|
|
(21), (22) Заявка: 2004135567/04, 05.06.2003
(24) Дата начала отсчета срока действия патента:
05.06.2003
(30) Конвенционный приоритет:
07.06.2002 IT MI2002A 001247
(43) Дата публикации заявки: 20.07.2005
(46) Опубликовано: 27.06.2008
(56) Список документов, цитированных в отчете о поиске:
US 5968951, 19.10.1999. US 6063791, 16.05.2000. US 6211196 B1, 03.04.2001. US 5859025, 12.01.1999. US 6140341, 31.10.2000. RU 2135478 C1, 27.08.1999.
(85) Дата перевода заявки PCT на национальную фазу:
06.12.2004
(86) Заявка PCT:
EP 03/05893 (05.06.2003)
(87) Публикация PCT:
WO 03/103671 (18.12.2003)
Адрес для переписки:
129010, Москва, ул. Б.Спасская, 25, стр.3, ООО “Юридическая фирма Городисский и Партнеры”, пат.пов. Е.Е.Назиной, рег. № 517
|
(72) Автор(ы):
КАЛЬВАНИ Федерико (IT), КАТРАМБОНЕ Фернандо (IT), ФЕЛИЧЕТТИ Патриция (IT), ФИНЧЕМ Кристофер Инго (IT), ДЖОЛИТТИ Алессандро (IT), МАГГИ Карло Альберто (IT), КУАРТАРА Лаура (IT), РОССИ Кристина (IT), ТЕРРАЧАНО Роза (IT)
(73) Патентообладатель(и):
МЕНАРИНИ РИЧЕРКЕ С.П.А. (IT)
|
(54) ОСНОВНЫЕ НЕПЕПТИДНЫЕ АНТАГОНИСТЫ БРАДИКИНИНА И ИХ ФАРМАЦЕВТИЧЕСКИЕ КОМПОЗИЦИИ
(57) Реферат:
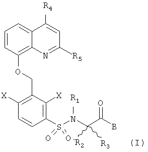
Описываются соединения общей формулы (I), в которой R1 означает атом водорода или С1-С4алкильную группу; R2 и R3, которые могут быть одинаковыми или различными, представляют С1-С4алкильную группу, или R2 и R3 вместе с атомом углерода, к которому они присоединены, образуют циклическую алифатическую группу, содержащую 3-7 атомов углерода; R4 и R5, которые могут быть одинаковыми или различными, означают атом водорода или С1-С4алкильную группу; Х выбран из группы, включающей галоген; В содержит, по меньшей мере, одну аминогруппу с основными характеристиками или тетраалкиламмонийную группу и может быть выбран из группы, включающей NR6Y, и из остатков:


Непептидные соединения формулы (I) обладают активностью специфических антагонистов В2-рецепторов брадикинина (ВК). Описываются также промежуточные соединения, фармацевтические композиции, а также применение соединения формулы (I) для получения фармацевтических композиций для лечения нарушений, когда требуется применение антагониста брадикинина. 5 н. и 6 з.п. ф-лы.

Область изобретения
Настоящее изобретение касается непептидных основных соединений и их производных, обладающих активностью специфических антагонистов В2-рецепторов брадикинина (BK). Антагонисты рецепторов BK представляют новый класс лекарственных средств, которые можно применять при всех состояниях, в которые вовлечены указанные рецепторы.
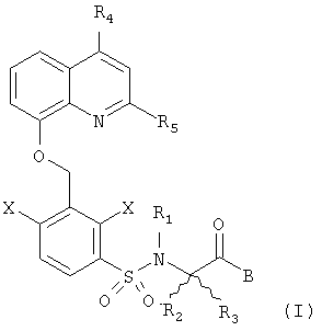
Более конкретно, настоящее изобретение касается непептидных соединений, которые демонстрируют высокую аффинность и антагонистическую активность относительно В2-рецептора, имеющих общую формулу (I):

в которой
R1 означает атом водорода или C1-C4алкильную группу;
R2 и R3, которые могут быть одинаковыми или различными, означают C1-C4алкильную группу, или R2 и R3 вместе с атомом углерода, к которому они присоединены, образуют циклическую алифатическую группу, содержащую 3-7 атомов углерода, или гетероциклическую алифатическую группу, содержащую 3-7 атомов, один или два из которых выбраны из группы N, O, S и другие являются атомами C;
R4 и R5, которые могут быть одинаковыми или различными, означают атом водорода или C1-C4алкильную группу;
X выбран из группы, включающей галоген, OR1, SR1, CN, C1-C4алкил;
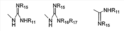
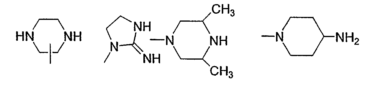
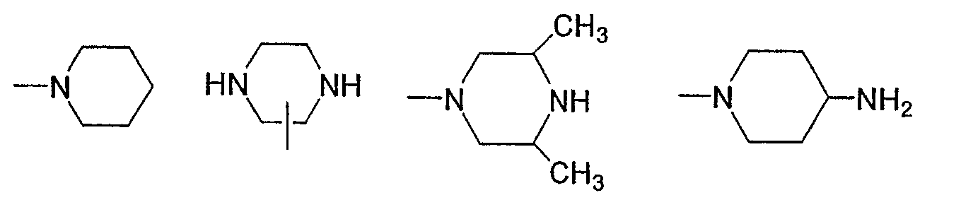
B содержит, по меньшей мере, одну аминогруппу с основными характеристиками или тетраалкиламмонийную группу и может быть выбран из группы, включающей -NR6(CH2)nNHCOY, NR6(CH2)nN(R6)-Y, NR6(CH2)nN(Y)2, NR6Y, N(Y)2, N(Y)(CH2)pY1, и из остатков:

R6 означает атом водорода, C1-C4алкил;
n=1-12;
Y выбран из водорода, (CH2)pY1, (CH2)pNR6Y1, (CH2)pN(Y1)2, NR5R6, -NR6(CH2)qY1 или из следующих остатков:
  ;
T выбран из группы: -NR7R8, -NR14R18R19, -OR6;
R7 и R8, которые могут быть одинаковыми или различными, означают атом водорода, С1-C4алкильную группу, циклогексильную группу, или NR7R8 вместе представляют группу, выбранную из: i) гуанидина, необязательно замещенного 1 или 2 C1-C4алкильными или циклогексильными группами, ii) 5-7-членного азотсодержащего гетероцикла, необязательно включающего другой гетероатом, выбранный из О, N, S;
Y1 выбран из группы, включающей NR7R8, NR14R18R19, или из следующих остатков:
 
Z выбран из группы, включающей H, C1-C6алкил, OR6, SR6, CF3, OCOR6, COR10, NHCOR6, SO2R6, SOR6, CO2R6, N(R6)2, Cl, Br, NO2, NH2, CN, F, имидазол, фенил, амидин, гуанидин, гуанидилметил;
R9 выбран из группы, включающей водород, -(CH2)q-L, где L выбран из группы -OH, -NR5R6, -NR14R18R19, амидина, необязательно замещенного 1 или 2 C1-C4алкильными группами, гуанидина, необязательно замещенного 1 или 2 C1-C4алкильными группами;
R10 выбран из группы, включающей OR6, NR6R12;
R11 выбран из группы, включающей водород, -(CH2)q-L, -(CH2)p-NR4-(CH2)q-L;
R12 означает атом водорода, C1-C6алкил, COR6;
R13 выбран из группы, включающей H, C1-C6алкил, -(CH2)pW(CH2)qY1, Y, -COY, -CH2-Y;
R15 выбран из группы, включающей водород или линейные или разветвленные C1-C4алкильные группы;
группа -NR16R17 представляет собой 5-7-членный азотсодержащий алифатический гетероцикл, необязательно включающий другой гетероатом, выбранный из O, S, N;
группа -NR14R18R19 представляет собой четвертичную аммонийную группу, в которой R14 выбран из группы, включающей линейные или разветвленные C1-C4алкильные группы, R18 и R19, которые могут быть одинаковыми или различными, представляют собой линейные или разветвленные C1-C4алкильные группы, или -NR18R19 представляет собой 5-7-членный азотсодержащий гетероцикл, необязательно включающий другой гетероатом, выбранный из O, N, S;
W=CH2, O, S, NR4, N(R4)2;
p=1-6, q=1-6.
Настоящее изобретение включает также соответствующие фармакологически приемлемые соли с неорганическими или органическими кислотами, выбранными из группы: хлористоводородной, бромистоводородной, йодистоводородной, серной, фосфорной, уксусной, трифторуксусной, пропионовой, щавелевой, яблочной, малеиновой, янтарной, малоновой, аспарагиновой, глутаминовой кислоты, и возможные геометрические изомеры, оптические изомеры, обусловленные наличием хиральных центров, или их смеси, включая рацематы. Символ означает, что конфигурация асимметрических атомов углерода может быть S или R. Известно, что при физиологических рН амины присутствуют главным образом в протонированной форме, то есть в виде четвертичного аммония, таким образом, данное изобретение включает также аналоги, в которых азот аминогруппы находится в виде тетраалкиламмонийной соли, т.е. аналоги, в которых постоянно присутствует четвертичный азот, не зависящий от pH.
Предшествующий уровень техники
Брадикинин (BK) принадлежит к кининам и формам, вместе с каллидином и T-кинином образующим подгруппу кининов, присутствующих у млекопитающих. Кинины играют важную роль в качестве медиаторов боли и воспаления как в центральной, так и в периферической нервной системе. Они имеют пептидную природу, и брадикинин, в частности, представляет собой нонапептид (H-Arg1-Pro2-Pro3-Gly4-Phe5-Ser6-Pro7-Phe8-Arg9-OH), продуцируемый организмом при физиопатологических состояниях.
Существует два типа рецепторов кининов B1 и B2. Основная характеристика рецептора B1 заключается в том, что он является более индукционным, чем конститутивным. Он экспрессируется в тканях при воспалительных или стрессовых состояниях. С другой стороны, B2 является конститутивным рецептором, обычно присутствующим во всех тканях и готовым детектировать действие медиатора при воспалительных процессах. Каскад ферментативных процессов, который индуцирует образование и разложение кининов, подробно описан в обзоре Bhoola и др. (Bhoola H.D., Figueroa CD., Worthy K., Bioregulation of Kinins: Kallikreins, Kininogens and Kininases, Pharmacological Rev. 1992; 44:4-80). Брадикинин и каллидин высвобождаются из своих белковых предшественников (известных как кининогены) под действием протеолитических ферментов, называемых кининогеназами. Среди них главную роль играют калликреины, которые, однако, могут оказывать действие только в течение короткого времени после высвобождения предшественником, так как быстро разлагаются рядом циркулирующих ферментов и мембран, в общем определяемые как кининазы. Одна из данных кининаз расщепляет брадикинин по C-концевому аргинину, образуя, таким образом, des-Arg-BK, который действует как агонист рецептора B1.
Активация рецепторов брадикинина B1 и В2 индуцирует релаксацию мышц сосудов с последующей гипотензией, повышение проницаемости сосудов, сокращение гладких мышц кишечника и дыхательного тракта, стимуляцию ноцицепторных нейронов, изменение ионной эпителиальной секреции, продуцирование нитроксида и высвобождение цитокинов лейкоцитами и эйкозаноидами из различных типов клеток. Как следствие, антагонистические соединения рецепторов BK можно считать новым классом лекарственных средств, предположительно активных при различных нарушениях. Возможными терапевтическими применениями для указанных антагонистов являются воспалительные, аллергические и аутоиммунные нарушения, такие как астма и хронический бронхит (также вызываемый раздражителями), аллергический, вазомоторный и вирусный ринит, обструктивное заболевание легких (COPD), ревматоидный артрит, хронические воспалительные заболевания кишечника (болезнь Крона и язвенный колит), гломерулонефрит, псориаз, сыпь, острый и хронический цистит; дегенеративные нарушения, характеризующиеся фиброзом, такие как цирроз печени, гломерулопатия и фиброз легких, артериосклероз; благодаря их болеутоляющей активности, при лечении острой и хронической боли, например при ожогах, сильной головной боли, укусах насекомых, хронической боли у раковых пациентов; при нарушениях сердечно-сосудистой системы, таких как септический, аллергический и посттравматический шок, и циррозе печени при гепаторенальном синдроме; в качестве противораковых агентов и агентов против ангиогенеза при лечении гипотензии и алопеции.
В литературе известны различные пептидные и непептидные антагонисты В2-рецепторов брадикинина.
После открытия в 1985 году первого антагониста В2-рецепторов брадикинина, NPC-567, был синтезирован ряд пептидных антагонистов, многие из которых, такие как икатибант (HOE-140) и брадикор (Deltibant, CP-0127), уже находятся в клинической фазе исследования.
Первый непептидный B2-антагонист брадикинина синтезировал Sterling Winthrop в 1993 г., WIN 64338. Однако указанное соединение демонстрирует низкую активность связывания с В2-рецептором человека. Очень интересная активность продемонстрирована хинолиновыми и имидазопиридиновыми производными, заявленными Fujisawa, который, начиная с 1996 г., публиковал фармакологические данные и исследования, касающиеся нового непептидного антагониста FR 173657 и его аналогов. Данное соединение представляло первостепенную важность в поиске новых непептидных B2-антагонистов благодаря своей селективности, силе действия и активности после перорального приема. После публикации патентов Fujisawa аналогичные структуры были заявлены в патентах Fournier и Hoechst. Соединения в работах Fournier также имеют хинолин, связанный с дихлорбензолом; замещенный сульфонамид соединяет данную часть молекулы с ароматическим кольцом (необязательно замещенным амидином) посредством основного линкера (например, пропилендиамина, пиперазина). Fournier объявил в мае 1998 г. начало клинической фазы I для непептидного B2-антагониста LF 16.0687 (обзор: Altamura M. и др., Regulatory Peptides, 1999, 80, 13-26).
Ввиду возможных преимуществ непептидных антагонистов (ферментативной и метаболической стабильности, высокой биодоступности) над пептидными антагонистами желателен поиск новых непептидных антагонистов В2-рецепторов.
Подробное описание изобретения
Целью настоящего изобретения является обеспечение новых непептидных антагонистов, обладающих пониженной конформационной свободой. Настоящее изобретение раскрывает новые соединения непептидной природы, а именно линейные или циклические сульфонамидопроизводные , -дизамещенных аминокислот общей формулы (I), где R1, R2, R3, R4, R5, X и B имеют значения, определенные выше.

Присутствие данной конкретной категории аминокислот вызывает ограничения молекулярной конформации, допуская, таким образом, модуляцию и оптимизацию взаимодействия с рецептором посредством введения подходящих фармакофорных групп.
Данные соединения характеризуются высокой аффинностью и антагонистической активностью относительно В2-рецептора человека и значительной метаболической стабильностью.
Соединения настоящего изобретения являются оригинальными в сравнении с соединениями, заявленными в патентной литературе (WO 97/24349, WO 98/03503), в свете исследований мутагенеза, которые подтверждают различное взаимодействие с В2-рецептором, а также конформационных исследований, подкрепленных экспериментами по молекулярному моделированию и ЯМР-анализом, которые служат доказательством определенной, отличной конформации по сравнению с аналогами, не содержащими , -дизамещенных аминокислот. В частности, сравнительное исследование соединений настоящего изобретения и аналогов, не содержащих , -дизамещенных аминокислот, показывает, что различные значения углов кручения и наблюдают уже, начиная с промежуточных соединений.
Настоящее изобретение также касается аналогов, в которых амин находится в виде тетраалкиламмонийного соединения, что является состоянием, аналогичным состоянию аминов при физиологических рН, когда осуществляется их активность.
В определениях C1-C4алкильная группа означает группу, выбранную из метила, этила, н-пропила, изопропила, н-бутила и t-бутила; C1-C6алкильная группа означает группу, выбранную из метила, этила, н-пропила, изопропила, н-бутила, н-пентила, н-гексила; циклическая алифатическая группа, содержащая 3-7 атомов углерода, означает группу, выбранную из циклопропила, циклобутила, циклопентила, циклогексила и циклогептила; алифатическая гетероциклическая группа, содержащая 3-7 атомов, означает группу, выбранную из пирролидина, необязательно замещенного по N C1-C4алкильной группой, пиперидина, необязательно замещенного по N C1-C4алкильной группой, тетрагидрофурана, тетрагидропирана, тетрагидротиопирана; 5-7-членная алифатическая гетероциклическая группа означает группу, выбранную из пирролидина, пиперидина, пиперазина, морфолина, тиоморфолина, азепина, диазепина, оксазепина.
Более конкретно, настоящее изобретение касается соединений общей формулы (I), в которой:
R1 означает атом водорода или C1-C4алкильную группу;
R2 и R3, которые могут быть одинаковыми или различными, представляют C1-C4алкильную группу, или R2 и R3 вместе с атомом углерода, к которому они присоединены, образуют циклическую алифатическую группу, содержащую 3-7 атомов углерода, или гетероциклическую алифатическую группу, содержащую 3-7 атомов, один или два из которых выбраны из группы N, O, S и другие являются атомами C;
R4 и R5, которые могут быть одинаковыми или различными, означают атом водорода или C1-C4алкильную группу;
X выбран из группы, включающей галоген, OR1, SR1, CN, C1-C4алкил;
B содержит, по меньшей мере, одну аминогруппу с основными характеристиками или тетраалкиламмоний и может быть выбран из группы, включающей:


