|
(21), (22) Заявка: 2003132534/04, 24.05.2002
(24) Дата начала отсчета срока действия патента:
24.05.2002
(30) Конвенционный приоритет:
24.05.2001 US 60/293642
(43) Дата публикации заявки: 20.04.2005
(46) Опубликовано: 27.06.2008
(56) Список документов, цитированных в отчете о поиске:
US 4284768 A, 18.08.1981. US 6028081 A, 22.02.2000. EP 900789 A2, 10.03.1999.
(85) Дата перевода заявки PCT на национальную фазу:
24.12.2003
(86) Заявка PCT:
US 02/16963 (24.05.2002)
(87) Публикация PCT:
WO 02/094203 (28.11.2002)
Адрес для переписки:
123007, Москва, а/я 104, пат.пов. А.Б.Соколову, рег.№ 277
|
(72) Автор(ы):
ГАЭТА Федерико Си. Эй. (US), БАИРД Эндрю (US), АНЧИН Джерри (US), ЙИНГ Венбин (US), ФЛОРКИЕВИКЗ Роберт (US), СИРКАР Йагадиш (US), КУМАР Кей. Си. Сунил (US)
(73) Патентообладатель(и):
АВАНИР ФАРМАЦЕУТИКАЛС (US)
|
(54) ИНГИБИТОРЫ ФАКТОРА ИНГИБИРОВАНИЯ МИГРАЦИИ МАКРОФАГА И СПОСОБЫ ДЛЯ ИХ ИДЕНТИФИКАЦИИ
(57) Реферат:
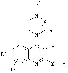
Настоящее изобретение относится к производным хинолина общей формулы Ia или Ib

их стереоизомерам или фармацевтически приемлемым солям, где Х – кислород или сера, Z – CH2, Y – NO2, -C(O)OR5, -NR5SO2R5, -SO2R5 (для Ia) и -NO2 или -C(O)OR5 (для Ib).
Соединения могут быть использованы для лечения расстройств, связанных с ингибированием миграции макрофага (MIF), например при лечении септического шока или артритов. Описаны также способы получения соединений Ia и Ib, фармацевтические композиции на их основе, применение при изготовлении лекарственных средств. 41 н. и 134 з.п. ф-лы, 16 табл., 16 ил.
Текст описания приведен в факсимильном виде.                                                                                                                                                                                                        
Формула изобретения
I. Производные хинолина общей формулы Ia

их стереоизомеры или фармацевтически приемлемые соли, в которой
Х – кислород или сера;
Y – -NO2, -C(O)OR5, -NR5SO2R5 -SO2R’5;
Z – CH2 –; n=1; R1 выбран из группы, состоящей из возможно замещенного галоидом алкила, арила, замещенного галоидом, галоидалкилом, группой -С(=O)-СН2Br, арила, арилалкила, замещенного галоидом или алкокси арилалкила, гетероцикла, выбранного из группы, включающей тиенил, фурил, пиридил, и возможно замещенного галоидом, R’R”N(CH2)x –, где х – целое число от 2 до 4, R’ и R” – алкил; R2 и R3 – галоген, R5; R4 – группа C(=O)R7; -CH2R7, R8, R5 – алкил; R’5 – арил; R7 – арил, гетероциклил, 5-10-членный, насыщенный или ненасыщенный и содержащий от 1 до 3 гетероатомов, выбранных из N, О или S, арил или гетероциклил могут быть замещены галоидом, алкиламино, нитро, галоидалкилом, R8 – оксазолил, замещенный -С(=O)СН3.
2. Соединение по п.1, где Х является кислородом.
3. Соединение по п.1, где Y является -С(=O)ОСН2СН3.
4. Соединение по п.1, где Y является -NO2.
5. Соединение по п.1, где R4 является
или .
6. Соединение по п.1, где R4 является
или .
7. Соединение, имеющее структуру

