|
|
(21), (22) Заявка: 2006140772/03, 17.11.2006
(24) Дата начала отсчета срока действия патента:
17.11.2006
(46) Опубликовано: 27.06.2008
(56) Список документов, цитированных в отчете о поиске:
RU 40925 U1, 10.10.2004. SU 1422764 A1, 15.06.1994. RU 2020371 C1, 30.09.1994. RU 2077659 C1, 20.04.1997. RU 2074530 C1, 27.02.1997. RU 2168615 C2, 10.06.2001. RU 2196227 C1, 10.01.2003. RU 2234824 C1, 20.08.2004. RU 34841 U1, 10.12.2003. US 4221948 A, 09.09.1980. DE 3903558 A1, 23.08.1990.
Адрес для переписки:
420111, г.Казань, ул. К. Маркса, 10, Казанский государственный технический университет им. А.Н. Туполева, отдел интеллектуальной собственности
|
(72) Автор(ы):
Гараев Тимур Кавасович (RU), Анфиногентов Владимир Иванович (RU), Морозов Геннадий Александрович (RU)
(73) Патентообладатель(и):
Государственное образовательное учреждение высшего профессионального образования Казанский государственный технический университет им. А.Н. Туполева (RU)
|
(54) СПОСОБ МИКРОВОЛНОВОЙ ОБРАБОТКИ ЖИДКОЙ ВОДОНЕФТЯНОЙ СМЕСИ И УСТРОЙСТВО ДЛЯ ЕГО ОСУЩЕСТВЛЕНИЯ
(57) Реферат:
Изобретение относится к технике нагрева материалов и изделий с помощью СВЧ энергии и может быть использовано в нефтедобывающей и нефтеперерабатывающей промышленности в процессе подготовки и транспортировки товарной нефти, а также в других областях народного хозяйства, в технологических процессах, требующих осуществления нагрева нетвердой диэлектрической среды. Техническим результатом изобретения является обеспечение автоматизированного энергоэкономичного процесса микроволновой обработки, позволяющего повысить качество обрабатываемой среды (ОС). Для этого способ заключается в непрерывном воздействии СВЧ энергией от источника электромагнитных колебаний (ЭМК) на движущуюся ОС, находящуюся в трубопроводе (ТП). До воздействия СВЧ энергией в узле ввода ОС измеряют ее скорость и температуру. Затем в ТП на расстоянии от узла ввода СВЧ энергии большем, чем глубина проникновения ЭМК, измеряют Т – температуру нагрева, – плотность, с – теплоемкость, – теплопроводность, е – диэлектрическую проницаемость и tg – тангенс угла диэлектрических потерь ОС. На основе измеренных параметров определяют управляющий сигнал мощности источника ЭМК, излучением которого с заданной мощностью воздействуют на ОС. Устройство для осуществления способа содержит узел ввода СВЧ энергии, расположенный с торца ТП, связанный с источником ЭМК посредством СВЧ тракта, и узел ввода ОС, расположенный на боковой стенке возле узла ввода СВЧ энергии. В узел ввода ОС герметично установлены первый датчик температуры и блок измерения скорости потока. В выходном участке ТП вне зоны воздействия электромагнитного поля СВЧ установлены второй датчик температуры, первый узел отбора ОС, соединяющий одновременно ТП с блоками измерения плотности, теплоемкости, теплопроводности, диэлектрической проницаемости ОС, и второй узел отбора, соединяющий одновременно блоки измерения плотности, теплоемкости, теплопроводности, диэлектрической проницаемости с ТП. Причем блоки измерения плотности, теплоемкости, теплопроводности, диэлектрической проницаемости, температуры, скорости потока соединены интерфейсами через ЭВМ с источником ЭМК, а датчики температуры соединены соответственно информационными проводами с блоком измерения температуры. 2 н.п. ф-лы, 3 ил.
Изобретение относится к технике нагрева материалов и изделий с помощью СВЧ энергии и может быть использовано в нефтедобывающей и нефтеперерабатывающей промышленности в процессе подготовки и транспортировки товарной нефти, а также в других областях народного хозяйства, в технологических процессах, требующих осуществления нагрева диэлектрической среды.
