|
|
(21), (22) Заявка: 2006107545/04, 12.08.2004
(24) Дата начала отсчета срока действия патента:
12.08.2004
(30) Конвенционный приоритет:
12.08.2003 (пп.1-29) EP 03254988.3
(43) Дата публикации заявки: 27.09.2007
(46) Опубликовано: 27.06.2008
(56) Список документов, цитированных в отчете о поиске:
US 5329028 А, 12.07.1994. WO 0187922 А, 22.11.2001. CHAMOW S.M. et al. Conjugation of Soluble CD4 without Loss of Biological Activity via a Novel Carbohydrate-directed Cross-linking Reagent. The Journal of Biological Chemistry, vol.267, no.22, 05.08.1992, p.15916-15922, XPOO2267698. SU 675053 А, 29.07.1979.
(85) Дата перевода заявки PCT на национальную фазу:
13.03.2006
(86) Заявка PCT:
GB 2004/003488 (12.08.2004)
(87) Публикация PCT:
WO 2005/016973 (24.02.2005)
Адрес для переписки:
129010, Москва, ул. Б.Спасская, 25, стр.3, ООО “Юридическая фирма Городисский и Партнеры”, пат.пов. Е.Е.Назиной, рег. № 517
|
(72) Автор(ы):
ХРЕЧУК-ХЕРСТ Дейл Говард (GB), ДЖАИН Санджай (GB), ЛЕЙНГ Питер (GB), ГРЕГОРИАДИС Грегори (GB), ПАПАИОАННУ Иоаннис (GB)
(73) Патентообладатель(и):
ЛАЙПОКСЕН ТЕКНОЛОДЖИЗ ЛИМИТЕД (GB)
|
(54) ПРОИЗВОДНЫЕ ПОЛИСИАЛОВОЙ КИСЛОТЫ
(57) Реферат:
Полисахарид, представляющий собой полисиаловую кислоту, имеющий, по меньшей мере, два звена сиаловой кислоты, присоединенных одно к другому в положении 2,8 и/или 2,9, и имеющее боковую часть, связанную, по меньшей мере, с одним концевым звеном, полученным из звена сиаловой кислоты, которая включает функциональную группу, выбранную из N-малеинимидных групп, винилсульфоновых групп, N-йодацетамидных групп и ортопиридилдисульфидных групп. Способ получения функционального полисахарида, в котором полисахарид, подвергают взаимодействию с гетеробифункциональным реагентом, имеющим первую функциональную группу, выбранную из N-малеинимидных групп, винилсульфоновых групп, N-йодацетамидных групп и ортопиридилдисульфидных групп, и вторую функциональную группу, отличную от первой группы, где указанная вторая функциональная группа взаимодействует с указанным концевым звеном, производным сиаловой кислоты, с образованием ковалентной связи и образованием функционального полисахарида, подходящего для избирательной конъюгации с тиольной группой. Взаимодействие с гетеробифункциональным реагентом позволяет ввести боковую функциональную группу для сайт-специфичного присоединения к сульфгидрильным группам, например, к боковым цепям цистеиновых звеньев в лекарственных средствах, к системам доставки лекарственного средства, белкам или пептидам. 5 н. и 24 з.п. ф-лы, 3 ил., 1 табл.
Настоящее изобретение относится к производным полисиаловой кислоты, которые применяются для конъюгации с лекарственными средствами, белками и пептидами или с системами доставки лекарственного средства к участку действия, таким как липосомы, имеющие сульфгидрильные группы, а также к способам синтеза продуктов присоединения, таких как производные и конъюгаты, и новым синтетическим полупродуктам.
Расширенное присутствие лекарственных средств или внутри сосудистой системы, или применение вне сосуда часто является необходимым условием для их оптимального применения. Например, многие антибиотики и цитостатики, а также ряд терапевтических пептидов, белков и липосом выводятся из кровотока раньше времени и до того, как может быть достигнута эффективная концентрация в ткани-мишени. Периоды полувыведения ряда короткоживущих белков (например, ферментов, цитокинов и т.д.) увеличиваются посредством их конъюгации с полиэтиленгликолем. Из этого ясно, что молекулы ПЭГ продлевают время циркуляции белков и частиц, обволакивая их поверхность, таким образом, стерически препятствуя взаимодействию с факторами, ответственными за их клиренс. Однако ПЭГ не поддается биологическому разложению и накапливание ПЭГ-лированных белков внутри клеток может являться нежелательным, особенно при длительном применении [Bendel A., Seely J., Richey C., Senello G., Shopp G. Renal tubular vacuolation in animals treated with polyethylene-glycol conjugated proteins, Toxicologycal sciences, 42 (1998) 152-157; Convers C.D., Lejeune L., Shum K., Gilbert C., Shorr R.G.L, Physiological effect of polyethylene-glycol conjugated on stroma-free bovine hemoglobin in the conscious dog after partial exchange transfusion, Artifical organ, 21 (1977) 369-378].
Авторы описали конъюгацию полисахарида, включающего 2 8 и или 2 9 (например, чередующиеся 2 8 и 2 9) связанные звенья сиаловой кислоты, конъюгированного с белками для увеличения их периода полувыведения, уменьшения их иммуногенности/антигенности или увеличения стабильности ряда белков. В WO92/22331 полисаловые кислоты подвергают взаимодействию с моделью лекарственного средства и демонстрируют увеличение времени полувыведения в кровотоке мыши. В Cell. Mol. Life Sci. 57 (2000) 1964-1969 и в Biotechnol. Genet. Eng. Rev. 16 (1999) 203-215, Gregoriadis et al. описана конъюгация полисиаловых кислот с аспарагиназой и каталазой и показано, что скорости клиренса из кровотока уменьшались, в то время как ферментная активность сохранялась. У авторов также описан полисиалолированный инсулин (Biochim. Biophys. Acta 1622 (2003) 42-49) и показано, что он является активным. У авторов также описан полисиалолированный интерферон (AAPS Annual meeting 2002, Toronto, Canada, M1056). У авторов также описан полисиалолированный фрагмент антитела Fab (Epenetos A. Et al., Proceedings of ASCO (Clinical Pharmacy) 21 (2002) 21186).