или стереоизомер или его фармацевтически приемлемая соль,
где Х – кислород или сера;
Y является -NO2;
Z является -СН2 –;
n равно 1;
R1 выбран из группы, состоящей из возможно замещенного галоидом алкила, арила, замещенного галоидом, галоидалкилом, группой -С(=O)-СН2Br, арила, арилалкила, замещенного галоидом или алкокси арилалкила, гетероцикла, выбранного из группы, включающей тиенил, фурил, пиридил, и возможно замещенного галоидом, R’R”N(CH2)x –, где х – целое число от 2 до 4, R’ и R” – алкил; R2 и R3 – галоген, R5; R4 – группа C(=O)R7; -CH2R7, R8, R5 – алкил; R7 – арил, гетероциклил, 5-10-членный, насыщенный или ненасыщенный и содержащий от 1 до 3 гетероатомов, выбранных из N, О или S, причем арил или гетероциклил могут быть замещены галоидом, алкиламино, нитро, галоидалкилом, R8 – оксазолил, замещенный -С(=O)СН3.
8. Соединение по п.7, где Х является кислородом.
9. Соединение по п.7, где R4 является
или .
10. Соединение по п.7, где R4 является
или .
11. Соединение, имеющее структуру

или стереоизомер или его фармацевтически приемлемая соль,
где Х является кислородом или серой;
Y является С(=O)ОСН2СН3;
Z является -СН2 –;
n равно 1;
R1 выбран из группы, состоящей из возможно замещенного галоидом алкила, арила, замещенного галоидом, галоидалкилом, группой -С(=O)-CH2Br, арила, арилалкила, замещенного галоидом или алкокси арилалкила, гетероцикла, выбранного из группы, включающей тиенил, фурил, пиридил, и возможно замещенного галоидом, R’R” N(CH2)x –, где х – целое число от 2 до 4, R’ и R” – алкил; R2 и R3 – галоген, R5; R4 – группа C(=O)R7; -CH2R7, R8, R5 – алкил; R7 – арил, гетероциклил, 5-10-членный, насыщенный или ненасыщенный и содержащий от 1 до 3 гетероатомов, выбранных из N, О или S, причем арил или гетероциклил могут быть замещены галоидом, алкиламино, нитро, галоидалкилом, R8 – оксазолил, замещенный -С(=O)СН3.
12. Соединение по п.11, где Х является кислородом.
13. Соединение по п.11, где R4 является
или .
14. Соединение по п.11, где R4 является
или .
15. Соединение имеющее структуру

их стереоизомер или фармацевтически приемлемая соль,
где Х является кислородом или серой;
Y выбирается из группы, состоящей -NO2, -С(O)OR5, -NR5SO2R5 и S(O)2R’5;
Z является СН2 –;
n равно 1;
R1 выбран из группы, состоящей из возможно замещенного галоидом алкила, арила, замещенного галоидом, галоидалкилом, группой -С(=O)-СН2Br, арила, арилалкила, замещенного галоидом или алкокси арилалкила, гетероцикла, выбранного из группы, включающей тиенил, фурил, пиридил, и возможно замещенного галоидом, R’R” N(СН2)х –; где х – целое число от 2 до 4, R’ и R” – алкил; R2 и R3 – галоген, R5, R4 является
или ; и
R5 – алкил, R’5 – арил.
16. Соединение по п.15, где Х является кислородом:
17. Соединение по п.15, где Y является -С(=O)ОСН2СН3.
18. Соединение по п.15, где Y является -NO2.
19. Соединение, имеющее структуру:

их стереоизомер или фармацевтически приемлемая соль,
где Х является кислородом или серой;
Y выбирается из группы, состоящей -NO2, -C(O)OR5, -NH5SO2R5 и S(O)2R’5;
Z является СН2 –;
n равно 1;
R1 выбран из группы, состоящей из возможно замещенного галоидом алкила, арила, замещенного галоидом, галоидалкилом, группой -С(=O)-СН2Br арила, арилалкила, замещенного галоидом или алкокси арилалкила, гетероцикла, выбранного из группы, включающей тиенил, фурил, пиридил, и возможно замещенного галоидом, R’R” N(CH2)x –, где х – целое число от 2 до 4, R’ и R” – алкил; R2 и R3 – галоген, R5, R4 является
или ; и
R5 – алкил, R’5 – арил.
20. Соединение по п.19, где Х является кислородом.
21. Соединение по п.19, где Y является -С(=O)ОСН2СН3.
22. Соединение по п.19, где Y является -NO2.
23. Соединение, имеющее структуру:

или стереоизомер, или фармацевтически приемлемая соль,
где Х является кислородом;
Y – выбирается из группы, состоящей из -NO2, -C(O)OR5, -NR5 –SO2R5 и S(O)2R’5;
Z является -СН2;
n равно 1;
R1 выбран из группы, состоящей из возможно замещенного галоидом алкила, арила, замещенного галоидом, галоидалкилом, группой -С(=O)-СН2Br арила, арилалкила, замещенного галоидом или алкокси арилалкила, гетероцикла, выбранного из группы, включающей тиенил, фурил, пиридил, и возможно замещенного галоидом, R’R” N(CH2)x –, где х – целое число от 2 до 4, R’ и R” – алкил; R2 и R3 – галоген или R5, R4 – группа C(=O)R7; -СН2R7, R8, R5 – алкил; R’5 – арил; R7 – арил, гетероциклил, 5-10-членный, насыщенный или ненасыщенный и содержащий от 1 до 3 гетероатомов, выбранных из N, О или S, арил или гетероциклил могут быть замещены галоидом, алкиламино, нитро, галоидалкилом, R8 – оксазолил, замещенный -С(=O)СН3.
24. Соединение по п.23, где Y является -С(=O)ОСН2СН3.
25. Соединение по п.23, где Y является -NO2.
26. Соединение по п.23, где R4 является
или 
27. Соединение по п.23, где R4 является
или 
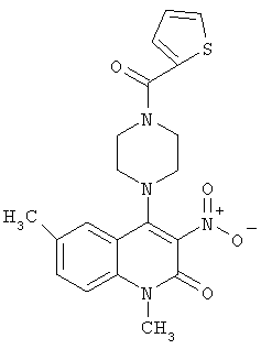
28. Соединение по п.21 представляющее собой

29. Соединение по п.22, где структура представляет собой

30. Соединение по п.22, где структура представляет собой

31. Соединение по п.22, где структура представляет собой

32. Соединение по п.21, где структура представляет собой

33. Соединение по п.21, где структура представляет собой

34. Соединение по п.22, где структура представляет собой

35. Соединение по п.22, где структура представляет собой

36. Соединение по п.22, где структура представляет собой

37. Соединение по п.21, где структура представляет собой

38. Соединение по п.21, где структура представляет собой

39. Соединение по п.21, где структура представляет собой

40. Соединение по п.22, где структура представляет собой

41. Соединение по п.22, где структура представляет собой
.
42. Соединение по п.22, где структура представляет собой
.
43. Соединение по п.21, где структура представляет собой
.
44. Соединение по п.22, где структура представляет собой
.
45. Соединение по п.21, где структура представляет собой
.
46. Соединение по п.21, где структура представляет собой
.
47. Соединение по п.21, где структура представляет собой
.
48. Соединение по п.21, где структура представляет собой
.
49. Соединение по п.21, где структура представляет собой
.
50. Соединение по п.17, где структура представляет собой

