Патент на изобретение №2327689
|
|||||||||||||||||||||||||||||||||||||||||||||||||||||||||||||||||||||||||||||||||||||||||||||||||||||||||||||||||||||||||||||||||||||||||||||||||||||||||||||||||||||||||||||||||||||||||||||||||||||||||||||||||||||||||||||||||||||||||||||||||||||||||||||||||||
(54) 2,5- ЗАМЕЩЕННЫЕ ТЕТРАГИДРОИЗОХИНОЛИНЫ И ФАРМАЦЕВТИЧЕСКАЯ КОМПОЗИЦИЯ ДЛЯ МОДУЛЯЦИИ 5-НТ6
(57) Реферат:
Изобретение относится к области органической химии. Описывается соединение формулы (I):
и их фармацевтически приемлемые соли, в которой, n, X, Y, R1, R2, R3, R4 и R5 являются такими, как определено в настоящем изобретении. Полученные соединения обладают модулирующим действием в отношении рецепторов 5-НТ6. Также описана фармацевтическая композиция на основе соединений формулы (I), используемых в качестве модуляторов 5-НТ6 для лечения нарушений центральной нервной системы. Технический результат: получены новые соединения, обладающие полезными биологическими свойствами. 2 н. и 8 з.п. ф-лы, 1 табл.
Настоящее изобретение относится к замещенным тетрагидроизохинолинам и изохинолинам, способам их применения в качестве терапевтических средств и способам их получения. Воздействия 5-гидрокситриптамина (5-НТ) в качестве главного модулирующего нейротрансмиттера в головном мозге опосредуются с помощью целого ряда групп рецепторов, обозначаемых как 5-НТ1, 5-НТ2, 5-НТ3, 5-НТ4, 5-НТ5, 5-НТ6 и 5-НТ7. На основании большого содержания в головном мозге 5-НТ6, рецептора мРНК, утверждается, что рецептор 5-НТ6 может играть роль в патологии и лечении нарушений центральной нервной системы (ЦНС). В частности, установлено, что селективные по отношению к 5-НТ2 и 5-НТ6 лиганды потенциально применимы при лечении некоторых нарушений ЦНС, таких как болезнь Паркинсона, болезнь Гентингтона, тревога, депрессия, маниакальная депрессия, психозы, эпилепсия, обсессивно-компульсивные нарушения, нарушения настроения, мигрень, болезнь Альцгеймера (для улучшения познавательной памяти), нарушения сна, нарушения питания, такие как анорексия и булимия, острые тревожные состояния с реакцией паники, синдром дефицита внимания с гиперактивностью (СНВГ), синдром нарушения внимания (СНВ), реакция на отмену наркотиков, таких как кокаин, этанол, никотин и бензодиазепины, шизофрения, а также заболевания, связанные с травмой позвоночника и/или травмой головы, такие как гидроцефалия. Также предполагается, что такие соединения будут применимы при лечении некоторых нарушений желудочно-кишечного тракта (ЖКТ), таких как функциональное заболевание кишечника. См., например, B.L.Roth et al., J.Pharmacol. Exp. Ther., 1994, 268, pages 1403-14120, D.R.Sibley et al., Mol. Pharmacol., 1993, 43, 320-327, A.J.Sleight et al., Neurotransmission, 1995, 11, 1-5, и A.J.Sleight et al., Serotonin ID Research Alert, 1997, 2(3), 115-8. Хотя раскрыто множество модуляторов 5-НТ6, сохраняется необходимость в соединениях, которые применимы для модуляции 5-НТ6. Одним объектом настоящего изобретения является (i) соединение формулы:
или его фармацевтически приемлемая соль или пролекарство, в которой: n равно от 0 до 3; X обозначает -CRaRb– или -С(O)-, где Ra и Rb независимо обозначают водород или алкил; — обозначает необязательную связь; Y обозначает -SO2-, если X обозначает -CRaRb-, и Y обозначает -(CRcRd)p-, если X обозначает -С(О)-, где p равно от 1 до 3 и Rc и Rd независимо обозначают водород или алкил; все R1 независимо обозначают галоген, алкил, галогеналкил, гетероалкил, гидроксигруппу, нитрогруппу, алкоксигруппу, цианогруппу, -S(O)q-Re, -NReRf, -C(=O)-NReRf, -SO2-NReRf, -N(Re)-C(=O)-Rf или -C(=O)Re, где q равно от 0 до 2 и Re и Rf независимо обозначают водород или алкил; R2 обозначает арил, гетероарил или циклоалкил; R3 и R4 независимо обозначают водород или алкил и R5 находится в положении 5 или 6 изохинолиновой кольцевой системы и обладает формулой:
в которой: Z обозначает -N- или -СН-; r равно от 1 до 3; и R6, R7, R8, R9 и R10 независимо обозначают водород или алкил. Другими объектами настоящего изобретения являются: (ii) Соединение из раздела (i), в котором указанное соединение обладает формулой:
или его фармацевтически приемлемая соль или пролекарство, в которой n, R1, R2, R3, R4, R6, R7, R8, R9, R10, —, X и Y являются такими, как определено в (i). (iii) Соединение из раздела (ii), в котором указанное соединение обладает формулой
или его фармацевтически приемлемая соль или пролекарство, в которой: Х обозначает -CHRa– или -С(O)-, где Ra обозначает водород или алкил; —- обозначает необязательную связь; Y обозначает -SO2-, если X обозначает -CHRa-, и Y обозначает -СН2-, если X обозначает -С(O)-, R2 обозначает арил, необязательно содержащий заместители, выбранные из группы, включающей алкил, циклоалкил, циклоалкилалкил, гетероалкил, гидроксиалкил, галоген, нитрогруппу, цианогруппу, гидроксигруппу, алкоксигруппу, аминогруппу, ациламиногруппу, моноалкиламиногруппу, диалкиламиногруппу, галогеналкил, галогеналкоксигруппу, гетероалкил, мочевинную группу, амидогруппу, алкансульфонил, -COR (где R обозначает водород, алкил, фенил или фенилалкил), -(CR R10 обозначает водород или алкил. (iv) Соединение из раздела (iii), в котором указанное соединение обладает формулой:
или его фармацевтически приемлемая соль или пролекарство, в которой R2, R10, — и Ra являются такими, как определено в разделе (iii). (v) Соединение из раздела (iii), в котором указанное соединение обладает формулой:
или его фармацевтически приемлемая соль или пролекарство, в которой R2, R10, —, Rc и Rd являются такими, как определено в разделе (iii). (vi) Соединение из раздела (iv), в котором R2 обозначает фенил или нафталинил, которые необязательно содержат заместители в соответствии с разделом (iii). (vii) Соединение из раздела (vi), в котором R2 выбран из группы, включающей фенил, 2-фторфенил, 3-фторфенил, 4-фторфенил, 2-хлорфенил, 3-хлорфенил, 3-метилфенил, 4-метоксифенил, 2-метансульфонилфенил, 4-амидофенил, 4-мочевинофенил, 3,5-дихлорфенил, 2,3-дихлорфенил, 2,5-дихлорфенил, 3,5-ди(трифторметил)фенил, 2,5-диметоксифенил, 3-хлор-4-фторфенил, 2-хлор-4-фторфенил, нафталин-1-ил, нафталин-2-ил и хинолин-8-ил. (viii) Соединение из раздела (iv), в котором R10 обозначает водород или метил. (ix) Соединение из раздела (iv), в котором указанное соединение выбрано из группы, включающей: 2-бензолсульфонил-5-пиперазин-1-ил-1,2,3,4-тетрагидроизохинолин; 2-бензолсульфонил-5-(4-метилпиперазин-1-ил)-1,2,3,4-тетрагидроизохинолин; 2-(4-фторбензолсульфонил)-5-пиперазин-1-ил-1,2,3,4-тетрагидроизохинолин; 2-(4-метоксибензолсульфонил)-5-пиперазин-1-ил-1,2,3,4-тетрагидроизохинолин; 2-(3-фторбензолсульфонил)-5-пиперазин-1-ил-1,2,3,4-тетрагидроизохинолин; 2-(3,5-дихлорбензолсульфонил)-5-пиперазин-1-ил-1,2,3,4-тетрагидроизохинолин; 2-(3,5-бис-трифторметилбензолсульфонил)-5-пиперазин-1-ил-1,2,3,4-тетрагидроизохинолин; 2-(2,5-диметоксибензолсульфонил)-5-пиперазин-1-ил-1,2,3,4-тетрагидроизохинолин; 2-(3-хлор-4-фторбензолсульфонил)-5-пиперазин-1-ил-1,2,3,4-тетрагидроизохинолин; 2-(2-фторбензолсульфонил)-5-пиперазин-1-ил-1,2,3,4-тетрагидроизохинолин; 2-(2-хлорбензолсульфонил)-5-пиперазин-1-ил-1,2,3,4-тетрагидроизохинолин; 2-(3-хлорбензолсульфонил)-5-пиперазин-1-ил-1,2,3,4-тетрагидроизохинолин; 2-(3-метилбензолсульфонил)-5-пиперазин-1-ил-1,2,3,4-тетрагидроизохинолин; 2-(2,3-дихлорбензолсульфонил)-5-пиперазин-1-ил-1,2,3,4-тетрагидроизохинолин; 2-(2-хлор-4-фторбензолсульфонил)-5-пиперазин-1-ил-1,2,3,4-тетрагидроизохинолин; 2-(2,5-дихлорбензолсульфонил)-5-пиперазин-1-ил-1,2,3,4-тетрагидроизохинолин; 2-(нафталин-1-сульфонил)-5-пиперазин-1-ил-1,2,3,4-тетрагидроизохинолин; 2-(нафталин-2-сульфонил)-5-пиперазин-1-ил-1,2,3,4-тетрагидроизохинолин; 2-(2-метансульфонилбензолсульфонил)-5-пиперазин-1-ил-1,2,3,4-тетрагидроизохинолин; 3-(5-пиперазин-1-ил-3,4-дигидро-1Н-изохинолин-2-сульфонил)-бензамид; [2-(5-пиперазин-1-ил-3,4-дигидро-1Н-изохинолин-2-сульфонил)-фенил]-мочевину и 8-(5-пиперазин-1-ил-3,4-дигидро-1Н-изохинолин-2-сульфонил)-хинолин. (х) Соединение из раздела (v), в котором R2 обозначает фенил и R10 обозначает водород или метил. (xi) Соединение из раздела (v), в котором указанное соединение выбрано из группы, включающей: 2-бензил-5-пиперазин-1-ил-3,4-дигидро-2H-изохинолин-1-он и 2-бензил-5-(4-этилпиперазин-1-ил)-3,4-дигидро-2H-изохинолин-1-он. (xii) Способ получения соединения формулы
в которой n, R1, R2, R3, R4, R6, R7, R8, R9, R10 и Ra являются такими, как определено в разделе (i), включающий: введение в реакцию соединения формулы
в которой n, R1, R3, R4, R6, R7, R8, R9, R10 и Ra являются такими, как определено в разделе (i), с сульфонилгалогенидом формулы R2-SO2-G, в которой R2 является таким, как определено в п.1 формулы изобретения, и G обозначает галоген. (xiii) Способ получения соединения формулы
в которой n, R1, R2, R3, R4, R6, R7, R8, R9, R10, Rc и Rd являются такими, как определено в разделе (i), включающий: восстановление соединения формулы