R6 означает атом водорода, C1-C6алкил;
Y выбран из водорода, (CH2)pY1, (CH2)pNR6Y1, (CH2)pN(Y1)2, NR5R6, -NR6(CH2)рY1 или из следующих остатков:

T выбран из группы -NR7R8, -NR14R18R19, -OR6;
R7 и R8, которые могут быть одинаковыми или различными, означают атом водорода, С1-C4алкильную группу, или NR7R8 представляет собой группу, выбранную из: i) гуанидина, необязательно замещенного 1 или 2 C1-C4алкильными или циклогексильными группами, ii) 5-7-членного азотсодержащего гетероцикла, необязательно включающего другой гетероатом, выбранный из О, N, S;
Y1 выбран из группы, включающей NR7R8, NR14R18R19, или из следующих остатков:
  
Z выбран из группы, включающей H, C1-C6алкил, OR6, SR6, CF3, OCOR6, COR10, NHCOR6, SO2R6, SOR6, CO2R6, N(R6)2, Cl, Br, NO2, NH2, CN, F, имидазол, фенил, амидин, гуанидин, гуанидилметил;
R9 выбран из группы, включающей водород, -(CH2)q-L, где L выбран из -OH, -NR5R6, -NR14R18R19, амидина, необязательно замещенного 1 или 2 C1-C4алкильными группами, гуанидина, необязательно замещенного 1 или 2 C1-C4алкильными группами;
R10 выбран из группы, включающей OR6, NR6R12;
R11 выбран из группы, включающей водород, -(CH2)q-L, -(CH2)p-NR4-(CH2)q-L;
R12 означает атом водорода, C1-C6алкил, COR6;
R13 выбран из группы, включающей H, C1-C6алкил, -(CH2)pW(CH2)qY1, Y, -COY, -CH2-Y;
R14 выбран из группы, включающей линейные или разветвленные C1-C4алкильные группы;
R15 выбран из группы, включающей водород или линейные или разветвленные C1-C4алкильные группы;
группа -NR16R17 представляет собой 5-7-членный азотсодержащий алифатический гетероцикл, необязательно включающий другой гетероатом, выбранный из O, S, N;
группа -NR14R18R19 представляет собой четвертичную аммонийную группу, в которой R14 выбран из группы, включающей линейные или разветвленные C1-C4алкильные группы, R18 и R19, которые могут быть одинаковыми или различными, представляют собой линейные или разветвленные C1-C4алкильные группы, или -NR18R19 представляет собой 5-7-членный азотсодержащий гетероцикл, необязательно включающий другой гетероатом, выбранный из O, N, S;
W=CH2, O, S, NR4, N(R4)2;
p=1-6, q=1-6.
Класс предпочтительных соединений составляют соединения общей формулы (I), в которой:
B выбран из группы, включающей остатки:

Y выбран из (CH2)pY1, (CH2)pNR6Y1, (CH2)pN(Y1)2, NR5R6 или из следующих остатков:

в которых T выбран из группы -NR7R8, -OR6;
и другие заместители являются такими, как определено выше.
Особо предпочтительный класс соединений составляют соединения, в которых:
R1 означает атом водорода или метил;
R2 и R3, которые могут быть одинаковыми или различными, выбраны из метила и этила, или R2 и R3 вместе с атомом углерода, к которому они присоединены, образуют циклическую алифатическую группу, содержащую 3-7 атомов углерода;
R4 и R5, которые могут быть одинаковыми или различными, означают атом водорода или метил;
X означает атом хлора;
B означает группу, выбранную из:
 
в которых R13 означает Н, или Y=Y1, где Y1 означает

R11 выбран из группы, включающей водород, -(CH2)q-L, -(CH2)p– -NR4-(CH2)q-L, где L выбран из -OH, -NR5R6, амидина, необязательно замещенного 1 или 2 C1-C4алкильными группами, гуанидина, необязательно замещенного 1 или 2 C1-C4алкильными группами; и другие заместители являются такими, как определено выше.
Еще один класс особо предпочтительных соединений общей формулы (I) составляют соединения, в которых:
R2 и R3, которые могут быть одинаковыми или различными, выбраны из метила или этила, или R2 и R3 вместе с атомом углерода, к которому они присоединены, образуют циклическую алифатическую группу, содержащую 3-7 атомов углерода;
R4 и R5, которые могут быть одинаковыми или различными, представляют собой водород или метил;
X означает атом хлора;
B содержит, по меньшей мере, две аминогруппы с основными характеристиками, в свободном виде или в виде соли, и выбран из группы:
 
в которых R13 означает COY, CH2Y, -(CH2)pW(CH2)qY1,
Y означает группу (CH2)pY1 или выбран из:

где T выбран из -NR7R8, -OR6;
R7 и R8, которые могут быть одинаковыми или различными, представляют собой атом водорода, C1-C4алкильную группу, или NR7R8 означает группу, выбранную из: i) гуанидина, необязательно замещенного 1 или 2 C1-C4алкильными или циклогексильными группами, ii) 5-7-членного азотсодержащего гетероцикла, необязательно включающего другой гетероатом, выбранный из O, N, S;
Y1 выбран из группы, включающей -NR7R8, и из остатков
 
R9 выбран из группы, включающей водород, -(CH2)q-L, где L выбран из группы -NR5R6, амидина, необязательно замещенного 1 или 2 C1-C4алкильными группами, гуанидина, необязательно замещенного 1 или 2 C1-C4алкильными группами;
и другие заместители являются такими, как определено выше.
Второй класс предпочтительных соединений общей формулы (I), содержащих, по меньшей мере, один тетраалкиламмоний, составляют соединения, в которых:
R1 означает атом водорода или метил;
R2 и R3, которые могут быть одинаковыми или различными, выбраны из метила или этила, или R2 и R3 вместе с атомом углерода, к которому они присоединены, образуют циклическую алифатическую группу, содержащую 3-7 атомов углерода;
R4 и R5, которые могут быть одинаковыми или различными, представляют собой водород или метил;
X означает атом хлора;
B выбран из группы, включающей NR6Y, и из остатков:
 
Y выбран из Y, COY, (CH2)pY1, NR6(CH2)qY1 и из остатков:

T выбран из группы -NR7R8, -NR14R18R19, -OR6;
Y1 выбран из группы, включающей -NR7R8, -NR7R8R14, или из следующих остатков:

и другие заместители являются такими, как определено выше.
Соединения общей формулы (I) можно получать хорошо известными синтетическими способами.
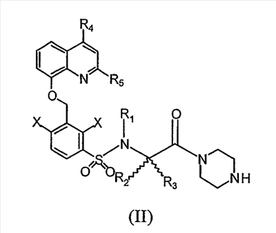
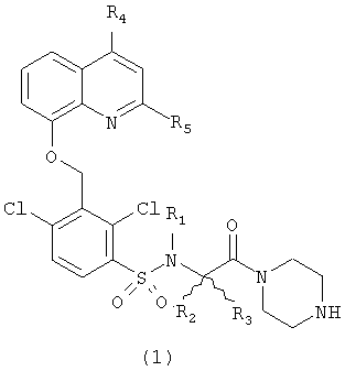
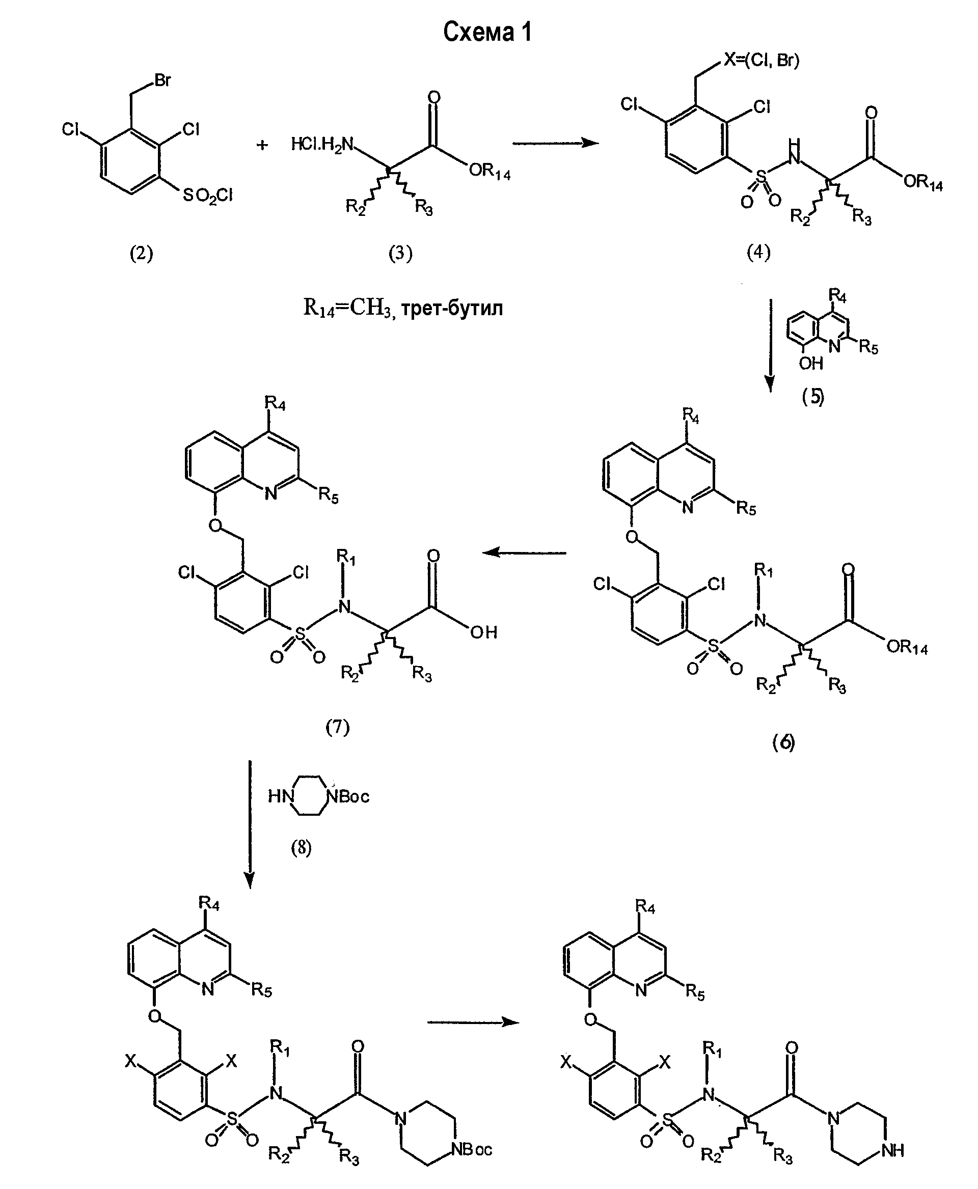
В качестве примера приведен особо интересный для целей данного изобретения способ: соединения общей формулы (I), которая определена выше и в которой B означает группу можно получить конденсацией в присутствии подходящего конденсирующего агента промежуточного соединения общей формулы (II)

с ацилирующей группой, такой как 2,6-диаминогексановая кислота, которая доступна коммерчески. Соединение (1) (промежуточное соединение общей формулы (II), в которой R1=H) можно получить согласно схеме, приведенной далее.

Соединение (1) получают путем ряда взаимодействий, показанных на схеме 1. Первая стадия заключается в образовании сульфонамидо-связи (4), получаемой конденсацией промежуточных соединений (2) и (3). Данное взаимодействие проводят при комнатной температуре, предпочтительно в смеси ацетонитрил/вода (2:1) в присутствии NaHCO3. Указанное взаимодействие происходит с обменом хлор-бром в положении бензила: полученную смесь продуктов используют, как есть, на следующей стадии. Затем проводят взаимодействие смеси галогеновых производных с дизамещенным гидроксихинолином (5), в присутствии карбоната калия (K2CO3) и йодида калия (KI), в ацетоне при кипячении с обратным холодильником, получая сложно-эфирное производное (6). Сложный метиловый эфир формулы (6), в которой R14=CH3, гидролизуют в основных условиях до карбоновой кислоты (7), которую затем конденсируют с Boc-пиперазином (8), получая промежуточное соединение (9). Указанную реакцию конденсации проводят согласно методике, известной в синтезе пептидов, используя гидроксибензотриазол для активации карбоксильного компонента, конденсирующий агент, такой как 1-этил-3-(3′-диметилпропил)карбодиимид, и некоторое количество третичного амина, диизопропилэтиламина, соответствующее трем эквивалентам по сравнению с конденсирующим агентом. Наконец, получают соединение (1), отщепляя Boc-группу от промежуточного соединения (9) при помощи раствора хлористоводородной кислоты (4н.) в диоксане и выделяя свободный амин вместо гидрохлорида.
Соединение формулы (2) получают, как описано в J. Fluorine Chemistry, 2000, 101:85-89.
Соединение формулы (5), а именно 2,4-диметил-8-гидроксихинолин (R4=R5=CH3), получают, как раскрыто в WO 96/40639.
В случае, когда R1 означает алкильную группу, в частности метил, проводят алкилирование сульфонамидогруппы соединения (6); для примера на схеме 2 показано получение промежуточного соединения (7), в котором R1=метил.