51. Соединение по п.3, где структура представляет собой

52. Состав для снижения активности MIF, включающий в себя соединение по п.1 в сочетании с фармацевтически приемлемыми носителем или разбавителем.
53. Применение соединений формулы Ia по п.1 для получения лекарственного средства для снижения активности MIF.
54. Применение соединений формулы Ia по п.1 для получения лекарственного средства для лечения воспаления.
55. Способ лечения септического шока для теплокровных животных, включающий назначение животному эффективного количества соединения по п.1.
56. Способ лечения артритов для теплокровных животных, включающий назначение животному эффективного количества соединения по п.1.
57. Применение соединения формулы Ia по п.1 для получения лекарственного средства для лечения рака.
58. Применение соединения формулы Ia по п.1 для получения лекарственного средства для лечения синдрома острого респираторного заболевания.
59. Применение соединения формулы Ia по п.1 для получения лекарственного средства для лечения воспалительного заболевания.
60. Применение по п.59, где воспалительное заболевание выбирается из группы, состоящей из прогрессирующего деформирующего артрита, остеоартрита, воспалительного заболевания кишечника, и астмы.
61. Применение соединения формулы Ia по п.1 для получения лекарственного средства для лечения аутоиммунного заболевания.
62. Применение по п.61, где аутоиммунное заболевание выбирается из группы, состоящей из диабета, астмы и рассеянного склероза.
63. Применение соединения формулы Ia по п.1 для получения лекарственного средства для подавления иммунной реакции у теплокровных животных.
64. Применение соединения формулы Ia по п.1 для получения лекарственного средства для уменьшения ангиогенеза у теплокровных животных.
65. Применение соединения формулы Ia по п.1 для получения лекарственного средства для лечения заболевания, связанного с избыточными уровнями глюкокортикоидного гормона у теплокровных животных.
66. Применение по п.65, где заболеванием является болезнь Кушинга.
67. Способ для детектирования агента, который модулирует активность MIF, включающий:
контактирование содержащей MIF пробы с агентом, и
детектирования способности агента модулировать MIF путем определения дифференциальной способности антитела связывать MIF.
68. Способ по п.67, где антителом является моноклональное антитело.
69. Способ по п.67, где MIF включает слитые белки, мутанты или их варианты.
70. Способ для использования связывания антитела в качестве суррогатного маркера для тестирования агента, который модулирует активность полипептида, включающий:
контактирование полипептида с ожидаемым модулирующим агентом,
контактирование полипептида с моноклональным антителом, и
детектирование дифференциальной активности полипептида относительно контрольного стандарта.
71. Соединение, имеющее структуру

или стереоизомер, или его фармацевтически приемлемая соль,
где Х является кислородом или серой;
Y выбирается из группы, состоящей из -NO2, -С(=O)OR5,
Z является -СН2,
n равно 1,
R1 выбирается из группы, состоящей из арилалкила, замещенного галоидом арилалкила, R’R”N(CH2)x –, где х целое число от 2 до 4, и где R’ и R” – алкил, замещенный алкил,
R2 и R3 независимо выбираются из группы, состоящей из -R5,
R4 выбирается из группы, состоящей из C(=O)R7;
R5 – алкил;
R7 выбирается из группы, состоящей из замещенного галоидом или алкоксиарила, гетероцикла, выбранного из группы, включающей тиенил и фурил.
72. Соединение по п.71, где R1 является -NCH2CH2CH2N(CH3)2.
73. Соединение по п.71, где Х является кислородом.
74. Соединение по п.71, где Y является -С(=O)OCH2СН3.
75. Соединение по п.71, где Y является -NO2.
76. Соединение по п.71, где R4 является
или .
77. Соединение по п.71, где R4 является
или .
78. Соединение, имеющее структуру

