|
|
(21), (22) Заявка: 2006136902/04, 04.04.2005
(24) Дата начала отсчета срока действия патента:
04.04.2005
(30) Конвенционный приоритет:
16.04.2004 US 60/562,948
(46) Опубликовано: 10.08.2008
(56) Список документов, цитированных в отчете о поиске:
WO 0142209 (LEK TOVARNA FARMACEVTSKIH) 14.06.2001. WO 02057228 (BIOKON INDIA LIMITED) 25.01.2002. WO 0071116 (RANBAXY LAB LTD) 30.11.2000. WO 03068739 (LECIVA A.S.; RADL STANISLAV; STACH JAN) 21.08.2003. RU 2002113564 (ЭГИШ ДЬЁДЬСЕРДЬЯР РТ.) 20.11. 2003.
(85) Дата перевода заявки PCT на национальную фазу:
16.10.2006
(86) Заявка PCT:
IB 2005/000884 (04.04.2005)
(87) Публикация PCT:
WO 2005/100313 (27.10.2005)
Адрес для переписки:
129090, Москва, ул. Б.Спасская, 25, стр.3, ООО “Юридическая фирма Городисский и Партнеры”, пат.пов. Г.Б. Егоровой, рег.№ 513
|
(72) Автор(ы):
РОУЗ Питер Роберт (US), ЛЕОНАРД Джейсон Альберт (US)
(73) Патентообладатель(и):
ПФАЙЗЕР ПРОДАКТС ИНК. (US)
|
(54) СПОСОБ ПОЛУЧЕНИЯ АМОРФНОГО КАЛЬЦИЙ АТОРВАСТАТИНА
(57) Реферат:
Настоящее изобретение относится к способу получения аморфного кальций аторвастатина, проявляющего гиполипидемическую активность. Способ включает растворение кальций аторвастатина с последующим осаждением путем добавления полученного раствора к смеси, содержащей растворитель-осадитель, и фильтрацию осажденного аморфного аторвастатина. Технический результат – получение аморфного кальций аторвастатина высокой степени чистоты с высоким выходом. 7 з.п. ф-лы, 1 ил.
Область техники, к которой относится изобретение
Данное изобретение относится к способам приготовления аморфного аторвастатина осаждением аторвастатина из раствора, используя растворитель-осадитель, содержащий растворитель с гидроксильной группой.
Уровень изобретения
Превращение 3-гидрокси-3-метилглутарилкофермента А (ГМГ-КоА, HMG-CoA) в мелавонат представляет собой начальную скорость, определяющую стадию в биосинтетическом метаболизме холестерина. Данная стадия катализируется ферментом (ГМГ-КоА)-редуктазой. Статины ингибируют (ГМГ-КоА)-редуктазу от катализа данного превращения. Сами по себе статины представляют собой по совокупности потенциальные гиполипидемические средства.
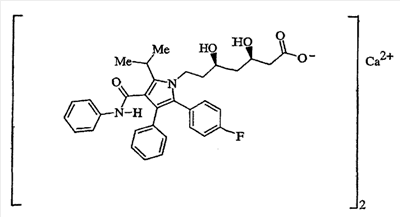
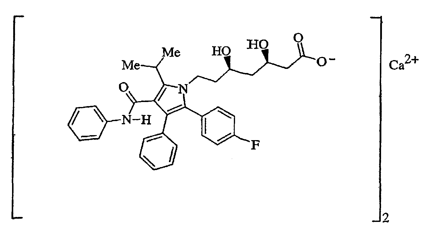
Кальций аторвастатин в настоящее время продается как препарат липитор (Lipitor®), имеющий химическое название [R(R ,R )]-2-(4-фторфенил)- , -дигидрокси-5-(1-метилэтил)-3-фенил-4-[(фениламино)карбонил]-1Н-пиррол-1-гептановая кислота, кальциевая соль (2:1) тригидрат, и формулу

Аторвастатин и его фармацевтически приемлемые соли являются селективными конкурентными ингибиторами (ГМГ-КоА)-редуктазы. Сам по себе кальций аторвастатин представляет собой потенциальное гиполипидемическое соединение и таким образом применим в качестве гиполипидемического и/или гипохолестеринемического средства, а также в лечении остеопороза, доброкачественной гиперплазии простаты (ВРН) и болезни Альцгеймера.
