Патент на изобретение №2331095
|
||||||||||||||||||||||||||||||||||||||||||||||||||||||||||||||||||||||||||||||||||||||||||||||||||||||||||||||||||||||||||||||||||||||||||||||||||||||||||||||||||||||||||||||||||||||||||||||||||||||||||||||||||||||||||||||||||||||||||||||||||||||||||||||||||||||||||||||||||||||||||||||||||||||||||||||||||||||||||||||||||||||||||||||||||||||||||||||||||||
(54) “ЖИВЫЕ” ПОЛИМЕРИЗАЦИОННОСПОСОБНЫЕ ПЛЕНКИ ДЛЯ ЗАПИСИ ГОЛОГРАММ
(57) Реферат:
Изобретение относится к полимеризационноспособным пленкам для записи голограмм. Описывается сухая фотополимеризационноспособная пленка, полученная из жидкой фотополимеризующейся композиции, содержащей смесь моно- и бифункциональных акриловых олигомеров и линейный термопластичный полимер. Предложенная пленка формирует изображение за счет изменения показателя преломления при экспозиции активирующим облучением близкого ультрафиолетового света с длиной волны 350-400 нм. Описывается также способ получения указанной пленки. Предложенные фотополимеризационноспособные пленки являются бесцветными и прозрачными, обладают высокими механическими и оптическими свойствами и используются для записи голограмм с помощью близкого ультрафиолетового излучения с длиной волны 350-400 нм. 2 н. и 6 з.п. ф-лы, 6 табл.
Область техники, к которой относится изобретение Изобретение относится к композициям и элементам, находящимся в твердой фазе, которые после экспозиции содержат области изображения, имеющие показатель преломления, отличающийся от областей без изображения. Более конкретно, это изобретение относится к сухим пленкам, приготовленным из полимеризационноспособной композиции. Известный уровень техники Применение фотополимерных пленок для записи голограмм известно в последние 30-40 лет (патент США № 3658536), и в эти годы они становятся все более важными для коммерциализации голографии. Эти материалы можно приблизительно разделить на три основные категории: (1) жидкие покрытия, содержащие фотоинициатор и мономеры, (2) составы для сухих пленок, содержащие фотоинициирующую систему, мономер и связующий полимерный компонент, формирующий пленку, и (3) составы для сухих пленок, содержащие сшивающий полимер и фотосенсибилизатор или инициатор. Только первые две категории пользуются настоящим коммерческим успехом. Как правило, фоточувствительные пленки, состоящие из красителя, инициатора, акриловых мономеров и полимерного связующего компонента, формирующего пленку, используются для изготовления голограмм с помощью очень простой процедуры: после первоначального голографического облучения проводят общую экспозицию белым или ультрафиолетовым светом для завершения полимеризации, затем желательно проводить стадию короткой термической обработки, которая увеличивает модуляцию показателя преломления уже сформированной голограммы. Разработанные позже улучшенные композиции обладают значительно большей стабильностью, большей модуляцией показателя преломления и более широкой спектральной чувствительностью (патент США № 4942112). В патенте США № 5182180 описан процесс формирования объемных фазовых голограмм в основном в твердых, прозрачных, фоточувствительных пленочных элементах, заключающийся в: (a) голографической экспозиции пленочного элемента когерентным светом для записи объемной голограммы внутри вышеупомянутого элемента; (б) экспозиции диффузионного элемента, содержащего мономер, активирующим облучением для частичной полимеризации вышеупомянутого мономера; и (с) контакте на некоторое время вышеупомянутого пленочного элемента с вышеупомянутым диффузионным элементом для модификации длины волны световой реакции голограммы. Диффузионный элемент может экспонироваться изображением, чтобы создать полутоновое или с непрерывным тоном изображение оставшегося мономера, который мигрирует в пленочный элемент в течение стадии контакта, чтобы селективно обозначить желаемые части голограммы. Практически во всех областях использования фотополимерных пленок описывается процесс записи голограмм при пересечении двух коллимированных лучей лазера, работающего в видимом спектральном диапазоне, начиная с 450 нм. К сожалению, в этом случае возникает необходимость использования