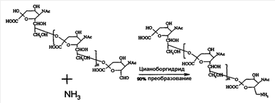
Во всех этих публикациях полисиаловой кислоте придавали реакционную способность, посредством получения альдегидной группы на невосстанавливающием конце при окислении 7,8-вициналдиола периодатом натрия. Альдегидная группа затем реагировала с первичными аминами белков, которые, как предполагается, в основном являются эпсилон-аминогруппами остатков лизина в белках или N-концевыми аминогруппами. В реакции образуются основания Шиффа, которые восстанавливаются цианоборгидридом во вторичный амин.
В WO-А-01/87922 авторы также предположили, что можно осуществить дериватизацию другими молекулами в присутствии денатурирующего агента для достижения увеличения степени дериватизации. Примерами других дериватизирующих агентов являются соединения полиэтиленгликоля. Были приведены активированные соединения ПЭГ, такие как тресил-ПЭГ и сложный сукцинимидилсукцинатный эфир ПЭГ. Примеры использования ПЭГ, активированного сукцинимидилсукцинатом, который, как полагают, реагирует с аминогруппами.
ПЭГ-производные, имеющие функциональные группы для сочетания с тиольными группами, являются коммерчески доступными. Функциональными группами могут быть малеинимидная, винилсульфоновая, йодацетамидная или ортопиридилдисульфидная группы. Т.к. эти реагенты вступают в реакцию особым образом с цистеинами и поскольку на поверхности белков цистеиновых звеньев меньше, чем лизиновых, дериватизация является более контролируемой. Кроме того, в отсутствие свободного цистеина в нативном белке один или более цистеинов могут быть добавлены методами генной инженерии. Преимущество этого способа состоит в том, что он позволяет осуществлять сайт-специфичную дериватизацию тех участков белка, для которых это будет сопровождаться минимальной потерей биологической активности.
Обнаружено, что ПЭГ-лированные белки вырабатывают антиПЭГ антитела, которые могут также влиять на время удержания конъюгата в кровотоке (Cheng T., Wu M., Wu P., Chern J., Roffer SR., Accelarated clearece of polyethylene glycol modified proteins by anti-polyethylene glycol lgM. Bioconjugate chemistry, 10 (1999) 520-528). Несмотря на предысторию ПЭГ, как парентерально применяемого полимера, связанного с терапией, потребуется лучшее понимание его иммунотоксикологии, фармакологии и метаболизма. (Hunter A.C., Moghimi S.M., Therapeutic synthetic polymers: a game of Russian Roulette. Drug Discovery Today, 7 (2002) 998-1001; Brocchini S., Polymer in medicine: a game of chess. Drug Discovery Today, 8 (2003) 111-112).
Для модификации сиаловой кислотой будет полезно нацелиться непосредственно на тиольные (сульфгидрильные) группы. Это будет также желательно для повышения эффективности дериватизации сиаловой кислотой в способах, описанных авторами в приведенном выше предшествующем уровне техники, требующих высокой избыточной активности полисиаловой кислоты. Так же желательно избежать использования цианоборгидрида.
Согласно настоящему изобретению предлагается новое соединение, включающее полисахарид, имеющий часть молекулы, связанную с одним или с каждым концевым звеном, который содержит функциональную группу, выбранную из N-малеинимидогрупп, винилсульфоновых групп, N-иодацетамидных групп и ортопиридилдисульфидных групп.
Концевое звено, с которым соединяется молекула, может быть невосстанавливающим концом полисиаловой кислоты или восстанавливающим концом полисиаловой кислоты. Обычно, концевое звено сиаловой кислоты подвергается предварительной химической реакции для образования полезных функциональных групп, к которым может быть присоединен реагент, содержащий малеинимидную группу. Авторы обнаружили, что удобно использовать химический процесс, описанный в их более ранних публикациях, в котором образование альдегидной группы проводят как предварительную стадию, на которой получают функциональную группу, через которую можно присоединить молекулу, содержащую малеинимидную группу.
В более ранних публикациях, приведенных выше, показано, что существует невосстанавливающее концевое звено, которое превращается в альдегидную группу при окислении 7,8-вициналдиола периодатом натрия с получением соединения с альдегидной группой в положении 7. Сходную реакцию используют в настоящем изобретении.
Альтернативно, необязательно получать альдегидную группу на восстанавливающем концевом звене. В этом случае предпочтительно (но необязательно) провести предварительную стадию, на которой невосстанавливающий конец дезактивирован с помощью предварительных стадий окисления или восстановления. На первой стадии восстановления превращает кетальную группу на восстанавливающем конце в восстановленное кольцо открытой формы, имеющее вициналдиолы. Вициналдиолы затем окисляют периодатом натрия с получением альдегидной группы у атома углерода, заранее образуя восстанавливающую группу в положении 7 концевого звена. Там, где невосстанавливающий концевой гликозил (обычно сиаловая кислота) является не дезактивированным с помощью предварительной стадии окисления, концевое звено будет одновременно активировано.
В изобретении часть молекулы, которая включает функциональную группу, может быть присоединена прямо к звену полисиаловой кислоты или, что удобнее, может быть присоединена через бифункциональную органическую группу, такую как алкандиильная группа, ариленовая группа или олиго(алкиленокси)алкановая группа или, альтернативно, олигопептидная группа. Присоединением к полисиаловой кислоте через линкер или часть молекулы, включающей функциональную группу, может быть группа вторичного амина, гидразона, сложного алкилового эфира гидразина или пептидила. Часть молекулы может быть получена реакцией субстрата полисиаловой кислоты с гетеробифункциональным реагентом. Данный способ представляет собой дополнительный аспект изобретения.