Сульфонамидный азот можно алкилировать в диметилформамиде, используя метилиодид в качестве алкилирующего агента и карбонат калия (K2CO3) в качестве основания.
Все соединения общей формулы (I) можно получить подходящим образом, заменяя методику схемы 2 обычными реакциями ацилирования или алкилирования по атому азота в промежуточных соединениях, таких как соединение (1) или его аналоги.
Промежуточные соединения и конечные соединения настоящего изобретения выделяют и очищают, используя обычные методики, такие как экстракция, кристаллизация, хроматография, осаждение и подобные.
В случае, когда промежуточные соединения и конечные продукты содержат асимметрический атом углерода, если конфигурация (R,S) не определена, соединения представляют собой рацемические соединения или рацематы.
В настоящем изобретении использованы следующие сокращения: ДХМ=дихлорметан; MeOH=метанол; ТГФ=тетрагидрофуран; ДМСО=диметилсульфоксид; ДМФА=диметилформамид; AcOEt=этил ацетат; AcOH=уксусная кислота; TFA=трифторуксусная кислота; pTsOH=паратолуолсульфоновая кислота; PPA=полифосфорная кислота; NBS=N -бромсукцинимид, bpo=пероксид бензоила; Boc=трет-бутоксикарбонил; HOBt=1-гидроксибензотриазол; HOAt=1-гидрокси-7-азабензотриазол; EDC=1-этил-3-(3′-диметилпропил)карбодиимид; DIPEA=диизопропилэтиламин; ТСХ=тонкослойная хроматография; ЯМР=ядерный магнитный резонанс; FCC=колоночная флэш-хроматография; tR=время удерживания.
Промежуточные соединения и конечные продукты настоящего изобретения характеризуют, применяя метод аналитической ВЭЖХ: колонка Symmetry 300, C18, 5 мкм, 250×4,6 мм, используя в качестве элюентов A (0,1% TFA в H2O) и B (0,1% TFA в ацетонитриле) с градиентом от 20 до 80% B за 20 мин, =220 нм. Для соединений, охарактеризованных методом ядерного магнитного резонанса (ЯМР), приведены величины протонных химических сдвигов, а также мультиплетность сигналов и количество протонов (в скобках).
Соединения данного изобретения применяют для лечения всех тех нарушений, при которых должна быть блокирована или снижена активация рецепторов брадикинина. Они особенно подходят для лечения воспалительных, аллергических и аутоиммунных нарушений, таких как астма и хронический бронхит, аллергический, вазомоторный и вирусный ринит, обструктивное заболевание легких (COPD), ревматоидный артрит, хронические воспалительные заболевания кишечника (болезнь Крона и язвенный колит), гломерулонефрит, псориаз, сыпь, острый и хронический цистит, цирроз печени, гломерулопатия и фиброз легких, артериосклероз, острая и хроническая боль, септический, аллергический и посттравматический шок, цирроз печени при гепаторенальном синдроме, гипотензия, алопеция, или в качестве противораковых агентов и агентов против антиангиогенеза.
Для применения при лечении соединения данного изобретения готовят подходящим образом вместе с фармацевтически приемлемыми носителями/эксципиентами. Предпочтительны фармацевтические формы, подходящие для перорального введения, такие как таблетки, капсулы, гранулы, порошки, растворы, суспензии, сиропы или подобное. Такие фармацевтические препараты можно получить по обычным методикам, используя ингредиенты, известные в данной области, такие как лиганды, дезинтегранты, лубриканты, наполнители, стабилизаторы, разбавители, красители, вкусовые агенты, смачивающие агенты и другие эксципиенты, известные специалистам в данной области. Композиции для перорального приема включают также формы с длительным высвобождением, такие как таблетки или гранулы с энтеросолюбильным покрытием. Твердые композиции для перорального применения можно получить обычными способами смешивания, заполнения или прессования. Жидкие препараты для перорального применения могут быть в виде, например, водных или маслянистых суспензий или растворов, эмульсий, сиропов или могут представлять собой сухой продукт для восстановления перед применением при помощи воды или другого подходящего носителя.
Дозировку можно менять в зависимости от возраста и общего состояния пациента, природы и тяжести заболевания или нарушения и способа и типа введения. Как правило, в случае перорального введения пациенту – взрослому человеку соединения настоящего изобретения обычно вводят при общей дневной дозе в диапазоне от 1 до 1000 мг, предпочтительно от 5 до 300 мг, в виде одной дозы или разделенных доз.
Следующие примеры иллюстрируют данное изобретение более подробно.
Пример 1
(Промежуточное соединение формулы (4), в которой R2=CH3, R3=CH2CH3, R14=CH3) Метил-(R)-2-(2,4-дихлор-3-бромметилбензолсульфонамидо)-2-метилбутаноат
В раствор (R)-метил-2-(метиламино)-2-метилбутаноата (30 мг, 0,18 ммоль) в ДМФА (2 мл) добавляют 69 мкл (0,40 ммоль) DIEA; затем 125 мг (0,369 ммоль) 2,4-дихлор-3-бромметилбензолсульфонилхлорида (2) при 0°C. Систему оставляют нагреваться при комнатной температуре; по прошествии примерно 30 мин взаимодействия pH раствора меняется от основного до сильно кислого. Взаимодействие контролируют методом ТСХ: наблюдают исчезновение пятна 2,4-дихлор-3-бромметилбензолсульфонилхлорида и образование конечного продукта. ДМФА выпаривают при пониженном давлении и неочищенную реакционную смесь очищают на хроматографической колонке (FCC), элюируя 100% хлороформом и получая при этом 49 мг продукта в виде бесцветного масла с 63% выходом.
ВЭЖХ: tR=21,84 мин; МС: [M+NH4]+=449,0; 1H ЯМР (CDCl3): 8,00 (д, 1H, J=9,0 Гц); 7,46 (д, 1H, J=9,0 Гц); 4,90 (с, 2H); 3,70 (с, 3H); 2,01-1,88 (м, 1H); 1,82-1,68 (м, 1H); 1,36 (с, 3H); 0,74 (т, 3H, J=8,4 Гц).
Пример 2
(Промежуточное соединение формулы (6), в которой R4=R5=CH3, R2=CH3, R3=CH2CH3, R14=CH3)
Метил-(R)-2-[2,4-дихлор-3-(2,4-диметил-8-хинолиноксиметил)бензолсульфонамидо]-2-метилбутаноат.
К раствору продуктов, полученных, как описано в примере 1 (49 мг, 0,283 ммоль), в безводном ацетоне (10 мл) добавляют 110 мг (0,283 ммоль) 2,4-диметил-8-гидроксихинолина, 58 мг KI (0,349 ммоль), предварительно высушенного над фосфорным ангидридом при 75°C, и, наконец, 80 мг (0,579 ммоль) K2CO3. Раствор кипятят с обратным холодильником в течение примерно пяти с половиной часов до полного исчезновения (контроль методом ВЭЖХ) исходных продуктов. После охлаждения при комнатной температуре реакционную смесь распределяют между AcOEt (50 мл) и буферным раствором с pH 4 (90 мл). Органическую фазу отделяют и промывают буферным раствором (50 мл); водные фазы объединяют и подвергают обратной экстракции, используя примерно 50 мл AcOEt. Наконец, органическую фазу промывают водой и насыщенным раствором соли, сушат над сульфатом натрия, фильтруют и выпаривают досуха; неочищенный продукт очищают методом FCC, элюируя смесью гексан/AcOEt (2:1) и получая 79 мг (выход: 53%) метил-(R)-2-[2,4-дихлор-3-(2,4-диметил-8-хинолиноксиметил)бензолсульфонамидо]-2-метилбутаноата, в виде светло-желтого масла.
ВЭЖХ: tR=16,19 мин; МС: [M+H]+=525,1; 1H ЯМР (CDCl3): 8,02 (д, 1H, J=8,6 Гц); 7,60 (д, 1H, J=8,4 Гц); 7,47 (д, 1H, J=8,6 Гц); 7,36 (т, 1H, J=8,0 Гц); 7,21 (т, 1H, J=7,6 Гц); 7,11 (с, 1H); 6,00 (с, 1H); 5,66 (дд, 2H, J1=14,8 Гц, J2=10,7 Гц); 2,64 (с, 3H); 2,62 (с, 3H); 2,05-1,90 (м, 1H, J=42,3 Гц); 1,83-1,71 (м, 1H, J=28,7 Гц); 1,47 (с, 3H); 0,78 (т, 3H, J=7,4 Гц).
Соединения приведенных далее примеров получают аналогично.
Пример 3
(Промежуточное соединение формулы (6), в которой R4=R5=CH3, R2=CH3, R3=CH2CH3, R14=CH3)
Метил-(S)-2-[2,4-дихлор-3-(2,4-диметил-8-хинолиноксиметил)бензолсульфонамидо]-2-метилбутаноат.
ВЭЖХ: tR=16,19 мин; МС: [M+H]+=525,0; 1H ЯМР (CDCl3): 8,01 (д, 1H, J=8,6 Гц); 7,60 (д, 1H, J=8,4 Гц); 7,47 (д, 1H, J=8,6 Гц); 7,37 (т, 1H, J=7,8 Гц); 7,12 (т, 1H, J=7,6 Гц); 6,00 (с, 1H); 5,65 (дд, 2H, J1=8 Гц, J2=10,7 Гц); 3,69 (с, 3H); 2,65 (с, 3H); 2,10-1,89 (м, 1H); 1,83-1,69 (м, 1H); 1,37 (с, 3H); 0,78 (т, 3H, J=7,4 Гц).
Пример 4
(Промежуточное соединение формулы (6), в которой R4=R5=CH3, R2=R3=CH3, R14=C(CH3)3)
трет-Бутил-2-[2,4-дихлор-3-(2,4-диметил-8-хинолиноксиметил)бензолсульфонамидо]-2-метилпропаноат.
ВЭЖХ: tR=14,27 мин; МС: [M+H]+=553,1; 1H ЯМР (CDCl3): 8,05 (д, 1H, J=8,6 Гц); 7,61 (д, 1H, J=8,4 Гц); 7,47 (д, 1H, J=8,6 Гц); 7,38 (т, 1H, J=7,9 Гц); 7,21 (д, 1H, J=7,6 Гц); 7,13 (с, 1H); 6,09 (с, 1H); 5,67 (с, 2H); 2,67 (с, 3H); 2,63 (с, 3H); 1,45 (с, 9H); 1,40 (с, 6H).
Пример 5
(Промежуточное соединение формулы (6), в которой R4=H, R5=CH3, R2=CH3, R3=CH2CH3, R14=C(CH3)3)
трет-Бутил-2-[2,4-дихлор-3-(2-метил-8-хинолиноксиметил)бензолсульфонамидо]-2-метилпропаноат.
МС: [M+H]+=539,0; 1H ЯМР (CDCl3): 8,08 (д, 1H, J=8,6 Гц); 8,03 (д, 1H, J=8,4 Гц); 7,51 (д, 1H, J=8,6 Гц); 7,46 (д, 1H, J=7,1 Гц); 7,39 (т, 1H, J=7,6 Гц); 7,35-7,23 (м, 2H); 6,12 (с, 1H); 5,71 (с, 2H); 2,75 (с, 3H); 1,48 (с, 9H); 1,43 (с, 6H).
Пример 6
(Промежуточное соединение формулы (6), в которой R4=R5=CH3, R2 и R3 вместе с атомом углерода, к которому они присоединены, образуют циклопентил, R14=CH3)
Метил-1-[2,4-дихлор-3-(2,4-диметил-8-хинолиноксиметил)]бензолсульфонамидо-1-циклопентанкарбоксилат.
ВЭЖХ: tR=11,16 мин; МС: [M+H]+=537,0; 1Н ЯМР (ДМСО): 8,64 (с, 1H); 8,03 (д, 1H, J=8,6 Гц); 7,79-7,29 (м, 5H); 5,59 (с, 2H); 3,56 (с, 3H); 2,89-2,57 (м, 6H); 1,98-1,85 (м, 4H); 1,60-1,48 (м, 2H); 1,48-1,38 (м, 2H).
Пример 7
(Промежуточное соединение формулы (6), в которой R4=H, R5=CH3, R2 и R3 вместе с атомом углерода, к которому они присоединены, образуют циклопентил, R14=CH3)
Метил-1-[2,4-дихлор-3-(2-метил-8-хинолиноксиметил)]бензолсульфонамидо-1-циклопентанкарбоксилат.
ВЭЖХ: tR=15,43 мин; МС: [M+H]+=523,2; 1H ЯМР (CDCl3): 8,07-8,01 (м, 2H, J1=1,6 Гц, J2=8,6 Гц); 7,54 (д, 1H, J=8,6 Гц); 7,49-7,38 (м, 2H); 7,31 (д, 1H, J=8,4 Гц); 7,25 (дд, 1H, J1=7,5 Гц; J2=1,2 Гц); 5,70 (с, 2H); 5,48 (с, 1H); 3,66 (с, 3H); 2,73 (с, 3H); 2,21-2,10 (м, 2H); 2,01-1,91 (м, 2H); 1,75-1,65 (м, 4H).
Пример 8
(Промежуточное соединение формулы (6′), в которой R1=CH3, R2 и R3 вместе с атомом углерода, к которому они присоединены, образуют циклопентан)
Метил-1-[2,4-дихлор-3-(2,4-диметил-8-хинолиноксиметил)]-1-N’-метилбензолсульфонамидо-1-циклопентанкарбоксилат.
К раствору метил-1-[2,4-дихлор-3-(2,4-диметил-8-хинолиноксиметил)]бензолсульфонамидо-1-циклопентанкарбоксилата (50 мг, 0,093 ммоль) в 5 мл ДМФА добавляют CH3I (19,2 мл, 0,306 ммоль) и 29 мг K2CO3 (0,186 ммоль) при 0°C в атмосфере азота. После перемешивания при комнатной температуре в течение примерно 3 ч реакционную смесь выливают в 50 мл буферного раствора с pH 4,2, затем экстрагируют AcOEt (3×30 мл). Далее органическую фазу промывают водой и насыщенным раствором соли, сушат над сульфатом натрия, фильтруют и выпаривают при пониженном давлении, получая 52 мг (0,093 ммоль) требуемого продукта в виде коричневого твердого вещества с количественным выходом. ВЭЖХ: tR=13,56 мин; МС: [M+H]+=551,4; 1H ЯМР (CDCl3): 8,07 (д, 1H, J=8,6 Гц); 7,64 (д, 1H, J=8,6 Гц); 7,17 (с, 1H); 5,69 (с, 2H); 3,78 (с, 3H); 3,35 (с, 3H); 2,72 (д, 6H, J=44,9 Гц); 2,24 (м, 2H); 1,93 (м, 2H); 1,63 (м, 4H).
Пример 9
(Промежуточное соединение формулы (7), в которой R4=R5=CH3, R2=CH3, R3=CH2CH3)
(R)-2-[2,4-дихлор-3-(2,4-диметил-8-хинолиноксиметил)бензолсульфонамидо]-2-метилбутаноат лития.
К раствору продукта, описанного в примере 4 (79 мг, 0,15 ммоль), в смеси ТГФ/MeOH/H2O (3:2:1, 6 мл) добавляют 23 мг (0,96 ммоль) LiOH. Реакционную смесь перемешивают при комнатной температуре в течение примерно 18 ч, затем повышают температуру до 45°C в течение примерно 27 ч, промотируя гидролиз. Затем выпаривают ТГФ и MeOH при пониженном давлении и щелочной раствор распределяют между AcOEt (25 мл) и водой (25 мл). Добавляют NaCl для разрушения полученной эмульсии, разделяют две фазы, водную фазу подкисляют до pH 4 при помощи 4 н. HCl, затем экстрагируют AcOEt (25 мл). Далее органическую фазу промывают насыщенным раствором соли, сушат над сульфатом натрия, фильтруют и сушат, получая 64 мг продукта в виде желтого твердого вещества, с выходом 82%.
ВЭЖХ: tR=14,36 мин; МС: [M+H]+=511,0; 1H ЯМР (ДМСО): 8,09 (с, 1H); 8,06 (д, 1H, J=8,6 Гц); 7,73 (д, 1H, J=8,6 Гц); 7,64 (д, 1H, J=8,3 Гц); 7,46 (т, 1H, J=7,9 Гц); 7,34 (д, 1H, J=7,6 Гц); 7,27 (с, 1H), 5,51 (дд, 2H, J1=13,8 Гц, J2=10,8 Гц); 2,61 (с, 3H); 2,54 (с, 3H); 1,62 (дд, 2H, J1=14,4 Гц, J2=7,1 Гц); 1,01 (с, 3H); 0,61 (т, 3H, J=7,1 Гц).
Соединения приведенных далее примеров получают аналогично.
Пример 10
(Промежуточное соединение формулы (7), в которой R4=R5=CH3; R2=CH3, R3=CH2CH3)
(S)-2-[2,4-дихлор-3-(2,4-диметил-8-хинолиноксиметил)бензолсульфонамидо]-2-метилбутаноат лития.
ВЭЖХ: tR=14,24 мин; 1H ЯМР (CDCl3): 8,09 (д, 1H, J=8,6 Гц); 7,62-7,47 (м, 3H, J=48,5 Гц); 7,15 (с, 1H); 5,62 (д, 1H, J=9,6 Гц); 5,56 (с, 1H); 5,47 (д, 1H, J=9,6 Гц); 2,66 (с, 3H); 2,53 (с, 3H); 1,86-1,64 (м, 2H, J=58,6 Гц); 1,37 (с, 3H); 0,95 (т, 3H, J=7,4 Гц).
Пример 11
(Промежуточное соединение формулы (7), в которой R4=R5=CH3, R2=R3=CH3)
2-[2,4-дихлор-3-(2,4-диметил-8-хинолиноксиметил)бензолсульфонамидо]-2-метилпропионовая кислота.
ВЭЖХ: tR=9,09 мин; МС: [M+H]+=497,0.
Пример 12
(Промежуточное соединение формулы (7), в которой R4=H, R5=CH3, R2=R3=CH3)
2-[2,4-дихлор-3-(2-метил-8-хинолиноксиметил)бензолсульфонамидо]-2-метилпропионовая кислота.
ВЭЖХ: tR=8,34 мин; МС: [M+H]+=483,0, 1H ЯМР (CDCl3): 8,68 (д, 1H, J=8,6 Гц); 8,17 (д, 1H, J=8,7 Гц); 7,83 (т, 1H, J=8,1 Гц); 7,63 (д, 1H, J=8,7); 7,75-7,66 (м, 2H); 5,66 (с, 2H); 5,50 (с, 1H); 2,94 (с, 3H); 1,52 (с, 6H).
Пример 13
(Промежуточное соединение формулы (7), в которой R4=R5=CH3, R2 и R3 вместе с атомом углерода, к которому они присоединены, образуют циклопентил)
1-[2,4-дихлор-3-(2,4-диметил-8-хинолиноксиметил)]бензолсульфонамидо-1-циклопентанкарбоновая кислота.
ВЭЖХ: tR=9,969 мин; МС: [M+H]+=523,0.
Пример 14
(Промежуточное соединение формулы (7), в которой R4=H, R5=CH3, R2 и R3 вместе с атомом углерода, к которому они присоединены, образуют циклопентил)
1-[2,4-дихлор-3-(2-метил-8-хинолиноксиметил)]бензолсульфонамидо-1-циклопентанкарбоновая кислота.
ВЭЖХ: tR=13,18 мин (42,6%)-tR=13,35 мин (49,4%); МС: [M]–=507,0; 1H ЯМР (ДМСО): 12,57 (шир.с, 1H); 8,45 (с, 1H); 8,20 (д, 1H, J=8,4 Гц); 7,76 (д, 1H, J=8,6 Гц); 7,33-7,58 (м, 4H, J=77,1 Гц); 5,53 (с, 2H); 2,59 (с, 3H); 1,94-1,84 (м, 4H, J=42,3 Гц); 1,60-1,30 (м, 4H, J=92,8 Гц).
Пример 15
Промежуточное соединение трет-бутиловый эфир 4-{1-[2,4-дихлор-3-(2,4-диметилхинолин-8-илоксиметил)бензолсульфониламино]циклопентанкарбонил}пиперазин-1-карбоновой кислоты
К раствору в ДМФА (2 мл) продукта, описанного в примере 15 (0,12 ммоль), добавляют 22 мг (0,16 ммоль) HOAt и 29 мг (0,15 ммоль) EDC·HCl. Данную смесь перемешивают 0°C в течение примерно 30 мин, затем добавляют 32 мг (0,18 ммоль) трет-бутил-N-(пиперазинил)карбамата, разбавленного в 2 мл ДМФА. Данную смесь оставляют нагреваться при комнатной температуре и перемешивании на 4 ч. Выпаривают растворитель и продукт очищают препаративной хроматографией, используя колонку Simmetry Prep , набитую RP-18 10 мкм, и элюируя с градиентом воды в ацетонитриле от 90% до 50% в течение 40 мин со скоростью потока 10 мл/мин. Фракции, соответствующие требуемому продукту, объединяют и выпаривают растворитель, получая 48 мг продукта в виде бесцветного масла с 58% выходом.
ВЭЖХ: tR=16,68 мин; МС: |M+H]+=691,5; 1H ЯМР (ДМСО-d6) : 8,57 (1H, с); 8,02 (1H, д); 7,80 (1H, д); 7,66 (1H, д); 7,48 (1H, т); 7,35 (1H, д); 7,29 (1H, с); 5,54 (2H, с); 2,62 (3H, с); 2,55 (3H, с); 2,04-1,89 (2H, м); 1,82-1,66 (4H, м); 1,41 (9H, с).
Пример 16
2,4-Дихлор-3-(2,4-диметилхинолин-8-илоксиметил)-N-[1-(пиперазин-1-карбонил)циклопентил]бензолсульфонамид
Раствор 4 н. HCl в диоксане (2 мл) добавляют по каплям при комнатной температуре к метанольному раствору (4 мл) промежуточного соединения, описанного в Примере 15 (0,072 ммоль). Данную смесь продолжают перемешивать примерно в течение часа, затем выпаривают досуха при пониженном давлении; остаток переносят в раствор MeOH/толуол, который затем выпаривают, получая белое твердое вещество. Далее продукт промывают этиловым эфиром, фильтруют, распределяют между AcOEt (25 мл) и 5% водным раствором NaHCO3 (25 мл); две фазы разделяют и органическую фазу промывают 25 мл 5% водного раствора NaHCO3. Объединенные водные фазы подвергают обратному экстрагированию 25 мл AcOEt, наконец, объединенные органические фазы промывают насыщенным раствором соли, сушат над сульфатом натрия, фильтруют и выпаривают, получая при этом 25 мг бесцветного масла с выходом 66%.
ВЭЖХ: tR=8,34 мин; МС: [M+H]+=591,2; 1H ЯМР (ДМСО-d6): 8,83 (шир.с, 2H); 8,64 (с, 1H); 8,02 (д, 1H); 7,82 (д, 1H); 7,6-7,4 (м, 4H); 5,58 (с, 2H); 3,4-2,6 (6H); 1,98 (м, 2H); 1,72 (м, 2H); 1,43 (с, 4H).
Пример 17
2,4-Дихлор-N-(1,1-диметил-2-оксо-2-пиперазин-1-илэтил)-3-(2-метилхинолин-8-илоксиметил)бензолсульфонамид
ВЭЖХ: tR=5,98 мин; МС: [M+H]+=551,1; 1H ЯМР (ДМСО-d6): 8,85 (шир.с, 2H); 8,72 (с, 1H); 8,33 (шир.с, 1H); 8,07 (д, 1H); 7,82 (д, 1H); 7,63-7,40 (м, 4H); 5,58 (с, 2H); 3,17 (м, 4H); 2,66 (с, 3H); 1,23 (с, 6H).
Пример 18
Трифторацетат N-[2-[4-(2-(S)-Амино-6-диметиламиногексаноил)пиперазин-1-ил]-1,1-диметил-2-оксоэтил]-2,4-дихлор-3-(2-метилхинолин-8-илоксиметил)бензолсульфонамида
К раствору 2,6-бис-трет-бутилоксикарбониламиногексановой кислоты (0,060 ммоль) и HOAt (11 мг, 0,081 ммоль) в ДМФА (1 мл), охлажденному до 0°C, добавляют одной порцией EDC·HCl (17 мг, 0,089 ммоль). После перемешивания в течение 30 мин добавляют при 0°C соединение, описанное в примере 17 (21 мг, 0,037 ммоль), растворенное 2 мл ДМФА, и данную смесь выдерживают при такой температуре еще 30 мин, затем оставляют нагреваться при комнатной температуре.
Примерно через 18 ч перемешивание прекращают и удаляют ДМФА при пониженном давлении. Полученный остаток растворяют в 3 мл 0,1% водного раствора TFA и фильтруют через Anotop 25. Полученный водный раствор подвергают препаративной хроматографии, элюируя градиентом воды в ацетонитриле от 90% до 50% в течение 40 мин при скорости потока 10 мл/мин. Фракции, содержащие продукт, выделяют, объединяют и выпаривают растворитель, получая 20 мг продукта в виде бесцветного масла. Данное масло растирают с этиловым эфиром (3 мл) и фильтруют в атмосфере азота. Полученное твердое вещество промывают этиловым эфиром и сушат в токе азота, получая 8,8 мг белого твердого вещества (выход 26%). Затем удаляют Boc-группы, как в Примере 16.
1Н ЯМР (ДМСО-d6) : 9,38-9,26 (1H, шир.с); 8,72 (1H, с); 8,38-8,26 (1H, шир.с); 8,19-8,09 (3H, м;, 8,07 (1H, д); 7,83 (1H, д); 7,64-7,39 (4H, м); 5,58 (1H, с); 4,52-4,42 (1H, м); 3,04-2,95 (2H, м); 2,80-2,73 (6H, м); 2,69-2,62 (5H, м); 1,77-1,54 (4H, м); 1,43-1,21 (8H, м).
ВЭЖХ tR=8,16 мин; МС: [M+H]+=707,2.
Пример 19
Трис-трифторацетат N-{2-[4-(6-гуанидиногексил)пиперазин-1-ил]-1,1-диметил-2-оксоэтил}-2,4-дихлор-3-(2-метил-8-хинолиноксиметил)бензолсульфонамидо-2-метилпропионамида
ВЭЖХ: tR=6,46 мин; МС: [M+H]+=692,2.
1H ЯМР (ДМСО-d6) : 9,38-9,26 (1H, шир.с); 8,72 (1H, с); 8,38-8,26 (1H, шир.с); 8,19-8,09 (3H, м); 8,07 (1H, д); 7,83 (1H, д); 7,64-7,39 (4H, м); 5,58 (1H, с); 4,52-4,42 (1H, м); 3,04-2,95 (2H, м); 2,80-2,73 (6H, м); 2,69-2,62 (5H, м); 1,77-1,54 (4H, м); 1,43-1,21 (8H, м).
Пример 20
4-{2-[2,4-Дихлор-3-(2-метилхинолин-8-илоксиметил)бензолсульфониламино]-2-метилпропионил}пиперазин-1-карбоксамидин
ВЭЖХ: tR=6,34 мин; МС: [M+H]+=593,3; 1H ЯМР (ДМСО-d6): 8,71 (с, 1H); 8,06 (д, 1H); 7,82 (д, 1H); 7,6-7,4 (м, 5H); 5,57 (с, 2H); 3,6-3,5 (м, 4H); 2,63 (с, 3H); 1,23 (с, 6H).
Пример 21
Трис-трифторацетат N-[2-[4-(2-(S)-амино-5-гуанидинопентаноил)пиперазин-1-ил]-1,1-диметил-2-оксоэтил]-2,4-дихлор-3-(2-метил-8-хинолиноксиметил)бензолсульфонамида
ВЭЖХ: tR=7,62 мин; МС: [M+H]+=707,1. 1H ЯМР (ДМСО-d6) : 8,73 (1H, с); 8,42-8,32 (1H, шир.с); 8,26-8,16 (3H, шир.с); 8,07 (1H, д); 7,82 (1H, д); 7,66-7,00 (7H, м); 5,58 (1H, с); 3,19-3,09 (2H, м); 2,67 (3H, с); 1,80-1,45 (4H, м); 1,30-1,21 (6H, м).
Пример 22
Трис-трифторацетат N-{2-[4-(6-аминогексил)пиперазин-1-ил]-1,1-диметил-2-оксоэтил}-2,4-дихлор-3-(2-метил-8-хинолиноксииметил)бензолсульфонамида
ВЭЖХ: tR=6,02 мин; МС: [M+H]+=649,9. 1H ЯМР (ДМСО-d6) : 8,80 (1H, с); 8,08 (1H, д); 7,96-7,80 (3H, м); 7,83 (1H, д); 7,70-7,50 (3H, м); 5,60 (1H, с); 4,58 (2H, м); 3,12-3,03 (2H, м); 3,02-2,84 (1H, м); 2,81-2,69 (2H, м); 1,79 (2H, м); 1,60-1,50 (2H, м); 1,40-1,28 (4H, м); 1,25 (6H, с).