Известен способ разделения водогазонефтяной смеси, который заключается в воздействии микроволновой энергией от источника электромагнитных колебаний на обрабатываемую среду – водонефтяную смесь, находящуюся в трубопроводе. В результате воздействия микроволновой энергией осуществляется обработка водонефтяной смеси. Управление мощностью источника электромагнитных колебаний предполагает учет температуры нагрева и визуальный контроль обрабатываемой среды (Патент РФ №2196227, МПК7 Е21В 43/34, 10.01.2003. Бюл. №1).
Известно устройство разделения водогазонефтяной смеси, которое состоит из трубопровода, содержащего три участка: входной, средний и выходной участки, средний участок заполнен продольно ориентированным пучком тонких труб, выходной участок выполнен наклонным и содержит узлы отбора фракций нефтяной эмульсии. Входной участок трубы выполнен диаметром dтр>2 /2,61, на боковой поверхности которого через отверстия присоединены узел ввода для нефти и узлы ввода энергии СВЧ, выполненные в виде патрубков с волноводными фланцами, к которым с помощью тракта СВЧ подсоединены источники энергии СВЧ. Патрубки содержат диэлектрический согласующий и герметизирующий вкладыш, а выходной участок трубопровода содержит узлы отбора фракций для газа, нефти и воды (Патент РФ №2196227, МПК7 Е21В 43/34, 10.01.2003. Бюл. №1).
Способ, выбранный в качестве прототипа, реализуемый устройством, по патенту РФ 40925 U1, на полезную модель, МПК7 В08В 7/04, опубликованный 10.10.2004, Бюл. №28, заключается в воздействии микроволновой энергией от источника электромагнитных колебаний на обрабатываемую среду – водонефтяную смесь, находящуюся в трубопроводе. В результате воздействия микроволновой энергией осуществляется обработка водонефтяной смеси. Управление мощностью источника электромагнитных колебаний предполагает учет температуры нагрева и визуальный контроль обрабатываемой среды.
«Устройство разделения водонефтяной смеси, выбранное в качестве прототипа по патенту РФ 40925 U1, на полезную модель МПК 7 В08В 7/04, опублик. 10.10.2004, Бюл. №28, состоит из трубопровода, содержащего входной участок трубопровода, и выходной участок трубопровода, к торцевой стенке входного участка трубопровода, диаметром dтр>2 /2,61, подсоединен узел ввода энергии СВЧ, выполненный в виде волноводного патрубка диаметром dп>2 /3,41, герметично закрытого со стороны конца расположенного внутри входного участка трубопровода радиопрозрачной диафрагмой конической формы и с волноводным фланцем на другом конце, к которому подсоединен тракт СВЧ источника энергии СВЧ. Высота hд диафрагмы составляет от половины до полутора диаметра основания doc диафрагмы, а диаметр основания doc диафрагмы взят не менее 2 /3,41. Через торцевую стенку входного участка трубопровода внутрь волноводного патрубка введены входной и выходной воздушные патрубки. Узел ввода для нефти расположен на боковой стенке входного участка трубопровода напротив боковой поверхности волноводного патрубка, а вершина радиопрозрачной диафрагмы обращена вглубь входного участка трубопровода. Выходной участок трубопровода содержит узлы отбора фракций. Управление мощностью осуществляется вручную либо не предусматривается.
Недостатком способа и устройства, выбранных прототипами предлагаемого изобретения, является невозможность эффективного управления источником электромагнитных колебаний, вследствие чего происходит нерациональный расход энергопотребления устройства и снижается качество обрабатываемой смеси.
Решаемая техническая задача предлагаемого изобретения заключается в обеспечении автоматизированного энергоэкономичного процесса микроволновой обработки, позволяющего повысить качество обрабатываемой среды.
Под обрабатываемой средой понимается жидкая или газообразная диэлектрическая среда, например водонефтяная смесь.
Под микроволновой обработкой понимается нагрев обрабатываемой среды до требуемой температуры, при которой происходит наиболее эффективное разделение обрабатываемой среды, например водонефтяную смесь можно разделить на составляющие – воду и нефть.