Реагенты, используемые для введения избирательных функциональных групп, являются коммерчески доступными. Соединением, которое будет вводить малеинимидную группу в аминную часть молекулы без введения дополнительного линкерного фрагмента, является N-метоксикарбонилмалеинимид. Обычно, реагенты содержат вторую функциональную группу для реакции с группой полисиаловой кислоты, которая может быть альдегидной группой, описанной выше, или аминной группой. Подходящие вторые функциональные группы включают сложные N-гидроксисукцинимидные эфиры и их сульфосукцинимидные аналоги и гидразиды. Предпочтительным соединением является гидразид N-малеинимидоалкановой кислоты или гидразид N-малеинимидоарилалкановой кислоты, т.е. соединение, имеющее общую формулу
X-R-Y
в которой:
X представляет собой N-малеинимидо, N-иодацетамидо, S-винилсульфонильную или S-ортопиридилдисульфидную группу,
R представляет собой алкандиильную, ариленовую или аралкиленовую, алкариленовую, алкиленоксаалкиленовую или алкиленолигооксаалкиленовую или алкилолигопептидилалкильную группу; и
Y представляет собой гидразидную, аминную или N-гидроксисукцинимидную группу.
Предпочтительно, R является С1-6алкандиилом, С2-3алкилоксо-С2-3алкиленом, С2-3алкилолиго(окса-С2-3алкиленом) или С2-6алкиленфенилом.
Предпочтительно, X является N-малеинимидом или ортопиридилдисульфидом.
Предпочтительно, Y является гидразидом или гидроксилсукцинимидом.
Соединения, которые могут реагировать с альдегидной группой, и которые включают линкерный фрагмент и включают малеинимидную группу, включающую гидразид N-[ -малеинимидпропионовой кислоты] и гидразид 4-(4-малеинимидофенил)масляной кислоты. Гидразидная группа реагирует с альдегидом с образованием стабильной гидразоновой группы. Подходящим гетеробифункциональным соединением, которое содержит олиго(этиленокси)этиленовую группу, является соединение, содержащее полиэтиленгликольную (поли(этиленокси)) группу, на одном конце которой находится N-гидроксисукцинимидная (NHS) группа, а на другом конце функциональная группа. NHS группа реагирует с аминными группами с образованием стабильных амидных связей. Гетеробифункциональные полиэтиленгликоли с NHS на одном конце или винилсульфоном или малеинимидом на другом конце являются доступными. Другие примеры гетеробифункциональных реагентов включают: 3-(2-пиридилдитио)пропионилгидразид,
N-сукцинимидил-3-[2-пиридилдитио]пропионат,
сукцинимидил-H-[N-малеинимидометил]циклогексан-1-карбоксилат,
сложный м-малеинимидобензоил-N-гидроксисукцинимидный эфир,
N-сукцинимидил[4-иодоацетил]аминобензоат,
сложный N-[гамма-малеинимидобутилокси]сукцинимидный эфир,
сложный N-[эпсилон-малеинимидокапроилокси]сукцинимидный эфир и
N-сукцинимидилиодацетат. Другие реагенты (на основе полиэтиленгликоля) доступны от Pierce Biotechnology и Shearwater Corporation.
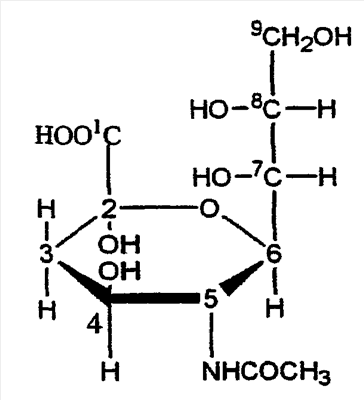
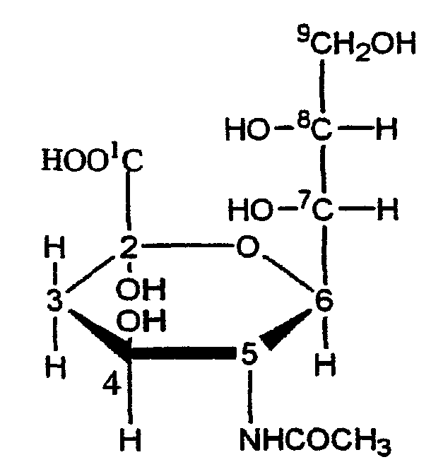
Сиаловые кислоты (известные как нонулозоновые кислоты) принадлежат семейству аминосодержащих сахаров, содержащих 9 или более атомов углерода. Наиболее важной из сиаловых кислот является N-ацетилнейраминовая кислота (также известная как 5-(ацетиламин)-3,5-дидезокси-D-глицеро-D-галактононулозоновая, лактаминовая кислота и О-сиаловая кислота), которая имеет формулу:

Полисиаловые кислоты могут соединяться 2 8 и/или 2 9, обычно в -конфигурации. В некоторых полисиаловых кислотах соединения являются альтернативными 2 ,8 и 2 9. Изобретение также полезно для гетерополимерных полисахаридов, включающих гликозильные звенья, отличные от звеньев сиаловой кислоты.
Найдено, что полисиаловые кислоты, в общем, являются нетоксичными и абсолютно неиммуногенными. Более того, неизвестно, чтобы продукты биоразложения сиаловой кислоты являлись токсичными, действительно сиаловая кислота широко распространена в животных белках и клетках, включая клетки крови и циркулирующие белки.
Полисахаридные соединения, содержащие много звеньев сиаловой кислоты, продуцируются Escherichia coli, Moraxella nonliquifaciens, Pasteruella aeroginosis и Neisseria meningitidis или их производными. Например, коломиновая кислота, полученная (посредством гидролиза, образуя цепи более короткой длины) из E.coli K1, включает -2 8 связанные звенья сиаловой кислоты. Полисахарид из штамма E.coli K92 включает альтернативные 2 8 и 2 9 связанные звенья сиаловой кислоты. Полисахариды С N. Meningitidis группы С имеют 2 9 связанные звенья сиаловой кислоты.
Одна группа полисахаридных соединений, которая, как было указано, частично используется в изобретении, является группой B полисахаридов. Эти соединения продуцируются N. Meningitidis, M. nonliquifaciens, P. Aeroginosis А2 и E.coli K1. Эти соединения включают полисахаридный компонент, включающий звенья сиаловой кислоты, и фосфолипидный компонент. Звенья сиаловой кислоты соединены -2 8 с полимером природного происхождения, включающим около 200 звеньев. Некоторые из молекул гликолипидов, особенно соединения с высокой молекулярной массой, имеют ковалентно связанные фосфолипиды на восстанавливающем конце полисахаридного конъюгата.