Пример 23
Трис-трифторацетат N-{2-[4-(пиперазин-2-ил)пиперазин-1-ил]-1,1-диметил-2-оксоэтил}-2,4-дихлор-3-(2-метил-8-хинолиноксиметил)бензолсульфонамида
ВЭЖХ: tR=7,54 мин; МС: [M+H]+=663,0. 1H ЯМР (ДМСО-d6) : 8,69 (1H, с); 8,53-8,31 (2H, м); 8,24-8,02 (1H, м); 8,07 (1H, д); 7,81 (1H, д); 7,69-7,41 (4H, м); 5,59 (2H, с); 3,29-3,19 (2H, м); 2,96-2,81 (2H, м); 2,68 (3H, м); 2,39-2,31 (2H, м); 2,06-1,93 (1H, м); 1,89-1,79 (2H, м); 1,39-1,18 (9H, м).
Пример 24
Бис-трифторацетат N-{2-[4-(пиперазин-1-илацетил)пиперазин-1-ил]-1,1-диметил-2-оксоэтил}-2,4-дихлор-3-(2-метил-8-хинолиноксиметил)бензолсульфонамида
ВЭЖХ: tR=7,67 мин; МС: [M+H]+=667,1. 1H ЯМР (ДМСО-d6) : 9,00-8,78 (1H, шир.с); 8,74 (1H, с); 8,44-8,21 (2H, шир.с); 8,07 (1H, д); 7,82 (1H, д); 7,67-7,40 (4H, м); 5,57 (1H, с); 3,66-3,45 (4H, м); 3,36-3,18 (3H, м); 3,12-2,98 (3H, м); 2,72-2,61 (3H, м); 1,70-1,60 (2H, м); 1,60-1,51 (1H, м); 1,30-1,21 (7H, м).
Пример 25
Бис-трифторацетат N-{2-[4-2-(пиперидин-4-илацетил)пиперазин-1-ил]-1,1-диметил-2-оксоэтил}-2,4-дихлор-3-(2-метил-8-хинолиноксиметил)бензолсульфонамида
ВЭЖХ: tR=8,32 мин; МС: [M+H]+=676,1;
1H ЯМР (ДМСО-d6) : 8,69 (1H, с); 8,53-8,31 (2H, м); 8,24-8,02 (1H, м); 8,07 (1H, д); 7,81 (1H, д); 7,69-7,41 (4H, м); 5,59 (2H, с); 3,29-3,19 (2H, м); 2,96-2,81 (2H, м); 2,68 (3H, м); 2,39-2,31 (2H, м); 2,06-1,93 (1Н, м); 1,89-1,79 (2H, м); 1,39-1,18 (9H, м).
Пример 26
Трис-трифторацетат N-{2-[4-[N-(4-пиперидил)глицил]пиперазин-1-ил]-1,1-диметил-2-оксоэтил}-2,4-дихлор-3-(2-метил-8-хинолиноксиметил)бензолсульфонамида
ВЭЖХ: tR=7,42 мин; МС: [M+H]+=691,2. 1H ЯМР (ДМСО-d6) : 9,16-9,01 (2H, м); 8,76-8,65 (2H, м); 8,43-8,22 (1H, м); 8,07 (1H, д); 7,82 (1H, д); 7,62-7,37 (4H, м); 5,56 (2H, с); 4,25-4,15 (2H, м); 3,01-2,88 (2H, м); 2,62 (3H, с); 2,27-2,18 (2H, м); 1,80-1,64 (2H, м); 1,25 (6H, с).
Пример 27
Тетратрифторацетат N-{2-[4-(4-(2-аминоэтил)пиперазин-1-ил)ацетил)пиперазин-1-ил]-1,1-диметил-2-оксоэтил}-2,4-дихлор-3-(2-метил-8-хинолиноксиметил)бензолсульфонамида
ВЭЖХ tR=7,59 мин; МС: [M+H]+=720,2; 1H ЯМР (ДМСО-d6) : 8,74 (1H, с); 8,52-8,32 (1H, шир.с); 8,08 (1H, д); 7,83 (1H, д); 7,79-7,45 (6H, м); 5,58 (2H, с); 3,69-3,55 (2H, м); 3,54-3,41 (2H, м); 3,00-2,90 (2H, м); 2,68 (3H, с); 2,65-2,54 (2H, м); 1,25 (6H, с).
Пример 28
Трис-трифторацетат N-{2-[4-(3-(R)-амино-6-гуанидиногексаноил)пиперазин-1-ил]-1,1-диметил-2-оксоэтил}-2,4-дихлор-3-(2-метил-8-хинолиноксиметил)бензолсульфонамида
ВЭЖХ: tR=7,42 мин; МС: [M+H]+=721,1; 1H ЯМР (ДМСО-d6) : 8,71 (1H, с); 8,35-8,24 (1H, шир.с); 8,23-8,02 (3H, м); 8,07 (1H, д); 7,82 (1H, д); 7,65-7,37 (5H, м); 5,57 (2H, с); 4,52-4,42 (1H, м); 3,13-3,04 (2H, м); 2,64 (3H, с); 1,76-1,63 (2H, м); 1,56-1,17 (11H, м).
Пример 29
Трис-трифторацетат N-{2-[4-(3-(S)-амино-6-диметиламиногексаноил)пиперазин-1-ил]-1,1-диметил-2-оксоэтил}-2,4-дихлор-3-(2-метил-8-хинолиноксиметил)бензолсульфонамида
ВЭЖХ: tR=7,64 мин; МС: [M+H]+=707,1. 1H ЯМР (ДМСО-d6) : 9,59-9,44 (1H, шир.с); 8,70 (1H, с); 8,24 (1H, шир.д); 8,06 (1H, д); 7,89-7,76 (4H, м); 7,60-7,28 (5H, м); 5,56 (2H, с); 3,09-3,00 (2H, м); 2,88-2,73 (7H, м); 2,66-2,59 (3H, м); 1,78-1,52 (4H, м); 1,30-1,21 (6H, м).
Пример 30
Трис-трифторацетат N-{2-[4-(3-(S)-амино-7-диметиламиногептаноил)пиперазин-1-ил]-1,1-диметил-2-оксоэтил}-2,4-дихлор-3-(2-метил-8-хинолиноксиметил)бензолсульфонамида
ВЭЖХ: tR=7,59 мин; МС: [M+H]+=721,2. 1H ЯМР (ДМСО-d6) : 9,52-9,40 (1H, шир.с); 8,70 (1H, с); 8,27 (1H, шир.д); 8,06 (1H, д); 7,84-7,71 (3H, м); 7,82 (1H, д); 7,61-7,28 (5H, м); 5,57 (2H, с); 3,04-2,96 (2H, м); 2,80-2,75 (6H, м); 2,63 (3H, с); 1,65-1,53 (4H, м); 1,40-1,30 (2H, м); 1,25 (6H, с).
Пример 31
Трис-трифторацетат N-(3-аминопропил)-4-{2-[2,4-дихлор-3-(2-метилхинолин-8-илоксиметил)бензолсульфониламино]-2-метилпропионил}пиперазин-1-карбоксамидина
ВЭЖХ: tR=8,5O мин; МС: [M+H]+=650,2; 1H ЯМР (ДМСО-d6) : 8,70 (1H, с); 8,36-8,27 (1H, м); 8,06 (1H, д); 7,85-7,71 (7H, м); 7,63-7,39 (4H, м); 5,58 (2H, с); 3,30-3,22 (2H, м); 2,90-2,79 (2H, м); 2,64 (3H, с); 1,85-1,74 (2H, м); 1,24 (6H, с).
Пример 32
Трис-трифторацетат N-{2-[4-(2-(S)-амино-5-диметиламинопентаноил))пиперазин-1-ил]-1,1-диметил-2-оксоэтил}-2,4-дихлор-3-(2-метил-8-хинолиноксиметил)бензолсульфонамида
ВЭЖХ: tR=7,28 мин; МС: [M+H]+=693,1. 1H ЯМР (ДМСО-d6) : 9,68-9,40 (1H, м); 8,76 (1H, с); 8,33-8,16 (4H, м); 8,06 (1H, д); 7,83 (1H, д); 7,62-7,35 (4H, м); 5,56 (2H, с); 4,60-4,45 (1H, м); 3,12-3,01 (2H, м); 2,79-2,73 (6H, м); 2,62 (3H, с); 1,78-1,59 (4H, м); 1,32-1,19 (6H, м).
Пример 33
(S)-N-{2-[1′-(2-Амино-5-гуанидинопентаноил)-[4,4′]бипиперидинил-1-ил]-1,1-диметил-2-оксоэтил}-2,4-дихлор-3-(2-метилхинолин-8-илоксиметил)бензолсульфонамид
ВЭЖХ: tR=7,96 мин; МС: [M+H]+=789,5; 1H ЯМР (ДМСО-d6): 8,57 (с, 1H); 8,22 (д, 1H); 8,06 (шир.с 2H); 8,05-8,04 (д, 1H); 7,80 (д, 1H); 7,56-7,36 (5H); 5,55 (с, 2H); 3,92-3,84 (м, 1H); 3,11-3,01 (м, 4H); 2,60 (с, 3H); 1,80-0,99 (22H).
Пример 34
2,4-Дихлор-N-(2-{4-[2-(3,5-диметилпиперазин-1-ил)этил]-3,5-диметилпиперазин-1-ил}-1,1-диметил-2-оксоэтил)-3-(2-метил-4a,8a-дигидрохинолин-8-илоксиметил)бензолсульфонамид
ВЭЖХ: tR=5,87 мин; МС: [M+H]+=719,2; 1H ЯМР (ДМСО-d6): 8,90 (д, 1H); 8,76 (с, 1H); 8,27-8,18 (м, 2H); 8,05 (д, 1H); 7,85 (д, 1H); 7,56-7,36 (3H); 5,57 (с, 2H); 2,62 (с, 3H); 2,00-2,04 (т, 2H); 1,34-1,16 (18H).
Пример 35
N-(2-{4-[4-(2-(S)-Амино-5-гуанидинопентаноил)пиперазин-1-ил]пиперидин-1-ил}-1,1-диметил-2-оксоэтил)-2,4-дихлор-3-(2-метилхинолин-8-илоксиметил)бензолсульфонамид
ВЭЖХ: tR=6,65 мин; МС: [M+H]+=790,4; 1H ЯМР (ДМСО-d6): 8,57 (с, 1H); 8,22 (д, 1H); 8,06 (шир.с, 2H); 8,05 (д, 1H); 7,80 (д, 1H); 7,56-7,36 (5H); 5,60 (с, 2H); 4,53-4,37 (4H); 2,62 (с, 3H); 1,82-1,45 (8H); 1,28-1,12 (9H).
Пример 36
[1-(4-Пиперазин-1-илпиперидин-1-карбонил)циклопентил]амид 2,4-дихлор-3-(2,4-диметилхинолин-8-илоксиметил)бензолсульфиновой кислоты
ВЭЖХ: tR=5,70 мин; МС: [M+H]+=674,3; 1H ЯМР (ДМСО-d6): 8,57 (с, 1H); 8,22 (д, 1H); 8,06 (шир.с, 2H); 8,04 (д, 1H); 7,80 (д, 1H); 7,56-7,36 (5H); 5,60 (с, 2H); 4,53-4,37 (4H); 2,62 (с, 3H); 1,82-1,45 (8H); 1,28-1,12 (9H).
Пример 37
(1-{4-[4-(2-(S)-Амино-6-гуанидиногексаноил)пиперазин-1-ил]пиперидин-1-карбонил}циклопентил)амид 2,4-дихлор-3-(2,4-диметилхинолин-8-илоксиметил)бензолсульфиновой кислоты
ВЭЖХ: tR=7,29 мин; МС: [M+H]+=844,4; 1H ЯМР (ДМСО-d6): 8,57 (с, 1H); 8,3-8,1 (шир.с, 3H); 8,02 (д, 1H); 7,82 (д, 1H); 5,58 (с, 2H); 4,65-4,48 (м, 4H); 3,08 (м, 1H); 2,69 (с, 3H); 2,61 (м, 3H).
Пример 38
(1-{4-[4-(2-(S)-Амино-5-гуанидинопентаноил)пиперазин-1-ил]пиперидин-1-карбонил}циклопентил)амид 2,4-дихлор-3-(2,4-диметилхинолин-8-илоксиметил)бензолсульфиновой кислоты
ВЭЖХ: tR=7,26 мин; МС: [M+H]+=830,4; 1H ЯМР (ДМСО-d6): 8,58 (с, 1H); 8,17 (шир.с, 3H); 8,02 (д, 1H); 7,82 (д, 1H); 5,58 (с, 2H); 4,65-4,28 (м, 5H); 3,11 (м, 1H); 2,69 (с, 3H); 2,61 (м, 3H).
Пример 39
[1-(4-Пиперидин-4-илпиперазин-1-карбонил)циклопентил]амид 2,4-дихлор-3-(2,4-диметилхинолин-8-илоксиметил)бензолсульфиновой кислоты
ВЭЖХ: tR=7,59 мин; МС: [M+H]+=674,3; 1H ЯМР (ДМСО-d6): 8,8-8,3 (шир.с, 3H); 8,02 (д, 1H); 7,82 (д, 1H); 7,80-7,25 (5H); 5,57 (с, 2H); 4,52 (шир.с, 2H); 2,92 (м, 4H); 2,66 (с, 3H); 2,59 (с, 3H); 2,30-1,60 (9H); 1,44 (м, 4H).
Пример 40
{2-[4-(2-Гуанидиноэтил)пиперазин-1-ил]-1,1-диметил-2-оксоэтил}амид 2,4-дихлор-3-(2-метилхинолин-8-илоксиметил)бензолсульфиновой кислоты
ВЭЖХ: tR=5,68 мин; МС: [M+H]+=636,3; 1H ЯМР (ДМСО-d6): 8,69 (с, 1H); 8,32 (шир.с, 1H); 8,06 (д, 1H); 7,82 (д, 1H); 7,6-7,4 (7H); 5,57 (с, 2H); 3,6-3,5 (м, 4H); 2,65 (с, 3H).
Пример 41
(2-{4-[2-(S)-Амино-5-(N’,N”-диэтилгуанидино)пентаноил]пиперазин-1-ил}-1,1-диметил-2-оксоэтил)амид 2,4-дихлор-3-(2-метилхинолин-8-илоксиметил)бензолсульфиновой кислоты
ВЭЖХ: tR=7,31 мин; МС: [M+H]+=763,4; 1H ЯМР (ДМСО-d6): 8,71 (с, 1H); 8,22 (м, 3H); 8,05 (д, 1H); 7,82 (д, 1H); 7,57 (д, 1H); 7,52-7,34 (5H); 5,55 (с, 2H); 4,50 (с, 1H); 3,19 (м, 4H); 2,62 (с,3H); 1,69 (м, 2H); 1,54 (м, 2H); 1,25 (с, 3H); 1,23 (с, 3H); 1,10 (т, 6H).
Пример 42
(2-{4-[2-R-Амино-5-(N’,N”-диэтилгуанидино)пентаноил]пиперазин-1-ил}-1,1-диметил-2-оксоэтил)амид 2,4-дихлор-3-(2-метилхинолин-8-илоксиметил)бензолсульфиновой кислоты
ВЭЖХ: tR=7,31 мин; МС: [M+H]+=763,3; 1H ЯМР (ДМСО-d6): 8,71 (с, 1H); 8,22 (м, 3H); 8,05 (д, 1H); 7,82 (д, 1H); 7,57 (д, 1H); 7,52-7,34 (5H); 5,55 (с, 2H); 4,50 (с, 1H); 3,19 (м, 4H); 2,62 (с, 3H); 1,69 (м, 2H); 1,54 (м, 2H); 1,25 (с, 3H); 1,23 (с, 3H); 1,10 (т, 6H).
Пример 43
(2S)-N-(1-{4-[2-Амино-6-(N’,N”-диэтилгуанидино)гексаноил]пиперазин-1-карбонил}циклопентил)-2,4-дихлор-3-(2,4-диметилхинолин-8-илоксиметил)бензолсульфонамид
ВЭЖХ: tR=8,47 мин; МС: [M+H]+=817,2; 1H ЯМР (ДМСО-d6): 8,62 (с, 1H); 8,14 (с, 3H); 8,02 (д, 1H); 7,74-7,22 (6H); 5,57 (с, 2H); 4,47 (м, 1H); 3,18 (м, 4H); 3,12 (м, 3H); 2,65 (с, 3H); 2,58 (с, 3H); 1,97 (м, 2H); 1,79-1,65 (4H); 1,56-1,25 (8H); 1,10 (т, 6H).
Пример 44
N-(1-{4-[2-(S)-Амино-6-(N’,N”-диэтилгуанидино)пентаноил]пиперазин-1-
карбонил}циклопентил)-2,4-дихлор-3-(2,4-диметилхинолин-8-илоксиметил)бензолсульфонамид
ВЭЖХ: tR=8,97 мин; МС: [M+H]+=803,2; 1H ЯМР (ДМСО-d6): 8,62 (с, 1H); 8,14 (с, 3H); 8,02 (д, 1H); 7,74-7,22 (6H); 5,57 (с, 2H); 4,47 (м, 1H); 3,18 (м, 4H); 3,12 (м, 3H); 2,65 (с, 3H); 2,58 (с, 3H); 1,97 (м, 2H); 1,79-1,65 (4H); 1,56-1,25 (8H); 1,10 (т, 6H).
Пример 45
N-[2-[4-(2-(S)-Амино-6-диметиламиногексаноил)пиперазин-1-ил]-1,1-диметил-2-оксоэтил]-2,4-дихлор-3-(2,4-диметилхинолин-8-илоксиметил)бензолсульфонамид
1H ЯМР (ДМСО-d6) : 9,58-9,44 (1H, шир.с); 8,73 (1H, с); 8,27-8,11 (3H, м); 8,07 (1H, д); 7,88-7,36 (5H, м); 5,60 (2H, с), 4,56-4,42 (1H, м); 3,07-2,94 (2H, м); 2,81-2,61 (12H, м); 1,79-1,54 (4H, м); 1,46-1,16 (10H, м). ВЭЖХ: tR=13,34 мин. МС: [M+H]+=721.
Пример 46
N-[2-[4-(3-(S)-Амино-6-диметиламиногексаноил)пиперазин-1-ил]-1,1-диметил-2-оксоэтил]-2,4-дихлор-3-(2,4-диметилхинолин-8-илоксиметил)бензолсульфонамид
1H ЯМР (ДМСО-d6) : 9,54-9,41 (1H, шир.с); 8,69 (1H, с); 8,06 (1H, д); 7,88-7,28 (7H, м); 5,57 (2H, с); 3,08-2,99 (2H, м); 2,88-2,73 (7H, м); 2,72-2,57 (6H, м); 1,76-1,53 (4H, м); 1,30-1,20 (7H, м).
ВЭЖХ: tR=13,56 мин. МС: [M+H]+=721.
Пример 47
N-[2-[4-(3-(S)-Амино-6-диметиламиногептаноил)пиперазин-1-ил]-1,1-диметил-2-оксоэтил]-2,4-дихлор-3-(2,4-диметилхинолин-8-илоксиметил)бензолсульфонамид
1H ЯМР (ДМСО-d6) : 9,51-9,37 (1H, шир.с); 8,69 (1H, с); 8,06 (1H, д); 7,87-7,29 (7H, м); 5,57 (2H, с); 3,05-2,95 (2H, м); 2,86-2,73 (7H, м); 2,73-2,55 (6H, м); 1,67-1,52 (4H, м); 1,43-1,29 (2H, м); 1,24 (6H, с).
ВЭЖХ: tR=13,56 мин. МС: [M+H]+=735.
Пример 48
N-[2-[4-(2-(S)-Амино-5-гуанидинопентаноил)пиперазин-1-ил]-1,1-диметил-2-оксоэтил]-2,4-дихлор-3-(2,4-диметилхинолин-8-илоксиметил)бензолсульфонамид
1H ЯМР (ДМСО-d6) : 8,72 (1H, с); 8,24-8,12 (3H, м); 8,07 (1H, д); 7,86-6,92 (9H, м); 5,60 (2H, с); 4,54-4,44 (1H, м); 3,19-3,07 (2H, м); 2,79-2,61 (6H, м); 1,77-1,46 (4H, м); 1,29-1,20 (6H, м).
ВЭЖХ: tR=8,32 мин. МС:[M+H]+=721.
Пример 49
N-[2-[4-(2-(S)-Амино-6-гуанидиногексаноил)пиперазин-1-ил]-1,1-диметил-2-оксоэтил]-2,4-дихлор-3-(2,4-диметилхинолин-8-илоксиметил)бензолсульфонамид
1H ЯМР (ДМСО-d6) : 8,71 (1H, с); 8,24-8,00 (4H, м); 7,88-6,74 (9H, м); 5,59 (2H, с); 4,54-4,40 (1H, м); 3,13-3,03 (2H, м); 2,76-2,59 (6H, м); 1,77-1,62 (2H, м); 1,54-1,43 (2H, м); 1,28-1,22 (6H, м).
ВЭЖХ: tR=8,38 мин. МС: [M+H]+=735.
Пример 50
N-[2-[4-(2-(S)-Амино-5-диметиламинопентаноил)пиперазин-1-ил]-1,1-диметил-2-оксоэтил]-2,4-дихлор-3-(2,4-диметилхинолин-8-илоксиметил)бензолсульфонамид
1H ЯМР (ДМСО-d6) : 9,53-9,40 (1H, шир.с); 8,72 (1H, с); 8,29-8,13 (3H, м); 8,06 (1H, д); 7,86-7,31 (4H, м); 5,58 (2H, с); 4,57-4,46 (1H, м); 3,12-3,01 (2H, м); 2,80-2,73 (6H, м); 2,73-2,60 (3H, м); 1,80-1,59 (4H, м); 1,33-1,19 (6H, м).
ВЭЖХ: tR=13,44 мин. МС: [M+H]+=707.
Пример 51
N-[2-[4-(2-(R)-Амино-5-гуанидинопентаноил)пиперазин-1-ил]-1,1-диметил-2-оксоэтил]-2,4-дихлор-3-(2-метилхинолин-8-илоксиметил)бензолсульфонамид
1H ЯМР (ДМСО-d6) : 8,72 (2H, шир.с); 8,32-8,42 (1H, шир.с); 8,16-8,22 (3H, шир.с); 8,17 (1H, д); 7,82 (1H, д); 7,71 (1H, шир.с); 7,76-6,89 (7H, м); 5,58 (2H, с); 4,49 (1H, шир.с); 3,13 (1H, шир.с); 1,63-1,77 (2H, шир.с); 1,44-1,61 (2H, шир.с); 1,24 (6H, с).
ВЭЖХ: tR=7,45 мин. МС: [M+H]+=709.
Пример 52
N-[2-[4-(3-(S)-Амино-6-гуанидиногексаноил)пиперазин-1-ил]-1,1-диметил-2-оксоэтил]-2,4-дихлор-3-(2-метилхинолин-8-илоксиметил)бензолсульфонамид
1Н ЯМР (ДМСО-d6) : 8,94 (2H, с); 8,71 (1H, с); 8,31 (1H, с); 8,08 (1H, д); 7,82 (1H, д); 7,75 (3H, шир.с); 7,63-7,45 (5H, м); 7,44 (1H, д); 7,35-6,60 (4H, м); 5,67 (2H, с); 3,10 (2H, м); 2,82 (2H, м); 2,63 (3H, с); 1,63-1,49 (4H, м); 1,24 (6H, с).
ВЭЖХ: tR=7,79 мин. МС: [M+H]+=721.
Пример 53
N-[2-[4-(3-(S)-Амино-7-гуанидиногептаноил)пиперазин-1-ил]-1,1-диметил-2-оксоэтил]-2,4-дихлор-3-(2-метилхинолин-8-илоксиметил)бензолсульфонамид
1H ЯМР (ДМСО-d6) : 8,95 (2H, с); 8,59 (1H, с); 8,30 (1H, шир.с); 8,06 (1H, д); 7,82 (1H, д); 7,75 (3H, шир.с); 7,65-7,38 (6H, м); 7,37-6,73 (3H, м); 5,68 (2H, с); 3,07 (2H, м); 2,80 (1H, м); 2,67 (1H, м); 2,63 (3H, с); 1,63-1,29 (6H, м); 1,29-1,18 (6H, с).
ВЭЖХ: tR=7,90 мин. МС: [M+H]+=735.
Пример 54
N-{2-[4-(4-[2-(Гуанидино)этил]пиперазин-1-илацетил)пиперазин-1-ил]-1,1-диметил-2-оксоэтил}-2,4-дихлор-3-(2-метилхинолин-8-илоксиметил)бензолсульфонамид
1H ЯМР (ДМСО-d6) : 8,62 (1H, шир.с); 8,25 (1H, шир.с); 8,23 (1H, д); 8,05 (1H, д); 7,76 (1H, д); 7,60-7,33 (5H, м); 7,18-6,99 (5H, шир.с); 5,68 (2H, с); 4,06 (2H, шир.с); 3,58 (2H, шир.с); 3,34 (2H, м); 3,17 (4H, шир.с); 2,89 (4H, шир.с); 2,73 (2H, м); 2,67 (3H, с); 1,31 (6H, с).
ВЭЖХ: tR=7,75 мин. МС: [M+H]+=762.
Пример 55
Трис-трифторацетат N-[1-[4-(2-(S)-амино-5-гуанидинопентаноил)пиперазин-1-карбонил]циклопентил]-2,4-дихлор-3-(2-метилхинолин-8-илоксиметил)бензолсульфонамида
1H ЯМР (ДМСО-d6) d: 8,64 (1H, с); 8,26 (1H, д); 8,15 (2H, шир.с); 8,05 (1H, д); 7,83 (1H, д); 7,66-7,36 (5H, м); 7,34-6,85 (5H, шир.с); 5,68 (2H, с); 4,50 (1H, шир.с); 3,14 (2H, с); 2,63 (3H, с); 2,07-1,38 (12H, м).
ВЭЖХ: tR=10,63 мин. МС: [M+H]+=733.
Пример 56
Трис-трифторацетат N-[1-[4-(2-(S)-амино-6-гуанидиногексаноил)пиперазин-1-карбонил]циклопентил]-2,4-дихлор-3-(2-метилхинолин-8-илоксиметил)бензолсульфонамида
1H ЯМР (ДМСО-d6) : 8,64 (1H, с); 8,28 (1H, шир.с); 8,14 (2H, шир.с); 8,03 (1H, д); 7,83 (1H, д); 7,63-7,38 (5H, м); 7,37-6,82 (5H, м); 5,68 (2H, с); 4,47 (1H, шир.с); 3,07 (2H, м); 2,62 (3H, с); 2,04-1,90 (2H, шир.с); 1,84-1,59 (4H, шир.с); 1,56-1,37 (8H, м).
ВЭЖХ: tR=10,98 мин. МС: [M+H]+=747.
Пример 57
Трис-трифторацетат N-[1-[4-(2-(S)-амино-6-диметиламиногексаноил)пиперазин-1-ил]циклопентил]-2,4-дихлор-3-(2-метилхинолин-8-илоксиметил)бензолсульфонамида
1H ЯМР (ДМСО-d6) : 9,50 (1H, шир.с); 8,65 (1H, с); 8,26 (1H, д); 8,22-8,11 (2H, м); 8,03 (1H, д); 7,83 (1H, д); 7,62-7,35 (5H, м); 5,68 (2H, с); 4,56-4,41 (1H, шир.с); 3,09-2,92 (2H, шир.с); 2,77 (6H, с); 2,62 (3H, с); 2,07-1,24 (16H, м).
ВЭЖХ: tR=8,19 мин. МС: [M+H]+=733.
Пример 58
Трис-трифторацетат N-[1-[4-(2-(S)-амино-6-гуанидиногексаноил)пиперазин-1-карбонил]циклопентил]-2,4-дихлор-3-(2,4-диметилхинолин-8-илоксиметил)бензолсульфонамида
1H ЯМР (ДМСО-d6) : 8,65 (1H, с); 8,14 (3H, шир.с); 8,04 (1H, д); 7,83 (1H, д); 7,81-7,44 (5H, м); 7,39-6,76 (3H, с); 5,50 (2H, с); 4,46 (1H, шир.с); 3,07 (2H, м); 2,72 (3H, с); 2,67 (3H, с); 2,03-1,91 (2H, м); 1,80-1,61 (4H, м); 1,53-1,25 (10H, м).
ВЭЖХ: tR=8,80 мин. МС: [M+H]+=761.
Пример 59
Трис-трифторацетат N-[1-[4-(2-(S)-амино-6-диметиламиногексаноил)пиперазин-1-ил]циклопентил]-2,4-дихлор-3-(2,4-диметилхинолин-8-илоксиметил)бензолсульфонамида
1H ЯМР (ДМСО-d6) : 9,44 (1H, шир.с); 8,64 (1H, с); 8,23-8,10 (3H, шир.с); 8,03 (1H, д); 7,83 (1H, д); 7,75 (1H, шир.с); 7,69-7,33 (8H, м); 5,59 (2H, с); 4,48 (1H, шир.с); 3,00 (1H, м); 2,78 (6H, с); 2,74-2,58 (4H, м); 2,60 (6H, с); 2,06-1,23 (14H, м).
ВЭЖХ: tR=8,96 мин. МС: [M+H]+=747.
Пример 60
Трис-трифторацетат (R)-N-[4-(2-(S)-амино-6-гуанидиногексаноил)пиперазин-1-карбонил]-1-метилпропил]-2,4-дихлор-3-(2,4-диметилхинолин-8-илоксиметил)бензолсульфонамида
1Н ЯМР (ДМСО-d6) : 8,60 (1H, с); 8,13 (3H, шир.с); 8,06 (1H, д); 7,82 (1H, д); 7,79-6,70 (8H, м); 5,59 (2H, с); 4,46 (1H, шир.с); 4,33-3,34 (8H, м); 3,07 (2H, м); 2,71 (3H, с); 2,56 (3H, с); 1,86-1,20 (8H, м); 1,09 (3H, с); 0,69 (3H, т).
ВЭЖХ: tR=8,77 мин. МС: [M+H]+=749.
Пример 61
Трис-трифторацетат (R)-N-[1-[4-(2-(S)-амино-6-диметиламиногексаноил)пиперазин-1-карбонил]-1-метилпропил]-2,4-дихлор-3-(2,4-диметилхинолин-8-илоксиметил)бензолсульфонамида
1H ЯМР (ДМСО-d6) : 9,43 (1H, с); 8,60 (1H, с); 8,15 (3H, шир.с); 8,05 (1H д); 7,82 (1H, д); 7,78-7,31 (4H, м); 5,58 (2H, с); 4,47 (1H, с); 3,74 (8H, м); 3,00 (2H, м); 2,77 (6H, с); 2,68 (3H, с); 2,60 (3H, с); 1,87-1,53 (8H, м); 1,10 (3H, с); 0,71 (3H, т).
ВЭЖХ: tR=8,53 мин. МС: [M+H]+=735.
Пример 62
Тетратрифторацетат N-{2-[4-(4-[2-(гуанидино)этил]пиперазин-1-илацетил)пиперазин-1-карбонил]циклопентил}-2,4-дихлор-3-(2,4-диметилхинолин-8-илоксиметил)бензолсульфонамида
1H ЯМР (ДМСО-d6) : 8,45 (1H, с); 8,02 (1H, д); 7,77 (1H, д); 7,76-7,33 (4H, м); 7,25-7,12 (4H, шир.с); 5,68 (2H, с); 4,25-4,10 (2H, шир.с); 3,75-2,76 (16H, м); 2,75 (3H, с); 2,70 (3H, с); 2,10-0,90 (8H, м).
ВЭЖХ: tR=8,90 мин. МС: [M+H]+=802.
Пример 63
Трис-трифторацетат N-[1-[4-(2-(R)-амино-6-аминогексаноил)пиперазин-1-карбонил]циклопентил]-2,4-дихлор-3-(2,4-диметилхинолин-8-илоксиметил)бензолсульфонамида
1H ЯМР (ДМСО-d6) : 8,42 (1H, с); 8,09 (3H, шир.с); 8,02 (1H, д); 7,78 (1H, д); 7,72 (1H, д); 7,70 (3H, шир.с); 7,51 (1H, т); 7,39 (1H, д); 7,34 (1H, с); 5,53 (2H, с); 4,41 (1H, шир.с); 3,84-3,46 (8H, м); 2,80 (2H, шир.с); 2,68 (3H, с); 2,62 (3H, с); 1,85-1,23 (14H, м).
ВЭЖХ: tR=8,58 мин. МС: [M+H]+=719.
Пример 64
Трис-трифторацетат N-[1-[4-(2-(R)-амино-6-гуанидиногексаноил)пиперазин-1-карбонил]циклопентил]-2,4-дихлор-3-(2,4-диметилхинолин-8-илоксиметил)бензолсульфонамида
1H ЯМР (ДМСО-d6) : 8,42 (1H, с); 8,08 (3H, шир.с); 8,02 (1H, д); 7,79 (1H, д); 7,74 (1H, д); 7,50-7,34 (3H, м); 7,07-6,93 (4H, шир.с); 5,54 (2H, с); 4,42 (1H, шир.с); 3,73 (8H, м); 3,11 (2H, м); 2,68 (3H, с); 2,63 (3H, с); 2,08-1,22 (14H, м).
ВЭЖХ: tR=8,74 мин. МС: [M+H]+=761.
Пример 65
Трис-трифторацетат N-[2-[4-(3-(S)-амино-6-гуанидиногексаноил)пиперазин-1-карбонил]циклопентил]-2,4-дихлор-3-(2,4-диметилхинолин-8-илоксиметил)бензолсульфонамида
1H ЯМР (ДМСО-d6) : 8,44 (1H, с); 8,02 (1H, д); 7,79 (1H, д); 7,77-7,67 (3H, м); 7,50 (1H, т); 7,43 (1H, т); 7,37 (1H, д); 7,32 (1H, шир.с); 7,10-6,90 (4H, шир.с); 5,61 (2H, с); 3,77-3,41 (9H, м); 3,02 (2H, м); 2,79-2,68 (2H, м); 2,66 (3H, с); 2,59 (3H, с); 2,06-1,37 (12H, м).
ВЭЖХ: tR=9,02 мин. МС:[M+H]+=761.
Пример 66
Трис-трифторацетат N-[2-[4-(3-(S)-амино-6-диметиламиногексаноил)пиперазин-1-карбонил]циклопентил]-2,4-дихлор-3-(2,4-диметилхинолин-8-илоксиметил)бензолсульфонамида
1H ЯМР (ДМСО-d6) : 9,47 (1H, шир.с); 8,61 (1H, с); 8,03 (1H, д); 7,82 (1H, д); 7,81 (3H, с); 7,68 (1H, д); 7,51 (1H, т); 7,39 (1H, д); 7,32 (1H, шир.с); 5,55 (2H, с); 3,52 (8H, м); 3,03-2,84 (2H, шир.с); 2,76 (3H, с); 2,63 (3H, с); 2,56 (3H, с); 2,03-1,34 (10H, м).
ВЭЖХ: tR=8,85 мин. МС: [M+H]+=747.
Пример 67
Бис-трифторацетат N-[1-[4-(6-гуанидиногексаноил)пиперазин-1-карбонил]циклопентил]-2,4-дихлор-3-(2,4-диметилхинолин-8-илоксиметил)бензолсульфонамида
1H ЯМР (ДМСО-d6) : 8,44 (1H, с); 8,02 (1H, д); 7,79 (1H, д); 7,76-7,32 (5H, м); 7,05-6,84 (4H, шир.с); 5,55 (2H, с); 3,66-3,47 (8H, м); 3,10 (2H, м); 2,68 (3H, с); 2,52 (3H, с); 2,38-2,32 (2H, м); 2,08-1,23 (14H, м).
ВЭЖХ: tR=10,17 мин. МС: [M+H]+=746.
Пример 68
Трис-трифторацетат N-[2-[4-(2-(S)-амино-6-аминогексаноил)пиперазин-1-ил]-1,1-диметил-2-оксоэтил]-2,4-дихлор-3-(2-метилхинолин-8-илоксиметил)бензолсульфонамида
1H ЯМР (ДМСО-d6) : 8,72 (1H, м); 8,37-8,28 (1H, д); 8,18-8,11 (3H, д); 8,07 (1H, д); 7,83 (1H, д); 7,76-7,67 (3H, шир.с); 7,64-7,40 (4H, м); 5,49 (2H, с); 4,45 (1H, с); 3,65-3,43 (8H, м); 2,83-2,72 (2H, м); 2,65 (3H, с); 1,77-1,31 (6H, м); 1,25 (6H, с).
ВЭЖХ: tR=7,30 мин. МС: [M+H]+=679.
Пример 69
