые были взяты нами в качестве эталонов сравнения по действию.
Целью предлагаемого изобретения является поиск в ряду ацилгидразидов фталевой кислоты соединения, обладающего комбинированным типом противодиабетического действия. Поставленная цель достигается получением изоникотиноилгидразида фталевой кислоты (ИНГФК) [El Sadek M.M., El Essawi M.M., and Abdel Baky S.A., J.Chem. Eng. Data, vol.34, №2, p.257-259 (1989)] ацилированием гидразида изоникотиновой кислоты ангидридом фталевой кислоты.

Методика получения изоникотиноилгидразида фталевой кислоты. Раствор 1,48 г (0,01 моль) ангидрида фталевой кислоты в 50 мл этилацетата и раствор 1,37 г (0,01 моль) гидразида изоникотиновой кислоты в 20 мл воды сливают, интенсивно перемешивая, при температуре 20°С. Через 3 ч выпавший осадок отфильтровывают и кристаллизуют из этанола, выход 2,50 г (88%). Тпл.=220-222°С (р).
Заявляемое соединение представляет собой белое кристаллическое вещество, растворимое в воде, этаноле, ДМСО, ДМФА. В спектре ЯМР 1H (“РЯ-2310” (60 МГц) в ДМСО-d6, внутренний стандарт – ГМДС) соединения I имеются: мультиплет восьми протонов ароматических систем пиридинового кольца фрагмента изоникотиновой кислоты и бензольного кольца фрагмента фталевой кислоты в области 7,05-8,98 м.д., два синглета двух протонов гидразидной группы CONH-NHCO при 10,45 и 10,98 м.д., уширенный сигнал протона карбоксильной группы при 12,81 м.д.
Концентрацию глюкозы в крови животных во всех экспериментах определяли с помощью глюкозооксидазного метода в дискретные интервалы времени [Цюхно З.И., Славнов В.Н., Панченко Н.И. и др., Функциональные методы исследования в эндокринологии, Киев: Здоровье, С.61-64 (1981)]. В модельных опытах в сыворотке крови крыс определяли также содержание свободных жирных кислот, общего холестерина и -липопротеидов [Покровский А.А. Биохимические методы исследования в клинике. – М.: Медицина, 1969. – 651 с.]. В печени животных антроновым методом характеризовали уровень гликогена [Прохорова М.И., Туликова З.Н. Большой практикум по углеводному и липидному обмену. – Л.: Изд. ленингр. гос. ун-та им. А.А.Жданова, 1965. – 250 с.].
Исследования во всех группах проводились на шести животных. Статистическую обработку результатов проводили на персональном компьютере Pentium 4 с вычислением среднего арифметического значения (М), ошибки средней арифметической (М), значений t и Р.
Изучение способности соединения I усиливать гипогликемический эффект экзогенного инсулина проводилось в двух сериях опытов. В первой из них эксперименты выполнены на интактных крысах массой 180-240 г при в/б инъекции им инсулина “актрапид” по 1,0 ЕД/кг спустя 1,5 месяца ежедневного перорального введения заявляемого соединения и эталонов сравнения.
В обеих сериях исследований у животных помимо динамической характеристики уровня глюкозы в крови вычисляли гипогликемический коэффициент Рафальского по формуле: С/А, где А – исходное содержание сахара; С – минимальный уровень гликемии после введения препаратов.
Показано, что инъекция инсулина по 1 ЕД/кг обеспечивает уменьшение содержания глюкозы в крови животных через час после введения на 60,2% (табл.1). Введение заявляемого соединения по 50 мг/кг за час до инъекции инсулина из расчета 1 ЕД/кг потенцирует гипогликемический эффект инсулина практически однотипно с действием гликлазида и глибенкламида, уступая таковому метформина (фиг.1).