Для удобства, предпочтительно, чтобы во время продуцирования бактерия, из которых производится полисахаридное соединение, не была патогенной. В частности, для полисахарида особенно подходит получение из непатогенного штамма E.coli, такого как E.coli K92 или, предпочтительно, K1, который является неиммуногенным. Культуры E.coli К92 и К1 хорошо известны, и любой такой тип любых таких штаммов может применяться в качестве подходящего источника полисахарида. Предпочтительно, чтобы полисиаловая кислота имела, по меньшей мере, 2, предпочтительно, по меньшей мере, 5, более предпочтительно, по меньшей мере, 10, например, более 50 звеньев сиаловой кислоты.
Согласно изобретению также предлагается белковый конъюгат, состоящий из белка и нового активированного полисахарида. Новое соединение включает белок, содержащий, по меньшей мере, одно цистеиновое звено и связанный через простую тиоэфирную связь боковой цепи цистеинового звена с полисиаловой кислотой через группы одного или обоих концевых звеньев полисиаловой кислоты.
Там, где у производного полисиаловой кислоты была N-малеинимидогруппа, часть молекулы будет включать N-сукцинимидильную группу со сложнотиоэфирным присоединением к -углеродному атому. Предпочтительно, чтобы часть молекулы содержала также вторичную аминную, гидразоновую или амидную связь.
В изобретении предлагается также новый способ, в котором полисиаловую кислоту подвергают взаимодействию с гетеробифункциональным реагентом, имеющим первую функциональную группу, для реакции с сульфгидрильными группами, и вторую функциональную группу, отличную от первой группы, где указанная вторая функциональная группа сразу же вступает в реакцию с концевым звеном полисиаловой кислоты с образованием ковалентной связи и образованием реакционно-способной сульфгидрильной группы функциональной полисиаловой кислоты.
В одном варианте осуществления вторая функциональная группа представляет собой нуклеофильную группу, предпочтительно гидразин. В особенности это используется там, где полисиаловая кислота содержит альдегидную группу в концевом звене, карбонильная группа которой атакуется нуклеофильной группой.
В другом варианте осуществления способа вторая функциональная группа является электрофильной группой, такой как N-алоксилкарбонилимид, такой как сложный N-гидроксисукцинимидный эфир или сложный сульфосукцинимидный эфир, или карбодиимид. Концевая группа в этом случае является предпочтительно нуклеофильной, такой как амин.
В данном способе, предпочтительно, чтобы реагент содержал бифункциональную органическую группу, соединяющую первую и вторую функциональные группы. Предпочтительно, бифункциональную группу выбирают из С2-18алкандиильной группы, ариленовой группы, олигопептидной и олиго(алкокси)алкильной группы.
Примеры подходящих реагентов приведены выше.
Наиболее эффективен способ, который включает последовательную стадию, в которой функциональную полисиаловую кислоту подвергают взаимодействию с полипептидом или белком, имеющим, по меньшей мере, одно свободное и незащищенное Cys звено, с помощью которого функциональная группа образует простую тиоэфирную связь с тиольной группой Cys звена с образованием полисиалованного полипептида или белка. Способ, в частности, подходит там, где белок содержит единственное Cys звено, при этом достигается сайт-контролируемая дериватизация.
Изобретение иллюстрируется сопутствующими примерами.
Пример 1

1.1 Синтез
Три отдельных приготовления были выполнены следующим образом:
Альдегид коломиновой кислоты (CAO), полученный согласно WO-A-9222331 (100 мг, 4,4×10-6 моль) растворяли в 500 мкл 0,1М раствора ацетата натрия и добавляли к 5 моль эквивалентам гидразида N-[ -малеинимидопропионовой кислоты] (6,5 мг, 2,2×10-5 моль). Смесь затем перемешивали встряхиванием, закрывали фольгой и выдерживали при 37°С в течение 2 ч на ротационной мешалке. Полимер затем осаждали добавлением 2 объемов (1,0 мл) этанола. Осадок отделяли центрифугированием (13000 об/мин 2 мин) в настольной микроцентрифуге. Супернатант сливали и осадок растворяли в 500 мкл 0,1М ацетата. Эту процедуру повторяли дополнительно 2 раза, последний осадок растворяли в деионизованной воде и помещали в установку для сушки вымораживанием на ночь.
1.2 Анализ на содержание малеинимида
В этом анализе цистеин подвергали взаимодействию с малеинимидом на полимере, предотвращая дальнейшую реакцию с реактивом Элмана (5,5-дитиобис(2-нитробензойная кислота)), который содержит дисульфид, образующий интенсивную желтую окраску, когда он замещается тиолом, не смежным с ароматическим кольцом. Таким образом, содержание малеинимида может быть рассчитано на основе измерения ингибирования реакции между цистеином и реактивом Элмана.
Первую начальную реакционную массу цистеина 12×10-3М (0,145 мг/мл) приготавливали в забуференном фосфатном физиологическом растворе (PBS). В чистом титрационном микропланшете объемом 100 мкл дважды разводили от 12×10-3М до 0,375×10-3М от ряда В до ряда Н. В ряду А 100 мкл PBS использовали в качестве нулевого стандарта. Готовили образцы СА и СА-малеинимид (САМ) 5 или 10 мг/мл, и 100 мкл каждого образца добавляли в сдвоенные колонки для определения цистеиновых разведений В одну колонку добавляли 100 мкл PBS без СА в качестве планшет, закрывали и оставляли для инкубации при 37°С в течение 1 ч. Затем по 20 мкл реактива Элмана (4 мг/мл) добавляли в каждую лунку и планшет инкубировали в темноте при комнатной температуре в течение 15 мин. Измеряли поглощение в лунках при 405 нм. Затем для образцов строили стандартные кривые и рассчитывали количество малеинимида по уменьшению сигнала.
1.4 Тиолирование Fab и присоединение к САМ.