сложной инициирующей системы, хранения и обработки “живых” пленок без облучения видимым светом. Кроме того, известно, что инициирование фотополимеризации близким ультрафиолетовым светом предпочтительнее с энергетической точки зрения по сравнению с инициированием видимым светом. Краткое описание изобретения Изобретение относится к сухой фотополимеризационноспособной пленке и фоточувствительным элементам, которые обладают чувствительностью к активирующему облучению близкого ультрафиолетового света с длиной волны 350-400 нм. Более конкретно, это изобретение относится, главным образом, к сухой фотополимеризационноспособной пленке, которая формирует изображение за счет изменения показателя преломления при экспонировании активирующим облучением близкого ультрафиолетового света с длиной волны 350-400 нм. Другим объектом настоящего изобретения является жидкая фотополимеризационноспособная композиция моно- и бифункциональных акриловых олигомеров, содержащих линейный полимер. Следующим объектом настоящего изобретения является способ получения сухой фотополимеризационноспособной пленки методом центрифугирования (спин-коутинг) из низкокипящего растворителя. Другие объекты и преимущества настоящего изобретения будут ясны из последующего описания. Согласно данному изобретению, задачей данного изобретения является, во-первых, создание сухой фотополимеризационноспособной пленки, состоящей в основном из: от 5 до 70% жидкого акрилового мономера; от 5 до 30% бифункционального акрилового олигомера; от 10 до 75% растворителя, растворяющего термопластический полимерсвязующий компонент; от 0,1 до 5% фотоинициатора, который активирует полимеризацию вышеупомянутого акрилового мономера и олигомера при экспозиции активирующим облучением близкого ультрафиолетового света с длиной волны 350-400 нм; 10-90% низкокипящего растворителя. И, во-вторых, создание жидкой фотополимеризационноспособной композиции моно- и бифункциональных акриловых олигомеров, содержащих линейный полимер. Согласно данному изобретению, наконец, задачей данного изобретения является создание способа получения сухой фотополимеризационноспособной пленки методом центрифугирования из низкокипящего растворителя. Разработанная сухая фотополимеризационноспособная пленка может использоваться во всех известных областях использования голографических сред. Подробное описание предпочтительного варианта Для создания высококачественной сухой фотополимеризационноспособной пленки заявители провели всесторонние научные исследования. В результате найдены основные факторы, оказывающие влияние на оптические и вспомогательные свойства пленки. Первый важный фактор – химическая структура акриловых компонентов (олигомера и мономера) и линейного полимера для обеспечения максимальной прозрачности пленки при близком ультрафиолетовом свете с длиной волны 350-400 нм. Второй фактор, который влияет на качестве пленки – процессы разделения фаз между акриловыми компонентами (олигомером и мономером) и линейным полимером, как в “живом” состоянии, так и в процессе отверждения. Третий фактор, который влияет на качество пленки – метод инициирования трехмерной радикальной полимеризации акриловых компонентов, определяющий скорость инициирования, концентрацию свободных радикалов, константы скорости процесса полимеризации. Итак, первая задача изобретения заключается в синтезе мономеров и олигомеров, подходящих для получения сухой фотополимеризационноспособной пленки, т.е. без какого-либо поглощения в близком ультрафиолетовом свете, особенно с длиной волны 365 нм. Другая задача изобретения заключается в разработке метода определения совместимости жидкой акриловой композиции с линейным полимером. Еще одной задачей изобретения является создание гомогенной композиции из вышеупомянутых акриловых компонентов и полимера в низкокипящем растворителе. Другая задача изобретения заключается в разработке метода изготовления пленки, т.