Вторая серия опытов по изучению влияния заявляемого соединения на гипогликемическую активность инсулина проводилась на животных с дексаметазоновой моделью инсулинорезистентности [Селятицкая В.Г., Кузьминова О.И., Одинцов С.В. Динамика формирования инсулинорезистентности у экспериментальных животных при длительном введении глюкокортикоидных гормонов. Бюлл. экспер. биол. мед., 2002, Т.133, №4, С.394-396]. Исследования проведены на белых нелинейных крысах самцах массой 200-230 г, которым одновременно с введением соединения I и эталонов сравнения в указанных дозах (табл.2) в течение 15 суток ежедневно в/б инъецировали дексаметазона фосфат (KRKA) из расчета 100 мкг/кг. 15-суточное введение дексаметазона крысам контрольной серии повышает уровень тощаковой гликемии (табл.2). На этом фоне сахароснижающий эффект инсулина через 30 мин после введения в дозе 1 ЕД/кг ослабевает на 28,4%, через 1 час – на 46,5%, спустя 2 часа – на 44,4%, по истечении 3 часов – на 18,8%. 15-суточное введение заявляемого соединения восстанавливает чувствительность к экзогенному инсулину в той же степени, что и препараты сравнения (фиг.2).
Опыты по изучению антиадренергической активности соединения I проведены на белых нелинейных крысах самцах массой 220-240 г. Заявляемое соединение и препараты сравнения вводили ежедневно через рот в виде суспензии на 1% крахмальной слизи в течение 1,5 месяцев из расчета 50 мг/кг, а глибенкламид – по 5 мг/кг. В контрольной серии эксперимента в эквиобъемном количестве использовали одну крахмальную слизь. В конце исследования у животных изучали выраженность гипергликемизирующего действия адреналина. Раствор адреналина гидрохлорида вводили в/м в дозе 0,5 мг/кг. Помимо динамики гликемии у крыс рассчитывали гипергликемический коэффициент Бодуэна по формуле:

где А – уровень глюкозы в крови натощак, В – ее максимальная концентрация после нагрузки. Результаты исследований приведены в таблице 3.
Аналогичным способом исследовали влияние вещества I на адреналиновый липолиз, определяя в сыворотке крови животных содержание свободных жирных кислот (табл.4).
Из таблицы 3 и фиг.3 видно, что заявляемое соединение на протяжении всего эксперимента сдерживает прирост уровня глюкозы в крови животных, метформин эффективен лишь через 3 часа после введения адреналина, а гликлазид и глибенкламид – в течение первого часа наблюдения.
Данные таблицы 4 и фиг.4 показывают, что ИНГФК и глибенкламид ограничивают липолитическое действие адреномиметика в течение всего времени эксперимента, эффект гликлазида сохраняется лишь в течение первого часа, а метформин, напротив, липолиз усиливает.
Опыты по изучению влияния заявляемого соединения на синтез гликогена в печени проводили на интактных крысах при введении вещества I через рот по 50 мг/кг в течение 1,5 месяцев. По окончании эксперимента животных забивали декапитацией и определяли содержание гликогена в их печени (табл.5).
Показано, что ИНГФК увеличивает содержание полисахарида по сравнению с контрольной серией на 24,4%, что сопоставимо с эффектом гликлазида и глибенкламида и превосходит действие метформина.
Исследования по влиянию соединения I на толерантность к углеводной нагрузке проводились на интактных крысах, имевших свободный доступ к богатой углеводами пище каждые 2 часа эксперимента (табл.6), при проведении у них (табл.7) и у крыс со стероидным диабетом (табл.8) из расчета 2 г/кг орального глюкозотолерантного теста (ОПТ), а также при нагрузке интактных крыс сахарозой в дозе 2 г/кг (табл.9).
На фоне предварительного введения заявляемого вещества и метформина развитие пищевой гипергликемии нивелируется на протяжении всего периода наблюдения, эффект гликлазида и глибенкламида отмечается лишь между 6-8 час опыта (табл.6). Данные таблицы 7 свидетельствуют о том, что соединение I и метформин снижают прирост гликемии в течение первого часа эксперимента, гликлазид и глибенкламид действуют на протяжении всего опыта. На фоне стероидного диабета ИНГФК и метформин превосходят в этом отношении гликлазид и глибенкламид (табл.8). Соединение I увеличивает толерантность к сахарозной нагрузке, превосходя в этом отношении метформин (табл.9). Таким образом, результаты исследований свидетельствуют, что 1,5-месячное введение заявляемого соединения в дозе 50 мг/кг значительно повышает устойчивость к различным видам углеводной нагрузки.