На первой стадии тиольные группы вводили в модель белка толированием амина лизина.
Овечий Fab (антидезипрамин/норитирпталин, 4 мг, 7,2×10-3 моль) растворяли в 0,25 мл PBS+10 мМ ЭДТА и добавляли 0,498 мг 2-иминотиолана (2-IT или реактива Траута 50 моль-эквивалентов 3,6×10-6 моль) в 0,25 мл того же буфера. Пробирку закрывали фольгой и оставляли для инкубации при перемешивании гибкой мешалкой в течение 1 ч при 37°C.

Тиолированный Fab очищали от свободного 2-IT (реактив Траута) гель-фильтрацией (PD-10) и 0,5 мл фракции анализировали на присутствие белка (BCA анализ) или тиола (анализ Элмана). Первый элюированный пик, содержащий белок и тиол, суммировали и белок и тиол определяли количественно.
Конъюгация Fab-тиола с CAM.
К тиолированному Fab (3,6 мг, 6,6×10-8 моль) в 2 мл PBS/ЭДТА добавляли 22,5 мг CAM (9×10-7 моль, 15 моль-эквивалентов). Пробирку запечатывали и оставляли для инкубации при 37°C в течение 1 ч при мягком перемешивании. Полученный конъюгат затем очищали в соответствии с принятой методикой удаления свободного CAM. Содержание как CA, так и белка в конъюгате анализировали для расчета степени конъюгации.
Контрольные реакции выполняли с CA в качестве отрицательного контроля.
Готовили несколько серий CAM-Fab с различной степенью тиолирования, но поддерживая соотношение 15:1 CAM:Fab. Результаты представлены в таблице 1 ниже:
| Таблица 1 |
| Отношение тиол:Fab |
Соотношение конъюгата (CA:Fab) |
| 1 |
0,53:1 |
| 2 |
0,9:1 |
| 5 (трижды дублированная реакция) |
1,925:1+/-0,19:1 Fab |
| 10 |
3,51:1 |
На фиг.1 показан SDS-PAGE на геле трижды дублированных образцов и релевантные контроли.
1.6 Заключение
Результаты показывают, что во всех контрольных лунках (образцы тиолированного Fab) перемещение образца является одинаковым с перемещением образца, свеже приготовленного FAb (ниже 50 кДа маркера), показывающим отсутствие связывания молекул FAb в течение процесса конъюгации. В линиях репликата существует заметная полоса, граничащая с максимумом интенсивности между маркерами 98 и 250 кДа, которые обычно показывают увеличение массы, что свидетельствует о полисиалолированном продукте.
1.7 Конъюгация CAM с бета-галактозидазой
К E. coli -галактозидазе ( -gal: 5,0 мг, 4,3×10-8 моль) в 1 мл PBS добавляли 15 мг CAM (6,59×10-7 моль, 15 моль-эквивалентов). Пробирку закрывали фольгой и оставляли для инкубации при комнатной температуре в течение 1 ч при мягком перемешивании. Полученный конъюгат анализировали SDS-PAGE и затем очищали в соответствии с принятой методикой удаления свободного САМ. Образцы анализировали на содержание полимера и белка по соответствующей методике.
Контрольные реакции выполняли с CA в качестве отрицательного контроля.
1.8 Анализ на ферментную активность
Стандарты от 60 мкг/мл до 3,75 мкг/мл свежеприготовленной -галактозидазы готовили в PBS. Образец CAM- -gal разводили до 60 мкг/мл в том же буфере. Ферментную активность конъюгатов измеряли следующим образом: в титрационном микропланшете к 100 мкл образца или стандарта одновременно добавляли 100 мкл -gal субстрата (прокалыванием). Микропланшет инкубировали при 37°C в течение 30 мин и поглощение читали при 405 нм. Калибровочную кривую строили с помощью стандартов и активность образцов рассчитывали из уравнения для кривой линейно-регрессионного анализа.
1.9 Результаты
Из анализов для белка и полимера было определено, что отношение конъюгации составляет 1,23 CAM:1 -Gal. По данным SDS-PAGE образцов также было отмечено соответствующее увеличение в кажущейся молекулярной массе (фиг. 2). Рассчитанная ферментная активность очищенного образца составляет 100,4% по сравнению со свободным ферментом.
Пример 2
Путь синтеза 2
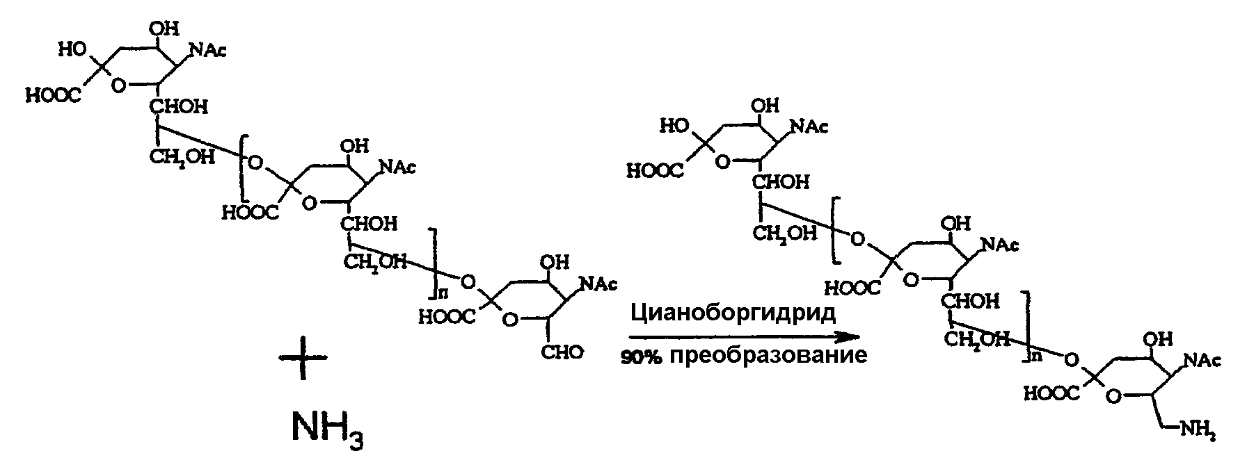
Стадия 1: Аминирование CA-альдегида (CAO)

Стадия 2: Введение малеинимидного кольца

2. Синтез
2.1. Стадия 1: Аминирование окисленной CA
Окисленную коломиновую кислоту (CAO) 10-100 мг/мл растворяли в 2 мл деионизованной воды с 300-кратным молярным избытком NH4Cl, в 50 мл пробирке и затем добавляли NaCNBH3 (5M маточный раствор в 1н NaOH (водн.)) до конечной концентрации 5 мг/мл. Смесь инкубировали при комнатной температуре в течение 5 дней. Контрольную реакцию также проводили с коломиновой кислотой (A) вместо CAO. Продукт осаждали в виде аминного производного коломиновой кислоты добавлением 5 мл охлажденного льдом этанола. Осадок отделяли центрифугированием при 4000 об/мин в течение 30 минут при комнатной температуре в настольной центрифуге. Осадок в пробирке сохраняли и ресуспендировали в 2 мл деионизованной воды, затем снова осаждали 5 мл охлажденного льдом этанола в 10 мл ультрацентрифужной пробирке. Осадок собирали центрифугированием при 30000 об/мин в течение 30 минут при комнатной температуре. Осадок в пробирке снова ресуспендировали в 2 мл деионизованной воды и сушили вымораживанием.