е. необходимой оптимизации процесса центрифугирования. Еще одной задачей изобретения является выбор фотоинициатора радикальной полимеризации вышеупомянутых акриловых компонентов при экспозиции активирующим облучением близкого ультрафиолетового света с длиной волны 350-400 нм. Дополнительной задачей изобретения является разработка способа получения высококачественной сухой фотополимеризационноспособной пленки с помощью процесса центрифугирования. Сначала приведем описание жидкой фотополимеризационноспособной композиции по данному изобретению, и затем – другие предметы данного изобретения. В представляемом изобретении для достижения необходимых свойств вышеупомянутой сухой фотополимеризационноспособной пленки используется композиция полимеризационноспособных компонентов и линейного полимера в низкокипящем растворителе. В общем виде композиция состоит из – жидкого акрилового мономера с одной (мета)акриловой группой, представленного общей формулой (I); – бифункционального акрилового олигомера с двумя (мета)акриловыми группами, представленного общей формулой (II); – термопластического линейного полимера; – фотоинициатора; – низкокипящего растворителя. Жидкая полимеризационноспособная композиция по данному изобретению состоит из радикально полимеризующихся мономеров. Это предпочтительнее с точки зрения характеристических свойств, таких как вязкость композиции, условий трехмерной полимеризации, стойкости к растворению, твердость. Применение радикально полимеризующихся мономеров практически ничем не ограничивается, и могут быть использованы любые известные соединения, имеющие радикально полимеризующуюся группу, такую как (мета)акрилоилгруппу, (мета)акрилоилоксигруппу, виниловую группу, аллиловую группу или стириловую группу. С точки зрения достижения легкости процесса отверждения предпочтительны соединения, имеющие (мета)акрилоиловую группу или (мета)акрилоилоксигруппу в качестве радикально полимеризационноспособной группы, обозначенные формулой (I). В заявляемых композициях могут содержаться различные мономеры общей формулы (I), включая производные ненасыщенных кислот, таких как акриловая и метакриловая, например метилметакрилат, бутилметакрилат, бензил(мет)акрилат, 2-гидроксиэтилметакрилат и оксипропиленгликольмонометакрилат; тиоакрилатные и тиометакриловые соединения, такие как метилтиоакрилат, бензилтиоакрилат и бензилтиометакрилат; виниловые соединения, такие как стирол, хлорстирол, метилстирол, бромстирол и N-винилпирролидон. CH2=C(R)COOR’, (I) где R = H, F, CH3; R’ = алкил С1-С20, циклоалкил С4-С8, аралкил, перфторалкил С4-С12, алкоксиалкил. Предпочтительными мономерами общей формулы (I) для использования в данном изобретении являются изонорборнилакрилат (IA), 2-феноксиэтилметакрилат (PEM), 2-этоксиэтилакрилат (ЕЕА), 1Н,1Н,9Н-перфторононилакрилат (FA). Любой известный олигомер может использоваться как бифункциональный акриловый олигомер, если он имеет две (мет)акриловые группы, соединенные двухвалентным радикалом. Общая формула олигомера может быть представлена формулой (II): где R1 – атом водорода, атом фтора или метиловая группа; R2 – двухвалентный органический радикал:
где R3 – атом водорода или метиловая группа; n – целое число от 0 до 10; X – двухвалентный органический радикал со сложноэфирной, карбонатной или уретановой группировкой: -Y-R4-Y-, где Y – двухвалентная группа -СО-, -СОО-, -CONH-R5– или-R5NHCO-, R4 – двухвалентный органический радикал:
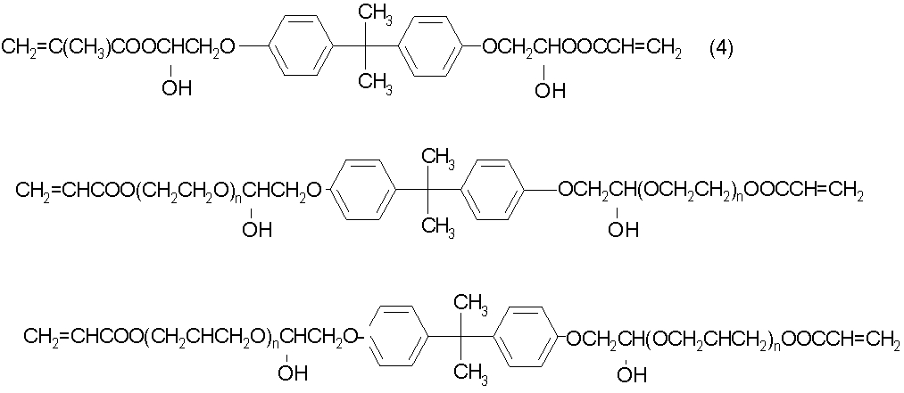
где n – целое число от 1 до 3, m – целое число от 1 до 250; R5 – двухвалентный органический радикал: Предпочтительными олигомерами общей формулы (II) являются bis-GMA и его этоксилированный или глицериновые аналоги, обозначенные следующими формулами (4)-(6) соответственно, олигокарбонатметакрилат (ОСМ-2), олигоизофоронуретанметакрилат (OUM) и 1H,1H,6H,6H-перфторогексан-1,6-диолдиакрилат (FDA). ОСМ-2 OUM FDA Любые линейные термопластичные полимеры, растворимые в низкокипящем растворителе, могут использоваться в данном изобретении как непосредственно, так и в смеси. Например, для использования в композиции по данному изобретению пригодны полиметилметакрилат и полиэтилметакрилат; поливиниловые эфиры, например поливинилацетат, поливинилацетатакрилат, поливинилацетатметакрилат и гидролизованный поливинилацетат; насыщенные и ненасыщенные полиуретаны; бутадиеновые и изопреновые полимеры и сополимеры и высокомолекулярные полиэтиленоксиды на основе полигликолей со