Техническая задача в способе микроволновой обработки жидкой водонефтяной смеси, заключающемся в непрерывном воздействии СВЧ энергией от источника электромагнитных колебаний на движущуюся обрабатываемую среду, находящуюся в трубопроводе, достигается тем, что до воздействия СВЧ энергией в узле ввода обрабатываемой среды измеряют ее скорость и температуру, затем в трубопроводе на расстоянии от узла ввода СВЧ энергии большем, чем глубина проникновения электромагнитной волны, измеряют Т – температуру нагрева, – плотность, с – теплоемкость, – теплопроводность, е – диэлектрическую проницаемость и tg – тангенс угла диэлектрических потерь обрабатываемой среды, на основе измеренных параметров определяют управляющий сигнал мощности источника электромагнитных колебаний, излучением которого с заданной мощностью воздействуют на обрабатываемую среду.
Техническая задача в устройстве для осуществления способа микроволновой обработки жидкой водонефтяной смеси, содержащем узел ввода СВЧ энергии, расположенный с торца трубопровода, связанный с источником электромагнитных колебаний посредством СВЧ тракта, узел ввода обрабатываемой смеси, расположенный на боковой стенке возле узла ввода СВЧ энергии, достигается тем, что в узел ввода обрабатываемой смеси герметично установлены первый датчик температуры и блок измерения скорости потока, в выходном участке трубопровода вне зоны воздействия электромагнитного поля СВЧ также установлены второй датчик температуры, первый узел отбора обрабатываемой среды, соединяющий одновременно трубопровод с блоком измерения плотности, с блоком измерения теплоемкости, с блоком измерения теплопроводности, с блоком измерения диэлектрической проницаемости обрабатываемой среды, и установлен второй узел отбора, соединяющий одновременно блок измерения плотности, блок измерения теплоемкости, блок измерения теплопроводности, блок измерения диэлектрической проницаемости с трубопроводом, причем блок измерения плотности, блок измерения теплоемкости, блок измерения теплопроводности, блок измерения диэлектрической проницаемости, блок измерения температуры, блок измерения скорости потока соединены интерфейсами через ЭВМ с источником электромагнитных колебаний, при этом датчики температуры первый и второй соединены соответственно информационными проводами с блоком измерения температуры.
Под выражением в выходном участке трубопровода «вне зоны воздействия электромагнитного поля СВЧ» понимается область трубы, расположенная (вдоль оси трубы) от узла ввода СВЧ энергии на расстоянии больше, чем z, где z= -1 – глубина проникновения электромагнитного поля, – коэффициент затухания электромагнитной волны в среде.
На фиг.1 приведена схема устройства для осуществления способа микроволновой обработки жидкой водонефтяной смеси с одним источником электромагнитных колебаний.
На фиг.2 представлен алгоритм работы ЭВМ по вычислению А-требуемой мощности воздействия микроволновой энергией источником электромагнитных колебаний на обрабатываемую среду.
На фиг.3 представлена геометрия устройства прохождения обрабатываемой среды из узла ввода в трубопровод для наглядной демонстрации проводимых расчетов, производимых в ЭВМ.
Схема устройства, иллюстрирующего осуществление способа микроволновой обработки жидкой водонефтяной смеси, представленная на фиг.1, содержит: узел ввода 1 движущейся обрабатываемой среды 2, расположенный на боковой стенке в начале трубопровода 3, например, впритык к краю трубопровода 3, узел ввода 4 СВЧ энергии, расположенный с торца трубопровода 3 и связанный с источником электромагнитных колебаний 5 посредством СВЧ тракта 6 (узел ввода 4 СВЧ энергии установлен с торца трубопровода герметично, как в прототипе), первый датчик температуры 7 и блок измерения скорости потока 8, герметично установленные в узле ввода 1, в выходном участке трубопровода 3 вне зоны воздействия электромагнитного поля СВЧ также установлены второй датчик температуры 9, первый узел отбора 10 обрабатываемой среды 2, связывающий одновременно трубопровод 3 с блоком 11 измерения плотности, с блоком 12 измерения теплоемкости, с блоком 13 измерения теплопроводности, с блоком 14 измерения диэлектрической проницаемости обрабатываемой среды 2, и установлен второй узел отбора 15, связывающий одновременно блок 11 измерения плотности, блок 12 измерения теплоемкости, блок 13 измерения теплопроводности, блок 14 измерения диэлектрической проницаемости с трубопроводом 3, причем блок 11 измерения плотности, блок 12 измерения теплоемкости, блок 13 измерения теплопроводности, блок 14 измерения диэлектрической проницаемости, блок 16 измерения температуры, блок 8 измерения скорости потока соединены интерфейсами 17 через ЭВМ 18 с источником электромагнитных колебаний 5, при этом датчики температуры первый 7 и второй 9 соединены информационными проводами 19 с блоком 16 измерения температуры.