Опыты по изучению влияния ИНГФК на липидный обмен проводились как на интактных крысах, так и на фоне стероидного диабета животных.
При ежедневном однократном введении через рот в течение 1,5 месяцев все сравниваемые вещества по сравнению с исходным состоянием уменьшают концентрацию -липопротеидов в крови интактных животных в 1,5-1,7 раза (табл.10). По сравнению с данными контрольной серии соединение I гликлазид и глибенкламид в 1,3-1,6 раза снижают содержание свободных жирных кислот, в 1,2-1,5 раза – триглицеридов, на 10-40% – общего холестерина (табл.11).
На фоне стероидного диабета введение крысам на протяжении 15 суток заявляемого соединения и препаратов сравнения обеспечивает снижение уровня холестеринемии в 1,2-2,1 раза, триглицеридемии – в 1,4-1,8 раза (табл.12).
Таким образом, изоникотиноилгидразид фталевой кислоты (I) при наличии высокой гипогликемической активности и низкой токсичности [2] обладает комбинированным типом противодиабетического действия. Он повышает толерантность к пищевой нагрузке, увеличивает синтез гликогена, потенцирует действие инсулина, уменьшает метаболические эффекты адреналина, снижает атерогенные свойства крови. Следовательно, заявляемое соединение I может найти применение в медицине в качестве антидиабетического лекарственного средства.
| Таблица 1 |
| Влияние 1,5-месячного введения изоникотиноилгидразида фталевой кислоты (ИНГФК) на эффект инсулина (1,0 ЕД/кг) у интактных крыс |
| Серия опытов |
Концентрация глюкозы в крови, ммоль/л |
К.Р. |
| Исх.0 |
30 мин |
1 час |
2 час |
3 час |
4 час |
5 час |
| ИНГФК 50 мг/кг |
3,50±0,09*** |
2,79±0,18 |
1,78±0,06 |
1,20±0,06 |
1,50±0,08 |
1,91±0,06 |
2,07±0,05 |
0,34±0,01* |
| Гликлазид 50 мг/кг |
3,84±0,39* |
1,92±0,37 |
1,46±0,26 |
1,49±0,21 |
1,66±0,27 |
2,08±0,37 |
2,55±0,39 |
0,34±0,04 |
| Глибенкламид 5 мг/кг |
3,59±0,46* |
2,09±0,11 |
1,56±0,19 |
1,25±0,23 |
1,76±0,29 |
1,97±0,19 |
2,87±0,30 |
0,33±0,04 |
| Метформин 50 мг/кг |
4,11±0,10*** |
2,52±0,06 |
1,25±0,08 |
0,91±0,11 |
1,12±0,09 |
1,31±0,09 |
1,84±0,11 |
0,22±0,03*** |
| Контроль 1 ЕД/кг |
4,82±0,10 |
2,63±0,17 |
1,92±0,07 |
2,73±0,31 |
3,82±0,17 |
4,45±0,19 |
5,02±0,26 |
0,40±0,02 |
Достоверность отличий по сравнению с контролем при Р 0,05 – *, Р 0,01 – **, Р 0,001 – *** К.Р. – гипогликемический коэффициент Рафальского. |
| Таблица 2 |
| Влияние 15-суточного введения изоникотиноилгидразида фталевой кислоты (ИНГФК) на эффект инсулина у крыс со стероидным диабетом |
| Серия опытов |
Концентрация глюкозы в крови, ммоль/л |
| Исх. |
0,5 час |
1 час |
2 час |
