Патент на изобретение №2330841
|
|||||||||||||||||||||||||||||||||||||||||||||||||||||||||||||||||||||||||||||||||||||||||||||||||||||||||||||||||||||||||||||||||||||||||||||||||||||||||||||||||||||||||||||||||||||||||||||||||||||||||||||||||||||||||||||||||||||||||||||||||||||||||||||||||||||||||||||||||||||||||||||||||||||||||||||||||||||||||||||||||||||||||||||||||||||||||||||||||||||||||||||||||||||||||||||||||||||||||||||||||||||||||||||||||||||||||||||||||||||||||||||||||||||||||||||||||||||||||||||||||||||||||||||||||||||||||||||||||||||||||||||||||||||||||||||||||||||||||||||||||||||||||||||||||||||||||||||||||||||||||||||||||||||||||||||||||||||||||||||||||||||||||||||||||||||||||||||||||||||||||||||||||||||||||||||||||||||||||||||||||||||||||||||||||||||||||||||||||||||||||||||||||||||||||||||||||||||||||||||||||||||||||||||||||||||||||||||||||||||||||||||||||||||||||||||||||||||||||||||||||||||||||||||||||||||||||||||||||||||||||||||||||||||||||||||||||||||||||||||||||||||||||||||||||||||||||||||||||||||||
(54) ПРОИЗВОДНЫЕ БИФЕНИЛА
(57) Реферат:
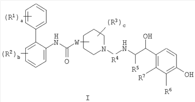
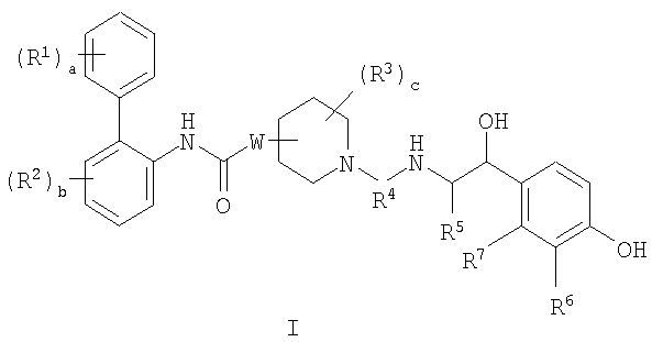
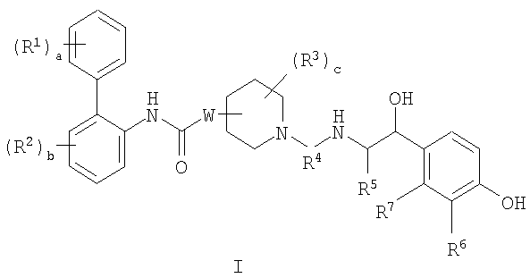
Изобретение относится к новым соединениям формулы I: где: а представляет собой 0 или целое число от 1 до 3; каждый R1 независимо выбран из галогена; b представляет собой 0 или целое число от 1 до 3; каждый R2 независимо выбран из галогена; W присоединен в положении 3 или 4 относительно атома азота в пиперидиновом кольце и представляет собой О; с представляет собой 0 или целое число от 1 до 4; каждый R3 независимо выбран из (1-4С)алкила; или две группы R3 соединены вместе с образованием (1-3С)алкилена или оксиран-2,3-диила; R4 представляет собой двухвалентную группу формулы: -(R4a)d-(A1)e-(R4b)f-Q-(R4c)g-(A2)h-(R4d)i-, где d, e, f, g, h и i, каждый, независимо выбран из 0 и 1; R4a, R4b, R4c и R4d, каждый независимо выбран из (1-10С)алкилена, где каждая алкиленовая группа является незамещенной или замещена 1-5 заместителями, независимо выбранными из (1-4С)алкила, фтора и гидрокси; А1 и А2, каждый, независимо выбран из (3-7С)циклоалкилена, (6-10С)арилена, -О-(6-10С)арилена, (6-10С)арилен-О-, (2-9С)гетероарилена и (3-6С)гетероциклена, где каждый циклоалкилен является незамещенным или замещен 1-4 заместителями, независимо выбранными из (1-4С)алкила, и каждая ариленовая, гетероариленовая или гетероцикленовая группа является незамещенной или замещена 1-4 заместителями, независимо выбранными из галогена, (1-4С)алкила, (1-4С)алкокси, -S(O)2-(1-4С)алкила, гидрокси, нитро и трифторметокси; Q выбран из связи, -О-, -S(O)2-, -N(Qa)C(O)-, -C(O)N(Qb)-, -N(QC)S(O)2-, -S(O)2N(Qd)-, -N(Qe)C(O)N(Qf)- и -N(Qk); Qa, Qb, Qc, Qd, Qe, Qf и Qk, каждый, независимо выбран из водорода, (1-6С)алкила и А3, где алкильная группа является незамещенной или замещена 1-3 заместителями, независимо выбранными из фтора, гидрокси и (1-4С)алкокси; или вместе с атомом азота и группой R4b или R4c, к которым они присоединены, образуют 4-6-членную азациклоалкиленовую группу; А3 независимо выбран из (3-6С)циклоалкила, (6-10С)арила, (2-9С)гетероарила и (3-6С)гетероциклила, где каждый циклоалкил является незамещенным или замещен 1-4 заместителями, независимо выбранными из (1-4С)алкила, и каждая арильная, гетероарильная или гетероциклильная группа является незамещенной или замещена 1-4 заместителями, независимо выбранными из галогена, (1-4С)алкила и (1-4С)алкокси; при условии, что число смежных атомов в самой короткой цепи между двумя атомами азота, к которым присоединен R4, находится в интервале от 4 до 16; R5 представляет собой водород или (1-4С)алкил; R6 представляет собой -NR6aCR6b(O), и R7 представляет собой водород; или R6 и R7 вместе образуют -NR7aC(O)-CR7b=CR7c-; каждый из R6a и R6b независимо представляет собой водород или (1-4С)алкил; и каждый из R7a, R7b и R7c независимо представляет собой водород или (1-4С)алкил; или к его фармацевтически приемлемым солям, сольватам или стереоизомерам. Изобретение также относится к соединениям формулы I, к 1-[2-(2-хлор-4-{[(R)-2-гидрокси-2-(8-гидрокси-2-оксо-1,2-дигидрохинолин-5-ил)этиламино]метил}-5-метоксифенилкарбамоил)этил]пиперидин-4-иловому эфиру бифенил-2-илкарбаминовой кислоты или к его фармацевтически приемлемой соли или сольвату, к фармацевтической композиции, и к способу лечения легочного заболевания, способу обеспечения у пациента расширения просвета бронхов, способу лечения хронической обструктивной болезни легких или астмы, к способу получения соединения формулы I, к лекарственному средству, и к применению соединений по любому из пп.1, 13, 14, 24, 25, 26, 27 или 28. Технический результат – получение новых биологически активных соединений, обладающих как активностью антагониста мускариновых рецепторов, так и активностью агониста
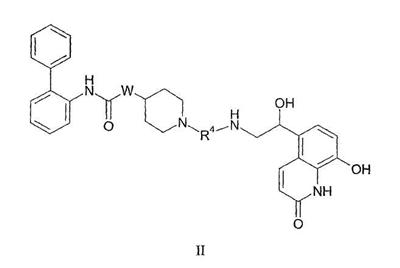
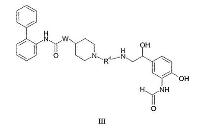
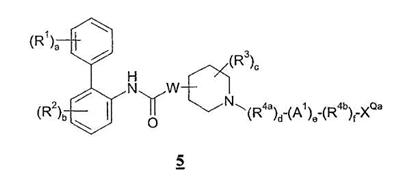
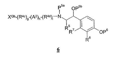
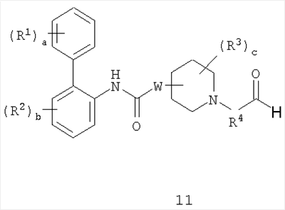
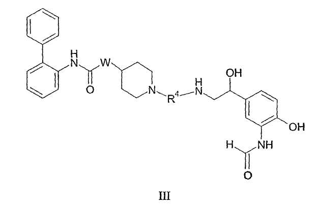
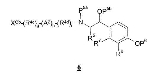
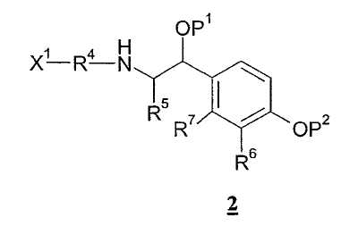
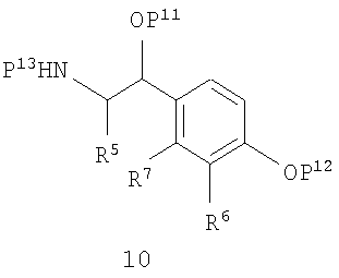
Описание Предпосылки создания изобретения Область техники, к которой относится изобретение Настоящее изобретение относится к новым производным бифенила, полезным для лечения легочных заболеваний. Данное изобретение относится также к фармацевтическим композициям, содержащим указанные производные бифенила, способам и промежуточным соединениям для получения таких производных бифенила и способам применения указанных производных бифенила для лечения болезней легких. Состояние уровня техники Болезни легких, такие как астма и хроническая обструктивная болезнь легких (ХОБЛ; COPD), обычно лечат бронхолитическими средствами. Один класс широко применяемых бронхолитических средств состоит из агонистов Известны также применяемые для лечения болезней легких фармацевтические композиции, содержащие как агонист Соединения, обладающие активностью или агониста Краткое описание изобретения В соответствии с настоящим изобретением предлагаются новые производные бифенила, полезные для лечения легочных заболеваний. Помимо других свойств, соединения настоящего изобретения обладают, как было установлено, активностью как агониста Таким образом, в одном из его аспектов, касающихся структуры соединения, настоящее изобретение относится к соединению формулы I: где: а представляет собой 0 или целое число от 1 до 3; каждый R1 независимо выбран из (1-4C)алкила, (2-4C)алкенила, (2-4C)алкинила, (3-6C)циклоалкила, циано, галогена, -OR1a, -C(O)OR1b, -SR1c, -S(O)R1d, -S(O)2R1e и -NR1fR1g; каждый из R1a, R1b, R1c, R1d, R1e, R1f и R1g независимо представляет собой водород, (1-4C)алкил или фенил-(1-4C)алкил; b представляет собой 0 или целое число от 1 до 3; каждый R2 независимо выбран из (1-4C)алкила, (2-4C)алкенила, (2-4C)алкинила, (3-6C)циклоалкила, циано, галогена, -OR2a, -C(О)OR2b, -SR2c, -S(О)R2d, -S(O)2R2e и -NR2fR2g; каждый из R2a, R2b, R2c, R2d, R2e, R2f и R2g независимо представляет собой водород, (1-4C)алкил или фенил-(1-4C)алкил; W присоединен в положении 3 или 4 в пиперидиновом кольце и представляет собой O или NWa; Wa представляет собой водород или (1-4C)алкил; c представляет собой 0 или целое число от 1 до 4; каждый R3 независимо выбран из (1-4C)алкила, (2-4C)алкенила, (2-4C)алкинила, (3-6C)циклоалкила, циано, галогена, -OR3a, -C(O)OR3b, -SR3c, -S(O)R3d, -S(O)2R3e и -NR3fR3g; или две группы R3 соединены вместе с образованием (1-3C)алкилена, (2-3C)алкенилена или оксиран-2,3-диила; каждый из R3a, R3b, R3c, R3d, R3e, R3f и R3g независимо представляет собой водород или (1-4C)алкил; R4 представляет собой двухвалентную группу формулы: -(R4а)d-(А1)е-(R4b)f-Q-(R4c)g-(A2)h-(R4d)i– где d, e, f, g, h и i, каждый, независимо выбран из 0 и 1; R4a, R4b, R4c и R4d, каждый, независимо выбран из (1-10C)алкилена, (2-10С)алкенилена и (2-10C)алкинилена, где каждая алкиленовая, алкениленовая или алкиниленовая группа является незамещенной или замещена 1-5 заместителями, независимо выбранными из (1-4C)алкила, фтора, гидрокси, фенила и фенил-(1-4C)алкила; A1 и A2, каждый, независимо выбран из (3-7C)циклоалкилена, (6-10)арилена, -O-(6-10C)арилена, (6-10C)арилен-O-, (2-9C)гетероарилена, -O-(2-9C)гетероарилена, (2-9C)гетероарилен-O- и (3-6C)гетероциклена, где каждый циклоалкилен является незамещенным или замещен 1-4 заместителями, независимо выбранными из (1-4C)алкила, и каждая ариленовая, гетероариленовая или гетероцикленовая группа является незамещенной или замещена 1-4 заместителями, независимо выбранными из галогена, (1-4C)алкила, (1-4C)алкокси, -S-(1-4C)алкила, -S(O)-(1-4C)алкила, -S(O)2-(1-4C)алкила, -С(О)О(1-4C)алкила, карбокси, циано, гидрокси, нитро, трифторметила и трифторметокси; Q выбран из связи, -O-, -C(O)O-, -OC(O)-, -S-, -S(O)-, -S(O)2-, -N(Qa)C(О)-, -C(О)N(Qb)-, -N(QC)S(О)2-, -S(O)2N(Qd)-, -N(Qе)С(О)N(Qf)-, -N(Qg)S(O)2N(Qh)-, -OC(O)N(Qi)-, -N(Qj)C(O)O- и -N(Qk); Qa, Qb, Qс, Qd, Qe, Qf, Qg, Qh, Qi, Qj и Qk, каждый, независимо выбран из водорода, (1-6C)алкила, A3 и (1-4C)алкилен-A4, где алкильная группа является незамещенной или замещена 1-3 заместителями, независимо выбранными из фтора, гидрокси и (1-4C)алкокси; или вместе с атомом азота и группой R4b или R4с, к которым они присоединены, образуют 4-6-членную азациклоалкиленовую группу; A3 и A4, каждый независимо выбран из (3-6C)циклоалкила, (6-10C)арила, (2-9C)гетероарила и (3-6C)гетероциклила, где каждый циклоалкил является незамещенным или замещен 1-4 заместителями, независимо выбранными из (1-4C)алкила, и каждая арильная, гетероарильная или гетероциклильная группа является незамещенной или замещена 1-4 заместителями, независимо выбранными из галогена, (1-4C)алкила и (1-4C)алкокси; при условии, что число смежных атомов в самой короткой цепи между двумя атомами азота, к которым присоединен R4, находится в интервале от 4 до 16; R5 представляет собой водород или (1-4C)алкил; R6 представляет собой -NR6aCR6b(O) или -CR6сR6dOR6e и R7 представляет собой водород; или R6 и R7 вместе образуют -NR7aC(O)-CR7b=CR7c-, -CR7d=CR7e-C(O)-NR7f-, -NR7gC(O)-CR7hR7i-CR7jR7k– или -CR7lR7m-CR7nR7о-C(О)-NR7p-; каждый из R6a, R6b, R6c, R6d и R6e независимо представляет собой водород или (1-4C)алкил; и каждый из R7a, R7b, R7c, R7d, R7e, R7f, R7g, R7h, R7i, R7j, R7k, R7l, R7m, R7n, R7o и R7p независимо представляет собой водород или (1-4C)алкил; или его фармацевтически приемлемой соли, сольвату или стереоизомеру. В другом из аспектов, касающихся структуры соединения, настоящее изобретение относится к соединению формулы II: где R4 является таким, как определено в данном описании (включая любые конкретные или предпочтительные варианты); W представляет собой О или NH; или его фармацевтически приемлемой соли, сольвату или стереоизомеру. В следующем из аспектов, касающихся структуры соединения, настоящее изобретение относится к соединению формулы III: где R4 является таким, как определено в данном описании (включая любые конкретные или предпочтительные варианты); W представляет собой О или NH; или его фармацевтически приемлемой соли, сольвату или стереоизомеру. В еще одном из аспектов, касающихся структуры соединения, настоящее изобретение относится к соединению формулы IV: где R4 является таким, как определено в данном описании (включая любые конкретные или предпочтительные варианты); W представляет собой О или NH; или его фармацевтически приемлемой соли, сольвату или стереоизомеру. И в еще одном из аспектов, касающихся структуры соединения, настоящее изобретение относится к фармацевтической композиции, содержащей фармацевтически приемлемый носитель и терапевтически эффективное количество соединения формулы I или его фармацевтически приемлемой соли, сольвата или стереоизомера. Указанные фармацевтические композиции могут, хотя и не обязательно, содержать другие лекарственные средства. Так, в одном из вариантов настоящее изобретение относится к такой фармацевтической композиции, которая дополнительно содержит терапевтически эффективное количество стероидного противовоспалительного средства, такого как кортикостероид. Соединения настоящего изобретения обладают как активностью агониста Так, в одном из аспектов, касающихся способа, настоящее изобретение относится к способу лечения легочного заболевания, включающему введение пациенту, нуждающемуся в таком лечении, терапевтически эффективного количества соединения формулы I или его фармацевтически приемлемой соли, сольвата или стереоизомера. Кроме того, в другом из аспектов, касающихся способа, настоящее изобретение относится к способу обеспечения расширения просвета бронхов, включающему введение пациенту, нуждающемуся в расширении просвета бронхов, терапевтически эффективного количества соединения формулы I или его фармацевтически приемлемой соли, сольвата или стереоизомера. Настоящее изобретение относится также к способу лечения хронической обструктивной болезни легких или астмы, включающему введение пациенту, нуждающемуся в таком лечении, терапевтически эффективного количества соединения формулы I или его фармацевтически приемлемой соли, сольвата или стереоизомера. Поскольку соединения настоящего изобретения обладают как активностью агониста Настоящее изобретение относится также к способам и новым промежуточным соединениям, полезным для получения соединений формулы I или их фармацевтически приемлемой соли, сольвата или стереоизомера. Так, в другом из касающихся способа аспектов настоящее изобретение относится к способу получения соединения формулы I, включающему: (а) осуществление взаимодействия соединения формулы 1 или его соли с соединением формулы 2; (b) осуществление взаимодействия соединения формулы 3 или его соли с соединением формулы 4; (с) связывание соединения формулы 5 с соединением формулы 6; (d) для соединения формулы I, где R5 представляет собой атом водорода, осуществление взаимодействия соединения формулы 3 с соединением формулы 7 или его гидратом в присутствии восстановителя; (е) осуществление взаимодействия соединения формулы 1 с соединением формулы 8 или его гидратом в присутствии восстановителя; (f) осуществление взаимодействия соединения формулы 9 с соединением формулы 10; или (g) осуществление взаимодействия соединения формулы 11 или его гидрата с соединением формулы 10 в присутствии восстановителя; и затем удаление какой-либо из защитных групп с образованием соединения формулы I; причем соединения формул 1–11 являются такими, как определено в данном описании. В одном из вариантов указанный способ дополнительно включает стадию образования фармацевтически приемлемой соли соединения формулы I. В других вариантах настоящее изобретение относится к способам, описанным в данном описании, и к продуктам, полученным любым из описанных выше способов. Настоящее изобретение относится также к соединению формулы I или его фармацевтически приемлемой соли, сольвату или стереоизомеру для применения в терапии или в качестве лекарственного средства. Кроме того, настоящее изобретение относится к применению соединения формулы I или его фармацевтически приемлемой соли, сольвата или стереоизомера для изготовления препарата, в частности, для изготовления препарата для лечения легочного заболевания. Подробное описание изобретения В одном из аспектов, касающихся структуры, настоящее изобретение относится к новым производным бифенила формулы I или их фармацевтически приемлемым солям, сольватам или стереоизомерам. Указанные соединения содержат один или несколько хиральных центров, и, следовательно, настоящее изобретение относится к рацемическим смесям, чистым стереоизомерам (т.е. энантиомерам или диастереомерам), обогащенным стереоизомерами смесям и подобным, если не указано иное. Когда в данном описании показан или назван определенный стереоизомер, специалистам в данной области будет понятно, что в структурах настоящего изобретения могут присутствовать незначительные количества других стереоизомеров, если не указано иное, при условии, что присутствие таких других изомеров не исключает полезность структуры в целом. В частности, соединения формулы I содержат хиральный центр у углеродного атома, обозначенного символом * в следующей формуле: В одном из вариантов осуществления настоящего изобретения атом углерода, обозначенный символом *, имеет (R) конфигурацию. В данном варианте является предпочтительным, чтобы соединения формулы I имели (R) конфигурацию у углеродного атома, обозначенного символом *, или были обогащены стереоизомерной формой, имеющей (R) конфигурацию у данного атома углерода. В другом варианте настоящего изобретения атом углерода, обозначенный символом *, имеет (S) конфигурацию. В данном варианте является предпочтительным, чтобы соединения формулы I имели (S) конфигурацию у углеродного атома, обозначенного символом *, или были обогащены стереоизомерной формой, имеющей (S) конфигурацию у данного атома углерода. В некоторых случаях, чтобы оптимизировать Соединения формулы I содержат также несколько оснóвных групп (например, аминогруппы) и потому соединения формулы I могут существовать в виде свободного основания или в форме различных солей. Все такие солевые формы включены в объем настоящего изобретения. Кроме того, в объем настоящего изобретения включены сольваты соединений формулы I или их солей. Кроме того, когда это приемлемо, в объем настоящего изобретения включены, если не указано иное, все цис-транс или E/Z изомеры (геометрические изомеры), таутомерные формы и топоизомерные формы соединений формулы I. Номенклатура названий соединений настоящего изобретения и их промежуточных соединений была, как правило, создана с использованием коммерчески доступного программного обеспечения AutoNom software (MDL, San Leandro, California). Обычно соединения формулы I, где W представляет собой О, называли как сложноэфирные производные бифенил-2-илкарбаминовой кислоты, а соединения формулы I, где W представляет собой NWа, называли как производные мочевины. Типичные варианты Следующие заместители и значения приведены в качестве типичных примеров различных аспектов и вариантов настоящего изобретения. Указанные типичные значения даны, чтобы дополнительно определить и иллюстрировать такие аспекты и варианты, и не подразумевают исключения других вариантов или ограничения объема настоящего изобретения. В этом отношении указание на то, что определенное значение или определенный заместитель является предпочтительным, никаким образом не подразумевает исключение других значений или заместителей из настоящего изобретения, если это не указано конкретно. В определенных вариантах соединений формулы I, а и b независимо представляют собой 0, 1 или 2, включая 0 или 1. В одном из вариантов оба а и b равны 0. В случае присутствия каждый R1 может находиться в положении 2, 3, 4, 5 или 6 фенильного кольца, к которому он присоединен. В одном из вариантов каждый R1 независимо выбран из (1-4C)алкила, галогена, -OR1a и -NR1fR1g, таких как метил, фтор, хлор, бром, гидрокси, метокси, амино, метиламино, диметиламино и тому подобное. Особыми значениями для R1 являются фтор или хлор. В случае присутствия каждый R2 может находиться в положении 3, 4, 5 или 6 в фениленовом кольце, к которому он присоединен (когда атом углерода в фениленовом кольце, присоединенный к атому азота, находится в положении 1). В одном из вариантов каждый R2 независимо выбран из (1-4C)алкила, галогена, -OR2a и -NR2fR2g, таких как метил, фтор, хлор, бром, гидрокси, метокси, амино, метиламино, диметиламино и тому подобное. Особыми значениями для R2 являются фтор или хлор. Каждый R1a, R1b, R1c, R1d, R1e, R1f и R1g и R2a, R2b, R2c, R2d, R2e, R2f и R2g, при использовании в R1 и R2, соответственно, независимо представляет собой водород, (1-4С)алкил или фенил-(1-4С)алкил, такие как водород, метил, этил, н-пропил, изопропил, н-бутил, втор-бутил, изобутил, трет-бутил или бензил. В одном из вариантов указанные группы независимо представляют собой водород или (1-3С)алкил. В другом варианте указанные группы независимо представляют собой водород, метил или этил. В одном варианте настоящего изобретения W представляет собой О. В другом варианте W представляет собой NWа. Обычно, как было установлено, соединения, в которых W представляет собой О, проявляют особенно высокую аффинность в отношении к мускариновым и В отношении W может быть сделано особое упоминание о соединениях, в которых W присоединен к пиперидиновому кольцу в положении 4 относительно атома азота пиперидинового кольца. Когда W представляет собой NWа, Wа представляет собой водород или (1-4С)алкил, такие как водород, метил, этил, н-пропил, изопропил, н-бутил, втор-бутил, изобутил и трет-бутил. В одном варианте Wа представляет собой водород или (1-3С)алкил. В другом варианте Wа представляет собой водород, метил или этил, в частности, водород или этил. В еще одном варианте Wа представляет собой водород, и NWа представляет собой NH. В определенном варианте соединений формулы I с представляет собой 0, 1 или 2, включая 0 или 1. В одном из вариантов с равно 0. В одном из вариантов каждый R3 находится в положении 3, 4 или 5 в пиперидиновом кольце (когда атом азота пиперидинового кольца находится в положении 1). В другом варианте R3 находится в положении 4 в пиперидиновом кольце. В определенном аспекте указанных вариантов каждый R3 независимо выбран из (1-4С)алкила, такого как метил, этил, н-пропил, изопропил, н-бутил, втор-бутил, изобутил и трет-бутил. В другом аспекте каждый R3 независимо представляет собой метил или этил. В другом варианте R3 находится в положении 1 пиперидинового кольца, т.е. у атома азота пиперидинового кольца, образуя при этом соль четвертичного амина. В частном случае данного варианта каждый R3 независимо выбран из (1-4С)алкила, такого как метил, этил, н-пропил, изопропил, н-бутил, втор-бутил, изобутил и трет-бутил. В другом случае каждый R3 независимо представляет собой метил или этил. В еще одном варианте две группы R3 соединены друг с другом с образованием (1-3С)алкиленовой или (2-3С)алкениленовой группы. Например, две группы R3 в положениях 2 и 6 пиперидинового кольца могут быть соединены с образованием этиленовой мостиковой связи (т.е. пиперидиновое кольцо и группы R3 образуют 8-азабицикло[3.2.1]октановое кольцо) или две группы R3 в положениях 1 и 4 пиперидинового кольца могут быть соединены с образованием этиленовой мостиковой связи (т.е. пиперидиновое кольцо и группы R3 образуют 1-азабицикло[2.2.2]октановое кольцо). В данном варианте могут быть также представлены другие группы R3, определенные в данном описании. В еще одном варианте две группы R3 соединены друг с другом с образованием оксиран-2,3-диильной группы. Например, две группы R3 в положениях 2 и 6 пиперидинового кольца могут быть соединены с образованием 3-оксатрицикло[3.3.1.02,4]нонанового кольца. В данном варианте могут быть также представлены другие группы R3, определенные в данном описании. Каждый R3a, R3b, R3c, R3d, R3e, R3f и R3g при использовании в R3 независимо представляет собой водород или (1-4С)алкил, такие как водород, метил, этил, н-пропил, изопропил, н-бутил, втор-бутил, изобутил и трет-бутил. В одном из вариантов указанные группы независимо представляют собой водород или (1-3С)алкил. В другом варианте указанные группы независимо представляют собой водород, метил или этил. В одном из вариантов соединений формулы I R5 представляет собой водород или (1-4С)алкил, такие как водород, метил, этил, н-пропил, изопропил, н-бутил, втор-бутил, изобутил и трет-бутил. В другом варианте каждый R5 независимо представляет собой водород, метил или этил. В частном варианте R5 представляет собой водород. В одном из вариантов настоящего изобретения R6 представляет собой -NR6aCR6b(O) и R7 представляет собой водород, где каждый из R6а и R6b независимо представляет собой водород или (1-4С)алкил, такие как водород, метил, этил, н-пропил, изопропил, н-бутил, втор-бутил, изобутил и трет-бутил. В одном из вариантов указанные группы независимо представляют собой водород или (1-3С)алкил. В другом варианте указанные группы независимо представляют собой водород, метил или этил. Частным значением для R6 в данном варианте является -NHCHO. В другом варианте R6 и R7 вместе образуют -NR7aC(O)-CR7b=CR7c-, -CR7d=CR7e-C(O)-NR7f-, -NR7gC(O)-CR7hR7i-CR7jR7k– или -CR7lR7m-CR7nR7о-C(О)-NR7p-, где каждый из R7a, R7b, R7c, R7d, R7e, R7f, R7g, R7h, R7i, R7j, R7k, R7l, R7m, R7n, R7o и R7p независимо представляет собой водород или (1-4C)алкил, такие как водород, метил, этил, н-пропил, изопропил, н-бутил, втор-бутил, изобутил и трет-бутил. В одном из вариантов указанные группы независимо представляют собой водород или (1-3С)алкил. В другом варианте указанные группы независимо представляют собой водород, метил или этил. Частными значениями для R6 и R7 в данном варианте являются случаи, когда R6 и R7 вместе образуют -NHC(O)-CH=CH-, -CH=CH-C(O)-NH-, -CH2-CH2-C(O)NH- или -NHC(O)-CH2-CH2-, включая случаи, когда R6 и R7 вместе образуют -NHC(O)-CH=CH- или -CH=CH-C(O)-NH- и, в частности, когда R6 и R7 вместе образуют -NHC(O)-CH=CH- (т.е. атом азота присоединен у R6 и атом углерода присоединен у R7, с образованием вместе с гидроксифенильным кольцом, к которому R6 и R7 присоединены, 8-гидрокси-2-оксо-1,2-дигидрохинолин-5-ильной группы). В соединениях формулы I R4 представляет собой двухвалентную группу формулы: -(R4а)d-(А1)е-(R4b)f-Q-(R4c)g-(A2)h-(R4d)i-, где R4a, А1, R4b, Q, R4c, A2, R4d, d, e, f, g, h и i являются такими, как определено в данном описании, значения каждого их компонентов R4a, А1, R4b, Q, R4c, A2 и R4d выбраны таким образом, что число смежных атомов в самой короткой цепи между двумя атомами азота, к которым присоединен R4, находится в интервале от 4 до 16 (в частности, равно 4, 5, 6, 7, 8, 9, 10, 11, 12, 13, 14, 15 или 16), включая 8, 9, 10, 11, 12, 13 или 14, такое как 8, 9, 10 или 11, или 9 или 10. Специалистам в данной области будет понятно, что при выборе значений для каждой переменной в R4 значения должны быть выбраны таким образом, чтобы образовывалась химически стабильная группа. При определении числа смежных атомов в самой короткой цепи между двумя атомами азота, к которым присоединен R4, каждый смежный атом цепи считают последовательно, начиная с первого атома в группе R4, соседнего с атомом азота пиперидинового кольца, и кончая последним атомом в группе R4, соседним с атомом азота аминогидроксиэтильной группы. Когда возможны две или более цепей, для определения числа смежных атомов используют самую короткую цепь. Как показано ниже, например, когда R4 представляет собой -(СН2)2-NHC(О)-СН2-(фен-1,4-илен)-СН2-, имеется 10 смежных атомов в самой короткой цепи, отсчитанных последовательно, начиная с первого атома в группе R4, соседнего с атомом азота пиперидинового кольца, и кончая последним атомом в группе R4, соседним с атомом азота аминогидроксиэтильной группы: В одном из вариантов R4 группа R4а выбрана из (1-10С)алкилена, (2-10С)алкенилена и (2-10С)алкинилена, где алкиленовая группа является незамещенной или замещена 1 или 2 заместителями, независимо выбранными из (1-4С)алкила, гидрокси и фенила. Типичными примерами частных значений для R4а являются -(СН2)2-, -(СН2)3-, -(СН2)4-, -(СН2)5-, -(СН2)6-, -(СН2)7-, -(СН2)8-, -(СН2)9-, -(СН2)10-, -(СН2)СН(СН3)-, -(СН2)С(СН3)2– и -(СН2)2С(фенил)2-. В другом аспекте R4а представляет собой -(СН2)С(=СН2)-. В одном из вариантов d равно 1. В одном из вариантов А1 представляет собой необязательно замещенную (3-7С)циклоалкиленовую группу, включая циклогексиленовую группу, такую как циклогекс-1,4-илен и циклогекс-1,3-илен, и циклопентиленовую группу, такую как циклопент-1,3-илен. В другом варианте А1 представляет собой необязательно замещенную (6-10С)ариленовую группу, включая фениленовую группу, такую как фен-1,4-илен, фен-1,3-илен и фен-1,2-илен, и нафтиленовую группу, такую как нафт-1,4-илен и нафт-1,5-илен. В еще одном варианте А1 представляет собой необязательно замещенную (2-9С)гетероариленовую группу, включая пиридиленовую группу, такую как пирид-1,4-илен, фуриленовую группу, такую как фур-2,5-илен и фур-2,4-илен, тиениленовую группу, такую как тиен-2,5-илен и тиен-2,4-илен, и пирролиленовую группу, такую как пиррол-2,5-илен и пиррол-2,4-илен. И в еще одном варианте А1 представляет собой необязательно замещенную (3-6С)гетероцикленовую группу, включая пиперидиниленовую группу, такую как пиперидин-1,4-илен, и пирролидиниленовую группу, такую как пирролидин-2,5-илен. В частном варианте А1 представляет собой необязательно замещенный фенилен, тиенилен, циклопентилен, циклогексилен или пиперидинилен. В одном из вариантов е равно 0. В частном варианте R4b представляет собой (1-5С)алкилен. Типичными примерами частных значений для R4b являются -СН2-, -(СН2)2-, -(СН2)3-, -(СН2)4-, -(СН2)5-, включая метилен, этилен и пропилен. В одном из вариантов f равно 0. В частном варианте Q выбран из связи, -N(Qa)C(О)-, -C(О)N(Qb)-, -N(QC)S(О)2-, -S(O)2N(Qd)-, -N(Qе)С(О)N(Qf)-, -OC(O)N(Qi)-, -N(Qj)C(O)O- или -N(Qk) и представляет собой, например, связь, -N(Qa)C(О)- или -C(О)N(Qb)-. Типичными примерами частных значений для Q являются связь, O, NH, -C(O)NH-, -C(О)N(СН3)-, -NHC(O)-, -N(CH3)C(O)-, -S(О)2NH-, -S(O)2N(CH3)-, -NHS(O)2-, -N(CH3)S(O)2– и -NHC(O)NH-. Другой пример значения для Q, вместе с R4с, представляет собой -С(О)(пиперидин-1,4-илен). В одном из вариантов Qa, Qb, Qс, Qd, Qe, Qf, Qg, Qh, Qi, Qj и Qk, каждый, независимо выбран из водорода и (1-6C)алкила, где алкильная группа является незамещенной или замещена 1-3 заместителями, независимо выбранными из фтора, гидрокси и (1-4C)алкокси. Например, Qa, Qb, Qс, Qd, Qe, Qf, Qg, Qh, Qi, Qj и Qk, каждый, независимо выбран из водорода и (1-3C)алкила, включающих водород, метил, этил, н-пропил и изопропил. Примером значения для каждого из Qa, Qb, Qс, Qd, Qe, Qf, Qg, Qh, Qi, Qj и Qk является водород. В другом варианте Qa, Qb, Qс, Qd, Qe, Qf, Qg, Qh, Qi, Qj и Qk вместе с атомом азота и группой R4b или R4с, к которым они присоединены, образуют 4-6-членную азациклоалкиленовую группу. Например, Qa и Qb вместе с атомом азота и группой R4b или R4с, к которым они присоединены, образуют пиперидин-4-иленовую группу. Для иллюстрации можно указать, что когда Q представляет собой -N(Qa)C(О)- и Qa вместе с атомом азота и группой R4b, к которым он присоединен, образует пиперидин-4-иленовую группу, то R4 представляет собой группу формулы: Аналогичным образом, когда Q представляет собой -C(О)N(Qb)- и Qb вместе с атомом азота и группой R4с, к которым он присоединен, образует пиперидин-4-иленовую группу, R4 представляет собой группу формулы: В частном варианте R4с представляет собой (1-5С)алкилен. Типичными примерами частных значений для R4с являются -СН2-, -(СН2)2-, -(СН2)3-, -(СН2)4-, -(СН2)5-, включая метилен, этилен и пропилен. В одном из вариантов A2 представляет собой необязательно замещенную (3-7C)циклоалкиленовую группу, включая циклогексиленовую группу, такую как циклогекс-1,4-илен и циклогекс-1,3-илен, и циклопентиленовую группу, такую как циклопент-1,3-илен. В другом варианте A2 представляет собой необязательно замещенную (6-10C)ариленовую группу, включая фениленовую группу, такую как фен-1,4-илен, фен-1,3-илен и фен-1,2-илен, и нафтиленовую группу, такую как нафт-1,4-илен и нафт-1,5-илен. В еще одном варианте A2 представляет собой необязательно замещенную (2-9C)гетероариленовую группу, включая пиридиленовую группу, такую как пирид-1,4-илен, фуриленовую группу, такую как фур-2,5-илен и фур-2,4-илен, тиениленовую группу, такую как тиен-2,5-илен и тиен-2,4-илен, и пирролилен, такой как пиррол-2,5-илен и пиррол-2,4-илен. В еще одном варианте A2 представляет собой необязательно замещенную (3-6C)гетероцикленовую группу, включая пиперидиниленовую группу, такую как пиперидин-1,4-илен, и пирролидиниленовую группу, такую как пирролидин-2,5-илен. В частном варианте A2 представляет собой необязательно замещенный фенилен, тиенилен, циклопентилен, циклогексилен или пиперидинилен. Для иллюстрации можно указать, что A1 или A2 или оба могут представлять собой фенилен, такой как фен-1,4-илен или фен-1,3-илен, где фениленовая группа является незамещенной или замещена 1-4 заместителями, независимо выбранными из галогена, (1-4C)алкила, (1-4C)алкокси, -S-(1-4C)алкила, -S(O)-(1-4C)алкила, -S(O)2-(1-4C)алкила, -C(O)O(1-4C)алкила, карбокси, циано, гидрокси, нитро, трифторметила и трифторметокси. Типичные примеры включают фен-1,3-илен, фен-1,4-илен, 4-хлорфен-1,3-илен, 6-хлорфен-1,3-илен, 4-метилфен-1,3-илен, 2-фторфен-1,4-илен, 2-хлорфен-1,4-илен, 2-бромфен-1,4-илен, 2-иодфен-1,4-илен, 2-метилфен-1,4-илен, 2-метоксифен-1,4-илен, 2-трифторметоксифен-1,4-илен, 3-нитрофен-1,4-илен, 3-хлорфен-1,4-илен, 2,5-дифторфен-1,4-илен, 2,6-дихлорфен-1,4-илен, 2,6-дииодфен-1,4-илен, 2-хлор-6-метилфен-1,4-илен, 2-хлор-5-метоксифен-1,4-илен, 2,3,5,6-тетрафторфен-1,4-илен. В альтернативном варианте A1 или A2 или оба могут представлять собой циклопентилен или циклогексилен, причем циклопентиленовая или циклогексиленовая группа является незамещенной или замещена (1-4C)алкилом. Типичные примеры включают цис-циклопент-1,3-илен, транс-циклопент-1,3-илен, цис-циклогекс-1,4-илен и транс-циклогекс-1,4-илен. A1 или A2 или оба могут также представлять собой необязательно замещенный тиенилен или пиперидинилен, например тиен-2,5-илен или пиперидин-1,4-илен. В одном из вариантов R4d выбран из (1-10C)алкилена, (2-10C)алкенилена и (2-10C)алкинилена, где алкилен является незамещенным или замещен 1 или 2 заместителями, независимо выбранными из (1-4C)алкила, гидрокси и фенила. Типичными примерами частных значений для R4d являются -(CH2)-, -(CH2)2-, -(CH2)3-, -(CH2)4-, -(CH2)5-, -(CH2)6-, -(CH2)7, -(CH2)8-, -(CH2)9-, -(CH2)10– и -(CH2)CH(CH3)-(CH2)-C(CH3)2-(CH2)2-. В частном варианте R4 представляет собой двухвалентную группу формулы -(R4а)d-, где R4a представляет собой (4-10C)алкилен. В одном аспекте данного варианта R4 представляет собой двухвалентную группу формулы -(CH2)j-, где j равно 8, 9 или 10. Примерами частных значений для R4 в данном варианте являются -(CH2)4-, -(CH2)5-, -(CH2)6-, -(CH2)7-, -(CH2)8-, -(CH2)9 и -(CH2)10-, включая -(CH2)8-, -(CH2)9 и -(CH2)10-. В другом частном варианте R4 представляет собой двухвалентную группу формулы: -(R4а)d-(A2)h-(R4d)i-, где R4a представляет собой (1-10C)алкилен, такой как -(CH2), -(CH2)2-, -(CH2)3-, A2 представляет собой (6-10C)арилен, такой как фен-1,4-илен или фен-1,3-илен, или (2-9C)гетероарилен, такой как тиен-2,5-илен или тиен-2,4-илен, и R4d представляет собой (1-10C)алкилен, такой как -(CH2)-, -(CH2)2-, -(CH2)3-. Примерами частных значений для R4 в данном варианте являются -(CH2)-(фен-1,4-илен)-(CH2)-, -(CH2)-(фен-1,4-илен)-(CH2)2-, -(CH2)-(фен-1,4-илен)-(CH2)3-, -(CH2)2-(фен-1,4-илен)-(CH2)3, -(CH2)2-(фен-1,4-илен)-(CH2)2-, -(CH2)2-(фен-1,4-илен)-(CH2)5, -(CH2)3-(фен-1,4-илен)-(CH2)-, -(CH2)3-(фен-1,4-илен)-(CH2)2-, -(CH2)3-(фен-1,4-илен)-(CH2)3-, -(CH2)4-(фен-1,4-илен)-(CH2)-, -(CH2)4-(фен-1,4-илен)-(CH2)2– и -(CH2)4-(фен-1,4-илен)-(CH2)3-. В еще одном частном варианте R4 представляет собой двухвалентную группу формулы: -(R4а)d-Q-(A2)h-(R4d)i-, где Q представляет собой -O- или -N(Qk)-, Qk представляет собой водород или (1-3C)алкил, такой как метил или этил, R4a представляет собой (1-10C)алкилен, такой как -(CH2)-, -(CH2)2-, -(CH2)3-, A2 представляет собой (6-10C)арилен, такой как фен-1,4-илен или фен-1,3-илен, или (2-9С)гетероарилен, такой как тиен-2,5-илен или тиен-2,4-илен, и R4d представляет собой (1-10C)алкилен, такой как -(CH2)-, -(CH2)2-, -(CH2)3-. Примерами частных значений для R4 в данном варианте являются -(CH2)2-O-(фен-1,4-илен)-(CH2)-, -(CH2)2-O-(фен-1,4-илен)-(CH2)2-, -(CH2)2-O-(фен-1,4-илен)-(CH2)3-, -(CH2)3-O-(фен-1,4-илен)-(CH2)-, -(CH2)3-O-(фен-1,4-илен)-(CH2)2-, -(CH2)3-O-(фен-1,4-илен)-(CH2)3-, -(CH2)2-NH-(фен-1,4-илен)-(CH2)-, -(CH2)2-NH-(фен-1,4-илен)-(CH2)2-, -(CH2)2-NH-(фен-1,4-илен)-(CH2)3-, (CH2)3-NH-(фен-1,4-илен)-(CH2)-, -(CH2)3-NH-(фен-1,4-илен)-(CH2)2– и (CH2)3-NH-(фен-1,4-илен)-(CH2)3-. В еще одном частном варианте R4 представляет собой двухвалентную группу формулы: -(R4а)d-(А1)е-(R4b)f-Q-(R4c)g-(A2)h-(R4d)i-, где Q представляет собой -N(Qa)C(O)- или -C(O)N(Qb)-. Частным значением для R4 в данном варианте является формула: где m равно целому числу от 2 до 10 и n равно целому числу от 2 до 10, при условии, что m+n равно целому числу от 4 до 12. В данной формуле для R4 d и g равны 1 и e, f, h и i равны 0, а R4a представляет собой -(CH2)m, R4c представляет собой -(CH2)n– и Q представляет собой -C(O)NH-. Частными значениями для m являются 2 или 3, и для n являются 4, 5 или 6. Другим частным значением для R4 является формула: где o равно целому числу от 2 до 7 и p равно целому числу от 1 до 6, при условии, что o+p равно целому числу от 3 до 8. В данной формуле для R4 значения d, h и i равны 1 и e, f и g равны 0, R4a представляет собой -(CH2)о-, A2 представляет собой фен-1,4-илен, R4d представляет собой -(CH2)p– и Q представляет собой -C(O)NH-. Частными значениями для o являются 2 или 3, и для p являются 1 или 2. В данном варианте фен-1,4-иленовая группа может быть необязательно замещена, как описано в данном описании для A2. Другим частным значением для R4 является формула: где q равно целому числу от 2 до 6, r равно целому числу от 1 до 5 и s равно целому числу от 1 до 5, при условии, что q+r+s равно целому числу от 4 до 8. В данной формуле для R4 значения d, g, h и i равны 1 и e и f равны 0, R4a представляет собой -(CH2)q-, R4с представляет собой -(CH2)r-, A2 представляет собой 1,4-фенилен, R4d представляет собой -(CH2)s– и Q представляет собой -C(O)NH-. Частными значениями для q являются 2 или 3, для r являются 1 или 2 и для s являются 1 или 2. В данном варианте фен-1,4-иленовая группа может быть необязательно замещена, как описано в данном описании для A2. Другим частным значением для R4 в данном варианте является формула: где t равно целому числу от 2 до 10 и u равно целому числу от 2 до 10, при условии, что t+u равно целому числу от 4 до 12. В данной формуле для R4 значения d и g равны 1 и e, f, h и i равны 0, а R4a представляет собой -(CH2)t, R4c представляет собой -(CH2)u– и Q представляет собой -NHC(O)-. Частными значениями для t являются 2 или 3, и для u являются 4, 5 или 6. Другим частным значением для R4 является формула: где v равно целому числу от 2 до 7 и w равно целому числу от 1 до 6, при условии, что v+w равно целому числу от 3 до 8. В данной формуле для R4 значения d, h и i равны 1 и e, f и g равны 0, R4a представляет собой -(CH2)v-, A2 представляет собой 1,4-фенилен, R4d представляет собой -(CH2)w– и Q представляет собой -NHC(O)-. Частными значениями для v являются 2 или 3, а для w являются 1 или 2. В данном варианте фен-1,4-иленовая группа может быть необязательно замещена, как описано в данном описании для A2. Другим частным значением для R4 является формула: где x равно целому числу от 2 до 6, y равно целому числу от 1 до 5 и z равно целому числу от 1 до 5, при условии, что x+y+z равно целому числу от 4 до 8. В данной формуле для R4 значения d, g, h и i равны 1 и e и f равны 0, R4a представляет собой -(CH2)x-, R4с представляет собой -(CH2)y-, A2 представляет собой 1,4-фенилен, R4d представляет собой -(CH2)z– и Q представляет собой -NHC(O)-. Частными значениями для x являются 2 или 3, для y являются 1 или 2 и для z являются 1 или 2. В данном варианте фен-1,4-иленовая группа может быть необязательно замещена, как описано в данном описании для A2. Для дополнительной иллюстрации R4 может быть выбран из: -(CH2)7-; -(CH2)8-; -(CH2)9-; -(CH2)10-; -(CH2)11-; -(CH2)2C(О)NH(CH2)5-; -(CH2)2N(CH3)C(О)(CH2)5-; -(CH2)2C(О)NH(фен-1,4-илен)CH2-; -(CH2)2NHC(O)(фен-1,4-илен)CH2-; -(CH2)2NHC(O)NH(CH2)5-; -(CH2)3NHC(О)NH(CH2)5-; -(CH2)2C(O)NHCH2(циклогекс-1,3-илен)CH2-; -(CH2)2NHC(О)(циклопент-1,3-илен)-; -(CH2)2NHC(О)NH(фен-1,4-илен)(CH2)2-; 1-[-(CH2)2C(О)](пиперидин-4-ил)(CH2)2-; -(CH2)2NHC(O)(транс-циклогекс-1,4-илен)CH2-; -(CH2)2NHC(O)(цис-циклопент-1,3-илен)-; -(CH2)2NH(фен-1,4-илен)(CH2)2-; 1-[-(CH2)2NHC(О)](пиперидин-4-ил)(CH2)2-; -CH2(фен-1,4-илен)NH(фен-1,4-илен)CH2-; -(CH2)2C(O)NHCH2(фен-1,3-илен)CH2-; -(CH2)2C(O)NHCH2(пирид-2,6-илен)CH2-; -(CH2)2C(O)NH(цис-циклогекс-1,4-илен)CH2-; -(CH2)2C(O)NH(транс-циклогекс-1,4-илен)CH2-; -(CH2)2NHC(O)(цис-циклопент-1,3-илен)CH2-; -(CH2)2N(CH3)C(О)(фен-1,3-илен)CH2-; -(CH2)2N(CH3)C(O)(транс-циклогекс-1,4-илен)CH2-; -(CH2)2C(О)NH(фен-1,4-илен)CH2-; -(CH2)2C(O)NH(фен-1,4-илен)C*H(CH3)-((S)-изомер); -(CH2)2C(O)NH(фен-1,4-илен)C*H(CH3)-((R)-изомер); 2-[(S)-(-CH2-](пирролидин-1-ил)C(О)(CH2)4-; 2-[(S)-(-CH2-](пирролидин-1-ил)C(О)(фен-1,4-илен)CH2-; -(CH2)2C(O)NH(4-хлорфен-1,3-илен)CH2-; -CH2(2-фторфен-1,3-илен)CH2-; -(CH2)2C(O)NH(4-метилфен-1,3-илен)CH2-; -(CH2)2C(О)NH(6-хлорфен-1,3-илен)CH2-; -(CH2)2C(O)NH(2-хлорфен-1,4-илен)CH2-; -(CH2)2C(O)NH(2,6-дихлорфен-1,4-илен)CH2-; -(CH2)2NHC(О)NHCH2(фен-1,3-илен)CH2-; 4-[-CH2-](пиперидин-1-ил)C(O)(фен-1,4-илен)CH2-; -(CH2)2C(O)N(CH2CH3)(фен-1,4-илен)CH2-; 1-[-(CH2)2NHC(О)](пиперидин-4-ил)-; -(CH2)2C(O)NH(фен-1,4-илен)(CH2)2-; -(CH2)2NHC(O)(тиен-2,5-илен)CH2-; -(CH2)2N(CH3)C(О)(3-нитрофен-1,4-илен)CH2-; -(CH2)2N(CH3)C(O)(транс-циклогекс-1,4-илен)-; 1-[-CH2(2-фторфен-1,3-илен)CH2](пиперидин-4-ил)-; 5-[-(CH2)2NHC(O)](пирид-2-ил)CH2-; -(CH2)2(фен-1,4-илен)(CH2)2-; -(CH2)3(тиен-2,5-илен)(CH2)3-; -(CH2)2(фен-1,4-илен)NH(фен-1,4-илен)(CH2)2-; -CH2(фен-1,2-илен)NH(фен-1,4-илен)(CH2)2-; 1-[-CH2(2-фторфен-1,3-илен)CH2](пиперидин-4-ил)(CH2)2-; 1-[-CH2(2-фторфен-1,3-илен)CH2](пиперидин-4-ил)CH2-; -(CH2)2C(O)NH(3-хлорфен-1,4-илен)CH2-; -(CH2)2C(O)NH(2-(CF3O-)фен-1,4-илен)CH2-; -(CH2)3(фен-1,3-илен)NH(фен-1,4-илен)(CH2)2-; -(CH2)2S(О)2NH(CH2)5-; -CH2(фен-1,3-илен)NH(фен-1,4-илен)(CH2)2-; -(CH2)2C(O)NH(2-иодфен-1,4-илен)CH2-; -(CH2)2C(O)NH(2-хлор-5-метоксифен-1,4-илен)CH2-; -(CH2)2C(О)NH(2-хлор-6-метилфен-1,4-илен)CH2-; -(CH2)2C(О)NH(CH2)5-; -(CH2)2N(CH3)S(О)2(фен-1,4-илен)CH2-; -(CH2)2C(O)NH(2-бромфен-1,4-илен)CH2-; -(CH2)3(фен-1,4-илен)NH(фен-1,4-илен)(CH2)2-; -(CH2)3(фен-1,2-илен)NH(фен-1,4-илен)(CH2)2-; 1-[-CH2(2-фторфен-1,3-илен)CH2](пиперидин-4-ил)(CH2)3-; -(CH2)2C(О)NH(2-метоксифен-1,4-илен)CH2-; -(CH2)5NH(фен-1,4-илен)(CH2)2-; 4-[-(CH2)2-](пиперидин-1-ил)(фен-1,4-илен)(CH2)2-; -(CH2)2C(O)NH(фен-1,4-илен)CH(CH3)CH2-; -(CH2)2-(транс-циклогекс-1,4-илен)NH(фен-1,4-илен)(CH2)2-; -(CH2)2C(O)NH(2-фторфен-1,4-илен)CH2-; -(CH2)2(фен-1,3-илен)NH(фен-1,4-илен)(CH2)2-; -(CH2)2C(О)NH(2,5-дифторфен-1,4-илен)CH2-; -(CH2)2NHC(О)(фен-1,4-илен)(CH2)2-; 1-[-CH2(пирид-2,6-илен)CH2](пиперидин-4-ил)CH2-; -(CH2)3NH(фен-1,4-илен)(CH2)2-; -(CH2)2NH(нафт-1,4-илен)(CH2)2-; -(CH2)3O(фен-1,4-илен)CH2-; 1-[-(CH2)3](пиперидин-4-ил)CH2-; 4-[-(CH2)2](пиперидин-1-ил)C(O)(фен-1,4-илен)CH2-; -(CH2)3(фен-1,4-илен)NHC(О)(CH2)2-; -(CH2)3О(фен-1,4-илен)(CH2)2-; 2-[-(CH2)2](бензимидазол-5-ил)CH2-; -(CH2)2(транс-циклогекс-1,4-илен)NHC(O)(CH2)2-; -(CH2)2-(транс-циклогекс-1,4-илен)NHC(O)(CH2)4-; -(CH2)2-(транс-циклогекс-1,4-илен)NHC(O)(CH2)5-; 4-[-(CH2)2](пиперидин-1-ил)C(О)(CH2)2-; -(CH2)2NHC(O)NH(фен-1,4-илен)CH2-; -(CH2)2N(CH3)(CH2)2(цис-циклогекс-1,4-илен)-; -(CH2)2C(O)NH(2,3,5,6-тетрафторфен-1,4-илен)CH2-; -(CH2)2C(O)NH(2,6-дииодфен-1,4-илен)CH2-; 4-[-(CH2)2](пиперидин-1-ил)C(O)(CH2)3-; 4-[-(CH2)2](пиперидин-1-ил)C(O)(CH2)4-; 4-[-(CH2)2](пиперидин-1-ил)C(O)(CH2)5-; -(CH2)2C(O)NHCH2(фен-1,4-илен)CH2-; -(CH2)2NHC(О)NHCH2(фен-1,4-илен)CH2-; -(CH2)2C(O)NH(2-метилфен-1,4-илен)CH2-; 