в которой n, R1, R2, R3, R4, R6, R7, R8, R9, R10, Rc и Rd являются такими, как определено в разделе (i). (xiv) Соединение формулы I или его фармацевтически приемлемая соль по п.1 формулы изобретения, полученное способом, соответствующим разделу (xii) или (xiii). (xv) Фармацевтическая композиция, включающая терапевтически эффективное количество не менее одного соединения формулы I или его фармацевтически приемлемой соли в соответствии с любым из разделов от (i) до (xi) в смеси с одним или большим количеством фармацевтически приемлемых носителей, предназначенная для лечения заболеваний. (xvi) Соединение формулы I или его фармацевтически приемлемая соль по п.1 формулы изобретения, предназначенное для применения в качестве лекарственного средства. (xvii) Применение одного или большего количества соединений формулы I или их фармацевтически приемлемых солей по п.1 формулы изобретения для изготовления лекарственного средства, предназначенного для лечения или предупреждения патологического состояния, протекание которого облегчается при воздействии антагониста 5-НТ6. (xviii) Применение по разделу (xii), в котором патологическое состояние включает нарушения ЦНС. (xix) Применение по разделу (xviii), в котором патологическое состояние выбрано из группы, включающей психозы, шизофрению, маниакальные депрессии, невралгические нарушения, нарушения памяти, синдром нарушения внимания, болезнь Паркинсона, боковой амиотрофический склероз, болезнь Альцгеймера и болезнь Гентингтона. (хх) Применение по разделу (xvii), в котором патологическое состояние включает нарушения желудочно-кишечного тракта. Если не указано иное, то в настоящей заявке, включая описание и формулу изобретения, приведенные ниже термины обладают указанными ниже значениями. Следует отметить, что при использовании в заявке и формуле изобретения формы единственного числа также включают и формы множественного числа, если из контекста явно не следует иное. “Агонист” означает соединение, которое увеличивает активность другого соединения или рецепторного участка. “Алкил” означает одновалентный линейный или разветвленный насыщенный углеводородный фрагмент, включающий только атомы углерода и водорода, содержащий от 1 до 12 атомов углерода. “Низш. алкил” означает алкильную группу, содержащую от 1 до 6 атомов углерода. Примеры алкильных групп включают, но не ограничиваются только ими, метил, этил, пропил, изопропил, изобутил, втор-бутил, трет-бутил, пентил, н-гексил, октил, додецил и т.п. “Алкилен” означает линейный насыщенный двухвалентный углеводородный радикал, содержащий от 1 до 6 атомов углерода, или разветвленный насыщенный двухвалентный углеводородный радикал, содержащий от 3 до 6 атомов углерода, например метилен, этилен, 2,2-диметилэтилен, пропилен, 2-метилпропилен, бутилен, пентилен и т.п. “Алкоксигруппа” означает фрагмент формулы -OR, в которой R обозначает алкильный фрагмент, определенный в настоящем изобретении. Примеры алкоксигрупп включают, но не ограничиваются только ими, метокси-, этокси-, изопропоксигруппы и т.п. “Антагонист” означает соединение, которое уменьшает или предотвращает воздействие другого соединения или рецепторного участка. “Арил” означает одновалентный циклический ароматический углеводородный фрагмент, содержащий моно-, би- или трициклическое ароматическое кольцо. Арильная группа необязательно может быть замещена в соответствии с определением в настоящем изобретении. Примеры арильных фрагментов включают, но не ограничиваются только ими, фенил, нафтил, нафталинил, фенантрил, флуоренил, инденил, пенталенил, азуленил, оксидифенил, бифенил, метилендифенил, аминодифенил, дифенилсульфидил, дифенилсульфонил, дифенилизопропилиденил, бензодиоксанил, бензофуранил, бензодиоксилил, бензопиранил, бензоксазинил, бензоксазинонил, бензопиперидинил, бензопиперазинил, бензопирролидинил, бензоморфолинил, метилендиоксифенил, этилендиоксифенил и т.п., включая их частично гидрированные производные. “Арилалкил” и “аралкил”, которые могут являться взаимозаменяемыми, означают радикал -RaRb, в котором Ra означает алкиленовую группу и Rb означает арильную группу в соответствии с определением в настоящем изобретении; например, примерами арилалкилов, арильный фрагмент которых необязательно может быть замещен, являются бензил, фенилэтил, 3-(3-хлорфенил)-2-метилпентил, 2-(4-фторфенил)-этил, 2-(4-метоксифенил)-этил и т.п. “Циклоалкил” означает одновалентный насыщенный карбоциклический фрагмент, включающий моно- или бициклические кольца. Циклоалкил необязательно может содержать один или большее количество заместителей, причем каждый заместитель независимо означает гидроксигруппу, алкил, алкоксигруппу, галоген, галогеналкил, аминогруппу, моноалкиламиногруппу или диалкиламиногруппу, если специально не указано иное. Примеры циклоалкильных фрагментов включают, но не ограничиваются только ими, циклопропил, циклобутил, циклопентил, циклогексил, циклогептил и т.п., включая их частично ненасыщенные производные, такие как циклогексенил, циклопентенил и т.п. “Циклоалкилалкил” означает фрагмент формулы -R “Гетероалкил” означает алкильный радикал в соответствии с определением в настоящем изобретении, в котором 1, 2 или 3 атома водорода заменены заместителем, независимо выбранным из группы, включающей -ORa, -NRbRc и -S(O)nRd (где n является целым числом, равным от 0 до 2), и следует понимать, что положением присоединения гетероалкильного радикала является атом углерода, где Ra обозначает водород, ацил, алкил, циклоалкил или циклоалкилалкил; Rb и Rc независимо друг от друга обозначают водород, ацил, алкил, циклоалкил или циклоалкилалкил; и, если n равно 0, то Rd обозначает водород, алкил, циклоалкил или циклоалкилалкил и, если n равно 1 или 2, то Rd обозначает алкил, циклоалкил, циклоалкилалкил, аминогруппу, ациламиногруппу, моноалкиламиногруппу или диалкиламиногруппу. Типичные примеры включают, но не ограничиваются только ими, 2-гидроксиэтил, 3-гидроксипропил, 2-гидрокси-1-гидроксиметилэтил, 2,3-дигидроксипропил, 1-гидроксиметилэтил, 3-гидроксибутил, 2,3-дигидроксибутил, 2-гидрокси-1-метилпропил, 2-аминоэтил, 3-аминопропил, 2-метилсульфонилэтил, аминосульфонилметил, аминосульфонилэтил, аминосульфонилпропил, метиламиносульфонилметил, метиламиносульфонилэтил, метиламиносульфонилпропил и т.п. “Гетероарил” означает моноциклический или бициклический радикал, содержащий в цикле от 5 до 12 атомов, включающий не менее одного ароматического кольца, содержащего в цикле 1, 2 или 3 гетероатома, выбранных из группы, включающей N, О и S, а остальными атомами цикла являются С, и следует понимать, что положение присоединения гетероарильного радикала находится в ароматическом цикле. Гетероарильное кольцо необязательно может содержать заместители в соответствии с определением в настоящем изобретении. Примеры гетероарильных фрагментов включают, но не ограничиваются только ими, имидазолил, оксазолил, изоксазолил, тиазолил, изотиазолил, оксадиазолил, тиадиазолил, пиразинил, тиенил, бензотиенил, тиофенил, фуранил, пиранил, пиридил, пирролил, пиразолил, пиримидил, хинолинил, изохинолинил, бензофурил, бензотиофенил, бензотиопиранил, бензимидазолил, бензооксазолил, бензооксадиазолил, бензотиазолил, бензотиадиазолил, бензопиранил, индолил, изоиндолил, триазолил, триазинил, хиноксалинил, пуринил, хиназолинил, хинолизинил, нафтиридинил, птеридинил, карбазолил, азепинил, диазепинил, акридинил и т.п., включая их частично гидрированные производные. Термин “галоген” означает заместитель фтор, хлор, бром или йод. “Галогеналкил” означает алкил в соответствии с определением в настоящем изобретении, в котором один или большее количество атомов водорода замещены на одинаковые или разные галогены. Примеры галогеналкилов включают -СН2Cl, -СН2CF3, -СН2CCl3, перфторалкил (например, -CF3) и т.п. “Гетероциклоаминогруппа” означает насыщенное кольцо, в котором не менее чем одним атомом цикла является N, NH или N-алкил, а остальные атомы цикла образуют алкиленовую группу. “Гетероциклил” означает одновалентный насыщенный фрагмент, состоящий из одного-трех циклов, содержащих 1, 2, 3 или 4 гетероатома (выбранных из группы, включающей азот, кислород и серу). Гетероциклильное кольцо может необязательно содержать заместители в соответствии с определением в настоящем изобретении. Примеры гетероциклильных фрагментов включают, но не ограничиваются только ими, пиперидинил, пиперазинил, гомопиперазинил, азепинил, пирролидинил, пиразолидинил, имидазолинил, имидазолидинил, пиридинил, пиридазинил, пиримидинил, оксазолидинил, изоксазолидинил, морфолинил, тиазолидинил, изотиазолидинил, хинуклидинил, хинолинил, изохинолинил, бензимидазолил, тиадиазолидинил, бензотиазолидинил, бензоазолилидинил, дигидрофурил, тетрагидрофурил, дигидропиранил, тетрагидропиранил, тиаморфолинил, тиаморфолинилсульфоксид, тиаморфолинилсульфон, дигидрохинолинил, дигидроизохинолинил, тетрагидрохинолинил, тетрагидроизохинолинил и т.п., включая их частично гидрированные производные. “Необязательно содержащий заместители” при использовании для “арила”, “фенила”, “нафталинила”, “гетероарила” или “гетероциклила” означает арил, фенил, нафталинил, гетероарил или гетероциклил, который необязательно содержит независимо выбранные 1-4 заместителя, предпочтительно – 1 или 2 заместителя, выбранные из группы, включающей алкил, циклоалкил, циклоалкилалкил, гетероалкил, гидроксиалкил, галоген, нитрогруппу, цианогруппу, гидроксигруппу, алкоксигруппу, аминогруппу, ациламиногруппу, моноалкиламиногруппу, диалкиламиногруппу, галогеналкил, галогеналкоксигруппу, гетероалкил, мочевинную группу, амидогруппу, алкансульфонил, -COR (где R обозначает водород, алкил, фенил или фенилалкил), -(CR “Отщепляющаяся группа” означает группу, обычно связанную с этим понятием в синтетической органической химии, т.е. атом или группу, заменяющуюся при условиях реакции замещения. Примеры уходящих групп включают, но не ограничиваются только ими, галоген, алкан- и ариленсульфонилоксигруппы, такие метансульфонилоксигруппа, этансульфонилоксигруппа, тиометильная, бензолсульфонилоксигруппа, тозилоксигруппа и тиенилоксигруппа, дигалогенфосфиноилоксигруппа, необязательно замещенная бензилоксигруппа, изопропилоксигруппа, ацилоксигруппа и т.п. “Модулятор” означает молекулу, которая взаимодействует с мишенью. Взаимодействия включают, но не ограничиваются только ими, агонистическое, антагонистическое и т.п. в соответствии с определением в настоящем изобретении. “Необязательно” или “необязательный” означает, что последующее описанное событие или обстоятельство может, но не должно осуществиться и что описание включает случаи, когда событие или обстоятельство осуществляется, и случаи, когда оно не осуществляется. “Патологическое состояние” означает любое заболевание, синдром, проявление симптома или признака. “Инертный органический растворитель” или “инертный растворитель” означает, что растворитель является инертным в условиях описываемой с его участием реакции, включая, например, бензол, толуол, ацетонитрил, тетрагидрофуран, N,N-диметилформамид, хлороформ, метиленхлорид или дихлорметан, дихлорэтан, диэтиловый эфир, этилацетат, ацетон, метилэтилкетон, метанол, этанол, пропанол, изопропанол, трет-бутанол, диоксан, пиридин и т.п. Если не указано иное, то растворители, применяющиеся в реакциях в настоящем изобретении, являются инертными растворителями. “Фармацевтически приемлемый” означает являющийся пригодным для приготовления фармацевтической композиции, т.е. обычно безопасным, нетоксичным и биологически и в других отношениях не являющийся нежелательным и включает приемлемые для ветеринарии, а также фармацевтического применения для людей. “Фармацевтически приемлемые соли” соединения означают соли, которые являются фармацевтически приемлемыми в соответствии с определением в настоящем изобретении и которые обладают необходимой фармакологической активностью, присущей исходному соединению. Такие соли включают: соли, полученные из неорганических кислот, таких как хлористоводородная кислота, бромистоводородная кислота, серная кислота, азотная кислота, фосфорная кислота и т.