средней мол. массой от 4000 до 1000000; эфиры целлюлозы, например, ацетат целлюлозы ацетатсукцинат целлюлозы и ацетатбутират целлюлозы; поликарбонаты; и поливинилацетали, например поливинилбутираль и поливинилформаль. Наиболее предпочтительными линейными термопластичными полимерами для использования в «живой» фотополимеризационноспособной пленке по данному изобретению являются ацетатбутират целлюлозы (САВ), полиметилметакрилат (PMMA) и поливилбутираль (PVB). Любой известный инициатор радикальной полимеризации может использоваться для отверждения жидкой фотополимеризационноспособной композиции по данному изобретению. Однако основная область применения вышеупомянутой композиции – голография при облучении близким ультрафиолетовым светом – требует использования фотоинициаторов, генерирующих свободные радикалы при экспозиции ультрафиолетовым облучением. Бензоин, метиловый эфир бензоина, бутиловый эфир бензоина, бензофенон, ацетофенон, 4,4′-дихлоробензофенон, диэтоксиацетофенон, 2-гидрокси-2-метил-1-фенилпропан-1-он, бензилметилкеталь, 1-(4-изопропилфенил)-2-гидрокси-2-метилпропан-1-он, 1-гидроксициклогексилфенилкетон, 2-изопропилтиоксантон, оксид би(2,6-диметоксибензоил-2,4,4-триметилпентил)фосфина, оксид би(2,4,6-триметилбензоил)-фенилфосфина, оксид 2,4,6-триметилбензоилдифенил-фосфина или 2-бензил-2-диметиламино-1-(4-морфолинофенил)-бутанон-1 могут быть использованы в качестве инициатора фотополимеризации. Возможно использование комбинации из двух или более фотоинициаторов. С точки зрения величины максимума поглощения при близком ультрафиолетовом свете, особенно с длиной волны 365 нм, предпочтительным является использование 2,2-диметокси-2-фенилацетофенона (DPA). В приведенных ниже примерах для фотохимического инициирования использовалась ртутная лампа высокого давления с входной мощностью 1000 Вт. Любой низкокипящий растворитель может использоваться в данном изобретении, но особенно предпочтительны дихлорметан и этилацетат (EA). В общем случае соотношение компонентов в жидкой фотополимеризационноспособной композиции может широко варьироваться, %:
В предпочтительном варианте состав композиции следующий, %:
Метод получения сухой фотополимеризационноспособной пленки из вышеупомянутой жидкой фотополимеризационноспособной композиции с помощью известного метода центрифугирования включает приготовление растворов добавлением компонентов в растворитель и последующее перемешивание магнитной мешалкой до полного растворения. Растворы наносятся на стеклянную подложку при скорости вращения подложки 8 об/мин с использованием аппликатора и ламинирующей установки. Затем пленка сушится под фольгой при комнатной температуре и окончательно – при 70°С. В таблице 1 приведены аббревиатуры часто используемых компонентов композиций.
ПРИМЕРЫ Следующие примеры приводятся с целью дальнейшего раскрытия данного изобретения. Пример 1 Приготовление жидкой фотополимеризационноспособной композиции Смесь 66,7% (0,375 г) PVB, 24,9 (0,14 г) PEM, 8,4% (47,5 г) EGMA и 2% (7,5 мг) DPA в 9,25 мл CH2Cl2 была смешана в лабораторном сосуде магнитной мешалкой при комнатной температуре в течение 8-14 час до полного растворения. Приготовленный раствор хранился в холодильнике. Примеры 2-6 Жидкие фотополимеризационноспособные композиции были приготовлены тем же способом, что и в Примере 1, но с различными соотношениями компонентов. Полученные композиции приведены в Таблице 2.
Примеры 7-8 Жидкие фотополимеризационноспособные композиции были приготовлены тем же способом, что и в Примере 1, на основе олигоуретанметакрилата. Составы композиций приведены в Таблице 3.
Примеры 9-10 Жидкие фотополимеризационноспособные композиции были приготовлены тем же способом, что и в Примере 1, на основе олигоуретанаметакрилата и изоборнилакрилата. Составы композиций приведены в Таблице 4.
Примеры 11-13 Жидкие фотополимеризационноспособные композиции были приготовлены тем же способом, что и в Примере 1, на основе PMMA. Составы композиций приведены в Таблице 5.
Примеры 14-16 Жидкие фотополимеризационноспособные композиции были приготовлены тем же способом, что и в Примере 1, на основе фторсодержащих олигомеров. Составы композиций приведены в Таблице 6.