Ряд патентов посвящен раскрытию аторвастатина, препаратам аторвастатина, а также способам и основным промежуточным продуктам для получения аторвастатина. Они включают: патенты США 4681893; 5273995; 5003080; 5097045; 5103024; 5124482; 5149837; 5155251; 5216174; 5245047; 5248793; 5280126; 5397792; 5342952; 5298627; 5446054; 5470981; 5489690; 5489691; 5510488; 5686104; 5998633; 6087511; 6126971; 6433213 и 6476235, которые в данной работе включены в качестве ссылки.
Кроме того, ряд опубликованных международных заявок на патент и патентов раскрыли кристаллические формы аторвастатина, а также способы для приготовления аморфного аторвастатина. Они включают: US Patent 5969156; US 6121461; US 6605759; WO 01/36384; WO 02/41834; WO 02/43667; WO 02/43732; WO 02/051804; WO 02/057228; WO 02/057229; WO 02/057274; WO 059087; WO 02/083637; WO 02/083638; WO 03/011826; WO 03/050085; WO 03/07072 и WO 04/022053.
Было опубликовано, что аморфные формы ряда лекарственных средств проявляют различные характеристики по растворимости и в некоторых случаях имеют различную биодоступность образцов по сравнению с кристаллической формой (Konno T., Chem. Pharm. Bull., 1990; 38:2003-2007). Для некоторых терапевтических показаний только биодоступность образца может быть полезнее других свойств.
Изменения в скоростях растворения могут давать преимущества для получения препаратов аторвастатина либо в кристаллических, либо в аморфных формах. Например, для некоторых потенциальных применений аторвастатина (например, срочное лечение пациентов с внезапными приступами, как описано в публикации Takemoto, M.; Node, K.; Nakagami, H.; Liao, Y.; Grimm, M.; Takemoto, Y.; Kitakaze, M.; Liao, J.K., Journal of Clinical Investigation, 2001; 108(10): 1429-1437) быстрое начало проявления активности может быть очень выгодным в повышении его эффективности.
Приготовление аморфного аторвастатина ранее было показано. Например, Lin et al., патент США №6087511, раскрывает образование аморфного аторвастатина из кристаллического аторвастатина. Для образования аторвастатина Lin et al. показывают, что кристаллический аторвастатин растворяют в растворителе, не содержащем гидроксила, таком как тетрагидрофуран. Растворитель, не содержащий гидроксила, удаляют для получения хрупкой пены, которую разрушают механическим перемешиванием до получения аморфного аторвастатина.
WO 00/71116 также раскрывает образование аморфного аторвастатина применением растворителя, не содержащего гидроксила.
WO 01/28999 раскрывает способ образования аморфного аторвастатина перекристаллизацией неочищенного аторвастатина из органического растворителя, который содержит растворенный неочищенный аморфный кальций аторвастатин в низшем спирте, содержащем 2-4 атома углерода, или в смеси таких спиртов при нагревании. Аморфный кальций аторвастатин осаждается после охлаждения.
WO 01/42209 раскрывает приготовление аморфного аторвастатина осаждением аторвастатина с применением растворителя, в котором аторвастатин не растворяется или очень слабо растворяется, из раствора аторвастатина, который снабжен растворителем, в котором аторвастатин легко растворим. Предпочитаемые растворители, в которых аторвастатин легко растворим, включают низкомолекулярные спирты, например, метанол или этанол.
Современные способы получения аморфного аторвастатина включают растворители, которые не являются оптимальными по токсичности или в отношении окружающей среды. Кроме того, современные способы не являются оптимальными в отношении производственных возможностей и не подходят для крупномасштабных синтезов. Поэтому остается потребность в улучшенных способах получения аморфного аторвастатина.
Сущность изобретения
Первый аспект настоящего изобретения представляет собой способ получения аморфного аторвастатина, включающий стадии: (а) растворение аторвастатина в растворителе для образования раствора и (b) добавление данного раствора к смеси, содержащей растворитель-осадитель и растворитель с гидроксильной группой, для получения аморфного аторвастатина.