или стереоизомер, или его фармацевтически приемлемая соль,
где Х является кислородом или серой;
Y является -С(=O)ОСН2СН3;
Z является -СН2, n равно 1,
R1 выбирается из группы, состоящей из арилалкила, замещенного галоидом арилалкила, R’R”N(CH2)x –, где х целое число от 2 до 4, и где R’ и R” – алкил, замещенный алкил,
R2 и R3 независимо выбираются из группы, состоящей из -R5,
R4 выбирается из группы, состоящей из C(=O)R7;
R5 – алкил;
R7 выбирается из группы, состоящей из замещенного галоидом или алкоксиарила, гетероцикла, выбранного из группы, включающей тиенил и фурил.
79. Соединение по п.78, где Х является кислородом.
80. Соединение по п.78, где R4 является
или .
81. Соединение по п.78, где R4 является
или .
82. Соединение, имеющее структуру

или стереоизомер, или его фармацевтически приемлемая соль,
где Х является кислородом или серой;
Y выбирается из группы, состоящей из -NO2, -C(=O)OR5,
Z является -CH2,
n равно 1,
R1 является -NCH2CH2CH2N(CH3)2;
R2 и R3 независимо выбираются из группы, состоящей из -R5,
R4 выбирается из группы, состоящей из -C(=O)R7,
R5 – алкил,
R7 выбирается из группы, состоящей из замещенного галоидом или алкоксиарила, гетероцикла, выбранного из группы, включающей тиенил или фурил.
83. Соединение по п.82, где Y является -С(=O)ОСН2СН3.
84. Соединение по п.82, где Y является -NO2.
85. Соединение по п.82, где R4 является
или .
86. Соединение по п.82 где R4 является
или .
87. Соединение, имеющее структуру

или стереоизомер, или его фармацевтически приемлемая соль,
где Х является кислородом или серой;
Y является -NO2;
Z является -СН2-,
n равно 1,
R1 выбирается из группы, состоящей из арилалкила, замещенного галоидом арилалкила и R’R”N(CH2)x –, где х целое число от 2 до 4, где R’ и R” – алкил, замещенный алкил;
R2 и R3 независимо выбираются из группы, состоящей из -R5,
R4 выбирается из группы, состоящей из -C(=O)R7,
R5 – алкил,
R7 выбирается из группы, состоящей из замещенного галоидом или алкоксирила, гетероцикла, выбранного из группы, включающей фурил или тиенил.
88. Соединение по п.87, где R1 является -NCH2CH2CH2N(CH3)2.
89. Соединения по п.87, где Х является кислородом.
90. Соединение по п.88, где R4 является
или .
91. Соединение по п.87, где R4 является
или .
92. Соединение, имеющее структуру

или стереоизомер, или его фармацевтически приемлемая соль,
где Х является кислородом или серой;
Y выбирается из группы, состоящей из -С(=O)OR5, -NO2;
Z является -CH2-,
n равно 1,
R1 выбирается из группы, состоящей из арилалкила, замещенного галоидом арилалкила и R’R”N(CH2)x –, где х целое число от 2 до 4, где R’ и R” – алкил, замещенный алкил;
R2 и R3 независимо выбираются из группы, состоящей из -R5,
R4 выбирается из группы, состоящей из
, , и ;
R5 – алкил.
93. Соединение по п.78, где R1 является -NCH2CH2CH2N(CH3)2.
94. Соединение по п.78, где Х является кислородом.
95. Соединение по п.78, где Y является -С(=O)ОСН2СН2.
96. Соединение по п.78, где Y является – NO2.
97. Соединение по п.83, где структура представляет собой:

98. Соединение по п.83, где структура представляет собой

99. Соединение по п.83, где структура представляет собой
.
100. Соединение по п.83, где структура представляет собой
.
101. Соединение по п.83, где структура представляет собой
.
102. Соединение по п.83, где структура представляет собой
.
103. Соединение по п.83, где структура представляет собой
.
104. Соединение по п.83, где структура представляет собой
.
105. Соединение по п.83, где структура представляет собой
.
106. Соединение по п.83, где структура представляет собой
.
107. Соединение по п.83, где структура представляет собой
.
108. Соединение по п.83, где структура представляет собой
.
109. Соединение по п.83, где структура представляет собой
.
110. Соединение по п.83, где структура представляет собой
.
111. Соединение по п.83, где структура представляет собой
.
112. Соединение по п.83, где структура представляет собой
.
113. Соединение по п.84, где структура представляет собой
.
114. Соединение по п.87, где структура представляет собой