п.; или полученные из органических кислот, таких как уксусная кислота, бензолсульфоновая кислота, бензойная кислота, камфорсульфоновая кислота, лимонная кислота, этансульфоновая кислота, фумаровая кислота, глюкогептоновая кислота, глюконовая кислота, глютаминовая кислота, гликолевая кислота, гидроксинафтойная кислота, 2-гидроксиэтансульфоновая кислота, молочная кислота, малеиновая кислота, яблочная кислота, малоновая кислота, миндальная кислота, метансульфоновая кислота, муконовая кислота, 2-нафталинсульфоновая кислота, пропионовая кислота, салициловая кислота, янтарная кислота, виннокаменная кислота, п-толуолсульфоновая кислота, триметилуксусная кислота и т.п.; или соли, полученные, когда кислотный протон, содержащийся в исходном соединении, или замещается на ион металла, например ион щелочного металла, ион щелочноземельного металла или ион алюминия, или координируется с органическим или неорганическим основанием. Подходящие органические основания включают диэтаноламин, этаноламин, N-метилглюкамин, триэтаноламин, трометамин и т.п. Подходящие неорганические основания включают гидроксид алюминия, гидроксид кальция, гидроксид калия, карбонат натрия и гидроксид натрия. Предпочтительными фармацевтически приемлемыми солями являются соли, полученные из уксусной кислоты, хлористоводородной кислоты, серной кислоты, метансульфоновой кислоты, малеиновой кислоты, фосфорной кислоты, виннокаменной кислоты, лимонной кислоты, натрия, калия, кальция, цинка и магния. Следует понимать, что все указания на фармацевтически приемлемые соли включают формы с присоединением растворителя (сольваты) и кристаллические формы (полиморфные формы) этой же соли, полученной из кислоты, в соответствии с определением в настоящем изобретении. Термин “пролекарство” означает любое соединение, которое выделяет активное исходное лекарственное вещество, соответствующее формуле I, in vivo, когда такое пролекарство вводится млекопитающему. Пролекарства соединения формулы I получают модификацией одной или большего количества функциональных групп, содержащихся в соединении формулы I, выполняемой таким образом, что модификация(-ции) могут быть расщеплены in vivo с выделением исходного соединения. Пролекарства включают соединения формулы I, в которых гидроксигруппа, аминогруппа или сульфгидрильная группа соединения формулы I связывается с любой группой, которая может быть отщеплена in vivo с восстановлением свободной гидроксигруппы, аминогруппы или сульфгидрильной группы соответственно. Примеры пролекарств включают, но не ограничиваются только ими, сложноэфирные (например, ацетатные, формиатные и бензоатные производные), карбаматные (например, N,N-диметиламинокарбонил) производные функциональных гидроксигрупп соединений формулы I, N-ацилпроизводные (например N-ацетильные), N-основания Манниха, шиффовы основания и энантиомеры функциональных аминогрупп, оксимы, ацетали, кетали и сложные эфиры енольных форм функциональных кетонных и альдегидных групп соединений формулы I и т.п., см. работу Bundegaard, H. “Design of Prodrugs”, p.1-92, Elesevier, New York-Oxford (1985) и т.п. “Защитная группа” или “защищающая группа” означает группу, которая селективно блокирует один реакционный центр в многофункциональном соединении, так что химическую реакцию можно проводить селективно по другому незащищенному реакционному центру таким образом, как это обычно осуществляется в синтетической химии. Некоторые способы, предлагаемые в настоящем изобретении, основываются на применении защитных групп для блокирования реакционноспособных атомов азота и/или кислорода, содержащихся в реагентах. Например, термины “защитная группа аминогруппы” и “защитная группа атома азота” при использовании в настоящем изобретении являются эквивалентными и относятся к органическим группам, предназначенным для защиты атома азота от вступления в нежелательные реакции во время синтеза. Примеры защитных групп для атома азота включают, но не ограничиваются только ими, трифторацетильную, ацетамидную, бензильную (Bn), бензилоксикарбонильную (карбобензилоксильную, КБЗ), п-метоксибензилоксикарбонильную, п-нитробензилоксикарбонильную, трет-бутилоксикарбонильную (ВОС) и т.п. Специалист в данной области техники должен знать, как выбрать группу, которая легко удаляется и способна выдержать проводимые реакции. “Сольваты” означают молекулярные соединения с растворителем, которые содержат стехиометрические или нестехиометрические количества растворителя. Некоторые соединения в кристаллическом твердом состоянии обладают склонностью захватывать молекулы растворителя в фиксированном молярном отношении, тем самым образуя сольват. Если растворителем является вода, то образовавшийся сольват является гидратом, а если растворителем является спирт, то образовавшийся сольват является алкоголятом. Гидраты образуются путем объединения одной или большего количества молекул воды с одним из веществ, в которых вода сохраняется в виде молекулы, как H2O, такая комбинация может приводить к образованию одного или большего количества гидратов. “Субъект” означает млекопитающих и немлекопитающих. Млекопитающие означают любого представителя класса млекопитающих, включая, но не ограничиваясь только ими, людей; приматов, не являющихся людьми, таких как шимпанзе и другие виды человекообразных обезьян и мартышек; сельскохозяйственных животных, таких как крупный рогатый скот, лошади, овцы, козы и свиньи; домашних животных, таких как кролики, собаки и кошки; лабораторных животных, включая грызунов, таких как крысы, мыши и морские свинки и т.п. Примеры немлекопитающих включают, но не ограничиваются только ими, птиц и т.п. Термин “субъект” не означает конкретный возраст и пол. “Терапевтически эффективное количество” означает количество соединения, которое при введении субъекту для лечения патологического состояния является достаточным для проведения лечения этого патологического состояния. “Терапевтически эффективное количество” будет меняться в зависимости от соединения, подвергающегося лечению патологического состояния, тяжести подвергающегося лечению патологического состояния, возраста и относительного состояния здоровья субъекта, пути и формы введения, решения лечащего врача или практикующего ветеринара и других факторов. Термины “определенные выше” и “определенные в настоящем изобретении” применительно к переменной включают указание на широкое определение переменной, а также предпочтительное, более предпочтительное и наиболее предпочтительное определения, если они имеются. “Лечение” патологического состояния включает: (i) предупреждение патологического состояния, т.е. недопущение развития клинических симптомов патологического состояния у субъекта, у которого может возникнуть патологическое состояние или который предрасположен к нему, но у которого не ощущаются или не наблюдаются симптомы патологического состояния, (ii) подавление патологического состояния, т.е. приостановка развития патологического состояния или его клинических симптомов, или (iii) излечение патологического состояния, т.е. обеспечение временного или постоянного устранения патологического состояния или его клинических симптомов. Термины “обработка”, “приведение в соприкосновение” и “введение в реакцию” применительно к химической реакции означают прибавление или смешивание двух или большего количества реагентов при соответствующих условиях для получения указанного и/или необходимого продукта. Следует понимать, что реакция, которая приводит к указанному и/или необходимому продукту, необязательно приводит к нему непосредственно исходя из комбинации двух реагентов, которые были прибавлены первоначально, т.е. могут существовать один или большее количество промежуточных продуктов, которые образуются в смеси и которые в конечном счете приводят к образованию указанного и/или необходимого продукта. Обычно номенклатура, использованная в настоящей заявке, основана на AUTONOM
Химические структуры, приведенные в настоящем изобретении, изображены с помощью программы ISIS® Version 2.2. Все свободные валентности у атомов углерода, азота или кислорода в приведенных в настоящем описании структурах указывают на наличие водорода. Настоящее изобретение относится к соединениям формулы I:
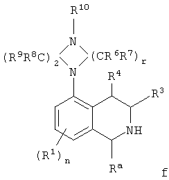
и их фармацевтически приемлемым солям или пролекарствам, в которой: n равно от 0 до 3; предпочтительно, если m равно 0 или 1; X обозначает -CRaRb – или -С(O)-, где Ra и Rb независимо обозначают водород или алкил; предпочтительно, если X обозначает -CRaRb – и Ra и Rb обозначают водород; —- обозначает необязательную связь; Y обозначает -SO2-, если X обозначает -CRaRb-, и Y обозначает -(CRcRd)p-, если X обозначает -С(O)-, где p равно от 1 до 3 и Rc и Rd независимо обозначают водород или алкил; предпочтительно, если р равно 1 и Rc и Rd обозначают водород; все R1 независимо обозначают галоген, алкил, галогеналкил, гетероалкил, гидроксигруппу, нитрогруппу, алкоксигруппу, цианогруппу, -S(O)q-Re, -NReRf, -C(=O)-NReRf, -SO2-NReRf, -N(Re)-С(=O)-Rf или -C(=O) Re, где q равно от 0 до 2 и Re и Rf независимо обозначают водород или алкил; предпочтительно, если Rf обозначает галоген, алкил или алкоксигруппу; R2 обозначает арил, гетероарил или циклоалкил; предпочтительно, если R2 обозначает арил или гетероарил; более предпочтительно, если R2 обозначает необязательно замещенный фенил или необязательно замещенный нафталинил, такой как фенил, 2-галогенфенил, 3-галогенфенил, 4-галогенфенил, 2,3-дигалогенфенил, 2,4-дигалогенфенил, 3,4-дигалогенфенил, 2,5-дигалогенфенил, 3,5-дигалогенфенил, 2,6-дигалогенфенил, 2-галогеналкилфенил, 3-галогеналкилфенил, 4-галогеналкилфенил, 2,3-дигалогеналкилфенил, 2,4-дигалогеналкилфенил, 3,4-дигалогеналкилфенил, 2,5-дигалогеналкилфенил, 3,5-дигалогеналкилфенил, 2,6-дигалогеналкилфенил, 2-алкоксифенил, 3-алкоксифенил, 4-алкоксифенил, 2,3-диалкоксифенил, 2,4-диалкоксифенил, 3,4-диалкоксифенил, 3,5-диалкоксифенил, 2,5-диалкоксифенил, 2,6-диалкоксифенил, 2-алкилфенил, 3-алкилфенил, 4-алкилфенил, 2,3-диалкилфенил, 2,4-диалкилфенил, 3,4-диалкилфенил, 3,5-диалкилфенил, 2,5-диалкилфенил, 2,6-диалкилфенил, нафталин-1-ил, нафталин-2-ил и т.п.; R3 и R4 независимо обозначают водород или алкил; предпочтительно, если R3 и R4 обозначают водород; и R5 обозначает гетероциклил формулы:
в которой: Z обозначает -N- или -СН-; предпочтительно, если Z обозначает -N-; r равно от 1 до 3; предпочтительно, если r равно 2; и R6, R7, R8, R9 и R10 независимо обозначают водород или алкил; предпочтительно, если R6, R7, R8, R9 и R10 обозначают водород. Если любой из R1, R3, R4, R6, R7, R8, R9, R10, Ra, Rb, Rc, Rd, Re и Rf обозначает алкил, то предпочтительно, если они обозначают низш. алкил, т.е. C1-С6алкил и более предпочтительно – С1-С4алкил. Следует понимать, что в объем настоящего изобретения входят не только различные изомеры, которые могут существовать, но и различные смеси изомеров, которые могут быть образованы. Кроме того, в объем настоящего изобретения также входят сольваты и соли соединений формулы I. В некоторых вариантах выполнения R может обозначать фенил, 2-фторфенил, 3-фторфенил, 4-фторфенил, 2-хлорфенил, 3-хлорфенил, 3-метилфенил, 4-метоксифенил, 2-метансульфонилфенил, 4-амидофенил, 4-мочевинофенил, 3,5-дихлорфенил, 2,3-дихлорфенил, 2,5-дихлорфенил, 3,5-ди(трифторметил)фенил, 2,5-диметоксифенил, 3-хлор-4-фторфенил, 2-хлор-4-фторфенил, нафталин-1-ил, нафталин-2-ил и хинолин-8-ил. Во многих вариантах выполнения настоящего изобретения R5 находится в положении 5 или 6 изохинолиновой кольцевой системы, а более предпочтительно – в положении 5, так что соединение формулы I можно представить формулой Ia:
в которой n, r, X, Y, Z, R1, R2, R3, R4, R6, R7, R8, R9 и R10 являются такими, как определено в настоящем изобретении. В некоторых вариантах выполнения r равно 2 и Z обозначает азот, так что R5 обозначает необязательно замещенную пиперазинильную группу. В таких вариантах выполнения соединения формулы I можно представить формулой Ih:
в которой n, X, Y, R1, R2, R3, R4, R6, R7, R8, R9 и R10 являются такими, как определено в настоящем изобретении. В некоторых в настоящее время предпочтительных вариантах выполнения соединения формулы I более предпочтительно могут обладать формулой II:
в которой n, R1, R2, R3, R4, R6, R7, R8, R9, R10, Ra и Rb являются такими, как определено в настоящем изобретении. В других предпочтительных вариантах выполнения соединения формулы I обладают формулой Ij:
в которой n, R1, R2, R3, R4, R6, R7, R8, R9, R10, Rc и Rd также являются такими, как определено в настоящем изобретении. Типичные соединения, предлагаемые в настоящем изобретении, приведены в таблице 1 вместе с номерами экспериментальных примеров (приведенных ниже), в которых описано получение этих соединений, и соответствующими данными масс-спектров, М+Н.
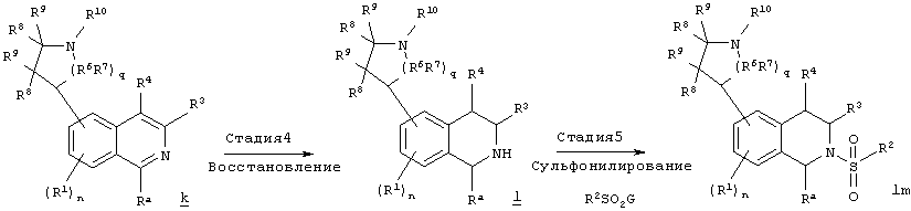
Другим объектом настоящего изобретения является композиция, включающая терапевтически эффективное количество не менее одного соединения формулы I и фармацевтически приемлемый носитель. Еще одним объектом настоящего изобретения является способ лечения патологического состояния центральной нервной системы (ЦНС) у субъекта, включающий введение субъекту терапевтически эффективного количества соединения формулы I. Патологическое состояние может включать, например, психозы, шизофрению, маниакальные депрессии, невралгические нарушения, нарушения памяти, синдром нарушения внимания, болезнь Паркинсона, боковой амиотрофический склероз, болезнь Альцгеймера или болезнь Гентингтона. Еще одним объектом настоящего изобретения является способ лечения нарушения желудочно-кишечного тракта у субъекта, включающий введение субъекту терапевтически эффективного количества соединения формулы I. Другим объектом настоящего изобретения является способ получения соединения формулы I. Соединения, предлагаемые в настоящем изобретении, можно получить с помощью множества способов, представленных на иллюстративных схемах реакций синтеза и описанных ниже. Исходные вещества и реагенты, использующиеся при получении этих соединений, обычно или продаются поставщиками, такими как Aldrich Chemical Co., или получаются по методикам, известным специалистам в данной области техники по процедурам, описанным в литературе, такой как Fieser and Fieser’s Reagents for Organic Synthesis; Wiley&Sons: New York, 1991, Volumes 1-15; Rodd Исходные вещества и промежуточные продукты для этих схем реакций синтеза при необходимости можно выделить и очистить с помощью обычных способов, включая, но не ограничиваясь только ими, фильтрование, перегонку, кристаллизацию, хроматографию и т.п. Такие вещества можно охарактеризовать с помощью обычных средств, включая физические характеристики и спектральные данные. Если не указано иное, то описанные в настоящем изобретении реакции предпочтительно проводить в инертной атмосфере при атмосферном давлении и в диапазоне температур от примерно -78°С до примерно 150°С, более предпочтительно – от примерно 0°С до примерно 125°С и наиболее предпочтительно и удобно – при температуре, близкой к комнатной (или окружающей среды), например, примерно при 20°С. Приведенная ниже схема А иллюстрирует одну методику синтеза, применимую для получения конкретных соединений формулы I, в которых G обозначает галоген или другую отщепляющуюся группу и n, r, R1, R2, R3, R4, R6, R7, R8, R9, R10 и Ra являются такими, как определено в настоящем изобретении. СХЕМА А На стадии 1 схемы А нитроизохинолин а восстанавливают в аминоизохинолин b. Это селективное восстановление нитрогруппы можно провести в относительно мягких условиях с использованием Н2 в присутствии Pd или Pt в качестве катализатора. Различные нитрозамещенные изохинолины, применяющиеся на этой стадии, имеются в продаже или могут быть получены по известным методикам. На стадии 2 реакцию дезаминирования проводят в присутствии кислоты НХ и порошкообразной меди в окислительной водной среде для получения замещенного изохинолина с, причем Х обозначает галоген, предпочтительно – бром или хлор. Различные аминозамещенные изохинолины имеются в продаже или могут быть получены по известным методикам для использования на этой стадии. На стадии 3 используют реакцию кросс-сочетания, при которой замещенный изохинолин с обрабатывают гетероциклическим амином d в присутствии палладиевого катализатора, и получается гетероциклилзамещенный изохинолин е. Реакцию кросс-сочетания можно проводить при нагревании в неполярном растворителе. Если R обозначает водород, то защитную группу ВОС или другую схему с применением удаляемой защитной группы можно использовать для защиты незащищенного от воздействия атома азота гетероциклического амина d. Реакция аминирования с кросс-сочетанием описана в работе An Improved Catalyst System For Aromatic Carbon-Nitrogen Bond Formation: The Possible Involvement Of Bis(Phosphine) Palladium Complexes As Key Intermediates. Wolfe et al., J.Am.Chem.Soc. (1996), 118 (30), 7215-7216. Гетероциклилзамещенный изохинолин e, полученный на стадии 3, необязательно восстанавливают на стадии 4 и получают гетероциклилзамещенный тетрагидроизохинолин f. Восстановление на стадии 4 можно выполнить с использованием избытка борана в полярном апротонном растворителе. На стадии 5 Гетероциклилзамещенный тетрагидроизохинолин f, полученный на стадии 4, обрабатывают сульфонилгалогенидом R2SO2G и получают сульфонилированный гетероциклилзамещенный тетрагидроизохинолин VI, в котором R2 обозначает арил, гетероарил или циклоалкил в соответствии с приведенным выше описанием. Многочисленные арил-, гетероарил- и циклоалкилсульфонилхлориды и -бромиды имеются в продаже или легко получаются, и их можно использовать в хорошо известной методике Шоттена-Баумана (Et2О/водный раствор К2СО3) на стадии 5 для получения сульфонилированного гетероциклилзамещенного тетрагидроизохинолина Ik. Тетрагидроизохинолин Ik, приведенный на схеме А, обладает рассмотренной выше формулой I и представляет собой более специальный случай, когда Z обозначает N, X обозначает -CRaRb– при Rb, обозначающем водород, и при Y, обозначающем -SO2-. Во многих вариантах выполнения гетероциклическим амином d, использующимся в схеме А, может быть пиперазин формулы:
В таких вариантах выполнения соединения формулы Ie точнее описывается формулой:
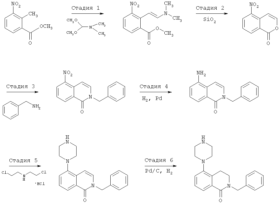
описанной выше, причем в формуле Ii Rb обозначает водород. Многочисленные варианты методик представленных на схеме А, выполнимы и должны быть очевидны для специалистов в данной области техники после рассмотрения настоящего раскрытия. Например, гетероциклилзамещенный изохинолин e можно получить непосредственно по реакции азотистого иприта (бис-(2-хлорэтил)-амина) с амином b, если опустить стадии 2 и 3 схемы А. Реакция азотистого иприта с аминами с получением гетероциклов по такой схеме хорошо известна в данной области техники. Атом углерода в положении 1 тетрагидроизохинолина Ie по характеру является бензильным и относительно легко подвергается алкилированию, и, таким образом, в другом варианте схемы А алкильную группу Rb можно ввести в положение 1 с помощью обычных методик синтеза. Аналогичным образом, при необходимости можно подвергнуть алкилированию положение 4 тетрагидроизохинолина Ie. Кроме того, в некоторых вариантах выполнения можно подобрать положение и химическую природу групп R так, чтобы облегчить протекание реакции кросс-сочетания на стадии 3. Конкретные соединения формулы I также можно получить по методике, приведенной на схеме В, где G обозначает галоген или другую отщепляющуюся группу и n, q, R1, R2, R3, R4, R6, R7, R8, R9, R10 и Ra являются такими, как определено в настоящем изобретении. СХЕМА В На стадии 1 схемы В галогензамещенный изохинолин g обрабатывают алкиллитиевым реагентом или другим сильным основанием в безводной апротонной полярной среде и при охлаждении смесью (сухая углекислота)/ацетон и получают литиированный изохинолин h. Литиированный изохинолин h не выделяют и используют непосредственно на стадии 2. Алкилирование на стадии 2 проводят по реакции гетероциклического кетона i с литиированным изохинолином h с получением гетероциклилзамещенного изохинолина i. Гетероциклический кетон i может представлять собой, например, пирролидон (q=1) или пиперидон (q=2), которые имеются в продаже. Многие замещенные пирролидиноны и пиперидиноны также имеются в продаже или легко получаются по известным методикам