Трис-трифторацетат N-[2-[4-(2-(S)-гуанидино-6-гуанидиногексаноил)пиперазин-1-ил]-1,1-диметил-2-оксоэтил]-2,4-дихлор-3-(2-метилхинолин-8-илоксиметил)бензолсульфонамида
1H ЯМР (ДМСО-d6) : 8,44 (1H, с); 8,24 (1H, д); 8,06 (1H, д); 7,79 (1H, д); 7,58 (1H, д); 7,61-7,34 (4H, м); 5,65 (2H, с); 4,78 (1H, м); 3,95-3,46 (8H, м); 3,11 (2H, м); 2,65 (3H, с); 1,79-1,31 (6H, м); 1,28 (6H, с).
ВЭЖХ: tR=8,04 мин. МС: [M+H]+=763.
Пример 70
Трис-трифторацетат (R)-N-[4-(3-(S)-амино-6-гуанидиногексаноил)пиперазин-1-карбонил]-1-метилпропил]-2,4-дихлор-3-(2,4-диметилхинолин-8-илоксиметил)бензолсульфонамида
1H ЯМР (ДМСО-d6) : 8,29 (1H, с); 8,64 (1H, д); 7,78 (1H, д); 7,77-7,69 (3H, м); 7,56-7,31 (4H, м); 7,10-6,96 (4H, шир.с); 5,64 (2H, с); 3,74-3,14 (11H, м); 2,86-2,76 (2H, м); 2,68 (3H, с); 2,62 (3H, с); 1,91-1,53 (6H, м); 1,14 (6H, с).
ВЭЖХ: tR=9,00 мин. МС: [M+H]+=749.
Пример 71
Тетратрифторацетат (R)-N-{2-[4-(4-[2-(гуанидино)этил]пиперазин-1-илацетил)пиперазин-1-карбонил]-1-метилпропил]}-2,4-дихлор-3-(2,4-диметилхинолин-8-илоксиметил)бензолсульфонамида
1H ЯМР (ДМСО-d6) : 8,32 (1H, с); 8,05 (1H, д); 7,78 (1H, д); 7,76-7,33 (5H, м); 7,20-7,07 (4H, м); 5,65 (2H, с); 4,24-4,03 (2H, шир.с); 3,65-3,68 (8H, м); 3,00-2,77 (4H, м); 2,59 (3H, с); 2,54 (3H, с); 1,92-1,77 (1H, м); 1,75-1,63 (1H, м); 1,13 (3H, с); 0,72 (3H, с).
ВЭЖХ: tR=8,94 мин. МС: [M+H]+=790.
Пример 72
Трис-трифторацетат (R)-N-[4-(3-(S)-амино-6-аминогексаноил)пиперазин-1-карбонил]-1-метилпропил]-2,4-дихлор-3-(2,4-диметилхинолин-8-илоксиметил)бензолсульфонамида
1H ЯМР (ДМСО-d6) : 8,58 (1H, с); 8,06 (1H, д); 7,87-7,47 (12H, м); 5,60 (2H, м); 2,84-2,57 (11H, м); 1,87-1,64 (2H, м); 1,66-1,58 (4H, шир.с); 1,09 (3H, шир.с); 0,69 (3H, т).
ВЭЖХ: tR=8,72 мин. МС: [M+H]+=707.
Пример 73
Трис-трифторацетат (R)-N-[4-(3-(S)-гуанидино-6-гуанидиногексаноил)пиперазин-1-карбонил]-1-метилпропил]-2,4-дихлор-3-(2,4-диметилхинолин-8-илоксиметил)бензолсульфонамида
1H ЯМР (ДМСО-d6) : 8,30 (1H, с); 8,05 (1H, д); 7,77 (1H, д); 7,72 (1H, д); 7,58-7,31 (5H, м); 7,14-6,88 (8H, шир.с); 5,64 (2H, с); 3,97-3,86 (1H, шир.с); 3,79-3,44 (8H, м); 3,17-3,10 (3H, м); 2,67 (3H, с); 2,66 (2H, м); 2,66 (2H, м); 2,61 (3H, с); 1,90-1,58 (2H, м); 1,58-1,46 (4H, шир.с); 1,13 (3H, с); 0,72 (3H, т).
ВЭЖХ: tR=9,22 мин. МС: [M+H]++=396.
Пример 74
Трис-трифторацетат (R)-N-[4-(3-(S)-амино-6-диметиламиногексаноил)пиперазин-1-карбонил]-1-метилпропил]-2,4-дихлор-3-(2,4-диметилхинолин-8-илоксиметил)бензолсульфонамида
1H ЯМР(ДМСО-d6) : 9,48-9,37 (1H, шир.с); 8,57 (1H, с); 8,05 (1H, д); 7,82 (1H, д); 7,83-7,26 (7H, м); 5,58 (1H, м); 3,83-3,56 (8H, м); 3,09-2,97 (2H, м); 2,77 (6H, с); 2,67 (6H, с); 1,87-1,48 (6H, м); 1,08 (3H, с); 0,70 (3H, т).
ВЭЖХ: tR=8,81 мин. МС: [M+H]+=735.
Пример 75
Трис-трифторацетат (S)-N-[4-(2-(S)-амино-6-гуанидиногексаноил)пиперазин-1-карбонил]-1-метилпропил]-2,4-дихлор-3-(2,4-диметилхинолин-8-илоксиметил)бензолсульфонамида
1H ЯМР (ДМСО-d6) : 8,32 (1H, с); 8,13-8,06 (3H, шир.с); 8,04 (1H, д); 7,78 (1H, д); 7,76-7,36 (5H, м); 7,09-6,93 (4H, шир.с); 5,64 (2H, с); 4,47-4,38 (1H, шир.с); 3,96-3,75 (8H, м); 3,12 (2H, м); 2,70 (3H, с); 2,64 (3H, с); 1,91-1,32 (8H, м); 1,14 (3H, с); 0,72 (3H, т).
ВЭЖХ: tR=8,64 мин. МС: [M+H]+=749.
Пример 76
Трис-трифторацетат (S)-N-[4-(3-(S)-амино-6-гуанидиногексаноил)пиперазин-1-карбонил]-1-метилпропил]-2,4-дихлор-3-(2,4-диметилхинолин-8-илоксиметил)бензолсульфонамида
1H ЯМР (ДМСО-d6) : 8,32 (1H, с); 8,11-8,03 (3H, шир.с); 8,04 (1H, д); 7,78 (1H, д); 7,71 (1H, д); 7,50 (1H, т); 7,39 (1H, т); 7,32 (1H, шир.с); 7,06-6,90 (4H, шир.с); 5,63 (2H, с); 4,47-4,38 (1H, шир.с); 3,94-3,48 (8H, м); 3,11 (2H, м); 2,67 (3H, с); 2,59 (3H, с); 1,78-1,32 (6H, м); 1,13 (3H, с); 0,72 (3H, т).
ВЭЖХ: tR=8,94 мин. МС: [M+H]+=749.
Пример 77
Трис-трифторацетат 2,4-дихлор-N-{1-[4-(3(S),6-диаминогексаноил)пиперазин-1-карбонил]циклопентил}-3-(2,4-диметилхинолин-8-илоксиметил)бензолсульфонамида
1H ЯМР (ДМСО-d6) : 8,62 (1H, с); 8,04 (1H, д); 7,90-7,32 (12H, м); 5,59 (2H, с); 3,58-3,41 (8H, м); 2,86-2,56 (9H, м); 2,03-1,21 (12H, м).
ВЭЖХ: tR=8,79 мин. МС: [M+H]+=719.
Пример 78
Трис-трифторацетат 2,4-Дихлор-N-{1-[4-(3(S),6-дигуанидиногексаноил)пиперазин-1-карбонил]циклопентил}-3-(2,4-диметилхинолин-8-илоксиметил)бензолсульфонамида
1H ЯМР (ДМСО-d6) : 8,60 (1H, с); 8,03 (1H, д); 7,82 (1H, д); 7,78-6,72 (15H, м); 5,57 (2H, с); 3,95-3,83 (1H, шир.с); 3,15-2,56 (4H, м); 2,68 (6H, с); 2,03-1,91 (2H, м); 1,79-1,67 (2H, м); 1,54-1,36 (8H, м).
ВЭЖХ: tR=9,28 мин. МС: [M+H]+=803.
Пример 79
(Соединение общей формулы (I) с R4=R5=CH3, X=Cl, R1=H, B= R13=-COY, Y1=NR14R18R19, T=NR7R8, p=4, R14=R18=R19=CH3, R7=R8=H)
трис-трифторацетат N-{1-[4-(2-(S)-амино-6-триметиламмонийгексаноил)пиперазин-1-карбонил]циклопентил}-2,4-дихлор-3-(2,4-диметилхинолин-8-илоксиметил)бензолсульфонамида
1H ЯМР (ДМСО-d6) : 8,66 (1H, с); 8,27-8,12 (3H, шир.с); 8,04 (1H, д); 7,84 (1H, д); 7,81-7,37 (4H, м); 5,60 (2H, с); 4,60-4,42 (1H, шир.с); 3,70-3,42 (8H, м); 3,24 (2H, м); 3,15 (9H, с); 2,75 (3H, с); 2,67 (3H, с); 2,04-1,93 (2H, м); 1,82-1,22 (14H, м).
ВЭЖХ: tR=8,61 мин. МС: [M]+=761.
Пример 80
Трис-трифторацетат N-(1-{4-[3-(S),6-бис-(N’,N”-дициклогексилгуанидино)гексаноил]пиперазин-1-карбонил}циклопентил)-2,4-дихлор-3-(2,4-диметилхинолин-8-илоксиметил)бензолсульфонамида
1H ЯМР (ДМСО-d6) : 8,59 (1H, с); 8,02 (1H, д); 7,82 (1H, д); 7,77-6,88 (10H, м); 5,58 (2H, с); 3,52-3,36 (8H, м); 3,26-3,14 (2H, м); 2,82-2,57 (6H, м); 2,04-1,90 (2H, м); 1,87-1,00 (52H, м).
ВЭЖХ: tR=16,91 мин. МС: [M+H]+=1131.
Пример 81
Трис-трифторацетат N-{1-[4-(2-(S)-амино-3-пиперидин-4-илпропионил)пиперазин-1-карбонил]циклопентил}-2,4-дихлор-3-(2,4-диметилхинолин-8-илоксиметил)бензолсульфонамида
1H ЯМР (ДМСО-d6) : 8,65-8,45 (1H, шир.с); 8,40 (1H, с); 8,38-8,20 (3H, м); 8,02 (1H, д); 7,82 (1H, м); 7,78 (3H, м); 7,72 (1H, д); 5,58 (2H, с); 4,40 (1H, м); 3,80-3,52 (8H, м); 3,40-3,25 (2H, м); 2,89 (6H, с); 2,20-1,28 (15H, м).
ВЭЖХ: tR=8,85 мин. МС: [M+H]+=745.
Пример 82
Бис-трифторацетат N-{1-[4-(2-триметиламмонийацетил)пиперазин-1-карбонил]циклопентил}-2,4-дихлор-3-(2,4-диметилхинолин-8-илоксиметил)бензолсульфонамида
1H ЯМР (ДМСО-d6) : 8,27 (1H, с); 8,03 (1H, д); 7,77 (1H, д); 7,74-7,37 (4H, м); 5,69 (2H, с); 4,51 (2H, с); 3,75-3,47 (8H, м); 3,29 (9H, с); 2,70 (3H, с); 2,66 (3H, с); 2,11-2,01 (2H, м); 1,84-1,73 (2H, м); 1,53-1,43 (4H, м).
ВЭЖХ: tR=9,64 мин. МС: [M]+=690.
Пример 83
Бис-трифторацетат N-{1-[4-(4-триметиламмонийбутаноил)пиперазин-1-карбонил]циклопентил}-2,4-дихлор-3-(2,4-диметилхинолин-8-илоксиметил)бензолсульфонамида
1H ЯМР (ДМСО-d6) : 8,25 (1H, с); 8,02 (1H, д); 7,82-7,70 (2H, м); 7,58-7,33 (3H, м); 5,68 (2H, с); 3,64 (4H, шир.с); 3,55 (4H, шир.с); 3,37-3,28 (2H, м); 3,10 (9H, с); 2,69 (3H, с); 2,65 (3H, с); 2,50-2,44 (2H, м); 2,11-1,73 (6H, м); 1,55-1,42 (4H, шир.с).
ВЭЖХ: tR=9,71 мин. МС: [M]+=718.
Пример 84
Бис-трифторацетат N-{1-[4-(3(R)-гидрокси-4-триметиламмонийбутаноил)пиперазин-1-карбонил]циклопентил}-2,4-дихлор-3-(2,4-диметилхинолин-8-илоксиметил)бензолсульфонамида
1H ЯМР (ДМСО-d6) : 8,27 (1H, с); 8,02 (1H, д); 7,77 (1H, д); 7,76-7,33 (4H, м); 5,68 (2H, с); 4,55-4,47 (1H, м); 3,69-3,49 (8H, м); 3,40 (2H, с); 3,18 (9H, с); 2,58 (3H, с); 2,54 (3H, с); 2,11-2,00 (2H, м); 1,84-1,73 (2H, м); 1,51-1,43 (4H, м).
ВЭЖХ: tR=9,44 мин. МС: [M]+=734.
Пример 85
Трис-трифторацетат N-[1-[4-(2-(S)-диметиламино-6-диметиламиногексаноил)пиперазин-1-ил]циклопентил]-2,4-дихлор-3-(2,4-диметилхинолин-8-илоксиметил)бензолсульфонамида
1H ЯМР (ДМСО-d6) : 9,40 (1H, шир.с); 8,32 (1H, с); 8,02 (1H, д); 7,77 (1H, д); 7,76-7,33 (4H, м); 5,68 (2H, с); 4,48 (1H, шир.с); 3,89-3,45 (8H, м); 3,18-3,04 (2H, м); 2,81 (3H, с); 2,79 (3H, с); 2,68 (3H, с); 2,64 (3H, с); 2,09-1,28 (10H, м).
ВЭЖХ: tR=8,65 мин. МС: [M+H]+=775.
Пример 86
Трис-трифторацетат {5-[(1-{1-[2,4-дихлор-3-(2,4-диметилхинолин-8-илоксиметил)бензолсульфониламино]циклопентанкарбонил}пиперидин-4-илметил)диметиламмоний]пентил}триметиламмония
ВЭЖХ: tR=7,60 мин. МС: [M+H]+=775,9.
Пример 87
Бис-трифторацетат {5-[(1-{1-[2,4-дихлор-3-(2,4-диметилхинолин-8-илоксиметил)бензолсульфониламино]циклопентанкарбонил}пиперидин-4-карбонил)амино]пентил}триметиламмония
ВЭЖХ: tR=8,20 мин. МС: [M+H]+=761,8.
Пример 88
Трис-трифторацетат N-[1-[4-(2-(S)-триметиламмоний-6-триметиламмонийгексаноил)пиперазин-1-ил]циклопентил]-2,4-дихлор-3-(2,4-диметилхинолин-8-илоксиметил)бензолсульфонамида
1H ЯМР (ДМСО-d6) : 8,32 (1H, с); 8,02 (1H, д); 7,78 (1H, д); 7,73 (1H, д); 7,59-7,31 (3H, м); 5,68 (2H, с); 4,68-4,60 (1H, м); 4,01-3,56 (8H, м); 3,36-3,28 (2H, м); 3,22 (9H, с); 3,08 (9H, с); 2,68 (3H, с); 2,63 (3H, с); 2,13-1,43 (14H, м).
ВЭЖХ: tR=8,80 мин. МС: [M]++=402.
Пример 89
Трис-трифторацетат N-[1-[4-(2-(R)-триметиламмоний-6-триметиламмонийгексаноил)пиперазин-1-ил]циклопентил]-2,4-дихлор-3-(2,4-диметилхинолин-8-илоксиметил)бензолсульфонамида
1H ЯМР (ДМСО-d6) : 8,30 (1H, с); 8,02 (1H, д); 7,81-7,69 (2H, м); 7,52 (1H, т); 7,43-7,34 (2H, м); 5,67 (2H, с); 4,64 (1H, дд); 3,35-3,28 (1H, м); 3,22 (9H, с); 3,07 (9H, с); 2,68 (3H, с); 2,64 (3H, с); 2,12-1,97 (3H, м); 1,84-1,72 (3H, м); 1,54-1,43 (4H, м); 1,41-1,27 (1H, м); 1,27-1,13 (1H, м).
ВЭЖХ: tR=7,26 мин. МС: [M]++=402.
Пример 90
Трис-трифторацетат N-[1-[4-(2-(S)-Триметиламмоний-6-аминогексаноил)пиперазин-1-ил]циклопентил]-2,4-дихлор-3-(2,4-диметилхинолин-8-илоксиметил)бензолсульфонамида
1H ЯМР (ДМСО-d6) : 8,35 (1H, с); 8,07 (1H, д); 8,01-7,94 (1H, м); 7,87 (2H, с); 7,80 (1H, д); 7,77-7,59 (3H, шир.с); 5,74 (2H, с); 4,65-4,58 (1H, м); 3,98-3,51 (8H, м); 3,22 (9H, с); 2,91 (6H, с); 2,82-2,80 (2H, м); 2,13-1,41 (14H, м).
ВЭЖХ: tR=8,64 мин. МС: [M]+=761.
Пример 91
Бис-трифторацетат N-{1-[4-(6-триметиламмонийгексаноил)пиперазин-1-карбонил]циклопентил}-2,4-дихлор-3-(2,4-диметилхинолин-8-илоксиметил)бензолсульфонамида
1H ЯМР (ДМСО-d6) : 8,30 (1H, с); 8,07 (1H, д); 8,02-7,94 (1H, м); 7,91-7,76 (4H, м); 5,74 (2H, с); 3,67-3,50 (8H, м); 3,34-3,26 (2H, м); 3,07 (9H, с); 2,92 (3H, с); 2,68 (3H, с); 2,91 (3H, с); 2,43-2,36 (2H, м); 2,12-1,33 (14H, м).
ВЭЖХ: tR=9,99 мин. МС: [M]+=746.
Пример 92
N-(6-Аминогексил)-4-{2-[2,4-дихлор-3-(2-метилхинолин-8-илоксиметил)бензолсульфониламино]-2-метилпропионил}пиперазин-1-карбоксамидин
1H ЯМР (ДМСО-d6) : 8,71 (1H, с); 8,37-8,29 (1H, м); 8,07 (1H, д); 7,82 (1H, д); 7,79-7,64 (5H, м); 7,64-7,41 (3H, м); 5,58 (2H, с); 3,22-3,14 (2H, м); 2,84-2,72 (2H, м); 2,65 (3H, с); 1,59-1,46 (4H, м); 1,35-1,27 (4H, м); 1,24 (6H, с).
МС: [M+H]+=692; ВЭЖХ: tR=9,16 мин.
Пример 93
N-[2-(3-Аминопропиламино)этил]-4-{2-[2,4-дихлор-3-(2-метилхинолин-8-илоксиметил)бензолсульфониламино]-2-метилпропионил}пиперазин-1-карбоксамидин
1H ЯМР (ДМСО-d6) : 8,92-8,82 (2H, м); 8,73 (1H, с); 8,39-8,29 (1H, шир.д); 8,07 (1H, д); 7,98-7,85 (6H, м); 7,82 (1H, д); 7,64-7,41 (4H, м); 5,58 (2H, с); 3,18-3,10 (2H, м); 3,10-3,00 (2H, м); 2,94-2,83 (2H, м); 2,65 (3H, с); 1,96-1,85 (2H, м); 1,25 (6H, с).
ВЭЖХ: tR=8,20 мин; МС: [M+H]+=693.
Пример 94
Бис-трифторацетат N-(3-аминопропил)-4-{2-[2,4-дихлор-3-(2,4-диметилхинолин-8-илоксиметил)бензолсульфониламино]-2-метилпропионил}пиперазин-1-карбоксамидина
1H ЯМР (ДМСО-d6) : 8,57 (1H, с); 8,06 (1H, д); 7,89-7,68 (8H, м); 7,62-7,38 (3H, м); 5,62 (2H, с); 3,32-3,23 (2H, м); 2,92-2,81 (2H, м); 2,69 (3H, с); 2,64 (3H, с); 1,87-1,75 (2H, м); 1,25 (6H, с).
ВЭЖХ: tR=9,36 мин; МС: [M+H]+=664.
Пример 95
Бис-трифторацетат N-(6-Аминогексил)-4-{1-[2,4-дихлор-3-(2,4-диметилхинолин-8-илоксиметил)бензолсульфониламино]циклопентанкарбонил}пиперазин-1-карбоксамидина
1H ЯМР (ДМСО-d6) : 8,41 (1H, с); 8,02 (1H, д); 7,78 (1H, д); 7,76-7,59 (7H, м); 7,54 (1H, т); 7,43 (1H, д); 7,38 (1H, с); 5,64 (2H, с); 3,76-3,65 (4H, м); 3,55-3,47 (4H, м); 3,24-3,15 (2H, м); 2,85-2,75 (2H, м); 2,69 (3H, с); 2,63 (3H, с); 2,08-1,98 (2H, м); 1,82-1,72 (2H, м); 1,60-1,51 (3H, м); 1,49-1,42 (3H, м); 1,40-1,24 (4H, м).
ВЭЖХ: tR=10,54 мин; МС: [M+H]+=732.
Пример 96
Бис-трифторацетат N-[2-(3-аминопропиламино)этил]-4-{1-[2,4-дихлор-3-(2,4-диметилхинолин-8-илоксиметил)бензолсульфониламино]циклопентанкарбонил}пиперазин-1-карбоксамидина
1H ЯМР (ДМСО-d6) : 8,97-8,69 (1H, шир.с); 8,42 (1H, с); 8,02 (1H, д); 7,96-7,74 (5H, м); 7,78 (1H, д); 7,72 (1H, д); 7,51 (1H, т); 7,39 (1H, д); 7,34 (1H, с); 5,64 (2H, с); 3,83-3,68 (4H, м); 3,61-3,51 (4H, м); 3,11-3,02 (2H, м); 2,97-2,88 (2H, м); 2,67 (3H, с); 2,61 (3H, с); 2,07-1,89 (4H, м); 1,81-1,71 (2H, м); 1,52-1,42 (4H, м).
ВЭЖХ: tR=9,34 мин. МС: [M+H]+=733.
Пример 97
Бис-трифторацетат N-[2-(4-{1-[2,4-дихлор-3-(2,4-диметилхинолин-8-илоксиметил)бензолсульфониламино]циклопентанкарбонил}пиперазин-1-ил)этил]-4-метилпиперазин-1-карбоксамидина
1H ЯМР (ДМСО-d6) : 8,64 (1H, с); 8,27-8,07 (2H, м); 8,03 (1H, д); 7,82 (1H, д); 7,79-7,72 (1H, м); 7,70-7,40 (2H, м); 5,60 (2H, с); 2,84 (3H, с); 2,76-2,60 (5H, м); 2,03-1,92 (2H, м); 1,79-1,68 (2H, м); 1,48-1,39 (4H, м).
ВЭЖХ: tR=7,04 мин. МС: [M+H]+=759.
Пример 98
Тетратрифторацетат 2,4-дихлор-N-{1-[4-(2(R),6-диаминогексил)пиперазин-1-карбонил]циклопентил}-3-(2,4-диметилхинолин-8-илоксиметил)бензолсульфонамида
1H ЯМР (ДМСО-d6) : 8,53 (1H, с); 8,03 (1H, д); 7,87-7,40 (8H, м); 7,83 (1H, д); 5,60 (2H, с); 2,83-2,56 (8H, м); 2,01-1,92 (2H, м); 1,78-1,64 (2H, м); 1,60-1,32 (10H, м).
ВЭЖХ: tR=7,00 мин. МС: [M+H]+=705.
Пример 99
Тетрагидрохлорид 2,4-дихлор-N-{1-[4-(2(R),6-дигуанидиногексил)пиперазин-1-карбонил]циклопентил}-3-(2,4-диметилхинолин-8-илоксиметил)бензолсульфонамида
1H ЯМР (ДМСО-d6) : 8,81-8,65 (2H, шир.с); 8,30 (1H, с); 8,03 (1H, д); 7,88-7,63 (3H, м); 7,58-6,91 (13H, м); 5,66 (2H, с); 2,75-2,58 (7H, м); 2,14-1,94 (2H, м); 1,84-1,08 (15H, м).
ВЭЖХ: tR=7,30 мин; МС: [M+H]+=789.
Пример 100
Тетратрифторацетат 2,4-дихлор-3-(2,4-диметилхинолин-8-илоксиметил)-N-{1-[4-(2-пиперазин-1-илэтил)пиперазин-1-карбонил]циклопентил}бензолсульфонамида
1H ЯМР (ДМСО-d6) : 8,75-8,62 (3H, м); 8,04 (1H, д); 7,93-7,56 (4H, м); 5,63 (2H, с); 3,39-3,27 (4H, м); 3,19-3,09 (3H, м); 3,04-2,97 (1H, м); 2,87-2,62 (11H, м); 2,04-1,92 (2H, м); 1,77-1,52 (3H, м); 1,49-1,36 (4H, м).
ВЭЖХ: tR=7,30 мин; МС: [M+H]+=703.
Пример 101
2,4-Дихлор-3-(2,4-диметилхинолин-8-илоксиметил)-N-{1-[4-(2-пиперидин-4-илэтил)пиперазин-1-карбонил]циклопентил}бензолсульфонамид
1H ЯМР (ДМСО-d6) : 8,68 (1H, с); 8,61-8,47 (1H, м); 8,34-8,16 (1H, м); 8,03 (1H, д); 7,93-7,40 (3H, м); 7,84 (1H, д); 7,34-7,17 (2H, м); 5,61 (2H, с); 4,58-4,40 (2H, м); 3,35-3,23 (2H, м); 3,22-3,09 (2H, м); 3,06-2,60 (9H, м); 2,08-1,94 (2H, м); 1,88-1,50 (9H, м); 1,50-1,37 (4H, м); 1,37-1,18 (3H, м).
ВЭЖХ: tR=7,50 мин. МС: [M+H]+=702.
Пример 102
Трис-трифторацетат {3-[(4-{1-[2,4-дихлор-3-(2,4-диметилхинолин-8-илоксиметил)бензолсульфониламино]циклопентанкарбонил}пиперазин-1-карбоксимидоил)амино]пропил}триметиламмония
1H ЯМР (ДМСО-d6) : 8,37-8,26 (1H, м); 8,07-7,98 (1H, м); 7,83-7,66 (4H, м); 7,56-7,46 (1H, м); 7,44-7,31 (2H, м); 5,73-5,64 (2H, м); 3,82-3,71 (4H, м); 3,62-3,52 (5H, м); 3,41-3,26 (4H, м); 3,18-3,06 (9H, м); 2,74-2,60 (6H, м); 2,14-1,96 (5H, м); 1,85-1,73 (2H, м); 1,56-1,43 (4H, м).
ВЭЖХ: tR=9,90 мин. МС: [M]+=732.
Пример 103
Трис-трифторацетат 4-{1-[2,4-дихлор-3-(2,4-диметилхинолин-8-илоксиметил)бензолсульфониламино]циклопентанкарбонил}-N-(3-диметиламинопропил)пиперазин-1-карбоксамидина
1H ЯМР (ДМСО-d6) : 9,78-9,40 (1H, шир.с); 8,35-8,22 (1H, м); 8,06-7,94 (1H, м); 7,82-7,57 (5H, м); 7,57-7,46 (1H, м); 7,46-7,32 (2H, м); 5,71-5,63 (2H, м); 3,80-3,66 (4H, м); 3,59-3,48 (4H, м); 3,36-3,26 (2H, м); 3,15-3,06 (2H, м); 2,86-2,78 (6H, м); 2,73-2,58 (6H, м); 2,12-1,98 (2H, м); 1,98-1,87 (2H, м); 1,83-1,72 (2H, м); 1,54-1,41 (4H, м).
ВЭЖХ: tR=10,14 мин. МС: [M+H]+=718.
Пример 104
Трис-трифторацетат N-(1-{4-[(5-аминопентиламино)метил]пиперидин-1-карбонил}циклопентил)-2,4-дихлор-3-(2,4-диметилхинолин-8-илоксиметил)бензолсульфонамида
1H ЯМР (ДМСО-d6) : 8,52 (1H, с); 8,47-8,32 (2H, м); 8,03 (1H, д); 7,81 (1H, д); 7,78-7,29 (7H, м); 5,58 (2H, с); 4,44-4,34 (2H, м); 3,06-2,55 (12H, м); 2,02-1,84 (3H, м); 1,82-1,69 (2H, м); 1,68-1,48 (4H, м); 1,48-1,30 (5H, м).
ВЭЖХ: tR=7,39 мин; МС: [M+H]+=704.
Пример 105
Трис-трифторацетат N-{1-[4-(4-аминопиперидин-1-илметил)пиперидин-1-карбонил]циклопентил}-2,4-дихлор-3-(2,4-диметилхинолин-8-илоксиметил)бензолсульфонамида
1H ЯМР (ДМСО-d6) : 9,62-9,24 (1H, м); 8,53 (1H, с); 8,20-7,99 (2H, м); 8,03 (1H, д); 7,86-7,26 (3H, м); 7,82 (1H, д); 5,59 (2H, с); 4,47-4,31 (2H, м); 3,11-2,92 (4H, м); 2,84-2,57 (6H, м); 2,15-1,88 (5H, м); 1,88-1,51 (5H, м); 1,51-1,32 (4H, м).
ВЭЖХ: tR=7,22 мин; МС: [M+H]+=702.
Пример 106
Трис-трифторацетат 2,4-дихлор-3-(2,4-диметилхинолин-8-илоксиметил)-N-(1-{4-[(5-метиламинопентиламино)метил]пиперидин-1-карбонил}циклопентил)бензолсульфонамида
1H ЯМР (ДМСО-d6) : 8,32 (2H, шир.с); 8,17 (1H, с); 8,01 (1H, д); 7,79-7,70 (2H, м); 7,50 (1H, т); 7,37 (1H, д); 7,33 (1H, с); 5,66 (2H, с); 4,42-4,33 (2H, м); 2,98-2,74 (8H, м); 2,67 (3H, с); 2,65-2,57 (5H, м); 2,10-1,88 (3H, м); 1,85-1,74 (4H, м); 1,71-1,57 (4H, м); 1,53-1,14 (8H, м).
ВЭЖХ: tR=7,56 мин; МС: [M+H]+=718.
Пример 107
Бис-трифторацетат [4-(S)-амино-6-(4-{1-[2,4-дихлор-3-(2,4-диметилхинолин-8-илоксиметил)бензолсульфониламино]циклопентанкарбонил}пиперазин-1-ил)-6-оксогексил]триметиламмония
1H ЯМР (ДМСО-d6) : 8,27 (1H, с); 8,08-7,99 (1H, м); 7,95-7,72 (4H, м); 7,59-7,51 (1H, м); 7,47-7,37 (2H, м); 5,68 (2H, м); 3,76-3,48 (8H, м); 3,37-3,24 (2H, м); 3,13-3,06 (9H, м); 2,92-2,79 (1H, м); 2,76-2,63 (7H, м); 2,13-1,99 (2H, м); 1,93-1,74 (3H, м); 1,73-1,60 (2H, м); 1,56-1,42 (4H, м).
ВЭЖХ: tR=10,26 мин. МС: [M+H]+=761.
Биологическая активность
Оценку аффинности соединений настоящего изобретения относительно В2-рецепторов проводят в исследованиях связывания с В2-рецепторами человека, экспрессируемыми в фибробластах человека W138, следуя методике, описанной Phagoo и др., Br. J. Pharmacol. (1996) 119: 863-868. Далее приведены величины связывания, выраженные как pKi.
Активность in vivo соединений настоящего изобретения оценивают как эффективность при ингибировании BK-индуцированного бронхоспазма у морских свинок, следуя методике, описанной Tramontana и др., J. Pharmacol. Exp. Therap., 296: 1051-1057, 2001. Соединения настоящего изобретения демонстрируют более высокую эффективность и большую продолжительность действия, чем соединения того же класса, которые, однако, не содержат альфа, альфа-диалкиламинокислот.
| Соединение pKi |
Соединение pKi |
| Пример № |
|
Пример № |
|
| 25 |
9,27 |
26 |
9,3 |
| 31 |
9,4 |
29 |
9,2 |
| 30 |
9,1 |
20 |
9,2 |
| 45 |
9,2 |
46 |
9,3 |
| 48 |
9,2 |
51 |
9,4 |
| 57 |
9,0 |
59 |
9,0 |
| 93 |
9,0 |
61 |
9,3 |
| 94 |
9,0 |
62 |
9,0 |
| 64 |
9,2 |
65 |
9,1 |
| 66 |
9,1 |
67 |
9,1 |
| 95 |
9,3 |
96 |
9,1 |
| 68 |
9,0 |
70 |
9,2 |
| 71 |
9,4 |
72 |
9,4 |
| 73 |
9,2 |
74 |
9,1 |
| 98 |
9,2 |
80 |
9,2 |
| 81 |
9,2 |
38 |
9,3 |
| 39 |
9,0 |
100 |
9,4 |
| 105 |
9,0 |
82 |
9,2 |
| 83 |
9,4 |
84 |
9,2 |
| 85 |
9,3 |
106 |
9,4 |
| 86 |
9,4 |
107 |
9,7 |
| 88 |
9,7 |
90 |
9,9 |
| 91 |
9,3 |
40 |
9,7 |
| 41 |
9,3 |
42 |
9,4 |
| 43 |
9,4 |
44 |
10,1 |
| 79 |
9,2 |
|
|
Композиция для орального применения (таблетки):
Пример 1
80 мг соединения Примера 79
30 мг моногидрата лактозы
80 мг микрокристаллической целлюлозы
2 мг диоксида кремния, коллоидного безводного
2 мг стеарата магния
Пример 2
50 мг соединения примера 81
100 мг микрокристаллической целлюлозы
25 мг гликолята натрия крахмала
5 мг талька
1,5 мг бегената кальция
Пример 3
100 мг соединения примера 79
130 мг лактозы
30 мг кукурузного крахмала
10 мг провидона
2 мг стеарата магния
2 мг гипромелозы
Композиции для ингаляции:
Пример 1
5 мг соединения Примера 79, микронизированного
5 мг лактозы (моногидрат)
Пример 2
5 мг соединения Примера 81, микронизированного
25 мг лактозы (моногидрат)
Пример 3
3 мг соединения Примера 79
0,1 мг этанола
0,1 глицерина
до 2 мл норфлурана
Композиции для назального применения:
Пример 1
2,5 мг соединения Примера 79
10 мг карбомера
Композиция для парентерального применения:
Пример 1
1 мг соединения Примера 82
8 мг хлорида натрия
2 мг мононатрийфосфата
0,06 мг динатрийфосфата
до 1 мл воды для инъекций.
Формула изобретения
1. Соединения общей формулы (I)