1-[-(CH2)3O(фен-1,4-илен)(CH2)2](пиперидин-4-ил)CH2-; -(CH2)2C(О)NHCH2(фен-1,3-илен)(CH2)2-; -(CH2)2О(фен-1,3-илен)(CH2)2-; -(CH2)2N(CH3)C(O)CH2О(фен-1,4-илен)CH2-; -(CH2)2N(CH3)C(O)CH2O(фен-1,3-илен)CH2-; -(CH2)2N(CH3)C(O)(фур-2,5-илен)CH2-; -(CH2)2N(CH3)C(O)(тиен-2,5-илен)CH2-; -(CH2)2O(фен-1,4-илен)О(CH2)2-; -(CH2)2(транс-циклогекс-1,4-илен)NHC(O)(фен-1,4-илен)CH2-; -(CH2)2(транс-циклогекс-1,4-илен)NHC(O)CH2O(фен-1,2-илен)CH2-; -(CH2)2(транс-циклогекс-1,4-илен)NHC(O)CH2O(фен-1,3-илен)CH2-; -(CH2)2(транс-циклогекс-1,4-илен)NHC(O)CH2O(фен-1,4-илен)CH2-; -(CH2)2(транс-циклогекс-1,4-илен)NHC(O)(фур-2,5-илен)CH2-; -(CH2)2(транс-циклогекс-1,4-илен)NHC(O)(тиен-2,5-илен)CH2-; 4-[-(CH2)2](пиперидин-1-ил)C(O)CH2O(фен-1,2-илен)CH2-; 4-[-(CH2)2}(пиперидин-1-ил)C(O)CH2O(фен-1,3-илен)CH2-; 4-[-(CH2)2](пиперидин-1-ил)C(О)CH2О(фен-1,4-илен)CH2-; 4-[-(CH2)2](пиперидин-1-ил)C(O)(фур-2,5-илен)CH2-; 4-[-(CH2)2](пиперидин-1-ил)C(O)(тиен-2,5-илен)CH2-; -(CH2)2(фен-1,4-илен)NHC(О)(фен-1,3-илен)CH2-; -(CH2)2(фен-1,4-илен)NHC(O)(фен-1,4-илен)CH2-; -(CH2)2(фен-1,4-илен)NHC(О)CH2О(фен-1,2-илен)CH2-; -(CH2)2(фен-1,4-илен)NHC(О)CH2О(фен-1,3-илен)CH2-; -(CH2)2(фен-1,4-илен)NHC(O)CH2O(фен-1,4-илен)CH2-; -(CH2)2(фен-1,4-илен)NHC(O)(фур-2,5-илен)CH2-; -(CH2)2(фен-1,4-илен)NHC(O)(тиен-2,5-илен)CH2-; -(CH2)2(транс-циклогекс-1,4-илен)NHC(O)(фен-1,3-илен)CH2-; -(CH2)3O(фен-1,3-илен)CH2-; -CH2CH(OH)CH2NH(фен-1,4-илен)(CH2)2-; -(CH2)4NH(фен-1,4-илен)(CH2)2-; -(CH2)2C(O)NH(фен-1,4-илен)CH2NHC(О)CH2-; -(CH2)2C(О)NH(фен-1,4-илен)(CH2)2NHC(O)CH2-; -(CH2)2C(О)NHCH2(транс-циклогекс-1,4-илен)CH2-; -(CH2)2NHC(О)(CH2)5-; -(CH2)2О(фен-1,3-илен)O(CH2)2-; -(CH2)2О(фен-1,2-илен)O(CH2)2-; -CH2(фен-1,2-илен)O(фен-1,2-илен)CH2-; -(CH2)2C(О)NH(CH2)6-; -(CH2)3(фен-1,4-илен)(CH2)3-; -(CH2)3(фен-1,4-илен)(CH2)2-; -(CH2)4(фен-1,4-илен)(CH2)2-; -(CH2)3(фуран-2,5-илен)(CH2)3-; -(CH2)2N(CH3)C(О)NH(фен-1,4-илен)(CH2)2-; 4-[-(CH2)2](пиперидин-1-ил)C(О)NH(фен-1,4-илен)(CH2)2-; -(CH2)3(фен-1,3-илен)(CH2)3-; -(CH2)3(тетрагидрофуран-2,5-илен)(CH2)3– и -(CH2)2O(фен-1,4-илен)C(O)(CH2)2-. Типичные подродовые группы Следующие подродовые формулы и группы соединений предназначены для представления типичных примеров различных аспектов и вариантов настоящего изобретения и как таковые не подразумевают исключения других вариантов или ограничения объема настоящего изобретения, если не указано иное. Частной группой соединений формулы I являются соединения, раскрытые в предварительной заявке на патент США № 60/447843, поданной 14 февраля 2003 г. Данная группа включает соединения формулы I, где: а представляет собой 0 или целое число от 1 до 3; каждый R1 независимо выбран из (1-4C)алкила, (2-4C)алкенила, (2-4C)алкинила, (3-6C)циклоалкила, циано, галогена, -OR1a, -C(O)OR1b, -SR1c, -S(O)R1d, -S(O)2R1e и -NR1fR1g; каждый из R1a, R1b, R1c, R1d, R1e, R1f и R1g независимо представляет собой водород или (1-4C)алкил; b представляет собой 0 или целое число от 1 до 3; каждый R2 независимо выбран из (1-4C)алкила, (2-4C)алкенила, (2-4C)алкинила, (3-6C)циклоалкила, циано, галогена, -OR2a, -C(О)OR2b, -SR2c, -S(О)R2d, -S(O)2R2e и -NR2fR2g; каждый из R2a, R2b, R2c, R2d, R2e, R2f и R2g независимо представляет собой водород или (1-4C)алкил; W присоединен в положении 3 или 4 относительно атома азота в пиперидиновом кольце и представляет собой O или NWa; Wa представляет собой водород или (1-4C)алкил; c представляет собой 0 или целое число от 1 до 4; каждый R3 представляет собой заместитель у атома углерода, независимо выбранный из (1-4C)алкила, (2-4C)алкенила, (2-4C)алкинила, (3-6C)циклоалкила, циано, галогена, -OR3a, -C(O)OR3b, -SR3c, -S(O)R3d, -S(O)2R3e и -NR3fR3g; каждый из R3a, R3b, R3c, R3d, R3e, R3f и R3g независимо представляет собой водород или (1-4C)алкил; R4 представляет собой двухвалентную группу формулы: -(R4а)d-(А1)е-(R4b)f-Q-(R4c)g-(A2)h-(R4d)i-, где d, e, f, g, h и i, каждый независимо выбран из 0 и 1; R4a, R4b, R4c и R4d, каждый независимо выбран из (1-10C)алкилена, (2-10С)алкенилена и (2-10C)алкинилена, где каждая алкиленовая, алкениленовая или алкиниленовая группа является незамещенной или замещена 1-5 заместителями, независимо выбранными из (1-4C)алкила, фтора, гидрокси, фенила и фенил-(1-4C)алкила; A1 и A2, каждый независимо выбран из (3-7C)циклоалкилена, (6-10)арилена, (2-9C)гетероарилена и (3-6C)гетероциклена, где каждый циклоалкилен является незамещенным или замещен 1-4 заместителями, независимо выбранными из (1-4C)алкила, и каждая ариленовая, гетероариленовая или гетероцикленовая группа является незамещенной или замещена 1-4 заместителями, независимо выбранными из галогена, (1-4C)алкила и (1-4C)алкокси; Q выбран из связи, -O-, -C(O)O-, -OC(O)-, -S-, -S(O)-, -S(O)2-, -N(Qa)C(О)-, -C(О)N(Qb)-, -N(QC)S(О)2-, -S(O)2N(Qd)-, -N(Qе)С(О)N(Qf)-, -N(Qg)S(O)2N(Qh)-, -OC(O)N(Qi)- и -N(Qj)C(O)O-; Qa, Qb, Qс, Qd, Qe, Qf, Qg, Qh, Qi и Qj, каждый независимо выбран из водорода, (1-6C)алкила, A3 и (1-4C)алкилен-A4, где алкильная группа является незамещенной или замещена 1-3 заместителями, независимо выбранными из фтора, гидрокси и (1-4C)алкокси; или вместе с атомом азота и группой R4b или R4с, к которым они присоединены, образуют 4-6-членную азациклоалкиленовую группу; A3 и A4, каждый независимо выбран из (3-6C)циклоалкила, (6-10C)арила, (2-9C)гетероарила и (3-6C)гетероциклила, где каждый циклоалкил является незамещенным или замещен 1-4 заместителями, независимо выбранными из (1-4C)алкила, и каждая арильная, гетероарильная или гетероциклильная группа является незамещенной или замещена 1-4 заместителями, независимо выбранными из галогена, (1-4C)алкила и (1-4C)алкокси; при условии, что число смежных атомов в самой короткой цепи между двумя атомами азота, к которым присоединен R4, находится в интервале от 8 до 14; R5 представляет собой водород или (1-4C)алкил; R6 представляет собой -NR6aCR6b(O) и R7 представляет собой водород или R6 и R7 вместе образуют -NR7aC(O)-CR7b=CR7c-, -CR7d=CR7e-C(O)-NR7f-, -NR7gC(O)-CR7hR7i-CR7jR7k– или -CR7lR7m-CR7nR7о-C(О)-NR7p-; каждый из R6a и R6b независимо представляет собой водород или (1-4C)алкил; и каждый из R7a, R7b, R7c, R7d, R7e, R7f, R7g, R7h, R7i, R7j, R7k, R7l, R7m, R7n, R7o и R7p независимо представляет собой водород или (1-4C)алкил; или их фармацевтически приемлемые соли, сольваты или стереоизомеры. Другой частной группой соединений формулы I являются соединения, раскрытые в предварительной заявке на патент США № 60/467035, поданной 1 мая 2003 г. Данная группа включает соединения формулы I, где: а представляет собой 0 или целое число от 1 до 3; каждый R1 независимо выбран из (1-4C)алкила, (2-4C)алкенила, (2-4C)алкинила, (3-6C)циклоалкила, циано, галогена, -OR1a, -C(O)OR1b, -SR1c, -S(O)R1d, -S(O)2R1e и -NR1fR1g; каждый из R1a, R1b, R1c, R1d, R1e, R1f и R1g независимо представляет собой водород или (1-4C)алкил; b представляет собой 0 или целое число от 1 до 3; каждый R2 независимо выбран из (1-4C)алкила, (2-4C)алкенила, (2-4C)алкинила, (3-6C)циклоалкила, циано, галогена, -OR2a, -C(О)OR2b, -SR2c, -S(О)R2d, -S(O)2R2e и -NR2fR2g; каждый из R2a, R2b, R2c, R2d, R2e, R2f и R2g независимо представляет собой водород или (1-4C)алкил; W присоединен в положении 3 или 4 относительно атома азота в пиперидиновом кольце и представляет собой O или NWa; Wa представляет собой водород или (1-4C)алкил; c представляет собой 0 или целое число от 1 до 4; каждый R3 представляет собой заместитель у атома углерода, независимо выбранный из (1-4C)алкила, (2-4C)алкенила, (2-4C)алкинила, (3-6C)циклоалкила, циано, галогена, -OR3a, -C(O)OR3b, -SR3c, -S(O)R3d, -S(O)2R3e и -NR3fR3g; каждый из R3a, R3b, R3c, R3d, R3e, R3f и R3g независимо представляет собой водород или (1-4C)алкил; R4 представляет собой двухвалентную группу формулы: -(R4а)d-(А1)е-(R4b)f-Q-(R4c)g-(A2)h-(R4d)i-, где d, e, f, g, h и i, каждый, независимо выбран из 0 и 1; R4a, R4b, R4c и R4d, каждый, независимо выбран из (1-10C)алкилена, (2-10С)алкенилена и (2-10C)алкинилена, где каждая алкиленовая, алкениленовая или алкиниленовая группа является незамещенной или замещена 1-5 заместителями, независимо выбранными из (1-4C)алкила, фтора, гидрокси, фенила и фенил-(1-4C)алкила; A1 и A2, каждый, независимо выбран из (3-7C)циклоалкилена, (6-10)арилена, (2-9C)гетероарилена и (3-6C)гетероциклена, где каждый циклоалкилен является незамещенным или замещен 1-4 заместителями, независимо выбранными из (1-4C)алкила, и каждая ариленовая, гетероариленовая или гетероцикленовая группа является незамещенной или замещена 1-4 заместителями, независимо выбранными из галогена, (1-4C)алкила и (1-4C)алкокси; Q выбран из связи, -O-, -C(O)O-, -OC(O)-, -S-, -S(O)-, -S(O)2-, -N(Qa)C(О)-, -C(О)N(Qb)-, -N(QC)S(О)2-, -S(O)2N(Qd)-, -N(Qе)С(О)N(Qf)-, -N(Qg)S(O)2N(Qh)-, -OC(O)N(Qi)- и -N(Qj)C(O)O-; Qa, Qb, Qс, Qd, Qe, Qf, Qg, Qh, Qi и Qj, каждый, независимо выбран из водорода, (1-6C)алкила, A3 и (1-4C)алкилен-A4, где алкильная группа является незамещенной или замещена 1-3 заместителями, независимо выбранными из фтора, гидрокси и (1-4C)алкокси; или вместе с атомом азота и группой R4b или R4с, к которым они присоединены, образуют 4-6-членную азациклоалкиленовую группу; A3 и A4, каждый, независимо выбран из (3-6C)циклоалкила, (6-10C)арила, (2-9C)гетероарила и (3-6C)гетероциклила, где каждый циклоалкил является незамещенным или замещен 1-4 заместителями, независимо выбранными из (1-4C)алкила, и каждая арильная, гетероарильная или гетероциклильная группа является незамещенной или замещена 1-4 заместителями, независимо выбранными из галогена, (1-4C)алкила и (1-4C)алкокси; при условии, что число смежных атомов в самой короткой цепи между двумя атомами азота, к которым присоединен R4, находится в интервале от 4 до 14; R5 представляет собой водород или (1-4C)алкил; R6 представляет собой -NR6aCR6b(O) или -CR6сR6dOR6e и R7 представляет собой водород или R6 и R7 вместе образуют -NR7aC(O)-CR7b=CR7c-, -CR7d=CR7e-C(O)-NR7f-, -NR7gC(O)-CR7hR7i-CR7jR7k– или -CR7lR7m-CR7nR7о-C(О)-NR7p-; каждый из R6a, R6b, R6c, R6d и R6e независимо представляет собой водород или (1-4C)алкил; и каждый из R7a, R7b, R7c, R7d, R7e, R7f, R7g, R7h, R7i, R7j, R7k, R7l, R7m, R7n, R7o и R7p независимо представляет собой водород или (1-4C)алкил; или их фармацевтически приемлемые соли, сольваты или стереоизомеры. Другой частной группой соединений формулы I являются соединения, где а равно 0, b равно 0, с равно 0, W представляет собой О, W присоединен в положении 4 пиперидинильного кольца, R5 представляет собой водород и R4, R6 и R7 являются такими, как определено в данном описании, или их фармацевтически приемлемые соли, сольваты или стереоизомеры. Еще одной частной группой соединений формулы I являются соединения, где а равно 0, b равно 0, с равно 0, W представляет собой NH, W присоединен в положении 4 пиперидинильного кольца, R5 представляет собой водород и R4, R6 и R7 являются такими, как определено в данном описании, или их фармацевтически приемлемые соли, сольваты или стереоизомеры. Еще одной частной группой соединений формулы I являются соединения, где а равно 0, b равно 0, с равно 0, W представляет собой О, W присоединен в положении 4 пиперидинильного кольца, R4 представляет собой -(СН2)j-, где j равно 8, 9 или 10, R5 представляет собой водород и R6 и R7 являются такими, как определено в данном описании, или их фармацевтически приемлемые соли, сольваты или стереоизомеры. Другой частной группой соединений формулы I являются соединения, где а равно 0, b равно 0, с равно 0, W представляет собой NH, W присоединен в положении 4 пиперидинильного кольца, R4 представляет собой -(СН2)j-, где j равно 8, 9 или 10, R5 представляет собой водород и R6 и R7 являются такими, как определено в данном описании, или их фармацевтически приемлемые соли, сольваты или стереоизомеры. Другой частной группой соединений формулы I являются соединения, где а равно 0, b равно 0, с равно 0, W представляет собой О, W присоединен в положении 4 пиперидинильного кольца, R4 представляет собой -(СН2)2-С(О)NH-(CH2)5-, R5 представляет собой водород и R6 и R7 являются такими, как определено в данном описании, или их фармацевтически приемлемые соли, сольваты или стереоизомеры. Другой частной группой соединений формулы I являются соединения, где а равно 0, b равно 0, с равно 0, W представляет собой NH, W присоединен в положении 4 пиперидинильного кольца, R4 представляет собой -(СН2)2-С(О)NH-(CH2)5-, R5 представляет собой водород и R6 и R7 являются такими, как определено в данном описании, или их фармацевтически приемлемые соли, сольваты или стереоизомеры. Другой частной группой соединений формулы I являются соединения формулы II, определенные в данном описании, или их фармацевтически приемлемые соли, сольваты или стереоизомеры. Другой частной группой соединений формулы I являются соединения формулы III, определенные в данном описании, или их фармацевтически приемлемые соли, сольваты или стереоизомеры. Другой частной группой соединений формулы I являются соединения формулы IV, определенные в данном описании, или их фармацевтически приемлемые соли, сольваты или стереоизомеры. Другой частной группой соединений формулы I являются определенные в данном описании соединения формулы II, III или IV, где пиперидинильное кольцо является замещенным в положении 4 метильной группой, или их фармацевтически приемлемые соли, сольваты или стереоизомеры. Другой частной группой соединений формулы I являются соединения формулы V: где W, R4, R6 и R7 являются такими, как определено в таблице I, или их фармацевтически приемлемые соли, сольваты или стереоизомеры.
Другой частной группой соединений формулы I являются соединения формулы VI: где W, R1А, R1В, R1С, R2А, R2В, R4, R6 и R7 являются такими, как определено в таблице II, или их фармацевтически приемлемые соли, сольваты или стереоизомеры.
Другой частной группой соединений формулы I являются соединения формулы VII: где W, R4, R6 и R7 являются такими, как определено в таблице III, или их фармацевтически приемлемые соли, сольваты или стереоизомеры.
Определения В описании соединений, композиций, методов и способов настоящего изобретения следующие термины имеют следующие значения, если не указано иное. Термин «алкил» означает одновалентную насыщенную углеводородную группу, которая может быть неразветвленной или разветвленной. Если не указано иное, такие алкильные группы содержат от 1 до 10 углеродных атомов. Типичные алкильные группы включают, например, метил, этил, н-пропил, изопропил, н-бутил, втор-бутил, изобутил, трет-бутил, н-пентил, н-гексил, н-гептил, н-октил, н-нонил, н-децил и тому подобное. Термин «алкилен» означает двухвалентную насыщенную углеводородную группу, которая может быть неразветвленной или разветвленной. Если не указано иное, такие алкиленовые группы содержат от 1 до 10 углеродных атомов. Типичные алкиленовые группы включают, например, метилен, этан-1,2-диил («этилен»), пропан-1,2-диил, пропан-1,3-диил, бутан-1,4-диил, пентан-1,5-диил и тому подобное. Термин «алкокси» означает одновалентную группу формулы (алкил)-О-, где алкил является таким, как определено в данном описании. Типичные алкоксигрупы включают, например, метокси, этокси, н-пропокси, изопропокси, н-бутокси, втор-бутокси, изобутокси, трет-бутокси и тому подобное. Термин «алкенил» означает одновалентную ненасыщенную углеводородную группу, которая может быть неразветвленной или разветвленной и которая имеет по крайней мере одну, обычно 1, 2 или 3 углерод-углеродные двойные связи. Если не указано иное, такие алкенильные группы обычно содержат от 2 до 10 углеродных атомов. Типичные алкенильные группы включают, например, этенил, н-пропенил, изопропенил, н-бут-2-енил, н-гекс-3-енил и тому подобное. Термин «алкенилен» означает двухвалентную алкенильную группу. Термин «алкинил» означает одновалентную ненасыщенную углеводородную группу, которая может быть неразветвленной или разветвленной и которая имеет по крайней мере одну, обычно 1, 2 или 3 углерод-углеродные тройные связи. Если не указано иное, такие алкинильные группы обычно содержат от 2 до 10 углеродных атомов. Типичные алкинильные группы включают, например, этинил, н-пропинил, изопропинил, н-бут-2-инил, н-гекс-3-инил и тому подобное. Термин «алкинилен» означает двухвалентную алкинильную группу. Термин «арил» означает одновалентную ароматическую углеводородную группу, имеющую одно кольцо (т.е. фенил) или конденсированные кольца (т.е. нафталин). Если не указано иное, такие арильные группы обычно содержат от 6 до 10 углеродных атомов в кольце. Типичные арильные группы включают, например, фенил и нафталин-1-ил, нафталин-2-ил и тому подобное. Термин «арилен» означает двухвалентную арильную группу. Термин «азациклоалкил» означает одновалентное гетероциклическое кольцо, содержащее один атом азота, т.е. циклоалкильную группу, в которой один атом углерода заменен атомом азота. Если не указано иное, указанные азациклоалкильные группы обычно содержат от 2 до 9 углеродных атомов. Типичными примерами азациклоалкильной группы являются пирролидинильная и пиперидинильная группы. Термин «азациклоалкилен» означает двухвалентную азациклоалкильную группу. Типичными примерами азациклоалкиленовой группы являются пирролидиниленовая и пиперидиниленовая группы. Термин «циклоалкил» означает одновалентную насыщенную карбоциклическую углеводородную группу. Если не указано иное, такие циклоалкильные группы обычно содержат от 3 до 10 углеродных атомов. Типичные циклоалкильные группы включают, например, циклопропил, циклобутил, циклопентил, циклогексил и тому подобное. Термин «циклоалкилен» означает двухвалентную циклоалкильную группу. Термин «галоген» означает фтор, хлор, бром и иод. Термин «гетероарил» означает одновалентную ароматическую группу, имеющую одно кольцо или два конденсированных кольца и содержащую в кольце по крайней мере один гетероатом (обычно 1-3 гетероатома), выбранный из азота, кислорода или серы. Если не указано иное, такие гетероарильные группы обычно содержат суммарно от 5 до 10 атомов в кольцах. Типичные гетероарильные группы включают, например, одновалентные разновидности пиррола, имидазола, тиазола, оксазола, фурана, тиофена, триазола, пиразола, изоксазола, изотиазола, пиридина, пиразина, пиридазина, пиримидина, триазина, индола, бензофурана, бензотиофена, бензимидазола, бензтиазола, хинолина, изохинолина, хиназолина, хиноксалина и подобные, где точка присоединения находится у любого доступного атома углерода или азота в кольце. Термин «гетероарилен» означает двухвалентную гетероарильную группу. Термин «гетероциклильный» или «гетероциклический» означает одновалентную насыщенную или ненасыщенную (неароматическую) группу, имеющую одно кольцо или несколько конденсированных колец и содержащую в кольце по крайней мере один гетероатом (обычно 1-3 гетероатома), выбранный из азота, кислорода или серы. Если не указано иное, такие гетероциклические группы обычно содержат суммарно от 2 до 9 атомов углерода в кольцах. Типичные гетероциклические группы включают, например, одновалентные разновидности пирролидина, имидазолидина, пиразолидина, пиперидина, 1,4-диоксана, морфолина, тиоморфолина, пиперазина, 3-пирролина и подобные, где точка присоединения находится у любого доступного атома углерода или азота в кольце. Термин «гетероциклен» означает двухвалентную гетероциклильную или гетероциклическую группу. Когда для определенного термина, используемого в данном описании, предполагается конкретное число атомов углерода, то число углеродных атомов показывают в круглых скобках, предшествующих термину. Например, термин «(1-4С)алкил» означает алкильную группу, содержащую от 1 до 4 углеродных атомов. Термин «фармацевтически приемлемая соль» означает соль, приемлемую для введения пациенту, такому, как млекопитающее (например, соли, обладающие приемлемой для млекопитающих безопасностью при заданной схеме дозирования). Такие соли могут быть производными от фармацевтически приемлемых неорганических или органических оснований и от фармацевтически приемлемых неорганических или органических кислот. Соли, производные от фармацевтически приемлемых неорганических оснований, включают аммониевые, кальциевые, медные, железные, железистые, литиевые, магниевые, марганцевые, марганцовистые, калиевые, натриевые, цинковые и подобные соли. Особенно предпочтительными являются аммониевые, кальциевые, магниевые, калиевые и натриевые соли. Соли, производные от фармацевтически приемлемых органических оснований включают соли первичных, вторичных и третичных аминов, включая замещенные амины, циклические амины, природные амины и тому подобное, такие как аргинин, бетаин, кофеин, холин, N,N’-дибензилэтилендиамин, диэтиламин, 2-диэтиламиноэтанол, 2-диметиламиноэтанол, этаноламин, этилендиамин, N-этилморфолин, N-этилпиперидин, глюкамин, глюкозамин, гистидин, гидрабамин, изопропиламин, лизин, метилглюкамин, морфолин, пиперазин, пиперидин, полиамины, прокаин, пурины, теобромин, триэтиламин, триметиламин, трипропиламин, трометамин и тому подобное. Соли, производные от фармацевтически приемлемых кислот, включают соли уксусной, аскорбиновой, бензолсульфоновой, бензойной, камфорсульфоновой, лимонной, этансульфоновой, эдисиловой, фумаровой, гентизиновой, глюконовой, глюкуроновой, глутаминовой, гиппуровой, бромистоводродной, хлористоводородной, изэтионовой, молочной, лактобионовой, малеиновой, яблочной, миндальной, метансульфоновой, слизевой, нафталинсульфоновой, нафталин-1,5-дисульфоновой, нафталин-2,6-дисульфоновой, никотиновой, азотной, оротовой, памовой, пантотеновой, фосфорной, янтарной, серной, винной, п-толуолсульфоновой, ксинафоевой и подобных кислот. Особенно предпочтительными являются соли лимонной, бромистоводородной, хлористоводородной, изэтионовой, малеиновой, нафталин-1,5-дисульфоновой, фосфорной, серной и винной кислот. Термин «их (его) соль» означает соединение, образованное заменой водорода кислоты катионом, таким как катион металла или органический катион и тому подобное. Предпочтительно соль является фармацевтически приемлемой солью, хотя это не требуется для солей промежуточных соединений, не предназначенных для введения пациенту. Термин «сольват» означает комплекс или агрегат, образованный одной или несколькими молекулами растворенного вещества, т.е. соединения формулы I или его фармацевтически приемлемой соли, и одной или несколькими молекулами растворителя. Такие сольваты являются обычно кристаллическими твердыми веществами, имеющими по существу постоянное молярное отношение растворенного вещества и растворителя. Типичные растворители включают, например, воду, метанол, этанол, изопропанол, уксусную кислоту и тому подобное. Когда растворителем является вода, образовавшийся сольват представляет собой гидрат. Понятно, что выражение «или его фармацевтически приемлемая соль, сольват или стереоизомер» охватывает все перестановки солей, сольватов и стереоизомеров, такие, например, как сольват фармацевтически приемлемой соли стереоизомера соединения формулы I. Термин «терапевтически эффективное количество» означает количество, достаточное для осуществления лечения при введении пациенту, нуждающемуся в таком лечении. Термин «лечение» при использовании в данном описании означает лечение заболевания или медицинского состояния (такого как ХОБЛ (COPD)) у пациента, такого как млекопитающее (предпочтительно человек), которое включает: (а) предупреждение возникновения заболевания или медицинского состояния, т.е. профилактическое лечение пациента; (b) снижение интенсивности симптомов заболевания или медицинского состояния, т.е. устранение или вызывание регресса симптоматики заболевания или медицинского состояния у пациента; (с) подавление заболевания или медицинского состояния, т.е. замедление или остановку развития заболевания или медицинского состояния у пациента; или (d) облегчение симптомов заболевания или медицинского состояния у пациента. Термин «уходящая группа» означает функциональную группу или атом, которые могут быть заменены другой функциональной группой или другим атомом в ходе реакции замещения, такой как нуклеофильная реакция замещения. Типичные уходящие группы включают, например, хлор, бром и иод, сульфоновые сложноэфирные группы, такие как мезилат, тозилат, брозилат, нозилат и тому подобное, и ацилоксигруппы, такие как ацетокси, трифторацетокси и тому подобное. Выражение «его (их) защищенные производные» означает производное конкретного соединения, в котором одна или несколько функциональных групп соединения защищены от нежелательных реакций защитной, или блокирующей группой. Функциональные группы, которые могут быть защищены, включают, например, группы карбоновых кислот, аминогруппы, гидроксильные группы, тиольные группы, карбонильные группы и тому подобное. Типичные защитные группы для карбоновых кислот включают сложные эфиры (такие как п-метоксибензиловый эфир), амиды и гидразиды, для аминогрупп – карбаматы (такие как трет-бутоксикарбонил) и амиды, для гидроксильных групп – простые эфиры и сложные эфиры, для тиольных групп – простые тиоэфиры и сложные тиоэфиры, для карбонильных групп – ацетали и кетали, и тому подобное. Указанные защитные группы хорошо известны специалистам в данной области и описаны, например, у T.W. Greene and G.M. Wuts, Protecting Groups in Organic Synthesis, Third Edition, Wiley, New York, 1999 и в цитируемых там ссылках. Термин «аминозащитная группа» означает защитную группу, подходящую для предотвращения нежелательных реакций по аминогруппе. Типичные аминозащитные группы включают, но не ограничиваются ими, трет-бутоксикарбонил (ВОС), тритил (Tr) бензилоксикарбонил (Cbz), 9-флуоренилметоксикарбонил (Fmoc), формил, триметилсилил (TMS), трет-бутилдиметилсилил (TBS) и тому подобное. Термин «карбоксизащитная группа» означает защитную группу, подходящую для предотвращения нежелательных реакций по карбоксигруппе. Типичные карбоксизащитные группы включают, но не ограничиваются ими, сложные эфиры, такие как метиловый, этиловый, трет-бутиловый, бензиловый (Bn), п-метоксибензиловый (PMB), 9-флуоренилметиловый (Fm), триметилсилиловый (TMS), трет-бутилдиметилсилиловый (TBS), дифенилметиловый (бензгидрил, DPM) и тому подобное. Термин «гидроксилзащитная группа» означает защитную группу, подходящую для предотвращения нежелательных реакций по гидроксильной группе. Типичные гидроксилзащитные группы включают, но не ограничиваются ими, силильные группы, включающие три(1-6С)алкилсилильные группы, такие как триметилсилил (TMS), триэтилсилил (TES), трет-бутилдиметилсилил (TBS) и тому подобное, сложные эфиры (ацильные группы), включающие (1-6С)алканоильные группы, такие как формил, ацетил и тому подобное, арилметильные группы, такие как бензил (Bn), п-метоксибензил (PMB), 9-флуоренилметил (Fm), дифенилметил (бензгидрил, DPM) и тому подобное. Кроме того, две гидроксильные группы могут быть также защищены как алкилиденовая группа, такая как проп-2-илидин, образованный, например, взаимодействием с кетоном, таким как ацетон. Общие методики синтеза Производные бифенила настоящего изобретения могут быть получены из легкодоступных исходных веществ с использованием следующих общих способов и методик или с использованием другой информации, легко доступной специалистам в данной области. Хотя в данном описании могут быть показаны и описаны конкретные варианты настоящего изобретения, специалистам в данной области будет понятно, что соединения всех вариантов или аспектов настоящего изобретения могут быть получены способами, описанными в данном описании, или с использованием других способов, реагентов и исходных веществ, известных специалистам в данной области. Понятно также, что когда заданы типичные или предпочтительные условия процесса (т.е. температуры реакций, время, молярные отношения реагентов, растворители, давления и т.д.), то могут быть также использованы другие условия процесса, если не указано иное. Хотя оптимальные условия реакций могут изменяться в зависимости от конкретных используемых реагентов и растворителя, такие условия могут быть легко определены специалистом в данной области с использованием обычных процедур оптимизации. Кроме того, специалистам в данной области будет понятно, что могут быть необходимы или желательны традиционные защитные группы, чтобы не подвергать некоторые функциональные группы нежелательным реакциям. Выбор подходящей защитной группы для определенной функциональной группы, а также подходящие условия для защиты и удаления защиты таких функциональных групп хорошо известны в данной области. При желании могут быть использованы защитные группы, отличные от используемых в способах, описанных в данном описании. Например, многочисленные защитные группы и их введение и удаление описаны у T.W. Greene and G.M. Wuts, Protecting Groups in Organic Synthesis, Third Edition, Wiley, New York, 1999 и в цитируемых там ссылках. Для иллюстрации производные бифенила настоящего изобретения могут быть получены способом, включающим: (а) взаимодействие соединения формулы 1: или его соли с соединением формулы 2: где Х1 представляет собой уходящую группу и Р1 и Р2, каждый независимо представляет собой атом водорода или гидроксилзащитную группу; (b) взаимодействие соединения формулы 3: или его соли с соединением формулы 4: где Х2 представляет собой уходящую группу и Р3 и Р4, каждый независимо представляет собой атом водорода или гидроксилзащитную группу; (с) связывание соединения формулы 5: с соединением формулы 6: где ХQa и ХQb, каждый, независимо представляет собой функциональные группы, которые связываются с образованием группы Q, Р5а представляет собой атом водорода или аминозащитную группу и Р5b и Р6, каждый независимо представляет собой атом водорода или гидроксилзащитную группу; (d) для соединения формулы I, где R5 представляет собой атом водорода, взаимодействие соединения формулы 3 с соединением формулы 7: или его гидратом (например, глиоксалем) в присутствии восстановителя, где Р7 представляет собой атом водорода или гидроксилзащитную группу; (е) взаимодействие соединения формулы 1 с соединением формулы 8: или его гидратом в присутствии восстановителя, где Р8 и R9, каждый независимо представляет собой атом водорода или гидроксилзащитную группу; Р10 представляет собой атом водорода или аминозащитную группу и R4′ представляет собой остаток, который вместе с атомом углерода, к которому он присоединен, образует группу R4 после окончания реакции; (f) взаимодействие соединения формулы 9: где Х3 представляет собой уходящую группу, с соединением формулы 10: где Р11 и Р12, каждый, независимо представляет собой атом водорода или гидроксилзащитную группу и R13 представляет собой атом водорода или аминозащитную группу; или (g) взаимодействие соединения формулы 11: или его гидрата, где R4′ представляет собой остаток, который вместе с атомом углерода, к которому он присоединен, образует группу R4 после окончания реакции, с соединением формулы 10 в присутствии восстановителя; и затем удаление защитной группы Р1, Р2, Р3, Р4, Р5а, Р5b, Р6, Р7, Р8, Р9, Р10, Р11, Р12 или Р13 с получением соединения формулы I и, необязательно, образование его фармацевтически приемлемой соли. Как правило, если в способах, описанных выше, используют соль одного из исходных веществ, такую как кислотно-аддитивная соль, то ее обычно нейтрализуют до или в процессе реакции. Данную реакцию нейтрализации обычно осуществляют, вводя соль в контакт с одним молярным эквивалентом основания на каждый молярный эквивалент кислотно-аддитивной соли. В способе (а), т.е. в реакции между соединениями формул 1 и 2, уходящей группой, представленной Х1, может быть, например, галоген, такой как хлор, бром или иод, или сульфоновая сложноэфирная группа, такая как мезилат или тозилат. Группы Р1 и Р2 могут представлять собой, например, триметилсилил и бензил, соответственно. Данную реакцию обычно проводят в инертном растворителе, таком как ацетонитрил, в присутствии основания. Например, реакция может быть проведена в присутствии третичного амина, такого как диизопропилэтиламин. Как правило, данную реакцию проводят при температуре в интервале от 0°С до 100°С до тех пор, пока реакция по существу не закончится. Продукт реакции затем выделяют, используя традиционные методы, такие как экстракция, перекристаллизация, хроматография и тому подобное. Соединения формулы 1 обычно известны в данной области или могут быть получены из коммерчески доступных исходных веществ и реагентов по хорошо известным методикам. Например, соединения формулы 1 могут быть получены удалением защиты соединения формулы 12: где Р14 представляет собой аминозащитную группу, такую как бензильная группа. Для иллюстрации, бензильную группу можно легко удалить восстановлением, используя, например, водород или формиат аммония и металл группы VIII в качестве катализатора, такого как палладий на углероде. Когда W представляет собой NWа, реакцию гидрирования обычно осуществляют, используя катализатор Перлмана (Pearlman) (т.е. Pd(OH)2). Соединения формулы 12 могут быть получены взаимодействием изоцианата формулы 13: с соединением формулы 14: Соединения формулы 2 могут быть получены по различным методикам, описанным в данном описании, или по методикам, хорошо известным специалистам в данной области. Например, гидроксильная группа соединения формулы 23, показанного ниже, может быть легко преобразована в уходящую группу с использованием хорошо известных реагентов и методик. Для иллюстрации гидроксильную группу можно преобразовать в галогеновую группу, используя галогенангидрид неорганической кислоты, такой как тионилхлорид, фосфористый трихлорид, фосфористый трибромид, фосфористый оксихлорид и тому подобное, или галогенводородную кислоту, такую как бромистоводородная кислота. В способе (b), т.е. взаимодействие соединений формулы 3 с соединением формулы 4, уходящей группой, представленной символом Х2, может быть, например, галоген, такой как хлор, бром или иод, или сульфоновая сложноэфирная группа, такая как мезилат или тозилат. Группы Р3 и Р4 могут представлять собой, например, трет-бутилдиметилсилил и бензил, соответственно. Данную реакцию обычно проводят в присутствии основания, такого как бикарбонат натрия, и иодида щелочного металла, такого как иодид натрия. Обычно данную реакцию проводят в инертном растворителе, таком как тетрагидрофуран, при температуре в интервале от 25°С до 100°С до тех пор, пока реакция по существу не закончится. Продукт реакции затем выделяют, используя традиционные методы, такие как экстракция, перекристаллизация, хроматография и тому подобное. Соединения формулы 3 могут быть получены удалением защиты соединения формулы 15: где один или оба Р15 и Р16 независимо представляют собой защитную группу, такую как трет-бутоксикарбонил, а любой оставшийся представляет собой атом водорода. Например, трет-бутоксикарбонильная группа может быть удалена обработкой защищенного соединения трифторуксусной кислотой. Соединения формулы 15 могут быть получены взаимодействием соединения формулы 1 с соединением формулы 16: Х3-R4-NP15Р16 16 где Х3 представляет собой уходящую группу, такую как галоген, такой как хлор, бром или иод, или сульфоновую сложноэфирную группу, такую как мезилат или тозилат. Реакцию обычно проводят введением в контакт соединения формулы 1 с соединением формулы 16 в инертном растворителе, таком как ацетонитрил, ДМФА или их смеси, при температуре в пределах от примерно 0°С до примерно 100°С до тех пор, пока реакция по существу не закончится. Альтернативно, соединения формулы 3 могут быть получены восстановительным аминированием соединения формулы 11. Восстановительное аминирование может быть выполнено взаимодействием соединения формулы 11, например, с бензиламином и водородом в присутствии палладия на углероде. Соединения формулы 11 могут быть получены окислением соответствующего спирта формулы 17: с использованием подходящего окислителя, такого как комплекс триоксида серы и пиридина и диметилсульфоксид. Данную реакцию окисления обычно проводят в инертном растворителе, таком как дихлорметан, в присутствии третичного амина, такого как диизопропилэтиламин, при температуре в интервале от примерно -20°С до примерно 25°С. Соединения формулы 17 могут быть получены взаимодействием соединения формулы 1 с соединением формулы 18: Х4-R4-ОН 18 где Х4 представляет собой уходящую группу, такую как галоген, такой как хлор, бром или иод, или сульфоновая сложноэфирная группа, такая как мезилат или тозилат. Соединения формулы 4 могут быть получены взаимодействием соединения формулы 19: с восстановителем, таким как боран. При необходимости, такое восстановление может быть выполнено в присутствии хирального катализатора, что дает соединение формулы 4 в хиральной форме. Например, соединения формулы 19 могут быть восстановлены в присутствии хирального катализатора, образованного из (R)-(+)- Соединения формулы 19, где Х2 представляет собой атом брома, могут быть получены взаимодействием соединения формулы 20: с бромом в присутствии кислоты Льюиса, такой как диэтилэфират трифторида бора. Соединения формулы 20 хорошо известны в данной области или могут быть получены по хорошо известным методикам с использованием коммерчески доступных исходных веществ и реагентов. Что касается способа (с), т.е. взаимодействия соединения формулы 5 с соединением формулы 6, то понятно, что группы ХQa и ХQb должны быть подобраны таким образом, чтобы после окончания реакции они давали требуемую группу Q. Например, когда требуемой группой Q является амидная группа, т.е. -N(Qа)C(О)- или -С(О)N(Qb), один из ХQa и ХQb может представлять собой аминогруппу (т.е. -NHQа или -NHQb, а другой – карбоксильную группу (т.е. -СООН) или его реакционноспособное производное (такое как ацилгалогенид, такой как ацилхлорид или ацилбромид). Группы Р5а, Р5b и Р6 могут представлять собой, например, бензил, триметилсилил и бензил, соответственно. Когда Q представляет собой амидную группу, реакция может быть осуществлена в обычных условиях амидного связывания. Аналогичным образом, когда требуемой группой Q является сульфонамид, т.е. -N(Qс)S(О)2– или -S(О)2N(Qd), один из ХQa и ХQb может представлять собой аминогруппу, -NHQc или -NHQd, а другой – сульфонилгалогенид (такой как сульфонилхлорид или сульфонилбромид). Соединения формулы 5 могут быть получены взаимодействием соединения формулы 1 с соединением формулы 21: где Х5 представляет собой уходящую группу, включающую галоген, такой как хлор, бром или иод, и сульфоновую сложноэфирную группу, такую как мезилат или тозилат, и ХQa’ представляет собой ХQa, такой как карбоксильная группа или аминогруппа NHQа, или ее защищенное производное, такое как (1-6С)алкоксикарбониламиногруппа или трет-бутоксикарбониламиногруппа. Данную реакцию обычно проводят по аналогичной методике, используемой для получения соединений формулы 3, с последующим удалением защитной группы в ХQa’. Соединения формулы 6 могут быть получены взаимодействием соединения формулы 4 с соединением формулы 22: где Х6 представляет собой уходящую группу, включающую галоген, такой как хлор, бром или иод, и сульфоновую сложноэфирную группу, такую как мезилат или тозилат, и ХQb’ представляет собой ХQb, такой как карбоксильная группа или аминогруппа NHQb, или ее защищенное производное, такое как (1-6С)алкоксикарбониламиногруппа или трет-бутоксикарбониламиногруппа. Данную реакцию обычно проводят по аналогичной методике, используемой для получения соединений формулы 3, с последующим удалением защитной группы в ХQb’. Что касается способа (d), т.е. взаимодействия соединения формулы 3 с соединением формулы 7, то в данной реакции можно использовать любой восстановитель. Например, восстановителем может служить водород в присутствии катализатора на основе металла группы VIII, такого как палладий на углероде, или реактив на основе гидрида металла, такой как триацетоксиборогидрид. Группа Р7 может быть, например, бензилом. Данную реакцию обычно проводят в инертном разбавителе и протонном растворителе, таком как смесь дихлорэтана и метанола, при температуре в интервале от 0°С до 100°С, пока реакция по существу не закончится. Соединения формулы 7 в форме гидрата могут быть получены по обычной методике, например дибромированием соединения формулы 19 (где Х2 в данном случае может быть также водородом) и затем гидролизом полученного дибромида с образованием глиоксаля или его гидрата. Например, соединение формулы 19 может быть подвергнуто взаимодействию с бромистым водородом и затем гидролизовано с водой с образованием соответствующего гидрата глиоксаля. Что касается способа (е), т.е. взаимодействия соединения формулы 1 с соединением формулы 8, то в данной реакции можно использовать любой подходящий восстанавливающий агент. Например, восстановителем может служить водород в присутствии катализатора на основе металла группы VIII, такого как палладий на углероде, или реактив на основе гидрида металла, такой как триацетоксиборогидрид. Группы Р8, R9 и R10 могут представлять собой, например, триметилсилил, бензил и бензил, соответственно. Обычно данную реакцию восстановления проводят в инертном разбавителе и протонном растворителе, таком как дихлорэтан и метанол, при температуре в интервале от 0°С до 100°С, пока реакция по существу не закончится. Соединения формулы 8 могут быть получены окислением соединения формулы 23: с использованием подходящего окислителя, такого как комплекс триоксида серы и пиридина и диметилсульфоксид. Обычно данную реакцию проводят в присутствии третичного амина, такого как диизопропилэтиламин, при температуре в интервале от примерно -20°С до примерно 25°С, пока окисление по существу не закончится. Соединения формулы 23 могут быть получены взаимодействием соединения формулы 10 с соединением формулы 24: НО-R4-Х7 24 где Х7 представляет собой уходящую группу, включающую галоген, такой как хлор, бром или иод, и сульфоновую сложноэфирную группу, такую как мезилат или тозилат. Что касается способа (f), т.е. взаимодействия соединения формулы 9 с соединением формулы 10, то уходящей группой, представленной символом Х3, может быть, например, галоген, такой как хлор, бром или иод, или сульфоновая сложноэфирная группа, такая как мезилат или тозилат. Группы Р11, R12 и R13 могут представлять собой, например, триметилсилил, бензил и бензил, соответственно. Обычно данную реакцию проводят в инертном разбавителе, таком как ацетонитрил, в присутствии подходящего основания. Например, данная реакция может быть проведена в присутствии третичного амина, такого как диизопропилэтиламин. Обычно данную реакцию проводят при температуре в интервале от 0°С до 100°С, пока реакция по существу не закончится. Соединения формулы 9 могут быть получены проведением стадий, аналогично стадиям способов (а)-(е), описанных выше, из соединения формулы 1. Кроме того, соединения формулы 10 могут быть получены из соединений формулы 4 взаимодействием с амином формулы Р13NH2. Что касается способа (g), т.