Рассмотрим осуществление способа и работу устройства. Заливают обрабатываемую среду 2, которая постоянно движется через узел ввода 1 в трубопроводе 3. Обрабатываемая среда 2 из первого узла отбора 10 одновременно проходит в блок 11 измерения плотности, блок 12 измерения теплоемкости, блок 13 измерения теплопроводности, блок 14 измерения диэлектрической проницаемости, которые включают. Из блока 11 измерения плотности, блока 12 измерения теплоемкости, блока 13 измерения теплопроводности, блока 14 измерения диэлектрической проницаемости обрабатываемая среда 2 поступает через второй узел отбора 15 в трубопровод 3.
Включают источник электромагнитных колебаний 5, непрерывно воздействующий с начальной А0 – мощностью на обрабатываемую среду 2 через узел ввода 4 СВЧ энергии установленного с торца трубопровода герметично, как в прототипе. В узле ввода 1 обрабатываемой среды 2, где СВЧ энергия не распространяется, блоком 8 измерения скорости потока измеряют V1 – скорость потока в узле ввода обрабатываемой среды 2 и блоком 16 измерения температуры с помощью первого датчика температуры 7 измеряют Т0 – начальную температуру обрабатываемой среды 2. В трубопроводе 3 на расстоянии от узла ввода 4 СВЧ энергии большем, чем глубина проникновения электромагнитной волны, где СВЧ энергия не распространяется, измеряют: блоком 16 измерения температуры с помощью второго датчика температуры 9 Т – температуру нагрева, блоком 11 измерения плотности – плотность, блоком 12 измерения теплоемкости с – теплоемкость, блоком 13 измерения теплопроводности – теплопроводность, блоком 14 измерения диэлектрической проницаемости среды е – диэлектрическую проницаемость и tg – тангенс угла диэлектрических потерь обрабатываемой среды.
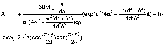
Измеренные параметры: Т0 – начальная температура, Т – температура нагрева, V1 – скорость потока в узле ввода 1, – плотность, с – теплоемкость, – теплопроводность, е – диэлектрическая проницаемость и tg – тангенс угла диэлектрических потерь обрабатываемой среды 2 – поступают через интерфейсы 17 и 19 в ЭВМ 18, где с помощью программы «СВЧ нагрев диэлектриков», основанной на математической формуле, полученной в результате моделирования процесса СВЧ нагрева обрабатываемой среды, рассчитывается А – мощность требуемого воздействия микроволновой энергией источником электромагнитных колебаний на обрабатываемую среду 2.
На фиг.2 представлен алгоритм работы ЭВМ по вычислению А – требуемой мощности воздействия микроволновой энергией источником электромагнитных колебаний на обрабатываемую среду 2.
В качестве формулы в алгоритме вычисления А – мощности СВЧ энергии, воздействующей на обрабатываемую среду, может использоваться и другая как аналитического вида, так и численного, удовлетворяющая данному процессу обработки среды.
В ЭВМ 18 поступают и вводят параметры обрабатываемой среды 2 (фиг.2): V1 – скорость потока в узле ввода 1, Т0 – начальная температура, Т – температура после воздействия энергии СВЧ, Тт – требуемая температура нагрева, е’ – диэлектрическая проницаемость, tg – тангенс угла диэлектрических потерь (е’ и tg измеряются блоком 14 измерения диэлектрической проницаемости), f – частота воздействия электромагнитной энергии, А0 – начальная мощность воздействия электромагнитной энергии, с0 – скорость распространения электромагнитной волны в вакууме, с – теплоемкость, – плотность, – теплопроводность, 2d·2 – область в плоскости, перпендикулярной оси трубопровода 3, воздействия электромагнитной СВЧ энергии на обрабатываемую среду 2 в трубопроводе 3, S1 – сечение узла ввода 1, S2 – сечение трубопровода 3.