2.2. Анализ на содержание амина
TNBS (пикрилсульфоновая кислота или 2,4,6-тринитробензолсульфоновая кислота) анализ использовали для определения количества аминогрупп, присутствующих в продукте.
В лунке титрационного микропланшета к 90 мкл 0,1M боратного буфера с pH 9,5 добавляли TNBS (0,5 мкл 15 мМ TNBS). К этому добавляли 10 мкл 50 мг/мл раствора CA-амида, планшет оставляли стоять в течение 20 минут при комнатной температуре, перед прочтением поглощения при 405 нм. Глицин использовали в качестве стандарта, в диапазоне концентраций от 0,1 до 1 мМ. TNBS тринитрофенилирует первичные аминные группы. Определяли аддукт TNP амина.
Тестируемый продукт, очищенный двойным осаждением охлажденным льдом этанолом, при использовании TNBS анализа показывает близкое к 90% превращение.
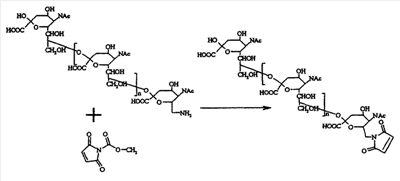
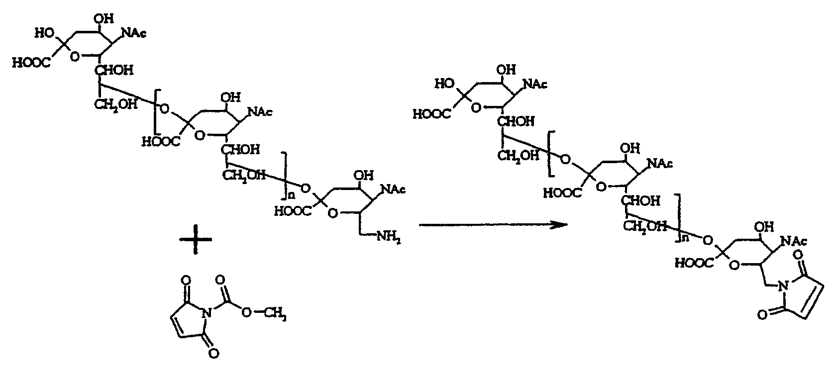
2.3. Малеинимидирование CA-амина
CA-амин (17 мг) растворяли в 1 мл деионизованной воды, к этому добавляли 6 мг метоксикарбонилмалеинимида (MCM). Смесь оставляли реагировать при комнатной температуре в течение 30 мин. К образцу добавляли 100 мкл воды и 200 мкл ацетонитрила и затем инкубировали при комнатной температуре в течение 4 ч, затем добавляли 300 мкл CHCl3, пробирку встряхивали и водную фракцию собирали. Затем фракцию очищали на PD-10 колонке для удаления малых молекул. Элюат сушили вымораживанием и анализировали на содержание малеинимида. Молярная концентрация малеинимида составляла 44 мол.%.
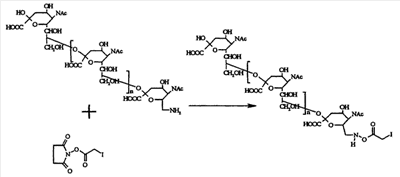
Пример 3: Приготовление иодацетатных производных коломиновой кислоты (CAI).

3.1 Синтез
К 40 мг амина коломиновой кислоты (85 моль.% амина), как описано в Примере 2.1, растворенной в 1 мл PBS pH 7,4, добавляли 5 мг N-сукцинимидилиодоацетата (SIA). Смесь оставляли реагировать в течение 1 ч при 37°C, затем избыток SIA удаляли гель-фильтрацией на 5 мл HightrapTm Desalting колонке (AP Bioscience) элюированием PBS. 0,5 мл фракций собирали из колонки, образцы из каждой фракции тестировали на содержание коломиновой кислоты (резорциновая проба) и реакционную способность с цистеином, выявляющую иодид (анализ Элмана). Фракции, положительные как для иодида, так и для CA, объединяли.
3.2 Конъюгация CAI с -галактозидазой
К E. coli -галактозидазе (5,0 мг, 4,3×10-8 моль) в 1 мл PBS 15 мг CAI добавляли (6,59×10-7 моль, 15 моль-эквивалент). Пробирку закрывали обертыванием в фольгу и оставляли для инкубации при комнатной температуре в течение 1 ч при мягком перемешивании. Полученный конъюгат анализировали с помощью SDS PAGE и затем очищали в соответствии с принятой методикой удаления свободного CAI. Образцы анализировали на содержание полимера и белка, как описано в соответствующей методике.
Контрольные реакции проводили с CA в качестве отрицательного контроля. Все образцы анализировали на -gal активность, как в вышеописанном примере 1.8.