е. взаимодействия соединения формулы 11 с соединением формулы 10, то в данной реакции можно использовать любой подходящий восстанавливающий агент. Например, восстановителем может служить водород в присутствии катализатора на основе металла группы VIII, такого как палладий на углероде, или реактив на основе гидрида металла, такой как триацетоксиборогидрид. Группы Р11, R12 и R13 могут представлять собой, например, трет-бутилдиметилсилил, бензил и бензил, соответственно. Обычно данную реакцию восстановления проводят в инертном разбавителе и протонном растворителе, таком как дихлорэтан и метанол, при температуре в интервале от 0°С до 100°С, пока реакция по существу не закончится. Соединения формулы 11 легко получают окислением соответствующего спирта или гидролизом соответствующего ацеталя. В данной реакции для получения альдегида может быть использован любой подходящий окислитель, такой как комплекс триоксида серы и пиридина и диметилсульфоксид. Ацеталь может быть гидролизован с получением альдегида в обычных условиях с использованием водного раствора кислоты. В частном варианте некоторые соединения формулы I получают способом, включающем: (h) удаление защиты соединения формулы 25: где R17 представляет собой атом водорода или аминозащитную группу, и каждый из Р18, Р19 и Р20 независимо представляет собой атом водорода или гидроксилзащитную группу, при условии, что по крайней мере один из Р18, Р19 или Р20 является защитной группой; (i) удаление защиты соединения формулы 26: где R21 представляет собой атом водорода или аминозащитную группу, и каждый из Р22 и Р23 независимо представляет собой атом водорода или гидроксилзащитную группу, при условии, что по крайней мере один из Р21, Р22 или Р23 является защитной группой; или (j) удаление защиты соединения формулы 27: где R24 представляет собой атом водорода или аминозащитную группу, и каждый из Р25 и Р26 независимо представляет собой атом водорода или гидроксилзащитную группу, при условии, что по крайней мере один из Р24, Р25 или Р26 является защитной группой; с получением соединения формулы I и, необязательно, образование фармацевтически приемлемой соли соединения формулы I. Что касается способа (h), то примерами конкретных значений для Р17, Р18, Р19 и Р20 являются: для Р17 – водород или бензил, для Р18 – водород или трет-бутилдиметилсилил и для Р19 и Р20 – водород или бензил или вместе – пропилидин. В данном способе бензильные защитные группы обычно удаляют каталитическим гидрированием в присутствии катализатора на основе металла группы VIII, такого как палладий на углероде, трет-бутилдиметилсилильную группу обычно удаляют обработкой фторидом водорода, таким как тригидрохлорид триэтиламина, и пропилидиновую группу обычно удаляют обработкой кислотой, такой как трифторуксусная кислота. Соединения формулы 25 могут быть получены способами, описанными в данном описании, такими как способы (a)-(g). Альтернативно, соединения формулы 25 могут быть получены взаимодействием соединения формулы 28: где R8 представляет собой -СН2OPR19, -СНО, -СООН или -С(О)О(1-6)алкокси, такой как карбометокси, R9 представляет собой -ОР18 и R10 представляет собой атом водорода или R9 и R10 вместе представляют собой =О, с восстановителем. В данной реакции может быть использован любой подходящий восстановитель, включающий, например, восстановители на основе гидридов металлов, такие как борогидрид натрия, литийалюминийгидрид и тому подобное. Соединения формулы 28, где R9 и R10 вместе представляют собой группу =О, могут быть легко получены взаимодействием соединения формулы 29: или его соли с соединением формулы 30: где Х8 представляет собой уходящую группу, такую как бром. Что касается способа (i), то примерами конкретных значений для Р21, Р22 и Р23 являются: для Р21 – водород или бензил, для Р22 – водород или трет-бутилдиметилсилил и для Р23 – водород или бензил. В данном способе бензильные защитные группы обычно удаляют каталитическим гидрированием в присутствии катализатора на основе металла группы VIII, такого как палладий на углероде, и трет-бутилдиметилсилильную группу обычно удаляют обработкой фторидом водорода, таким как тригидрохлорид триэтиламина. Соединения формулы 26 могут быть получены способами, описанными в данном описании, такими как способы (a)-(g). Что касается способа (j), то примерами конкретных значений для Р24, Р25 и Р26 являются: для Р24 – водород или бензил, для Р25 – водород или трет-бутилдиметилсилил и для Р26 – водород или бензил. В данном способе бензильные защитные группы обычно удаляют каталитическим гидрированием в присутствии катализатора на основе металла группы VIII, такого как палладий на углероде, и трет-бутилдиметилсилильную группу обычно удаляют обработкой фторидом водорода, таким как тригидрохлорид триэтиламина. Соединения формулы 27 могут быть получены способами, описанными в данном описании, такими как способы (a)-(g). Кроме того, соединения формулы I, где R6 и R7 вместе образуют -NR7gC(O)-CR7hR7i-CR7jR7k– или -CR7lR7m-CR7nR7o-С(О)-NR7p-, могут быть получены восстановлением соответствующего соединения формулы I, где R6 и R7 вместе образуют -NR7аC(O)-CR7b=R7c– или -CR7d=CR7e-С(О)-NR7f-, например, каталитическим гидрированием, как описано ниже в примере 6. Другие детали, касающиеся конкретных условий реакций и других методик получения типичных соединений настоящего изобретения или промежуточных соединений, описаны в представленных ниже примерах. Фармацевтические композиции и препараты Производные бифенила настоящего изобретения обычно вводят пациенту в виде фармацевтической композиции или препарата. Указанные фармацевтические композиции могут быть введены пациенту любым приемлемым способом введения, включая, но не ограничиваясь ими, ингаляционный, пероральный, назальный, местный (включая трансдермальный) и парентеральный способы введения. Понятно, что в описанных в данном описании фармацевтических композициях может быть использована любая форма соединения настоящего изобретения (т.е. свободное основание, фармацевтически приемлемая соль, сольват и т.д.), подходящая для определенного способа введения. Таким образом, в одном из аспектов, касающихся композиций соединений, настоящее изобретение относится к фармацевтической композиции, содержащей фармацевтически приемлемый носитель или эксципиент и терапевтически эффективное количество соединения формулы I или его фармацевтически приемлемой соли. При необходимости указанные фармацевтические композиции могут содержать другие лекарственные и/или вспомогательные вещества. Фармацевтические композиции настоящего изобретения обычно содержат терапевтически эффективное количество соединения настоящего изобретения или его фармацевтически приемлемой соли. Обычно такие фармацевтические композиции содержат от примерно 0,01 до примерно 95% по массе активного вещества, включая от примерно 0,01 до примерно 30% по массе, например от примерно 0,01 до примерно 10% по массе, активного вещества. В фармацевтических композициях настоящего изобретения может быть использован любой традиционный носитель или эксципиент. Выбор конкретного носителя или эксципиента или комбинаций носителей или эксципиентов зависит от способа введения, используемого для лечения конкретного пациента, или от типа медицинского состояния или состояния болезни. В данном отношении приготовление подходящей фармацевтической композиции для конкретного способа введения находится вполне в пределах компетенции специалистов в области фармацевтики. Кроме того, компоненты таких композиций коммерчески доступны от, например, Sigma, P.O. Box 14508, St. Louis, MO 63178. Для дополнительной иллюстрации можно указать, что традиционные методы изготовления препаратов описаны у Remington: The Science and Practice of Pharmacy, 20th Edition, Lippincott Williams & White, Baltimore, Maryland (2000); и H.C. Ansel et al., Pharmaceutical Dosage Forms and Drug Delivery Systems, 7th Edition, Lippincott Williams & White, Baltimore, Maryland (1999). Типичные примеры веществ, которые могут служить в качестве фармацевтически приемлемых носителей, включают, но не ограничиваются ими, следующие вещества: (1) сахара, такие как лактоза, глюкоза и сахароза, (2) крахмалы, такие как кукурузный крахмал и картофельный крахмал, (3) целлюлоза и ее производные, такие как натрий-карбоксиметилцеллюлоза, этилцеллюлоза и ацетат целлюлозы, (4) порошкообразный трагакант, (5) солод, (6) желатин, (7) тальк, (8) эксципиенты, такие как масло какао и воски для суппозиториев, (9) масла, такие как арахисовое масло, хлопковое масло, сафлоровое масло, кунжутное масло, оливковое масло, кукурузное масло и соевое масло, (10) гликоли, такие как пропиленгликоль, (11) полиолы, такие как глицерин, сорбит, маннит и полиэтиленгликоль, (12) сложные эфиры, такие как этилолеат и этиллаурат, (13) агар, (14) буферирующие вещества, такие как гидроксид магния и гидроксид алюминия, (15) альгиновая кислота, (16) апирогенная вода, (17) изотонический раствор, (18) раствор Рингера, (19) этиловый спирт, (20) фосфатные буферные растворы, (21) сжатые пропеллентные газы, такие как хлорфторуглероды и гидрофторуглероды, и (22) другие нетоксические совместимые вещества, используемые в фармацевтических композициях. Фармацевтические композиции настоящего изобретения обычно изготавливают полным и тщательным смешиванием или перемешиванием соединения настоящего изобретения с фармацевтически приемлемым носителем и одним или несколькими необязательными компонентами. При необходимости или желании полученную равномерно перемешанную смесь можно затем формовать или загружать в таблетки, капсулы, пилюли, банки, картриджи, дозаторы и тому подобное с использованием обычных методов и оборудования. В одном из вариантов фармацевтические композиции настоящего изобретения подходят для ингаляционного введения. Подходящие для ингаляционного введения фармацевтические композиции обычно находятся в форме аэрозоля или порошка. Такие композиции обычно вводят, используя хорошо известные устройства для доставки, такие как распылительный ингалятор, ингалятор с дозировочной шкалой (MDI), ингалятор сухого порошка (DPI) или подобное устройство для доставки. В частном варианте настоящего изобретения фармацевтическую композицию, содержащую активное вещество, вводят путем ингаляции с использованием распылительного ингалятора. Такие распылительные устройства обычно создают высокоскоростную струю воздуха, которая заставляет фармацевтическую композицию, содержащую активное вещество, распыляться в виде тумана, перемещаемого в дыхательные пути пациента. Поэтому при изготовлении препарата для применения в распылительном ингаляторе активное вещество обычно растворяют в подходящем носителе с образованием раствора. По другому варианту активное вещество может быть тонко измельчено и объединено с подходящим носителем с образованием суспензии тонко измельченных частиц подходящего для вдыхания размера, причем «тонко измельченный» обычно определяют как имеющий около 90% или более частиц диаметром менее примерно 10 мкм. Подходящие распылительные устройства коммерчески доступны, например, от PARI GmbH (Starnberg, German). Другие распылительные устройства включают Respimat (Boehringer Ingelheim) и устройства, раскрытые, например, в патенте США № 6123068 и в WO 97/12687. Типичная фармацевтическая композиция для применения в распылительном ингаляторе содержит изотонический водный раствор, содержащий от примерно 0,05 мкг/мл до примерно 10 мг/мл соединения формулы I или его фармацевтически приемлемой соли, сольвата или стереизомера. В другом частном варианте настоящего изобретения фармацевтическую композицию, содержащую активное вещество, вводят путем ингаляции с помощью ингалятора сухого порошка. Указанные ингаляторы сухого порошка обычно вводят активное вещество в виде сыпучего порошка, диспергирующегося в потоке вдыхаемого пациентом воздуха. Для получения сыпучего порошка активное вещество обычно смешивают с подходящим эксципиентом, таким как лактоза или крахмал. Типичная фармацевтическая композиция для применения в ингаляторе сухого порошка содержит сухую лактозу, имеющую размер частиц от примерно 1 мкм до примерно 100 мкм, и тонко измельченные частицы соединения формулы I или его фармацевтически приемлемой соли, сольвата или стереизомера. Такой препарат в форме сухого порошка может быть изготовлен, например, объединением лактозы с активным веществом и затем сухим перемешиванием компонентов. При желании композиция из активного вещества может быть изготовлена без эксципиента. Фармацевтическую композицию затем обычно загружают в устройство для выдачи сухого порошка или в ингаляционные картриджи или капсулы для применения с устройством для доставки сухого порошка. Примеры устройств для ингаляционной доставки сухого порошка включают Diskhaler (GlaxoSmithKline, Research Triangle Park, NC) (см., например, патент США № 5035237); Diskus (GlaxoSmithKline) (см., например, патент США № 6378519; Turbuhaler (AstraZeneca, Wilmington, DE) (см., например, патент США № 4524769); Rotahaler (GlaxoSmithKline) (см., например, патент США № 4353365) и Handihaler (Boehringer Ingelheim). Другие примеры подходящих DPI устройств описаны в патентах США №№ 5415162, 5239993 и 5715810 и цитируемых там ссылках. В еще одном частном варианте настоящего изобретения фармацевтическую композицию, содержащую активное вещество вводят ингаляцией с помощью ингалятора с дозировочной шкалой. Такие ингаляторы с дозировочной шкалой обычно выдают дозированное количество активного вещества или его фармацевтически приемлемой соли с помощью сжатого газообразного пропеллента. Поэтому фармацевтические композиции, вводимые с использованием ингалятора с дозировочной шкалой, обычно содержат раствор или суспензию активного вещества в сжиженном пропелленте. Может быть использован любой подходящий сжиженный пропеллент, включая хлорфторуглероды, такие как CCl3F, и гидрофторалканы (HFA), такие как 1,1,1,2-тетрафторэтан (HFA 134a) и 1,1,1,2,3,3,3-гептафтор-н-пропан (HFA 227). Из-за того, что хлорфторкарбонаты влияют на озоновый слой, обычно предпочтительными являются препараты, содержащие HFA. Дополнительные необязательные компоненты содержащих HFA препаратов включают сорастворители, такие как этанол или пентан, и поверхностно-активные вещества, такие как сорбитантриолеат, олеиновая кислота, лецитин и глицерин. См., например, патент США № 5225183, EP 0717987 A2 и WO 92/22286. Типичная фармацевтическая композиция для применения в ингаляторе с дозировочной шкалой содержит от примерно 0,01% до примерно 5% по массе соединения формулы I или его фармацевтически приемлемой соли, сольвата или стереоизомера, от примерно 0% до примерно 20% по массе этанола и от примерно 0% до примерно 5% по массе поверхностно-активного вещества, остальное HFA пропеллент. Такие композиции обычно приготавливают введением охлажденного или сжатого гидрофторалкана в подходящий сосуд, содержащий активное вещество, этанол (если он присутствует) и поверхностно-активное вещество (если оно присутствует). Для получения суспензии активное вещество тонко измельчают и затем смешивают с пропеллентом. Препарат затем загружают в аэрозольные баллоны, которые составляют часть ингаляционного устройства с дозировочной шкалой. Примеры ингаляционных устройств с дозировочной шкалой, разработанных конкретно для применения с HFA пропеллентами, даны в патентах США № 6006745 и № 6143277. Альтернативно, препарат в виде суспензии может быть изготовлен распылительной сушкой оболочки из поверхностно-активного вещества на тонко измельченных частицах активного вещества. См., например, WO 99/53901 и WO 00/61108. Дополнительные примеры способов получения подходящих для вдыхания частиц и препаратов и устройств, подходящих для дозирования ингаляции, см. патенты США №№ 6268533, 5983956, 5874063 и 6221398 и WO 99/55319 и WO 00/30614. В другом варианте фармацевтические композиции настоящего изобретения подходят для перорального введения. Подходящие для перорального введения фармацевтические композиции могут быть в форме капсул, таблеток, пилюль, лепешек, облаток, драже, порошков, гранул, или в виде раствора или суспензии в водной или неводной жидкой среде, или в виде жидкостной эмульсии типа масло-в-воде или вода-в-масле, или в виде эликсира или сиропа и подобного, причем каждый из указанных препаратов содержит заданное количество соединения настоящего изобретения в качестве активного компонента. Будучи предназначенными для перорального введения в твердой дозированной форме (т.е. в виде капсул, таблеток, пилюль и подобного) фармацевтические композиции настоящего изобретения обычно содержат соединение настоящего изобретения в качестве активного компонента и один или несколько фармацевтически приемлемых носителей, таких как цитрат натрия или фосфат дикальция. Необязательно или альтернативно, указанные твердые дозированные формы могут также содержать: (1) эксципиенты или увеличители массы, такие как крахмалы, лактоза, сахароза, глюкоза, маннит и/или силициловая кислота, (2) связывающие вещества, такие как карбоксиметилцеллюлоза, альгинаты, желатин, поливинилпирролидон, сахароза и/или аравийская камедь, (3) смачивающие вещества, такие как глицерин, (4) дезинтегрирующие вещества, такие как агар-агар, карбонат кальция, картофельный или маниоковый крахмал, альгиновая кислота, некоторые силикаты и/или карбонат натрия, (5) вещества, замедляющие растворение, такие как парафин, (6) ускорители абсорбции, такие как соединения четвертичного аммония, (7) увлажняющие вещества, такие как цетиловый спирт и/или моностеарат глицерина, (8) абсорбенты, такие как каолин и/или бентонитовая глина, (9) лубриканты, такие как тальк, стеарат кальция, стеарат магния, твердые полиэтиленгликоли, лаурилсульфат натрия и/или их смеси, (10) красящие вещества и (11) буферные вещества. В фармацевтических композициях настоящего изобретения могут также присутствовать высвобождающие вещества, увлажняющие вещества, вещества для покрытия, подслащиватели, вещества для придания вкуса и запаха, консерванты и антиоксиданты. Примеры фармацевтически приемлемых антиоксидантов включают: (1) водорастворимые антиоксиданты, такие как аскорбиновая кислота, цистеингидрохлорид, бисульфат натрия, метабисульфат натрия, сульфит натрия и подобные, (2) растворимые в масле антиоксиданты, такие как аскорбилпальмитат, бутилированный гидроксианизол (ВНА), бутилированный гидрокситолуол (ВНТ), лецитит, пропилгаллат, альфа-токоферол и подобные, и (3) образователи хелатных металлокомплексов, такие как лимонная кислота, этилендиаминтетрауксусная кислота (EDTA), сорбит, винная кислота, фосфорная кислота и подобные. Вещества для покрытия для таблеток, капсул, пилюль и подобного включают вещества, используемые для энтеросолюбильных покрытий, такие как ацетофталат целлюлозы (САР), поливинилацетофталат (PVAP), фталат гидроксипропилметилцеллюлозы, сополимеры метакриловой кислоты и сложного эфира метакриловой кислоты, ацетотримеллитат целлюлозы (САТ), карбоксиметилэтилцеллюлоза (СМЕС), ацетосукцинат гидроксипропилметилцеллюлозы (HPMCAS) и подобные. При необходимости фармацевтические композиции настоящего изобретения можно также изготавливать в виде препаратов с замедленным или контролируемым высвобождением активного компонента, используя, например, гидроксипропилметилцеллюлозу в различных пропорциях или другие полимерные матрицы, липосомы и/или микросферы. Кроме того, фармацевтические композиции настоящего изобретения могут необязательно содержать замутняющие вещества и могут быть изготовлены в форме, обеспечивающей высвобождение активного компонента только или преимущественно в определенной части желудочно-кишечного тракта, необязательно, в замедленной манере. Примеры композиций для заливки, которые могут быть использованы, включают полимерные вещества и воски. Активный компонент, вместе с одним или несколькими из описанных выше эксципиентов, может быть также изготовлен, в подходящих случаях, в форме микрокапсул. Подходящие жидкие дозированные формы для перорального введения включают, например, фармацевтически приемлемые эмульсии, микроэмульсии, растворы, суспензии, сиропы и эликсиры. Указанные жидкие дозированные формы обычно содержат активный компонент и инертный разбавитель, такой как, например, вода или другие растворители, солюбилизирующие вещества и эмульгаторы, такие как этиловый спирт, изопропиловый спирт, этилкарбонат, этилацетат, бензиловый спирт, бензилбензоат, пропиленгликооль, 1,3-бутиленгликоль, масла (в частности, хлопковое, арахисовое, кукурузное, масло семян, оливковое, касторовое и кунжутное масла), глицерин, тетрагидрофуриловый спирт, полиэтиленгликоли и эфиры жирных кислот сорбита и их смеси. Суспензии, кроме активного компонента, могут содержать суспендирующие вещества, такие как, например, этоксилированные изостеариловые спирты, полиоксиэтиленсорбит и сложные сорбитановые эфиры, микрокристаллическая целлюлоза, метагидроксид алюминия, бентонит, агар-агар и трагакант и их смеси. Для перорального введения фармацевтические композиции настоящего изобретения предпочтительно упакованы в единичной дозированной форме. Термин «единичная дозированная форма» означает физически дискретную единицу, пригодную для дозированного введения пациенту, т.е. каждую единицу, содержащую заданное количество активного вещества, рассчитанное на создание требуемого терапевтического эффекта, в отдельности или в сочетании с одной или более дополнительными единицами. Например, указанными единичными дозированными формами могут быть капсулы, таблетки, пилюли и тому подобное. Соединения настоящего изобретения могут быть также введены трансдермально с использованием известных систем трансдермальной доставки и эксципиентов. Например, соединение настоящего изобретения может быть смешано с усилителями проницаемости, такими как пропиленгликоль, полиэтиленгликольмонолаурат, азациклоалкан-2-оны и подобные, и включено в пластырь или подобную систему доставки. При необходимости в указанных трансдермальных композициях могут быть использованы дополнительные эксципиенты, включающие желеобразующие вещества, эмульгаторы и буферы. Фармацевтические композиции настоящего изобретения могут также содержать другие лекарственные средства, которые вводят совместно с соединением формулы I, его фармацевтически приемлемой солью, сольватом или стереоизомером. Например, фармацевтические композиции настоящего изобретения могут дополнительно содержать одно или несколько лекарственных средств, выбранных из других бронхолитических средств (например, ингибиторов PDE3, модуляторов аденозина 2b и агонистов Типичные агонисты 3-(4-{[6-({(2R)-2-гидрокси-2-[4-гидрокси-3-(гидроксиметил)фенил]этил)амино)гексил]окси}бутил)бензолсульфонамид и 3-(3-{[7-({(2R)-2-гидрокси-2-[4-гидрокси-3-(гидроксиметил)фенил]этил}амино)гептил]окси}пропил)бензолсульфонамид и родственные соединения, раскрытые в WO 02/066422, опубликованной 29 августа 2002; 3-[3-(4-{[6-([(2R)-2-гидрокси-2-[4-гидрокси-3-(гидроксиметил)фенил]этил}амино)гексил]окси}бутил)фенил]имидазолидин-2,4-дион и родственные соединения, раскрытые в WO 02/070490, опубликованной 12 сентября 2002; 3-(4-{[6-({(2R)-2-[3-(формиламино)-4-гидроксифенил]-2-гидроксиэтил)амино)гексил]окси}бутил)бензолсульфонамид, 3-(4-{[6-({(2S)-2-[3-(формиламино)-4-гидроксифенил]-2-гидроксиэтил)амино)гексил]окси}бутил)бензолсульфонамид, 3-(4-{[6-({(2R/S)-2-[3-(формиламино)-4-гидроксифенил]-2-гидроксиэтил)амино)гексил]окси}бутил)бензолсульфонамид, N-(трет-бутил)-3-(4-{[6-({(2R)-2-[3-(формиламино)-4-гидроксифенил]-2-гидроксиэтил)амино)гексил]окси}бутил)бензолсульфонамид, N-(трет-бутил)-3-(4-{[6-({(2S)-2-[3-(формиламино)-4-гидроксифенил]-2-гидроксиэтил)амино)гексил]окси}бутил)бензолсульфонамид, N-(трет-бутил)-3-(4-{[6-({(2S)-2-[3-(формиламино)-4-гидроксифенил]-2-гидроксиэтил)амино)гексил]окси}бутил)бензолсульфонамид и родственные соединения, раскрытые в WO 02/076933, опубликованной 3 октября 2002; 4-{(1R)-2-[(6-{2-[(2,6-дихлорбензил)окси]этокси}гексил)амино]-1-гидроксиэтил}-2-(гидроксиметил)фенол и родственные соединения, раскрытые в WO 03/024439, опубликованной 27 марта 2003; и их фармацевтически приемлемые соли. При использовании агонист Типичные стероидные противовоспалительные средства, которые могут быть использованы в комбинации с соединениями настоящего изобретения, включают, но не ограничиваются ими, метилпреднизолон, дексаметазон, флутиказонпропионат, S-фторметиловый эфир 6,9-дифтор-17-[(2-фуранилкарбонил)окси]-11-гидрокси-16-метил-3-оксоандроста-1,4-диен-17-карботиовой кислоты, S-(2-оксотетрагидрофуран-3S-ил)овый эфир 6,9-дифтор-11-гидрокси-16-метил-3-оксо-17-пропионилоксиандроста-1,4-диен-17-карботиовой кислоты, беклометазоновые сложные эфиры (например, 17-пропионат или 17,21-дипропионат), будезонид, флунизолид, мометазоновые сложные эфиры (например, фуроат), триамцинолонацетонид, рофлепонид, циклезонид, бутиксокортпропионат, RPR-106541, ST-126 и тому подобное или их фармацевтически приемлемые соли. При использовании стероидное противовоспалительное средство присутствует в фармацевтической композиции в терапевтически эффективном количестве. Обычно стероидное противовоспалительное средство присутствует в количестве, достаточном для обеспечения от примерно 0,05 мкг до примерно 500 мкг на дозу. Другие подходящие комбинации включают, например, другие противовоспалительные средства, например NSAID (такие как хромогликат натрия, натрий-недокромил, ингибиторы фосфодиэстеразы (PDE) (например, теофиллин, ингибиторы PDE4 или ингибиторы смешанных PDE3/PDE4), антагонисты лейкотриена (например, монтелейкаст), ингибиторы синтез лейкотриена, ингибиторы iNOS, ингибиторы протеазы, такие как ингибиторы триптазы и эластазы, антагонисты бета-2 интегрина и агонисты или антагонисты аденозиновых рецепторов (например, агонисты аденозиновых рецепторов 2а), антагонисты цитокинов (например, антагонисты хемокинов, такие как антитела к интерлейкину (антитела к IL), в частности, IL-4 терапия, IL-13 терапия или их комбинация) или ингибиторы синтеза цитокинов. Например, типичные ингибиторы фосфодиэстеразы-4 (PDE4) или ингибиторы смешанных PDE3/PDE4, которые могут быть использованы в комбинации с соединениями настоящего изобретения, включают, но не ограничиваются ими, цис-4-циано-4-(3-циклопентилокси-4-метоксифенил)циклогексан-1-карбоновую кислоту, 2-карбометокси-4-циано-4-(3-циклопропилметокси-4-дифторметоксифенил)циклогексан-1-он, цис-[4-циано-4-(3-циклопропилметокси-4-дифторметоксифенил)циклогексан-1-ол], цис-4-циано-4-(3-циклопентилокси-4-метоксифенил)циклогексан-1-карбоновую кислоту и тому подобное или их фармацевтически приемлемые соли. Другие типичные ингибиторы PDE4 или смешанных PDE4/PDE3 включают AWD-12-281 (элбион), NCS-613 (INSERM), D-4418 (Chiroscience and Schering-Plough); CI-1018 или PD-168787 (Pfizer), соединения бензодиоксола, раскрытые в WO99/16766 (Kyowa Hakko), K-34 (Kyowa Hakko), V-11294A (Napp), рофлумиласт (Byk-Gulden), соединения фталазинона, раскрытые в WO99/47505 (Byk-Gulden), Пумафентрин (Byk-Gulden, теперь Altana), арофиллин (Almirall-Prodesfarma), VM554/UM565 (Vernalis), T-440 (Tanabe Seiyaku) и T2585 (Tanabe Seiyaku). Типичные антагонисты мускариновых рецепторов, которые могут быть использованы в комбинации с соединениями настоящего изобретения или в дополнение к ним, включают, но не ограничиваются ими, атропин, сульфат атропина, оксид атропина, нитрат метилатропина, гидробромид гоматропина, гидробромид гиосциамина(d,l), гидробромид скополамина, бромид ипратропия, бромид окситропия, бромид тиотропия, метантелин, бромид пропантелина, метилбромид анизотропина, бромид клидиния, копирролат (Робинул), иодид изопропамида, бромид мепензолата, тридигексэтилхлорид (Патилон), метилсульфат гексоциклия, гидрохлорид циклопентолата, тропикамид, гидрохлорид тригексифенидила, пирензепин, телензепин, AF-DX 116 и метокрамин и тому подобное или их фармацевтически приемлемая соль или для тех соединений, которые указаны в виде соли, их чередующаяся фармацевтически приемлемая соль. Типичные антигистамины (т.е. антагонисты Н1-рецепторов), которые могут быть использованы в комбинации с соединениями настоящего изобретения, включают, но не ограничиваются ими, этаноламины, такие как малеат карбиноксамина, фумарат клемастина, гидрохлорид дифенилгидрамина и дименгидринат; этилендиамины, такие как малеат пириламина, гидрохлорид трипеленнамина и цитрат трипеленнамина; алкиламины, такие как хлорфенирамин и акривастин; пиперазины, такие как гидрохлорид гидроксизина, памоат гидроксизина, гидрохлорид циклизина, лактат циклизина, гидрохлорид меклизина и гидрохлорид цетиризина; пиперидины, такие как астемизол, гидрохлорид левокабастина, лоратадин или его дескарбоэтокси-аналоги, терфенадин и гидрохлорид фексофенадина; гидрохлорид азеластина; и тому подобное или их фармацевтически приемлемая соль или для тех соединений, которые указаны в виде соли, их чередующаяся фармацевтически приемлемая соль. Подходящие дозы для других лекарственных средств, вводимых в комбинации с соединением настоящего изобретения, находятся в пределах от примерно 0,05 г/сутки до примерно 100 г/сутки. Следующие фармацевтические препараты иллюстрируют типичные фармацевтические композиции настоящего изобретения: Пример А препарата Сухой порошок для введения ингаляцией получают следующим образом:
Типичная методика: Соединение настоящего изобретения тонко измельчают и затем перешивают с лактозой. Полученную перемешанную смесь загружают затем в желатиновый картридж для ингаляции. Содержимое картриджа вводят пациенту, используя ингалятор порошка. Пример В препарата Композицию в виде сухого порошка для применения в устройстве для ингаляции сухого порошка изготавливают следующим образом: Типичная методика: Приготавливают фармацевтическую композицию, имеющую объемное отношение тонко измельченного соединения настоящего изобретения к лактозе 1:200. Композицию упаковывают в устройство для ингаляции сухого порошка, способное выдавать от примерно 10 мкг до примерно 100 мкг соединения настоящего изобретения на дозу. Пример С препарата Сухой порошок для введения ингаляцией в ингаляторе с дозировочной шкалой приготавливают следующим образом: Типичная методика: Приготавливают суспензию, содержащую 5 мас.% соединения настоящего изобретения и 0,1 мас.% лецитина, диспергируя 10 г соединения настоящего изобретения в виде тонко измельченных частиц со средним размером менее 10 мкм в растворе, образованном из 0,2 г лецитина, растворенного в 200 мл деминерализованной воды. Суспензию сушат распылением и полученное вещество тонко измельчают до частиц средним диаметром менее 1,5 мкм. Частицы загружают в картриджи со сжатым 1,1,1,2-тетрафторэтаном. Пример D препарата Фармацевтическую композицию для применения в ингаляторе с дозировочной шкалой приготавливают следующим образом: Типичная методика: Приготавливают суспензию, содержащую 5% соединения настоящего изобретения, 0,5% лецитина и 0,5% трегалозы, диспергируя 5 г активного компонента в виде тонко измельченных частиц со средним размером менее 10 мкм в коллоидальном растворе, образованном из 0,5 г трегалозы и 0,5 г лецитина, растворенных в 100 мл деминерализованной воды. Суспензию сушат распылением и полученное вещество тонко измельчают до частиц средним диаметром менее 1,5 мкм. Частицы загружают в баллоны со сжатым 1,1,1,2-тетрафторэтаном. Пример Е препарата Фармацевтическую композицию для применения в распылительном ингаляторе приготавливают следующим образом: Типичная методика: Водную аэрозольную препаративную форму для применения в распылительном ингаляторе изготавливают растворением 0,1 мг соединения настоящего изобретения в 1 мл 0,9% раствора хлорида натрия, подкисленного лимонной кислотой. Смесь перемешивают и подвергают ультразвуковой обработке, пока активный компонент не растворится. Доводят рН раствора до значения в диапазоне 3-8 добавлением NaOH. Пример F препарата Твердые желатиновые капсулы для перорального введения изготавливают следующим образом:
Типичная методика: Компоненты тщательно смешивают и затем загружают в твердые желатиновые капсулы (460 мг композиции на капсулу). Пример G препарата Суспензию для перорального введения изготавливают следующим образом:
Типичная методика: Компоненты смешивают с образованием суспензии, содержащей 100 мг активного компонента на 10 мл суспензии. Пример Н препарата Препарат для инъекции изготавливают следующим образом:
Типичная методика: Указанные компоненты перемешивают и рН доводят до 4±0,5, используя 0,5 н. HCl или 0,5 н. NaOH. Применимость Производные бифенила настоящего изобретения обладают как активностью агониста В соответствии с одним из вариантов настоящее изобретение относится к способу лечения легочного заболевания, включающему введение пациенту, нуждающемуся в таком лечении, терапевтически эффективного количества соединения формулы I или его фармацевтически приемлемой соли, сольвата или стереоизомера. При использовании для лечения легочного заболевания соединения настоящего изобретения обычно вводят ингаляцией многократными дозами в сутки, одной дозой в сутки или одной дозой в неделю. Обычно доза для лечения легочного заболевания находится в пределах от примерно 10 мкг/сутки до примерно 200 мкг/сутки. При введении ингаляцией соединения настоящего изобретения обычно оказывают эффект увеличения просвета бронхов. Поэтому в другом из его аспектов, касающихся способов, настоящее изобретение относится к способу обеспечения увеличения просвета бронхов у пациента, включающему введение пациенту, требующему увеличения просвета бронхов, терапевтически эффективного количества соединения формулы I или его фармацевтически приемлемой соли, сольвата или стереоизомера. Обычно доза, обеспечивающая увеличение просвета бронхов, находится в пределах от примерно 10 мкг/сутки до примерно 200 мкг/сутки. В одном из вариантов настоящее изобретение относится к способу лечения хронической обструктивной болезни легких или астмы, включающему введение пациенту, нуждающемуся в таком лечении, терапевтически эффективного количества соединения формулы I или его фармацевтически приемлемой соли, сольвата или стереоизомера. При использовании для лечения ХОБЛ (COPD) или астмы соединения настоящего изобретения обычно вводят ингаляцией многократными дозами в сутки или одной дозой в сутки. Как правило, доза для лечения ХОБЛ или астмы находится в пределах от примерно 10 мкг/сутки до примерно 200 мкг/сутки. При использовании в данном описании ХОБЛ включает хронический обструктивный бронхит и эмфизему (см., например, Barnes, Chronic Obstructive Pulmonary Disease, N Engl J Med 2000: 343-269-78). При применении для лечения легочной болезни соединения настоящего изобретения необязательно вводят в комбинации с другими лекарственными средствами. В частности, при объединении соединений настоящего изобретения со стероидным противовоспалительным средством (например, кортикостероидом) фармацевтические композиции настоящего изобретения могут обеспечить тройное лечение, т.е. проявлять как активность агониста Соединения настоящего изобретения проявляют активность как антагониста мускариновых рецепторов, так и агониста В одном из его аспектов, касающихся способов, настоящее изобретение предоставляет также способ лечения легочного заболевания, включающий введение пациенту, нуждающемуся в таком лечении, терапевтически эффективного количества соединения, обладающего как активностью антагониста мускариновых рецепторов, так и активностью агониста Поскольку соединения настоящего изобретения обладают как активностью агониста В данном варианте биологическую систему или образец, содержащие Кроме того, соединения настоящего изобретения могут быть использованы в качестве исследовательских инструментов для поиска новых соединений, обладающих как активностью агониста В некоторых случаях соединения настоящего изобретения могут обладать либо слабой активностью антагониста мускариновых рецепторов, либо слабой активностью агониста Свойства и применимость соединений настоящего изобретения могут быть продемонстрированы различными методами анализа in vitro и in vivo, хорошо известными специалистам в данной области. Например, типичные методы анализа описаны более подробно в следующих примерах. ПРИМЕРЫ Следующие получения и примеры даны для иллюстрации частных вариантов настоящего изобретения. Эти частные варианты, однако, не подразумевают никакого ограничения объема изобретения, если это не указано конкретно. Следующие сокращения имеют следующие значения, если не указано иное, а любые другие сокращения, используемые в данном описании и не определенные, имеют их стандартные значения: AC – аденилилциклаза Ach – ацетилхолин ATCC – Американская коллекция типовых культур BSA – бычий сывороточный альбумин цАМФ – 3′-5′ циклический аденозинмонофосфат CHO – яичник китайского хомячка cM5 – клонированный М5 рецептор шимпанзе ДХМ – дихлорметан (т.e. метиленхлорид) DIPEA – N,N-диизопропилэтиламин dPBS – забуференный фосфатом раствор Дульбекко DMEM – модифицированная Дульбекко среда Игла ДМСО – диметилсульфоксид EDTA – этилендиаминтетрауксусная кислота Emax – максимальная эффективность EtOAc – этилацетат EtOH – этанол FBS – фетальная бычья сыворотка FLIPR – считывающий планшет-ридер для флуориметрического анализа Gly – глицин HATU – гексафторфосфат O-(7-азабензотриазол-1-ил-N,N,N’N’-тетраметилурония) HBSS – буферный солевой раствор Хенка HEK – клетки почки человеческого эмбриона HEPES – 4-(2-гидроксиэтил)-1-пиперазинэтансульфоновая кислота hM1 – клонированный человеческий M1 рецептор hM2 – клонированный человеческий M2 рецептор hM3 – клонированный человеческий M3 рецептор hM4 – клонированный человеческий M4 рецептор hM5 – клонированный человеческий M5 рецептор ВЭЖХ – высокоэффективная жидкостная хроматография IBMX – 3-изобутил-1-метилксантин %Eff – эффективность в % PBS – забуференный фосфатом раствор PyBOP – гексафторфосфат бензотриазол-1-илокситрипирролидинофосфоний об/мин – обороты в минуту TFA – трифторуксусная кислота THF (ТГФ) – тетрагидрофуран Tris – трис(гидроксиметил)аминометан Если не указано иное, реагенты, исходные вещества и растворители закупали у торговых поставщиков (таких как Aldrich, Fluka, Sigma и тому подобное) и использовали без дополнительной очистки. В приведенных ниже примерах ВЭЖХ-анализ проводили с использованием прибора Agilent (Palo Alto, CA) серии 1100 с колонками Zorbax Bonus RP 2,1×50 мм, снабженными агилентом (С14 колонка), имеющим размер частиц 3,5 микрометров. Детектирование проводили УФ поглощением при 214 нм. Данные ВЭЖХ 10-70 получали при скорости потока 0,5 мл/минуту 10%-70% В за 6 минут. Подвижная фаза А представляла собой 2%-98%-0,1% ACN-Н2O-TFA, и подвижная фаза В представляла собой 90%-10%-0,1% ACN-Н2O-TFA. Используя подвижные фазы А и В, описанные выше, получали данные ВЭЖХ 5-35 и данные ВЭЖХ 10-90 с 5-минутным градиентом. Данные жидкостной хроматографии с масс-спектрометрией (ЖХ-МС) получали с помощью прибора модели API-150EX от фирмы Applied Biosystems (Foster City, CA). Данные ЖХ-МС 10-90 получали с 10%-90% подвижной фазой В за 5-минутный градиент. Небольшую очистку проводили, используя API-150EX Prep Workststion system от фирмы Applied Biosystems. Подвижной фазой была А: вода+0,05% об./об. TFA; и В: ацетонитрил+0,05% об./об. TFA. Для больших количеств (обычно регенерированный образец примерно 3-50 мг) использовали следующие условия: скорость потока 20 мл/мин, 15 мин градиенты и колонка Prism RP 20 мм×50 мм с частицами 5 микрометров (Thermo Hypersil-Keystone, Bellefonte, PA). Для крупномасштабных очисток (обычно более чем 100 мг неочищенный образец) использовали следующие условия: объемная скорость потока 60 мл/мин, 30 мин градиенты и колонка Microsorb BDS 41,4 мм×250 мм с частицами 10 микрометров (Varian, Polo Alto, CA). Удельное вращение для хиральных соединений (обозначенное как [ Получение 1 N-1,1′-Бифенил-2-ил-N’-4-(1-бензил)пиперидинилмочевина Бифенил-2-изоцианат (50 г, 256 ммоль) растворяли в ацетонитриле (400 мл) при температуре окружающей среды. После охлаждения до 0°С добавляли в течение 5 мин раствор 4-амино-N-бензилпиперидина (48,8 г, 256 ммоль) в ацетонитриле (400 мл). Сразу же наблюдалось выделение осадка. Через 15 мин добавляли ацетонитрил (600 мл) и полученную вязкую смесь перемешивали 12 ч при 35°С. Затем твердые вещества отфильтровывали и промывали холодным ацетонитрилом, затем сушили в вакууме с получением указанного в заголовке соединения (100 г, выход 98%). МС m/z: [M+H+] вычислено для C25H27N3O 386,22; найдено 386,3. Получение 2 N-1,1′-Бифенил-2-ил-N‘-4-пиперидинилмочевина Продукт получения 1 (20 г, 52 ммоль) растворяли в смеси безводного метанола и безводного ДМФА (3:1, 800 мл). Добавляли водный раствор хлористоводородной кислоты (0,75 мл 37% концентрированного раствора, 7,6 ммоль) и через раствор энергично барботировали газообразный азот в течение 20 мин. Добавляли катализатор Перлмана (Pd(OH)2, 5 г) в струе азота, поместив затем реакционную смесь в атмосферу водорода (баллон). Реакционной смеси давали перемешиваться в течение 4 суток и затем дважды пропускали через рыхлые слои целита для удаления катализатора. Затем удаляли при пониженном давлении растворитель с получением указанного в заголовке соединения (13 г, выход 85%). МС m/z: [M+H+] вычислено для C18H21N3O 296,17; найдено 296,0. Альтернативно, N-1,1′-бифенил-2-ил-N‘-4-пиперидинилмочевину синтезировали нагреванием вместе бифенил-2-изоционата (50 г, 256 ммоль) и 4-амино-N-бензилпиперидина (51,1 г, 269 ммоль) при 70°С в течение 12 ч (реакцию контролировали ЖХ-МС). Реакционную смесь охлаждали до 50°С и добавляли этанол (500 мл) с последующим медленным добавлением 6М хлористоводородной кислоты (95 мл). Реакционную смесь охлаждали до комнатной температуры. Добавляли к реакционной смеси формиат аммония (4,84 г, 768 ммоль) и через раствор энергично барботировали газообразный азот в течение 20 мин, добавив после этого палладий (10 мас.% (по сухому веществу) на активированном угле) (10 г). Реакционную смесь нагревали при 40°С в течение 12 ч, затем фильтровали через рыхлый слой целита и удаляли при пониженном давлении растворитель. К неочищенному остатку добавляли 1М хлористоводородную кислоту (20 мл) и добавляли 10 н. гидроксид натрия, доводя рН до 12. Водный слой экстрагировали этилацетатом (2×80 мл), сушили (сульфат магния) и удаляли при пониженном давлении растворитель с получением указанного в заголовке соединения в виде твердого вещества (71,7 г, выход 95%). МС m/z: [M+H+] вычислено для C18H21N3O 296,17; найдено 296,0. Получение 3 N-1,1′-Бифенил-2-ил-N‘-4-[1-(9-гидроксинонил)]пиперидинилмочевина 9-Бром-1-нонанол (4,84 г, 21,7 ммоль) добавляли к перемешиваемому раствору продукта получения 2 (5,8 г, 19,7 ммоль) и диизопропилэтиламина (10,29 мл, 59,1 ммоль) в ацетонитриле (99 мл) при 50°С. Реакционную смесь нагревали при 50°С в течение 8 ч. Затем реакционной смеси давали остыть и удаляли при пониженном давлении растворитель. Остаток растворяли в дихлорметане (100 мл), промывали насыщенным водным раствором бикарбоната натрия (2×50 мл) и сушили (сульфат магния). Удаляли при пониженном давлении растворитель. Неочищенный продукт очищали флэш-хроматографией (система дихлорметан:метанол:аммиак) с получением указанного в заголовке соединения (7,1 г, 16,2 ммоль, выход 82%). Получение 4 N-1,1′-Бифенил-2-ил-N‘-4-[1-(9-оксононил)]пиперидинилмочевина Диметилсульфоксид (490 мкл, 6,9 ммоль) и затем диизопропилэтиламин (324 мкл, 3,45 ммоль) добавляли к раствору продукта получения 3 (500 мг, 1,15 ммоль) в дихлорметане (11,5 мл) при -10°С в атмосфере азота. Реакционную смесь перемешивали при -15°С в течение 15 мин и затем добавляли порциями комплекс триоксида серы и пиридина (549 мг,3,45 ммоль). Реакционную смесь перемешивали при -15°С в течение 1 ч и затем добавляли воду (10 мл). Органическую фазу затем отделяли, промывали водой (10 мл) и сушили (сульфат натрия). Удаляли при пониженном давлении растворитель с получением указанного в заголовке соединения (475 мг, 1,09 ммоль, выход 95%). ЖХ-МС (10-70) Rt=3,39. Получение 5 N-1,1′-Бифенил-2-ил-N‘-4-[1-(9-аминононил)]пиперидинилмочевина Палладий (10 мас.