синтеза, и их можно использовать на этой стадии. Если R обозначает водород, то защитную группу ВОС или другую схему с применением удаляемой защитной группы можно использовать для защиты незащищенного от воздействия атома азота гетероциклического кетона i и соответствующего атома азота гетероциклилзамещенного изохинолина i. На стадии 3 гетероциклилзамещенный изохинолин i, полученный на стадии 2, дегидратируют путем обработки мягкой кислотой и получают гетероциклилзамещенный изохинолин k, в котором гетероциклильный фрагмент является частично ненасыщенным. На стадии 4 гетероциклилзамещенный изохинолин k, полученный на стадии 3, восстанавливают и получают гетероциклилзамещенный тетрагидроизохинолин l. Это восстановление можно выполнить путем гидрирования с использованием платинового или палладиевого катализатора в мягких условиях в этаноле. На стадии 5 гетероциклилзамещенный тетрагидроизохинолин l, полученный на стадии 4, сульфонилируют с использованием сульфонилгалогенида R2SO2G по методике, описанной выше для схемы А, и получают гетероциклилзамещенный сульфонилированный тетрагидроизохинолин Im, предлагаемый в настоящем изобретении. Сульфонилгалогенид g может представлять собой, например, арилсульфонилгалогенид, гетероарилсульфонилгалогенид или циклоалкилсульфонилгалогенид. Соединение формулы VII представляет собой соединение формулы I, обсужденное выше, в специальном случае, когда Z обозначает -СН-, Х обозначает -CRaRb– при Rb, обозначающем водород, и при Y, обозначающем -SO2-. Как и в случае схемы А, рассмотренной выше, возможны варианты методик синтеза схемы В, и они будут очевидны для специалистов в данной области техники. В одном таком варианте, например, восстановление изохинолинового кольца можно выполнить селективно, не затрагивая ненасыщенные группы, содержащиеся в гетероциклильном фрагменте. В другом варианте ненасыщенные группы, содержащиеся в гетероциклильном фрагменте, можно селективно восстановить, не восстанавливая изохинолиновую кольцевую систему. В некоторых вариантах выполнения дегидратация, проводящаяся на стадии 3, может произойти самопроизвольно, in situ, после алкилирования на стадии 2, и в таких вариантах выполнения стадию 3 можно опустить. В других вариантах выполнения настоящего изобретения конкретные соединения формулы I можно получить по методике, приведенной на схеме С, где G обозначает отщепляющуюся группу, предпочтительно – галоген, и в каждом случае они могут быть одинаковыми или разными, R обозначает любой низш. алкил, предпочтительно – метил, и в каждом случае они могут быть одинаковыми или разными, и n, R1, R2, R3, R4, R6, R7, R8, R9, R10, Rc и Rd являются такими, как определено в настоящем изобретении. СХЕМА С На стадии 1 схемы С алкилирование сложного эфира 2-алкилнитробензойной кислоты m протекает по реакции бензильного атома углерода соединения m с “замаскированным альдегидом”, представляющим собой ацеталь амида n, при нагревании в мягкой щелочной среде (Matsui et al., J.Med.Chem. 35, 18 (1992) 3307-3319) с получением продукта альдольной конденсации о. Циклизацию продукта альдольной конденсации о проводят на стадии 2, и она приводит к нитробензопиранону или нитроизохромону p. Циклизацию можно провести с использованием диоксида кремния в качестве катализатора путем пропускания продукта альдольной конденсации о через диоксид кремния в неразбавленном виде или в системе растворителей гексан/этилацетат с одновременным элюированием в соответствии с описанием в работе Matsui et al., см. выше. На стадии 3 происходит образование амида, и ее можно провести путем нагревания нитробензопиранона p, полученного на стадии 2, в присутствии амина q с получением нитрозоизохинолинона r. Во многих вариантах выполнения R2 может обозначать арил или гетероарил, как это отмечено выше, так что амин q по характеру является бензильным. Амином q также может быть циклогексиламин или другой циклоалкиламин. Нитрогруппу нитрозоизохинолинона r восстанавливают на стадии 4 с образованием соответствующего аминоизохинолинона s. Это восстановление можно провести путем гидрирования с использованием платинового или палладиевого катализатора в мягких условиях. На стадии 5 происходит образование цикла, при котором аминоизохинолинон s, полученный на стадии 4, вводят в реакцию с бис-галогеналкиламином t с образованием пиперазинилзамещенного изохинолина u. Бис-галогеналкиламином t может являться, например, азотистый иприт (G обозначает Cl и R6, R7, R8, R9 и R10 обозначают водород) и он может быть введен в реакцию с аминоизохинолиноном r в виде гидрохлорида. Если R10 обозначает водород, то защитную группу ВОС или другую схему с применением удаляемой защитной группы можно использовать для защиты незащищенного от воздействия атома азота на последующих стадиях. Пиперазинилзамещенный изохинолин u, полученный на стадии 5, восстанавливают на стадии 6 с получением пиперазинилзамещенного дигидроизохинолинона In. Это восстановление можно выполнить с использованием избытка борана в полярном апротонном растворителе. В некоторых вариантах выполнения это восстановление можно опустить, так что положение 3 изохинолиновой кольцевой системы остается ненасыщенным. Пиперазинилзамещенный дигидроизохинолинон In представляет собой особое соединение формулы I, в которой X обозначает -С(O)-, Y обозначает -(CRcRd)- и Z обозначает N. Многочисленные варианты методик, представленных на схеме С, можно использовать для получения других соединений формулы I, предлагаемых в настоящем изобретении. Например, дезаминирование аминоизохинолинона r по методике, описанной на стадии 2 схемы А, с получением бромзамещенного изохинолина (не показан) с последующей реакцией кросс-сочетания на стадии 3 схемы А и последующим восстановлением представляет собой альтернативный путь получения пиперазинилзамещенного дигидроизохинолинона VIII. Альтернативно, такой бромзамещенный изохинолин можно литиировать и затем ввести в реакцию с гетероциклилкетоном, как это описано на стадиях 2 и 3 схемы В, и получить различные гетероциклилзамещенные дигидроизохинолиноны, предлагаемые в настоящем изобретении. Также возможны другие варианты схемы С, и они считаются входящими в объем настоящего раскрытия. Дополнительные подробности получения соединений формулы I описаны в приведенном ниже разделе, содержащем примеры. Соединения, предлагаемые в настоящем изобретении, обладают селективным сродством к рецепторам 5-НТ6 и как таковые предположительно являются пригодными для лечения некоторых заболеваний центральной нервной системы (ЦНС), таких как болезнь Паркинсона, болезнь Гентингтона, тревога, депрессия, маниакальная депрессия, психоз, эпилепсия, обсессивно-компульсивные нарушения, нарушения настроения, мигрень, болезнь Альцгеймера (для улучшения познавательной памяти), нарушения сна, нарушения питания, такие как анорексия и булимия, острые тревожные состояния с реакцией паники, синдром дефицита внимания с гиперактивностью (СНВГ), синдром нарушения внимания (СНВ), реакция на отмену наркотиков, таких как кокаин, этанол, никотин и бензодиазепины, шизофрения, а также заболевания, связанные с травмой позвоночника и/или травмой головы, такие как гидроцефалия. Также предполагается, что такие соединения будут применимы при лечении некоторых нарушений ЖКТ (желудочно-кишечного тракта), таких как функциональное заболевание кишечника. Фармакологические характеристики соединений, предлагаемых в настоящем изобретении, определяют способами, известными в данной области техники. Методики in vitro для определения сродства исследуемых соединений к рецептору 5-НТ6 с помощью радиолигандного связывания и функциональных анализов описаны в примере 4. Настоящее изобретение включает фармацевтические композиции, содержащие не менее одного соединения, предлагаемого в настоящем изобретении, или индивидуальный изомер, рацемическую или нерацемическую смесь изомеров или его фармацевтически приемлемую соль или сольват совместно с не менее чем одним фармацевтически приемлемым носителем и необязательно другими терапевтическими и/или профилактическими ингредиентами. Обычно соединения, предлагаемые в настоящем изобретении, вводятся в терапевтически эффективном количестве с помощью любого принятого пути введения препаратов, которые обеспечивают сходное воздействие. Подходящие диапазоны доз обычно составляют 1-500 мг в сутки, предпочтительно – 1-100 мг в сутки и наиболее предпочтительно – 1-30 мг в сутки в зависимости от множества факторов, таких как тяжесть подвергающегося лечению заболевания, возраст и относительное состояние здоровья субъекта, активность применяемого соединения, путь и форма введения, признак, на который направлено введение, и предпочтения и опыт практикующего врача. Специалист с общей подготовкой в данной области техники при лечении таких заболеваний без чрезмерного экспериментирования и на основании личной подготовки и раскрытия настоящей заявки должен быть способен определить терапевтически эффективное количество соединений, предлагаемых в настоящем изобретении, необходимое для лечения данного заболевания. Обычно соединения, предлагаемые в настоящем изобретении, вводятся в виде фармацевтических композиций, включая композиции, пригодные для перорального (включая трансбуккальное и сублингвальное), ректального, назального, местного, легочного, вагинального или парентерального (включая внутримышечное, внутриартериальное, внутриоболочечное, подкожное и внутривенное) введения или в форме, пригодной для введения путем ингаляции или вдувания. Предпочтительным способом введения обычно является пероральный с использованием подходящего суточного дозировочного режима, который можно подобрать в соответствии с тяжестью заболевания. Соединение или соединения, предлагаемые в настоящем изобретении, совместно с одним или большим количеством обычных вспомогательных средств, носителей или разбавителей можно изготовить в виде фармацевтических композиций и разовых дозировочных форм. Фармацевтические композиции и разовые дозировочные формы могут включать обычные ингредиенты в обычных количествах с прибавлением или без прибавления дополнительных активных соединений или действующих веществ, и разовые дозировочные формы могут содержать любое подходящее эффективное количества активного ингредиента, соответствующего применяемому суточному дозировочному диапазону. Фармацевтические композиции