3.3 Заключение
Фракции 3-6 были положительные как для полимера, так и для иодацетата, и были объединены. SDS PAGE (4-12% Бис/Трис гель; фиг.2) показывает увеличение кажущейся молекулярной массы для образцов, инкубированных с иодацетамидным производным, но не с контрольным полимером. Из анализов белка и полимера было установлено, что отношение конъюгации составляет 1,63 CAI:1 -gal. Рассчитано, что -gal активность составляет 100,9% для конъюгатного образца по сравнению со свободным ферментом.
Пример 4
4.1 Синтез: Активация невосстанавливающего конца с гидразидом 4-(4-N-малеинимидофенил)масляной кислоты (CA-MBPH) и 3-(2-пиридилдитио)пропионилгидразидом (CA-PDPH)
Синтез выполняли следующим образом:
Альдегид коломиновой кислоты (CAO; 22,7 кДа, Camida, Ireland), полученный согласно WO-A-9222331 (73 мг для MBPH, пробирка A; 99,3 мг для PDPH; пробирка B), растворяли отдельно в 800 мкл 0,1M раствора ацетата натрия (pH 5,5). В пробирку A добавляли 15 мг MBPH (отношение линкер:CA составляет 15:1), растворенного в 200 мкл ДМСО. В пробирку B добавляли 15 мг (отношение линкер:CA составляет 15:1) PDPH, растворенного в 200 мкл ДМСО. В каждом случае для каждого реакционного сосуда pH доводили до 5,5. Эти смеси затем перемешивали встряхиванием, закрывали фольгой и оставляли для инкубации при 37°C в течение 2 ч на эпициклической мешалке. Раствор каждого полимера очищали гель-фильтрацией (колонка PD-10), элюировали PBS при pH 7,4 и отбирали 1 мл фракции, содержащей CA (резорциновая проба). Образцы сушили вымораживанием в течение ночи и анализировали на содержание малеинимида, как описано в примере 1.2.
4.2 Синтез: Активация восстанавливающего конца с гидразидом 4-(4-N-малеинимидофенил)масляной кислоты (MBPH-CA), (2-пиридилдитио)пропионилгидразидом (PDPH-CA) и гидразидом N- -малеинимидопропионовой кислоты (BMPH-CA).
Все синтезы выполняли при молярном отношении 25:1 линкера к CA следующим образом:
Коломиновую кислоту (CA; 22,7 кДа; 73 мг для MBPH, пробирка A; 99,3 мг для PDPH; пробирка B и 76,6 мг для BMPH; пробирка C) растворяли отдельно в 800 мкл 0,1M ацетата натрия (pH 5,5). Добавляли в пробирку A 25 мг MBPH (растворенной в 200 мкл ДМСО), в пробирку B 25 мг PDPH (растворенной в 200 мкл ДМСО) и в сосуд C 25 мг BMPH (растворенной в 200 мкл ацетатного буфера). pH реакционной смеси доводили до 5,5. Каждую смесь затем перемешивали встряхиванием, завертывали в фольгу и оставляли для инкубации при 37°C в течение 72 ч на эпициклической мешалке. Каждый раствор полимера очищали гель-фильтрацией (колонка PD-10), элюируя PBS при pH 7,4, и отбирали 1 мл фракции, содержащей CA (резорциновая проба). Данные образцы сушили вымораживанием в течение ночи и анализировали на содержание малеинимида, как описано в примере 1.2.
4.3 Результаты
Молярная концентрация малеинимида на невосстанавливающем (высокореактивном) конце составляла 49,0 и 35,0 мол.% для MBPH и PDPH, соответственно. Молярная концентрация малеинимида на восстанавливающем (слабореактивном) конце составляла 41,5, 32,5 и 48,3 мол.% для MBPH, PDPH и BMPH, соответственно. Величины на восстанавливающем конце являются средними из двух величин в каждом случае.
4.4 Конъюгация -галактозидазы ( -gal) с малеинимидом, активированным коломиновой кислотой (восстанавливающий конец и невосстанавливающий конец)
К -gal (1,0 мг; 1 мл в PBS) в отдельные пробирки добавляли 15 молярный избыток каждого малеинимида, активированного CA (MBPH, PDPH и BMPH на невосстанавливающем или восстанавливающем конце, из вышеописанных примеров). Каждую пробирку запечатывали и оставляли для инкубации при 37°C в течение 1 ч при мягком перемешивании. Полученный конъюгат затем очищали в соответствии с принятой методикой удаления свободного активированного полимера. Все образцы анализировали с помощью SDS PAGE на -gal активность, как в примере 1.8.
4.5 Результаты
Результаты (фиг.3) показывают, что во всех контрольных лунках (с -gal) перемещение образца сходно с аналогичным для свежеприготовленной -gal. В линиях репликата существует заметная полоса, граничащая с максимумом интенсивности между маркерами 98 и 250 кДа, которые обычно указывают на увеличение массы, которая является полисиалолированной -gal. Рассчитанная активность -gal составляла 91,0-106% для конъюгированных образцов.
Формула изобретения
1. Полисахарид, представляющий собой полисиаловую кислоту, имеющий, по меньшей мере, два звена сиаловой кислоты, присоединенных одно к другому в положении 2,8 и/или 2,9, и имеющее боковую часть, связанную, по меньшей мере, с одним концевым звеном, полученным из звена сиаловой кислоты, которая включает функциональную группу, выбранную из N-малеинимидных групп, винилсульфоновых групп, N-йодацетамидных групп и ортопиридилдисульфидных групп.
2. Полисахарид по п.1, в котором боковая часть соединена с восстанавливающим концевым звеном полисахарида.
3. Полисахарид по п.1 или 2, в котором часть молекулы соединена с невосстанавливающим концевым звеном полисахарида.
4. Полисахарид по п.1, в котором часть молекулы содержит алкандиильную и/или ариленовую группу и связь, которая представляет собой вторичную аминную связь, гидразоновую, алкилгидразидную связь или пептидную связь, необязательно в сочетании с оксаалкиленовой или олигооксаалкиленовой группой.