В результате нагрева обрабатываемой среды 2 до требуемой температуры Тт происходит эффективная микроволновая обработка, например эффективная микроволновая обработка водонефтяной смеси, как показали эксперименты, происходит при температуре Тт=40°С. Если обрабатываемая среда нагрета до требуемой температуры, то воздействие на нее продолжает осуществляться СВЧ энергией с той же мощностью. Если температура нагрева Т обрабатываемой среды отличается от требуемой Тт, то, на основе измеренных данных, рассчитывается мощность А воздействия СВЧ энергии на обрабатываемую среду 2. При воздействии этой А – мощностью некоторый объем Об обрабатываемой среды 2 в трубопроводе 3 будет нагрет до требуемой температуры Тт.
В ЭВМ 18 происходит вычисление, с помощью зарегистрированной в ОФАП программы, следующих значений: z=1/ – глубина проникновения электромагнитной волны, t=z/V2 – время нагрева нетвердой диэлектрической среды в объеме Об; V2 – скорость движения обрабатываемой среды 2 в трубопроводе 3, S2 – сечение трубопровода 3, e”=tg /e’ – мнимая часть комплексной диэлектрической проницаемости обрабатываемой среды 2; – модуль диэлектрической проницаемости; – температуропроводность; коэффициент k0=2 f/c0; – коэффициент энергетического прохождения; – коэффициент затухания, выражения которых могут быть взяты, например, из литературы «Электродинамика» и из статьи [Рикенглаз Л.Э. К теории нагрева диэлектриков мощными электромагнитными полями. ИФЖ, 27, 1061 (1974)].
Причем в узле ввода 1 сечением S1 движется обрабатываемая среда 2 объемом Об за время t, то тот же самый объем Об обрабатываемой среды 2 за тоже время t движется в трубопроводе 3 сечением S2 (фиг.3). Если в узле ввода 1 обрабатываемая среда 2 объемом Об проходит путь L1 со скоростью V1, тогда Об=S1·L1, L1=V1·t, аналогично если в трубопроводе 3 обрабатываемая среда 2 того же объема Об за то же время проходит путь L2 со скоростью V2, тогда Об=S2·L2, L2=V2·t, откуда следует Об=S1V1·t=S2·V2·t V2=V1·S1/S2 – скорость движения обрабатываемой среды 2 в трубопроводе 3, которая тоже вычисляется.
Затем вычисляется значение мощности А по формуле (наименование буквенных обозначений, входящих в формулу, приведены выше)

и определяется управляющий сигнал мощности источника электромагнитных колебаний 5. Управляющий сигнал мощности подают из ЭВМ 18 по интерфейсу 17 в источник электромагнитных колебаний 5, который через узел ввода 4 СВЧ энергии воздействует излучением СВЧ энергии, вычисленной А мощности, на обрабатываемую среду 2. Таким образом, при воздействии электромагнитной СВЧ энергии происходит нагрев обрабатываемой среды 2 до требуемой температуры Тт, при которой происходит эффективная обработка.
В связи с тем, что обрабатываемая среда 2 движется, периодически осуществляется автоматическое измерение параметров среды и расчет мощности – А.
Наличие датчиков 7, 9, блоков измерения параметров обрабатываемой среды 2 позволяет получить необходимые исходные данные для анализа процесса микроволновой обработки, вычислить А – мощность и определить сигнал в ЭВМ, рационально управляющего источником электромагнитных колебаний 5, воздействующего энергией СВЧ на обрабатываемую среду 2, поэтому по сравнением с прототипом технологический процесс микроволновой обработки водонефтяной смеси является автоматизированным, позволяющим снизить время обработки и энергозатраты, а также повысить качество обрабатываемой среды.
В случае нагрева обрабатываемой среды 2 ниже или выше требуемой температуры Тт, что может происходить в устройстве прототипа, влечет за собой нерациональное потребление электроэнергии устройства и некачественную обработку среды.
Все перечисленные выше блоки и элементы данного устройства могут быть выполнены по стандартным, опубликованным в литературе схемам, либо приобретены на рынке товаров России. Так, например, в качестве блоков измерения параметров обрабатываемой среды, изображенных на чертеже, могут также применяться: универсальный измеритель регулятор восьмиканальный «ТРМ138» – для измерения температуры; прибор счетчиков объема жидкости «ПУЛЬСАР-3.1М» – для измерения и вычисления объема и расхода (скорости) жидкости; плотномер «ПЛОТ-3» АУТП.414122.006 ТУ предназначен для автоматического измерения плотности жидкости; автоматический дифференциальный сканирующий калориметр ДСМ-3А предназначен для измерения теплоемкостей различных веществ; измеритель диэлектрических параметров веществ из серии Ш2 с микропроцессорным управлением предназначен для измерения диэлектрической проницаемости и угла диэлектрических потерь; прибор LFA 447 Nanoflashтм либо DSC 404 С Pegasus® – для определения температуропроводности или теплопроводности обрабатываемой среды и другие.