% (по сухому веществу) на активированном угле) (1,5 г) добавляли к перемешиваемому раствору продукта получения 4 (1,58 г, 3,63 ммоль) и бензиламина (516 мкл, 4,72 ммоль) в метаноле (36,3 мл). Реакционную смесь помещали в атмосферу водорода. После перемешивания в течение 12 ч реакционную смесь фильтровали через рыхлый слой целита и промывали метанолом (10 мл). Удаляли при пониженном давлении растворитель с получением указанного в заголовке соединения (1,50 г, 3,45 ммоль, выход 95%). ЖХ-МС (10-70) Rt=2,35; МС m/z: [M+H+] вычислено для C27H40N4O1 437,06; найдено 437,5. Получение 6 8-Бензилокси-5-(2,2-дигидроксиацетил)-1Н-хинолин-2-он (а) 8-Ацетокси-1Н-хинолин-2-он 8-Гидроксихинолин-N-оксид (160,0 г, 1,0 моль), доступный от фирмы Aldrich, Milwaukee, WI, и уксусный ангидрид (800 мл, 8,4 моль) нагревали при 100°С в течение 3 ч и затем охлаждали во льду. Продукт собирали на воронке Бюхнера, промывали уксусным ангидридом (2×100 мл) и сушили при пониженном давлении с получением 8-ацетокси-1Н-хинолин-2-она (144 г) в виде твердого вещества. (b) 5-Ацетил-8-гидрокси-1Н-хинолин-2-он Взвесь хлорида алюминия (85,7 г, 640 ммоль) в 1,2-дихлорэтане (280 мл) охлаждали во льду и добавляли продукт стадии (а) (56,8 г, 280 ммоль). Смесь нагревали до комнатной температуры и затем нагревали при 85°С. Через 30 мин добавляли ацетилхлорид (1,5 мл, 21 ммоль) и смесь нагревали еще 60 мин. Затем реакционную смесь охлаждали и добавляли к 1 н. хлористоводородной кислоте (3 л) при 0°С с надлежащим перемешиванием. После перемешивания в течение 2 ч твердые вещества собирали на воронке Бюхнера, промывали водой (3×250 мл) и сушили при пониженном давлении. Неочищенный продукт, выделенный при нескольких загрузках (135 г), объединяли и растирали в дихлорметане (4 л) в течение 6 ч. Продукт собирали на воронке Бюхнера и сушили при пониженном давлении с получением 5-ацетил-8-гидрокси-2(1Н)-хинолинона (121 г). (с) 5-Ацетил-8-бензилокси-1Н-хинолин-2-он К продукту стадии (b) (37,7 г, 186 ммоль) добавляли N,N-диметилформамид (200 мл) и карбонат калия (34,5 г, 250 ммоль) и затем бензилбромид (31,8 г, 186 ммоль). Смесь перемешивали при комнатной температуре в течение 2,25 ч и затем вливали в насыщенный раствор хлорида натрия (3,5 л) при 0°С и перемешивали в течение 1 часа. Продукт собирали и сушили на воронке Бюхнера в течение 1 часа, полученные твердые вещества растворяли в дихлорметане (2 л) и полученную смесь сушили над сульфатом натрия. Раствор фильтровали через рыхлый слой Целита, который затем промывали дихлорметаном (5×200 мл). Объединенный фильтрат затем концентрировали досуха и полученные твердые вещества растирали в эфире (500 мл) в течение 2 ч. Продукт собирали на воронке Бюхнера, промывали эфиром (2×250 мл) и сушили при пониженном давлении с получением 5-ацетил-8-бензилокси-1Н-хинолин-2-она (44 г) в виде порошка. (d) 8-Бензилокси-5-(2,2-дигидроксиацетил)-1Н-хинолин-2-он К взвеси продукта стадии (с) (10,0 г, 34,1 ммоль) в ДМСО (60 мл) добавляли 48% мас./мас. раствор бромистоводородной кислоты (11,8 мл, 102,3 ммоль). Смесь нагревали до 60°С в течение 16 ч и затем давали остыть до комнатной температуры. Добавляли воду (100 мл) и полученную взвесь перемешивали при комнатной температуре в течение 0,5 ч, пока она не охладилась до 0°С. Продукт собирали на воронке Бюхнера, затем сушили при пониженном давлении с получением 8-бензилокси-5-(2,2-дигидроксиацетил)-1Н-хинолин-2-она (12,2 г) в виде твердого вещества. Получение 7 1-(1-{9-[2-(8-Бензилокси-2-oxo-1,2-дигидрохинолин-5-ил)-2-гидроксиэтиламино]нонил}пиперидин-4-ил)-3-бифенил-2-илмочевина Продукты получения 5 (183 мг, 0,42 ммоль) и получения 6 (149 мг, 0,46 ммоль) перемешивали в дихлорэтане (4,2 мл) при температуре окружающей среды в течение 2 ч. Затем добавляли триацетоксиборогидрид натрия (267 мг, 1,26 ммоль) и реакционную смесь перемешивали еще 12 ч. Затем реакционную смесь разбавляли дихлорметаном (10 мл), промывали насыщенным водным раствором бикарбоната натрия (10 мл), сушили (сульфат магния) и удаляли при пониженном давлении растворитель. Неочищенную реакционную смесь очищали флэш-хроматографией (5-10% метанол в дихлорметане, 0,5% гидроксид аммония) с получением указанного в заголовке соединения (144 мг, 0,20 ммоль, выход 48%). ЖХ-МС (10-70) Rt=3,48; МС m/z: [M+H+] вычислено для C45H55N5O4 730,4; найдено 730,7. Пример 1 1-Бифенил-2-ил-3-(1-{9-[2-гидрокси-2-(8-гидрокси-2-oxo-1,2-дигидрохинолин-5-ил)этиламино]нонил}пиперидин-4-ил)мочевина К перемешиваемому раствору продукта получения 7 (144 мг, 0,20 ммоль) в метаноле (2 мл) добавляли палладий (10 мас.% (по сухому веществу) на активированном угле) (63 мг) и реакционную смесь помещали в атмосферу водорода. После 12 ч перемешивания реакционную смесь фильтровали через рыхлый слой целита, промывали метанолом (2 мл) и затем удаляли при пониженном давлении растворитель. Полученный остаток очищали препаративной ВЭЖХ с получением указанного в заголовке соединения (10 мг). ЖХ-МС (10-70) Rt=2,8; МС m/z: [M+H+] вычислено для C38H49N5O4 640,3; найдено 640,5. Получение 8 Пиперидин-4-иловый эфир бифенил-2-карбаминовой кислоты Бифенил-2-изоцианат (97,5 г, 521 ммоль) и 4-гидрокси-1-бензилпиперидин (105 г, 549 ммоль), оба доступные от фирмы Aldrich, Milwaukee, WI, нагревали вместе при 70°С 12 ч, в течение которых образование пиперидин-4-илового эфира бифенил-2-карбаминовой кислоты контролировали ЖХ-МС. Затем реакционную смесь охлаждали до 50°С и добавляли этанол (1 л), затем медленно добавляли 6М хлористоводородную кислоту. Затем реакционную смесь охлаждали до температуры окружающей среды, добавляли формиат аммония (98,5 г, 1,56 моль) и через раствор энергично барботировали газообразный азот в течение 20 мин. Затем добавляли палладий (10 мас.% (по сухому веществу) на активированном угле) (20 г). Реакционную смесь нагревали при 40°С в течение 12 ч и затем фильтровали через рыхлый слой целита. Затем удаляли при пониженном давлении растворитель и к неочищенному остатку добавляли 1М хлористоводородную кислоту (40 мл). Затем добавляли гидроксид натрия (10 н.), доводя рН до 12. Водный слой экстрагировали этилацетатом (2×150 мл) и сушили (сульфат магния), затем удаляли при пониженном давлении растворитель с получением указанного в заголовке соединения (155 г, 100%). ЖХ-МС (10-70) Rt=2,52; МС m/z: [M+H+] вычислено для C18H20N2O2 297,15; найдено 297,3. Получение 9 N,N-(Ди-трет-бутоксикарбонил)-9-бромнониламин Раствор ди-трет-бутоксикарбониламина (3,15 г, 14,5 ммоль) в N,N-диметилформамиде (0,28 мл) охлаждали до 0°С в течение примерно 10 мин. Добавляли гидрид натрия, 60% в минеральном масле (0,58 г, 14,5 ммоль) и реакционную смесь перемешивали при 0°С в течение 10 мин. Реакционную смесь снимали с ледяной бани и давали нагреться до комнатной температуры в течение примерно 30 мин. Реакционную смесь затем снова охлаждали до 0°С и добавляли раствор 1,9-дибромнонана (2,46 мл, 12,1 ммоль) в диметилформамиде (100 мл). Реакционную смесь перемешивали в течение ночи при комнатной температуре. Через 24 ч МС-анализ показал, что реакция закончилась. Реакционную смесь концентрировали досуха и разбавляли этилацетатом (100 мл). Органический слой промывали насыщенным раствором бикарбоната натрия (2×100 мл), насыщенным раствором соли (100 мл), сушили (сульфат магния) и концентрировали при пониженном давлении с получением неочищенного продукта, который очищали колоночной хроматографией на силикагеле, используя 5% этилацетат в гексанах, с получением указанного в заголовке соединения. МС m/z: [M+H+] вычислено для C19H36N1O4Br 423,18; найдено 423. Получение 10 1-(9-Ди-трет-бутоксикарбониламино)нонил]пиперидин-4-иловый эфир бифенил-2-карбаминовой кислоты Смесь (1:1) ацетонитрила и N,N-диметилформамида (50 мл) добавляли к продуктам получения 8 (3,0 г, 10,1 ммоль) и получения 9 (5,1 г, 12,2 ммоль) и триэтиламину (1,42 мл, 10,1 ммоль). Реакционную смесь перемешивали при температуре окружающей среды в течение 24 ч и контролировали анализом ЖХ-МС. Затем реакционную смесь концентрировали и разбавляли этилацетатом (50 мл). Органический слой промывали насыщенным раствором бикарбоната натрия (2×50 мл) и насыщенным раствором соли (50 мл). Органическую фазу затем сушили над сульфатом магния и концентрировали с получением 6,5 г неочищенного масла. Масло очищали хроматографией на силикагеле, используя смесь (1:1) гексаны/этилацетат, с получением указанного в заголовке соединения (3 г). МС m/z: [M+H+] вычислено для C37H55N3O6 638,41; найдено 639. Получение 11 1-(9-Аминононил)пиперидин-4-иловый эфир бифенил-2-карбаминовой кислоты Трифторуксусную кислоту (11 мл) добавляли к раствору продукта получения 10 (7,2 г, 11,3 ммоль) в дихлорметане (56 мл). Через 2 ч анализ ЖХ-МС показал, что реакция прекратилась. Реакционную смесь затем концентрировали досуха и разбавляли этилацетатом (75 мл). Затем добавляли гидроксид натрия (1 н.), пока рН смеси не достигал 14. Органическую фазу затем собирали и промывали насыщенным раствором бикарбоната натрия (2×50 мл) и насыщенным раствором соли (50 мл). Органическую фазу затем сушили над сульфатом магния и концентрировали с получением указанного в заголовке соединения (5,5 г). МС m/z: [M+H+] вычислено для C27H39N3O2 438,30; найдено 439. Получение 12 1-{9-[2-(8-Бензилокси-2-оксо-1,2-дигидрохинолин-5-ил)-2-гидроксиэтиламино]нонил}пиперидин-4-иловый эфир бифенил-2-илкарбаминовой кислоты Продукт получения 11 (196 мг, 0,43 ммоль) растворяли в дихлорэтане (4 мл) и добавляли триацетоксиборогидрид натрия (101 мг, 0,48 ммоль). Реакционную смесь перемешивали при температуре окружающей среды в течение примерно 10 мин и затем добавляли 8-бензилокси-5-(2,2-дигидроксиацетил)-1Н-хинолин-2-он (получение 6) (141 мг, 0,43 ммоль). Анализ методом ЖХ-МС показал, что реакция заканчивалась через 2 ч. К реакционной смеси добавляли метанол (1 мл) и затем медленно добавляли борогидрид натрия (18 мг, 0,48 ммоль). Через 1 ч анализ методом ЖХ-МС показал, что реакция закончилась. Затем реакционную смесь гасили водным раствором хлорида аммония и полученную смесь экстрагировали дихлорметаном. Органическую фазу промывали насыщенным раствором бикарбоната натрия (2×50 мл) и насыщенным раствором соли (10 мл). Затем органическую фазу сушили над сульфатом магния и концентрировали с получением 315 мг желтого твердого вещества. Твердое вещество очищали хроматографией на силикагеле, используя 10% метанол в дихлорметане, с получением указанного в заголовке соединения (64 мг). МС m/z: [M+H+] вычислено для C43H55N4O5 730,40; найдено 731. Пример 2 Дитрифторацетат 1-{9-[2-гидрокси-2-(8-гидрокси-2-oxo-1,2-дигидрохинолин-5-ил)этиламино]нонил}пиперидин-4-илового эфира бифенил-2-илкарбаминовой кислоты Раствор продукта получения 12 (64 мг, 0,09 ммоль) в метаноле (450 мл) продували азотом. Затем добавляли палладий на углероде (10%, 10 мг), реакционную смесь помещали в атмосферу водорода из баллона и затем перемешивали. Анализ методом ЖХ-МС показал, что реакция заканчивалась через 9 ч. Реакционную смесь затем фильтровали и фильтрат концентрировали с получением желтого рассыпчатого твердого вещества. Твердое вещество очищали препаративной ВЭЖХ (5-35 за 60 мин) с получением указанного в заголовке соединения (19 мг). МС m/z: [M+H+] вычислено для C38H48N4O5 641,36; найдено 641. Получение 13 8-Бензилокси-5-[(R)-2-бром-1-(трет-бутилдиметилсиланилокси)этил]-1Н-хинолин-2-он (а) 8-Бензилокси-5-(2-бромацетил)-1Н-хинолин-2-он 5-Ацетил-8-бензилокси-1Н-хинолин-2-он (получение 6) (20,0 г, 68,2 ммоль) растворяли в дихлорметане (200 мл) и охлаждали до 0°С. С помощью шприца добавляли диэтилэфират трифторида бора (10,4 мл, 82,0 ммоль) и смесь нагревали до комнатной температуры с получением густой суспензии. Суспензию нагревали при 45°С (масляная баня) и добавляли в течение 40 мин раствор брома (11,5 г, 72,0 ммоль) в дихлорметане (100 мл). Смесь держали при 45°С еще 15 мин и затем охлаждали до комнатной температуры. Смесь концентрировали при пониженном давлении и затем растирали в 10% водном растворе карбоната натрия (200 мл) в течение 1 ч. Твердые вещества собирали на воронке Бюхнера, промывали водой (4×100 мл) и сушили при пониженном давлении. Продукт двух опытов объединяли для очистки. Неочищенный продукт (52 г) растирали в 50% метаноле в хлороформе (500 мл) в течение 1 ч. Продукт собирали на воронке Бюхнера и промывали 50% метанолом в хлороформе (2×50 мл) и метанолом (2×50 мл). Твердое вещество сушили при пониженном давлении с получением указанного в заголовке соединения (34,1 г) в виде порошка. (b) 8-Бензилокси-5-((R)-2-бром-1-гидроксиэтил)-1Н-хинолин-2-он (R)-(+)- 8-Бензилокси-5-(2-бромацетил)-1Н-хинолин-2-он (90,0 г, 243 ммоль) помещали в атмосферу азота и добавляли тетрагидрофуран (900 мл) с последующим добавлением описанного выше катализатора (1,8М в толуоле, 15 мл, 27 ммоль). Суспензию охлаждали до -10±5°С на бане со смесью лед/изопропанол. Добавляли в течение 4 ч боран (1,0М в ТГФ, 294 мл, 294 ммоль). Реакционную смесь затем перемешивали еще 45 мин при -10°С, затем медленно добавляли метанол (250 мл). Смесь концентрировали в вакууме и остаток растворяли в кипящем ацетонитриле (1,3 л), фильтровали в горячем состоянии и затем охлаждали до комнатной температуры. Кристаллы отфильтровывали, промывали ацетонитрилом и сушили в вакууме с получением указанного в заголовке соединения (72,5 г, 196 ммоль, выход 81%, 95% ее, 95% чистота согласно ВЭЖХ). (с) 8-Бензилокси-5-[(R)-2-бром-1-(трет-бутилдиметилсиланилокси)этил]-1Н-хинолин-2-он К продукту стадии (b) (70,2 г, 189 ммоль) добавляли N,N-диметилформамид (260 мл) и полученную смесь охлаждали на бане со льдом в атмосфере азота. В течение 5 мин добавляли 2,6-лутидин (40,3 г, 376 ммоль) и затем медленно добавляли трет-бутилдиметилсилилтрифторметансульфонат (99,8 г, 378 ммоль), поддерживая температуру ниже 20°С. Смеси давали нагреться до комнатной температуры в течение 45 мин. В течение 10 мин добавляли к смеси по каплям метанол (45 мл) и смесь распределяли между смесью этилацетат/циклогексан (1:1, 500 мл) и смесью вода/насыщенный раствор соли (1:1, 500 мл). Органику промывали еще два раза смесью вода/насыщенный раствор соли (1:1, 500 мл каждый раз). Объединенную органику упаривали при пониженном давлении с получением светло-желтого масла. К маслу добавляли две отдельные порции циклогексана (400 мл) и продолжали дистилляцию до образования густой белой взвеси. К взвеси добавляли циклогексан (300 мл) и полученные белые кристаллы отфильтровывали, промывали циклогексаном (300 мл) и сушили при пониженном давлении с получением указанного в заголовке соединения (75,4 г, 151 ммоль, выход 80%, 98,6% ее). Получение 14 1-{9-[(R)-2-(8-Бензилокси-2-оксо-1,2-дигидрохинолин-5-ил)-2-(трет-бутилдиметилсиланилокси)этиламино]нонил}пиперидин-4-иловый эфир бифенил-2-илкарбаминовой кислоты Продукт получения 13 (3,9 г, 8,17 ммоль) добавляли к раствору продукта получения 11 (5,0 г, 11,4 ммоль) в ТГФ (20 мл) с последующим добавлением бикарбоната натрия (2,0 г, 24,5 ммоль) и иодида натрия (1,8 г, 12,2 ммоль). Реакционную смесь нагревали при 80°С в течение 72 ч. Затем реакционную смесь охлаждали, разбавляли дихлорметаном (20 мл) и органическую фазу промывали насыщенным раствором бикарбоната натрия (2×50 мл) и насыщенным раствором соли (50 мл). Затем органическую фазу сушили (сульфат магния) и концентрировали с получением 6,5 г неочищенного продукта. Неочищенный продукт очищали хроматографией на силикагеле, элюируя 3% метанолом в дихлорметане, с получением указанного в заголовке соединения (1,4 г, выход 21%). Получение 15 1-{9-[(R)-2-(8-Бензилокси-2-оксо-1,2-дигидрохинолин-5-ил)-2-гидроксиэтиламино]нонил}пиперидин-4-иловый эфир бифенил-2-илкарбаминовой кислоты Гидрофторид триэтиламина (376 мкл, 2,3 ммоль) добавляли к раствору продукта получения 14 (1,3 г, 1,5 ммоль) в ТГФ (8 мл) и реакционную смесь перемешивали при температуре окружающей среды. Через 5 ч реакция заканчивалась согласно данным анализа ЖХ-МС. Затем реакционную смесь гасили добавлением 1 н. NaOH до рН 14, разбавляли этилацетатом (20 мл) и затем промывали 1 н. NaOH (20 мл) и насыщенным раствором соли (20 мл). Органическую фазу затем отделяли, сушили над сульфатом магния и концентрировали с получением указанного в заголовке соединения (1,1 г). Пример 3 Дитрифторацетат 1-{9-[(R)-2-гидрокси-2-(8-гидрокси-2-oxo-1,2-дигидрохинолин-5-ил)этиламино]нонил}пиперидин-4-илового эфира бифенил-2-илкарбаминовой кислоты Раствор продукта получения 15 (1,1 г, 1,5 ммоль) продували азотом и добавляли палладий на углероде (10%, 110 мг). Реакционную смесь перемешивали в атмосфере водорода при давлении баллона. Анализ методом ЖХ-МС показал, что реакция заканчивалась через 9 ч. Реакционную смесь затем фильтровали и фильтрат концентрировали с получением желтого твердого вещества. Твердое вещество очищали препаративной ВЭЖХ (5-30 за 60 мин) с получением указанного в заголовке соединения (510 мг). МС m/z: [M+H+] вычислено для C38H48N4O5 641,36; найдено 641. ВЭЖХ-метод 10-70: 3,207. [ Пример 3А Дитрифторацетат 1-{9-[(R)-2-гидрокси-2-(8-гидрокси-2-oxo-1,2-дигидрохинолин-5-ил)этиламино]нонил}пиперидин-4-илового эфира бифенил-2-илкарбаминовой кислоты Альтернативно, указанное в заголовке соединение получали следующим образом: (а) 9-Бромнонаналь В 100-мл круглодонную колбу, снабженную магнитной мешалкой, капельной воронкой и регулятором температуры, добавляли в атмосфере азота 9-бромнонанол (8,92 г, 40 ммоль) и дихлорметан (30 мл). Полученную смесь охлаждали до 5°С и добавляли раствор бикарбоната натрия (0,47 г, 5,6 ммоль) и бромида калия (0,48 г, 4 ммоль) в воде (10 мл). Добавляли свободный радикал 2,2,6,6-тетраметил-1-пиперидинилокси (ТЕМРО) (63 мг, 0,4 ммоль) и затем добавляли по каплям 10-13% отбеливающий раствор (27 мл) через капельную воронку со скоростью, обеспечивающей поддержание температуры на уровне примерно 8°С (±2°С) с помощью охлаждающей бани со льдом (примерно за 40 мин). По окончании добавления отбеливающего раствора смесь перемешивали 30 мин, поддерживая температуру на уровне около 0°С. Добавляли раствор бисульфита натрия (1,54 г) в воде (10 мл) и полученную смесь перемешивали при комнатной температуре в течение 30 мин. Затем разделяли слои смеси и мутный водный слой экстрагировали дихлорметаном (1×20 мл). Объединенные дихлорметановые слои затем промывали водой (1×30 мл), сушили (MgSO4), фильтровали и концентрировали при пониженном давлении с получением указанного в заголовке промежуточного соединения (8,3 г, выход 94%), которое использовали без дополнительной очистки на следующей стадии. (b) 9-Бром-1,1-диметоксинонан В 100-мл круглодонную колбу вводили 9-бромнонаналь (7,2 г, 32,5 ммоль), метанол (30 мл) и триметилортоформиат (4 мл, 36,5 ммоль). Добавляли раствор 4 н. хлористоводородной кислоты в диоксане (0,2 мл, 0,8 ммоль) и полученную смесь кипятили с обратным холодильником в течение 3 ч. Реакционную смесь затем охлаждали до комнатной температуры и добавляли твердый бикарбонат натрия (100 мг, 1,2 ммоль). Полученную смесь концентрировали при пониженном давлении до четверти ее первоначального объема и затем добавляли этилацетат (50 мл). Органический слой промывали водой (2×40 мл), сушили (MgSO4), фильтровали и концентрировали при пониженном давлении с получением указанного в заголовке промежуточного соединения (8,44 г (выход 97%)) в виде жидкости, которую использовали на следующей стадии без дополнительной очистки. (с) 1-(9,9-Диметоксинонил)пиперидин-4-иловый эфир бифенил-2-илкарбаминовой кислоты В 50-мл трехгорлую круглодонную колбу вводили пиперидин-4-иловый эфир бифенил-2-илкарбаминовой кислоты (1 г, 3,38 ммоль) и ацетонитрил (10 мл) с образованием взвеси. К полученной взвеси добавляли 9-бром-1,1-диметоксинонан (1,1 г, 1,3 ммоль) и триэтиламин (0,57 г, 4,1 ммоль) и полученную смесь нагревали при 65°С в течение 6 ч (реакцию контролировали ВЭЖХ, до тех пор, пока количество исходного вещества не составило <5%). Затем реакционную смесь охлаждали до комнатной температуры, и за это время смесь образовывала густую взвесь. Добавляли воду (5 мл) и смесь фильтровали, собирая твердое вещество на стеклянном фильтре грубой очистки. Твердое вещество промывали предварительно смешанным раствором ацетонитрила (10 мл) и воды (5 мл) и затем другим предварительно смешанным раствором ацетонитрила (10 мл) и воды (2 мл). Полученное твердое вещество сушили на воздухе с получением указанного в заголовке промежуточного соединения (1,37 г, 84%, чистота>96%, согласно ЖХ, 1Н-ЯМР) в виде белого твердого вещества. (d) 1-(9-Оксононил)пиперидин-4-иловый эфир бифенил-2-илкарбаминовой кислоты В 500-мл круглодонную колбу с магнитной мешалкой вводили 1-(9,9-диметоксинонил)пиперидин-4-иловый эфир бифенил-2-илкарбаминовой кислоты (7,7 г, 15,9 ммоль) и затем ацетонитрил (70 мл) и водную 1М хлористоводородную кислоту (70 мл). Полученную смесь перемешивали при комнатной температуре в течение 1 ч и затем добавляли дихлорметан (200 мл). Смесь перемешивали 15 мин и затем разделяли слои. Органический слой сушили (MgSO4), фильтровали и концентрировали при пониженном давлении с получением указанного в заголовке промежуточного соединения (6,8 г), которое использовали без дополнительной очистки на следующей стадии. (е) 1-(9-{Бензил-[(R)-2-(8-бензилокси-2-оксо-1,2-дигидрохинолин-5-ил)-2-(трет-бутилдиметилсиланилокси)этил]амино}нонил)пиперидин-4-иловый эфир бифенил-2-илкарбаминовой кислоты В 300-мл круглодонную колбу вводили 5-[(R)-2-бензиламино-1-(трет-бутилдиметилсиланилокси)этил]-8-бензилокси-1Н-хинолин-2-он (5 г, 9,73 ммоль), дихлорметан (100 мл) и ледяную уксусную кислоту (0,6 мл, 10 ммоль). Полученную смесь охлаждали до 0°С, используя баню со льдом, и добавляли при перемешивании 1-(9-оксононил)пиперидин-4-иловый эфир бифенил-2-илкарбаминовой кислоты (4,6 г, 9,73 ммоль). Полученную смесь перемешивали при 0°С в течение 30 минут и затем добавляли порциями в течение 15 минут триацетоксиборогидрид натрия (6,15 г, 29 ммоль). Реакционную смесь перемешивали при 0°С-10°С в течение 2 часов и затем добавляли насыщенный водный раствор бикарбоната натрия (50 мл) и смесь перемешивали 15 минут. Затем разделяли слои и органический слой промывали 5% водным раствором хлорида натрия (50 мл), сушили (MgSO4), фильтровали и концентрировали при пониженном давлении с получением указанного в заголовке промежуточного соединения (8,5 г, чистота 80% согласно ВЭЖХ), которое использовали без дополнительной очистки на следующей стадии. (f) 1-{9-[(R)-2-(трет-Бутилдиметилсиланилокси)-2-(8-гидрокси-2-оксо-1,2-дигидрохинолин-5-ил)этиламино]нонил}пиперидин-4-иловый эфир бифенил-2-илкарбаминовой кислоты В 200-мл круглодонную колбу вводили промежуточное соединение со стадии (е) (8,5 г, 9 ммоль), этанол (100 мл) и ледяную уксусную кислоту (0,54 мл, 18 ммоль) и смесь перемешивали до растворения твердого вещества. Реакционную смесь продували водородом в течение 5 мин и затем добавляли 10% палладий на углероде (1,7 г). Полученную смесь перемешивали при комнатной температуре, медленно барботируя через реакционную смесь водород до превращения >95%, наблюдаемого с помощью ВЭЖХ (примерно 8-9 ч). Смесь затем фильтровали через рыхлый слой целита и удаляли при пониженном давлении растворитель. Остаток очищали хроматографией на силикагеле (15 г диоксида кремния/1 г сырья), используя 5% МеОН в ДХМ/0,5% NH4ОН (10×150 мл), 8% МеОН в ДХМ/0,5% NH4ОН (10×150 мл) и 10% МеОН в ДХМ/0,5% NH4ОН (10×150 мл). Соответствующие фракции объединяли и удаляли при пониженном давлении растворитель, поддерживая при этом температуру <35°С, с получением указанного в заголовке промежуточного соединения (4,05 г, чистота 97%). (g) 1-{9-[(R)-2-Гидрокси-2-(8-гидрокси-2-oxo-1,2-дигидрохинолин-5-ил)этиламино]нонил}пиперидин-4-иловый эфир бифенил-2-илкарбаминовой кислоты В 200-мл круглодонную колбу вводили промежуточное соединение со стадии (f) (4,05 г, 5,36 ммоль) и дихлорметан (80 мл) и полученную смесь перемешивали до растворения твердого вещества. Добавляли тригидрофторид триэтиламина (2,6 мл, 16 ммоль) и продолжали перемешивание в атмосфере азота в течение 18-20 ч. Добавляли метанол (20 мл), затем медленно добавляли насыщенный водный раствор бикарбоната натрия (50 мл) и смесь перемешивали в течение 15 мин. Затем разделяли слои и органический слой промывали насыщенным водным раствором хлорида натрия (20 мл), сушили (MgSO4), фильтровали и концентрировали при пониженном давлении с получением указанного в заголовке соединения (3,5 г, чистота 98% согласно ВЭЖХ) в виде желтого твердого вещества. Пример 3В Соль нафталин-1,5-дисульфоновой кислоты 1-{9-[(R)-2-гидрокси-2-(8-гидрокси-2-oxo-1,2-дигидрохинолин-5-ил)этиламино]нонил}пиперидин-4-илового эфира бифенил-2-илкарбаминовой кислоты 1-{9-[(R)-2-Гидрокси-2-(8-гидрокси-2-oxo-1,2-дигидрохинолин-5-ил)этиламино]нонил}пиперидин-4-иловый эфир бифенил-2-илкарбаминовой кислоты (1,0 г, 1,56 ммоль, свободное основание) растворяли в метаноле (10 мл; низкое содержание воды). Добавляли раствор нафталин-1,5-дисульфоновой кислоты (0,45 г, 1,56 ммоль) в метаноле (5 мл; низкое содержание воды) и реакционную смесь перемешивали при 30°С в течение двух часов и затем при комнатной температуре в течение ночи (18 ч). Полученную густую взвесь фильтровали, осадок от фильтрования промывали метанолом (5 мл) и затем сушили с получением указанного в заголовке соединения (1,16 г, выход 80%) в виде не совсем белого кристаллического твердого вещества. Получение 16 N-{2-Бензилокси-5-[(R)-2-бром-1-(трет-бутилдиметилсиланилокси)этил]фенил}формамид (R)-2-Бром-1-(3-формамидо-4-бензилоксифенил)этанол (9,9 г, 28 ммоль) растворяли в диметилформамиде (36 мл). Добавляли имидазол (2,3 г, 34 ммоль) и трет-бутилдиметилсилилхлорид (4,7 г, 31 ммоль). Раствор перемешивали в атмосфере азота в течение 72 ч. Еще добавляли имидазол (0,39 г, 5,7 ммоль) и трет-бутилдиметилсилилхлорид (0,64 г, 4,3 ммоль) и реакционную смесь перемешивали еще 20 ч. Затем реакционную смесь разбавляли смесью изопропилацетата (53 мл) и гексанов (27 мл) и переносили в делительную воронку. Органический слой промывали два раза смесью воды (27 мл) и насыщенного водного раствора хлорида натрия (27 мл) с последующей конечной промывкой насыщенным водным раствором хлорида натрия (27 мл). Органический слой сушили над сульфатом натрия. Добавляли силикагель (23,6 г) и гексаны (27 мл) и суспензию перемешивали в течение 10 мин. Твердые вещества удаляли фильтрованием и фильтрат концентрировали в вакууме. Остаток кристаллизовали из гексанов (45 мл) с получением 8,85 г (19 ммоль, 68%) указанного в заголовке соединения в виде твердого вещества. МС m/z: [M+H+] вычислено для C22H30NO3SiBr 464,1; найдено 464,2. Исходное вещество, (R)-2-бром-1-(3-формамидо-4-бензилоксифенил)этанол, может быть получено, как описано в патенте США № 6268533 В1, или у R. Hett et al., Organic Process Research and Development, 1998, 2:96-99, или по методике, подобно описанной у Hong et al., Tetrahedron Lett., 1994, 35:6631, или подобно описанной в патенте США № 5495054. Получение 17 1-{9-[(R)-2-(4-Бензилокси-3-формиламинофенил)-2-(трет-бутилдиметилсиланилокси)этиламино]нонил}пиперидин-4-иловый эфир бифенил-2-илкарбаминовой кислоты Продукт получения 16 (500 мг, 1,008 ммоль) и иодид натрия (243 мг, 1,62 ммоль) перемешивали в тетрагидрофуране (0,5 мл) в течение 15 мин при температуре окружающей среды. Затем добавляли продукт получения 11 (564 мг, 1,29 ммоль) и бикарбонат натрия (272 мг, 3,24 ммоль) и реакционную смесь нагревали при 80°С в течение 24 ч. Затем реакционной смеси давали остыть. Далее добавляли воду (2 мл) и смесь экстрагировали дихлорметаном (2×2 мл). Объединенные органические экстракты промывали 1М хлористоводородной кислотой (2×1 мл), сушили (сульфат магния) и удаляли при пониженном давлении растворитель. Неочищенный остаток очищали флэш-хроматографией (5-10% метанол/дихлорметан) с получением указанного в заголовке соединения (360 мг, 0,44 ммоль, выход 41%). ВЭЖХ (10-70) Rt=4,96; МС m/z: [M+H+] вычислено для C49H68N4O5 821,51; найдено 821,9. Получение 18 1-{9-[(R)-2-(4-Бензилокси-3-формиламинофенил)-2-гидроксиэтиламино]нонил}пиперидин-4-иловый эфир бифенил-2-илкарбаминовой кислоты К перемешиваемому раствору продукта получения 17 (360 мг, 0,44 ммоль) в тетрагидрофуране (2,2 мл) при температуре окружающей среды добавляли тригидрофторид триэтиламина (108 мкл, 0,66 ммоль). Реакционную смесь перемешивали 24 ч, затем разбавляли дихлорметаном (5 мл) и промывали 1М хлористоводородной кислотой (2 мл) и насыщенным водным раствором бикарбоната натрия (2 мл). Органическую фазу сушили (сульфат магния) и удаляли при пониженном давлении растворитель. Неочищенное указанное в заголовке соединение использовали непосредственно на следующей стадии без дополнительной очистки. ВЭЖХ (10-70) Rt=4,6; МС m/z: [M+H+] вычислено для C43H54N4O5 707,43; найдено 707,8. Пример 4 Дитрифторацетат 1-{9-[(R)-2-(3-формиламино-4-гидроксифенил)-2-гидроксиэтиламино]нонил}пиперидин-4-илового эфира бифенил-2-илкарбаминовой кислоты Палладий (10 мас.% (по сухому веществу) на активированном угле) (124 мг) добавляли к перемешиваемому раствору продукта получения 18 (311 мг, 0,44 ммоль) в этаноле (4 мл) и реакционную смесь помещали в атмосферу водорода. После перемешивания в течение 12 ч реакционную смесь фильтровали через рыхлый слой целита, промывали метанолом (2 мл) и удаляли при пониженном давлении растворитель. Полученный остаток очищали препаративной ВЭЖХ с получением указанного в заголовке соединения (41 мг). ВЭЖХ (10-70) Rt=3,0; МС m/z: [M+H+] вычислено для C36H48N4O5 617,39; найдено 617,5. Пример 5 Дитрифторацетат 1-{9-[(R)-2-гидрокси-2-(8-гидрокси-2-oxo-1,2,3,4-тетрагидрохинолин-5-ил)этиламино]нонил}пиперидин-4-илового эфира бифенил-2-илкарбаминовой кислоты Палладий (10 мас.% (по сухому веществу) на активированном угле) (80 мг) добавляли к перемешиваемому раствору продукта примера 3 (80 мг, 0,11 ммоль) в этаноле (1,1 мл) и реакционную смесь помещали в атмосферу водорода. Реакционную смесь перемешивали в течение 12 ч и затем фильтровали через рыхлый слой целита, промывали метанолом (2 мл) и удаляли при пониженном давлении растворитель. Неочищенное вещество снова подвергали описанным выше процедурам для обеспечения протекания полной реакции. Полученный остаток очищали препаративной ВЭЖХ с получением указанного в заголовке соединения (6 мг). ВЭЖХ (10-70) Rt=3,23; МС m/z: [M+H+] вычислено для C38H50N4O5 643,39; найдено 643,7. Получение 19 Метиловый эфир 3-[4-(бифенил-2-илкарбамоилокси)пиперидин-1-ил]пропионовой кислоты Метил-3-бромпропионат (553 мкл, 5,07 ммоль) добавляли к перемешиваемому раствору продукта получения 8 (1,00 г, 3,38 ммоль) и DIPEA (1,76 мл, 10,1 ммоль) в ацетонитриле (34 мл) при 50°С и реакционную смесь нагревали при 50°С в течение ночи. Затем удаляли при пониженном давлении растворитель и остаток растворяли в дихлорметане (30 мл). Полученный раствор промывали насыщенным водным раствором бикарбоната натрия (10 мл), сушили (сульфат магния) и удаляли при пониженном давлении растворитель. Неочищенный остаток очищали колоночной хроматографией (5-10% МеОН/ДХМ) с получением указанного в заголовке соединения (905 мг, 70%). Получение 20 3-[4-(Бифенил-2-илкарбамоилокси)пиперидин-1-ил]пропионовая кислота Перемешиваемый раствор продукта получения 19 (902 мг, 2,37 ммоль) и гидроксида лития (171 мг, 7,11 ммоль) в смеси 50% ТГФ/Н2O (24 мл) нагревали при 30°С в течение ночи, затем подкисляли концентрированной хлористоводородной кислотой и лиофилизовали с получением указанного в заголовке соединения (выход 100%, содержит также соли LiCl). Получение 21 трет-Бутиловый эфир {5-[(R)-2-(8-бензилокси-2-оксо-1,2-дигидрохинолин-5-ил)-2-(трет-бутилдиметилсиланилокси)этиламино]пентил}карбаминовой кислоты Продукт получения 13 (600 мг, 1,23 ммоль) и N-трет-бутоксикарбонил-1,5-диаминопентан (622 мг, 3,07 ммоль) растворяли в диметилсульфоксиде (1,23 мл) и нагревали до 105°С в течение 6 ч. Затем реакционную смесь охлаждали, разбавляли этилацетатом (10 мл) и промывали насыщенным водным раствором бикарбоната натрия (4 мл). Органическую фазу сушили (сульфат магния) и удаляли при пониженном давлении растворитель. Неочищенный остаток очищали колоночной хроматографией (5-10% метанол/дихлорметан) с получением указанного в заголовке соединения (выход100%). Получение 22 5-[(R)-2-(5-Аминопентиламино)-1-(трет-бутилдиметилсиланилокси)этил]-8-бензилокси-1Н-хинолин-2-он Раствор продукта получения 21 (800 мг, 1,31 ммоль) в смеси трифторуксусная кислота/дихлорметан перемешивали при температуре окружающей среды в течение 1 ч. Затем удаляли при пониженном давлении растворитель, неочищенный остаток растворяли в дихлорметане (15 мл) и промывали 1 н. гидроксидом натрия (8 мл). Органическую фазу отделяли, сушили (сульфат магния) и удаляли при пониженном давлении растворитель с получением указанного в заголовке соединения (509 мг, выход 81% за 2 стадии). Получение 23 1-(2-{5-[(R)-2-(8-Бензилокси-2-оксо-1,2-дигидрохинолин-5-ил)-2-(трет-бутилдиметилсиланилокси)этиламино]пентилкарбамоил}этил)пиперидин-4-иловый эфир бифенил-2-илкарбаминовой кислоты К продукту получения 20 (417 мг, 1,13 ммоль) и HATU (430 мг, 1,13 ммоль) добавляли продукт получения 22 (458 мг, 0,90 ммоль) в ДМФА (1,8 мл) с последующим добавлением DIPEA (204 мкл, 1,17 ммоль). Реакционную смесь перемешивали при 50°С в течение 12 ч и затем удаляли при пониженном давлении растворитель. Неочищенный остаток растворяли в дихлорметане (4 мл), сушили (сульфат магния) и удаляли при пониженном давлении растворитель. Неочищенный остаток очищали колоночной хроматографией (5-10% метанол/дихлорметан и 0,5% NH4ОН) с получением указанного в заголовке соединения (240 мг, выход 31%). Получение 24 1-(2-{5-[(R)-2-(8-Бензилокси-2-оксо-1,2-дигидрохинолин-5-ил)-2-гидроксиэтиламино]пентилкарбамоил}этил)пиперидин-4-иловый эфир бифенил-2-илкарбаминовой кислоты К перемешиваемому раствору продукта получения 23 (240 мг, 0,28 ммоль) в дихлорметане (2,8 мл) добавляли тригидрофторид триэтиламина (91 мкл, 0,56 ммоль). Реакционную смесь перемешивали 10 ч и затем разбавляли дихлорметаном (10 мл). Полученный раствор промывали насыщенным водным раствором бикарбоната натрия (5 мл), затем органическую фазу сушили (сульфат магния) и удаляли при пониженном давлении растворитель с получением указанного в заголовке соединения (209 мг, выход 100%). Пример 6 Дитрифторацетат 1-(2-{5-[(R)-2-гидрокси-2-(8-гидрокси-2-oxo-1,2-дигидрохинолин-5-ил)этиламино]пентилкарбамоил}этил)пиперидин-4-илового эфира бифенил-2-илкарбаминовой кислоты К перемешиваемому раствору продукта получения 24 (209 мг, 0,28 ммоль) в этаноле (2,8 мл) добавляли палладий (10 мас.% (по сухому веществу) на активированном угле) (81 мг), реакционную смесь помещали в атмосферу водорода и перемешивали в течение ночи. Затем реакционную смесь фильтровали и удаляли при пониженном давлении растворитель. Неочищенный остаток очищали препаративной ВЭЖХ (5-30 за 60 мин) с получением указанного в заголовке соединения (58 мг). ВЭЖХ (10-70) Rt=2,30; МС m/z: [M+H+] вычислено для C37H45N5O6 656,34; найдено 656,6; [ Пример 6А 1-(2-{5-[(R)-2-Гидрокси-2-(8-гидрокси-2-oxo-1,2-дигидрохинолин-5-ил)этиламино]пентилкарбамоил}этил)пиперидин-4-иловый эфир бифенил-2-илкарбаминовой кислоты Альтернативно, указанное в заголовке соединение может быть получено следующим образом: (а) 5-Хлорпентаналь В 2 л трехгорлую круглодонную колбу, снабженную магнитной мешалкой, капельной воронкой и регулятором температуры, добавляли в атмосфере азота 5-хлорпентанол (53 г, 0,433 моль) и дихлорметан (300 мл). Полученную смесь охлаждали до 5°С и добавляли раствор бикарбоната натрия (5 г, 0,059 моль) и бромида калия (5,1 г, 0,043 моль) в воде (225 мл). Добавляли свободный радикал 2,2,6,6-тетраметил-1-пиперидинилокси (ТЕМРО) (63 мг, 0,4 ммоль) и затем добавляли по каплям 10-13% отбеливающий раствор (275 мл) через капельную воронку со скоростью, обеспечивающей поддержание температуры на уровне примерно 8°С (±2°С) с помощью охлаждающей бани со льдом (примерно за 45 мин). По окончании добавления отбеливающего раствора смесь перемешивали 30 мин, поддерживая температуру на уровне около 5°С. Добавляли раствор бисульфита натрия (4 г) в воде (30 мл) и полученную смесь перемешивали при комнатной температуре в течение 30 мин. Затем разделяли слои смеси и водный слой экстрагировали дихлорметаном (1×50 мл). Объединенные дихлорметановые слои затем промывали водой (1×50 мл), сушили (MgSO4), фильтровали и концентрировали при пониженном давлении с получением указанного в заголовке соединения (53 г). Продукт перегоняли при 65°С/8 мм рт. ст. с получением указанного в заголовке соединения (31,16 г) в виде оранжевого масла (чистота согласно ГХ составляла 70-80%). Продукт затем очищали добавлением неочищенного материала (4 г) к смеси этанола (920 мл), этилацетата (12 мл) и воды (4 мл). Добавляли бисульфит натрия (4 г), смесь кипятили с обратным холодильником в течение 4 ч, затем охлаждали до комнатной температуры и перемешивали 14 ч при комнатной температуре с образованием очень густой взвеси. Твердые вещества отфильтровывали на спеченном фильтре грубой очистки, промывали смешанным растворителем (5 мл) и сушили на фильтре с получением 8,4 г аддукта бисульфита. Полученное вещество добавляли к MTBE (20 мл) и затем добавляли 1 н. гидроксид натрия (45 мл) при энергичном перемешивании. Полученную двухфазную смесь энергично перемешивали до полного растворения всех твердых веществ (около 15 мин) и затем разделяли слои. Водный слой экстрагировали МТВЕ (20 мл) и объединенные МТВЕ слои сушили (MgSO4), фильтровали и концентрировали с получением 3,46 г указанного в заголовке соединения в виде бесцветной жидкости (чистота>90% согласно ГХ). (b) 5-[(R)-2-[Бензил-(5-хлорпентил)амино]-1-(трет-бутилдиметилсиланилокси)этил]-8-бензилокси-1Н-хинолин-2-он В 1 л трехгорлую круглодонную колбу вводили продукт получения 28 (48,4 г, 94 ммоль), дихлорметан (400 мл) и ледяную уксусную кислоту (11,3 мл). Полученную смесь перемешивали при 0°С (баня со льдом) и добавляли продукт со стадии (а) (12,5 г, 103,6 ммоль), продолжая перемешивание в течение 15 мин. Затем добавляли порциями в течение 15 мин триацетоксиборогидрид (59,8 г, 282 ммоль) и полученную смесь перемешивали при 0°С-10°С в течение 2 ч. Затем медленно (газовыделение) добавляли насыщенный водный раствор бикарбоната натрия (200 мл) и продолжали перемешивание в течение 15 мин. Добавлением твердого карбоната натрия доводили рН раствора до примерно 9 и разделяли слои. Органический слой промывали 5% водным раствором хлорида натрия (200 мл), сушили (MgSO4), фильтровали и концентрировали при пониженном давлении с получением указанного в заголовке соединения (53 г). (с) 5-[(R)-2-[(5-N,N-Диформиламинопентил)бензиламино]-1-(трет-бутилдиметилсиланилокси)этил]-8-бензилокси-1Н-хинолин-2-он К перемешиваемому раствору продукта стадии (b) (26,5 г, 42,8 ммоль) в 1-метил-2-пирролидинона (175 мл) добавляли диформиламид натрия (6,1 г, 64,2 ммоль) и иодид натрия (2,13 г, 14,3 ммоль). Реакционную колбу продували азотом и затем смесь нагревали при 65°С в течение 8 ч. Далее смесь охлаждали до комнатной температуры и добавляли воду (300 мл) и этилацетат (100 мл). Полученную смесь перемешивали 10 мин и затем разделяли слои. Водный слой экстрагировали этилацетатом (150 мл) и объединенные органические слои промывали водой (300 мл), 50% водным раствором соли (300 мл), водой (300 мл) сушили (MgSO4), фильтровали и концентрировали с получением указанного в заголовке соединения (23,3 г). (d) 5-[(R)-2-[(5-Аминопентил)бензиламино]-1-(трет-бутилдиметилсиланилокси)этил]-8-бензилокси-1Н-хинолин-2-он К перемешиваемому раствору продукта со стадии (с) (10,5 г, 16 ммоль) в метаноле (75 мл) добавляли п-толуолсульфоновую кислоту (7,42 г, 39 ммоль). Полученную смесь нагревали при 40°С в течение 15 ч и затем концентрировали при пониженном давлении до примерно половины ее объема. Добавляли метанол (70 мл) и смесь нагревали при 50°С в течение 2 ч и затем концентрировали при пониженном давлении. Добавляли воду (100 мл), метанол (50 мл) и МТВЕ (100 мл), полученную смесь перемешивали в течение 15 мин и затем разделяли слои. К водному слою добавляли 1н. водный раствор гидроксида натрия (45 мл) и МТВЕ (100 мл) и полученную смесь перемешивали в течение 15 мин. Затем разделяли слои и водный слой экстрагировали MTBE (100 мл). Объединенные МТВЕ слои сушили (MgSO4), фильтровали и концентрировали с получением указанного в заголовке соединения в виде желтого масла (7,3 г). Полученное вещество содержало около 13% (согласно ВЭЖХ) соответствующего дез-трет-бутилдиметилсилильного соединения. (e) 3-[4-(Бифенил-2-илкарбамоилокси)пиперидин-1-ил]пропионовая кислота К раствору продукта получения 8 (50 г, 67,6 ммоль) в дихлорметане (500 мл) добавляли акриловую кислоту (15,05 мл, 100 ммоль). Полученную смесь нагревали при 50°С с обратным холодильником в течение 18 ч и затем удаляли растворитель. Добавляли метанол (600 мл) и полученную смесь нагревали при 75°С в течение 2 ч и затем охлаждали до комнатной температуры с образованием густой взвеси. Твердое вещество собирали фильтрованием, промывали метанолом (50 мл) и подвергали воздушной сушке с получением указанного в заголовке соединения (61 г, чистота >96%) в виде белого порошка. (f) 1-[2-(5-{Бензил-[(R)-2-(8-бензилокси-2-oxo-1,2-дигидрохинолин-5-ил)-2-(трет-бутилдиметилсиланилокси)этил]амино}пентилкарбамоил)этил]пиперидин-4-иловый эфир бифенил-2-илкарбаминовой кислоты Смесь продукта стадии (е) (3,68 г, 10 ммоль) и N,N-диметилформамида (50 мл) нагревали при 60°С до полного растворения твердого вещества и затем охлаждали до комнатной температуры. Добавляли продукт стадии (d) (6 г, 10 ммоль) и диизопропилэтиламин (3,5 мл) и реакционную смесь охлаждали до 0°С. Добавляли одной порцией PyBOP (6,25 г, 12 ммоль) и реакционную смесь перемешивали при температуре от 0°С до комнатной температуры в течение 2 ч. Затем реакционную смесь вливали в холодную воду (500 мл) при перемешивании и рН полученной смеси доводили до примерно 2, используя 1М хлористоводородную кислоту. Полученную смесь перемешивали 15 мин и затем фильтровали, чтобы собрать твердое вещество, которое промывали водой (100 мл) и сушили с получением указанного в заголовке соединения (8,7 г, чистота согласно ВЭЖХ >95%) в виде не совсем белого твердого вещества. (g) 1-(2-{5-[(R)-2-Гидрокси-2-(8-гидрокси-2-oxo-1,2-дигидрохинолин-5-ил)этиламино]пентилкарбамоил}этил)пиперидин-4-иловый эфир бифенил-2-илкарбаминовой кислоты У продукта стадии (f) может быть удалена защита с использованием по существу таких же методик, как описано в получении 24 и примере 6, с получением указанного в заголовке соединения. Получение 25 2-(N-Бензилоксикарбонил-N-метиламино)этаналь (а) 2-(N-Бензилоксикарбонил-N-метиламино)этанол Бензилхлорформиат (19 г, 111,1 ммоль) в ТГФ (20 мл) добавляли по каплям в течение 15 мин к перемешиваемому раствору 2-(метиламино)этанола (10 г, 133,3 ммоль) в ТГФ (100 мл) и водном карбонате натрия (100 мл) при 0°С. Реакционную смесь перемешивали при 0°С в течение 12 ч и затем экстрагировали EtOAc (2×200 мл). Органический слой промывали водным карбонатом натрия (200 мл), сушили (карбонат калия) и удаляли при пониженном давлении растворитель с получением указанного в заголовке соединения (2,25 г, выход 97%). (b) 2-(N-Бензилоксикарбонил-N-метиламино)этаналь ДМСО (71 мл, 1 моль) и DIPEA (87,1 мл, 0,5 моль) добавляли к перемешиваемому раствору продукта стадии (а) (20,9 г, 0,1 моль) в дихлорметане (200 мл) при -10°С. Реакционную смесь перемешивали при -10°С в течение 15 мин, затем добавляли комплекс триоксида серы и пиридина (79,6 г, 0,5 моль) и полученную смесь перемешивали в течение 1 ч. Реакционную смесь гасили добавлением 1М хлористоводородной кислоты (200 мл). Органический слой отделяли и промывали насыщенным водным раствором бикарбоната натрия (100 мл), насыщенным раствором соли (100 мл), сушили (карбонат калия) и удаляли при пониженном давлении растворитель с получением указанного в заголовке соединения (20,7 г, выход 100%). Получение 26 1-[2-(Метиламино)этил]пиперидин-4-иловый эфир бифенил-2-илкарбаминовой кислоты К перемешиваемому раствору продукта получения 25 (20,7 г, 100 ммоль) и продукта получения 8 (25 г, 84,7 ммоль) в МеОН (200 мл) добавляли триацетоксиборогидрид натрия (21,2 г, 100 ммоль). Реакционную смесь перемешивали 12 ч при температуре окружающей среды, затем гасили 2М хлористоводородной кислотой и удаляли при пониженном давлении растворитель. Остаток растворяли в этилацетате (200 мл), промывали насыщенным водным раствором бикарбоната натрия (100 мл) и насыщенным раствором соли (50 мл), затем сушили (сульфат магния) и удаляли при пониженном давлении растворитель. Неочищенный остаток очищали колоночной хроматографией (50-90% EtOAc/гексаны) с получением 1-[2-(бензилоксикарбонилметиламино)этил]пиперидин-4-илового эфира бифенил-2-илкарбаминовой кислоты в виде масла. Масло растворяли в метаноле (100 мл) и добавляли палладий (10 мас.