в которой R1 означает атом водорода или С1-С4алкильную группу;
R2 и R3, которые могут быть одинаковыми или различными, представляют С1-С4алкильную группу, или R2 и R3 вместе с атомом углерода, к которому они присоединены, образуют циклическую алифатическую группу, содержащую 3-7 атомов углерода;
R4 и R5, которые могут быть одинаковыми или различными, означают атом водорода или С1-С4алкильную группу;
Х выбран из группы, включающей галоген;
В содержит, по меньшей мере, одну аминогруппу с основными характеристиками или тетраалкиламмонийную группу и может быть выбран из группы, включающей NR6Y и из остатков


R6 означает атом водорода, C1-С6алкил;
Y выбран из водорода, (CH2)pY1, -NR6(CH2)pY1 или из следующих остатков:

Т выбран из группы: -NR7R8, -NR14R18R19, -OR6;
R7 и R8, которые могут быть одинаковыми или различными, означают атом водорода, С1-С4алкильную группу, циклогексильную группу, или NR7R8 вместе представляют собой группу, выбранную из: i) гуанидина, необязательно замещенного 1 или 2 С1-С4алкильными или циклогексильными группами, ii) 5-7-членного азотсодержащего гетероцикла, необязательно включающего другой гетероатом, выбранный из О, N, S;
Y1 выбран из группы, включающей NR7R8, NR14R18R19, или из следующих остатков:


R9 выбран из группы, включающей водород, -(CH2)q-L, где L выбран из группы: -ОН, -NR5R6, -NR14R18R19, амидин, необязательно замещенный 1 или 2 С1-С4алкильными группами, гуанидин, необязательно замещенный 1 или 2 С1-С4алкильными группами;
R11 выбран из группы, включающей водород, -(CH2)q-L, -(CH2)p-NR4-(CH2)q-L;
R13 выбран из группы, включающей Н, Y, -COY, -СН2-Y;
R15 выбран из группы, включающей водород или линейные или разветвленные С1-С4алкильные группы;
группа -NR16R17 представляет собой 5-7-членный азотсодержащий алифатический гетероцикл, необязательно включающий другой гетероатом, выбранный из О, S, N;
группа -NR14R18R19 представляет собой четвертичную аммонийную группу, в которой R14 выбран из группы, включающей линейные или разветвленные С1-С4алкильные группы, R18 и R19, которые могут быть одинаковыми или различными, представляют собой линейные или разветвленные С1-С4алкильные группы, или -NR18R19 представляет собой 5-7-членный азотсодержащий гетероцикл, необязательно включающий другой гетероатом, выбранный из О, N, S;
р=1-6, q=1-6; и
их фармакологически приемлемые соли с неорганическими или органическими кислотами, выбранными из группы: хлористоводородной, уксусной, трифторуксусной, и возможные оптические изомеры или их смеси, включая рацематы.
2. Соединения по п.1, в которых
R1 означает атом водорода или С1-С4алкильную группу;
R2 и R3, которые могут быть одинаковыми или различными, выбраны из метила или этила, или R2 и R3 вместе с атомом углерода, к которому они присоединены, образуют циклическую алифатическую группу, содержащую 3-7 атомов углерода;
R4 и R5, которые могут быть одинаковыми или различными, означают атом водорода или метил;
Х означает атом хлора;
В представляет собой группу, выбранную из