3 час |
4 час |
5 час |
| ИНГФК 50 мг/кг |
4,50±0,21* |
3,02±0,32 |
2,09±0,12 |
2,54±0,17 |
2,93±0,23 |
3,21±0,27 |
3,58±0,24 |
| Гликлазид 50 мг/кг |
4,54±0,25* |
2,59±0,10 |
2,08±0,06 |
2,32±0,09 |
2,80±0,13 |
3,02±0,08 |
3,04±0,14 |
| Глибенкламид 5 мг/кг |
4,34±0,20** |
2,34±0,10 |
1,94±0,03 |
2,29±0,12 |
2,67±0,14 |
3,19±0,19 |
3,67±0,20 |
| Метформин 50 мг/кг |
4,43±0,18** |
2,63±0,14 |
2,02±0,12 |
2,04±0,08 |
2,15±0,13 |
3,09±0,14 |
3,73±0,15 |
| Контроль И 1 ЕД/кг |
4,82±0,10 |
2,63±0,17 |
1,92±0,07 |
2,73±0,31 |
3,82±0,17 |
4,45±0,19 |
5,02±0,26 |
| Контроль Д 1 ЕД/кг |
5,24±0,11 |
4,35±0,27 |
4,52±0,17 |
5,29±0,10 |
5,14±0,12 |
5,13±0,13 |
5,04±0,21 |
Контроль И – интактные крысы Контроль Д – крысы со стероидным диабетом Достоверность отличий по сравнению с контролем Д при Р 0,05 – *, Р 0,01 – **, Р 0,001 – *** |
| Таблица 3 |
| Влияние 1,5-месячного введения изоникотиноилгидразида фталевой кислоты (ИНГФК) на адреналиновую гипергликемию у интактных крыс |
| Серия опытов |
Концентрация глюкозы в крови, ммоль/л |
КБ |
| Исх. |
30 мин |
1 час |
1,5 час |
2 час |
3 час |
| ИНГФК 50 мг/кг |
3,27±0,09 |
3,62±0,10 |
4,91±0,17 |
5,02±0,26 |
5,28±0,29 |
5,50±0,42 |
72,9±13,2** |
| Гликлазид 50 мг/кг |
2,20±0,13*** |
3,60±0,37 |
4,92±0,34 |
4,88±0,47 |
5,27±0,37 |
4,52±0,35 |
154,0±23,0 |
| Глибенкламид 5 мг/кг |
2,60±0,19** |
4,62±0,40 |
5,75 0,31 |
5,87±0,26 |
5,90±0,29 |
5,52±0,24 |
146,5±18,2 |
| Метформин 50 мг/кг |
3,34±0,14 |
7,88±0,39 |
8,67±0,58 |
9,57±0,60 |
8,55±0,58 |
6,98±0,32 |
187,6±16,2 |
| Контроль |
3,52±0,15 |
8,28±0,34 |
9,80±0,21 |
9,87±0,44 |
10,5±0,73 |
9,02±0,44 |
207,4±28,3 |
Достоверность отличий по сравнению с контролем при Р 0,05 – *, Р 0,01 – **, Р 0,001 – * К.Б. – гипергликемический коэффициент Бодуэна. |
| Таблица 4 |
| Влияние 1,5-месячного введения изоникотиноилгидразида фталевой кислоты (ИНГФК) на адреналиновый липолиз у интактных крыс |
| Серия опытов |
Концентрация свободных жирных кислот в крови, ммоль/л |
| Исхода. |
30 мин |
1 час |
1,5 час |
2 час |
| ИНГФК 50 мг/кг |
0,68±0,04 |
0,63±0,05 |
0,62±0,05 |
0,56±0,03 |
0,66±0,03 |
| Гликлазид 50 мг/кг |
0,58±0,02*** |
0,54±0,02 |
0,61±0,03 |
0,70±0,02 |
0,70±0,03 |
| Глибенкламид 5 мг/кг |
0,65±0,02* |
0,51±0,02 |
0,57±0,03 |
0,53±0.02 |
0,51±0,04 |
| Метформин 50 мг/кг |
0,38±0,02*** |
0,60±0,04 |
0,68±0,05 |
0,75±0,05 |
0,50±0,04 |
| Контроль |
0,73±0,02 |
1,00±0,02 |
0,92±0,02 |
0,84±0,02 |
0,79±0,02 |
Достоверность отличий по сравнению с контролем при Р 0,05 – *, Р 0,01 – **, Р 0,001 – *** |
| Таблица 5 |