115. Применение соединений по п.71 для получения лекарственного средства для снижения активности MIF.
116. Применение соединений по п.71 для получения лекарственного средства для лечения воспаления.
117. Способ лечения септического шока для теплокровных животных, включающий назначение животному эффективного количества соединения по п.7.
118. Способ лечения артритов для теплокровных животных, включающий назначение животному эффективного количества соединения по п.7.
119. Применение соединений по п.71 для поучения лекарственного средства для лечения рака.
120. Применение соединений по п.71 для получения лекарственного средства для лечения синдрома острого респираторного заболевания.
121. Применение соединений по п.71 для получения лекарственного средства для лечения воспалительного заболевания.
122. Применение по п.121, где воспалительное заболевание выбирается из группы, состоящей из прогрессирующего деформирующего артрита, остеоартрита, воспалительного заболевания кишечника и астмы.
123. Применение соединений по п.71 для получения лекарственного средства для лечения аутоиммунного заболевания.
124. Применение по п.123, где аутоиммунное заболевание выбирается из группы, состоящей из диабета, астмы и рассеянного склероза.
125. Применение соединений по п.71 для получения лекарственного средства для подавления иммунной реакции у теплокровных животных.
126. Способ приготовления соединения формулы IV, включающий стадии:
реагирования соединения формулы I

с соединением формулы II

с получением соединения формулы III

где R7 – арил, гетероциклил, 5-10-членный, насыщенный или ненасыщенный и содержащий от 1 до 3 гетероатомов, выбранных из N, О или S, арил или гетероциклил могут быть замещены галоидом, алкиламино, нитро галоидалкилом, реагирования соединения формулы III с соединением X-R1, где Х выбирается из группы, состоящей из CI, Br и J, и где R1 имеет значения, указанные в п.1 с получением соединения формулы IV

где соединение формулы IV пригодно для использования в качестве ингибитора MIF.
127. Способ по п.126, где соединение формулы IV представляет собой

128. Способ приготовления соединения формулы AIV, включающий стадии:
реагирования соединения формулы AI

с соединением формулы II

с получением соединения формулы AIII

где R7 имеет значения, указанные в п.1, и реагирования соединения формулы AIII с соединением X-R1, где Х выбирается из группы, состоящей из Cl, Br и I, и где R1 имеет значения, указанные в п.1, с получением соединения формулы AIV

где соединение формулы AIV пригодно для использования в качестве ингибирования MIF.
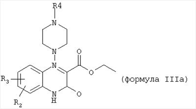
129. Способ приготовления соединения формулы IVa, включающий стадии:
реагирования соединения формулы Ia

с соединением формулы IIa

с получением соединения формулы IIIa

и реагирования соединения формулы IIIa с соединением X-R1 с получением соединения формулы IVa

где соединение формулы IVa пригодно для использования в качестве ингибитора MIF, а где R1-R5, R7 имеют значения, указанные в п.1.
130. Способ по п.129, где формула IVa представляет собой

131. Способ по п.129, где формула IVa представляет собой

132. Способ по п.129, где формула IVa представляет собой
.
133. Способ по п.129, где формула IVa представляет собой
.
134. Способ по п.129, где формула IVa представляет собой
.
135. Способ по п.129, где формула IVa представляет собой
.
136. Способ по п.129, где формула IVa представляет собой
.
137. Способ по п.129, где формула IVa представляет собой
.
138. Способ по п.129 где формула IVa представляет собой
.
139. Способ по п.129, где формула IVa представляет собой
.
140. Способ по п.129, где формула IVa представляет собой
.
141. Способ по п.129, где формула IVa представляет собой
.
142. Способ по п.129, где формула IVa представляет собой
.
143. Способ по п.129, где формула IVa представляет собой
.
144. Способ приготовления соединения формулы AIVa, включающий стадии:
реагирования соединения формулы AIa