% (по сухому веществу) на активированном угле) (5 г). Реакционную смесь перемешивали в атмосфере водорода (30 фунтов на кв. дюйм; 2,1 кг/см2) и затем фильтровали через Целит, который промывали метанолом, и выпаривали растворитель с получением указанного в заголовке соединения (13,2 г, выход 44%). Получение 27 1-{2-[(6-Бромгексаноил)метиламино]этил}пиперидин-4-иловый эфир бифенил-2-илкарбаминовой кислоты 6-Бромгексаноилхлорид (3,23 мл, 21,1 ммоль) добавляли к перемешиваемому раствору продукта получения 26 (6,2 г, 17,6 ммоль) и DIPEA (6,13 мл, 35,2 ммоль) в дихлорэтане (170 мл). Реакционную смесь перемешивали 1 ч, затем разбавляли EtOAc (250 мл), промывали насыщенным водным раствором бикарбоната натрия (2×200 мл) и насыщенным раствором соли (200 мл) и затем сушили (сульфат магния). Удаляли при пониженном давлении растворитель с получением указанного в заголовке соединения (6,6 г, выход 73%). Получение 28 8-Бензилокси-5-[(R)-2-(N-бензиламино)-1-(трет-бутилдиметилсиланилокси)этил]-1Н-хинолин-2-он Перемешиваемый раствор продукта получения 13 (1,00 г, 2,05 ммоль) и бензиламина (493 мкл, 4,51 ммоль) в ДМСО (1,7 мл) нагревали при 105°С в течение 4 ч. Реакционной смеси давали остыть, затем разбавляли ее EtOAc (10 мл) и органический слой промывали насыщенным водным раствором хлорида аммония (5 мл) и 1 н. раствором гидроксида натрия (5 мл), сушили (MgSO4) и удаляли при пониженном давлении растворитель. Неочищенный остаток очищали колоночной хроматографией (50% EtOAc/гексаны) с получением указанного в заголовке соединения (700 мг, 67%). МС m/z: [M+H+] вычислено для C31H38N2O3Si 515,27; найдено 515,5. Получение 29 1-{2-[(6-{Бензил-[(R)-2-(8-бензилокси-2-оксо-1,2-дигидрохинолин-5-ил)-2-(трет-бутилдиметилсиланилокси)этил]амино}гексаноил)метиламино]этил} пиперидин-4-иловый эфир бифенил-2-илкарбаминовой кислоты К перемешиваемому раствору продукта получения 28 (807 мг, 1,57 ммоль) и DIPEA (819 мкл, 4,7 ммоль) в ацетонитриле (3,14 мл) добавляли продукт получения 27 (995 мг, 1,88 ммоль). Реакционную смесь нагревали до 80°С в течение 24 ч. Удаляли при пониженном давлении растворитель, остаток растворяли в EtOAc (10 мл) и затем промывали насыщенным водным раствором бикарбоната натрия (5 мл), сушили (сульфат магния) и удаляли при пониженном давлении растворитель. Неочищенное вещество очищали колоночной хроматографией (4-6% МеОН/ДХМ) с получением указанного в заголовке соединения (452 мг, выход 30%). Получение 30 1-{2-[(6-{Бензил[(R)-2-(8-бензилокси-2-оксо-1,2-дигидрохинолин-5-ил)-2-гидроксиэтил]амино}гексаноил)метиламино]этил}пиперидин-4-иловый эфир бифенил-2-илкарбаминовой кислоты К перемешиваемому раствору продукта получения 29 (452 мг, 0,47 ммоль) в дихлорметане (4,7 мл) добавляли тригидрофторид триэтиламина (116 мкл, 0,71 ммоль). Реакционную смесь перемешивали в течение 10 ч и затем разбавляли дихлорметаном (10 мл) и промывали насыщенным водным раствором бикарбоната натрия (5 мл). Затем сушили (MgSO4) органическую фазу и удаляли при пониженном давлении растворитель с получением указанного в заголовке соединения (выход 100%). Пример 7 Дитрифторацетат 1-[2-({6-[(R)-2-гидрокси-2-(8-гидрокси-2-оксо-1,2-дигидрохинолин-5-ил)этиламино]гексаноил}метиламино)этил]пиперидин-4-илового эфира бифенил-2-илкарбаминовой кислоты К перемешиваемому раствору продукта получения 30 (400 мг, 0,47 ммоль) в этаноле (4,7 мл) добавляли палладий (10 мас.% (по сухому веществу) на активированном угле) (160 мг), реакционную смесь помещали в атмосферу водорода и перемешивали в течение ночи. Затем реакционную смесь фильтровали и удаляли при пониженном давлении растворитель. Неочищенный остаток очищали препаративной ВЭЖХ с получением указанного в заголовке соединения (73 мг). ВЭЖХ (10-70) Rt=2,33; МС m/z: [M+H+] вычислено для C38H47N5O6 670,36; найдено 670. [ Получение 31 1-[2-(4-Аминометил)фенилкарбамоил)этил]пиперидин-4-иловый эфир бифенил-2-илкарбаминовой кислоты К перемешиваемому раствору 4-(N-трет-бутоксикарбониламинометил)анилина (756 мг, 3,4 ммоль), продукта получения 20 (1,5 г, 4,08 ммоль) и HATU (1,55 г, 4,08 ммоль) в ДМФА (6,8 мл) добавляли DIPEA (770 мкл, 4,42 ммоль). Реакционную смесь перемешивали при 50°С в течение ночи и затем удаляли при пониженном давлении растворитель. Полученный остаток растворяли в дихлорметане (20 мл) и промывали насыщенным водным раствором бикарбоната натрия (10 мл). Затем органическую фазу сушили (сульфат магния) и удаляли при пониженном давлении растворитель. Неочищенный продукт очищали флэш-хроматографией (5-10% МеОН/ДХМ) с получением твердого вещества, которое растворяли в TFA/ДХМ (25%, 30 мл) и перемешивали при комнатной температуре в течение 2 ч. Затем удаляли при пониженном давлении растворитель и неочищенный остаток растворяли в дихлорметане (30 мл) и промывали 1 н. гидроксидом натрия (15 мл). Органическую фазу отделяли, сушили (сульфат магния) и удаляли при пониженном давлении растворитель с получением указанного в заголовке соединения (1,5 г, 94% за две стадии). Получение 32 1-[2-(4-{[(R)-2-(8-Бензилокси-2-оксо-1,2-дигидрохинолин-5-ил)-2-(трет-бутилдиметилсиланилокси)этиламино]метил}фенилкарбамоил)этил] пиперидин-4-иловый эфир бифенил-2-илкарбаминовой кислоты Раствор продукта получения 31 (489 мг, 1,04 ммоль), продукта получения 13 (610 мг, 1,25 ммоль), бикарбоната натрия (262 мг, 3,12 ммоль) и иодида натрия (203 мг, 1,35 ммоль) в ТГФ (0,52 мл) нагревали при 80°С в течение 12 ч. Реакционную смесь разбавляли дихлорметаном (10 мл) и промывали насыщенным водным раствором бикарбоната натрия (5 мл). Органическую фазу сушили (MgSO4) и удаляли при пониженном давлении растворитель. Неочищенный остаток очищали флэш-хроматографией (10% МеОН/ДХМ) с получением указанного в заголовке соединения в виде твердого вещества (687 мг, выход 77%). Получение 33 1-[2-(4-{[(R)-2-(8-Бензилокси-2-оксо-1,2-дигидрохинолин-5-ил)-2-гидроксиэтиламино]метил}фенилкарбамоил)этил]пиперидин-4-иловый эфир бифенил-2-илкарбаминовой кислоты К перемешиваемому раствору продукта получения 32 (687 мг, 0,8 ммоль) в дихлорметане (8 мл) добавляли тригидрофторид триэтиламина (261 мкл, 1,6 ммоль). Реакционную смесь перемешивали в течение 10 ч, затем разбавляли дихлорметаном (20 мл) и промывали насыщенным водным раствором бикарбоната натрия (10 мл). Органическую фазу затем сушили (сульфат магния) и удаляли при пониженном давлении растворитель с получением указанного в заголовке соединения (500 мг, выход 81%). Пример 8 Дитрифторацетат 1-[2-(4-{[(R)-2-гидрокси-2-(8-гидрокси-2-оксо-1,2-дигидрохинолин-5-ил)этиламино]метил}фенилкарбамоил)этил]пиперидин-4-илового эфира бифенил-2-илкарбаминовой кислоты К перемешиваемому раствору продукта получения 33 (500 мг, 0,65 ммоль) в этаноле (6,5 мл) добавляли палладий (10 мас.% (по сухому веществу) на активированном угле) (200 мг), реакционную смесь помещали в атмосферу водорода и перемешивали в течение ночи. Затем реакционную смесь фильтровали и удаляли при пониженном давлении растворитель. Неочищенный остаток очищали препаративной ВЭЖХ с получением указанного в заголовке соединения (81 мг, 2 TFA соль). ВЭЖХ (10-70) Rt=2,41; МС m/z: [M+H+] вычислено для C39H41N5O6 676,32; найдено 676,5. Получение 34 1-(2-(трет-Бутоксикарбониламиноэтил)пиперидин-4-иловый эфир бифенил-2-илкарбаминовой кислоты К перемешиваемому раствору продукта получения 8 (2,00 г, 6,76 ммоль) и DIPEA (3,54 мл, 20,3 ммоль) в ацетонитриле (67,6 мл) при 50°С добавляли 2-трет-бутоксикарбониламиноэтилбромид (1,82 г, 8,11 ммоль) и реакционную смесь нагревали при 50°С в течение ночи. Удаляли при пониженном давлении растворитель, остаток растворяли в дихлорметане (60 мл) и промывали насыщенным водным раствором бикарбоната натрия (30 мл). Органическую фазу сушили (сульфат магния) и удаляли при пониженном давлении растворитель. Неочищенный остаток очищали колоночной хроматографией (5% МеОН/ДХМ) с получением указанного в заголовке соединения в виде твердого вещества (2,32 г, выход 78%). Получение 35 1-(2-(Аминоэтил)пиперидин-4-иловый эфир бифенил-2-илкарбаминовой кислоты Продукт получения 34 растворяли в смеси TFA/ДХМ (25%, 52 мл) и перемешивали при комнатной температуре в течение 2 ч. Затем удаляли при пониженном давлении растворитель, неочищенный остаток растворяли в дихлорметане (30 мл) и промывали 1 н. гидроксидом натрия (15 мл). Органическую фазу отделяли, сушили (сульфат магния) и удаляли при пониженном давлении растворитель с получением указанного в заголовке соединения (1,61 г, выход 90%). Получение 36 1-[2-(4-(Аминометилбензоиламино)этил]пиперидин-4-иловый эфир бифенил-2-илкарбаминовой кислоты К перемешиваемому раствору продукта получения 35 (339 мг, 1 ммоль), 4-(трет-бутоксикарбониламинометил)бензойной кислоты (301 мг, 1,2 ммоль) и HATU (456 мг, 1,2 ммоль) в ДМФА (2 мл) добавляли DIPEA (226 мкл, 1,3 ммоль). Реакционную смесь перемешивали при комнатной температуре в течение ночи и затем удаляли при пониженном давлении растворитель. Полученный остаток растворяли в дихлорметане (20 мл) и промывали насыщенным водным раствором бикарбоната натрия (10 мл). Затем органическую фазу сушили (сульфат магния) и удаляли при пониженном давлении растворитель. Неочищенный продукт растворяли в смеси TFA/ДХМ (25%, 10 мл) и полученную смесь перемешивали при комнатной температуре в течение 2 ч. Удаляли при пониженном давлении растворитель, неочищенный остаток растворяли в дихлорметане (15 мл) и промывали 1 н. гидроксидом натрия (5 мл). Органическую фазу отделяли, сушили (сульфат магния) и удаляли при пониженном давлении растворитель с получением указанного в заголовке соединения (472 мг, 100% за 2 стадии). Получение 37 1-[2-(4-{[(R)-2-(8-Бензилокси-2-оксо-1,2-дигидрохинолин-5-ил)-2-(трет-бутилдиметилсиланилокси)этиламино]метил}бензоиламино)этил] пиперидин-4-иловый эфир бифенил-2-илкарбаминовой кислоты Раствор продукта получения 36 (520 мг, 1,1 ммоль), продукта получения 13 (634 мг, 1,3 ммоль), бикарбоната натрия (277 мг, 3,3 ммоль) и иодида натрия (215 мг, 1,43 ммоль) в ТГФ (0,55 мл) нагревали при 80°С в течение 12 ч. Реакционную смесь разбавляли дихлорметаном (10 мл) и промывали насыщенным водным раствором бикарбоната натрия (5 мл). Органическую фазу затем сушили (сульфат магния) и удаляли при пониженном давлении растворитель. Неочищенный остаток очищали флэш-хроматографией (5-10% МеОН/ДХМ) с получением указанного в заголовке соединения в виде твердого вещества (316 мг, выход 33%). Получение 38 1-[2-(4-{[(R)-2-(8-Бензилокси-2-оксо-1,2-дигидрохинолин-5-ил)-2-гидроксиэтиламино]метил}бензоиламино)этил]пиперидин-4-иловый эфир бифенил-2-илкарбаминовой кислоты К перемешиваемому раствору продукта получения 37 (316 мг, 0,36 ммоль) в дихлорметане (3,6 мл) добавляли тригидрофторид триэтиламина (117 мкл, 0,72 ммоль). Реакционную смесь перемешивали в течение 10 ч, затем разбавляли дихлорметаном (10 мл) и промывали насыщенным водным раствором бикарбоната натрия (5 мл). Органическую фазу сушили (MgSO4) и удаляли при пониженном давлении растворитель с получением указанного в заголовке соединения, которое непосредственно использовали на следующей стадии (выход 100%). Пример 9 Дитрифторацетат 1-[2-(4-{[(R)-2-гидрокси-2-(8-гидрокси-2-оксо-1,2-дигидрохинолин-5-ил)этиламино]метил}бензоиламино)этил]пиперидин-4-илового эфира бифенил-2-илкарбаминовой кислоты К перемешиваемому раствору продукта получения 38 (275 мг, 0,36 ммоль) в этаноле (3,6 мл) добавляли палладий (10 мас.% (по сухому веществу) на активированном угле) (275 мг), реакционную смесь помещали в атмосферу водорода и перемешивали в течение ночи. Затем реакционную смесь фильтровали и удаляли при пониженном давлении растворитель. Неочищенный остаток очищали препаративной ВЭЖХ с получением указанного в заголовке соединения (6 мг, 2 TFA соль). ВЭЖХ (10-70) Rt=2,26; МС m/z: [M+H+] вычислено для C39H41N5O6 676,32; найдено 676,5. Получение 39 1-(2-Аминоэтил) пиперидин-4-иловый эфир бифенил-2-илкарбаминовой кислоты 2-трет-Бутоксикарбониламиноэтилбромид (1,22 г, 5,44 ммоль) добавляли к раствору продукта получения 8 (1,46 г, 4,95 ммоль) и диизопропилэтиламина (1,03 мл, 5,94 ммоль) в ацетонитриле (24 мл). Реакционную смесь перемешивали при 65°С в течение 12 часов, затем МС-анализ показал, что реакция закончилась. Реакционную смесь концентрировали досуха и затем добавляли дихлорметан (10 мл). К полученной смеси добавляли трифторуксусную кислоту и смесь перемешивали при комнатной температуре в течение 4 часов, после чего МС-анализ показал, что реакция закончилась. Затем смесь концентрировали до половины ее объема и к раствору добавляли 1 н. гидроксид натрия до доведения рН до 14. Органический слой промывали насыщенным раствором соли, затем сушили над сульфатом магния и фильтровали. Фильтрат концентрировали с получением 1,6 г указанного в заголовке соединения в виде твердого вещества. МС m/z: [M+H+] вычислено для C20H25N3O2 340,2; найдено 340. Получение 40 5-[(R)-2-(5-Аминопентиламино)-1-(трет-бутилдиметилсиланилокси)этил]-8-бензилокси-1Н-хинолин-2-он N-трет-бутоксикарбонил-1,5-диаминопентан (1,04 г, 5,12 ммоль) добавляли к раствору продукта получения 13 (1,00 г, 2,05 ммоль) в диметилсульфоксиде (2 мл). Раствор перемешивали при 75°С в течение 12 часов, после чего анализ ЖХ-МС показал, что реакция закончилась. Реакционную смесь затем концентрировали в вакууме досуха. К остатку добавляли дихлорметан (2 мл) и затем добавляли трифторуксусную кислоту (1 мл). Раствор перемешивали при комнатной температуре в течение примерно 3 часов, после чего МС-анализ показал, что реакция закончилась. Раствор концентрировали до половины его объема и добавляли 1 н. гидроксид натрия до доведения рН до 14. Органический слой собирали, промывали насыщенным раствором соли, сушили над сульфатом магния и затем концентрировали с получением 782 мг указанного в заголовке соединения в виде масла. МС m/z: [M+H+] вычислено для C29H43N3O3Si 510,8; найдено 510. Получение 41 1-[2-(3-{5-[(R)-2-(8-Бензилокси-2-оксо-1,2-дигидрохинолин-5-ил)-2-(трет-бутилдиметилсиланилокси)этиламино]пентил}уреидо)этил]пиперидин-4-иловый эфир бифенил-2-илкарбаминовой кислоты Карбонилдиимидазол (127 мг, 0,78 ммоль) добавляли к раствору продукта получения 39 (266 мг, 0,78 ммоль) в диметилформамиде (4 мл) и полученную смесь перемешивали при комнатной температуре в течение 3 часов. Через 3 часа добавляли к реакционной смеси продукт получения 40 (399 мг, 0,78 ммоль) и смесь перемешивали 12 часов при комнатной температуре, после чего анализ ЖХ-МС показал, что реакция закончилась. Реакционную смесь концентрировали в вакууме и остаток разбавляли этилацетатом (5 мл). Органический слой промывали два раза насыщенным водным раствором бикарбоната натрия (5 мл) и затем насыщенным раствором соли (5 мл). Органический слой сушили над сульфатом магния, фильтровали и затем концентрировали с получением 597 мг указанного в заголовке соединения в виде твердого вещества, которое использовали без дополнительной очистки. МС m/z: [M+H+] вычислено для C50H66N6O6Si 875,5; найдено 875. Получение 42 1-[2-(3-{5-[(R)-2-(8-Бензилокси-2-оксо-1,2-дигидрохинолин-5-ил)-2-гидроксиэтиламино]пентил}уреидо)этил]пиперидин-4-иловый эфир бифенил-2-илкарбаминовой кислоты Тригидрофторид триэтиламина (0,16 мл, 1,02 ммоль) добавляли к раствору продукта получения 41 (597 мг, 0,68 ммоль) в тетрагидрофуране (3,4 мл) и полученную смесь перемешивали при комнатной температуре в течение примерно 12 часов, после чего МС-анализ показал, что реакция закончилась. Реакционную смесь разбавляли этилацетатом (5 мл) и полученную смесь промывали 1 н. раствором гидроксида натрия (5 мл), насыщенным раствором соли, сушили над сульфатом магния и концентрировали с получением 417 мг указанного в заголовке соединения в виде твердого вещества. МС m/z: [M+H+] вычислено для C44H51N6O6 760,4; найдено 760. Пример 10 Дитрифторацетат 1-[2-(3-{5-[(R)-2-гидрокси-2-(8-гидрокси-2-оксо-1,2-дигидрохинолин-5-ил)этиламино]пентил}уреидо)этил]пиперидин-4-илового эфира бифенил-2-илкарбаминовой кислоты Раствор продукта получения 42 (417 мг, 0,55 ммоль) в этаноле (3 мл) продували азотом примерно 10 минут. Добавляли палладий (10 мас.% (по сухому веществу) на активированном угле) (200 мг) и раствор снова продували азотом в течение примерно 10 минут. Колбу очищали под вакуумом, затем заполняли азотом три раза и затем колбу подсоединяли к заполненному водородом баллону. Реакционную смесь перемешивали в атмосфере водорода в течение 12 часов, после чего МС-анализ показал, что реакция закончилась. Затем реакционную смесь фильтровали и органический фильтрат концентрировали и очищали ВЭЖХ (10-35% за 60 минут) с получением 146 мг указанного в заголовке соединения в виде порошка. МС m/z: [M+H+] вычислено для C37H46N6O6 671,4; найдено 670. ВЭЖХ (10-70) Rt=2,6 минуты. Пример 11 Дитрифторацетат 1-[3-(3-{5-[(R)-2-гидрокси-2-(8-гидрокси-2-оксо-1,2-дигидрохинолин-5-ил)этиламино]пентил}уреидо)пропил]пиперидин-4-илового эфира бифенил-2-илкарбаминовой кислоты Указанное в заголовке соединение получали по методике, описанной выше в получениях 39-42 и примере 10, с заменой 2-трет-бутоксикарбониламиноэтилбромида, использованного в получении 39, 3-трет-бутоксикарбониламинопроп-1-илбромидом. МС m/z: [M+H+] вычислено для C38H48N6O6 685,4; найдено 684. ВЭЖХ (10-70) Rt=2,6 минуты. Получение 43 6-(2-Бром-(R)-1-трет-бутилдиметилсилилокси)этил-2,2-диметил-1,3-бензодиоксан (а) 6-Бром-2,2-диметил-4Н-бензо[1,3]диоксин К 5-бром-2-гидроксибензиловому спирту (93 г, 0,46 моль, доступный от фирмы Sigma-Aldrich) в 2,0 л 2,2-диметоксипропана добавляли 700 мл ацетона и затем хлорид цинка (170 г). После перемешивания в течение 18 часов, добавляли 1,0М водный раствор гидроксида натрия до тех пор, пока водная фаза не становилась оснóвной. К полученной взвеси добавляли диэтиловый эфир (1,5 л) и органическую фазу декантировали в делительную воронку. Органическую фазу промывали насыщенным раствором соли, сушили над Na2SO4, фильтровали и концентрировали при пониженном давлении с получением указанного в заголовке соединения в виде масла. (b) 6-Ацетил-2,2-диметил-4Н-бензо[1,3]диоксин К продукту стадии (а) (110 г, 0,46 моль) в 1,0 л ТГФ при -78°С добавляли 236 мл (0,51 моль) 2,14М н-бутиллития в гексанах через капельную воронку. Через 30 минут добавляли N-метил-N-метоксиацетамид (71 г, 0,69 моль, доступный от фирмы TCI). Через 2 часа реакционную смесь гасили водой, разбавляли 2,0 л 1,0М водного раствора фосфатного буфера (рН 7,0) и экстрагировали один раз диэтиловым эфиром. Диэтилэфирную фазу промывали один раз насыщенным раствором соли, сушили над Na2SO4, фильтровали и концентрировали при пониженном давлении с получением светло-оранжевого масла. Масло растворяли в минимальном объеме этилацетата, разбавляли гексанами и в результате получали указанное в заголовке соединение в виде кристаллического твердого вещества. (с) 6-Бромацетил-2,2-диметил-4Н-бензо[1,3]диоксин К продукту стадии (b) (23,4 г, 0,113 моль) в 600 мл ТГФ при -78°С добавляли 135 мл 1,0М раствора гексаметилдисилазана натрия в ТГФ (Sigma-Aldrich). Через 1 час добавляли триметилсилилхлорид (15,8 мл, 0,124 моль). Еще через 30 минут добавляли бром (5,82 мл, 0,113 моль). Спустя 10 минут реакцию гасили разбавлением реакционной смеси диэтиловым эфиром и вливали смесь в 500 мл 5% водного раствора Na2SO3, предварительно смешанного с 500 мл 5% водного раствора NaHCO3. Разделяли фазы и органическую фазу промывали насыщенным раствором соли, сушили над Na2SO4, фильтровали и концентрировали при пониженном давлении с получением указанного в заголовке соединения в виде масла, которое затвердевало при хранении в холодильнике. (d) (R)-2-Бром-1-(2,2-диметил-4Н-бензо[1,3]диоксин-6-ил)этанол К продукту стадии (с) (10 г, 35,1 ммоль) в 100 мл ТГФ добавляли твердый катализатор получения 13, стадия (с)(1) (0,97 г, 3,5 ммоль). Раствор охлаждали до температуры в пределах от -20°С до -10°С и добавляли по каплям через капельную воронку BH3-ТГФ (35 мл, 35 ммоль), разбавленный 50 мл ТГФ. По окончании добавления реакционной смеси давали нагреться до температуры окружающей среды. Через 30 минут реакционную смесь гасили медленным добавлением 50 мл метанола и затем концентрировали до густого масла. Масло очищали хроматографией на силикагеле с элюированием смесью (1:2) этилацетат/гексаны. Фракции объединяли и концентрировали с получением указанного в заголовке соединения в виде не совсем белого твердого вещества. (е) [(R)-2-Бром-1-(2,2-диметил-4Н-бензо[1,3]диоксин-6-ил)этокси-трет-бутилдиметилсилан К продукту стадии (d) (10 г, 34,8 ммоль) и имидазолу (4,7 г, 69,7 ммоль), растворенным в 100 мл ДМФА, добавляли трет-бутилдиметилсилилхлорид (5,78 г, 38,3 ммоль). Реакционную смесь перемешивали 18 часов. Затем реакционную смесь распределяли между 200 мл насыщенного хлорида натрия и 200 мл диэтилового эфира. Водный слой экстрагировали 200 мл диэтилового эфира. Затем органические слои объединяли, промывали насыщенным раствором хлорида натрия (3×100 мл), сушили над MgSO4 и концентрировали. Продукт очищали хроматографией на силикагеле, элюируя гексанами и затем 5% этилацетатом в гексанах. Требуемые фракции объединяли и концентрировали с получением указанного в заголовке соединения в виде масла. Получение 44 1-{9-[2-(трет-Бутилдиметилсиланилокси)-2-(2,2-диметил-4Н-бензо[1,3]диоксин-6-ил)этиламино]нонил}пиперидин-4-иловый эфир бифенил-2-илкарбаминовой кислоты Продукт получения 43 (802 мг, 2,00 ммоль) и иодид натрия (300 мг, 2,00 ммоль) перемешивали в тетрагидрофуране (0,77 мл) в течение 15 мин при температуре окружающей среды. Добавляли продукт получения 11 (675 мг, 1,54 ммоль) и бикарбонат натрия (388 мг, 4,62 ммоль) и реакционную смесь нагревали при 80°С в течение 24 ч. Затем реакционную смесь охлаждали и добавляли воду (2 мл). Смесь экстрагировали дихлорметаном (2×2 мл). Объединенные органические экстракты сушили (сульфат магния) и удаляли при пониженном давлении растворитель. Неочищенный остаток очищали флэш-хроматографией (5-10% метанол/дихлорметан) с получением указанного в заголовке соединения в виде твердого вещества (798 мг, 1,05 ммоль, выход 60%). МС m/z: [M+H+] вычислено для C45H67N3O5Si 758,5; найдено 758,6. Получение 45 1-{9-[2-(2,2-Диметил-4Н-бензо[1,3]диоксин-6-ил)-2-гидроксиэтиламино]нонил}пиперидин-4-иловый эфир бифенил-2-илкарбаминовой кислоты Тригидрофторид триэтиламина (342 мкл, 2,10 ммоль) добавляли к перемешиваемому раствору продукта получения 44 (798 мг, 1,05 ммоль) в дихлорметане (10,5 мл) при температуре окружающей среды. Реакционную смесь перемешивали 24 ч, затем разбавляли дихлорметаном (20 мл) и промывали насыщенным водным раствором бикарбоната натрия (15 мл). Органический слой сушили (сульфат магния) и удаляли при пониженном давлении растворитель. Неочищенное указанное в заголовке соединение выделяли в виде масла (659 мг, 1,02 ммоль), которое использовали на следующей стадии без дополнительной очистки. МС m/z: [M+H+] вычислено для C39H53N3O5 644,4; найдено 644,8. Пример 12 Дитрифторацетат 1-{9-[(R)-2-гидрокси-2-(4-гидрокси-3-гидроксиметилфенил)этиламино]нонил}пиперидин-4-илового эфира бифенил-2-илкарбаминовой кислоты Трифторуксусную кислоту (2,80 мл) добавляли к перемешиваемому раствору продукта получения 45 (600 мг, 0,93 ммоль) в смеси ТГФ/Н2O (14 мл, 1:1) и реакционную смесь перемешивали 2 ч при температуре окружающей среды. Реакционную смесь концентрировали при пониженном давлении и растворяли в 20% MeCN/Н2O, затем очищали препаративной ВЭЖХ с получением указанного в заголовке соединения (200 мг, 2TFA соль). ВЭЖХ (10-70) Rt=2,76; МС m/z: [M+H+] вычислено для C36H49N3O5 604,4; найдено 604,8. Получение 46 1-[1-(9-Бензиламинононил)пиперидин-4-ил]-3-бифенил-2-илмочевина N-Бензиламин (0,903 мл, 8,30 ммоль) добавляли к раствору продукта получения 4 (2,40 г, 5,52 ммоль) и полученную смесь перемешивали при температуре окружающей среды. Через 10 мин к реакционной смеси добавляли триацетоксиборогидрид натрия (1,75 г, 8,30 ммоль). По ходу реакции проводили ВЭЖХ-анализ. Через 2 ч при температуре окружающей среды реакционную смесь гасили водой (5 мл) и затем концентрировали в вакууме до половины ее объема. Реакционную смесь разбавляли дихлорметаном (15 мл) и промывали 1 н. раствором гидроксида натрия (2×10 мл) и затем насыщенным раствором соли (5 мл). Органический слой сушили над сульфатом магния и концентрировали с получением указанного в заголовке соединения. Получение 47 Метиловый эфир 2-бензилокси-5-(2-бромацетил)бензойной кислоты (а) Метиловый эфир 2-бензилокси-5-ацетилбензойной кислоты Метил-5-ацетилсалицилат (100 г, 0,515 моль) растворяли в ацетонитриле (1 л) в 2 л колбе в условиях кипячения с обратным холодильником в атмосфере азота. Добавляли порциями в течение 15 мин карбонат калия (213,5 г, 1,545 моль). Добавляли бензилбромид (67,4 мл, 0,566 моль), пользуясь капельной воронкой, в течение 15 мин. Реакционную смесь нагревали до 85°С в течение 9 ч, затем фильтровали и промывали ацетонитрилом (100 мл). Раствор концентрировали при пониженном давлении до объема примерно 300 мл и распределяли между водой (1 л) и этилацетатом (1 л). Органический слой промывали насыщенным раствором хлорида натрия (250 мл), сушили над сульфатом магния (75 г), затем фильтровали и промывали этилацетатом (100 мл). Органический слой концентрировали с получением метилового эфира 2-бензилокси-5-ацетилбензойной кислоты в виде твердого вещества (выход 100%). (b) Метиловый эфир 2-бензилокси-5-(2-бромацетил)бензойной кислоты Продукт стадии (а) (10,0 г, 35,2 ммоль) растворяли в хлороформе (250 мл) в 500-мл колбе в атмосфере азота. Добавляли через капельную воронку в течение 30 мин бром (1,63 мл, 31,7 ммоль), растворенный в хлороформе (50 мл). Реакционную смесь перемешивали 2,5 ч и затем концентрировали с получением твердого вещества. Твердое вещество растворяли в толуоле (150 мл) при небольшом нагреве, затем добавляли этиловый эфир (150 мл) с получением указанного в заголовке соединения в виде кристаллического твердого вещества (выход 55%). Получение 48 Метиловый эфир 5-[2-(Бензил{9-[4-(3-бифенил-2-илуреидо)пиперидин-1-ил]нонил}амино)ацетил]-2-бензилоксибензойной кислоты Продукт получения 47 (371 мг, 1,00 ммоль) добавляли к раствору продукта получения 46 (448 мг, 0,85 ммоль) в диметилсульфоксиде (4,5 мл) с последующим добавлением карбоната калия (234 мг, 1,7 ммоль). Реакционную смесь перемешивали при 40°С в течение 6 ч, после чего присутствие продукта получения 46 при ВЭЖХ-анализе больше не наблюдалось. Реакционную смесь охлаждали до температуры окружающей среды, фильтровали и затем разбавляли этанолом (4 мл). Добавляли к реакционной смеси борогидрид натрия (63 мг, 1,7 ммоль) и перемешивали реакционную смесь при температуре окружающей среды в течение 24 ч. Реакционную смесь гасили 0,5М хлоридом аммония (5 мл) и экстрагировали этилацетатом (2×10 мл). Объединенные органические слои промывали насыщенным раствором бикарбоната натрия (10 мл) и затем насыщенным раствором соли (5 мл). Органический слой сушили над сульфатом магния и удаляли при пониженном давлении растворитель. Неочищенный остаток очищали хроматографией на силикагеле (3% метанол в хлороформе) с получением указанного в заголовке соединения. Получение 49 1-[1-(9-{Бензил-[2-(4-бензилокси-3-гидроксиметилфенил)-2-гидроксиэтил]амино}нонил)пиперидин-4-ил]-3-бифенил-2-илмочевина Раствор продукта получения 48 (163 мг, 0,20 ммоль) в тетрагидрофуране (1,00 мл) охлаждали до 0°С. К смеси добавляли по каплям литийалюминийгидрид (1,0М в ТГФ; 0,50 мл, 0,50 ммоль). Через 1 ч реакционную смесь гасили водой (1 мл) и разбавляли этилацетатом (2 мл). Органический слой промывали насыщенным раствором соли, сушили над сульфатом магния, органические экстракты объединяли и концентрировали с получением указанного в заголовке соединения. Пример 13 Дигидрохлорид 1-бифенил-2-ил-3-(1-{9-[2-гидрокси-2-(4-гидрокси-3-гидроксиметилфенил)этиламино]нонил}пиперидин-4-ил)мочевины Раствор продукта получения 49 (130 мг, 0,16 ммоль) в изопропаноле (0,80 мл) продували азотом в течение десяти минут и затем добавляли палладий (10 мас.% (по сухому веществу) на активированном угле) (60 мг). Реакционную колбу продували азотом и затем к колбе присоединяли баллон, заполненный водородом, и реакционную смесь перемешивали в атмосфере водорода. Через 72 ч реакционную смесь фильтровали, концентрировали и остаток очищали препаративной ВЭЖХ. Полученную дитрифторуксусной кислоты соль указанного в заголовке соединения растворяли в 1 н. хлористоводородной кислоте (5 мл) и лиофилизовали с получением указанного в заголовке соединения в виде его дигидрохлоридной соли. Получение 50 5-[(R)-2-[(3-Аминометилциклогексилметил)амино]-1-(трет-бутилдиметилсиланилокси)этил]-8-бензилокси-1Н-хинолин-2-он Перемешиваемый раствор продукта получения 13 (1,46 г, 3 ммоль) и 1,3-циклогексанбис(метиламина) (426 мг, 3 ммоль) в ДМСО (3 мл) нагревали при 100°С в течение 6 ч. Реакционной смеси давали остыть, затем разбавляли дихлорметаном (20 мл) и промывали насыщенным водным раствором бикарбоната натрия (10 мл). Органический слой сушили (MgSO4) и удаляли при пониженном давлении растворитель. Неочищенный остаток очищали флэш-хроматографией (10% МеОН/ДХМ и 0,5% NH4ОН) с получением указанного в заголовке соединения в виде твердого вещества (775 мг, выход 50%). МС m/z: [M+H+] вычислено для C32H47N3O3Si 550,3; найдено 550,6. Получение 51 1-{2-[(3-{[(R)-2-(8-Бензилокси-2-оксо-1,2-дигидрохинолин-5-ил)-2-(трет-бутилдиметилсиланилокси)этиламино]метил}циклогексилметил) карбамоил]этил}пиперидин-4-иловый эфир бифенил-2-илкарбаминовой кислоты К перемешиваемому раствору продукта получения 50 (552 мг, 1,01 ммоль), продукта получения 20 (309 мг, 0,84 ммоль) и HATU (384 мг, 1,01 ммоль) в ДМФА (1,68 мл) добавляли DIPEA (190 мкл, 1,09 ммоль). Реакционную смесь перемешивали при 50°С в течение ночи и затем удаляли при пониженном давлении растворитель. Полученный остаток растворяли в дихлорметане (20 мл) и промывали насыщенным водным раствором бикарбоната натрия (10 мл). Органическую фазу сушили (сульфат магния) и удаляли при пониженном давлении растворитель. Неочищенный остаток очищали флэш-хроматографией (5-10% МеОН/ДХМ) с получением указанного в заголовке соединения в виде твердого вещества (267 мг, выход 36%). ЖХ-МС (10-70) Rt=5,04. МС m/z: [M+H+] вычислено для C53H69N5O6Si 900,5; найдено 900,6. Получение 52 1-{2-[(3-{[(R)-2-(8-Бензилокси-2-оксо-1,2-дигидрохинолин-5-ил)-2-гидроксиэтиламино]метил}циклогексилметил)карбамоил]этил}пиперидин-4-иловый эфир бифенил-2-илкарбаминовой кислоты К перемешиваемому раствору продукта получения 51 (267 мг, 0,30 ммоль) в дихлорметане (3 мл) добавляли тригидрофторид триэтиламина (98 мкл, 0,6 ммоль). Реакционную смесь перемешивали 10 ч, затем разбавляли дихлорметаном (10 мл) и промывали насыщенным водным раствором бикарбоната натрия (5 мл). Органическую фазу сушили (сульфат магния) и удаляли при пониженном давлении растворитель с получением указанного в заголовке соединения в виде твердого вещества (236 мг, выход 100%). МС m/z: [M+H+] вычислено для C47H55N5O6 786,4; найдено 786,5. Пример 14 1-{2-[(3-{[(R)-2-Гидрокси-2-(8-гидрокси-2-оксо-1,2-дигидрохинолин-5-ил)этиламино]метил}циклогексилметил)карбамоил]этил}пиперидин-4-иловый эфир бифенил-2-илкарбаминовой кислоты К перемешиваемому раствору продукта получения 52 (236 мг, 0,30 ммоль) в этаноле (3 мл) добавляли палладий (10 мас.% (по сухому веществу) на активированном угле) (120 мг). Реакционную смесь помещали в атмосферу водорода и перемешивали в течение ночи. Затем реакционную смесь фильтровали и удаляли при пониженном давлении растворитель. Неочищенный остаток очищали препаративной ВЭЖХ с получением указанного в заголовке соединения (27 мг, 2 TFA соль). ВЭЖХ (10-70) Rt=2,76. МС m/z: [M+H+] вычислено для C40H49N5O6 694,4; найдено 696,5. Получение 53 1-{2-[((1R,3S)-3-(Аминоциклопентанкарбонил)амино]этил}пиперидин-4-иловый эфир бифенил-2-илкарбаминовой кислоты К перемешиваемому раствору продукта получения 39 (318 мг, 0,94 ммоль), (1R,3S)-3-трет-бутоксикарбониламиноциклопентанкарбоновой кислоты (258 мг, 1,1 ммоль) и HATU (428 мг, 1,1 ммоль) в ДМФА (5 мл) добавляли DIPEA (245 мкл, 1,09 ммоль). Реакционную смесь перемешивали при комнатной температуре в течение ночи и затем удаляли при пониженном давлении растворитель. Полученный остаток растворяли в дихлорметане (20 мл) и промывали насыщенным водным раствором бикарбоната натрия (10 мл). Органический слой сушили (сульфат магния) и удаляли при пониженном давлении растворитель. Неочищенный остаток очищали флэш-хроматографией (5-10% МеОН/ДХМ), затем растворяли в смеси трифторуксусная кислота/ДХМ (1 мл/5 мл) и перемешивали при комнатной температуре в течение 1 ч. Удаляли при пониженном давлении растворитель. Остаток растворяли в дихлорметане (20 мл) и промывали 1М гидроксидом натрия (10 мл), сушили (сульфат магния) и удаляли при пониженном давлении растворитель с получением указанного в заголовке соединения (167 мг, выход 39%). Получение 54 1-[2-({(1R,3S)-3-[(R)-2-(8-Бензилокси-2-оксо-1,2-дигидрохинолин-5-ил)-2-(трет-бутилдиметилсиланилокси)этиламино]циклопентанкарбонил}амино) этил]пиперидин-4-иловый эфир бифенил-2-илкарбаминовой кислоты Раствор продукта получения 53 (167 мг, 0,38 ммоль) и продукта получения 13 (92 мг, 0,19 ммоль) в ДМСО (0,38 мл) нагревали при 90°С в течение 5 ч. Раствор охлаждали и разбавляли этилацетатом (10 мл) и затем промывали насыщенным водным раствором бикарбоната натрия (5 мл). Органическую фазу сушили (сульфат магния) и удаляли при пониженном давлении растворитель. Неочищенный остаток очищали флэш-хроматографией (5-10% МеОН/ДХМ) с получением указанного в заголовке соединения (343 мг, выход 100%). ЖХ-МС (10-70) Rt=4,97. МС m/z: [M+H+] вычислено для C50H63N5O6Si 858,5; найдено 858,8. Получение 55 1-[2-({(1R,3S)-3-[(R)-2-(8-Бензилокси-2-оксо-1,2-дигидрохинолин-5-ил)-2-гидроксиэтиламино]циклопентанкарбонил}амино)этил]пиперидин-4-иловый эфир бифенил-2-илкарбаминовой кислоты К перемешиваемому раствору продукта получения 54 (343 мг, 0,4 ммоль) в ТГФ (2 мл) добавляли тригидрофторид триэтиламина (130 мкл, 0,8 ммоль). Реакционную смесь перемешивали в течение 10 ч и затем разбавляли EtOAc (10 мл). Реакционную смесь промывали насыщенным водным раствором бикарбоната натрия (5 мл), затем органическую фазу сушили (сульфат магния) и удаляли при пониженном давлении растворитель с получением указанного в заголовке соединения в виде твердого вещества (298 мг, выход 100%). ВЭЖХ (10-70) Rt=2,8. МС m/z: [M+H+] вычислено для C44H49N5O6 744,4; найдено 744,4. Пример 15 Дитрифторацетат 1-[2-({(1R,3S)-3-[(R)-2-гидрокси-2-(8-гидрокси-2-оксо-1,2,3,4-тетрагидрохинолин-5-ил)этиламино]циклопентанкарбонил}амино)этил]пиперидин-4-илового эфира бифенил-2-илкарбаминовой кислоты К перемешиваемому раствору продукта получения 55 (236 мг, 0,40 ммоль) в этаноле (3 мл) добавляли палладий (10 мас.% (по сухому веществу) на активированном угле) (120 мг). Реакционную смесь помещали в атмосферу водорода и перемешивали в течение ночи. Реакционную смесь фильтровали и удаляли при пониженном давлении растворитель. Неочищенный остаток очищали препаративной ВЭЖХ с получением указанного в заголовке соединения (3 мг, 2 TFA соль). ВЭЖХ (5-75) Rt=2,18. МС m/z: [M+H+] вычислено для C37H45N5O6 656,3; найдено 656,2. Получение 56 4-(трет-Бутоксикарбониламинометил)-2-хлорфениламин Перемешиваемый раствор 4-аминометил-2-хлорфениламина (940 мг, 6 ммоль) и ди-трет-бутилдикарбоната (1,44 г, 6,6 ммоль) в дихлорметане (30 мл) перемешивали при комнатной температуре в течение 4 ч, после чего анализ методом ЖХ-МС показал, что реакция закончилась. Реакционную смесь затем промывали насыщенным водным раствором бикарбоната натрия (15 мл), органический слой сушили над сульфатом натрия и удаляли при пониженном давлении растворитель. Полученное оранжевое твердое вещество перекристаллизовывали из этилацетата с получением указанного в заголовке промежуточного соединения в виде белого твердого вещества (выход100%). Получение 57 N-[4-(трет-Бутоксикарбониламинометил)-2-хлорфенил]акриламид К перемешиваемому раствору продукта получения 56 (1,54 г, 6,0 ммоль) в смеси диэтилового эфира (35 мл) и 1М раствора гидроксида натрия добавляли по каплям акрилоилхлорид (687 мкл, 8,45 ммоль). Через 1 ч органический слой отделяли, сушили (Na2SO4) и удаляли при пониженном давлении растворитель с получением указанного в заголовке промежуточного соединения в виде белого твердого вещества (1,8 г, выход 96%). Получение 58 1-[2-(4-(трет-Бутоксикарбониламинометил)-2-хлорфенилкарбамоил)этил]пиперидин-4-иловый эфир бифенил-2-илкарбаминовой кислоты Раствор продукта получения 8 (1,04 г, 3,5 ммоль) и продукта получения 57 (1,19 г, 3,85 ммоль) в смеси дихлорметана и метанола (12 мл, 1:1) нагревали при 60°С в течение 12 ч. Реакционной смеси давали остыть и удаляли при пониженном давлении растворитель. Неочищенное вещество очищали колоночной хроматографией (5-10% МеОН/ДХМ) с получением указанного в заголовке промежуточного соединения в виде белого твердого вещества (2,00 г, выход 94%). Получение 59 1-[2-(4-Аминометил-2-хлорфенилкарбамоил)этил]пиперидин-4-иловый эфир бифенил-2-илкарбаминовой кислоты Раствор продукта получения 58 (2,00 г, 3,3 ммоль) перемешивали в дихлорметане (24 мл) и TFA (8 мл) в течение 1 ч и затем удаляли при пониженном давлении растворитель. Неочищенную реакционную смесь растворяли в дихлорметане (30 мл) и промывали 1М раствором гидроксида натрия (2×30 мл). Органический слой сушили (Na2SO4) и удаляли при пониженном давлении растворитель с получением указанного в заголовке промежуточного соединения в виде маслянистого белого твердого вещества (1,46 г, выход 88%). Получение 60 1-[2-(4-{[(R)-2-(8-Бензилокси-2-оксо-1,2-дигидрохинолин-5-ил)-2-(трет-бутилдиметилсиланилокси)этиламино]метил}-2-хлорфенилкарбамоил)этил]пиперидин-4-иловый эфир бифенил-2-илкарбаминовой кислоты Перемешиваемый раствор продукта получения 59 (1,41 г, 2,79 ммоль) и продукта получения 13 (680 мг, 1,39 ммоль) в ДМСО (1,39 мл) нагревали при 90°С в течение 8 ч и затем охлаждали до комнатной температуры. Реакционную смесь разбавляли смесью этилацетат/хлороформ (20 мл, 1/1) и органический слой промывали насыщенным водным раствором бикарбоната натрия (10 мл), сушили (Na2SO4) и удаляли при пониженном давлении растворитель. Полученный неочищенный остаток очищали колоночной хроматографией (5-10% МеОН/ДХМ) с получением указанного в заголовке промежуточного соединения в виде белого твердого вещества (1,12 г, выход 88%). МС m/z M+H+=914,9. Получение 61 1-[2-(4-{[(R)-2-(8-Бензилокси-2-оксо-1,2-дигидрохинолин-5-ил)-2-гидроксиэтиламино]метил}-2-хлорфенилкарбамоил)этил]пиперидин-4-иловый эфир бифенил-2-илкарбаминовой кислоты К перемешиваемому раствору продукта получения 60 (1,12 г, 1,23 ммоль) в дихлорметане (12 мл) добавляли Et3N·3HF (401 мкл, 0,6 ммоль). Реакционную смесь перемешивали в течение 10 ч и затем разбавляли дихлорметаном (10 мл). Полученную смесь промывали насыщенным водным раствором бикарбоната натрия (5 мл), органический слой сушили (Na2SO4) и удаляли при пониженном давлении растворитель с получением указанного в заголовке промежуточного соединения в виде белого твердого вещества (959 мг, выход 100%). МС m/z M+H+=800,5. Пример 16 Дитрифторацетат 1-[2-(2-хлор-4-{[(R)-2-гидрокси-2-(8-гидрокси-2-оксо-1,2-дигидрохинолин-5-ил)этиламино]метил}фенилкарбамоил)этил]пиперидин-4-илового эфира бифенил-2-илкарбаминовой кислоты К перемешиваемому раствору продукта получения 61 (959 мг, 1,2 ммоль) в этаноле (12 мл) добавляли Pd/C (290 мг), реакционную смесь помещали в атмосферу водорода и перемешивали в течение ночи. Затем реакционную смесь фильтровали и удаляли при пониженном давлении растворитель. Неочищенный остаток очищали препаративной ВЭЖХ с получением указанного в заголовке соединения (67 мг, 2 TFA соль). ВЭЖХ (10-70) Rt=2,76; МС m/z M+H+=710,6. Получение 62 (5-трет-Бутоксикарбониламинопентил)амид 2-хлорэтансульфоновой кислоты К перемешиваемому раствору 5-(трет-бутоксикарбониламино)пентиламина (1,00 г, 4,94 ммоль) и триэтиламина (689 мкл, 4,94 ммоль) в дихлорметане (22 мл) при 0°С добавляли 2-хлор-1-этансульфонилхлорид (470 мкл, 4,50 ммоль). Реакционную смесь перемешивали в течение 2 ч при комнатной температуре и затем промывали насыщенным водным раствором бикарбоната натрия (15 мл). Органический слой сушили (Na2SO4) и удаляли при пониженном давлении растворитель с получением указанного в заголовке соединения (выход 100%), которое использовали на следующей стадии без дополнительной очистки. Получение 63 1-[2-(5-(трет-Бутоксикарбониламинопентилсульфамоил)этил]пиперидин-4-иловый эфир бифенил-2-илкарбаминовой кислоты Раствор продукта получения 8 (1,33 г, 3,5 ммоль) и продукта получения 62 (1,62 г, 4,94 ммоль) в смеси дихлорметана и метанола (22 мл, 1:1) нагревали при 60°С в течение 5 ч. Реакционной смеси давали остыть до комнатной температуры и удаляли при пониженном давлении растворитель. Неочищенный остаток растворяли в дихлорметане (20 мл) и промывали насыщенным водным раствором бикарбоната натрия (10 мл). Затем органический слой сушили (Na2SO4) и удаляли при пониженном давлении растворитель. Неочищенный остаток очищали колоночной хроматографией (5-10% МеОН/ДХМ) с получением указанного в заголовке промежуточного соединения в виде белого твердого вещества (1,6 г, выход 55%). МС m/z M+H+=589,6. Получение 64 1-[2-(5-Аминопентилсульфамоил)этил]пиперидин-4-иловый эфир бифенил-2-илкарбаминовой кислоты Раствор продукта получения 63 (1,6 г, 2,72 ммоль) перемешивали в дихлорметане (21 мл) и TFA (7 мл) в течение 1 ч и затем удаляли при пониженном давлении растворитель. Неочищенную реакционную смесь растворяли в дихлорметане (30 мл) и промывали 1М раствором гидроксида натрия (2×30 мл). Органический слой сушили (Na2SO4) и удаляли при пониженном давлении растворитель с получением указанного в заголовке промежуточного соединения в виде маслянистого белого твердого вещества (1,19 г, выход 90%). Получение 65 1-(2-{5-[(R)-2-(8-Бензилокси-2-оксо-1,2-дигидрохинолин-5-ил)-2-(трет-бутилдиметилсиланилокси)этиламино]пентилсульфамоил}этил) пиперидин-4-иловый эфир бифенил-2-илкарбаминовой кислоты Перемешиваемый раствор продукта получения 64 (917 мг, 1,88 ммоль) и продукта получения 13 (460 мг, 0,94 ммоль) в ДМСО (0,92 мл) нагревали при 90°С в течение 8 ч и затем охлаждали до комнатной температуры. Реакционную смесь разбавляли смесью этилацетат/хлороформ (20 мл, 1/1) и органический слой промывали насыщенным водным раствором бикарбоната натрия (10 мл), сушили (Na2SO4) и удаляли при пониженном давлении растворитель. Полученный неочищенный остаток очищали колоночной хроматографией (3-6% МеОН/ДХМ) с получением указанного в заголовке