В предпочтительном способе растворитель-осадитель, который использован для осаждения аморфного кальций аторвастатина, содержит алифатический или алкановый растворитель, такой как, например, гептан, гептаны, гексан и тому подобный в сочетании с растворимым/смешивающимся растворителем с гидроксильной группой, таким как, например, 2-пропанол.
Авторы данного изобретения неожиданно установили, что добавление небольшого количества гидроксилсодержащего растворителя к растворителю-осадителю можно использовать для повышения осаждения и образования аморфного кальций аторвастатина. Более конкретно, аморфный продукт образуется, когда кальций аторвастатин растворяют в растворе, содержащем легко растворимый растворитель, и добавляют к растворителю-осадителю, содержащему небольшие количества растворителя с гидроксильной группой. Применение гидроксилсодержащего растворителя в осадительной смеси дает одно или несколько следующих преимуществ. Применение гидроксилсодержащего растворителя имеет дополнительное преимущество, состоящее в том, что аморфный кальций аторвастатин не налипает на стенках реактора, что легко происходит, когда гидроксилсодержащий растворитель не участвует в процессе осаждения. Кроме того, небольшой размер частиц, достигаемый в процессе данного осаждения, устраняет необходимость в стадии помола, тем самым снижается число стандартных операций в производстве продукта для коммерческого использования. Преимущества данного способа являются очень важными в производстве больших количеств аморфного аторвастатина в коммерческом или промышленном масштабах.
Применение аморфного аторвастатина, произведенного способом настоящего изобретения, в стандартных лекарственных формах раскрыто в обычно переданной заявке на патент, находящейся на одновременном рассмотрении и озаглавленной “Pharmaceutical Compositions of Atorvastatin” (уполномоченный реестровый номер РС25684, серийный номер___).
Второй аспект настоящего изобретения представляет собой терапевтическую упаковку или комплект, пригодный для коммерческой продажи, включающий контейнер и терапевтически эффективное количество аморфного кальций аторвастатина.
Третий аспект настоящего изобретения представляет собой способ применения аморфного кальций аторвастатина для лечения пациентов, страдающих гиперхолестеринемией и/или гиперлипидемией, остеопорозом, доброкачественной гиперплазией простаты (ВРН) и болезнью Альцгеймера.
Вышеприведенные и другие предметы изобретения, особенности и преимущества данного изобретения будут более легко восприниматься при рассмотрении следующего подробного описания изобретения.
На чертеже дана дифрактограмма порошковой дифракции рентгеновских лучей на образце аморфного кальций аторвастатина, сделанного в примере 1.
Подробное описание изобретения
Как должно быть понятно специалистам в данной области, начальный аторвастатин, который растворен в подходящем растворителе, может существовать в любой морфологической форме, такой как, например, кристаллические или аморфные, а также неупорядоченные кристаллы, жидкие кристаллы, пластические кристаллы, мезофазы и тому подобное, или любые их комбинации. Аторвастатин может быть легко приготовлен, например, в патентах США с номерами 4681893, 5273995 и 5969156, которые включены в данную работу в качестве ссылки. Термин “аторвастатин” включает форму свободной кислоты, солевые формы, сольваты, гидраты и полиморфы. Фармацевтически приемлемые основно-аддитивные соли аторвастатина образуются при взаимодействии с такими металлами и аминами, как щелочные и щелочноземельные металлы или органические амины. Примеры использованных металлов представляют собой натрий, калий, магний, кальций и тому подобное. Примеры подходящих аминов представляют собой N,N’-дибензилэтилендиамин, хлорпрокаин, холин, диэтаноламин, дициклогексиламин, этилендиамин, N-метилглюкамин и прокаин (см., например, Berge, S.M., et al., “Pharmaceutical Salts”, J. of Pharm. Sci., 1977; 66:1).
Предпочтительная форма аторвастатина представляет собой тригидрат полукальциевой соли аторвастатина, продаваемый под товарным названием липитор (LIPITOR®).