Пример 17 Приготовление «живой» фотополимеризационноспособной пленки Композиция, описанная в Примере 1, наносилась на кварцевое стекло при вращении подложки со скоростью 8 об/мин с использованием аппликатора и ламинирующей установки. Затем пленка высушивалась при комнатной температуре под крышкой чашки Петри 24 часа и затем термически обрабатывалась при 70°С в течение 2 часов. Образующаяся достаточно прочная прозрачная пленка может использоваться для записи голограмм не только на кварцевой или иной подложке, но и как независимая пленка. Примеры 18-32 «Живая» фотополимеризационноспособная пленка была приготовлена тем же способом, что и в примере 17, из жидких фотополимеризационноспособных композиций, описанных в Примерах 2-16. Приведенные выше результаты показывают, что высококачественные «живые» фотополимеризационноспособные пленки, обладающие как отличными механическими свойствами, так и отличными оптическими свойствами, например бесцветностью и прозрачностью, могут быть получены из жидких фотополимеризационноспособных композиций по данному изобретению методом центрифугирования. Более того, сухие фотополимеризационноспособные пленки могут отверждаться при близком ультрафиолетовом облучении с длиной волны 350-400 нм, в том числе в условиях, подходящих для записи голограмм.
Формула изобретения
1. Сухая фотополимеризационноспособная пленка, полученная из жидкой фотополимеризующейся композиции, содержащей смесь моно- и бифункциональных акриловых олигомеров и линейный термопластичный полимер, которая формирует изображение за счет изменения показателя преломления при экспозиции активирующим облучением близкого ультрафиолетового света с длиной волны 350-400 нм. 2. Сухая фотополимеризационноспособная пленка по п.1, где вышеупомянутая жидкая фотополимеризующаяся композиция содержит (1) 5-70% жидкого акрилового мономера; (2) 5-30% бифункционального акрилового олигомера; (3) 10-75% линейного термопластического полимера; (4) 0,1-5% фотоинициатора, который активирует полимеризацию при экспозиции активирующим облучением близкого ультрафиолетового света; (5) 10-90% низкокипящего растворителя. 3. Сухая фотополимеризационноспособная пленка по п.1 или 2, где вышеупомянутый жидкий акриловый мономер выбирается из группы, состоящей из изонорборнилакрилата, 2-феноксиэтилметакрилата, 2-этоксиэтилакрилата, 1Н,1Н,9Н-перфторононилакрилата. 4. Сухая фотополимеризационноспособная пленка по п.1 или 2, где вышеупомянутый бифункциональный акриловый олигомер выбирается из группы, состоящей из метакрилата диглицидилового эфира бисфенола А, его этоксилированного и глицерилированного производных, олигокарбонатметакрилата, олигоизофороноуретанметакрилата и 1Н,1Н,6Н,6Н-перфторогексан-1,6-диол диакрилата. 5. Сухая фотополимеризационноспособная пленка по п.1 или 2, где вышеупомянутый линейный термопластический полимер выбирается из группы, состоящей из ацетобутирата целлюлозы, полиметилметакрилата и поливинилбутираля. 6. Сухая фотополимеризационноспособная пленка по п.1 или 2, где в качестве фотоинициатора используется 2,2-диметокси-2-фенилацетофенон. 7. Способ получения сухой фотополимеризационноспособной пленки, включающий a) приготовление раствора посредством добавления в растворитель компонентов вышеупомянутой жидкой фотополимеризационноспособной композиции, содержащей смесь моно- и бифункциональных акриловых олигомеров и линейный термопластичный полимер; b) последующее перемешивание до их полного растворения; c) нанесение растворов на стеклянную подложку; d) выпаривание растворителя при комнатной температуре; e) окончательную сушку при 70°С. 8. Способ по п.7, где растворы наносят на стеклянную подложку методом центрифугирования, включая a) фиксирование вышеупомянутой стеклянной подложки на диске ламинирующей установки; b) вращение на диске с заранее установленной скоростью; c) нанесение упомянутого раствора на поверхность подложки; d) разглаживание аппликатором упомянутого слоя раствора; e) вращение диска до испарения большей части растворителя.
|
||||||||||||||||||||||||||||||||||||||||||||||||||||||||||||||||||||||||||||||||||||||||||||||||||||||||||||||||||||||||||||||||||||||||||||||||||||||||||||||||||||||||||||||||||||||||||||||||||||||||||||||||||||||||||||||||||||||||||||||||||||||||||||||||||||||||||||||||||||||||||||||||||||||||||||||||||||||||||||||||||||||||||||||||||||||||||||||||||||