| Влияние 1,5-месячного введения изоникотиноилгидразида фталевой кислоты (ИНГФК) на содержание гликогена в печени интактных крыс |
| Содержание гликогена в печени, г % |
| ИНГФК, 50 мг/кг |
Гликлазид, 50 мг/кг |
Глибенкламид, 5 мг/кг |
Метформин, 50 мг/кг |
Контроль |
| 2,45±0,15* |
2,60±0,13** |
2,74±0,07*** |
2,05±0,09 |
1,97±0,05 |
Достоверность отличий по сравнению с контролем при Р 0,05 – *, Р 0,01 – **, Р 0,001 – *** |
| Таблица 6 |
| Влияние 1,5-месячного введения изоникотиноилгидразида фталевой кислоты (ИНГФК) на толерантность интактных крыс к нагрузке пищей |
| Серия опытов |
Концентрация глюкозы в крови, ммоль/л |
К.Б. |
| Исходн. |
2 час |
4 час |
6 час |
8 час |
10 час |
| ИНГФК 50 мг/кг |
3,68±0,12 |
3,62±0,11 |
3,66±0,13 |
3,48±0,15 |
3,46±0,12 |
3,39±0,10 |
0,8±0,5*** |
| Гликлазид 50 мг/кг |
2,40±0,10*** |
2,67±0,11 |
2,68±0,24 |
2,52±0,13 |
2,42±0,15 |
2,97±0,08 |
30,3±8,7 |
| Глибенкламид 5 мг/кг |
3,72±0,18 |
3,45±0,21 |
3,85±0,13 |
3,67±0,18 |
4,78±0,16 |
4,33±0,19 |
30,2±4,2 |
| Метформин 50 мг/кг |
3,65±0,06 |
3,40±0,13 |
3,25±0,09 |
3,35±0,07 |
3,55±0,06 |
3,52±0,12 |
1,7±1,2*** |
| Контроль |
3,90±0,14 |
4,17±0,16 |
4,46±0,20 |
4,57±0,23 |
4,75±0,30 |
4,98±0,33 |
29,2±4,6 |
Достоверность отличий по сравнению с контролем при Р 0,05 – *, Р 0,01 – **, Р 0,001 – *** К.Б. – гипергликемический коэффициент Бодуэна. |
| Таблица 7 |
| Влияние 1,5-месячного введения изоникотиноилгидразида фталевой кислоты (ИНГФК) на толерантность интактных крыс к нагрузке глюкозой |
| Серия опытов |
Концентрация глюкозы в крови, ммоль/л |
К.Б. |
| Исх. |
15 мин |
30 мин |
45 мин |
1 час |
2 час |
3 час |
| ИНГФК 50 мг/кг |
3,86±0,15** |
4,44±0,14 |
4,37±0,07 |
4,25±0,08 |
4,11±0,06 |
4,01±0,11 |
4,07±0,10 |
18,8±3,3*** |
| Гликлазид 50 мг/кг |
2,80±0,23*** |
3,11±0,20 |
2,86±0,24 |
2,80±0,24 |
2,76±0,25 |
2,57±0,26 |
2,46±0,24 |
14,5±3,7*** |
| Глибенкламид 5 мг/кг |
3,07±0,13*** |
3,05±0,12 |
2,18±0,06 |
1,93±0,09 |
1,67±0,08 |
1,67±0,04 |
1,52±0,02 |
0,7±0,3*** |
| Метформин 50 мг/кг |
2,66±0,07*** |
4,01±0,10 |
3,38±0,19 |
2,76±0,10 |
2,94±0,14 |
3,15±0,08 |
4,00±0,13 |
54,3±5,6 |
| Контроль |
4,63±0,13 |
6,78±0,28 |
6,37±0,22 |
6,56±0,16 |
5,94±0,15 |
5,11±0,27 |
4,66±0,19 |
46,5±3,0 |
Достоверность отличий по сравнению с контролем при Р 0,05 – *, Р 0,01 – **, Р 0,001 – *** К.Б. – гипергликемический коэффициент Бодуэна. |
| Таблица 8 |
| Влияние 15-суточного введения изоникотиноилгидразида фталевой кислоты (ИНГФК) на толерантность к нагрузке глюкозой крыс со стероидным диабетом |
| Серия опытов |