Термин “алкан”, использованный в данной работе, относится к нормальному или разветвленному углеводороду, содержащему от шести до десяти атомов углерода, такому как гексан, гептан, гептаны и тому подобное.
Термин “алканол”, использованный в данной работе, относится к “алкану”, определенному выше, с одним до шести атомов углерода, содержащему одну или несколько гидроксильных групп, такому как, например, 1-пропанол, 2-пропанол и тому подобное.
Термин “циклоалкан”, использованный в данной работе, относится к углеводородному циклу, содержащему от пяти до восьми атомов углерода, такому как, например, циклогексан, циклогептан и тому подобное.
Аморфный кальций аторвастатин получают осаждением по способу, в котором раствор кальций аторвастатина добавляют к смеси растворителя-осадителя, содержащей неполярный растворитель и сорастворитель с гидроксильной группой. Растворители, подходящие для растворения кальций аторвастатина, включают, например, полярные органические растворители, в которых кальций аторвастатин растворим. Подходящие растворители-осадители для применения по данному способу включают алканы или другие такие неполярные или низкополярные растворители, как, например, гексан, гептан, гептаны и тому подобное, такие циклоалканы, как, например, циклогексан и тому подобное, а также другие неполярные или низкополярные растворители, такие как, например, толуол, изопропиловый эфир и тому подобное. Гидроксилсодержащие растворители, подходящие для применения по данному способу, включают органические растворители, содержащие одну или несколько гидроксильных групп. Растворители, подходящие для растворения, могут представлять собой любой растворитель, в котором аторвастатин растворим. Предпочтительно, аторвастатин имеет растворимость, равную, по меньшей мере, 1 мас.%, и более предпочтительно, по меньшей мере, 5 мас.% в растворителе для растворения. Предпочтительно, данный растворитель является также летучим с точкой кипения 150°С и менее. Кроме того, растворитель должен обладать относительно низкой токсичностью и быть способным к удалению из аморфного аторвастатина до уровня, который является приемлемым согласно руководствам Международного комитета гармонизации (ICH). Для удаления растворителя до такого уровня может потребоваться такая последующая стадия обработки, как, например, сушка на лотках. Предпочтительные растворители для растворения включают, например, тетрагидрофуран, 2-метилтетрагидрофуран, ацетон, метилэтилкетон и тому подобное. Предпочтительные осадительные смеси содержат смесь алканового или циклоалканового растворителя, такого как, например, гептан, содержащий небольшое количество такого растворителя с гидроксильной группой, как, например, алканол, имеющий от одного до шести атомов углерода, например, 2-пропанол.
Таким образом, по данному способу кальций аторвастатин растворяют в растворителе, в котором он легко растворим. Предпочтительные растворители включают, например, такие апротонные полярные растворители, как, например, тетрагидрофуран (ТГФ), 2-метилтетрагидрофуран, ацетон, метилэтилкетон и тому подобное. Самым предпочтительным растворителем является ТГФ.
Предпочтительные концентрации аторвастатина в растворителе для растворения определяют растворимостью кальций аторвастатина в растворителе для растворения. Для ТГФ интервал концентраций, подходящий для данного способа, находится между примерно 8 и примерно 20 мл растворителя на грамм кальций аторвастатина. Предпочтительная концентрация растворителя равна примерно 10 мл растворителя на грамм кальций аторвастатина.
Растворитель-осадитель, примененный по данному способу, представляет собой растворитель, в котором кальций аторвастатин нерастворим или только слабо растворим. Предпочтительные растворители-осадители включают, например, такой алкан, как, например, гексан, гептан, гептаны, октан и тому подобное или такой циклоалкан, как, например, циклогексан, в сочетании с небольшим количеством такого гидроксилсодержащего растворителя, как, например, алканол, имеющий от одного до шести атомов углерода, и который смешивается с растворителем-осадителем. Более предпочтительные растворители-осадители включают гексан, гептан, гептаны и тому подобное и более предпочтительные добавки гидроксилсодержащего растворителя включают 2-пропанол или 1-пропанол. Самый предпочтительный растворитель-осадитель представляет собой гептан и самый предпочтительный гидроксилсодержащий растворитель представляет собой 2-пропанол. Количество гидроксилсодержащего растворителя, присутствующего в растворителе-осадителе, может изменяться от примерно 0,5 до примерно 5% об. Предпочтительное количество гидроксилсодержащего растворителя составляет примерно от 1 до примерно 3%.