5. Полисахарид по п.1, в котором функциональной группой является N-малеинимидогруппа.
6. Полисахарид по п.1, в котором полисахаридом является полисиаловая кислота.
7. Полисахарид по п.6, в котором полисахарид предпочтительно состоит по существу только из звеньев сиаловой кислоты.
8. Полисахарид по п.1, который имеет формулу

где i) R1 представляет собой Н или -СНОНСН2ОН, R2 представляет собой ОН, и R3 является или -CH2CHR4R5, или -CH(CH2OH)CHR4R5, где R4 и R5 вместе представляют =N-NR6, или R4 является Н и R5 является -NR6R7, где R6 является органической группой, содержащей указанную функциональную группу, выбранную из N-малеинимидо, винилсульфона, N-йодоацетамидо и ортодипиридильной группы или Н, и R7 является Н, или R6 и R7 вместе представляют 1,3-бут-2-ендиоильную группу;
ii) R1 и R2 вместе представляют =N-NR6, или R1 является Н, и R2 является -NR6R7, где R6 является органической группой, содержащей указанную функциональную группу, выбранную из N-малеинимидо, винилсульфона, N-йодоацетамидо и ортодипиридильной группы или Н и R7 является Н, или R6 и R7 вместе представляют 1,3-бут-2-ендиоильную группу;
Gly-O является звеном сиаловой кислоты;
n равен 1-74; и
Ас является ацетилом.
9. Полисахарид по п.8, в котором каждый Gly является звеном сиаловой кислоты.
10. Полисахарид, содержащий белок с, по меньшей мере, одним свободным цистеиновым звеном и связанный через сложнотиоэфирную связь с боковой цепью цистеинового звена, полисиаловой кислотой, присоединенные к одному или каждому концевому звену полисиаловой кислоты, где полисиаловая кислота имеет, по меньшей мере, два звена сиаловой кислоты, присоединенных одно к другому в положении 2,8 и/или 2,9 и имеющих боковую часть, связанную, по меньшей мере, с одним концевым звеном, полученным из звена сиаловой кислоты, которая включает функциональную группу, выбранную из N-малеинимидных групп, винилсульфоновых групп, N-йодацетамидных групп и ортопиридилдисульфидных групп.
11. Полисахарид по п.1 или 10, в котором полисахарид имеет, по меньшей мере, 10 звеньев сиаловой кислоты.
12. Полисахарид по п.1 или 10, который имеет, по меньшей мере, 50 звеньев сиаловой кислоты.
13. Способ получения функционального полисахарида, в котором полисахарид, имеющий, по меньшей мере, два связанных друг с другом звена сиаловой кислоты, присоединенных в положении 2,8 и/или 2,9, и содержащий, по меньшей мере, одно концевое звено, которое является производным сиаловой кислоты, подвергают взаимодействию с гетеробифункциональным реагентом, имеющим первую функциональную группу, выбранную из N-малеинимидных групп, винилсульфоновых групп, N-йодацетамидных групп и ортопиридилдисульфидных групп, и вторую функциональную группу, и вторую функциональную группу, отличную от первой группы, где указанная вторая функциональная группа взаимодействует с указанным концевым звеном, производным сиаловой кислоты, с образованием ковалентной связи и образованием функционального полисахарида, подходящего для избирательной конъюгации с тиольной группой.
14. Способ по п.13, в котором указанная вторая функциональная группа является нуклеофильной группой.
15. Способ по п.14, в котором нуклеофильной группой является гидразин.
16. Способ по п.13, в котором концевое звено полисахарида имеет карбонильную группу, которая взаимодействует с указанной нуклеофильной группой.
17. Способ по п.13, в котором указанная вторая функциональная группа является электрофильной группой.
18. Способ по п.17, в котором электрофильной группой является N-алкоксикарбонилимидная или карбодиимидная группа.
19. Способ по п.17, в котором концевое звено полисахарида имеет аминную группу, которая взаимодействует с указанной электрофильной группой.
20. Способ по п.19, в котором образуется пептидная или уретановая связь.
21. Способ по п.13, в котором реагент содержит бифункциональную органическую группу, соединяющую первую и вторую функциональные группы.
22. Способ по п.21, в котором бифункциональную органическую группу выбирают из С2-18алкандиильной группы, ариленовой группы, олигопептидной группы и олиго(алкокси)алкильной группы.
23. Способ по п.13, в котором первой функциональной группой является N-малеинимидная группа.
24. Способ по п.13, в котором реагент имеет общую формулу
X-R-Y,
в которой Х представляет собой N-малеинимидо, N-йодацетамидо, S-винилсульфонильную или S-ортопиридилдисульфидную группу,
R представляет собой алкандиильную, ариленовую или аралкиленовую, алкариленовую, алкиленоксаалкиленовую или алкиленолигооксаалкиленовую, или алкилолигопептидилалкильную группу; и
Y представляет собой гидразидную, аминную или N-гидроксисукцинимидную группу.
25. Способ по п.13, в котором полисахарид имеет, по меньшей мере, 10 звеньев сиаловой кислоты.
26. Способ по п.25, в котором полисахарид имеет, по меньшей мере, 50 звеньев сиаловой кислоты.
27. Способ по п.25 или 26, в котором звенья сиаловой кислоты имеют 2 8 и/или 2 9 связывание друг с другом.
28. Способ получения полисиалированного полипептида или белка, в котором малеинимидофункциональную полисиаловую кислоту по п.23 подвергают взаимодействию с полипептидом или белком, имеющим, по меньшей мере, одно свободное незащищенное Cys звено, где малеинимидная группа образует простую тиоэфирную связь с тиольной группой Cys звена, с образованием полисиалированного полипептида или белка.
29. Способ получения производного полипептида или белка, имеющего полисахаридную основу, в котором полисахарид по п.1 подвергают взаимодействию с полипептидом или белком, имеющим, по меньшей мере, одно свободное незащищенное Cys звено, где указанная функциональная группа образует простую тиоэфирную связь с тиольной группой Cys звена, с образованием конъюгата полисахарида с полипептидом или белком.
РИСУНКИ
|
|