Концентрация глюкозы в крови, ммоль/л |
К.Б. |
| Исх. |
15 мин |
30 мин |
45 мин |
1 час |
2 час |
3 час |
| ИНГФК 50 мг/кг |
4,57±0,14* |
4,97±0,15 |
4,96±0,25 |
5,36±0,18 |
4,80±0,20 |
4,39±0,13 |
4,52±0,24 |
18,2±2,0*** |
| Гликлазид 50 мг/кг |
4,41±0,14* |
5,40±0,36 |
5,34±0,25 |
5,17±0,37 |
5,29±0,21 |
4,88±0,14 |
4,03±0,19 |
26,0±2,1*** |
| Глибенкламид 5 мг/кг |
3,76±0,30** |
4,38±0,30 |
5,20±0,38 |
4,39±0,35 |
4,56±0,21 |
3,73±0,28 |
3,57±0,37 |
39,5±2,6*** |
| Метформин 50 мг/кг |
4,13±0,13** |
5,00±0,21 |
5,17±0,11 |
4,85±0,20 |
4,84±0,21 |
3,94±0,11 |
4,04±0,18 |
30,5±2,0*** |
| Контроль |
5,16±0,22 |
7,84±0,31 |
8,67±0,32 |
8,97±0,37 |
7,42±0,39 |
5,84±0,23 |
4,72±0,14 |
75,9±5,9 |
Достоверность отличий по сравнению с контролем при Р 0,05 – *, Р 0,01 – **, Р 0,001 – *** К.Б. – гипергликемический коэффициент Бодуэна |
| Таблица 9 |
| Влияние 1,5-месячного введения изоникотиноилгидразида фталевой кислоты (ИНГФК) на толерантность интактных крыс к нагрузке сахарозой |
| Серия опытов |
Концентрация глюкозы в крови, ммоль/л |
К.Б. |
| Исх. |
15 мин |
30 мин |
45 мин |
1час |
2 час |
3 час |
| ИНГФК 50 мг/кг |
4,28±0,14 |
4,71±0,20 |
4,94±0,19 |
4,84±0,22 |
4,51±0,23 |
4,07±0,31 |
3,47±0,27 |
17,3±1,5*** |
| Гликлазид 50 мг/кг |
3,66±0,08** |
4,07±0,16 |
4,20±0,23 |
3,97±0,20 |
3,69±0,23 |
3,21±0,23 |
2,81±0,23 |
17,4±4,0*** |
| Глибенкламид 5 мг/кг |
3,18±0,19*** |
3,57±0,22 |
3,47±0,17 |
3,27±0,23 |
2,93±0,19 |
2,43±0,16 |
1,95±0,14 |
12,7±1,8*** |
| Метформин 50 мг/кг |
4,30±0,25 |
4,46±0,25 |
4,65±0,32 |
4,74±0,3 |
4,46±0,29 |
4,46±0,24 |
4,84±0,22 |
15,5±2,5*** |
| Контроль |
4,98±0,29 |
8,61±0,74 |
7,97±0,65 |
8,26±0,56 |
8,45±0,71 |
6,40±0,52 |
5,04±0,31 |
74,6±8,3 |
Достоверность отличий по сравнению с контролем при Р 0,05 – *, Р 0,01 – **, Р 0,001 – *** К.Б. – гипергликемический коэффициент Бодуэна. |
| Таблица 10 |
Влияние 1,5-месячного введения изоникотиноилгидразида фталевой кислоты (ИНГФК) на динамику -липопротеидов в крови интактных крыс |
Содержание -липопротеидов, г/л |
| ИНГФК, 50 мг/кг |
Гликлазид, 50 мг/кг |
Глибенкламид 5 мг/кг |
Метформин, 50 мг/кг |
Контроль |
| исх |
ч-з 1,5 мес |
исх |
ч-з 1,5 мес |
исх |
ч-з 1,5 мес |
исх |
ч-з 1,5 мес |
исх |
ч-з 1,5 мес |
| 0,89±0,05 |
0,51±0,03***ххх |
0,84±0,02 |
0,57±0,04**ххх |
0,91±0,05 |
0,64±0,04*хх |
0,81±0,03 |
0,52±0,04***ххх |
0,84±0,06 |
0,79±0,03 |
Достоверность отличий по сравнению с контролем при P 0,05 – *, P 0,01 – *, P 0,001 – ***, Достоверность отличий по сравнению с исходным состоянием при Р 0,05 – х, P 0,01 – хх, P 0,001 – ххх |