Предпочтительная концентрация растворителя-осадителя для способа с осаждением может изменяться от примерно 15 мл осадителя/г кальций аторвастатина до примерно 60 мл растворителя-осадителя/г кальций аторвастатина. Предпочтительная концентрация растворителя-осадителя составляет примерно 30 мл на грамм кальций аторвастатина.
Предпочтительные температуры для проведения осаждения аморфного кальций аторвастатина находятся в интервале примерно от 10°С до примерно 35°С. Более предпочтительный температурный интервал равен примерно от 15°С до примерно 25°С. Предпочтительный способ добавления состоит в добавлении раствора кальций аторвастатина к осадительной смеси, содержащей алкан или циклоалкан и небольшое количество растворителя с гидроксильной группой. Эффективную движущую силу для осаждения аморфного кальций аторвастатина обычно создают добавлением раствора кальций аторвастатина к осадительной смеси, таким образом генерируется более высокий уровень перенасыщения. Предпочтительное время добавления раствора к растворителю-осадителю равно от примерно 15 минут до примерно 8 часов. Более предпочтительное время добавления равно от примерно 1 до примерно 2 часов.
Предпочтительно, охлаждение проводят в течение менее чем 1 часа до более чем 4 часа. Предпочтительный интервал температуры выделения находится между примерно -10°С и примерно 30°С. Самая предпочтительная температура выделения составляет от примерно 0°С до примерно 20°С. Предпочтительное время окончательного перемешивания перед выделением составляет обычно менее чем примерно 8 часов. Более предпочтительное время окончательного перемешивания составляет менее чем примерно 4 часа.
Основная особенность настоящего изобретения состоит в применении растворителя-осадителя, содержащего небольшое количество растворителя с гидроксильной группой, что помогает в образовании осаждающегося аморфного кальций аторвастатина. Включение гидроксилсодержащего растворителя в растворитель-осадитель дает осаждаемые аморфные частицы кальций аторвастатина, которые не прилипают к стенкам реактора или другим внутренним компонентам. Это особенно важно при получении больших количеств аморфного аторвастатина. Добавление гидроксилсодержащего растворителя в малых количествах обеспечивает достаточное количество гидроксильных групп, которые предотвращают взаимодействие и связывание с такими внутренними компонентами реактора, как силанольные группы в реакторе, футерованном стеклянными плитками.
Количество кристаллического продукта, присутствующего в полученном аморфном продукте, является небольшим. Предпочтительно, по меньшей мере, 90 мас.%, более предпочтительно, по меньшей мере, 95 мас.%, и еще более предпочтительно, по меньшей мере, 99 мас.% полученного продукта являются аморфным продуктом после осаждения добавлением раствора аторвастатина в осадительную смесь. Аморфный продукт и его количество могут быть охарактеризованы такими методами, известными в данной области, как кристаллография с применением порошковой дифракции рентгеновских лучей, спектроскопия ядерно-магнитного резонанса твердого состояния (ЯМР) или термальные методы, такие как дифференциальная сканирующая калориметрия (ДСК).
Данное изобретение относится к лечению таких заболеваний и состояний у пациента, как гиперлипидемия и/или гиперхолестеринемия, остеопороз, доброкачественная гиперплазия простаты (ВРН) и болезнь Альцгеймера, аморфным кальций аторвастатином, описанным выше, который может быть введен в твердой лекарственной форме, содержащей фармацевтически приемлемый носитель или разбавитель, и/или содержится в терапевтической упаковке или комплекте. Комплект может включать твердую лекарственную форму и контейнер. Обычно комплект включает инструкции по введению лекарственной формы. Контейнер может быть в любой обычной форме и любого размера, известных в данной области, например, в виде бумажной коробки, стеклянной или пластиковой бутылочки или блистера с индивидуальной дозировкой для выдавливания ее с оборотной стороны согласно терапевтической схеме.