можно использовать в виде твердых веществ, таких как таблетки или заполненные капсулы, полужидких веществ, порошков, композиций пролонгированного действия; или в виде жидкостей, таких как растворы, суспензии, эмульсии, эликсиры или заполненные капсулы для перорального введения; или в виде суппозиториев для ректального или вагинального введения; или в виде стерильных растворов для инъекций, предназначенных для парентерального введения. Композиции, содержащие примерно один (1) миллиграмм активного ингредиента, или, шире, от примерно 0,01 до примерно ста (100) миллиграммов на таблетку, соответственно являются подходящими типичными разовыми дозировочными формами. Соединения, предлагаемые в настоящем изобретении, можно приготовить в виде самых различных дозировочных форм, предназначенных для перорального введения. Фармацевтические композиции и дозировочные формы в качестве активного компонента могут включать соединение или соединения, предлагаемые в настоящем изобретении, или их фармацевтически приемлемые соли. Фармацевтически приемлемые носители могут быть твердыми или жидкими. Твердые формы препаратов включают порошки, таблетки, пилюли, капсулы, облатки, суппозитории и диспергирующиеся гранулы. Твердым носителем может быть одно или большее количество веществ, которые также могут выступать в качестве разбавителей, вкусовых веществ, солюбилизаторов, смазывающих веществ, суспендирующих веществ, связующих, консервантов, веществ, обеспечивающих распадаемость таблеток, или капсулирующего материала. В порошках носитель обычно представляет собой тонкоизмельченное твердое вещество, которое образует смесь с тонкоизмельченным активным компонентом. В таблетках активный компонент обычно в подходящих соотношениях смешан с носителем, обладающим необходимой связывающей способностью, и спрессован с приданием необходимой формы и размера. Предпочтительно, если порошки и таблетки содержат от примерно одного (1) до примерно семидесяти (70) процентов активного соединения. Подходящие носители включают, но не ограничиваются только ими, карбонат магния, стеарат магния, тальк, сахар, лактозу, пектин, декстрин, крахмал, желатин, трагакантовую камедь, метилцеллюлозу, натриевую соль карбоксиметилцеллюлозы, легкоплавкий воск, масло какао и т.п. Подразумевается, что термин “препарат” включает композицию активного соединения с капсулирующим материалом в качестве носителя с образованием капсулы, в которой активный компонент, с носителями или без них, окружен носителем, который с ним связан. Аналогичным образом, включены облатки и лепешки. Таблетки, порошки, капсулы, пилюли, облатки и лепешки могут представлять собой твердые формы, пригодные для перорального введения. Другие формы, пригодные для перорального введения, включают жидкие формы препаратов, включая эмульсии, сиропы, эликсиры, водные растворы, водные суспензии, или твердые формы препаратов, которые предназначены для проводимого незадолго до введения превращения в жидкие формы препаратов. Эмульсии можно приготовить в растворах, например в водных растворах пропиленгликоля, или они могут содержать эмульгирующие вещества, например, такие как лецитин, сорбитанмоноолеат или камедь акации. Водные растворы можно приготовить путем растворения активного компонента в воде и прибавления подходящих красителей, ароматизаторов, стабилизаторов и загущающих веществ. Водные суспензии можно приготовить путем диспергирования тонкоизмельченного активного компонента в воде, содержащей вязкое вещество, такое как натуральные или синтетические камеди, смолы, метилцеллюлоза, натриевая соль карбоксиметилцеллюлозы и другие хорошо известные суспендирующие вещества. Твердые формы препаратов включают растворы, суспензии и эмульсии и в дополнение к активному компоненту могут содержать красители, ароматизаторы, стабилизаторы, буферные вещества, искусственные и натуральные подсластители, диспергирующие вещества, загустители, солюбилизирующие вещества и т.п. Соединения, предлагаемые в настоящем изобретении, можно приготовить для парентерального введения (например, путем инъекции, например инъекции ударной дозы вещества или непрерывного вливания), и в виде разовой дозировочной формы они могут находиться в ампулах, предварительно заполненных шприцах, предназначенных для вливания контейнерах небольшого объема или содержащих множество доз контейнерах с прибавленным консервантом. Композиции могут находиться в таких формах как суспензии, растворы или эмульсии в масляных или водных разбавителях, например в виде растворов в водном растворе полиэтиленгликоля. Примеры масляных и неводных носителей, разбавителей, растворителей и наполнителей включают пропиленгликоль, полиэтиленгликоль, растительные масла (например, оливковое масло) и пригодные для инъекции органические сложные эфиры (например, этилолеат), и они могут содержать образующие композиции вещества, такие как консервирующие, смачивающие, эмульгирующие или суспендирующие, стабилизирующие и/или диспергирующие вещества. Альтернативно, активный ингредиент может находиться в порошкообразном виде, полученном асептическим выделением твердого вещества или лиофилизацией из раствора для проводимого перед применением восстановления с помощью подходящего разбавителя, например стерильной апирогенной воды. Соединения, предлагаемые в настоящем изобретении, можно приготовить для местного введения в эпидермис в виде мазей, кремов или лосьонов или в виде чрескожного пластыря. Мази и кремы можно, например, приготовить с помощью водной или маслообразной основы с прибавлением подходящих загущающих и/или желирующих веществ. Лосьоны можно приготовить с помощью водной или маслообразной основы, и они обычно также содержат одно или большее количество эмульгирующих веществ, стабилизирующих веществ, диспергирующих веществ, суспендирующих веществ, загущающих веществ или окрашивающих веществ. Композиции, пригодные для местного введения в полость рта, включают лепешки, содержащие активные вещества во вуксовом веществе-основе, обычно сахарозе и камеди акации или трагакантовой камеди; пастилки, содержащие активное вещество в инертной основе, такой как желатин и глицерин или сахароза и камедь акации; и жидкости для полоскания рта, содержащие активный ингредиент в подходящем жидком носителе. Соединения, предлагаемые в настоящем изобретении, можно приготовить для введения в виде суппозиториев. Сначала расплавляют низкоплавкий воск, такой как смесь глицеридов жирных кислот, или масло какао и активный компонент равномерно диспергируют, например, путем перемешивания. Затем расплавленную однородную смесь выливают в формы соответствующего размера и дают ей охладиться и затвердеть. Соединения, предлагаемые в настоящем изобретении, можно приготовить для вагинального введения. В данной области техники известно, что подходящими являются пессарии, тампоны, кремы, гели, пасты, пены и аэрозольные препараты, содержащие такие носители в дополнение к активному ингредиенту. Соединения, предлагаемые в настоящем изобретении, можно приготовить для назального введения. Растворы или суспензии вводят непосредственно в носовую полость с помощью обычных средств, например капельницы, пипетки или путем распыления. Композиции могут поставляться в виде форм, содержащих одну или множество доз. В последнем случае применения капельницы или пипетки это можно выполнить путем введения пациентом соответствующего, заранее заданного объема раствора или суспензии. В случае распыления это можно выполнить, например, с помощью дозирующего измельчающего распыляющего насоса. Соединения, предлагаемые в настоящем изобретении, можно приготовить для аэрозольного введения, в особенности в дыхательные пути и с включением внутриназального введения. Соединение обычно обладает частицами небольшого размера, например порядка пяти (5) микрометров или менее. Частицы такого размера можно получить способами, известными в данной области техники, например микронизацией. Активный ингредиент поставляется в находящейся под давлением упаковке с подходящим пропеллентом, таким как хлорфторуглерод (ХФУ), например дихлордифторметан, трихлорфторметан или дихлортетрафторэтан, или диоксид углерода, или другой подходящий газ. Аэрозоль обычно также может содержать поверхностно-активное вещество, такое как лецитин. Дозу лекарственного препарата можно регулировать с помощью дозирующего клапана. Альтернативно, активные ингредиенты могут поставляться в виде сухого порошка, например порошкообразной смеси соединения с подходящей порошкообразной основой, такой как лактоза, крахмал, производные крахмала, такие как гидроксипропилметилцеллюлоза, и поливинилпирролидон (ПВП). Порошкообразный носитель будет образовывать гель в носовой полости. Порошкообразная композиция может поставляться в разовой дозе, например, в капсулах или патронах, например, в желатиновых или блистерных упаковках, из которых порошок может вводиться с помощью ингалятора. При необходимости композиции можно приготовить с энтеросолюбильным покрытием, приспособленным для пролонгированного или регулируемого введения активного ингредиента. Например, соединения, предлагаемые в настоящем изобретении, можно поместить в устройства для чрескожной или подкожной доставки лекарственных препаратов. Такие устройства доставки являются предпочтительными, когда необходимо пролонгированное действие соединения и когда принципиально важным является соблюдение пациентом режима лечения. Системы чрескожной доставки, содержащие соединения, часто прикрепляют к приклеивающейся к коже твердой подложке. Необходимое соединение также можно объединять со средством, увеличивающим проницаемость, например азоном (1-додецилазациклогептан-2-оном). Системы доставки пролонгированного действия вводят подкожно в субдермальный слой оперативным путем или путем инъекции. Подкожный имплантат содержит соединение, капсулированное в растворимой в липидах мембране, например силиконовом каучуке, или в биологически разрушающемся полимере, например полимолочной кислоте. Предпочтительно, чтобы фармацевтические препараты представлял и собой разовые дозировочные формы. В такой форме препарат разделяется на разовые дозы, содержащие соответствующие количества активного компонента. Разовая дозировочная форма может представлять собой упакованный препарат, и упаковка содержит отдельные количества препарата, такие как упакованные таблетки, капсулы и порошки во флаконах или ампулах. Разовая дозировочная форма также может представлять собой капсулу, таблетку, облатку или пастилку или она может представлять собой соответствующее количество любой из них в упакованном виде. Другие подходящие фармацевтические носители и их состав описаны в работе Remington: The Science and Practice of Pharmacy 1995, edited by E.W.Martin, Mack Publishing Company, 19th edition, Easton, Pennsylvania. Типичные фармацевтические композиции, содержащие соединение, предлагаемое в настоящем изобретении, описаны в приведенных ниже примерах. ПРИМЕРЫ Представленные методики получения и примеры приведены для того, чтобы специалисты в данной области техники смогли более точно понять и использовать на практике настоящее изобретение. Их следует рассматривать не в качестве ограничивающих объем настоящего изобретения, а просто как иллюстративные и типичные его примеры. Пример 1 2-Бензолсульфонил-5-пиперазин-1-ил-1,2,3,4-тетрагидроизохинолин Методики синтеза, описанные в этом примере, выполнены в соответствии со способом, приведенным на схеме D. СХЕМА D БИНАФ-2,2 Стадия 1: 5-Бромизохинолин 5-Аминоизохинолин приобретали у фирмы Aldrich Chemical Co. (Cat. No.13610-7) и использовали на этой стадии без очистки. 