промежуточного соединения в виде белого твердого вещества (500 мг, выход 60%). МС m/z M+H+=896,9. Получение 66 1-(2-{5-[(R)-2-(8-Бензилокси-2-оксо-1,2-дигидрохинолин-5-ил)-2-гидроксиэтиламино]пентилсульфамоил}этил)пиперидин-4-иловый эфир бифенил-2-илкарбаминовой кислоты К перемешиваемому раствору продукта получения 65 (500 мг, 0,56 ммоль) в дихлорметане (5,6 мл) добавляли тригидрофторид триэтиламина (183 мкл, 1,12 ммоль). Реакционную смесь перемешивали в течение 10 ч и затем разбавляли дихлорметаном (10 мл). Полученную смесь промывали насыщенным водным раствором бикарбоната натрия (5 мл). Органический слой сушили (Na2SO4) и удаляли при пониженном давлении растворитель с получением указанного в заголовке промежуточного соединения в виде желтого твердого вещества (437 мг, выход 100%). МС m/z M+H+=782,8. Пример 17 Дитрифторацетат 1-(2-{5-[(R)-2-гидрокси-2-(8-гидрокси-2-оксо-1,2-дигидрохинолин-5-ил)этиламино]пентилсульфамоил}этил)пиперидин-4-илового эфира бифенил-2-илкарбаминовой кислоты К перемешиваемому раствору продукта получения 66 (437 мг, 0,56 ммоль) в смеси этанол/метанол (5,6 мл, 1/1) добавляли Pd/C (131 мг), реакционную смесь помещали в атмосферу водорода и перемешивали в течение ночи. Затем реакционную смесь фильтровали и удаляли при пониженном давлении растворитель. Неочищенный остаток очищали препаративной ВЭЖХ с получением указанного в заголовке соединения в виде соли дитрифторуксусной кислоты (71 мг). ВЭЖХ (10-70) Rt=2,59; МС m/z M+H+=692,6. Получение 67 1-{2-[(4-Формилбензолсульфонил)метиламино]этил}пиперидин-4-иловый эфир бифенил-2-илкарбаминовой кислоты К перемешиваемому раствору продукта получения 26 (350 мг, 1 ммоль) и триэтиламина (167 мкл, 1,2 ммоль) в дихлорметане (5 мл) добавляли 4-формилбензолсульфонилхлорид (225 мг, 1,1 ммоль). Через 1 ч при комнатной температуре реакция согласно МС-анализу заканчивалась, и затем реакционную смесь промывали насыщенным водным раствором бикарбоната натрия (5 мл). Затем сушили (Na2SO4) органический слой и удаляли при пониженном давлении растворитель с получением указанного в заголовке промежуточного соединения (323 мг, выход 62%). МС m/z M+H+=522,4. Получение 68 1-{2-[(4-{[(R)-2-(трет-Бутилдиметилсиланилокси)-2-(8-гидрокси-2-оксо-1,2-дигидрохинолин-5-ил)этиламино]метил}бензолсульфонил)метиламино]этил}пиперидин-4-иловый эфир бифенил-2-илкарбаминовой кислоты Раствор -[(R)-2-амино-1-(трет-бутилдиметилсиланилокси)этил]-8-гидрокси-1Н-хинолин-2-она (293 мг, 0,74 ммоль) и продукта получения 67 в дихлорметане и метаноле (6,2 мл, 1/1) перемешивали при комнатной температуре в течение 1 ч и затем добавляли триацетоксиборогидрид натрия (394 мг, 1,86 ммоль). Реакционную смесь перемешивали 4 ч, после чего МС-анализ показал, что реакция закончилась. Затем реакционную смесь подкисляли концентрированной хлористоводородной кислотой и удаляли при пониженном давлении растворитель с получением указанного в заголовке соединения, которое использовали на следующей стадии без дополнительной очистки. МС m/z M+H+=840,8. Пример 18 Дитрифторацетат 1-{2-[(4-{[(R)-2-гидрокси-2-(8-гидрокси-2-оксо-1,2-дигидрохинолин-5-ил)этиламино]метил}бензолсульфонил)метиламино]этил}пиперидин-4-илового эфира бифенил-2-илкарбаминовой кислоты Перемешиваемый раствор продукта получения 68 (520 мг, 0,62 ммоль) в 1М хлористоводородной кислоте (5 мл) и ацетонитриле (5 мл) нагревали при 60°С в течение 8 ч. Реакционную смесь охлаждали до комнатной температуры и удаляли при пониженном давлении растворитель. Неочищенный остаток очищали препаративной ВЭЖХ с получением указанного в заголовке соединения в виде соли дитрифторуксусной кислоты (220 мг). ВЭЖХ (10-70) Rt=2,77; МС m/z M+H+=726,7. Получение 69 Гидрохлорид (3-аминометилфенил)метанола (а) (3-трет-Бутоксикарбонилметилфенил)метанол Борандиметилсульфид (2,05 мл, 21,6 ммоль) добавляли к раствору 3-(трет-бутоксикарбониламинометил)бензойной кислоты (1,81 г, 7,20 ммоль) в тетрагидрофуране (24 мл) и полученную смесь перемешивали при комнатной температуре в течение 3 часов. Затем реакционную смесь разбавляли этилацетатом (20 мл) и разделяли слои. Органический слой промывали насыщенным раствором бикарбоната натрия, насыщенным раствором хлорида натрия, сушили над сульфатом магния и концентрировали с получением указанного в заголовке соединения в виде желтого масла (1,71 г). (b) Гидрохлорид (3-аминометилфенил)метанола К продукту стадии (а) (1,71 г, 7,2 ммоль) добавляли раствор 4М хлористоводородной кислоты в диоксане (9 мл, 36 ммоль) и полученную смесь перемешивали при комнатной температуре в течение 1 ч. Затем реакционную смесь концентрировали, остаток разбавляли диэтиловым эфиром (50 мл) и фильтровали с получением указанного в заголовке соединения в виде белого твердого вещества (1,09 г). Получение 70 1-{2-[3-(3-Гидроксиметилбензил)уреидо]этил}пиперидин-4-иловый эфир бифенил-2-илкарбаминовой кислоты 0,2М раствор продукта получения 35 (760 мг, 2,24 ммоль) в N,N-диметилформамиде добавляли по каплям к раствору 1,1′-карбонилдиимидазола (363 мг, 2,24 ммоль) и диизопропилэтиламина (0,31 мл, 2,24 ммоль) в N,N-диметилформамиде (11 мл) и полученную смесь перемешивали при комнатной температуре в течение 2 ч. Добавляли диизопропилэтиламин (0,31 мл, 2,24 ммоль) и продукт получения 69 (578 мг, 3,4 ммоль) и полученную смесь перемешивали при 50°С в течение 12 ч. Затем реакционную смесь концентрировали досуха, остаток разбавляли дихлорметаном (20 мл) и полученный раствор промывали насыщенным раствором бикарбоната натрия (2 раза), насыщенным раствором хлорида натрия, сушили над сульфатом магния и концентрировали с получением указанного в заголовке соединения (1,12 г). ЖХ-МС (2-90) Rt=4,01 мин; МС m/z M+H+=503,5. Получение 71 1-{2-[3-(3-Формилбензил)уреидо]этил}пиперидин-4-иловый эфир бифенил-2-илкарбаминовой кислоты Раствор продукта получения 70 (1,12 г, 2,23 ммоль) в дихлорметане (11,1 мл) охлаждали до 0°С и добавляли диизопропилэтиламин (1,17 мл, 6,70 ммоль) и диметилсульфоксид (0,949 мл, 13,4 ммоль). Через примерно 10 минут добавляли комплекс пиридина и триоксида серы (1,06 г, 6,70 ммоль) и полученную смесь перемешивали при 0°С в течение 2 ч. Затем реакционную смесь гасили водой (15 мл) и органический слой промывали холодной водой (3 раза), сушили над сульфатом магния и концентрировали с получением указанного в заголовке соединения в виде желтого хрупкого вещества (609 мг). ЖХ-МС (2-90) Rt=4,13 мин; МС m/z M+H=501,3. Получение 72 1-{2-[3-(3-{[(R)-2-(трет-Бутилдиметилсиланилокси)-2-(8-гидрокси-2-оксо-1,2-дигидрохинолин-5-ил)этиламино]метил}бензил)уреидо]этил}пиперидин-4-иловый эфир бифенил-2-илкарбаминовой кислоты 5-[(R)-2-Амино-1-(трет-бутилдиметилсиланилокси)этил]-8-гидрокси-1Н-хинолин-2-он (575 мг, 1,40 ммоль) добавляли к продукту получения 71 (609 мг, 1,2 ммоль) и диизопропиламину (0,25 мл, 1,40 ммоль) в дихлорметане (6 мл) и полученную смесь перемешивали при комнатной температуре в течение 45 мин. Затем добавляли триацетоксиборогидрид натрия (385 мг, 1,80 ммоль) и полученную смесь перемешивали при комнатной температуре в течение 12 ч. Затем реакционную смесь гасили 10% водной хлористоводородной кислотой (5 мл) и разделяли слои. Органический слой промывали насыщенным раствором бикарбоната натрия, насыщенным раствором хлорида натрия, сушили над сульфатом магния и концентрировали с получением указанного в заголовке соединения (1,11 г). ВЭЖХ (10-70) Rt=3,55 мин; МС m/z M+H=819,7. Пример 19 Дитрифторацетат 1-{2-[3-(3-{[(R)-2-гидрокси-2-(8-гидрокси-2-оксо-1,2-дигидрохинолин-5-ил)этиламино]метил}бензил)уреидо]этил}пиперидин-4-илового эфира бифенил-2-илкарбаминовой кислоты Тригидрофторид триэтиламина (2,4 мл, 13,6 ммоль) добавляли к раствору продукта получения 72 (1,1 г, 1,36 ммоль) в дихлорметане (2 мл) и полученную смесь перемешивали при комнатной температуре в течение 15 ч. Затем реакционную смесь концентрировали в вакууме досуха, остаток растворяли в смеси (1:1) воды и ацетонитрила с 0,1% TFA и полученную смесь очищали ВЭЖХ (5-35 за 60 мин) с получением указанного в заголовке соединения в виде соли дитрифторуксусной кислоты (296 мг, чистота 99%). МС m/z M+H=705,6. Получение 73 1-[(E)-3-(4-Нитрофенил)аллил]пиперидин-4-иловый эфир бифенил-2-илкарбаминовой кислоты Продукт получения 8 (2,96 г, 0,01 моль) и п-нитроциннамальдегид (1,77 г, 0,01 моль) перемешивали в 50 мл дихлорметана в течение 2 ч. Добавляли триацетоксиборогидрид натрия (6,33 г, 0,03 моль) и полученную смесь перемешивали в течение 2 ч. Затем реакционную смесь гасили 10 мл воды и полученную смесь разбавляли дихлорметаном (100 мл). Органический слой промывали насыщенным раствором бикарбоната натрия (2 раза), насыщенным раствором соли, сушили над Na2SO4, фильтровали и концентрировали с получением указанного в заголовке соединения в виде желтой пены (3,8 г, выход 80%). Получение 74 1-[3-(4-Аминофенил)пропил]пиперидин-4-иловый эфир бифенил-2-илкарбаминовой кислоты Продукт получения 73 (2,5 г, 5,4 ммоль) растворяли в 100 мл этанола и полученный раствор продували азотом в течение 30 мин. Затем добавляли палладий на углероде (2,5 г; 50% мас./мас. вода; 10% Pd; 1,1 ммоль Pd) при дегазации азотом. Затем полученную смесь помещали в атмосферу водорода (50 фунтов на кв. дюйм; 2,5 кг/см2) до тех пор, пока не прекращалось расходование водорода (30 минут). Затем смесь продували азотом, фильтровали через целит и концентрировали. Остаток растворяли в этилацетате и полученную смесь промывали насыщенным раствором бикарбоната натрия (2 раза), насыщенным раствором соли, сушили (Na2SO4), фильтровали и концентрировали с получением указанного в заголовке соединения (2,08 г, выход 90%). МС m/z M+H=430,5. Получение 75 1-{3-[4-(4-{2-[(R)-2-(8-Бензилокси-2-оксо-1,2-дигидрохинолин-5-ил)-2-(трет-бутилдиметилсиланилокси)этиламино]этил}фениламино)фенил]пропил} пиперидин-4-иловый эфир бифенил-2-илкарбаминовой кислоты В 25 мл круглодонную колбу вводили продукт получения 74 (400 мг, 0,8 ммоль), 8-бензилокси-5-[(R)-2-[2-(4-бромфенил)этиламино]-1-(трет-бутилдиметилсиланилокси)этил]-1Н-хинолин-2-он (769 мг, 1,2 ммоль), трис(дибензилиденацетон)дипалладий(0) (73 мг, 0,08 ммоль, 20% Pd) и 2-(дициклогексилфосфино)бифенил (84 мг, 0,24 ммоль). Полученную смесь продували азотом, затем добавляли сухой дегазированный толуол (8 мл, 0,1М) и полученную смесь нагревали при 70°С в течение 30 мин. Затем добавляли трет-бутоксид натрия (382 мг, 4,0 ммоль) и повышали температуру до 95°С в течение 4 ч, после чего анализ ЖХ-МС показал полное расходование продукта получения 74 и большой пик продукта (М+Н=956,7). Затем реакционную смесь охлаждали до комнатной температуры и разбавляли этилацетатом. Полученную смесь промывали насыщенным раствором бикарбоната натрия (2 раза), насыщенным раствором соли, сушили (Na2SO4), фильтровали и концентрировали с получением указанного в заголовке соединения (1,5 г), которое использовали без дополнительной очистки. Получение 76 1-{3-[4-(4-{2-[(R)-2-(8-Бензилокси-2-оксо-1,2-дигидрохинолин-5-ил)-2-гидроксиэтиламино]этил}фениламино)фенил]пропил}пиперидин-4-иловый эфир бифенил-2-илкарбаминовой кислоты Продукт получения 75 растворяли в дихлорметане (10 мл) и добавляли тригидрофторид триэтиламина (10 экв.). Реакционную смесь перемешивали в течение ночи и затем разбавляли дихлорметаном и органический слой промывали насыщенным раствором бикарбоната натрия (2 раза), насыщенным раствором соли, сушили (Na2SO4), фильтровали и концентрировали с получением 1,3 г неочищенного продукта. Полученный продукт очищали хроматографией на силикагеле (ДХМ, с градиентом до 50% метанола) с получением указанного в заголовке соединения (300 мг, чистота около 75%), которое использовали без дополнительной очистки. Пример 20 Дитрифторацетат 1-{3-[4-(4-{2-[(R)-2-гидрокси-2-(8-гидрокси-2-оксо-1,2-дигидрохинолин-5-ил)этиламино]этил}фениламино)фенил]пропил}пиперидин-4-илового эфира бифенил-2-илкарбаминовой кислоты Продукт получения 76 (300 мг) растворяли в 10 мл этанола и полученную смесь продували азотом в течение 15 минут. Добавляли при дегазировании палладий на углероде (10% Pd, 50% мас./мас. вода, 0,2 экв. Pd). Полученную смесь затем помещали в атмосферу водорода (1 атм) на 2 ч, после чего анализ ЖХ-МС показал прекращение реакции. Далее раствор продували азотом в течение 15 мин, затем фильтровали через целит и концентрировали. Полученный остаток очищали препаративной ВЭЖХ с получением указанного в заголовке соединения в виде соли дитрифторуксусной кислоты (59 мг, чистота>95%). МС m/z M+H=752,8. Получение 77 1-[2-Фтор-3-(4-гидроксиметилпиперидин-1-илметил)бензил]пиперидин-4-иловый эфир бифенил-2-илкарбаминовой кислоты Продукт получения 8 (500 мг, 1,69 ммоль), 2,6-бис(бромметил)-1-фторбензол (476 мг, 1,69 ммоль), пиперидин-4-илметанол (195 мг, 1,69 ммоль) и карбонат калия (466 мг, 3,37 ммоль) суспендировали в ацетонитриле (5 мл) и перемешивали при комнатной температуре в течение 18 ч. Затем реакционную смесь концентрировали и остаток растворяли в смеси дихлорметан/вода. Разделяли слои, органический слой промывали водой (2 раза), насыщенным раствором соли, сушили (MgSO4) и концентрировали. Неочищенное вещество очищали колоночной хроматографией на силикагеле, элюируя смесью 3% метанол/хлороформ, с получением указанного в заголовке соединения в виде белой пены (282 мг). МС m/z M+H=532,3. Получение 78 1-[2-Фтор-3-(4-формилпиперидин-1-илметил)бензил]пиперидин-4-иловый эфир бифенил-2-илкарбаминовой кислоты Продукт получения 77 (282 мг, 0,53 ммоль) растворяли в дихлорметане и к полученной смеси добавляли диизопропилэтиламин (280 мкл, 1,6 ммоль) и диметилсульфоксид (115 мкл, 1,6 ммоль). Реакционную смесь охлаждали до -15°С в атмосфере азота, и добавляли комплекс пиридина и триоксида серы (255 мг, 16 ммоль) и полученную смесь перемешивали в течение 40 мин. Затем реакционную смесь гасили водой и разделяли слои. Органический слой промывали водным раствором NaH2PO4 (1М×3), насыщенным раствором соли, сушили (MgSO4) и концентрировали с получением указанного в заголовке соединения в виде пены (253 мг). МС m/z M+H=530,4. Пример 21 Дитрифторацетат 1-[2-фтор-3-(4-{[(R)-2-гидрокси-2-(8-гидрокси-2-оксо-1,2-дигидрохинолин-5-ил)этиламино]метил}пиперидин-1-илметил)бензил]пиперидин-4-илового эфира бифенил-2-илкарбаминовой кислоты Продукт получения 78 (253 мг, 0,48 ммоль) растворяли в смеси (1:1) дихлорметана и метанола (6 мл) и к полученной смеси добавляли 5-[(R)-2-амино-1-(трет-бутилдиметилсиланилокси)этил]-8-гидрокси-1Н-хинолин-2-онацетат (228 мг, 0,58 ммоль) и триацетоксиборогидрид натрия (317 мг, 1,5 ммоль). Реакционную смесь перемешивали в атмосфере азота при комнатной температуре в течение 18 ч и затем концентрировали. Остаток растворяли в смеси (2:3) ацетонитрила и 6 н. хлористоводородной кислоты и полученную смесь нагревали при 55°С в течение 4 ч. Затем реакционную смесь концентрировали, остаток растворяли в смеси (1:1:0,005) вода/ацетонитрил/трифторуксусная кислота и очищали колоночной хроматографией с обращенной фазой с получением указанного в заголовке соединения в виде белого твердого вещества (175 мг). МС m/z M+H=734,5. Получение 79 2-[4-(3-Бромпропокси)фенил]этанол К раствору 4-гидроксифенетилового спирта (4,37 г, 31,0 ммоль) и карбоната калия (6,55 г, 47,0 ммоль) в ацетонитриле (62,0 мл) добавляли 1,3-дибромпропан (31,0 мл, 316 ммоль). Реакционную смесь нагревали до 70°С в течение 12 часов и затем охлаждали до комнатной температуры, фильтровали и концентрировали в вакууме. Полученное масло очищали хроматографией на силикагеле, используя смесь гексанов и этилацетата (4:1), с получением указанного в заголовке соединения (6,21 г) в виде белого твердого вещества. Получение 80 1-{3-[4-(2-Гидроксиэтил)фенокси]пропил}пиперидин-4-иловый эфир бифенил-2-илкарбаминовой кислоты К раствору продукта получения 79 (1,11 г, 4,30 ммоль) и диизопропилэтиламина (0,90 мл, 5,10 ммоль) в ацетонитриле (21,5 мл) добавляли продукт получения 8 (1,27 г, 4,30 ммоль) и полученную смесь перемешивали при 60°С в течение 12 ч. Затем реакционную смесь разбавляли дихлорметаном (20 мл) и промывали насыщенным раствором бикарбоната натрия (25 мл), насыщенным раствором хлорида натрия (25 мл), сушили над сульфатом магния и концентрировали с получением указанного в заголовке соединения (1,98 г, чистота 85%). МС m/z M+H=475,5. Получение 81 1-{3-[4-(2-Оксоэтил)фенокси]пропил}пиперидин-4-иловый эфир бифенил-2-илкарбаминовой кислоты Раствор продукта получения 80 (723 мг, 1,53 ммоль) и дихлорметана (75 мл) охлаждали до примерно 5°С и добавляли диизопропилэтиламин (798 мл, 4,58 ммоль) и диметилсульфоксид (649 мл, 9,15 ммоль). Затем добавляли комплекс пиридина и триоксида серы (728 мг, 4,58 ммоль) и полученную смесь перемешивали при 5°С в течение 45 мин. Затем реакционную смесь разбавляли дихлорметаном (20 мл) и промывали насыщенным раствором бикарбоната натрия (25 мл), насыщенным раствором хлорида натрия (25 мл), сушили над сульфатом магния и концентрировали с получением указанного в заголовке соединения (604 мг). МС m/z M+H=473,4. Получение 82 1-[3-(4-{2-[(R)-2-(трет-бутилдиметилсиланилокси)-2-(8-гидрокси-2-оксо-1,2-дигидрохинолин-5-ил)этиламино]этил}фенокси)пропил]пиперидин-4-иловый эфир бифенил-2-илкарбаминовой кислоты Продукт получения 81 (604 мг, 1,28 ммоль) растворяли в метаноле (6,4 мл) и добавляли 5-[(R)-2-амино-1-(трет-бутилдиметилсиланилокси)этил]-8-гидрокси-1Н-хинолин-2-он (605 мг, 1,53 ммоль) и диизопропилэтиламин (0,27 мл, 1,53 ммоль). Затем добавляли триацетоксиборогидрид натрия (405 мг, 1,91 ммоль) и реакционную смесь перемешивали при комнатной температуре в течение 3 ч. Затем реакционную смесь концентрировали досуха, остаток разбавляли этилацетатом (20 мл) и полученный раствор промывали насыщенным раствором бикарбоната натрия (25 мл), насыщенным раствором хлорида натрия (25 мл), сушили над сульфатом магния и концентрировали с получением указанного в заголовке соединения (704 мг). МС m/z M+H=791,8. Пример 22 Дитрифторацетат 1-[3-(4-{2-[(R)-2-гидрокси-2-(8-гидрокси-2-оксо-1,2-дигидрохинолин-5-ил)этиламино]этил}фенокси)пропил]пиперидин-4-илового эфира бифенил-2-илкарбаминовой кислоты Тригидрофторид триэтиламина (1,5 мл, 8,87 ммоль) добавляли к раствору продукта получения 82 (702 мг, 0,89 ммоль) в дихлорметане (4,5 мл) и полученную смесь перемешивали при комнатной температуре в течение 24 ч. Затем смесь концентрировали в вакууме и очищали ВЭЖХ (2-35 за 90 мин) с получением указанного в заголовке соединения (92 мг) в виде белого порошка. МС m/z M+H=677,4. Получение 83 Метил-4-иодфенилацетат К перемешиваемому раствору 4-иодфенилуксусной кислоты (5,0 г, 19,1 ммоль) в МеОН (200 мл) добавляли 4 н. хлористоводородную кислоту в диоксане (10 мл). Реакционную смесь перемешивали в течение 24 ч при комнатной температуре и затем удаляли при пониженном давлении растворитель с получением указанного в заголовке соединения (5,17 г, выход 98%), которое использовали без дополнительной очистки. Получение 84 Метил[4-(4-гидроксибут-1-инил)фенил]ацетат К перемешиваемому раствору продукта получения 83 (4,5 г, 16,3 ммоль) в диэтиламине (100 мл) добавляли бут-3-ин-1-ол (1,9 мл, 32,6 ммоль), Pd(PPh3)2Cl2 (500 мг, 1,63 ммоль) и CuI (154 мг, 0,815 ммоль) и полученную смесь перемешивали 17 ч при комнатной температуре. Затем удаляли при пониженном давлении растворитель, остаток растворяли в диэтиловом эфире (200 мл) и полученный раствор фильтровали для удаления солей. Затем удаляли при пониженном давлении растворитель и неочищенный продукт очищали хроматографией на силикагеле (60% EtOAc/гексан) с получением указанного в заголовке промежуточного соединения (3,03 г, выход 91%). Получение 85 Метил[4-(4-гидроксибутил)фенил]ацетат Перемешиваемый раствор продукта получения 84 (2,8 г, 12,8 ммоль) в метаноле (50 мл) продували азотом и затем добавляли 10% палладий на углероде (400 мг, 20% мас./мас.). Затем реакционную колбу циклически поочередно помещали в вакуум и продували водородом, затем перемешивали в атмосфере водорода в течение 14 ч. Реакционную смесь продували азотом и затем фильтровали и удаляли при пониженном давлении растворитель с получением указанного в заголовке соединения (2,75 г, выход 97%), которое использовали без дополнительной очистки. Получение 86 Метил (4-{4-[4-(бифенил-2-илкарбамоилокси)пиперидин-1-ил]бутил}фенил)ацетат (а) Метил{4-[4-(толуол-4-сульфонилокси)бутил]фенил}ацетат К перемешиваемому раствору продукта получения 85 (2,6 г, 12,5 ммоль) в ТГФ (100 мл) добавляли DABCO (2,6 г, 25,0 ммоль) и затем п-толуолсульфонилхлорид (2,44 г, 13,75 ммоль). Реакционную смесь перемешивали при комнатной температуре в течение 23 ч, затем удаляли при пониженном давлении растворитель и остаток растворяли в дихлорметане (200 мл). Органический слой затем промывали водой (2×100 мл), 1н. хлористоводородной кислотой (100 мл), насыщенным водным раствором хлорида натрия (100 мл), сушили (MgSO4), фильтровали и удаляли при пониженном давлении растворитель с получением указанного в заголовке соединения, которое использовали без дополнительной очистки. (b) Метил(4-{4-[4-(бифенил-2-илкарбамоилокси)пиперидин-1-ил]бутил}фенил)ацетат К неочищенному продукту со стадии (а) добавляли ДМФА (50 мл), диизопропилэтиламин (3,0 мл, 17,3 ммоль) и продукт получения 8 (2,4 г, 8,1 ммоль). Реакционную смесь перемешивали при комнатной температуре в течение 18 ч и затем удаляли при пониженном давлении растворитель с получением указанного в заголовке соединения (3,5 г, выход 86,3%). МС m/z 501,6 (MH+), Rf 4,89 мин (10-70% ACN:Н2O, ВЭЖХ с обращенной фазой). Получение 87 1-{4-[4-(2-Гидроксиэтил)фенил]бутил}пиперидин-4-иловый эфир бифенил-2-илкарбаминовой кислоты К перемешиваемому раствору продукта получения 86 (2,0 г, 4,0 ммоль) в ТГФ (100 мл) добавляли по каплям DIBAL (24 мл, 24 ммоль, 1,0М в ТГФ). По окончании добавления реакционную смесь перемешивали в течение 3 ч и затем гасили медленным добавлением метанола (до прекращения газовыделения). Затем смесь перемешивали в течение 30 мин и затем добавляли этилацетат (200 мл) и 1 н. водный раствор гидроксида натрия (200 мл). Органический слой отделяли и промывали насыщенным водным раствором хлорида натрия (100 мл), сушили (MgSO4), фильтровали и удаляли при пониженном давлении растворитель с получением указанного в заголовке соединения (1,3 г, выход 69%), которое использовали без дополнительной очистки. МС m/z 473,4 (MH+), Rf 4,53 мин (10-70% ACN:Н2O, ВЭЖХ с обращенной фазой). Пример 23 1-[2-(4-{2-[(R)-2-Гидрокси-2-(8-гидрокси-2-оксо-1,2-дигидрохинолин-5-ил)этиламино]этил}фенил)этил]пиперидин-4-иловый эфир бифенил-2-илкарбаминовой кислоты К перемешиваемому раствору продукта получения 87 (500 мг, 1,06 ммоль) в дихлорметане (25 мл) добавляли диметилсульфоксид (0,60 мл, 10,6 ммоль) и диизопропилэтиламин (0,921 мл, 5,3 ммоль). Затем реакционную смесь охлаждали до -10°С и добавляли комплекс пиридина и триоксида серы (842 мг, 5,3 ммоль). Реакционную смесь перемешивали в течение 1 ч и затем гасили добавлением воды (100 мл). Полученную смесь перемешивали 10 мин, и затем органический слой отделяли, промывали насыщенным водным раствором хлорида натрия (100 мл), сушили (MgSO4) и затем фильтровали. К фильтрату добавляли метанол (25 мл), 5-[(R)-2-амино-1-(трет-бутилдиметилсиланилокси)этил]-8-гидрокси-1Н-хинолин-2-онацетат (419 мг, 1,06 ммоль) и триацетоксиборогидрид натрия (468 мг, 2,12 ммоль). Полученную смесь перемешивали 16 ч, затем конденсировали и к полученной смеси добавляли смесь (1:1) ацетонитрила и водной 4 н. хлористоводородной кислоты (20 мл). Полученную смесь нагревали при 50°С в течение 17 ч и затем удаляли при пониженном давлении растворитель. К остатку добавляли смесь (1:1) уксусной кислоты и воды (8,0 мл) и полученную смесь хроматографировали на силикагеле с обращенной фазой (градиентное элюирование, 10-50% ACN/Н2O) с получением указанного в заголовке соединения (67 мг, выход 7% за 3 стадии). МС m/z (MH+) 675,5; Rf 3,07 (10-70% ACN:Н2O, ВЭЖХ с обращенной фазой). Получение 88 Этил-3-[5-(2-этоксикарбонилвинил)тиофен-2-ил]акрилат К перемешиваемому раствору гидрида натрия (2,1 г, 53 ммоль, 60% в минеральном масле) в ТГФ (200 мл) медленно добавляли триэтилфосфоноацетат (10 мл, 50 ммоль). Наблюдалось выделение газообразного водорода и реакционную смесь перемешивали до прекращения газовыделения (примерно 30 мин). К полученной реакционной смеси добавляли 2,5-тиофендикарбоксальдегид (3 г, 21 ммоль) и реакционную смесь перемешивали в течение 1 ч. Удаляли при пониженном давлении растворитель и остаток растворяли в дихлорметане (200 мл). Органический слой промывали водой (100 мл), водной 1 н. хлористоводородной кислотой (100 мл), насыщенным водным раствором хлорида натрия (100 мл), сушили (MgSO4), фильтровали и удаляли при пониженном давлении растворитель с получением указанного в заголовке соединения (5,8 г, выход 98%), которое использовали без дополнительной очистки. Получение 89 Этил-3-[5-(2-этоксикарбонилэтил)тиофен-2-ил]пропионат Перемешиваемый раствор продукта получения 88 (5,8 г, 21 ммоль) в метаноле (200 мл) продували азотом и добавляли 10% палладий на углероде (576 мг, 10% мас./мас.). Реакционную колбу поочередно помещали в вакуум и продували водородом, проводя 3 таких кольца, и затем реакционную смесь перемешивали в атмосфере водорода в течение 1 ч. Затем смесь продували азотом, фильтровали и удаляли при пониженном давлении растворитель с получением указанного в заголовке соединения (5,8 г, выход 99%), которое использовали без дополнительной очистки. Получение 90 3-[5-(3-Гидроксипропил)тиофен-2-ил]пропан-1-ол К перемешиваемому раствору DIBAL (88 мл, 88 ммоль, 1,0М в циклогексане) в ТГФ (300 мл) при -78°С добавляли по каплям продукт получения 89 (5,0 г, 17,6 ммоль). По окончании добавления реакционную смесь нагревали до комнатной температуры в течение 30 мин и затем гасили медленным добавлением водной 1 н. хлористоводородной кислоты (200 мл). Добавляли дихлорметан (400 мл) и разделяли слои. Водный слой промывали дихлорметаном (4×100 мл) и объединенные органические слои промывали насыщенным водным раствором хлорида натрия (100 мл), сушили (MgSO4), фильтровали и удаляли при пониженном давлении растворитель с получением указанного в заголовке соединения (3,0 г, выход 85%), которое использовали без дополнительной очистки. Получение 91 1-{3-[5-(3-Гидроксипропил)тиофен-2-ил]пропил}пиперидин-4-иловый эфир бифенил-2-илкарбаминовой кислоты (а) 3-[5-(3-Гидроксипропил)тиофен-2-ил]пропиловый эфир толуол-4-сульфоновой кислоты К перемешиваемому раствору продукта получения 90 (423 мг, 2,1 ммоль) в ТГФ (20 мл) добавляли DABCO (420 мг, 4,2 ммоль) и затем п-толуолсульфонилхлорид (442 мг, 2,3 ммоль). Реакционную смесь перемешивали при комнатной температуре в течение 2 ч, затем удаляли при пониженном давлении растворитель и остаток растворяли в дихлорметане (200 мл). Органический слой промывали водой (2×100 мл), насыщенным водным раствором хлорида натрия (100 мл), сушили (MgSO4), фильтровали и удаляли при пониженном давлении растворитель с получением указанного в заголовке соединения, которое использовали без дополнительной очистки. (b) 1-{3-[5-(3-Гидроксипропил)тиофен-2-ил]пропил}пиперидин-4-иловый эфир бифенил-2-илкарбаминовой кислоты К продукту со стадии (а) добавляли ацетонитрил (20 мл), диизопропилэтиламин (0,5 мл, 2,8 ммоль) и продукт получения 8 (626 мг, 2,11 ммоль). Реакционную смесь нагревали до 50°С в течение 20 ч, затем охлаждали до комнатной температуры и удаляли при пониженном давлении растворитель. Остаток очищали хроматографией на силикагеле (5% МеОН/ДХМ с 0,6% NH3 (водн.)) с получением указанного в заголовке соединения (450 мг, выход 44%). МС m/z (MH+) 479,6; Rf 4,15 мин (10-70% ACN: Н2O, ВЭЖХ с обращенной фазой). Получение 92 1-[3-(5-{3-[(R)-2-(трет-Бутилдиметилсиланилокси)-2-(8-гидрокси-2-оксо-1,2-дигидрохинолин-5-ил)этиламино]пропил}тиофен-2-ил)пропил]пиперидин-4-иловый эфир бифенил-2-илкарбаминовой кислоты К перемешиваемому раствору продукта получения 91 (450 мг, 0,94 ммоль) в дихлорметане (20 мл) добавляли диметилсульфоксид (0,21 мл, 3,7 ммоль) и диизопропилэтиламин (0,65 мл, 3,7 ммоль). Смесь охлаждали до -10°С и добавляли комплекс пиридина и триоксида серы (444 мг, 2,8 ммоль). Реакционную смесь перемешивали в течение 3 ч и затем гасили добавлением воды (100 мл). Полученную смесь перемешивали 10 мин, затем органический слой отделяли и промывали насыщенным водным раствором хлорида натрия (100 мл), сушили (MgSO4) и фильтровали. К фильтрату добавляли метанол (20 мл), 5-[(R)-2-амино-1-(трет-бутилдиметилсиланилокси)этил]-8-гидрокси-1Н-хинолин-2-онацетат (368 мг, 0,93 ммоль) и затем триацетоксиборогидрид натрия (412 мг, 1,86 ммоль). Полученную смесь перемешивали 19 ч и затем конденсировали с получением указанного в заголовке соединения, которое использовали без дополнительной очистки. МС m/z (MH+) 795,8; Rf 4,93 мин (10-70% ACN:Н2O, ВЭЖХ с обращенной фазой). Пример 24 1-[3-(5-{3-[(R)-2-Гидрокси-2-(8-гидрокси-2-оксо-1,2-дигидрохинолин-5-ил)этиламино]пропил}тиофен-2-ил)пропил]пиперидин-4-иловый эфир бифенил-2-илкарбаминовой кислоты К неочищенному продукту получения 92 добавляли смесь (1:1) ацетонитрила и водной 4 н. хлористоводородной кислоты (25 мл). Полученную смесь нагревали при 50°С в течение 17 ч и затем удаляли при пониженном давлении растворитель. К остатку добавляли смесь (1:1) уксусной кислоты и воды (8,0 мл) и полученную смесь хроматографировали на силикагеле с обращенной фазой (градиентное элюирование, 10-50% ACN/Н2O) с получением указанного в заголовке соединения (135 мг, выход 16% за 3 стадии). МС m/z (MH+) 681,5; Rf 3,03 (10-70% ACN:Н2O, ВЭЖХ с обращенной фазой). Получение 93 Метил-4-амино-5-хлор-2-метоксибензоат К раствору 4-амино-5-хлор-2-метоксибензойной кислоты (1,008 г, 5,0 ммоль) в смеси толуола (9 мл) и метанола (1 мл) при 0°С добавляли по каплям (триметилсилил)диазометан (2,0М в гексане, 3,0 мл, 6,0 ммоль). Затем реакционную смесь нагревали до комнатной температуры и перемешивали в течение 16 ч. Избыточный (триметилсилил)диазометан гасили добавлением уксусной кислоты до исчезновения светло-желтого цвета реакционной смеси. Затем смесь концентрировали в вакууме с получением указанного в заголовке соединения в виде не совсем белого твердого вещества, которое использовали без дополнительной очистки. Получение 94 Метил-4-акрилоиламино-5-хлор-2-метоксибензоат К неочищенному продукту получения 93 добавляли дихлорметан (10 мл, 0,5М) и триэтиламин (2,1 мл, 15 ммоль). Полученную смесь охлаждали до 0°С и добавляли по каплям при перемешивании акрилоилхлорид (812 мкл, 10 ммоль). Через 2 ч реакционную смесь гасили добавлением метанола (примерно 2 мл) при 0°С и полученную смесь перемешивали при комнатной температуре в течение 15 мин и затем концентрировали в вакууме. К остатку добавляли дихлорметан (30 мл) и воду (30 мл) и полученную смесь тщательно смешивали. Разделяли слои и водный слой экстрагировали дихлорметаном (20 мл). Органические слои объединяли, сушили (Na2SO4), фильтровали и удаляли в вакууме растворитель с получением указанного в заголовке соединения в виде коричневого пенообразного твердого вещества, которое использовали без дополнительной очистки. Получение 95 Метил-4-{3-[4-(бифенил-2-илкарбамоилокси)пиперидин-1-ил]пропиониламино}-5-хлор-2-метоксибензоат К неочищенному продукту получения 94 добавляли продукт получения 8 (1,33 г, 4,5 ммоль) и смесь ТГФ (22,5 мл) и метанола (2,5 мл). Полученную смесь нагревали при 50°С при перемешивании в течение 16 ч и затем удаляли в вакууме растворитель. Остаток хроматографировали (силикагель; EtOAc) с получением указанного в заголовке соединения (0,82 г; Rf=0,4; выход 29% за 3 стадии) в виде не совсем белого пенообразного твердого вещества. МС m/z 566,4 (M+H, вычислено 565,20 для C30H32ClN3O6). Получение 96 1-[2-(2-Хлор-4-гидроксиметил-5-метоксифенилкарбамоил)этил]пиперидин-4-иловый эфир бифенил-2-илкарбаминовой кислоты К раствору продукта получения 95 (0,82 мг, 1,45 ммоль) в смеси ТГФ (4,5 мл) и метанола (0,5 мл) добавляли борогидрид лития (32 мг, 1,45 ммоль). Реакционной смеси давали нагреться до комнатной температуры и перемешивали в течение 41 ч. Затем реакционную смесь гасили добавлением 1 н. хлористоводородной кислоты при 0°С до прекращения газовыделения и полученную смесь перемешивали в течение 10 мин. Удаляли в вакууме растворитель и остаток растворяли в ацетонитриле (примерно 2 мл). Полученный раствор очищали препаративной ВЭЖХ с обращенной фазой (градиент: 2-50% ацетонитрил в воде с 0,05% TFA). Подходящие фракции собирали, объединяли и лиофилизовали с получением указанного в заголовке соединения в виде соли трифторуксусной кислоты. Данную соль обрабатывали изопропилацетатом (10 мл) и 1 н. водным раствором гидроксида натрия (10 мл) и органический слой собирали, сушили (Na2SO4), фильтровали и удаляли в вакууме растворитель с получением указанного в заголовке соединения (161 мг, выход 21%) в виде белого пенообразного твердого вещества. МС m/z 538,4 (M+H, вычислено 537,20 для C29H32ClN3O5). Получение 97 1-[2-(2-Хлор-4-формил-5-метоксифенилкарбамоил)этил]пиперидин-4-иловый эфир бифенил-2-илкарбаминовой кислоты К раствору продукта получения 96 (161 мг, 0,3 ммоль) в дихлорметане (3 мл) добавляли диметилсульфоксид (213 мкл, 3,0 ммоль) и диизопропилэтиламин (261 мкл, 1,5 ммоль). Полученную смесь охлаждали до -20°С и медленно добавляли комплекс пиридина и триоксида серы (238 мг, 1,5 ммоль). Через 30 мин реакционную смесь гасили добавлением воды (примерно 3 мл). Разделяли слои, органический слой сушили (Na2SO4), фильтровали и удаляли в вакууме растворитель с получением указанного в заголовке соединения в виде светло-желтого твердого вещества. МС m/z 536,3 (M+H, вычислено 535,19 для C29H30ClN3O5). Получение 98 1-[2-(4-{[(R)-2-(трет-Бутилдиметилсиланилокси)-2-(8-гидрокси-2-оксо-1,2-дигидрохинолин-5-ил)этиламино]метил}-2-хлор-5-метоксифенилкарбамоил)этил]пиперидин-4-иловый эфир бифенил-2-илкарбаминовой кислоты К продукту получения 97 в смеси дихлорметана (0,5 мл) и метанола (0,5 мл) добавляли 5-[(R)-2-амино-1-(трет-бутилдиметилсиланилокси)этил]-8-гидрокси-1Н-хинолин-2-онацетат (124,1 мг, 3,1 ммоль) и полученную смесь перемешивали при комнатной температуре в течение 1,5 ч. Добавляли триацетоксиборогидрид натрия (190,7 мг, 0,9 ммоль) и полученную смесь перемешивали при комнатной температуре в течение 15 ч. Реакционную смесь гасили добавлением воды (примерно 0,2 мл) и смесь концентрировали в вакууме с получением указанного в заголовке соединения, которое использовали без дополнительной очистки. МС m/z 854,5 (M+H, вычислено 853,36 для C46H56ClN5O7Si). Пример 25 Дитрифторацетат 1-[2-(2-хлор-4-{[(R)-2-гидрокси-2-(8-гидрокси-2-оксо-1,2-дигидрохинолин-5-ил)этиламино]метил}-5-метоксифенилкарбамоил)этил]пиперидин-4-илового эфира бифенил-2-илкарбаминовой кислоты К суспензии продукта получения 98 в дихлорметане (1,0 мл, 0,3М) добавляли тригидрофторид триэтиламина (245 мкл, 1,5 ммоль). Полученную смесь перемешивали при комнатной температуре в течение 45 ч и затем смесь концентрировали в вакууме. Остаток растворяли в смеси ДМФА (0,5 мл), ацетонитрил/вода (1:1, с 0,1% TFA, 0,6 мл), TFA (0,3 мл) и ацетонитрила (около 1 мл) и полученную смесь очищали препаративной ОФ-ВЭЖХ (градиент: 2-50% ацетонитрил в воде с 0,05% TFA). Подходящие фракции собирали и объединяли и лиофилизовали с получением указанного в заголовке соединения (100 мг, выход 34%, чистота 98,7% согласно ВЭЖХ) в виде не совсем белого твердого вещества. МС m/z 740,5 (M+H, вычислено 739,28 для C40H42ClN5O7). Используя описанные выше методики и соответствующие исходные вещества, получали следующие соединения.
Получение 99 1-[2-(4-[1,3]Диоксолан-2-илфенилкарбамоил)этил]-4-метилпиперидин-4-иловый эфир бифенил-2-илкарбаминовой кислоты Смесь 4-метилпиперидин-4-илового эфира бифенил-2-илкарбаминовой кислоты (2,73 г, 8,79 ммоль) и N-(4-[1,3]диоксолан-2-илфенил)акриламида (2,05 г, 8,80 ммоль) нагревали в 100 мл смеси (1:1) метанол/дихлорметан при 50°С в атмосфере азота в течение 1 ч. Затем раствор разбавляли этилацетатом и органический слой промывали водой, насыщенным раствором соли, сушили (MgSO4) и концентрировали при пониженном давлении с получением указанного в заголовке соединения. МС m/z вычислено для C31H35N3O5 (M+H)+ 530,6; найдено 530,4. Получение 100 1-[2-(4-формилфенилкарбамоил)этил]-4-метилпиперидин-4-иловый эфир бифенил-2-илкарбаминовой кислоты Продукт получения 99 повторно растворяли в 40 мл метанола и добавляли 25 мл водной 1н. хлористоводородной кислоты. Полученную смесь перемешивали при комнатной температуре в течение ночи и удаляли при пониженном давлении органический растворитель. Остаток растворяли в этилацетате и органический слой промывали водой, насыщенным раствором соли, сушили (MgSO4) и удаляли при пониженном давлении растворитель. Продукт растирали в дихлорметане с получением указанного в заголовке соединения в виде белого порошка (2,47 г). ЖХ-МС (2-90) Rt=4,27 мин; МС m/z вычислено для C29H31N3O4 (M+H)+ 486,6; найдено 486,5. Получение 101 1-[2-(4-{[(R)-2-(трет-Бутилдиметилсиланилокси)-2-(8-гидрокси-2-оксо-1,2-дигидрохинолин-5-ил)этиламино]метил}фенилкарбамоил)этил]-4-метилпиперидин-4-иловый эфир бифенил-2-илкарбаминовой кислоты Смесь продукта получения 100 (1,70 г, 3,51 ммоль) и 5-[(R)-2-амино-1-(трет-бутилдиметилсиланилокси)этил]-8-гидрокси-1Н-хинолин-2-онацетата (1,65 г, 4,19 ммоль) в 40 мл смеси (1:1) метанола и дихлорметана перемешивали при комнатной температуре в течение ночи. Затем добавляли одной порцией триацетоксиборогидрид натрия (2,23 г, 10,5 ммоль) и реакционную смесь перемешивали при комнатной температуре в течение 6 ч. Далее реакционную смесь гасили водой и разбавляли этилацетатом. Разделяли слои и органический слой промывали насыщенным раствором бикарбоната натрия, насыщенным раствором соли, сушили (MgSO4) и удаляли при пониженном давлении растворитель с получением указанного в заголовке соединения (2,9 г). МС m/z вычислено для C46H57N5O6Si (M+H)+ 805,0; найдено 804,6. Пример 170 1-[2-(4-{[(R)-2-Гидрокси-2-(8-гидрокси-2-оксо-1,2-дигидрохинолин-5-ил)этиламино]метил}фенилкарбамоил)этил]-4-метилпиперидин-4-иловый эфир бифенил-2-илкарбаминовой кислоты Продукт получения 101 (2,9 г, 3,6 ммоль) растворяли в 75 мл дихлорметана и добавляли тригидрофторид триэтиламина (0,85 мл, 5,2 ммоль). Полученную смесь перемешивали при комнатной температуре в течение ночи и затем удаляли при пониженном давлении растворитель с получением неочищенного продукта в виде масла. Продукт затем растворяли в смеси (1:1) уксусная кислота/вода и очищали препаративной ВЭЖХ с получением указанного в заголовке соединения в виде не совсем белого твердого вещества. ЖХ-МС (2-90) Rt=3,67 мин; МС m/z вычислено для C40H43N5O6 (M+H)+ 690,8; найдено 690,3. Используя описанные выше методики и соответствующие исходные вещества, получали следующие соединения.
Получение 102 (R)-(1-Азабицикло[3.2.1]окт-4-ил)овый эфир бифенил-2-илкарбаминовой кислоты 2-Бифенилизоцианат (1,00 г, 5,12 ммоль) и гидрохлорид (R)-(-)-3-хинуклидинола (921 мг, 5,63 ммоль) нагревали вместе в N,N-диметилформамиде (2,06 мл) при 110°С в течение 12 ч. Реакционную смесь охлаждали, разбавляли этилацетатом (15 мл) и затем промывали насыщенным водным раствором бикарбоната натрия (2×10 мл). Органический слой экстрагировали 1М хлористоводородной кислотой (3×20 мл) и объединенные водные экстракты подщелачивали карбонатом калия до рН 8-9. Затем водный слой экстрагировали этилацетатом (3×20 мл), объединенные органические слои сушили (сульфат магния) и удаляли при пониженном давлении растворитель с получением указанного в заголовке соединения в виде желтого масла (1,64 г, выход 99%). Получение 103 (R)-4-(Бифенил-2-илкарбамоилокси)-1-(9-бромнонил)-1-азониабицикло[3.2.1]октанбромид К перемешиваемому раствору продукта получения 102 (1,21 г, 3,76 ммоль) и триэтиламина (1,05 мл, 7,52 ммоль) в ацетонитриле (18,8 мл) добавляли 1,9-дибромнонан (994 мкл, 4,89 ммоль) и реакционную смесь нагревали при 50°С в течение 4 ч. Затем реакционную смесь охлаждали и удаляли при пониженном давлении растворитель. Остаток растворяли в дихлорметане (20 мл) и органический слой промывали насыщенным водным раствором бикарбоната натрия (10 мл), сушили (сульфат магния) и удаляли при пониженном давлении растворитель. Неочищенный продукт очищали флэш-хроматографией (10% метанол/дихлорметан, 0,5% гидроксид аммония) с получением указанного в заголовке соединения (1,04 г, 1,97 ммоль, выход 52%). Получение 104 (R)-1-(9-N,N-Ди(трет-бутоксикарбонил)аминононил)-4-(бифенил-2-илкарбамоилокси)-1-азониабицикло[3.2.1]октанбромид К перемешиваемому раствору гидрида натрия (60% дисперсия в минеральном масле) (126 мг, 3,15 ммоль) в N,N-диметилформамиде (10 мл) в атмосфере азота при 0°С добавляли ди-трет-бутилиминодикарбоксилат (513 мг, 2,36 ммоль) в N,N-диметилформамиде (5 мл). Реакционную смесь перемешивали при комнатной температуре в течение 15 мин, затем охлаждали до 0°С и добавляли к ней продукт получения 103 (1,04 г, 1,97 ммоль) в N,N-диметилформамиде (5 мл). Реакционной смеси давали нагреться до комнатной температуры в течение 12 ч и затем удаляли при пониженном давлении растворитель с получением указанного в заголовке соединения, которое использовали без дополнительной очистки. Получение 105 (R)-1-(9-Аминононил)-4-(бифенил-2-илкарбамоилокси)-1-азониабицикло[3.2.1]октанбромид Продукт получения 104 (1,31 г, 1,97 ммоль) растворяли в дихлорметане (15 мл) и медленно добавляли трифторуксусную кислоту (5 мл). Реакционную смесь перемешивали при комнатной температуре в течение 1 ч и затем удаляли при пониженном давлении растворитель. Остаток растворяли в дихлорметане (20 мл) и промывали водным 1М гидроксидом натрия (20 мл). Органический слой экстрагировали 1М хлористоводородной кислотой (3×20 мл), объединенные водные экстракты подщелачивали карбонатом калия и экстрагировали дихлорметаном (3×20 мл). Объединенные органические слои сушили (сульфат магния) и удаляли при пониженном давлении растворитель с получением указанного в заголовке соединения (210 мг, выход 23% за 2 стадии). Получение 106 (R)-1-{9-[(R)-2-(8-Бензилокси-2-оксо-1,2-дигидрохинолин-5-ил)-2-гидроксиэтиламино]нонил}-4-(бифенил-2-илкарбамоилокси)-1-азониабицикло[2.2.2]октанбромид Продукт получения 105 (210 мг, 0,45 ммоль) и триацетоксиборогидрида натрия (286 мг, 1,35 ммоль) перемешивали в дихлорметане (4,5 мл) при комнатной температуре в течение 2 ч и затем добавляли продукт получения 6 (163 мг, 0,50 ммоль). Реакционную смесь перемешивали 12 ч, затем разбавляли дихлорметаном (10 мл) и промывали насыщенным водным раствором бикарбоната натрия (10 мл), сушили (сульфат магния) и удаляли при пониженном давлении растворитель. Неочищенный продукт реакции очищали флэш-хроматографией (10-50% метанол/дихлорметан, 0,5% гидроксид аммония) с получением указанного в заголовке соединения (131 мг, выход 38%). Пример 183 Дитрифторацетат 4-(бифенил-2-илкарбамоилокси)-1-{9-[(R)-2-гидрокси-2-(8-гидрокси-2-оксо-1,2-дигидрохинолин-5-ил)этиламино]нонил}-1-азониабицикло[2.2.2]октанбромида К перемешиваемому раствору продукта получения 105 (131 мг, 0,17 ммоль) в метаноле (1,8 мл) добавляли палладий (10 мас.% (по сухому веществу) на активированном угле; 39 мг) и реакционную смесь помещали в атмосферу водорода. После перемешивания в течение 12 ч, реакционную смесь фильтровали через рыхлый слой Целита, промывали метанолом (2 мл) и удаляли при пониженном давлении растворитель. Полученный остаток очищали препаративной ВЭЖХ с получением указанного в заголовке соединения в виде соли дитрифторуксусной кислоты (8 мг). МС m/z 667,5. Используя описанные выше методики и соответствующие исходные вещества, получали следующие соединения.