Другие особенности и варианты осуществления станут очевидными из следующих примеров, которые даны для иллюстрации изобретения, а не для ограничения предполагаемого объема притязаний.
Пример 1
Кристаллический кальций аторвастатин (патент США 5969156) (1,80 кг) растворяли в тетрагидрофуране (18 л) перемешиванием в стеклянном реакторе, снабженном рубашкой, с верхним перемешиванием. ТГФ-раствор добавляли на протяжении 2 часов к смеси, содержащей гептаны (55 л) и 2-пропанол (1,125 л) в стеклянный реактор, снабженный рубашкой, с верхним перемешиванием при температуре от 15°С до 25°С. Образовавшуюся взвесь перемешивали в течение 1 часа, после чего взвесь охлаждали при приблизительно 0°С-5°С в течение 1 часа. Взвесь перемешивали при температурах от 0°С до 5°С в течение 30 минут. Осадившийся продукт выделяли на горизонтальной фильтровальной пластине, покрытой полиэтиленовой тканью, вакуумной фильтрацией и сушили в вакууме (вакуум в интервале от 20 до 30 дюймов) при температурах от примерно 50°С до примерно 60°С. Собирали аморфный кальций аторвастатин (1,6 кг), содержащий 0,01% ТГФ и 0,8% гептана.
Порошковая дифракция рентгеновских лучей
Порошковую дифракционную картину рентгеновских лучей для аморфного кальций аторвастатина получали на дифрактометре Bruker D5000 (Madison, Wisconsin), снабженном медным излучением (Cu K ).
Данные регистрировали от 3,0 до 40,0 градусов с два тета (2 ), используя размер шага в 0,04 градуса и время шага в 1,0 секунду. Дивергенцию и рассеивающие щели устанавливали при 1 мм, принимающую щель устанавливали при 0,6 мм. Дифракционное излучение определяли детектором Kevex PSI. Стандарт из оксида алюминия анализировали для контроля инструментальной ориентации. Данные собирали и анализировали c помощью программного обеспечения Bruker AXS Version 7,0. Образцы готовили для анализа помещением их в кварцевый держатель. Образец обычно помещали в кварцевый держатель, который имел полость. Следует отметить, что Bruker Instruments закупил Siemans; таким образом, прибор Bruker D5000 представляет собой по существу то же самое, что и Siemans D5000.
На чертеже представлена порошковая дифракция рентгеновских лучей образца из примера 1, показывая, что продукт является аморфным.
Пример 2
Кристаллический кальций аторвастатин (патент США 5969156) (8 г) растворяли в тетрагидрофуране (80 мл) перемешиванием в стеклянном реакторе, снабженном рубашкой, с верхним перемешиванием. ТГФ-раствор добавляли на протяжении 1 час к смеси, содержащей гептан (245 мл) и 2-пропанол (5 мл), в стеклянный реактор, снабженный рубашкой, с верхним перемешиванием при температуре от 15°С до 25°С. Взвесь охлаждали до температуры от 0°С до 5°С. Осадившийся продукт выделяли на керамической воронке Бюхнера, покрытой фильтровальной бумагой, вакуумной фильтрацией и сушили в вакууме (вакуум в интервале от 20 до 30 дюймов) при температурах от примерно 40°С до примерно 50°С. Собирали аморфный кальций аторвастатин (7,1 г).
Пример 3
Кристаллический кальций аторвастатин (патент США 5969156) (8 г) растворяли в тетрагидрофуране (80 мл) перемешиванием в стеклянном реакторе, снабженном рубашкой, с верхним перемешиванием. ТГФ-раствор добавляли на протяжении 2 часов к смеси, содержащей гептан (240 мл) и 2-пропанол (10 мл), в стеклянный реактор, снабженный рубашкой, с верхним перемешиванием при температуре от 15°С до 25°С. Взвесь охлаждали до температуры от 0°С до 5°С на протяжении 1,5 часов. Осадившийся продукт выделяли на керамической воронке Бюхнера, покрытой фильтровальной бумагой, вакуумной фильтрацией и сушили в вакууме (вакуум в интервале от 20 до 30 дюймов) при температурах от примерно 40°С до примерно 50°С. Собирали аморфный кальций аторвастатин (6,5 г).