| Таблица 11 |
| Влияние 1,5-месячного введения изоникотиноилгидразида фталевой кислоты (ИНГФК) на жировой обмен интактных крыс |
| Серия опытов |
Содержание в крови |
| НЭЖК, ммоль/л |
триглицериды, ммоль/л |
общ. холестерин, ммоль/л |
-липопротеиды, г/л |
| ИНГФК |
0,55±0,04* |
0,68±0,04* |
1,45±0,07*** |
0,51±0,03*** |
| Гликлазид |
0,47±0,05* |
0,57±0,05** |
1,64±0,10** |
0,57±0,04** |
| Глибенкламид |
0,49±0,02** |
0,60±0,01** |
1,77±0,05** |
0,64±0,04* |
| Метформин |
0,33±0,04*** |
0,38±0,05*** |
1,22±0,07*** |
0,52±0,04*** |
| Контроль |
0,74±0,07 |
0,84±0,07 |
2,02±0,06 |
0,79±0,03 |
Достоверность отличий по сравнению с контролем при Р 0,05 – *, Р 0,01 – **, P 0,001 – *** |
| Таблица 12 |
| Влияние 15-суточного введения изоникотиноилгидразида фталевой кислоты (ИНГФК) на жировой обмен крыс со стероидным диабетом |
| Серия опытов |
Концентрация в крови, ммоль/л |
| общий холестерин |
триглицериды |
| исходн. |
15 суток |
исходн. |
15 суток |
| ИНГФК 50 мг/кг |
1,65±0,10 |
1,28±0,10*** |
0,51±0,06 |
0,45±0,02*** |
| Гликлазид 50 мг/кг |
1,72±0,08 |
0,97±0,06*** |
0,49±0,05 |
0,40±0,03*** |
| Глибенкламид 5 мг/кг |
1,67±0,07 |
1,17±0,06*** |
0,52±0,04 |
0,42±0,04*** |
| Метформин 50 мг/кг |
1,72±0,09 |
1,72±0,10* |
0,45±0,04 |
0,51±0,05** |
| Контроль |
1,69±0,08 |
2,03±0,05 |
0,49±0,05 |
0,72±0,04 |
Достоверность отличий по сравнению с контролем при Р 0,05 – *, Р 0,01 – **, Р 0,001 – *** |
Литература
1. Машковский М.Д. Лекарственные средства (пособие для врачей). Харьков: Торсинг, Т.2., С.332, (1997).
3. Покровский А.А. Биохимические методы исследования в клинике. – М.: Медицина, 1969. – 651 с.
4. Прохорова М.И., Туликова З.Н. Большой практикум по углеводному и липидному обмену. – Л.: Изд. ленингр. гос. ун-та им. А.А.Жданова, 1965. – С.56-58, С.71-73, С.81-84.
5. Энциклопедия лекарств (ред. Вышковский Г.Л.) М., “РЛС-2004”, 2004, С.549, 248).
6. Селятицкая В.Г., Кузьминова О.И., Одинцов С.В. Динамика формирования инсулинорезистентности у экспериментальных животных при длительном введении глюкокортикоидных гормонов. Бюлл. экспер. биол. мед., 2002, Т.133, №4, С.394-396.
7. Цюхно З.И., Славнов В.Н., Панченко Н.И. и др. Функциональные методы исследования в эндокринологии. – Киев.: Здоровье, 1981, – 238 с.
8. El Sadek M.M., El Essawi M.M., and Abdel Baky S.A., J.Chem. Eng. Data, vol.34, №2, p.257-259 (1989)
Формула изобретения
Применение изоникотиноилгидразида фталевой кислоты в качестве средства для снижения содержания свободных жирных кислот, холестерина, триглицеридов.
РИСУНКИ
|
|