с соединением формулы IIa

с получением соединения формулы AIIIa

и реагирования соединения формулы AIIIa с соединением X-R1 с получением соединения формулы AIVa

где соединение формулы AIVa пригодно для использования в качестве ингибитора MIF, и где R1-R4 имеют значения, указанные в п.1.
145. Способ по п.144, где формула AIVa представляет собой

146. Способ по п.144, где формула AIVa представляет собой

147. Способ по п.144, где формула AIVa представляет собой

148. Способ по п.144, где формула AIVa представляет собой

149. Способ по п.144, где формула AIVo представляет собой

150. Способ по п.144, где формула AIVa представляет собой

151. Способ по п.144, где формула AIVa представляет собой

152. Способ по п.144, где формула AIVa представляет собой

153. Способ по п.144, где формула AIVa представляет собой

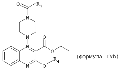
154. Способ приготовления соединения формулы IVb, включающий стадии:
реагирования соединения формулы I

с соединением формулы II

с получением соединения формулы III

где R7 выбран из группы, состоящей из замещенного галоидом или алкокси арила, гетероцикла, выбранного из группы, включающей тиенил и фурил, реагирования соединения формулы III с соединением X-R1, где Х выбирается из группы, состоящей из Cl, Br и I, и где R1, имеет значения указанные в п.71, с получением соединения формулы IVb

где соединение формулы IVb пригодно для использования в качестве ингибитора MIF.
155. Способ приготовления соединения формулы AVb, включающий стадии
реагирования соединения формулы AI

с соединением формулы II

с получением соединения формулы AIII

где R7 имеет значения, указанные в п.71, и реагирования соединения формулы AIII с соединением X-R1, где Х выбирается из группы, состоящей из Cl, Br и I, и где R1 имеет значения, указанные в п.71, с получением соединения формулы AIVb

где соединение формулы AIVb пригодно для использования в качестве ингибитора MIF.
156. Способ приготовления соединения формулы IVab, включающий стадии:
реагирования соединения формулы Ia

с соединением формулы IIa

с получением соединения формулы IIIa

и реагирования соединения формулы IIIa с соединением X-R1 с получением соединения формулы IVab

где соединение формулы IVab пригодно для использования в качестве ингибитора MIF, где R1-R4 имеют значения, указанные в п.71.
157. Способ по п.156, где формула IVab представляет собой

158. Способ по п.156, где формула IVab включает
.
159. Способ по п.156, где формула IVab включает
.
160. Способ по п.156, где формула IVab включает
.
161. Способ по п.156, где формула IVab включает

162. Способ по п.156, где формула IVab включает
.
163. Способ по п.156, где формула IVab включает
.
164. Способ по п.156, где формула IVab включает

165. Способ по п.156, где формула IVab включает

166. Способ по п.156, где формула IVab включает

167. Способ по п.156, где формула IVab включает

168. Способ по п.156, где формула IVab включает
.
169. Способ по п.156, где формула IVab включает
.
170. Способ по п.156, где формула IVab включает

171. Способ по п.156, где формула IVab включает

172. Способ приготовления соединения формулы AIVab, включающий стадии:
реагирования соединения формулы AIa

с соединением формулы IIa

с получением соединения формулы AIIIa

и реагирования соединения формулы AIII с соединением X-R1 с получением соединения формулы AIVab

где соединение формулы AIVab пригодно для использования в качестве ингибитора MIF, где R1-R4 имеют значения, указанные в п.71.
173. Способ по п.156, где формула IVab включает

174. Способ по п.172, где формула AIVab включает

175. Способ по п.172, где формула AIVab включает

РИСУНКИ
|