Пример 4
Кристаллический кальций аторвастатин (патент США 5969156) (8 г) растворяли в тетрагидрофуране (80 мл) перемешиванием в стеклянном реакторе, снабженном рубашкой, с верхним перемешиванием. ТГФ-раствор добавляли на протяжении 1 час к смеси, содержащей гептан (242 мл) и 2-пропанол (7,5 мл), в стеклянный реактор, снабженный рубашкой, с верхним перемешиванием при температуре от 15°С до 25°С. Взвесь охлаждали до температуры от 0°С до 5°С на протяжении примерно от 1 до 2 часов. Осадившийся продукт выделяли на керамической воронке Бюхнера, покрытой фильтровальной бумагой, вакуумной фильтрацией и сушили в вакууме (вакуум в интервале от 20 до 30 дюймов) при температурах от примерно 40°С до примерно 50°С. Собирали аморфный кальций аторвастатин (7,2 г).
Пример 5
Кристаллический кальций аторвастатин (патент США 5969156) (8 г) растворяли в тетрагидрофуране (80 мл) перемешиванием в стеклянном реакторе, снабженном рубашкой, с верхним перемешиванием. ТГФ-раствор добавляли на протяжении 1 час к смеси, содержащей гептан (248 мл) и 2-пропанол (2,5 мл), в стеклянный реактор, снабженный рубашкой, с верхним перемешиванием при температуре от 15°С до 25°С. Взвесь охлаждали до температуры от 0°С до 5°С на протяжении 1 часа. Осадившийся продукт выделяли на керамической воронке Бюхнера, покрытой фильтровальной бумагой, вакуумной фильтрацией и сушили в вакууме (вакуум в интервале от 20 до 30 дюймов) при температурах от примерно 40°С до примерно 50°С. Собирали аморфный кальций аторвастатин (6,5 г).
Термины и выражения, которые были использованы в представленном выше описании изобретения, применены здесь как термины описания и не для ограничения, и не преследуется цель, при применении таких терминов и выражений, исключения эквивалентов показанных и описанных свойств или их частей, при этом признается, что объем притязаний данного изобретения определен и ограничен только формулой изобретения, которая следует далее.
Формула изобретения
1. Способ получения аморфного аторвастатина, включающий:
a) растворение аторвастатина в растворителе, в котором аторвастатин растворяется;
b) добавление полученного раствора аторвастатина к смеси растворителей с получением раствора, из которого аторвастатин осаждается;
c) отделение осадка, образовавшегося на стадии (b), от смеси растворителей фильтрацией;
отличающийся тем, что для растворения аторвастатина используют тетрагидрофуран, в качестве смеси растворителей для осаждения используют 0,5-5 об.% раствор 2-пропанола в гептане, на 1 г кальций аторвастатина берут 15-60 мл указанной смеси растворителей и добавление ведут при температуре 15-25°С с последующим охлаждением полученного раствора до 0-5°С.
2. Способ по п.1, в котором примерно от 1 до 3 об.% 2-пропанола присутствует в гептане.
3. Способ по п.1, в котором на 1 г кальций аторвастатина приходится примерно 30 мл смеси 2-пропанола и гептана.
4. Способ по п.1, в котором раствор аторвастатина добавляют к смеси гептана и 2-пропанола на протяжении примерно от 15 мин до 8 ч.
5. Способ по п.1, в котором смесь охлаждают от 1 до 2 ч.
6. Способ по п.1, который дает 90 мас.% аморфный аторвастатин.
7. Способ по п.1, который дает 95 мас.% аморфный аторвастатин.
8. Способ по п.1, который дает 99 мас.% аморфный аторвастатин.
РИСУНКИ
MM4A – Досрочное прекращение действия патента СССР или патента Российской Федерации на изобретение из-за неуплаты в установленный срок пошлины за поддержание патента в силе
Дата прекращения действия патента: 05.04.2009
Извещение опубликовано: 20.07.2010 БИ: 20/2010
|
|