Получение А Клеточные культуры и препараты мембран из клеток, экспрессирующих человеческие Линии клеток яичника китайского хомяка (СНО), стабильно экспрессирующие клонированные человеческие Получение B Клеточные культуры и препараты мембран из клеток, экспрессирующих человеческие М1, М2, М3 и M4 мускариновые рецепторы Линии клеток (СНО), стабильно экспрессирующие клонированные подтипы hM1, hM2 и hM3 человеческих мускариновых рецепторов соответственно, культивировали почти до слияния в средах HAM’s F-12 с добавлением 10% FBS и 250 мкг/мл генетицина. Клетки культивировали в инкубаторе с 5% СО2 при 37°С и поднимали 2 мМ EDTA в dPBS. Клетки собирали 5-минутным центрифугированием при 650×g и осадки клеток либо хранили замороженными при -80°С, либо сразу же приготавливали мембраны для применения. Для получения препаратов мембран клеточные осадки ресуспендировали в буфере для лизиса и гомогенизировали с помощью разрывателя ткани Polytron PT-2100 (Kinematica AG; 20 секунд×2 разрыва). Неочищенные мембраны центрифугировали при 40000×g в течение 15 минут при 4°C. Затем осадок мембран ресуспендировали, используя буфер для ресуспендирования, и снова гомогенизировали с помощью разрывателя ткани Polytron. Концентрацию белков в суспензии мембран определяли методом, описанным у Lowry et al., 1951, Journal of Biochemistry, 193, 265. Все мембраны хранили замороженными в аликвотах при -80°C или использовали сразу же. Аликвоты полученных мембран рецепторов hM5 закупали непосредственно у фирмы Perkin Elmer и до применения хранили при -80°С. Методика A испытания Испытание на связывание с использованием радиоактивного лиганда для человеческих Испытания на связывание выполняли в 96-луночных планшетах при общем объеме для испытания 100 мкл с 10-15 мкг белка мембран, содержащего человеческие В данном испытании более низкое значение Ki указывает, что испытуемое соединение имеет более высокую аффинность связывания для испытуемого рецептора. Как было установлено в данном испытании, взятое в качестве примера соединение настоящего изобретения, которое подвергали испытанию, обычно имело значение Ki менее чем примерно 300 нМ для При необходимости селективность подтипа рецептора для испытуемого соединения может быть вычислена как отношение Ki( Методика В испытания Испытание на связывание с использованием радиоактивного лиганда для мускариновых рецепторов Испытания на связывание для клонированных мускариновых рецепторов выполняли в 96-луночных планшетах при общем объеме для испытания 100 мкл. Мембраны СНО клеток, стабильно экспрессирующие hM1, hM2, hM3, hM4 или hM5 подтип мускариновых рецепторов разводили в буфере для испытания до следующих концентраций конкретных белков-мишеней (мкг/лунка): 10 мкг для hM1, 10-15 мкг для hM2, 10-20 мкг для hM3, 10-20 мкг для hM4 и 10-12 мкг для hM5 для получения одинаковых сигналов (cpm (импульс в мин)). Перед добавлением в планшет мембраны кратковременно гомогенизировали, используя разрыватель ткани Polytron (10 секунд). Исследования связывания при насыщении для определения значений Kd радиолиганда проводили, используя L-[N-метил-3H]скополаминметилхлорид ([3Н]-NMS)(TRK666, 84,0 Ки/ммоль, Amersham Pharmacia Biotech, Buckighamshire, England) при концентрациях в пределах от 0,001 нМ до 20 нМ. Испытания на замещение для определения значений Ki испытуемых соединений проводили с [3H]-NMS при 1 нМ и одиннадцати различных концентрациях. Испытуемые соединения сначала растворяли до концентрации 400 мкМ в буфере для разведения и затем серийно разводили 5х буфером для разведения до конечных концентраций в пределах от 10 пМ до 100 мкМ. Порядок и объемы добавления в планшеты для испытания были следующими: 25 мкл радиолиганд, 25 мкл разведенное испытуемое соединение и 50 мкл мембраны. Планшеты для испытания инкубировали в течение 60 мин при 37°C. Реакции связывания прекращали быстрым фильтрованием поверх пластин стекловолокнистого фильтра GF/B (PerkinElmer Inc., Wellesley, MA), предварительно обработанных 1% BSA. Пластины фильтра промывали три раза промывным буфером (10 мМ HEPES) для удаления несвязанной радиоактивности. Планшеты затем сушили на воздухе и в каждую лунку добавляли 50 мкл жидкости для жидкостной сцинтилляции Microscint-20 (PerkinElmer Inc., Wellesley, MA). Затем планшеты обсчитывали в жидкостном сцинтилляционном счетчике PerkinElmer Topcount (PerkinElmer Inc., Wellesley, MA). Данные о связывании анализировали методом нелинейной регрессии с помощью программного пакета GraphPad Prism Software package (GraphPad Software, Inc., San Diego, CA), используя модель одноместной конкуренции. Значения Ki для испытуемых соединений вычисляли из наблюдаемых значений IC50 и значения KD радиолиганда, используя уравнение Ченга-Прусоффа (Cheng Y; Prusoff WH. (1973) Biochemical Pharmacology, 22(23): 3099-108). Значения Кi преобразовывали в значения pKi для определения геометрического среднего и интервалов 95% достоверности. Указанные суммарные статистические данные затем преобразовывали обратно в значения Кi для сообщения данных. В данном испытании более низкое значение Ki указывает, что испытуемое соединение имеет более высокую аффинность связывания для испытуемого рецептора. Как было установлено в данном испытании, взятое в качестве примера соединение настоящего изобретения, которое подвергали испытанию, обычно имело значение Ki менее чем примерно 300 нМ для М3 мускаринового рецептора. Например, было обнаружено, что соединения примеров 3 и 6 имеют значения Ki менее чем 10 нМ. Методика С испытания Испытание с использованием флэш-планшетов по цАМФ в цельных клетках СНО клеточных линий, гетерологично экспрессирующих человеческие Испытания по цАМФ проводили в формате радиоиммуноанализа с использованием флэш-планшетной системы для анализа активации аденилилциклазы (the Flashplate Adenylyl Cyclase Activation Assay System) с [125I]-cAMP (NEN SMP004, PerkinElmer Life Sciences Inc., Boston, MA) в соответствии с инструкциями производителей. Для определения агонистической активности по отношению к В данном испытании более низкое значение EC50 указывает, что испытуемое соединение имеет более высокую функциональную активность у испытуемого рецептора. Как было установлено в данном испытании, взятое в качестве примера соединение настоящего изобретения, которое подвергали испытанию, обычно имело значение EC50 менее чем примерно 300 нМ для При необходимости селективность подтипа рецептора для испытуемого соединения может быть вычислена как отношение EC50( Методика D испытания Функциональные испытания на антагонизм на подтипах мускариновых рецепторов А. Блокада опосредованного агонистом ингибирования накопления цАМФ В данном испытании функциональную активность испытуемого соединения определяли измерением способности испытуемого соединения блокировать оксотреморин-ингибирование опосредованного форсколином накопления цАМФ в СНО-К1 клетках, экспрессирующих hM2 рецептор. Испытания по цАМФ проводили в формате радиоиммуноанализа с использованием флэш-планшетной системы для анализа активации аденилилциклазы с 125I-cAMP (NEN SMP004В, PerkinElmer Life Sciences Inc., Boston, MA) в соответствии с инструкциями производителей. Клетки ополаскивали один раз dPBS и поднимали раствором трипсин-EDTA (0,05% трипсин/0,53 мМ EDTA), как описано выше в разделе «Клеточные культуры и препараты мембран». Разъединенные клетки промывали дважды центрифугированием при 650×g в течение 5 минут в 50 мл dPBS. Затем клетки ресуспендировали в 10 мл dPBS и подсчитывали счетчиком Coulter Z1 Dual Particle Counter (Beckman Coulter, Fullerton, CA). Клетки снова центрифугировали при 650×g в течение пяти минут и ресуспендировали в стимуляционном буфере до концентрации испытания 1,6×106-2,8×106 клеток/мл. Испытуемое соединение первоначально растворяли до концентрации 400 мкМ в буфере для разведения (dPBS с добавкой 1 мг/мл BSA (0,1%)) и затем серийно разводили буфером для разведения до конечных молярных концентраций в пределах от 100 мкМ до 0,1 нМ. Аналогичным образом разводили оксотреморин. Для измерения ингибирования оксотреморином активности аденилилциклазы (АС) в лунки для испытания агониста добавляли 25 мл форсколина (разведенного в dPBS до конечной концентрации 25 мкМ), 25 мкл разведенного оксотреморина и 50 мкл клеток. Для измерения способности испытуемого соединения блокировать оксотреморином ингибируемую активность АС в остальные лунки для испытания добавляли 25 мкл форсколина и оксотреморина (разведенных в dPBS до конечных концентраций 25 мкМ и 5 мкМ, соответственно), 25 мл разведенного испытуемого соединения и 50 мкл клеток. Реакции инкубировали в течение 10 мин при 37°С и прекращали добавлением 100 мкл охлаждаемого льдом детекционного буфера. Планшеты герметически укупоривали, инкубировали в течение ночи при комнатной температуре и на следующее утро производили подсчеты на жидкостном сцинтилляционном счетчике PerkinElmer Topcount (PerkinElmer Inc., Wellesley, MA). Количество полученного цАМФ (пмоль/лунку) вычисляли по импульсам, наблюдаемым для образцов, и стандартам цАМФ, как описано в руководстве для потребителей. Данные анализировали методом нелинейной регрессии с помощью программного пакета GraphPad Prism Software package (GraphPad Software, Inc., San Diego, CA), используя нелинейную регрессию, уравнение одноместной конкуренции. Для вычисления Ki использовали уравнение Ченга-Прусоффа и значение ЕС50 из кривой зависимости «концентрация оксотреморина-ответ» и концентрацию оксотреморина для испытания в качестве KD и [L], соответственно. В данном испытании более низкое значение Кi показывает, что испытуемое соединение имеет более высокую функциональную активность у испытуемого рецептора. Как было установлено в данном испытании, взятое в качестве примера соединение настоящего изобретения, которое подвергали испытанию, обычно имело значение Ki менее чем примерно 300 нМ для блокады ингибирования оксотреморином накопления цАМФ, опосредованного фосколином, в СНО-К1 клетках, экспрессирующих hM2 рецептор. Например, было обнаружено, что соединение примера 3 имеет значение Ki менее чем 10 нМ. В. Блокада агонистом опосредованного [35S]GTP Во втором функциональном испытании функциональная активность испытуемых соединений может быть определена измерением способности соединений блокировать оксотреморином стимулированное [35S]GTP Во время использования замороженные мембраны размораживали и затем разводили в буфере для испытания с конечной концентраций ткани-мишени 5-10 мкг белка на лунку. Мембраны кратковременно гомогенизировали, используя разрыватель ткани Polytron-2100, и затем вводили в планшеты для испытания. В каждом эксперименте определяли значение ЕС90 (эффективная концентрация для максимальной ответной реакции 90%) для стимуляции [35S]GTP Для определения способности испытуемого соединения ингибировать оксотреморино-стимулированное [35S]GTP В данном испытании более низшего значение Кi показывает, что испытуемое соединение имеет более высокую функциональную активность у испытуемого рецептора. Как было установлено в данном испытании, взятое в качестве примера соединение настоящего изобретения, которое подвергали испытанию, обычно имело значение Ki менее чем примерно 300 нМ для блокады стимулированного оксотреморином [35S]GTP С. Блокада опосредованного агонистом высвобождения кальция методом анализа с использованием FLIPR Подтипы мускариновых рецепторов (М1, М3 и М5 рецепторы), которые связываются с Gq-белками, активируют путь фосфолипазы С (PLC) при связывании агониста с рецептором. В результате активированная PLC гидролизует фосфатилинозитолдифосфат (PIP2) в диацилглицерол (DAG) и фосфатидил-1,4,5-трифосфат (IP3), который в свою очередь вызывает высвобождение кальция из внутриклеточных запасов, т.е. эндоплазматической и саркоплазматической сетей. Анализ FLIPR (Molecular Devices, Sunnyvale, CA) начинается с указания увеличения содержания внутриклеточного кальция с помощью чувствительного к кальцию красителя (Fluo-4AM, Molecular Probes, Eugene, OR), который флуоресцирует при связывании свободного кальция. Флуоресценцию измеряют в реальном времени с помощью FLIPR, который детектирует изменение флуоресценции от монослоя клеток, клонированных рецепторами М1 и М3 человека и М5 шимпанзе. Антагонистическая активность может быть определена по способности антагонистов ингибировать опосредованные агонистом увеличения содержания внутриклеточного кальция. Для FLIPR анализов стимуляции кальция СНО клетки, стабильно экспрессирующие hM1, hM3 и cM5 рецепторы, высевали в 96-луночные FLIPR планшеты за ночь до анализа. Посеянные клетки промывали дважды Cellwash (MTX Labsystems, Inc.) с FLIPR буфером (10 мМ HEPES, pH 7,4, 2 мМ хлорид кальция, 2,5 мМ пробенесид в буферном солевом растворе Хенка (HBSS) без кальция и магния), чтобы удалить питательную среду, оставив 50 мкл/лунка FLIPR буфера. Клетки затем инкубировали с 50 мкл/лунку 4 мкМ FLUO-4AM (был приготовлен 2Х раствор) в течение 40 минут при 37°C, в присутствии 5% диоксида углерода. После инкубации с красителем клетки промывали два раза FLIPR буфером, оставив конечный объем 50 мкл/лунка. Для определения антагонистической активности сначала определяли зависимую от дозы стимуляцию внутриклеточного высвобождения Са2+ для оксотреморина, чтобы позже можно было измерить антагонистическую активность по стимуляции оксотреморином при концентрации ЕС90. Клетки сначала инкубировали с буфером для разведения соединения в течение 20 минут с последующим добавлением агониста, производимым с помощью FLIPR. Значение EC90 для оксотреморина получали в соответствии с методом, детализированным при измерении с помощью FLIPR и в описанном ниже разделе о преобразовании данных, в сочетании с формулой ECF=((F/100-F)^1/H)*EC50. В планшетах для стимуляции получали концентрацию оксотреморина, равную 3×ECF, в результате чего добавляли концентрацию оксотреморина EC90 в каждую лунку в планшетах для анализа ингибирования антагонистом. Для FLIPR использовали следующие параметры: длительность выдержки 0,4 секунды, мощность лазера 0,5 ватт, длина волны возбуждения 488 нм и длина волны излучения 550 нм. Базовую линию определяли измерением изменения флуоресценции за 10 секунд до добавления агониста. После стимуляции агонистом FLIPR непрерывно измерял изменение флуоресценции каждые 0,5-1 секунду в течение 1,5 минут, чтобы уловить максимальное изменение флуоресценции. Изменение флуоресценции выражали в виде максимальной флуоресценции минус флуоресценция на базовой линии для каждой лунки. Необработанные данные анализировали по логарифму концентрации лекарства методом нелинейной регрессии с помощью программного пакета GraphPad Prism (GraphPad Software, Inc., San Diego, CA), используя встроенную модель для сигмоидальной зависимости «доза-ответ». Значения Ki для антагониста определяли с помощью Prism, используя значение ЕС50 для оксотреморина как КD и ЕС90 для оксотреморина как концентрацию лиганда, по уравнению Ченга-Прусоффа (Cheng & Prusoff, 1973). В данном испытании более низкое значение Кi показывает, что испытуемое соединение имеет более высокую функциональную активность у испытуемого рецептора. Как было установлено в данном испытании, взятое в качестве примера соединение настоящего изобретения, которое подвергали испытанию, обычно имело значение Ki менее чем примерно 300 нМ для блокады опосредованного агонистом высвобождения кальция в СНО клетках, стабильно экспрессирующих hM1, hM3 и cM5 рецепторы. Например, было обнаружено, что соединение примера 3 имеет значение Ki менее чем 10 нМ для hM1, hM3 и cM5 рецепторов. Методика Е испытания Испытание с использованием флэш-планшетов по цАМФ в цельных клетках линии легочных эпителиальных клеток, эндогенно экспрессирующих человеческий Для определения агонистической активности и эффективности (внутренняя активность) в клеточной линии, экспрессирующей эндогенные уровни В данном испытании более низкое значение EC50 показывает, что испытуемое соединение имеет более высокую функциональную активность у испытуемого рецептора. Как было установлено в данном испытании, взятое в качестве примера соединение настоящего изобретения, которое подвергали испытанию, обычно имело значение EC50 менее чем примерно 300 нМ для При необходимости эффективность испытуемого соединения (%Eff) вычисляли из отношения наблюдаемой Emax (верхняя точка эмпирической кривой) и максимальной ответной реакции, полученной для кривой зависимости «доза изопротеренола-ответ», и выражали как %Eff относительно изопротеренола. Взятые в качестве примера соединения настоящего изобретения, проверяемые в данном испытании, обычно показывали %Eff более чем примерно 40. Методика F испытания Продолжительность защиты бронхов в моделях вызванного ацетилхолином или гистамином бронхостеноза у морских свинок Данные испытания in vivo были использованы для оценки бронхозащитных эффектов испытуемых соединений, проявляющих активность как антагониста мускариновых рецепторов, так и агониста Группы из 6 морских свинок-самцов (Duncan-Hartley (HsdPoc:DH) Harlan, Madison, WI) массой 250-300 г индивидуально идентифицировали карточками на клетках. На протяжении всего исследования животным давали доступ к пище и воде по желанию. Испытуемые соединения вводили ингаляцией в течение 10 минут в дозирующих камерах для экспозиции всего тела (R&S Molds, San Carlos, CA). Дозирующие камеры были устроены так, что аэрозоль поступал одновременно в 6 отдельных камер из центрального трубопровода. Морских свинок подвергали воздействию аэрозоля испытуемого соединения или носителя (WFI). Указанные аэрозоли создавали из водных растворов, используя распылительный набор LC Star Nebulizer Set (Model 22F51, PARI Respiratory Equipment, Inc. Midlothian, VA), приводимый в действие смесью газов (СО2=5%, О2=21% и N2=74%) при давлении 22 фунта на кв. дюйм (1,55 кг/см2). Расход газа через распылитель при указанном рабочем давлении составлял примерно 3 л/минуту. Созданные аэрозоли нагнетали в камеры действием положительного давления. Разбавляющий воздух во время подачи распыленных растворов не использовали. В ходе 10-минутного распыления было распылено примерно 1,8 мл раствора. Указанную величину измеряли гравиметрически, сравнивая массы заполненного распылителя до и после распыления. Бронхозащитные эффекты испытуемых соединений, введенных ингаляцией, оценивали, используя плетизмографию всего тела через 1,5, 24, 48 и 72 часа после введения дозы. За сорок пять минут до начала легочной экспертизы каждую морскую свинку анестезировали внутримышечной инъекцией кетамина (43,75 мг/кг), ксилазина (3,50 мг/кг) и ацепромазина (1,05 мг/кг). После того как участок для хирургического вмешательства был выбрит и очищен 70% спиртом, делали срединный разрез вентральной стороны шеи. Затем выделяли яремную вену и вводили в нее заполненный физиологическим раствором полиэтиленовый катетер (PE-50, Becton Dickinson, Sparks, MD) для обеспечения возможности внутривенных вливаний ацетилхолина (Ach) или гистамина в физиологическом растворе. Затем отслаивали трахею и канюлировали ее 14G тефлоновой трубкой (#NE-0,14, Small Parts, Miami Lakes, FL). При необходимости анестезию поддерживали дополнительными внутримышечными инъекциями указанной выше анестезирующей смеси. Глубину анестезии контролировали и регулировали, если животное реагировало на уколы в лапку или если частота дыхания превышала 100 вдохов/минуту. По окончании канюляций животное помещали в плетизмограф (#PLY3114, Buxco Electronics, Inc., Sharon, CT) и вставляли пищеводную канюлю для измерения давления (PE-160, Becton Dickinson, Sparks, MD), чтобы измерить легочное стимулирующее давление (давление). Тефлоновую трахеальную трубку присоединяли к отверстию плетизмографа, чтобы позволить морской свинке вдыхать комнатный воздух снаружи камеры. Затем камеру герметизировали. Для поддержания температуры тела использовали нагревательную лампу и легкие морской свинки раздували 3 раза 4 мл воздуха, применяя 10 мл градуированный шприц (#5520 Series, Hans Rudolph, Kansas City, MO), для гарантии того, что нижние дыхательные пути не будут спадаться и что животное не будет страдать от гипервентиляции. Определив, что базовые значения находились в интервале 0,3-0,9 мл/см Н2O при податливости и в интервале 0,1-0,199 см H2O/мл в секунду при сопротивлении, начинали экспертизу легких. Компьютерная программа Buxco для легочных измерений давала возможность сбора и отвода значений легочных параметров. Запустив указанную программу, инициировали протокол эксперимента и сбор данных. С помощью датчика давления Buxco измеряли изменения объема по времени, происходившие в плетизмографе при каждом вдохе. Суммируя данный сигнал по времени, определяли величину потока вдыхаемого при каждом вдохе воздуха. Данный сигнал вместе с изменениями легочного стимулирующего давления, которые собирали, используя датчик давления Sensym (#TRD4100), соединяли через предварительный усилитель Buxco (MAX 2270) с интерфейсом сбора данных (#’s SFT3400 and SFT3813). Все другие легочные параметры выводили из указанных двух входных данных. Базовые значения собирали в течение 5 минут, затем морских свинок нагружали Ach или гистамином. При оценке антагонистических эффектов по отношению к мускариновым рецепторам за 15 минут до введения Ach вводили пропанолол (5 мг/кг, iv) (Sigma-Aldrich, St. Louis, MO). Ach (Sigma-Aldrich, St. Louis, MO) (0,1 мг/мл) вливали внутривенно в течение 1 минуты из щприц-насоса (sp210iw, World Precision Instruments, Inc., Sarasota, FL) со следующими дозами и в следующие заданные моменты времени от начала эксперимента: 1,9 мкг/минуту через 5 минут, 3,8 мкг/минуту через 10 минут, 7,5 мкг/минуту через 15 минут, 15,0 мкг/минуту через 20 минут, 30 мкг/минуту через 25 минут и 60 мкг/минуту через 30 минут. Альтернативно, бронхозащитные эффекты испытуемых соединений оценивали на модели нагрузки ацетилхолином без предварительной обработки бета-блокирующим соединением. При оценке агонистических эффектов испытуемых соединений по отношению к Данные оценивали одним из двух путей: (а) Легочное сопротивление (RL, см Н2O/мл в секунду) вычисляли из отношения «изменение давления» к «изменению потока». Вычисляли реакцию RL на Ach (60 мкг/мин, IH) для носителя и групп испытуемых соединений. Вычисляли среднее значение реакции на Ach у животных, обработанных носителем, в каждый момент предварительной обработки и использовали его для вычисления % ингибирования реакции на Ach в соответствующий момент предварительной обработки при каждой дозе испытуемых соединений. Подбирали кривые «доза ингибирования-ответ» для RL в соответствии с четырех параметрическим логарифмическим уравнением, используя GraphPad Prism, версия 3.00 для Windows (GraphPad Software, Inc., San Diego, CA), для оценки бронхозащитной ID50 (дозы, необходимой для ингибирования на 50% бронхосуживающей реакции на Ach (60 мкг/мин)). Использовали следующее уравнение: где Х представляет собой логарифм дозы, Y представляет собой реакцию (% ингибирования увеличения RL, вызванного Ach). Y начинается с Min и асимптотически приближается к Max в сигмоидальной форме. (b) Вычисляли количество PD2, которое определяется как количество Ach или гистамина, необходимое для того, чтобы вызвать удвоение базового легочного сопротивления, используя значения легочного сопротивления, выведенных из потока и давления, в интервале нагрузок Ach или гистамином, по следующему уравнению (выведенному из уравнения, используемого для вычисления значений РС20 в клинической практике (см. Am. Thoracic Soc, 2000): где: С1=концентрация Ach или гистамина, предшествующая (С2), С2=концентрация Ach или гистамина, приводящая к по крайней мере 2-кратному увеличению легочного сопротивления (RL), R0=базовое значение RL, R1=значение RL после C1, R2=значение RL после C2. Статистический анализ данных проводили, используя двухсторонний критерий – t-критерий Стьюдента. Считалось значимым P-значение <0,05. Взятые в качестве примера соединения настоящего изобретения, которые проверяли в данном испытании, обычно давали зависящий от дозы бронхозащитный эффект против бронхостеноза, вызванного Ach, и бронхостеноза, вызванного His. Как правило, в данном испытании обычно предпочтительными являются испытуемые соединения, обладающие эффективностью (ID50 через 1,5 ч после введения дозы) менее чем примерно 300 мкг/мл для бронхостеноза, вызванного Ach, и менее чем примерно 300 мкг/мл для бронхостеноза, вызванного His. Например, было обнаружено, что соединения примеров 3 и 6 имеют значения IC50 менее чем примерно 100 мкг/мл для бронхостеноза, вызванного Ach, и менее чем примерно 100 мкг/мл для бронхостеноза, вызванного His, через 1,5 часа после введения дозы. Кроме того, в данном испытании обычно предпочтительными являются испытуемые соединения, обладающие продолжительностью (PD T1/2) бронхозащитной активности по меньшей мере около 24 часов. Например, было обнаружено, что соединения примеров 3 и 6 обладают PD T1/2 по меньшей мере около 24 часов после введения дозы. Методика G испытания Модель Эйнтховена (Einthoven) для измерения изменений в вентиляции легких у морских свинок Бронхолитическую активность испытуемых соединений оценивали на модели анестезированных морских свинок (модель Эйнтховена), где используют давление вентиляции в качестве заменительной меры сопротивления дыхательных путей. См., например, Einthoven (1892) Pfugers Arch. 51:367-445; and Mohammed et al. (2000) Pulm Pharmacol Ther. l3(6):287-92. На данной модели оценивали активность антагониста мускариновых рецепторов и агониста Данное испытание проводили, используя морских свинок Duncan-Hartley (Harlan, Indianapolis, IN) массой 300-400 г. Испытуемое соединение или носитель (т.е. стерильную воду) дозировано вводили путем ингаляции (IH) за период 10 минут в дозирующих камерах для экспозиции всего тела (R+S Molds, San Carlos, CA), используя 5 мл раствора для дозированного введения. Животных подвергали воздействию аэрозоля, который создавали с помощью распылительного набора LC Star Nebulizer Set (Model 22F51, PARI Respiratory Equipment, Inc. Midlothian, VA), приводимого в действие смесью газов Bioblend (5% СО2, 21% О2 и 74% N2) при давлении 22 фунта на кв. дюйм (1,55 кг/см2). Функцию легких оценивали в различные моменты времени после дозированной ингаляции. За сорок пять минут до начала оценки легочной функции морских свинок анестезировали внутримышечной (IM) инъекцией смеси кетамин (13,7 мг/кг)/ксилазин (3,5 мг/кг)/ацепромазин (1,05 мг/кг). Выделяли яремную вену и сонную артерию и канюлировали их заполненными физиологическим раствором полиэтиленовыми катетерами (микроренатан и PE-50 соответственно, Becton Dickinson, Sparks, MD). Сонную артерию соединяли с датчиком давления для обеспечения возможности измерения кровяного давления и катетер яремной вены использовали для IV инъекции MCh или His. Затем отслаивали трахею и канюлировали ее иглой 14G (#NE-014, Small Parts, Miami Lakes, FL). По окончании канюляций легкие морских свинок вентилировали с помощью респиратора (Model 683, Harvard Apparatus, Inc., MA), настроенного на объем за ход 1 мл/100 г массы тела, но не выше 2,5 мл и на частоту 100 ходов в минуту. Давление вентиляции (VP) измеряли в трахеальной канюле, используя датчик Biopac, присоединенный к предварительному усилителю Biopac (TSD 137C). Температуру тела поддерживали на уровне 37°С с помощью грелки-подушки. Перед началом сбора данных вводили внутрибрюшинно (IP) пентобарбитал (25 мг/кг) для подавления спонтанного дыхания и обеспечения устойчивой базы. Изменения VP записывали на интерфейсе сбора данных Biopac Windows. Базовые значения собирали в течение по меньшей мере 5 минут, затем свинкам вводили внутривенно некумулятивно 2-кратно увеличенные дозы бронхосуживающего средства (MCh или His). При использовании в качестве бронхосуживающего средства MCh животных предварительно обрабатывали пропранололом (5 мг/кг, внутривенно) для выделения противомускариновых эффектов испытуемого соединения. Изменения VP записывали, используя программное обеспечение сбора данных Acknowledge Data Collection Software (Santa Barbara, CA). По окончании исследования животных безболезненно умерщвляли. Изменение VP измеряли в см воды. Изменение VP (см Н2O)=максимальное давление (после введения бронхосуживающего средства)-максимальное базовое давление. Подбирали кривую «доза-ответ» для MCh или His в соответствии с четырехпараметрическим логарифмическим уравнением, используя GraphPad Prism, версия 3.00 для Windows (GraphPad Software, San Diego, California). Использовали следующее уравнение: где Х представляет собой логарифм дозы, Y представляет собой ответ (реакцию). Y начинается с Min и асимптотически приближается к Max в сигмоидальной форме. Ингибирование в процентах реакции на субмаксимальную дозу бронхосуживающего средства MCh или His вычисляли при каждой дозе испытуемого соединения по следующему уравнению: % ингибирования ответа=100-((пик давления (после введения бронхосуживающего средства, обработанное животное)-пик базового давления (обработанное животное)·100%/(пик давления (после введения бронхосуживающего средства, вода)-пик базового давления (вода). Подбирали кривые ингибирования, используя четырех параметрическое логарифмическое уравнение из программного обеспечения GraphPad. При необходимости оценивали также ID50 (доза, необходимая для обеспечения 50% ингибирования реакции бронхосуживающего средства) и Emax (максимальное ингибирование). Величину бронхозащиты в различные моменты времени после ингаляции испытуемого соединения использовали для оценки фармакодинамического периода полужизни (PD T1/2). PD T1/2 определяли методом подбора нелинейной регрессии с использованием уравнения однофазного экспоненциального спада (GraphPad Prism, Version 4.00): Y=Span·exp(-K·X)+Plateau; старты при Span+Plateau и спады до Plateau при константе скорости К. PD T1/2=0,69/К. Плато (Plateau) ограничивали до 0. Взятые в качестве примера соединения настоящего изобретения, которые проверяли в данном испытании, обычно давали зависящий от дозы бронхозащитный эффект против бронхостеноза, вызванного Mch, и бронхостеноза, вызванного His. Как правило, в данном испытании обычно являются предпочтительными испытуемые соединения, имеющие ID50 менее чем примерно 300 мкг/мл для бронхостеноза, вызванного Mch, и ID50 менее чем примерно 300 мкг/мл для бронхостеноза, вызванного His, через 1,5 ч после введения дозы. Кроме того, в данном испытании обычно предпочтительными являются испытуемые соединения, обладающие продолжительностью (PD T1/2) бронхозащитной активности по меньшей мере около 24 часов. Методика Н испытания Испытание на слюновыделение у морских свинок при ингаляции Морских свинок (Charles River, Wilmigton, MA) массой 200-350 г после прибытия акклиматизировали к жизни колонии морских свинок, живущих в домашних условиях, в течение по крайней мере 3 суток. Путем ингаляции (IH) в течение 10 минут дозированно вводили испытуемое соединение или носитель в камере для дозированного введения в форме пирога (R+S Molds, San Carlos, CA). Растворы для испытаний получали в стерильной воде и подавали с помощью распылителя, наполненного 5,0 мл раствора для введения. Свинок держали в камере для ингаляции в течение 30 минут. На это время свинок ограничивали зоной примерно 110 квадратных сантиметров. Это пространство было достаточным для животных, чтобы они могли свободно переворачиваться, менять положение и ухаживать за собой. Через 20 минут акклиматизации свинок подвергали воздействию аэрозоля, который создавали с помощью распылительного набора LC Star Nebulizer Set (Model 22F51, PARI Respiratory Equipment, Inc. Midlothian, VA), приводимого в действие домашним воздухом при давлении 22 фунта на кв. дюйм (1,55 кг/см2). По окончании распыления свинок подвергали экспертизе через 1,5, 6, 12, 24, 48 или 72 часа после обработки. За час до тестирования свинок анестезировали внутримышечной (IM) инъекцией смеси кетамина (43,75 мг/кг), ксилазина (3,5 мг/кг) и ацепромазина (1,05 мг/кг) при объеме 0,88 мл/кг. Животных помещали брюшной стороной на нагретое (37°С) одеяло с наклоном под углом 20 градусов головой в направлении наклона. В рот свинок вставляли 4-слойный 2×2 дюйма (5,8×5,8 см) марлевый тампон (Nu-Gauze General-use sponges, Johnson and Johnson, Arlington, TX). Спустя пять минут вводили мускариновый агонист пилокарпин (3,0 мг/кг, подкожно) и тампон сразу отбрасывали и заменяли его новым, предварительно взвешенным марлевым тампоном. Слюну собирали в течение 10 минут, затем тампон взвешивали и записывали разницу в массе для определения количества накопившейся слюны (в мг). Вычисляли среднее количество слюны у животных, получивших носитель и каждую дозу испытуемого соединения. Среднее значение для группы, получившей носитель, считали 100% слюновыделением. По полученным средним значениям (n равно 3 или более) вычисляли результаты. Вычисляли доверительные интервалы (95%) для каждой дозы в каждый момент времени, используя двухфакторный вариационный анализ (ANOVA). Данная модель является модифицированной версией методики, описанной у Rechter, “Estimation of anticholinergic drug effects in mice by antagonism against pilocarpine-induced salivation” Ata Pharmacol Toxicol, 1996, 24:243-254. Вычисляли среднюю массу слюны у животных, обработанных носителем, в каждый момент предварительной обработки и использовали ее для вычисления % ингибирования слюновыделения в соответствующий момент предварительной обработки для каждой дозы. Данные зависимости «доза ингибирования-ответ» согласовывали с четырех параметрическим логарифмическим уравнением, используя GraphPad Prism, version 3.00 for Windows (GraphPad Software, San Diego, California), чтобы оценить потребную против средства, стимулирующего слюноотделение, ID50 (доза, необходимая для ингибирования 50% вызываемого пилокарпином слюноотделения). Было использовано следующее уравнение: где Х представляет собой логарифм дозы, Y представляет собой реакцию (% ингибирования слюноотделения). Y начинается с Min и асимптотически приближается к Max в сигмоидальной форме. Отношение ID50 против средства, стимулирующего слюноотделение, к бронхозащитной ID50 использовали для вычисления показателя явной селективности к легкому испытуемого соединения. Обычно предпочтительными являются соединения, имеющие показатель явной селективности к легкому более чем примерно 5. В данном испытании соединение примера 3 имеет показатель явной селективности к легкому более 5. Хотя настоящее изобретение описано выше со ссылками на его конкретные аспекты или варианты, но специалистам в данной области будет понятно, что могут быть внесены различные изменения или использованы заменяющие эквиваленты, не выходящие за пределы существа и объема изобретения. Кроме того, в степени, допускаемой применяемыми патентным законодательством и правилами, все публикации, патенты и заявки на патент, на которые сделаны ссылки, включены в данное описание во всей своей полноте посредством ссылки, как если бы каждый из них был включен в данное описание посредством ссылки индивидуально.
Формула изобретения
1. Соединение формулы I где а представляет собой 0 или целое число от 1 до 3; каждый R1 независимо выбран из галогена; b представляет собой 0 или целое число от 1 до 3; каждый R2 независимо выбран из галогена; W присоединен в положении 3 или 4 относительно атома азота в пиперидиновом кольце и представляет собой О; с представляет собой 0 или целое число от 1 до 4; каждый R3 независимо выбран из (1-4С)алкила; или две группы R3 соединены вместе с образованием (1-3С)алкилена или оксиран-2,3-диила; R4 представляет собой двухвалентную группу формулы: где d, e, f, g, h и i, каждый независимо выбран из 0 и 1; R4a, R4b, R4c и R4d, каждый независимо выбран из (1-10С)алкилена, где каждая алкиленовая группа является незамещенной или замещена 1-5 заместителями, независимо выбранными из (1-4С)алкила, фтора и гидрокси; А1 и А2, каждый независимо выбран из (3-7С)циклоалкилена, (6-10С)арилена, -О-(6-10С)арилена, (6-10С)арилен-О-, (2-9С)гетероарилена и (3-6С)гетероциклена, где каждый циклоалкилен является незамещенным или замещен 1-4 заместителями, независимо выбранными из (1-4С)алкила, и каждая ариленовая, гетероариленовая или гетероцикленовая группа является незамещенной или замещена 1-4 заместителями, независимо выбранными из галогена, (1-4С)алкила, (1-4С)алкокси, -S(O)2-(1-4С)алкила, гидрокси, нитро и трифторметокси; Q выбран из связи, -О-, -S(O)2-, -N(Qa)C(O)-, -C(O)N(Qb)-, -N(Qc)S(O)2-, -S(O)2N(Qd)-, -N(Qe)C(O)N(Qf)- и -N(Qk); Qa, Qb, Qc, Qd, Qe, Qf и Qk, каждый независимо выбран из водорода, (1-6С)алкила и А3, где алкильная группа является незамещенной или замещена 1-3 заместителями, независимо выбранными из фтора, гидрокси и (1-4С)алкокси; или вместе с атомом азота и группой R4b или R4c, к которым они присоединены, образуют 4-6-членную азациклоалкиленовую группу; А3 независимо выбран из (3-6С)циклоалкила, (6-10С)арила, (2-9С)гетероарила и (3-6С)гетероциклила, где каждый циклоалкил является незамещенным или замещен 1-4 заместителями, независимо выбранными из (1-4С)алкила, и каждая арильная, гетероарильная или гетероциклильная группа является незамещенной или замещена 1-4 заместителями, независимо выбранными из галогена, (1-4С)алкила и (1-4С)алкокси; при условии, что число смежных атомов в самой короткой цепи между двумя атомами азота, к которым присоединен R4, находится в интервале от 4 до 16; R5 представляет собой водород или (1-4С)алкил; R6 представляет собой -NR6aCR6b(O), и R7 представляет собой водород; или R6 и R7 вместе образуют -NR7aC(O)-CR7b=CR7c-; каждый из R6a и R6b независимо представляет собой водород или (1-4С)алкил; и каждый из R7a, R7b и R7c независимо представляет собой водород или (1-4С)алкил; или его фармацевтически приемлемая соль, сольват или стереоизомер. 2. Соединение по п.1, где число смежных атомов в самой короткой цепи между двумя атомами азота, к которым присоединен R4, находится в пределах от 8 до 14. 3. Соединение по п.2, где число смежных атомов в самой короткой цепи между двумя атомами азота, к которым присоединен R4, составляет 8, 9, 10 или 11. 4. Соединение по п.1, где W присоединен к пиперидиновому кольцу в положении 4 относительно атома азота. 5. Соединение по п.1, где каждый из a, b и с равен 0, и R5 представляет собой водород. 6. Соединение по п.1, где R6 представляет собой -NHCHO и R7 представляет собой водород, или R6 и R7 вместе образуют -NHC(O)-СН=СН-. 7. Соединение по п.1, где R представляет собой двухвалентную группу формулы -(R4a)d-, где R4a представляет собой (4-10С)алкилен. 8. Соединение по п.7, где R4 представляет собой -(СН2)8-, -(СН2)9– и -(СН2)10-. 9. Соединение по п.1, где R4 представляет собой двухвалентную группу формулы:
где R4a представляет собой (1-10С)алкилен; А2 представляет собой (6-10С)арилен или (2-9С)гетероарилен, R4d представляет собой (1-10С)алкилен. 10. Соединение по п.1, где R4 представляет собой двухвалентную группу формулы:
где Q представляет собой -О- или -N(Qk)-, Qk представляет собой водород или (1-3С)алкил, R4a представляет собой (1-10С)алкилен, А2 представляет собой (6-10С)арилен или (2-9С)гетероарилен и R4d представляет собой (1-10С)алкилен. 11. Соединение по п.1, где Q представляет собой -N(Qa)C(O)- или -C(O)N(Qb)-. 12. Соединение по п.11, где R4 выбран из:
где m равно целому числу от 2 до 10 и n равно целому числу от 2 до 10, при условии, что m+n равно целому числу от 4 до 12; где о равно целому числу от 2 до 7 и р равно целому числу от 1 до 6, при условии, что о+р равно целому числу от 3 до 8, и где фен-1,4-иленовая группа необязательно замещена 1-4 заместителями, независимо выбранными из галогена, (1-4С)алкила, (1-4С)алкокси, -S(O)2-(1-4С)алкила, гидрокси, нитро и трифторметокси; где q равно целому числу от 2 до 6, r равно целому числу от 1 до 5 и s равно целому числу от 1 до 5, при условии, что q+r+s равно целому числу от 4 до 8, и где фен-1,4-иленовая группа необязательно замещена 1-4 заместителями, независимо выбранными из галогена, (1-4С)алкила, (1-4С)алкокси, -S(О)2-(1-4С)алкила, гидрокси, нитро и трифторметокси;
где t равно целому числу от 2 до 10 и u равно целому числу от 2 до 10, при условии, что t+u равно целому числу от 4 до 12; где v равно целому числу от 2 до 7 и w равно целому числу от 1 до 6, при условии, что v+w равно целому числу от 3 до 8, и где фен-1,4-иленовая группа необязательно замещена 1-4 заместителями, независимо выбранными из галогена, (1-4С)алкила, (1-4С)алкокси, -S(O)2-(1-4С)алкила, гидрокси, нитро и трифторметокси; и где х равно целому числу от 2 до 6, y равно целому числу от 1 до 5, и z равно целому числу от 1 до 5, при условии, что x+y+z равно целому числу от 4 до 8, и где фен-1,4-иленовая группа необязательно замещена 1-4 заместителями, независимо выбранными из галогена, (1-4С)алкила, (1-4С)алкокси, -S(О)2-(1-4С)алкила, гидрокси, нитро и трифторметокси. 13. Соединение по п.1, представленное формулой II: где W представляет собой О; R4 представляет собой двухвалентную группу формулы: где d, e, f, g, h и i, каждый независимо выбран из 0 и 1; R4a, R4b, R4c и R4d, каждый независимо выбран из (1-10С)алкилена, где каждая алкиленовая группа является незамещенной или замещена 1-5 заместителями, независимо выбранными из (1-4С)алкила, фтора и гидрокси; А1 и А2, каждый независимо выбран из (3-7С)циклоалкилена, (6-10)арилена, -О-(6-10С)арилена, (6-10С)арилен-О-, (2-9С)гетероарилена и (3-6С)гетероциклена, где каждый циклоалкилен является незамещенным или замещен 1-4 заместителями, независимо выбранными из (1-4С)алкила, и каждая ариленовая, гетероариленовая или гетероцикленовая группа является незамещенной или замещена 1-4 заместителями, независимо выбранными из галогена, (1-4С)алкила, (1-4С)алкокси, -S(O)2-(1-4С)алкила, гидрокси, нитро и трифторметокси; Q выбран из связи, -О-, -S(O)2-, -N(Qa)C(O)-, -C(O)N(Qb)-, -N(Qc)S(O)2-, -S(O)2N(Qd)-, -N(Qe)C(O)N(Qf)- и -N(Qk); Qa, Qb, Qc, Qd, Qe, Qf и Qk, каждый независимо выбран из водорода, (1-6С)алкила и А3, где алкильная группа является незамещенной или замещена 1-3 заместителями, независимо выбранными из фтора, гидрокси и (1-4С)алкокси; или вместе с атомом азота и группой R4b или R4c, к которым они присоединены, образуют 4-6-членную азациклоалкиленовую группу; А3 независимо выбран из (3-6С)циклоалкила, (6-10С)арила, (2-9С)гетероарила и (3-6С)гетероциклила, где каждый циклоалкил является незамещенным или замещен 1-4 заместителями, независимо выбранными из (1-4С)алкила, и каждая арильная, гетероарильная или гетероциклильная группа является незамещенной или замещена 1-4 заместителями, независимо выбранными из галогена, (1-4С)алкила и (1-4С)алкокси; при условии, что число смежных атомов в самой короткой цепи между двумя атомами азота, к которым присоединен R4, находится в интервале от 4 до 14; или его фармацевтически приемлемая соль, сольват или стереоизомер. 14. Соединение по п.1, представленное формулой III где W представляет собой О; R4 представляет собой двухвалентную группу формулы: где d, e, f, g, h и i, каждый независимо выбран из 0 и 1; R4a, R4b, R4c и R4d, каждый независимо выбран из (1-10С)алкилена, где каждая алкиленовая группа является незамещенной или замещена 1-5 заместителями, независимо выбранными из (1-4С)алкила, фтора и гидрокси; А1 и А2, каждый независимо выбран из (3-7С)циклоалкилена, (6-10)арилена, -О-(6-10С)арилена, (6-10С)арилен-О-, (2-9С)гетероарилена и (3-6С)гетероциклена, где каждый циклоалкилен является незамещенным или замещен 1-4 заместителями, независимо выбранными из (1-4С)алкила, и каждая ариленовая, гетероариленовая или гетероцикленовая группа является незамещенной или замещена 1-4 заместителями, независимо выбранными из галогена, (1-4С)алкила, (1-4С)алкокси, -S(O)2-(1-4С)алкила, гидрокси, нитро и трифторметокси; Q выбран из связи, -О-, -S(O)2-, -N(Qa)C(O)-, -C(O)N(Qb)-, -N(Qc)S(O)2-, -S(O)2N(Qd)-, -N(Qe)C(O)N(Qf)- и -N(Qk); Qa, Qb, Qc, Qd, Qe, Qf и Qk, каждый независимо выбран из водорода, (1-6С)алкила и А3, где алкильная группа является незамещенной или замещена 1-3 заместителями, независимо выбранными из фтора, гидрокси и (1-4С)алкокси; или вместе с атомом азота и группой R4b или R4c, к которым они присоединены, образуют 4-6-членную азациклоалкиленовую группу; А3 независимо выбран из (3-6С)циклоалкила, (6-10С)арила, (2-9С)гетероарила и (3-6С)гетероциклила, где каждый циклоалкил является незамещенным или замещен 1-4 заместителями, независимо выбранными из (1-4С)алкила, и каждая арильная, гетероарильная или гетероциклильная группа является незамещенной или замещена 1-4 заместителями, независимо выбранными из галогена, (1-4С)алкила и (1-4С)алкокси; при условии, что число смежных атомов в самой короткой цепи между двумя атомами азота, к которым присоединен R4, находится в интервале от 4 до 14; или его фармацевтически приемлемая соль, сольват или стереоизомер. 15. Соединение по п.13 или 14, где число смежных атомов в самой короткой цепи между двумя атомами азота, к которым присоединен R4, находится в пределах от 8 до 14. 16. Соединение по п.13 или 14, где число смежных атомов в самой короткой цепи между двумя атомами азота, к которым присоединен R4, составляет 8, 9, 10 или 11. 17. Соединение по п.13 или 14, где R4 представляет собой двухвалентную группу формулы -(R4a)d-, где R4a представляет собой (4-10С)алкилен. 18. Соединение по п.17, где R4 представляет собой -(СН2)8-, -(СН2)9– и – (СН2)10-. 19. Соединение по п.13 или 14, где R4 представляет собой двухвалентную группу формулы:
где R4a представляет собой (1-10С)алкилен; А2 представляет собой (6-10С)арилен или (2-9С)гетероарилен, R4d представляет собой (1-10С)алкилен. 20. Соединение по п.13 или 14, где R4 представляет собой двухвалентную группу формулы:
где Q представляет собой -О- или -N(Qk)-, Qk представляет собой водород или (1-3С)алкил, R4а представляет собой (1-10С)алкилен, А2 представляет собой (6-10С)арилен или (2-9С)гетероарилен и R4d представляет собой (1-10С)алкилен. 21. Соединение по п.13 или 14, где Q представляет собой -N(Qa)C(O)- или – C(O)N(Qb)-. 22. Соединение по п.21, где R4 выбран из:
где m равно целому числу от 2 до 10 и n равно целому числу от 2 до 10, при условии, что m+n равно целому числу от 4 до 12; где о равно целому числу от 2 до 7 и р равно целому числу от 1 до 6, при условии, что о+р равно целому числу от 3 до 8, и где фен-1,4-иленовая группа необязательно замещена 1-4 заместителями, независимо выбранными из галогена, (1-4С)алкила, (1-4С)алкокси, -S(O)2-(1-4С)алкила, гидрокси, нитро и трифторметокси; где q равно целому числу от 2 до 6, r равно целому числу от 1 до 5, и s равно целому числу от 1 до 5, при условии, что q+r+s равно целому числу от 4 до 8, и где фен-1,4-иленовая группа необязательно замещена 1-4 заместителями, независимо выбранными из галогена, (1-4С)алкила, (1-4С)алкокси, -S(О)2-(1-4С)алкила, гидрокси, нитро и трифторметокси;