Вышеперечисленные приборы и их аналоги имеют выход для подключения через стандартный интерфейс к ЭВМ и могут быть взяты, например, из каталога “ТД “Автоматика” – контрольно-измерительные приборы (КИПИА) г.Смоленск, E-mail: automatika@sci.smolensk.ru.
Узел ввода энергии СВЧ, расположенный в трубопроводе, связанный с источником электромагнитных колебаний посредством СВЧ тракта, может быть в количестве более или равном единицы и конструктивно выполнен различными вариантами, например как в патенте РФ №2196227, МПК7 E21B 43/34, опублик. 10.01.2003, Бюл. №1. «Устройство разделения водогазонефтяной смеси, или РФ 40925 U1, МПК7 B08B 7/04, опублик. 10.10.2004, Бюл. №28, «Устройство разделения водонефтяной смеси, или РФ №2234824 С1, МПК7 H05B 6/64, 6/80, B08B 7/04, опублик. 20.08.2004, Бюл. 23. «Способ микроволновой обработки жидкой диэлектрической среды и устройство для его осуществления», а также РФ №34841 U1, МПК7 H05B 6/64, опубликованный 10.12.2003, Бюл. №34, «Устройство для термообработки диэлектрического материала в электромагнитном СВЧ поле» и др.
Использование способа и устройства особенно эффективно в нефтедобывающей промышленности в технологическом процессе обработки водонефтяной смеси, а также в других областях народного хозяйства, в технологических процессах, требующих осуществления нагрева диэлектрической среды.
Формула изобретения
1. Способ микроволновой обработки жидкой водонефтяной смеси, заключающийся в том, что непрерывно воздействуют СВЧ-энергией от источника электромагнитных колебаний на движущуюся обрабатываемую среду, находящуюся в трубопроводе, отличающийся тем, что до воздействия СВЧ-энергией в узле ввода обрабатываемой среды измеряют ее скорость и температуру, затем в трубопроводе на расстоянии от узла ввода СВЧ-энергии большем, чем глубина проникновения электромагнитной волны, измеряют Т – температуру нагрева, – плотность, с – теплоемкость, – теплопроводность, е – диэлектрическую проницаемость и tg – тангенс угла диэлектрических потерь обрабатываемой среды, на основе измеренных параметров определяют управляющий сигнал мощности источника электромагнитных колебаний, излучением которого с заданной мощностью воздействуют на обрабатываемую среду.
2. Устройство микроволновой обработки жидкой водонефтяной смеси, содержащее узел ввода СВЧ-энергии, расположенный с торца трубопровода, связанный с источником электромагнитных колебаний посредством СВЧ-тракта, узел ввода обрабатываемой смеси, расположенный на боковой стенке возле узла ввода СВЧ-энергии, отличающееся тем, что в узел ввода обрабатываемой смеси герметично установлены первый датчик температуры и блок измерения скорости потока, в выходном участке трубопровода вне зоны воздействия электромагнитного поля СВЧ также установлены второй датчик температуры, первый узел отбора обрабатываемой среды, соединяющий одновременно трубопровод с блоком измерения плотности, с блоком измерения теплоемкости, с блоком измерения теплопроводности, с блоком измерения диэлектрической проницаемости обрабатываемой среды, и установлен второй узел отбора, соединяющий одновременно блок измерения плотности, блок измерения теплоемкости, блок измерения теплопроводности, блок измерения диэлектрической проницаемости с трубопроводом, причем блок измерения плотности, блок измерения теплоемкости, блок измерения теплопроводности, блок измерения диэлектрической проницаемости, блок измерения температуры, блок измерения скорости потока соединены интерфейсами через ЭВМ с источником электромагнитных колебаний, при этом первый и второй датчики температуры соединены соответственно информационными проводами с блоком измерения температуры.
РИСУНКИ
|
|