5-Аминоизохинолин (7,87 г) прибавляли к 100 мл бромистоводородной кислоты (HBr) (48%) при -78°С и перемешивали. К раствору при перемешивании порциями прибавляли 4,74 г нитрата натрия (NaNO3). После прибавления NaNO3 смесь перемешивали в течение 1 ч при -78°С, после чего прибавляли 0,48 г медной пыли (Cu0). Реакционной смеси давали нагреться до комнатной температуры и затем ее нагревали при 100°С в течение 1 ч. Реакционную смесь выливали на лед и полученный водный раствор подщелачивали до рН 14 путем прибавления гидроксида натрия (NaOH) (2 М). Осадившееся твердое вещество собирали и хроматографировали и получали 2,4 г 5-бромизохинолина в виде белого твердого вещества. Стадия 2: Трет-бутиловый эфир 4-изохинолин-5-илпиперазин-1-карбоновой кислоты 5-Бромизохинолин (1,37 г), полученный на стадии 1, растворяли в 10 мл толуола. К этому раствору прибавляли ацетат палладия (74 мг), рац-2,2 Стадия 3: Трет-бутиловый эфир 4-(1,2,3,4-тетрагидроизохинолин-5-ил)-пиперазин-1-карбоновой кислоты Трет-бутиловый эфир 4-изохинолин-5-илпиперазин-1-карбоновой кислоты (1,5 г), полученный на стадии 2, растворяли в 5 мл тетрагидрофурана (ТГФ) и к нему прибавляли избыток борана (ВН3) в ТГФ. Смесь кипятили с обратным холодильником в течение 1 ч и ей давали охладиться до комнатной температуры. Затем смесь дополнительно охлаждали на бане со льдом и к реакционной смеси осторожно прибавляли воду для израсходования избытка борана. Затем реакционную смесь разбавляли с помощью EtOAc, промывали насыщенным водным раствором бикарбоната натрия (NaHCO3), сушили над MgSO4 и хроматографировали и получали трет-бутиловый эфир 4-(1,2,3,4-тетрагидроизохинолин-5-ил)-пиперазин-1-карбоновой кислоты в виде вязкого масла (0,668 г). Стадия 4: Трет-бутиловый эфир 4-(2-бензолсульфонил-1,2,3,4-тетрагидроизохинолин-5-ил)-пиперазин-1-карбоновой кислоты Трет-бутиловый эфир 4-(1,2,3,4-тетрагидроизохинолин-5-ил)-пиперазин-1-карбоновой кислоты в виде вязкого масла (150 мг), полученный на стадии 3, вводили в реакцию с бензолсульфонилхлоридом (60 мкл) по методике Шоттена-Бауманна (50 мл диэтилового эфира (Et2O) и 50 мл водного раствора карбоната натрия). Эфирный слой отделяли, сушили над MgSO4 и концентрировали в вакууме. Остаток хроматографировали и получали 1,76 мг трет-бутилового эфира 4-(2-бензолсульфонил-1,2,3,4-тетрагидроизохинолин-5-ил)-пиперазин-1-карбоновой кислоты в виде белого твердого вещества. Стадия 5: 2-Бензолсульфонил-5-пиперазин-1-ил-1,2,3,4-тетрагидроизохинолин Трет-бутиловый эфир 4-(2-бензолсульфонил-1,2,3,4-тетрагидроизохинолин-5-ил)-пиперазин-1-карбоновой кислоты (1,76 мг), полученный на стадии 5, растворяли в 3 мл трифторуксусной кислоты (ТФК) и недолго нагревали на паровой бане. Избыток ТФК удаляли в вакууме и остаток перекристаллизовывали из абсолютного этанола и получали 83 мг 2-бензолсульфонил-5-пиперазин-1-ил-1,2,3,4-тетрагидроизохинолинтрифторацетата в виде белого твердого вещества, температура плавления = 214-216°С, MS M+H=358. По методике, аналогичной описанной выше, с заменой на стадии 4 бензолсульфонилхлорида на соответствующим образом замещенный фенилсульфонилхлорид, получали следующие соединения: 2-(4-фторбензолсульфонил)-5-пиперазин-1-ил-1,2,3,4-тетрагидроизохинолин; 2-(4-метоксибензолсульфонил)-5-пиперазин-1-ил-1,2,3,4-тетрагидроизохинолин; 2-(3-фторбензолсульфонил)-5-пиперазин-1-ил-1,2,3,4-тетрагидроизохинолин 2-(3,5-дихлорбензолсульфонил)-5-пиперазин-1-ил-1,2,3,4-тетрагидроизохинолин; 2-(3,5-бис-трифторметилбензолсульфонил)-5-пиперазин-1-ил-1,2,3,4-тетрагидроизохинолин; 2-(2,5-диметоксибензолсульфонил)-5-пиперазин-1-ил-1,2,3,4-тетрагидроизохинолин; 2-(3-хлор-4-фторбензолсульфонил)-5-пиперазин-1-ил-1,2,3,4-тетрагидроизохинолин; 2-(2-фторбензолсульфонил)-5-пиперазин-1-ил-1,2,3,4-тетрагидроизохинолин; 2-(2-хлорбензолсульфонил)-5-пиперазин-1-ил-1,2,3,4-тетрагидроизохинолин; 2-(3-хлорбензолсульфонил)-5-пиперазин-1-ил-1,2,3,4-тетрагидроизохинолин; 2-(3-метилбензолсульфонил)-5-пиперазин-1-ил-1,2,3,4-тетрагидроизохинолин; 2-(2,3-дихлорбензолсульфонил)-5-пиперазин-1-ил-1,2,3,4-тетрагидроизохинолин; 2-(2-хлор-4-фторбензолсульфонил)-5-пиперазин-1-ил-1,2,3,4-тетрагидроизохинолин; 2-(2,5-дихлорбензолсульфонил)-5-пиперазин-1-ил-1,2,3,4-тетрагидроизохинолин. 2-(2-метансульфонилбензолсульфонил)-5-пиперазин-1-ил-1,2,3,4-тетрагидроизохинолин; 3-(5-пиперазин-1-ил-3,4-дигидро-1Н-изохинолин-2-сульфонил)-бензамид и 2-(5-пиперазин-1-ил-3,4-дигидро-1Н-изохинолин-2-сульфонил)-фенил]-мочевину. По методике, аналогичной описанной выше, с заменой на стадии 4 бензолсульфонилхлорида на соответствующий нафталинсульфонилхлорид или хинолинилсульфонилхлорид, получали следующие соединения: 2-(нафталин-1-сульфонил)-5-пиперазин-1-ил-1,2,3,4-тетрагидроизохинолин; 2-(нафталин-2-сульфонил)-5-пиперазин-1-ил-1,2,3,4-тетрагидроизохинолин и 8-(5-пиперазин-1-ил-3,4-дигидро-1Н-изохинолин-2-сульфонил)-хинолин. По методике, аналогичной описанной выше, с заменой на стадии 2 1-(трет-бутоксикарбонил)пиперазина на 4-метилпиперазин, получали соединение 2-бензолсульфонил-5-(4-метилпиперазин-1-ил)-1,2,3,4-тетрагидроизохинолин. Пример 2 2-Бензил-5-пиперазин-1-ил-3,4-дигидро-2H-изохинолин-1-он Методики синтеза, описанные в этом примере, выполнены в соответствии со способом, приведенным на схеме Е. СХЕМА Е Стадия 1 Метиловый эфир 2-(2-диметиламиновинил)-3-метилбензойной кислоты Метиловый эфир 2-метил-3-нитробензойной кислоты (5,0 г, 25,6 ммоль) смешивали с диметоксиметилдиметиламином (10,2 мл, 76,8 ммоль, 3,0 экв.) и ДМФ (диметилформамид) (25 мл) и нагревали при 110°С в течение ночи. Затем реакционную смесь концентрировали в вакууме и получали неочищенный метиловый эфир 2-(2-диметиламиновинил)-3-метилбензойной кислоты. Стадия 2 5-Нитроизохромен-1-он Неочищенный метиловый эфир 2-(2-диметиламиновинил)-3-метилбензойной кислоты, полученный на стадии 1, хроматографировали на силикагеле (гексан/EtOAc, 9:1) по методике, описанной Matsui et al., см. выше, и получали 5-нитроизохромен-1-он (2,7 г, 14,13 ммоль) в виде белого твердого вещества. Стадия 3 2-Бензил-5-нитро-2H-изохинолин-1-он 5-Нитроизохромен-1-он (1,0 г, 5,23 ммоль), полученный на стадии 2, растворяли в избытке бензиламина (5 мл) и нагревали при 80°С в течение 4 ч. Затем смесь разбавляли диэтиловым эфиром и несколько раз промывали с помощью (0,5 н.) HCl. Органический слой концентрировали в вакууме и получали 2-бензил-5-нитро-2H-изохинолин-1-он в виде желтого твердого вещества. Стадия 4 5-Амино-2-бензил-2H-изохинолин-1-он 2-Бензил-5-нитро-2H-изохинолин-1-он (1,0 г, 3,57 ммоль), полученный на стадии 3, растворяли в 10 мл EtOH и прибавляли каталитическое количество (50 мг) 10% палладия на угле (в атмосфере N2). Затем сосуд закрывали и обрабатывали водородом при давлении, равном 1 атм, в течение 2 ч. ТСХ (тонкослойная хроматография) показывала, что восстановление нитрогруппы завершилось через 1 ч, и смесь фильтровали и концентрировали в вакууме и получали 5-амино-2-бензил-2H-изохинолин-1-он (0,687 г, 2,75 ммоль) в виде бледно-желтого твердого вещества. Стадия 5 2-Бензил-5-пиперазин-1-ил-2H-изохинолин-1-он 5-Амино-2-бензил-2H-изохинолин-1-он (0,687 г, 2,75 ммоль), полученный на стадии 4, смешивали с избытком бис-(2-хлорэтил)-амингидрохлорида и нагревали в расплавленном состоянии в течение 5 мин. Анализ с помощью ТСХ указывал на один содержащийся в большом количестве продукт и несколько содержащихся в небольших количествах побочных продуктов. Реакционную смесь хроматографировали на силикагеле (СН2Cl2/МеОН, 95:5) и получали 2-бензил-5-пиперазин-1-ил-2H-изохинолин-1-он (0,103 мг, 0,32 ммоль); М+Н=320. Стадия 6 2-Бензил-5-пиперазин-1-ил-3,4-дигидро-2H-изохинолин-1-он 2-Бензил-5-пиперазин-1-ил-2H-изохинолин-1-он (0,05 г, 0,16 ммоль), полученный на стадии 5, помещали в небольшой (100 мл) сосуд Парра, растворяли в 10 мл EtOH и прибавляли каталитическое количество (25 мг) палладия (10%) на угле (в атмосфере N2). Затем в сосуд в течение 24 ч подавали водород при давлении 60 фунт-сила/дюйм2. Препаративная ВЭЖХ (высокоэффективная жидкостная хроматография) давала искомый продукт, 2-бензил-5-пиперазин-1-ил-3,4-дигидро-2H-изохинолин-1-он (8 мг, 0,025 ммоль); М+Н=322. По результатам анализа с помощью препаративной ВЭЖХ в качестве продукта восстановления на стадии 6 также обнаружено соединение 2-бензил-5-(4-этилпиперазин-1-ил)-3,4-дигидро-2H-изохинолин-1-он (4 мг, 0,012 ммоль); М+Н=350. Пример 3 Фармацевтические препараты для доставки различным и путями составлены так, как это описано в приведенных ниже таблицах. “Активный ингредиент” или “активное соединение” при использовании в таблицах обозначает одно или большее количество соединений формулы I. Композиция для перорального введения
Ингредиенты смешивают и дозируют в капсулы, содержащие примерно по 100 мг каждая; одна капсула содержит приблизительно полную суточную дозу. Композиция для перорального введения
Ингредиенты объединяют и гранулируют с использованием растворителя, такого как метанол. Затем композицию сушат и формуют в таблетки (содержащие примерно 20 мг активного соединения) на соответствующей таблетирующей машине. Композиция для перорального введения