где t равно целому числу от 2 до 10, и u равно целому числу от 2 до 10, при условии, что t+u равно целому числу от 4 до 12; где v равно целому числу от 2 до 7, и w равно целому числу от 1 до 6, при условии, что v+w равно целому числу от 3 до 8, и где фен-1,4-иленовая группа необязательно замещена 1-4 заместителями, независимо выбранными из галогена, (1-4С)алкила, (1-4С)алкокси, -S(O)2-(1-4С)алкила, гидрокси, нитро и трифторметокси; и где х равно целому числу от 2 до 6, y равно целому числу от 1 до 5, и z равно целому числу от 1 до 5, при условии, что x+y+z равно целому числу от 4 до 8, и где фен-1,4-иленовая группа необязательно замещена 1-4 заместителями, независимо выбранными из галогена, (1-4С)алкила, (1-4С)алкокси, -S(О)2-(1-4С)алкила, гидрокси, нитро и трифторметокси. 23. Соединение по п.13 или 14, где R4 выбран из: -(СН2)7-; -(СН2)8-; -(СН2)9-; -(СН2)10-; -(СН2)11; -(CH2)2C(O)NH(CH2)5; -(CH2)2N(CH3)C(O)(CH2)5-; -(CH2)2C(O)NH(фен-1,4-илен)СН2-; -(СН2)2NHC(О)(фен-1,4-илен)СН2-; -(CH2)2NHC(O)NH(CH2)5-; -(CH2)3NHC(O)NH(CH2)5-; -(СН2)2С(О)NHCH2(циклогекс-1,3-илен)СН2-; -(СН2)2NHC(О)(циклопент-1,3-илен)-; -(CH2)2NHC(O)NH(фен-1,4-илен)(СН2)2-; 1-[-(СН2)2С(О)](пиперидин-4-ил)(СН2)2-; -(СН2)2NHC(О)(транс-циклогекс-1,4-илен)СН2-; -(СН2)2NHC(О)(цис-циклопент-1,3-илен)-; -(СН2)2NH(фен-1,4-илен)(СН2)2-; 1-[-(СН2)2NHC(О)](пиперидин-4-ил)(СН2)2-; -СН2(фен-1,4-илен)NH(фен-1,4-илен)СН2-; -(СН2)2С(О)NHCH2(фен-1,3-илен)СН2-; -(СН2)2С(О)NHCH2(пирид-2,6-илен)СН2-; -(СН2)2С(О)NH(цис-циклогекс-1,4-илен)СН2-; -(СН2)2С(О)NH(транс-циклогекс-1,4-илен)СН2-; -(СН2)2NHC(О)(цис-циклопент-1,3-илен)СН2-; -(СН2)2N(СН3)С(О)(фен-1,3-илен)СН2-; -(СН2)2N(СН3)С(О)(транс-циклогекс-1,4-илен)СН2-; -(CH2)2C(O)NH(фен-1,4-илен)СН2-; -(СН2)2С(О)NH(фен-1,4-илен)С*Н(СН3)-((S)-изомер); -(СН2)2С(О)NH(фен-1,4-илен)С*Н(СН3)-((R)-изомер); 2-[(S)-(-СН2-](пирролидин-1-ил)С(О)(СН2)4-; 2-[(S)-(-СН2-](пирролидин-1-ил)С(О)(фен-1,4-илен)СН2-; -(СН2)2С(О)NH(4-хлорфен-1,3-илен)СН2-; -СН2(2-фторфен-1,3-илен)СН2-; -(СН2)2С(О)NH(4-метилфен-1,3-илен)СН2-; -(СН2)2С(О)NH(6-хлорфен-1,3-илен)СН2-; -(СН2)2С(О)NH(2-хлорфен-1,4-илен)СН2-; -(СН2)2С(О)NH(2,6-дихлорфен-1,4-илен)СН2-; -(СН2)2NHC(О)NHCH2(фен-1,3-илен)СН2-; 4-[-СН2-](пиперидин-1-ил)С(О)(фен-1,4-илен)СН2-; -(СН2)2С(О)N(СН2СН3)(фен-1,4-илен)СН2-; 1-[-(СН2)2NHC(О)](пиперидин-4-ил)-; -(СН2)2С(О)NH(фен-1,4-илен)(СН2)2; -(СН2)2NHC(О)(тиен-2,5-илен)СН2-; -(СН2)2N(СН3)С(О)(3-нитрофен-1,4-илен)СН2-; -(СН2)2N(СН3)С(О)(транс-циклогекс-1,4-илен)-; 1-[-СН2(2-фторфен-1,3-илен)СН2](пиперидин-4-ил)-; 5-[-(СН2)2NHC(О)](пирид-2-ил)СН2-; -(СН2)2(фен-1,4-илен)(СН2)2-; -(СН2)3(тиен-2,5-илен)(СН2)3-; -(СН2)2(фен-1,4-илен)NH(фен-1,4-илен)(СН2)2-; -СН2(фен-1,2-илен)NH(фен-1,4-илен)(СН2)2-; 1-[-СН2(2-фторфен-1,3-илен)СН2](пиперидин-4-ил)(СН2)2-; 1-[-СН2(2-фторфен-1,3-илен)СН2](пиперидин-4-ил)СН2-; -(СН2)2С(О)NH(3-хлорфен-1,4-илен)СН2-; -(СН2)2С(О)NH(2-(CF3О-)фен-1,4-илен)СН2-; -(СН2)3(фен-1,3-илен)NH(фен-1,4-илен)(СН2)2-; -(CH2)2S(O)2NH(CH2)5-; -СН2(фен-1,3-илен)NH(фен-1,4-илен)(СН2)2-; -(СН2)2С(О)NH(2-иодфен-1,4-илен)СН2-; -(СН2)2С(О)NH(2-хлор-5-метоксифен-1,4-илен)СН2-; -(СН2)2С(О)NH(2-хлор-6-метилфен-1,4-илен)СН2-; -(CH2)2C(O)NH(CH2)5-; -(СН2)2N(СН3)S(О)2(фен-1,4-илен)СН2-; -(СН2)2С(О)NH(2-бромфен-1,4-илен)СН2-; -(СН2)3(фен-1,4-илен)NH(фен-1,4-илен)(СН2)2-; -(СН2)3(фен-1,2-илен)NH(фен-1,4-илен)(СН2)2-; 1-[-СН2(2-фторфен-1,3-илен)СН2](пиперидин-4-ил)(СН2)3-; -(CH2)2C(O)NH(2-метоксифен-1,4-илен)СН2-; -(СН2)5NH(фен-1,4-илен)(СН2)2-; 4-[-(СН2)2-](пиперидин-1-ил)(фен-1,4-илен)(СН2)2-; -(СН2)2С(О)NH(фен-1,4-илен)СН(СН3)СН2-; -(СН2)2-(транс-циклогекс-1,4-илен)NH(фен-1,4-илен)(СН2)2-; -(СН2)2С(О)NH(2-фторфен-1,4-илен)СН2-; -(СН2)2(фен-1,3-илен)NH(фен-1,4-илен)(СН2)2-; -(СН2)2С(О)NH(2,5-дифторфен-1,4-илен)СН2-; -(СН2)2NHC(О)(фен-1,4-илен)(СН2)2-; 1-[-СН2(пирид-2,6-илен)СН2](пиперидин-4-ил)СН2-; -(СН2)3NH(фен-1,4-илен)(СН2)2-; -(СН2)2NH(нафт-1,4-илен)(СН2)2-; -(СН2)3О(фен-1,4-илен)СН2-; 1-[-(СН2)3](пиперидин-4-ил)СН2-; 4-[-(СН2)2](пиперидин-1-ил)С(О)(фен-1,4-илен)СН2-; -(СН2)3(фен-1,4-илен)]NHC(О)(СН2)2-; -(СН2)3О(фен-1,4-илен)(СН2)2-; 2-[-(СН2)2](бензимидазол-5-ил)СН2-; -(СН2)2(транс-циклогекс-1,4-илен)NHC(О)(СН2)2-; -(СН2)2-(транс-циклогекс-1,4-илен)NHC(O)(CH2)4-; -(СН2)2-(транс-циклогекс-1,4-илен)NHC(О)(СН2)5-; 4-[-(СН2)2](пиперидин-1-ил)С(О)(СН2)2; -(СН2)2NHC(О)NH(фен-1,4-илен)СН2-; -(СН2)2N(СН3)(СН2)2(цис-циклогекс-1,4-илен)-; -(СН2)2С(О)NH(2,3,5,6-тетрафторфен-1,4-илен)СН2-; -(CH2)2C(O)NH(2,6-дииодфен-1,4-илен)CH2-; 4-[-(СН2)2](пиперидин-1-ил)С(О)(СН2)3-; 4-[-(СН2)2](пиперидин-1-ил)С(О)(СН2)4-; 4-[-(СН2)2](пиперидин-1-ил)С(О)(СН2)5-; -(СН2)2С(О)NHCH2(фен-1,4-илен)СН2-; -(СН2)2NHC(О)NHCH2(фен-1,4-илен)СН2-; -(СН2)2С(О)NH(2-метилфен-1,4-илен)СН2-; 1-[-(СН2)3О(фен-1,4-илен)(СН2)2](пиперидин-4-ил)СН2-; -(СН2)2С(О)NHCH2(фен-1,3-илен)(СН2)2-; -(СН2)2О(фен-1,3-илен)(СН2)2-; -(СН2)2N(СН3)С(О)СН2О(фен-1,4-илен)СН2-; -(СН2)2N(СН3)С(О)СН2О(фен-1,3-илен)СН2-; -(СН2)2N(СН3)С(О)(фур-2,5-илен)СН2-; -(СН2)2N(СН3)С(О)(тиен-2,5-илен)СН2-; -(СН2)2О(фен-1,4-илен)О(СН2)2-; -(СН2)2(транс-циклогекс-1,4-илен)NHC(O)(фен-1,4-илен)СН2-; -(СН2)2(транс-циклогекс-1,4-илен)NHC(О)СН2О(фен-1,2-илен)СН2-; -(СН2)2(транс-циклогекс-1,4-илен)NHC(О)СН2О(фен-1,3-илен)СН2-; -(СН2)2(транс-циклогекс-1,4-илен)NHC(О)СН2О(фен-1,4-илен)СН2-; -(СН2)2(транс-циклогекс-1,4-илен)NHC(О)(фур-2,5-илен)СН2-; -(СН2)2(транс-циклогекс-1,4-илен)NHC(О)(тиен-2,5-илен)СН2-; 4-[-(СН2)2](пиперидин-1-ил)С(О)СН2О(фен-1,2-илен)СН2-; 4-[-(СН2)2](пиперидин-1-ил)С(О)СН2О(фен-1,3-илен)СН2-; 4-[-(СН2)2](пиперидин-1-ил)С(О)СН2О(фен-1,4-илен)СН2-; 4-[-(СН2)2](пиперидин-1-ил)С(О)(фур-2,5-илен)СН2-; 4-[-(СН2)2](пиперидин-1-ил)С(О)(тиен-2,5-илен)СН2-; -(СН2)2(фен-1,4-илен)NHC(О)(фен-1,3-илен)СН2-; -(СН2)2(фен-1,4-илен)NHC(O)(фен-1,4-илен)СН2-; -(СН2)2(фен-1,4-илен)NHC(О)СН2О(фен-1,2-илен)СН2-; -(СН2)2(фен-1,4-илен)NHC(О)СН2О(фен-1,3-илен)СН2-; -(СН2)2(фен-1,4-илен)]NHC(О)СН2О(фен-1,4-илен)СН2-; -(СН2)2(фен-1,4-илен)NHC(О)(фур-2,5-илен)СН2-; -(СН2)2(фен-1,4-илен)NHC(О)(тиен-2,5-илен)СН2-; -(СН2)2(транс-циклогекс-1,4-илен)NHC(О)(фен-1,3-илен)СН2-; -(СН2)3О(фен-1,3-илен)СН2-; -CH2CH(OH)CH2NH(фен-1,4-илен)(СН2)2-; -(СН2)4NH(фен-1,4-илен)(СН2)2-; -(СН2)2С(О)NH(фен-1,4-илен)CH2NHC(O)CH2-; -(СН2)2С(О)NH(фен-1,4-илен)(СН2)2NHC(О)СН2-; -(СН2)2С(О)NHCH2(транс-циклогекс-1,4-илен)СН2-; -(CH2)2NHC(O)(CH2)5-; -(СН2)2О(фен-1,3-илен)О(СН2)2-; -(СН2)2О(фен-1,2-илен)О(СН2)2-; -СН2(фен-1,2-илен)О(фен-1,2-илен)СН2-; -(CH2)2C(O)NH(CH2)6-; -(СН2)3(фен-1,4-илен)(СН2)3-; -(СН2)3(фен-1,4-илен)(СН2)2-; -(СН2)4(фен-1,4-илен)(СН2)2-; -(СН2)3(фуран-2,5-илен)(СН2)3-; -(СН2)2N(СН3)С(О)NH(фен-1,4-илен)(СН2)2-; 4-[-(СН2)2](пиперидин-1-ил)С(О)NH(фен-1,4-илен)(СН2)2-; -(СН2)3(фен-1,3-илен)(СН2)3-; -(СН2)3(тетрагидрофуран-2,5-илен)(СН2)3-, и -(СН2)2О(фен-1,4-илен)С(О)(СН2)2-. 24. Соединение формулы I: где а представляет собой 0 или целое число от 1 до 3; каждый R1 независимо выбран из галогена; b представляет собой 0 или целое число от 1 до 3; каждый R2 независимо выбран из галогена; W присоединен в положении 3 или 4 относительно атома азота в пиперидиновом кольце и представляет собой О; с представляет собой 0 или целое число от 1 до 4; каждый R3 представляет собой заместитель у атома углерода, независимо выбранный из (1-4С)алкила; R4 представляет собой двухвалентную группу формулы: где d, e, f, g, h и i, каждый независимо выбран из 0 и 1; R4a, R4b, R4c и R4d, каждый независимо выбран из (1-10С)алкилена, где каждая алкиленовая группа является незамещенной или замещена 1-5 заместителями, независимо выбранными из (1-4С)алкила, фтора и гидрокси; А1 и А2, каждый независимо выбран из (3-7С)циклоалкилена, (6-10)арилена, (2-9С)гетероарилена и (3-6С)гетероциклена, где каждый циклоалкилен является незамещенным или замещен 1-4 заместителями, независимо выбранными из (1-4С)алкила, и каждая ариленовая, гетероариленовая или гетероцикленовая группа является незамещенной или замещена 1-4 заместителями, независимо выбранными из галогена, (1-4С)алкила и (1-4С)алкокси; Q выбран из связи, -О-, -S(O)2-, -N(Qa)C(O)-, -C(O)N(Qb)-, -N(Qc)S(O)2-, -S(O)2N(Qd)- и -N(Qe)C(O)N(Qf)-; Qa, Qb, Qc, Qd, Qe и Qf, каждый независимо выбран из водорода, (1-6С)алкила и А3, где алкильная группа является незамещенной или замещена 1-3 заместителями, независимо выбранными из фтора, гидрокси и (1-4С)алкокси; или вместе с атомом азота и группой R4b или R4c, к которым они присоединены, образуют 4-6-членную азациклоалкиленовую группу; А3 независимо выбран из (3-6С)циклоалкила, (6-10С)арила, (2-9С)гетероарила и (3-6С)гетероциклила, где каждый циклоалкил является незамещенным или замещен 1-4 заместителями, независимо выбранными из (1-4С)алкила, и каждая арильная, гетероарильная или гетероциклильная группа является незамещенной или замещена 1-4 заместителями, независимо выбранными из галогена, (1-4С)алкила и (1-4С)алкокси; при условии, что число смежных атомов в самой короткой цепи между двумя атомами азота, к которым присоединен R4, находится в интервале от 8 до 14; R5 представляет собой водород или (1-4С)алкил; R6 представляет собой -NR6aCR6b(O) и R7 представляет собой водород; или R6 и R7 вместе образуют -NR7aC(O)-CR7b=CR7c-; каждый из R6a и R6b независимо представляет собой водород или (1-4С)алкил; и каждый из R7a, R7b и R7c независимо представляет собой водород или (1-4С)алкил; или его фармацевтически приемлемая соль, сольват или стереоизомер. 25. Соединение по п.1, выбранное из: 1-{9-[2-гидрокси-2-(8-гидрокси-2-оксо-1,2-дигидрохинолин-5-ил)этиламино]нонил}пиперидин-4-илового эфира бифенил-2-илкарбаминовой кислоты; 1-{9-[(R)-2-гидрокси-2-(8-гидрокси-2-оксо-1,2-дигидрохинолин-5-ил)этиламино]нонил}пиперидин-4-илового эфира бифенил-2-илкарбаминовой кислоты; 1-{9-[(R)-2-(3-формиламино-4-гидроксифенил)-2-гидроксиэтиламино]нонил}пиперидин-4-илового эфира бифенил-2-илкарбаминовой кислоты; 1-{9-[(R)-2-гидрокси-2-(8-гидрокси-2-оксо-1,2,3,4-тетрагидрохинолин-5-ил)этиламино]нонил}пиперидин-4-илового эфира бифенил-2-илкарбаминовой кислоты; 1-(2-{5-[(R)-2-гидрокси-2-(8-гидрокси-2-оксо-1,2-дигидрохинолин-5-ил)этиламино]пентилкарбамоил}этил)пиперидин-4-илового эфира бифенил-2-илкарбаминовой кислоты; 1-[2-({6-[(R)-2-гидрокси-2-(8-гидрокси-2-оксо-1,2-дигидрохинолин-5-ил)этиламино]гексаноил}метиламино)этил]пиперидин-4-илового эфира бифенил-2-илкарбаминовой кислоты; 1-[2-(4-{[(R)-2-гидрокси-2-(8-гидрокси-2-оксо-1,2-дигидрохинолин-5-ил)этиламино]метил}фенилкарбамоил)этил]пиперидин-4-илового эфира бифенил-2-илкарбаминовой кислоты; 1-[2-(4-{[(R)-2-гидрокси-2-(8-гидрокси-2-оксо-1,2-дигидрохинолин-5-ил)этиламино]метил}бензоиламино)этил]пиперидин-4-илового эфира бифенил-2-илкарбаминовой кислоты; 1-[2-(3-{5-[(R)-2-гидрокси-2-(8-гидрокси-2-оксо-1,2-дигидрохинолин-5-ил)этиламино]пентил}уреидо)этил]пиперидин-4-илового эфира бифенил-2-илкарбаминовой кислоты; 1-[3-(3-{5-[(R)-2-гидрокси-2-(8-гидрокси-2-оксо-1,2-дигидрохинолин-5-ил)этиламино]пентил}уреидо)пропил]пиперидин-4-илового эфира бифенил-2-илкарбаминовой кислоты; 1-{2-[(3-{[(R)-2-гидрокси-2-(8-гидрокси-2-оксо-1,2-дигидрохинолин-5-ил)этиламино]метил}циклогексилметил)карбамоил]этил}пиперидин-4-илового эфира бифенил-2-илкарбаминовой кислоты; 1-[2-(2-хлор-4-{[(R)-2-гидрокси-2-(8-гидрокси-2-оксо-1,2-дигидрохинолин-5-ил)этиламино]метил}фенилкарбамоил)этил]пиперидин-4-илового эфира бифенил-2-илкарбаминовой кислоты; 1-(2-{5-[(R)-2-гидрокси-2-(8-гидрокси-2-оксо-1,2-дигидрохинолин-5-ил)этиламино]пентилсульфамоил}этил)пиперидин-4-илового эфира бифенил-2-илкарбаминовой кислоты; 1-{2-[(4-{[(R)-2-гидрокси-2-(8-гидрокси-2-оксо-1,2-дигидрохинолин-5-ил)этиламино]метил}бензолсульфонил)метиламино]этил} пиперидин-4-илового эфира бифенил-2-илкарбаминовой кислоты; 1-{2-[3-(3-{[(R)-2-гидрокси-2-(8-гидрокси-2-оксо-1,2-дигидрохинолин-5-ил)этиламино]метил}бензил)уреидо]этил}пиперидин-4-илового эфира бифенил-2-илкарбаминовой кислоты; 1-{3-[4-(4-{2-[(R)-2-гидрокси-2-(8-гидрокси-2-оксо-1,2-дигидрохинолин-5-ил)этиламино]этил}фениламино)фенил]пропил}пиперидин-4-илового эфира бифенил-2-илкарбаминовой кислоты; 1-[2-фтор-3-(4-{[(R)-2-гидрокси-2-(8-гидрокси-2-оксо-1,2-дигидрохинолин-5-ил)этиламино]метил}пиперидин-1-илметил)бензил]пиперидин-4-илового эфира бифенил-2-илкарбаминовой кислоты; 1-[3-(4-{2-[(R)-2-гидрокси-2-(8-гидрокси-2-оксо-1,2-дигидрохинолин-5-ил)этиламино]этил}фенокси)пропил]пиперидин-4-илового эфира бифенил-2-илкарбаминовой кислоты; 1-[2-(4-{2-[(R)-2-гидрокси-2-(8-гидрокси-2-оксо-1,2-дигидрохинолин-5-ил)этиламино]этил}фенил)этил]пиперидин-4-илового эфира бифенил-2-илкарбаминовой кислоты; 1-[3-(4-{[(R)-2-гидрокси-2-(8-гидрокси-2-оксо-1,2-дигидрохинолин-5-ил)этиламино]метил}пиперидин-1-ил)пропил]пиперидин-4-илового эфира бифенил-2-илкарбаминовой кислоты; 1-[2-(2-хлор-4-{[(R)-2-гидрокси-2-(8-гидрокси-2-оксо-1,2-дигидрохинолин-5-ил)этиламино]метил}-5-метоксифенилкарбамоил)этил]пиперидин-4-илового эфира бифенил-2-илкарбаминовой кислоты; 1-{7-[(R)-2-гидрокси-2-(8-гидрокси-2-оксо-1,2-дигидрохинолин-5-ил)этиламино]гептил}пиперидин-4-илового эфира бифенил-2-илкарбаминовой кислоты; 1-{8-[(R)-2-гидрокси-2-(8-гидрокси-2-оксо-1,2-дигидрохинолин-5-ил)этиламино]октил}пиперидин-4-илового эфира бифенил-2-илкарбаминовой кислоты; 1-{2-[3-(4-{2-[(R)-2-гидрокси-2-(8-гидрокси-2-оксо-1,2-дигидрохинолин-5-ил)этиламино]этил}фенил)уреидо]этил}пиперидин-4-илового эфира бифенил-2-илкарбаминовой кислоты, 1-[3-(4-{2-[(R)-2-гидрокси-2-(8-гидрокси-2-оксо-1,2-дигидрохинолин-5-ил)этиламино]этил}пиперидин-1-ил)-3-оксопропил]пиперидин-4-илового эфира бифенил-2-илкарбаминовой кислоты; 1-{2-[(4-{[(R)-2-гидрокси-2-(8-гидрокси-2-оксо-1,2-дигидрохинолин-5-ил)этиламино]метил}циклогексанкарбонил)амино]этил}пиперидин-4-илового эфира бифенил-2-илкарбаминовой кислоты; 1-[2-({(1R,3S)-3-[(R)-2-(3-формиламино-4-гидроксифенил)-2-гидроксиэтиламино]циклопентанкарбонил}амино)этил]пиперидин-4-илового эфира бифенил-2-илкарбаминовой кислоты; 1-[2-(3-{5-[(R)-2-(3-формиламино-4-гидроксифенил)-2-гидроксиэтиламино]пентил}уреидо)этил]пиперидин-4-илового эфира бифенил-2-илкарбаминовой кислоты; 1-[2-(4-(2-[(R)-2-гидрокси-2-(8-гидрокси-2-оксо-1,2-дигидрохинолин-5-ил)этиламино]этил}фениламино)этил]пиперидин-4-илового эфира бифенил-2-илкарбаминовой кислоты; 1-[3-(3-{5-[2-(3-формиламино-4-гидроксифенил)-2-гидроксиэтиламино]пентил}уреидо)пропил]пиперидин-4-илового эфира бифенил-2-илкарбаминовой кислоты; 1-{2-[(4-{2-[(R)-2-гидрокси-2-(8-гидрокси-2-оксо-1,2-дигидрохинолин-5-ил)этиламино]этил}пиперидин-1-карбонил)амино]этил}пиперидин-4-илового эфира бифенил-2-илкарбаминовой кислоты; 1-[4-(4-{2-[(R)-2-гидрокси-2-(8-гидрокси-2-оксо-1,2-дигидрохинолин-5-ил)этиламино]этил}фениламино)бензил]пиперидин-4-илового эфира бифенил-2-илкарбаминовой кислоты; 1-[2-(3-{[(R)-2-гидрокси-2-(8-гидрокси-2-оксо-1,2-дигидрохинолин-5-ил)этиламино]метил}бензилкарбамоил)этил]пиперидин-4-илового эфира бифенил-2-илкарбаминовой кислоты; 3-[4-(3-бифенил-2-илуреидо)пиперидин-1-ил]-N-(4-{[(R)-2-гидрокси-2-(8-гидрокси-2-оксо-1,2-дигидрохинолин-5-ил)этиламино]метил}фенил)пропионамид; 1-{2-[(6-{[(R)-2-гидрокси-2-(8-гидрокси-2-оксо-1,2-дигидрохинолин-5-ил)этиламино]метил}пиридин-2-илметил)карбамоил]этил}пиперидин-4-илового эфира бифенил-2-илкарбаминовой кислоты; 1-[2-(4-{[(R)-2-гидрокси-2-(8-гидрокси-2-оксо-1,2-дигидрохинолин-5-ил)этиламино]метил}циклогексилкарбамоил)этил]пиперидин-4-илового эфира бифенил-2-илкарбаминовой кислоты; 1-[2-(4-{[(R)-2-гидрокси-2-(8-гидрокси-2-оксо-1,2-дигидрохинолин-5-ил)этиламино]метил}циклогексилкарбамоил)этил]пиперидин-4-илового эфира бифенил-2-илкарбаминовой кислоты; 1-[2-({(1R,3S)-3-[(R)-2-гидрокси-2-(8-гидрокси-2-оксо-1,2-дигидрохинолин-5-ил)этиламино]циклопентанкарбонил}амино)этил]пиперидин-4-илового эфира бифенил-2-илкарбаминовой кислоты; 1-{2-[(3-{[(R)-2-гидрокси-2-(8-гидрокси-2-оксо-1,2-дигидрохинолин-5-ил)этиламино]метил}бензоил)метиламино]этил}пиперидин-4-илового эфира бифенил-2-илкарбаминовой кислоты; 1-{2-[(4-{[(R)-2-гидрокси-2-(8-гидрокси-2-оксо-1,2-дигидрохинолин-5-ил)этиламино]метил}циклогексанкарбонил)метиламино]этил}пиперидин-4-илового эфира бифенил-2-илкарбаминовой кислоты; 1-[2-(4-{[2-гидрокси-2-(8-гидрокси-2-оксо-1,2-дигидрохинолин-5-ил)этиламино]метил}фенилкарбамоил)этил]пиперидин-4-илового эфира бифенил-2-илкарбаминовой кислоты; 1-[2-(4-{(S)-1-[(R)-2-гидрокси-2-(8-гидрокси-2-оксо-1,2-дигидрохинолин-5-ил)этиламино]этил}фенилкарбамоил)этил]пиперидин-4-илового эфира бифенил-2-илкарбаминовой кислоты; 1-[2-(4-{(R)-1-[(R)-2-гидрокси-2-(8-гидрокси-2-оксо-1,2-дигидрохинолин-5-ил)этиламино]этил}фенилкарбамоил)этил]пиперидин-4-илового эфира бифенил-2-илкарбаминовой кислоты; 1-((S)-1-{5-[(R)-2-гидрокси-2-(8-гидрокси-2-оксо-1,2-дигидрохинолин-5-ил)этиламино]пентаноил}пирролидин-2-илметил)пиперидин-4-илового эфира бифенил-2-илкарбаминовой кислоты; 1-[(S)-1-(4-{[(R)-2-гидрокси-2-(8-гидрокси-2-оксо-1,2-дигидрохинолин-5-ил)этиламино]метил}бензоил)пирролидин-2-илметил]пиперидин-4-илового эфира бифенил-2-илкарбаминовой кислоты; 1-[2-(4-{[(R)-2-(3-формиламино-4-гидроксифенил)-2-гидроксиэтиламино]метил}фенилкарбамоил)этил]пиперидин-4-илового эфира бифенил-2-илкарбаминовой кислоты; 1-[2-(4-{(R)-1-[(R)-2-(3-формиламино-4-гидроксифенил)-2-гидроксиэтиламино]этил}фенилкарбамоил)этил]пиперидин-4-илового эфира бифенил-2-илкарбаминовой кислоты; 1-[2-(4-хлор-3-{[(R)-2-гидрокси-2-(8-гидрокси-2-оксо-1,2-дигидрохинолин-5-ил)этиламино]метил}фенилкарбамоил)этил]пиперидин-4-илового эфира бифенил-2-илкарбаминовой кислоты; N-{2-[4-(3-бифенил-2-илуреидо)пиперидин-1-ил]этил}-4-{[(R)-2-гидрокси-2-(8-гидрокси-2-оксо-1,2-дигидрохинолин-5-ил)этиламино]метил} бензамида; 1-бифенил-2-ил-3-{1-[3-(4-{2-[(R)-2-гидрокси-2-(8-гидрокси-2-оксо-1,2-дигидрохинолин-5-ил)этиламино]этил}пиперидин-1-ил)-3-оксопропил]пиперидин-4-ил}мочевины; 3-[4-(3-бифенил-2-илуреидо)пиперидин-1-ил]-N-(3-{[(R)-2-гидрокси-2-(8-гидрокси-2-оксо-1,2-дигидрохинолин-5-ил)этиламино]метил} бензил)пропионамида; 1-(2-фтор-3-{[(R)-2-гидрокси-2-(8-гидрокси-2-оксо-1,2-дигидрохинолин-5-ил)этиламино]метил}бензил)пиперидин-4-илового эфира бифенил-2-илкарбаминовой кислоты; 1-[2-(3-{[(R)-2-гидрокси-2-(8-гидрокси-2-оксо-1,2-дигидрохинолин-5-ил)этиламино]метил}-4-метилфенилкарбамоил)этил]пиперидин-4-илового эфира бифенил-2-илкарбаминовой кислоты; 1-[2-(2-хлор-5-{[(R)-2-гидрокси-2-(8-гидрокси-2-оксо-1,2-дигидрохинолин-5-ил)этиламино]метил}фенилкарбамоил)этил]пиперидин-4-илового эфира бифенил-2-илкарбаминовой кислоты; 1-[2-(2,6-дихлор-4-{[(R)-2-гидрокси-2-(8-гидрокси-2-оксо-1,2-дигидрохинолин-5-ил)этиламино]метил}фенилкарбамоил)этил]пиперидин-4-илового эфира бифенил-2-илкарбаминовой кислоты; 1-[1-(4-{[(R)-2-гидрокси-2-(8-гидрокси-2-оксо-1,2-дигидрохинолин-5-ил)этиламино]метил}бензоил)пиперидин-4-илметил]пиперидин-4-илового эфира бифенил-2-илкарбаминовой кислоты; 1-[2-(4-{[(R)-2-(3-формиламино-4-гидроксифенил)-2-гидроксиэтиламино]метил}бензоиламино)этил]пиперидин-4-илового эфира бифенил-2-илкарбаминовой кислоты; 1-{2-[этил-(4-{[(R)-2-гидрокси-2-(8-гидрокси-2-оксо-1,2-дигидрохинолин-5-ил)этиламино]метил}фенил)карбамоил]этил}пиперидин-4-илового эфира бифенил-2-илкарбаминовой кислоты; 1-(3-{4-[(R)-2-гидрокси-2-(8-гидрокси-2-оксо-1,2-дигидрохинолин-5-ил)этиламино]пиперидин-1-ил}-3-оксопропил)пиперидин-4-илового эфира бифенил-2-илкарбаминовой кислоты; 1-[2-(4-{2-[(R)-2-гидрокси-2-(8-гидрокси-2-оксо-1,2-дигидрохинолин-5-ил)этиламино]этил}фенилкарбамоил)этил]пиперидин-4-илового эфира бифенил-2-илкарбаминовой кислоты; 1-{2-[(5-{[(R)-2-гидрокси-2-(8-гидрокси-2-оксо-1,2-дигидрохинолин-5-ил)этиламино]метил} тиофен-2-карбонил)амино]этил}пиперидин-4-илового эфира бифенил-2-илкарбаминовой кислоты; 1-{2-[(4-{[(R)-2-гидрокси-2-(8-гидрокси-2-оксо-1,2-дигидрохинолин-5-ил)этиламино]метил}-3-нитробензоил)метиламино]этил}пиперидин-4-илового эфира бифенил-2-илкарбаминовой кислоты; 1-[2-(4-{[(R)-2-(3-формиламино-4-гидроксифенил)-2-гидроксиэтиламино]метил}циклогексилкарбамотил)этил]пиперидин-4-илового эфира бифенил-2-илкарбаминовой кислоты; 1-[2-({4-[(R)-2-гидрокси-2-(8-гидрокси-2-оксо-1,2-дигидрохинолин-5-ил)этиламино]циклогексанкарбонил}метиламино)этил]пиперидин-4-илового эфира бифенил-2-илкарбаминовой кислоты; 1-(2-фтор-3-{4-[(R)-2-гидрокси-2-(8-гидрокси-2-оксо-1,2-дигидрохинолин-5-ил)этиламино]пиперидин-1-илметил}бензил)пиперидин-4-илового эфира бифенил-2-илкарбаминовой кислоты; 1-{2-[(6-{[(R)-2-гидрокси-2-(8-гидрокси-2-оксо-1,2-дигидрохинолин-5-ил)этиламино]метил}пиридин-3-карбонил)амино]этил}пиперидин-4-илового эфира бифенил-2-илкарбаминовой кислоты; 1-[3-(5-{3-[(R)-2-гидрокси-2-(8-гидрокси-2-оксо-1,2-дигидрохинолин-5-ил)этиламино]пропил}тиофен-2-ил)пропил]пиперидин-4-илового эфира бифенил-2-илкарбаминовой кислоты; 1-[2-(4-{2-[(R)-2-(3-формиламино-4-гидроксифенил)-2-гидроксиэтиламино]этил}фенилкарбамоил)этил]пиперидин-4-илового эфира бифенил-2-илкарбаминовой кислоты; 1-[2-(4-{2-[(R)-2-гидрокси-2-(8-гидрокси-2-оксо-1,2-дигидрохинолин-5-ил)этиламино]этил}фениламино)бензил] пиперидин-4-илового эфира бифенил-2-илкарбаминовой кислоты; 1-[2-фтор-3-(4-{2-[(R)-2-гидрокси-2-(8-гидрокси-2-оксо-1,2-дигидрохинолин-5-ил)этиламино]этил}пиперидин-1-илметил)бензил]пиперидин-4-илового эфира бифенил-2-илкарбаминовой кислоты; 1-[3-(4-{2-[(R)-2-гидрокси-2-(8-гидрокси-2-оксо-1,2-дигидрохинолин-5-ил)этиламино]этил}фениламино)пропил]пиперидин-4-илового эфира бифенил-2-илкарбаминовой кислоты; 1-[2-(3-хлор-4-{[(R)-2-гидрокси-2-(8-гидрокси-2-оксо-1,2-дигидрохинолин-5-ил)этиламино]метил}фенилкарбамоил)этил]пиперидин-4-илового эфира бифенил-2-илкарбаминовой кислоты; 1-[2-(4-{[(R)-2-гидрокси-2-(8-гидрокси-2-оксо-1,2-дигидрохинолин-5-ил)этиламино]метил}-2-трифторметоксифенилкарбамоил)этил]пиперидин-4-илового эфира бифенил-2-илкарбаминовой кислоты; 1-{3-[3-(4-{2-[(R)-2-гидрокси-2-(8-гидрокси-2-оксо-1,2-дигидрохинолин-5-ил)этиламино]этил}фениламино)фенил]пропил}пиперидин-4-илового эфира бифенил-2-илкарбаминовой кислоты; 1-[3-(4-{2-[(8)-2-гидрокси-2-(8-гидрокси-2-оксо-1,2-дигидрохинолин-5-ил)этиламино]этил}фениламино)бензил]пиперидин-4-илового эфира бифенил-2-илкарбаминовой кислоты; 1-[2-(4-{[(R)-2-гидрокси-2-(8-гидрокси-2-оксо-1,2-дигидрохинолин-5-ил)этиламино]метил}-2-иодфенилкарбамоил)этил]пиперидин-4-илового эфира бифенил-2-илкарбаминовой кислоты; 1-[2-(2-хлор-4-{[(R)-2-гидрокси-2-(8-гидрокси-2-оксо-1,2-дигидрохинолин-5-ил)этиламино]метил}-6-метилфенилкарбамоил)этил]пиперидин-4-илового эфира бифенил-2-илкарбаминовой кислоты; 1-(2-{5-[2-гидрокси-2-(8-гидрокси-2-оксо-1,2-дигидрохинолин-5-ил)этиламино]пентилкарбамоил}этил)пиперидин-4-илового эфира бифенил-2-илкарбаминовой кислоты; 1-[2-(2-бром-4-{[(R)-2-гидрокси-2-(8-гидрокси-2-оксо-1,2-дигидрохинолин-5-ил)этиламино]метил}фенилкарбамоил)этил]пиперидин-4-илового эфира бифенил-2-илкарбаминовой кислоты; 1-{3-[2-(4-{2-[(R)-2-гидрокси-2-(8-гидрокси-2-оксо-1,2-дигидрохинолин-5-ил)этиламино]этил}фениламино)фенил]пропил}пиперидин-4-илового эфира бифенил-2-илкарбаминовой кислоты; 1-[2-фтор-3-(4-{3-[(R)-2-гидрокси-2-(8-гидрокси-2-оксо-1,2-дигидрохинолин-5-ил)этиламино]пропил}пиперидин-1-илметил)бензил]пиперидин-4-илового эфира бифенил-2-илкарбаминовой кислоты; 1-[2-(4-{[(R)-2-гидрокси-2-(8-гидрокси-2-оксо-1,2-дигидрохинолин-5-ил)этиламино]метил}-2-метоксифенилкарбамоил)этил]пиперидин-4-илового эфира бифенил-2-илкарбаминовой кислоты; 1-[5-(4-{2-[(R)-2-гидрокси-2-(8-гидрокси-2-оксо-1,2-дигидрохинолин-5-ил)этиламино]этил}фениламино)пентил]пиперидин-4-илового эфира бифенил-2-илкарбаминовой кислоты; 1-{2-[1-(4-{2-[R)-2-гидрокси-2-(8-гидрокси-2-оксо-1,2-дигидрохинолин-5-ил)этиламино]этил}фенил)пиперидин-4-ил]этил}пиперидин-4-илового эфира бифенил-2-илкарбаминовой кислоты; 1-[2-(4-(2-[(R)-2-гидрокси-2-(8-гидрокси-2-оксо-1,2-дигидрохинолин-5-ил)этиламино]-1-метилэтил}фенилкарбамоил)этил]пиперидин-4-илового эфира бифенил-2-илкарбаминовой кислоты; 1-{2-[4-(4-{2-[(R)-2-гидрокси-2-(8-гидрокси-2-оксо-1,2-дигидрохинолин-5-ил)этиламино]этил}фениламино)циклогексил]этил}пиперидин-4-илового эфира бифенил-2-илкарбаминовой кислоты; 1-[2-(2-фтор-4-{[(R)-2-гидрокси-2-(8-гидрокси-2-оксо-1,2-дигидрохинолин-5-ил)этиламино]метил}фенилкарбамоил)этил]пиперидин-4-илового эфира бифенил-2-илкарбаминовой кислоты; 1-{2-[3-(4-{2-[(R)-2-гидрокси-2-(8-гидрокси-2-оксо-1,2-дигидрохинолин-5-ил)этиламино]этил}фениламино)фенил]этил}пиперидин-4-илового эфира бифенил-2-илкарбаминовой кислоты; 1-[2-(2,5-дифтор-4-{[(R)-2-гидрокси-2-(8-гидрокси-2-оксо-1,2-дигидрохинолин-5-ил)этиламино]метил}фенилкарбамоил)этил]пиперидин-4-илового эфира бифенил-2-илкарбаминовой кислоты; 1-[2-(4-{2-[(R)-2-гидрокси-2-(8-гидрокси-2-оксо-1,2-дигидрохинолин-5-ил)этиламино]этил}бензоиламино)этил]пиперидин-4-илового эфира бифенил-2-илкарбаминовой кислоты; 1-[6-(4-{[(R)-2-гидрокси-2-(8-гидрокси-2-оксо-1,2-дигидрохинолин-5-ил)этиламино]метил}пиперидин-1-илметил)пиридин-2-илметил]пиперидин-4-илового эфира бифенил-2-илкарбаминовой кислоты; 1-[2-(4-{2-[(R)-2-гидрокси-2-(8-гидрокси-2-оксо-1,2-дигидрохинолин-5-ил)этиламино]этил}нафталин-1-илкарбамоил)этил]пиперидин-4-илового эфира бифенил-2-илкарбаминовой кислоты; 1-{2-[1-(4-{[(R)-2-гидрокси-2-(8-гидрокси-2-оксо-1,2-дигидрохинолин-5-ил)этиламино]метил}бензоил)пиперидин-4-ил]этил}пиперидин-4-илового эфира бифенил-2-илкарбаминовой кислоты; 1-[3-(4-{3-[(R)-2-гидрокси-2-(8-гидрокси-2-оксо-1,2-дигидрохинолин-5-ил)этиламино]пропиониламино}фенил)пропил]пиперидин-4-илового эфира бифенил-2-илкарбаминовой кислоты; 1-[3-(4-{[(R)-2-гидрокси-2-(8-гидрокси-2-оксо-1,2-дигидрохинолин-5-ил)этиламино]метил}фенокси)пропил]пиперидин-4-илового эфира бифенил-2-илкарбаминовой кислоты; 1-[2-(5-{[R)-2-гидрокси-2-(8-гидрокси-2-оксо-1,2-дигидрохинолин-5-ил)этиламино]метил}-1Н-бензоимидазол-2-ил)этил]пиперидин-4-илового эфира бифенил-2-илкарбаминовой кислоты; 1-[2-(4-{3-[(R)-2-гидрокси-2-(8-гидрокси-2-оксо-1,2-дигидрохинолин-5-ил)этиламино]пропиониламино}циклогексил)этил]пиперидин-4-илового эфира бифенил-2-илкарбаминовой кислоты; 1-[2-(4-{5-[(R)-2-гидрокси-2-(8-гидрокси-2-оксо-1,2-дигидрохинолин-5-ил)этиламино]пентаноиламино}циклогексил)этил]пиперидин-4-илового эфира бифенил-2-илкарбаминовой кислоты; 1-[2-(4-{6-[(R)-2-гидрокси-2-(8-гидрокси-2-оксо-1,2-дигидрохинолин-5-ил)этиламино]гексаноиламино}циклогексил)этил]пиперидин-4-илового эфира бифенил-2-илкарбаминовой кислоты; 1-[2-(1-{3-[(R)-2-гидрокси-2-(8-гидрокси-2-оксо-1,2-дигидрохинолин-5-ил)этиламино]пропионил}пиперидин-4-ил)этил]пиперидин-4-илового эфира бифенил-2-илкарбаминовой кислоты; 1-{2-[3-(4-{[(R)-2-гидрокси-2-(8-гидрокси-2-оксо-1,2-дигидрохинолин-5-ил)этиламино]метил}фенил)уреидо]этил}пиперидин-4-илового эфира бифенил-2-илкарбаминовой кислоты; 1-{2-[(2-{4-[(R)-2-гидрокси-2-(8-гидрокси-2-оксо-1,2-дигидрохинолин-5-ил)этиламино]циклогексил}этил)метиламино]этил}пиперидин-4-илового эфира бифенил-2-илкарбаминовой кислоты; 1-[2-(2,3,5,6-тетрафтор-4-{[(R)-2-гидрокси-2-(8-гидрокси-2-оксо-1,2-дигидрохинолин-5-ил)этиламино]метил}фенилкарбамоил)этил]пиперидин-4-илового эфира бифенил-2-илкарбаминовой кислоты; 1-[2-(4-{[(R)-2-гидрокси-2-(8-гидрокси-2-оксо-1,2-дигидрохинолин-5-ил)этиламино]метил}-2,6-дииодфенилкарбамоил)этил]пиперидин-4-илового эфира бифенил-2-илкарбаминовой кислоты; 1-[2-(1-{4-[(R)-2-гидрокси-2-(8-гидрокси-2-оксо-1,2-дигидрохинолин-5-ил)этиламино]бутирил}пиперидин-4-ил)этил]пиперидин-4-илового эфира бифенил-2-илкарбаминовой кислоты; 1-[2-(1-{5-[(R)-2-гидрокси-2-(8-гидрокси-2-оксо-1,2-дигидрохинолин-5-ил)этиламино]пентаноил}пиперидин-4-ил)этил]пиперидин-4-илового эфира бифенил-2-илкарбаминовой кислоты; 1-[2-(1-{6-[(R)-2-гидрокси-2-(8-гидрокси-2-оксо-1,2-дигидрохинолин-5-ил)этиламино]гексаноил}пиперидин-4-ил)этил]пиперидин-4-илового эфира бифенил-2-илкарбаминовой кислоты; 1-[2-(4-{[(R)-2-гидрокси-2-(8-гидрокси-2-оксо-1,2-дигидрохинолин-5-ил)этиламино]метил}бензилкарбамоил)этил]пиперидин-4-илового эфира бифенил-2-илкарбаминовой кислоты; 1-[2-(4-{[(R)-2-(3-формиламино-4-гидроксифенил)-2-гидроксиэтиламино]метил}бензилкарбамоил)этил]пиперидин-4-илового эфира бифенил-2-илкарбаминовой кислоты; 1-{2-[3-(4-{[(R)-2-гидрокси-2-(8-гидрокси-2-оксо-1,2-дигидрохинолин-5-ил)этиламино]метил}бензил)уреидо]этил}пиперидин-4-илового эфира бифенил-2-илкарбаминовой кислоты; 1-{2-[3-(4-{[(R)-2-(3-формиламино-4-гидроксифенил)-2-гидроксиэтиламино]метил}бензил)уреидо]этил}пиперидин-4-илового эфира бифенил-2-илкарбаминовой кислоты; 1-[2-(4-{[(R)-2-гидрокси-2-(8-гидрокси-2-оксо-1,2-дигидрохинолин-5-ил)этиламино]метил}-2-метилфенилкарбамоил)этил]пиперидин-4-илового эфира бифенил-2-илкарбаминовой кислоты; 1-(3-{4-[2-(4-{[(R)-2-гидрокси-2-(8-гидрокси-2-оксо-1,2-дигидрохинолин-5-ил)этиламино]метил}пиперидин-1-ил)этил]фенокси}пропил)пиперидин-4-илового эфира бифенил-2-илкарбаминовой кислоты; 1-[2-(3-{2-[(R)-2-гидрокси-2-(8-гидрокси-2-оксо-1,2-дигидрохинолин-5-ил)этиламино]этил}бензилкарбамоил)этил]пиперидин-4-илового эфира бифенил-2-илкарбаминовой кислоты; 1-[2-(3-{[(R)-2-гидрокси-2-(8-гидрокси-2-оксо-1,2-дигидрохинолин-5-ил)этиламино]метил}фенокси)этил]пиперидин-4-илового эфира бифенил-2-илкарбаминовой кислоты; 1-(2-{[2-(4-{[(R)-2-гидрокси-2-(8-гидрокси-2-оксо-1,2-дигидрохинолин-5-л)этиламино]метил}фенокси)ацетил]метиламино}этил)пиперидин-4-илового эфира бифенил-2-илкарбаминовой кислоты; 1-(2-{[2-(3-{[(R)-2-гидрокси-2-(8-гидрокси-2-оксо-1,2-дигидрохинолин-5-ил)этиламино]метил}фенокси)ацетил]метиламино}этил)пиперидин-4-илового эфира бифенил-2-илкарбаминовой кислоты; 1-{2-[(5-{[(R)-2-гидрокси-2-(8-гидрокси-2-оксо-1,2-дигидрохинолин-5-ил)этиламино]метил}фуран-2-карбонил)метиламиноэтил}пиперидин-4-илового эфира бифенил-2-илкарбаминовой кислоты; 1-{2-[(5-{[(R)-2-гидрокси-2-(8-гидрокси-2-оксо-1,2-дигидрохинолин-5-ил)этиламино]метил}тиофен-2-карбонил)метиламино]этил}пиперидин-4-илового эфира бифенил-2-илкарбаминовой кислоты; 1-[2-(4-{2-[(R)-2-гидрокси-2-(8-гидрокси-2-оксо-1,2-дигидрохинолин-5-ил)этиламино]этокси}фенокси)этил]пиперидин-4-илового эфира бифенил-2-илкарбаминовой кислоты; 1-{2-[4-(4-{[(R)-2-гидрокси-2-(8-гидрокси-2-оксо-1,2-дигидрохинолин-5-ил)этиламино]метил}бензоиламино)циклогексил]этил}пиперидин-4-илового эфира бифенил-2-илкарбаминовой кислоты; 1-(2-{4-[2-(2-{[(R)-2-гидрокси-2-(8-гидрокси-2-оксо-1,2-дигидрохинолин-5-ил)этиламино]метил}фенокси)ацетиламино]циклогексил}этил)пиперидин-4-илового эфира бифенил-2-илкарбаминовой кислоты; 1-(2-{4-[2-(3-{[(R)-2-гидрокси-2-(8-гидрокси-2-оксо-1,2-дигидрохинолин-5-ил)этиламино]метил}фенокси)ацетиламино]циклогексил}этил)пиперидин-4-илового эфира бифенил-2-илкарбаминовой кислоты; 1-(2-{4-[2-(4-{[(R)-2-гидрокси-2-(8-гидрокси-2-оксо-1,2-дигидрохинолин-5-ил)этиламино]метил}фенокси)ацетиламино]циклогексил}этил)пиперидин-4-илового эфира бифенил-2-илкарбаминовой кислоты; 1-(2-{4-[(5-{[(R)-2-гидрокси-2-(8-гидрокси-2-оксо-1,2-дигидрохинолин-5-ил)этиламино]метил}фуран-2-карбонил)амино]циклогексил}этил)пиперидин-4-илового эфира бифенил-2-илкарбаминовой кислоты; 1-(2-(4-[(5-{[(R)-2-гидрокси-2-(8-гидрокси-2-оксо-1,2-дигидрохинолин-5-ил)этиламино]метил}тиофен-2-карбонил)амино]циклогексил}этил)пиперидин-4-илового эфира бифенил-2-илкарбаминовой кислоты; 1-(2-{1-[2-(2-{[(R)-2-гидрокси-2-(8-гидрокси-2-оксо-1,2-дигидрохинолин-5-ил)этиламино]метил}фенокси)ацетил]пиперидин-4-ил}этил)пиперидин-4-илового эфира бифенил-2-илкарбаминовой кислоты; 1-(2-{1-[2-(3-{[(R)-2-гидрокси-2-(8-гидрокси-2-оксо-1,2-дигидрохинолин-5-ил)этиламино]метил}фенокси)ацетил]пиперидин-4-ил}этил)пиперидин-4-илового эфира бифенил-2-илкарбаминовой кислоты; 1-(2-{1-[2-(4-{[(R)-2-гидрокси-2-(8-гидрокси-2-оксо-1,2-дигидрохинолин-5-ил)этиламино]метил}фенокси)ацетил]пиперидин-4-ил}этил)пиперидин-4-илового эфира бифенил-2-илкарбаминовой кислоты; 1-{2-[1-(5-{[(R)-2-гидрокси-2-(8-гидрокси-2-оксо-1,2-дигидрохинолин-5-ил)этиламино]метил}фуран-2-карбонил)пиперидин-4-ил]этил}пиперидин-4-илового эфира бифенил-2-илкарбаминовой кислоты; 1-{2-[1-(5-{[(R)-2-гидрокси-2-(8-гидрокси-2-оксо-1,2-дигидрохинолин-5-ил)этиламино]метил}тиофен-2-карбонил)пиперидин-4-ил]этил}пиперидин-4-илового эфира бифенил-2-илкарбаминовой кислоты; 1-{2-[4-(3-{[(R)-2-гидрокси-2-(8-гидрокси-2-оксо-1,2-дигидрохинолин-5-ил)этиламино]метил}бензоиламино)фенил]этил}пиперидин-4-илового эфира бифенил-2-илкарбаминовой кислоты; 1-(2-[4-(4-{[(R)-2-гидрокси-2-(8-гидрокси-2-оксо-1,2-дигидрохинолин-5-ил)этиламино]метил}бензоиламино)фенил]этил}пиперидин-4-илового эфира бифенил-2-илкарбаминовой кислоты; 1-(2-{4-[2-(2-{[(R)-2-гидрокси-2-(8-гидрокси-2-оксо-1,2-дигидрохинолин-5-ил)этиламино]метил}фенокси)ацетиламино]фенил}этил)пиперидин-4-илового эфира бифенил-2-илкарбаминовой кислоты; 1-(2-{4-[2-(3-{[(R)-2-гидрокси-2-(8-гидрокси-2-оксо-1,2-дигидрохинолин-5-ил)этиламино]метил}фенокси)ацетиламино]фенил}этил)пиперидин-4-илового эфира бифенил-2-илкарбаминовой кислоты; 1-(2-{4-[2-(4-{[(R)-2-гидрокси-2-(8-гидрокси-2-оксо-1,2-дигидрохинолин-5-ил)этиламино]метил}фенокси)ацетиламино]фенил}этил)пиперидин-4-илового эфира бифенил-2-илкарбаминовой кислоты; 1-(2-{4-[(5-{[(R)-2-гидрокси-2-(8-гидрокси-2-оксо-1,2-дигидрохинолин-5-ил)этиламино]метил}фуран-2-карбонил)амино]фенил}этил)пиперидин-4-илового эфира бифенил-2-илкарбаминовой кислоты; 1-(2-{4-[(5-{[(R)-2-гидрокси-2-(8-гидрокси-2-оксо-1,2-дигидрохинолин-5-ил)этиламино]метил}тиофен-2-карбонил)амино]фенил}этил)пиперидин-4-илового эфира бифенил-2-илкарбаминовой кислоты; 1-{2-[4-(3-{[(R)-2-гидрокси-2-(8-гидрокси-2-оксо-1,2-дигидрохинолин-5-ил)этиламино]метил}бензоиламино)циклогексил]этил}пиперидин-4-илового эфира бифенил-2-илкарбаминовой кислоты; 1-[3-(3-{[(R)-2-гидрокси-2-(8-гидрокси-2-оксо-1,2-дигидрохинолин-5-ил)этиламино]метил}фенокси)пропил]пиперидин-4-илового эфира бифенил-2-илкарбаминовой кислоты; 1-[2-гидрокси-3-(4-{2-[(R)-2-гидрокси-2-(8-гидрокси-2-оксо-1,2-дигидрохинолин-5-ил)этиламино]этил}фениламино)пропил]пиперидин-4-илового эфира бифенил-2-илкарбаминовой кислоты; 1-[4-(4-(2-[(R)-2-гидрокси-2-(8-гидрокси-2-оксо-1,2-дигидрохинолин-5-ил)этиламино]этил}фениламино)бутил]пиперидин-4-илового эфира бифенил-2-илкарбаминовой кислоты; 1-{2-[4-({2-[(R)-2-гидрокси-2-(8-гидрокси-2-оксо-1,2-дигидрохинолин-5-ил)этиламино]ацетиламино}метил)фенилкарбамоил]этил} пиперидин-4-илового эфира бифенил-2-илкарбаминовой кислоты; 1-{2-[4-(2-{2-[(R)-2-гидрокси-2-(8-гидрокси-2-оксо-1,2-дигидрохинолин-5-ил)этиламино]ацетиламино}этил)фенилкарбамоил]этил}пиперидин-4-илового эфира бифенил-2-илкарбаминовой кислоты; 1-{2-[(4-{[(R)-2-гидрокси-2-(8-гидрокси-2-оксо-1,2-дигидрохинолин-5-ил)этиламино]метил}циклогексилметил)карбамоил]этил}пиперидин-4-илового эфира бифенил-2-илкарбаминовой кислоты; 1-(2-{6-[(R)-2-гидрокси-2-(8-гидрокси-2-оксо-1,2-дигидрохинолин-5-ил)этиламино]гексаноиламино}этил)пиперидин-4-илового эфира бифенил-2-илкарбаминовой кислоты; 1-[2-(3-{2-[(R)-2-гидрокси-2-(8-гидрокси-2-оксо-1,2-дигидрохинолин-5-ил)этиламино]этокси}фенокси)этил]пиперидин-4-илового эфира бифенил-2-илкарбаминовой кислоты; 1-[2-(2-{2-[(S)-2-гидрокси-2-(8-гидрокси-2-оксо-1,2-дигидрохинолин-5-ил)этиламино]этокси}фенокси)этил]пиперидин-4-илового эфира бифенил-2-илкарбаминовой кислоты; 1-[2-(2-{[(R)-2-гидрокси-2-(8-гидрокси-2-оксо-1,2-дигидрохинолин-5-ил)этиламино]метил}фенокси)бензил]пиперидин-4-илового эфира бифенил-2-илкарбаминовой кислоты; 1-(2-{6-[(R)-2-гидрокси-2-(8-гидрокси-2-оксо-1,2-дигидрохинолин-5-ил)этиламино]гексилкарбамоил}этил)пиперидин-4-илового эфира бифенил-2-илкарбаминовой кислоты; 1-[2-({(1R,3S)-3-[(R)-2-гидрокси-2-(8-гидрокси-2-оксо-1,2-дигидрохинолин-5-ил)этиламино]циклопентанкарбонил}амино)этил]пиперидин-4-илового эфира бифенил-2-илкарбаминовой кислоты; 1-[3-(4-{3-[(R)-2-гидрокси-2-(8-гидрокси-2-оксо-1,2-дигидрохинолин-5-ил)этиламино]пропил}фенил)пропил]пиперидин-4-илового эфира бифенил-2-илкарбаминовой кислоты; 1-[3-(4-{2-[(R)-2-гидрокси-2-(8-гидрокси-2-оксо-1,2-дигидрохинолин-5-ил)этиламино]этил}фенил)пропил]пиперидин-4-илового эфира бифенил-2-илкарбаминовой кислоты; 1-[4-(4-{2-[(R)-2-гидрокси-2-(8-гидрокси-2-оксо-1,2-дигидрохинолин-5-ил)этиламино]этил}фенил)бутил]пиперидин-4-илового эфира бифенил-2-илкарбаминовой кислоты; 1-[3-(5-{3-[(R)-2-гидрокси-2-(8-гидрокси-2-оксо-1,2-дигидрохинолин-5-ил)этиламино]пропил}фуран-2-ил)пропил]пиперидин-4-илового эфира бифенил-2-илкарбаминовой кислоты; 1-{2-[3-(4-{2-[(R)-2-гидрокси-2-(8-гидрокси-2-оксо-1,2-дигидрохинолин-5-ил)этиламино]этил}фенил)-1-метилуреидо]этил}пиперидин-4-илового эфира бифенил-2-илкарбаминовой кислоты; 1-{2-[1-(4-{2-[(R)-2-гидрокси-2-(8-гидрокси-2-оксо-1,2-дигидрохинолин-5-ил)этиламино]этил}фенилкарбамоил)пиперидин-4-ил]этил}пиперидин-4-илового эфира бифенил-2-илкарбаминовой кислоты; 1-[3-(3-{3-[(R)-2-гидрокси-2-(8-гидрокси-2-оксо-1,2-дигидрохинолин-5-ил)этиламино]пропил}фенил)пропил]пиперидин-4-илового эфира бифенил-2-илкарбаминовой кислоты; 1-[3-(5-{3-[(R)-2-гидрокси-2-(8-гидрокси-2-оксо-1,2-дигидрохинолин-5-ил)этиламино]пропил}тетрагидрофуран-2-ил)пропил]пиперидин-4-илового эфира бифенил-2-илкарбаминовой кислоты, 1-[2-(4-{2-[(R)-2-гидрокси-2-(8-гидрокси-2-оксо-1,2-дигидрохинолин-5-ил)этиламино]этилкарбамоил}фенокси)этил]пиперидин-4-илового эфира бифенил-2-илкарбаминовой кислоты; 1-{9-[2-гидрокси-2-(8-гидрокси-2-оксо-1,2-дигидрохинолин-5-ил)этиламино]нонил}пиперидин-4-илового эфира (5-бромбифенил-2-ил)карбаминовой кислоты; 1-{9-[(R)-2-гидрокси-2-(8-гидрокси-2-оксо-1,2-дигидрохинолин-5-ил)этиламино]нонил} пиперидин-4-илового эфира (2 1-{9-[(R)-2-гидрокси-2-(8-гидрокси-2-оксо-1,2-дигидрохинолин-5-ил)этиламино]нонил}пиперидин-4-илового эфира (3 1-{9-[(R)-2-гидрокси-2-(8-гидрокси-2-оксо-1,2-дигидрохинолин-5-ил)этиламино]нонил}пиперидин-4-илового эфира (3 1-{9-[(R)-2-гидрокси-2-(8-гидрокси-2-оксо-1,2-дигидрохинолин-5-ил)этиламино]нонил}пиперидин-4-илового эфира (3,5-дифторбифенил-2-ил)карбаминовой кислоты; 1-[2-(4-{[(R)-2-гидрокси-2-(8-гидрокси-2-оксо-1,2-дигидрохинолин-5-ил)этиламино]метил}фенилкарбамоил)этил]-4-метилпиперидин-4-илового эфира бифенил-2-илкарбаминовой кислоты; 1-[2-(4-{[(R)-2-(3-формиламино-4-гидроксифенил)-2-гидроксиэтиламино]метил}фенилкарбамоил)этил]-4-метилпиперидин-4-илового эфира бифенил-2-илкарбаминовой кислоты; 1-{9-[(R)-2-гидрокси-2-(8-гидрокси-2-оксо-1,2-дигидрохинолин-5-ил)этиламино]нонил}-4-метилпиперидин-4-илового эфира бифенил-2-илкарбаминовой кислоты; 1-{9-[(R)-2-(3-формиламино-4-гидроксифенил)-2-гидроксиэтиламино]нонил}-4-метилпиперидин-4-илового эфира бифенил-2-илкарбаминовой кислоты; 1-(2-{5-[(R)-2-гидрокси-2-(8-гидрокси-2-оксо-1,2-дигидрохинолин-5-ил)этиламино]пентилкарбамоил}этил)-4-метилпиперидин-4-илового эфира бифенил-2-илкарбаминовой кислоты; 1-(2-{5-[(R)-2-(3-формиламино-4-гидроксифенил)-2-гидроксиэтиламино]пентилкарбамоил}этил)-4-метилпиперидин-4-илового эфира бифенил-2-илкарбаминовой кислоты; 1-(2-{6-[(R)-2-гидрокси-2-(8-гидрокси-2-оксо-1,2-дигидрохинолин-5-ил)этиламино]гексаноиламино}этил)-4-метилпиперидин-4-илового эфира бифенил-2-илкарбаминовой кислоты; 1-(2-{6-[(R)-2-(3-формиламино-4-гидроксифенил)-2-гидроксиэтиламино]гексаноиламино}этил)-4-метилпиперидин-4-илового эфира бифенил-2-илкарбаминовой кислоты; 1-[2-(4-{[(R)-2-гидрокси-2-(8-гидрокси-2-оксо-1,2-дигидрохинолин-5-ил)этиламино]метил}бензоиламино)этил]-4-метилпиперидин-4-илового эфира бифенил-2-илкарбаминовой кислоты; 1-[2-(4-{[(R)-2-(3-формиламино-4-гидроксифенил)-2-гидроксиэтиламино]метил}бензоиламино)этил]-4-метилпиперидин-4-илового эфира бифенил-2-илкарбаминовой кислоты; 1-{3-[4-(4-{2-[(R)-2-гидрокси-2-(8-гидрокси-2-оксо-1,2-дигидрохинолин-5-ил)этиламино]этил}фениламино)фенил]пропил}-4-метилпиперидин-4-илового эфира бифенил-2-илкарбаминовой кислоты; 1-[2-(2-хлор-4-{[(R)-2-гидрокси-2-(8-гидрокси-2-оксо-1,2-дигидрохинолин-5-ил)этиламино]метил}фенилкарбамоил)этил]-4-метилпиперидин-4-илового эфира бифенил-2-илкарбаминовой кислоты; 1-[2-(2-хлор-4-{[(R)-2-гидрокси-2-(8-гидрокси-2-оксо-1,2-дигидрохинолин-5-ил)этиламино]метил}-5-метоксифенилкарбамоил)этил]-4-метилпиперидин-4-илового эфира бифенил-2-илкарбаминовой кислоты; 4-(бифенил-2-илкарбамоилокси)-1-{9-[(R)-2-гидрокси-2-(8-гидрокси-2-оксо-1,2-дигидрохинолин-5-ил)этиламино]нонил}-1-азониабицикло[2.2.2]октана; 8-{9-[(R)-2-гидрокси-2-(8-гидрокси-2-охо-1,2-дигидрохинолин-5-ил)этиламино]нонил}-8-азабицикло[3.2.1]окт-3-илового эфира бифенил-2-илкарбаминовой кислоты; 7-(бифенил-2-илкарбамоилокси)-9-{9-[(R)-2-гидрокси-2-(8-гидрокси-2-оксо-1,2-дигидрохинолин-5-ил)этиламино]нонил}-9-метил-3-окса-9-азониатрицикло[3.3.1.02,4]нонана, и 9-{9-[(R)-2-гидрокси-2-(8-гидрокси-2-оксо-1,2-дигидрохинолин-5-ил)этиламино]нонил}-3-окса-9-азатрицикло[3.3.1.02,4]нон-7-илового эфира бифенил-2-илкарбаминовой кислоты, или его фармацевтически приемлемой соли или сольвата. 26. Соединение по п.1, представляющее собой 1-{9-[(R)-2-гидрокси-2-(8-гидрокси-2-оксо-1,2-дигидрохинолин-5-ил)этиламино]нонил}пиперидин-4-иловый эфир бифенил-2-илкарбаминовой кислоты, или его фармацевтически приемлемая соль или сольват. 27. Соединение по п.1, представляющее собой 1-(2-{5-[(R)-2-гидрокси-2-(8-гидрокси-2-оксо-1,2-дигидрохинолин-5-ил)этиламино]пентилкарбамоил}этил)пиперидин-4-иловый эфир бифенил-2-илкарбаминовой кислоты, или его фармацевтически приемлемая соль, или сольват. 28. 1-[2-(2-хлор-4-{[(R)-2-гидрокси-2-(8-гидрокси-2-оксо-1,2-дигидрохинолин-5-ил)этиламино]метил}-5-метоксифенилкарбамоил)этил]пиперидин-4-иловый эфир бифенил-2-илкарбаминовой кислоты, или его фармацевтически приемлемая соль, или сольват. 29. Фармацевтическая композиция, обладающая как активностью антагониста мускариновых рецепторов, так и активностью агониста 30. Фармацевтическая композиция по п.29, которая дополнительно содержит терапевтически эффективное количество стероидного противовоспалительного средства. 31. Фармацевтическая композиция по п.29, которая дополнительно содержит терапевтически эффективное количество ингибитора PDE4. 32. Способ лечения легочного заболевания, включающий введение пациенту, нуждающемуся в таком лечении, терапевтически эффективного количества соединения по любому из пп.1, 13, 14, 24, 25, 26, 27 или 28. 33. Способ обеспечения у пациента расширения просвета бронхов, включающий введение пациенту, нуждающемуся в расширении просвета бронхов, терапевтически эффективного количества соединения по любому из пп.1, 13, 14, 24, 25, 26, 27 или 28. 34. Способ лечения хронической обструктивной болезни легких или астмы, включающий введение пациенту, нуждающемуся в таком лечении, терапевтически эффективного количества соединения по любому из пп.1, 13, 14, 24, 25, 26, 27 или 28. 35. Способ получения соединения формулы I где а представляет собой 0 или целое число от 1 до 3; каждый R1 независимо выбран из галогена; b представляет собой 0 или целое число от 1 до 3; каждый R2 независимо выбран из галогена; W присоединен в положении 3 или 4 относительно атома азота в пиперидиновом кольце и представляет собой О; с представляет собой 0 или целое число от 1 до 4; каждый R3 независимо выбран из (1-4С)алкила; или две группы R3 соединены вместе с образованием (1-3С)алкилена или оксиран-2,3-диила; R4 представляет собой двухвалентную группу формулы: где d, e, f, g, h и i, каждый независимо выбран из 0 и 1; R4a, R4b, R4c и R4d, каждый независимо выбран из (1-10С)алкилена, где каждая алкиленовая группа является незамещенной или замещена 1-5 заместителями, независимо выбранными из (1-4С)алкила, фтора и гидрокси; А1 и А2, каждый независимо выбран из (3-7С)циклоалкилена, (6-10)арилена, -О-(6-10С)арилена, (6-10С)арилен-О-, (2-9С)гетероарилена и (3-6С)гетероциклена, где каждый циклоалкилен является незамещенным или замещен 1-4 заместителями, независимо выбранными из (1-4С)алкила, и каждая ариленовая, гетероариленовая или гетероцикленовая группа является незамещенной или замещена 1-4 заместителями, независимо выбранными из галогена, (1-4С)алкила, (1-4С)алкокси, -S(O)2-(1-4С)алкила, гидрокси, нитро и трифторметокси; Q выбран из связи, -О-, -S(O)2, -N(Qa)C(O)-, -C(O)N(Qb)-, -N(Qc)S(O)2-, -S(O)2N(Qd)-, -N(Qe)C(O)N(Qf)- и -N(Qk); Qa, Qb, Qc, Qd, Qe, Qf и Qk, каждый независимо выбран из водорода, (1-6С)алкила и А3, где алкильная группа является незамещенной или замещена 1-3 заместителями, независимо выбранными из фтора, гидрокси и (1-4С)алкокси; или вместе с атомом азота и группой R4b или R4c, к которым они присоединены, образуют 4-6-членную азациклоалкиленовую группу; А3 независимо выбран из (3-6С)циклоалкила, (6-10С)арила, (2-9С)гетероарила и (3-6С)гетероциклила, где каждый циклоалкил является незамещенным или замещен 1-4 заместителями, независимо выбранными из (1-4С)алкила, и каждая арильная, гетероарильная или гетероциклильная группа является незамещенной или замещена 1-4 заместителями, независимо выбранными из галогена, (1-4С)алкила и (1-4С)алкокси; при условии, что число смежных атомов в самой короткой цепи между двумя атомами азота, к которым присоединен R4, находится в интервале от 4 до 16; R5 представляет собой водород или (1-4С)алкил; R6 представляет собой -NR6aCR6b(O), и R7 представляет собой водород; или R6 и R7 вместе образуют -NR7aC(O)-CR7b=CR7c; каждый из R6a и R6b независимо представляет собой водород или (1-4С)алкил; и каждый из R7a, R7b и R7c независимо представляет собой водород или (1-4С)алкил; или его стереоизомера, включающий: взаимодействие соединения формулы 11 или его гидрата; где R4′ представляет собой остаток, который вместе с атомом углерода, к которому он присоединен, после окончания реакции образует группу R4; с соединением формулы 10
где Р11 и Р12, каждый независимо представляет собой атом водорода или гидроксилзащитную группу, и Р13 представляет собой атом водорода или аминозащитную группу; в присутствии восстановителя; и затем удаление какой-либо защитной группы Р11, Р12 или Р13 с образованием соединения формулы I. 36. Способ по 35, который дополнительно включает стадию образования фармацевтически приемлемой соли соединения формулы I. 37. Соединение по любому из пп.1, 13, 14, 24, 25, 26, 27 или 28 для применения в качестве лекарственного средства для лечения легочного заболевания. 38. Соединение по любому из пп.1, 13, 14, 24, 25, 26, 27 или 28 для лечения легочного заболевания. 39. Лекарственное средство, обладающее как активностью антагониста мускариновых рецепторов, так и активностью агониста 40. Применение соединения по любому из пп.1, 13, 14, 24, 25, 26, 27 или 28 для изготовления лекарственного средства для лечения легочного заболевания. 41. Применение соединения по любому из пп.1, 13, 14, 24, 25, 26, 27 или 28 для лечения легочного заболевания. 42. Применение по п.40 или 41, где легочное заболевание представляет собой хроническую обструктивную болезнь легких или астму. Приоритет по пунктам: 01.05.2003 по пп.1-23, 25-42; 14.02.2003 по п.24.
|
|||||||||||||||||||||||||||||||||||||||||||||||||||||||||||||||||||||||||||||||||||||||||||||||||||||||||||||||||||||||||||||||||||||||||||||||||||||||||||||||||||||||||||||||||||||||||||||||||||||||||||||||||||||||||||||||||||||||||||||||||||||||||||||||||||||||||||||||||||||||||||||||||||||||||||||||||||||||||||||||||||||||||||||||||||||||||||||||||||||||||||||||||||||||||||||||||||||||||||||||||||||||||||||||||||||||||||||||||||||||||||||||||||||||||||||||||||||||||||||||||||||||||||||||||||||||||||||||||||||||||||||||||||||||||||||||||||||||||||||||||||||||||||||||||||||||||||||||||||||||||||||||||||||||||||||||||||||||||||||||||||||||||||||||||||||||||||||||||||||||||||||||||||||||||||||||||||||||||||||||||||||||||||||||||||||||||||||||||||||||||||||||||||||||||||||||||||||||||||||||||||||||||||||||||||||||||||||||||||||||||||||||||||||||||||||||||||||||||||||||||||||||||||||||||||||||||||||||||||||||||||||||||||||||||||||||||||||||||||||||||||||||||||||||||||||||||||||||||||||||


2-адренергических рецепторов. 11 н. и 31 з.п. ф-лы.

































,









S связывания





,
,









,
,
-фторбифенил-2-ил)карбаминовой кислоты;