Ингредиенты смешивают с получением суспензии для перорального введения. Композиция для парентерального введения
Активный ингредиент растворяют в порции воды для инъекций. Затем при перемешивании прибавляют количество хлорида натрия, достаточное для получения изотонического раствора. Раствор доводят до необходимой массы путем прибавления оставшейся воды для инъекций, фильтруют через мембранный фильтр с размером пор 0,2 мкм и упаковывают в стерильных условиях. Композиция для суппозитория
Ингредиенты расплавляют в смеси друг с другом и перемешивают на паровой бане и выливают в формы, вмещающие полную массу, равную 2,5 г. Композиция для местного применения
Все ингредиенты, кроме воды, объединяют и при перемешивании нагревают примерно до 60°С. Затем при энергичном перемешивании прибавляют количество воды, нагретой примерно до 60°С, достаточное для эмульгирования ингредиентов, а после этого прибавляют количество воды, необходимое для доведения массы примерно до 100 г. Назальные композиции для распыления В качестве назальных композиций для распыления готовят несколько водных суспензий, содержащих примерно 0,025-0,5% активного соединения. Композиции необязательно содержат неактивные ингредиенты, такие как, например, микрокристаллическую целлюлозу, натриевую соль карбоксиметилцеллюлозы, декстрозу и т.п. Для регулирования рН можно прибавить хлористоводородную кислоту. Назальные композиции для распыления можно доставлять с помощью дозирующего назального распыляющего насоса, обычно доставляющего примерно 50-100 мкл композиции за одно включение. Типичным дозировочным режимом является 2-4 распыления каждые 4-12 ч. Пример 4 Исследования радиолигандного связывания В этом примере описаны исследования радиолигандного связывания соединения формулы I in vitro. Связывающую способность in vitro для соединений, предлагаемых в настоящем изобретении, определяли следующим образом. Двукратные определения сродства лиганда выполняли на основе конкуренции связывания [3Н]ЛСД (диэтиламид лизергиновой кислоты) в клеточных мембранах, полученных из клеток НЕК293, стабильно экспрессирующих рекомбинантный рецептор человека 5-НТ6. Эта линия клеток была получена так, как это описано в работе Monsma et al., Molecular Pharmacology, Vol.43 pp.320-327 (1993). Все определения проводили в буферном растворе для анализа, содержащем 50 мМ Tris-HCl (Tris=трис(гидроксиметиламино)метан), 10 мМ MgSO4, 0,5 мМ ЭДТК (этилендиаминтетрауксусная кислота), 1 мМ аскорбиновой кислоты, рН 7,4 при 37°С, при объеме реакционной смеси, равном 250 мкл. Пробирки для анализа, содержащие [3Н]ЛСД (5 нМ), конкурирующий лиганд и мембраны, инкубировали при встряхивании на водяной бане в течение 60 мин при 37°С, фильтровали на пластины Packard GF-B (предварительно замоченные в 0,3% полиэтиленимине) с использованием 96-луночного устройства для сбора клеток Packard и трижды промывали охлажденным льдом 50 мМ Tris-HCl. Связывание [3Н]ЛСД определяли по количеству отсчетов радиоактивного излучения в минуту с помощью счетчика Packard TopCount. Замещение [3Н]ЛСД в центрах связывания количественно определяли путем аппроксимации данных зависимости концентрация – связывание с помощью 4-параметрического логистического уравнения: где Хилл означает наклон по Хиллу, [лиганд] означает концентрацию конкурирующего радиолиганда и IC50 означает концентрацию радиолиганда, приводящую к половине максимального специфического связывания радиолиганда. Диапазон специфического связывания представляет собой разность между Bmax и базовыми параметрами. С использованием методик этого примера исследованы соединения формулы I, и обнаружено, что они являются селективными антагонистами 5-НТ6, как это показано ниже:
Пример 5 Улучшение познавательной способности Способность соединений, предлагаемых в настоящем изобретении, улучшать познавательную способность можно исследовать с помощью модели познавательной способности животных: модели задачи распознавания объекта. Использовали самцов крыс Wistar (Charles River, The Netherlands) 4-месячного возраста. Соединения готовили ежедневно и растворяли в физиологическом растворе и исследовали при трех дозах. Введение всегда выполняли внутрибрюшинно (вводимый объем составлял 1 мл/кг) за 60 мин до момента времени Т1. Через 30 мин после инъекции соединения выполняли инъекцию скополамингидробромида. Образовывали 2 одинаковые группы подопытных животных по 24 крысы и их исследовали в двух экспериментах. Порядок исследования доз являлся случайным. Эксперименты проводили по двойной слепой схеме. Всем крысам каждую дозу вводили один раз. Исследование распознавания объекта проводили в соответствии с описанием в работе Ennacew, A., Delacour, J., 1988, A new one-trial test for newobiological studies of memory in rats. 1: Behavioral data. Behav. Brain Res. 31, 47-59. Хотя настоящее изобретение описано с помощью конкретных вариантов выполнения, специалисты в данной области техники должны понимать, что могут быть внесены различные изменения и могут быть заменены эквиваленты без отклонения от истинной сущности и объема настоящего изобретения. Кроме того, многие изменения могут быть внесены для приспособления конкретной ситуации, материала, композиции, способа, стадии или стадий способа к объективной сущности и объему настоящего изобретения. Подразумевается, что все такие изменения входят в объем прилагаемой формулы изобретения.
Формула изобретения
1. Соединение формулы
или его фармацевтически приемлемая соль, в которой n равно 0; X обозначает -CRaRb – или -С(О)-, где Ra и Rb независимо обозначают водород или алкил; — обозначает необязательную связь; Y обозначает -SO2-, если X обозначает -CRaRb-, и Y обозначает -(CRcRd)p-, если X обозначает -С(О)-, где р равно от 1 до 3 и Rc и Rd независимо обозначают водород или алкил; R2 обозначает арил, гетероарил, которые могут быть необязательно замещены одним или несколькими заместителями, выбранными из галогена, галогеналкила, алкокси, алкила, алкилсульфонила, а также CONH2 и NHCONH2; R3 и R4 независимо обозначают водород; и R5 находится в положении 5 изохинолиновой кольцевой системы и обладает формулой
в которой Z обозначает -N-; г равно 2; и R6, R7, R8, R9 и R10 независимо обозначают водород или алкил. 2. Соединение по п.1, в котором указанное соединение обладает формулой
или его фармацевтически приемлемая соль, в которой R2, R10, — и Ra являются такими, как определено в п.1. 3. Соединение по п.1, в котором указанное соединение обладает формулой
или его фармацевтически приемлемая соль, в которой R2, R10 и — являются такими, как определено в п.1. 4. Соединение по п.2, в котором R2 обозначает фенил, нафталинил или хинолинил, которые необязательно содержат заместители, указанные в п.1. 5. Соединение по п.4, в котором R2 выбран из группы, включающей фенил, 2-фторфенил, 3-фторфенил, 4-фторфенил, 2-хлорфенил, 3-хлорфенил, 3-метилфенил, 4-метоксифенил, 2-метансульфонилфенил, 4-амидофенил, 4-мочевинофенил, 3,5-дихлорфенил, 2,3-дихлорфенил, 2,5-дихлорфенил, 3,5-ди(трифторметил)фенил, 2,5-диметоксифенил, 3-хлор-4-фторфенил, 2-хлор-4-фторфенил, нафталин-1-ил, нафталин-2-ил и хинолин-8-ил. 6. Соединение по п.2, в котором указанное соединение выбрано из группы, включающей 2-бензолсульфонил-5-пиперазин-1-ил-1,2,3,4-тетрагидроизохинолин; 2-бензолсульфонил-5-(4-метилпиперазин-1-ил)-1,2,3,4-тетрагидроизохинолин; 2-(4-фторбензолсульфонил)-5-пиперазин-1-ил-1,2,3,4-тетрагидроизохинолин; 2-(4-метоксибензолсульфонил)-5-пиперазин-1-ил-1,2,3,4-тетрагидроизохинолин; 2-(3-фторбензолсульфонил)-5-пиперазин-1-ил-1,2,3,4-тетрагидроизохинолин; 2-(3,5-дихлорбензолсульфонил)-5-пиперазин-1-ил-1,2,3,4-тетрагидроизохинолин; 2-(3,5-бис-трифторметилбензолсульфонил)-5-пиперазин-1-ил-1,2,3,4-тетрагидроизохинолин; 2-(2,5-диметоксибензолсульфонил)-5-пиперазин-1-ил-1,2,3,4-тетрагидроизохинолин; 2-(3-хлор-4-фторбензолсульфонил)-5-пиперазин-1-ил-1,2,3,4-тетрагидроизохинолин; 2-(2-фторбензолсульфонил)-5-пиперазин-1-ил-1,2,3,4-тетрагидроизохинолин; 2-(2-хлорбензолсульфонил)-5-пиперазин-1-ил-1,2,3,4-тетрагидроизохинолин; 2-(3-хлорбензолсульфонил)-5-пиперазин-1-ил-1,2,3,4-тетрагидроизохинолин; 2-(3-метилбензолсульфонил)-5-пиперазин-1-ил-1,2,3,4-тетрагидроизохинолин; 2-(2,3-дихлорбензолсульфонил)-5-пиперазин-1-ил-1,2,3,4-тетрагидроизохинолин; 2-(2-хлор-4-фторбензолсульфонил)-5-пиперазин-1 -ил-1,2,3,4-тетрагидроизохинолин; 2-(2,5-дихлорбензолсульфонил)-5-пиперазин-1-ил-1,2,3,4-тетрагидроизохинолин; 2-(нафталин-1-сульфонил)-5-пиперазин-1-ил-1,2,3,4-тетрагидроизохинолин; 2-(нафталин-2-сульфонил)-5-пиперазин-1-ил-1,2,3,4-тетрагидроизохинолин; 2-(2-метансульфонилбензолсульфонил)-5-пиперазин-1-ил-1,2,3,4-тетрагидроизохинолин; 3-(5-пиперазин-1-ил-3,4-дигидро-1Н-изохинолин-2-сульфонил)-бензамид; [2-(5-пиперазин-1-ил-3,4-дигидро-1H-изохинолин-2-сульфонил)-фенил]-мочевину; и 8-(5-пиперазин-1-ил-3,4-дигидро-1H-изохинолин-2-сульфонил)-хинолин. 7. Соединение по п.3, в котором R2 обозначает фенил; и R10 обозначает водород или метил. 8. Соединение по п.3, в котором указанное соединение выбрано из группы, включающей 2-бензил-5-пиперазин-1-ил-3,4-дигидро-2Н-изохинолин-1-он; и 2-бензил-5-(4-этилпиперазин-1-ил)-3,4-дигидро-2Н-изохинолин-1-он. 9. Соединение формулы I или его фармацевтически приемлемая соль по п.1, обладающее модулирующим действием в отношении 5-НТ6. 10. Фармацевтическая композиция, обладающая модулирующим действием в отношении 5-НТ6, включающая терапевтически эффективное количество не менее одного соединения формулы I или его фармацевтически приемлемой соли по любому из пп.1-8 в смеси с одним или большим количеством фармацевтически приемлемых носителей.
|
|||||||||||||||||||||||||||||||||||||||||||||||||||||||||||||||||||||||||||||||||||||||||||||||||||||||||||||||||||||||||||||||||||||||||||||||||||||||||||||||||||||||||||||||||||||||||||||||||||||||||||||||||||||||||||||||||||||||||||||||||||||||||||||||||||



,

R”)n-COOR (где n является целым числом, равным от 0 до 5, R





v.4.0, компьютерной системе института Beilstein для генерации систематической номенклатуры ИЮПАК (Международный союз теоретической и прикладной химии). Для удобства ниже приведена формула с соответствующей правилам ИЮПАК нумерацией положений в типичных изохинолиновых соединениях, описанных в настоящем изобретении:
.




















































,