в которой R13 означает Н, или Y=Y1, где Y1 представляет собой

R11 выбран из группы, включающей водород, -(CH2)q-L, -(CH2)p-NR4-(CH2)q-L, где L выбран из -ОН, -NR5R6, амидина, необязательно замещенного 1 или 2 С1-С4алкильными группами, гуанидина, необязательно замещенного 1 или 2 С1-С4алкильными группами;
и другие заместители имеют значения, определенные в п.1.
3. Соединения по п.1 общей формулы (I), в которой
R2 и R3, которые могут быть одинаковыми или различными, выбраны из метила или этила, или R2 и R3 вместе с атомом углерода, к которому они присоединены, образуют циклическую алифатическую группу, содержащую 3-7 атомов углерода;
R4 и R5, которые могут быть одинаковыми или различными, представляют собой водород или метил,
Х означает атом хлора;
В содержит, по меньшей мере, две аминогруппы с основными характеристиками в свободной форме или в форме соли, и выбран из группы


где R13 представляет собой COY, CH2Y,
Y означает группу (CH2)pY1 или выбран из
,
где Т выбран из -NR7R8, -OR6;
R7 и R8, которые могут быть одинаковыми или различными, означают атом водорода, С1-С4алкильную группу, или NR7R8 представляет собой группу выбранную из: i) гуанидина, необязательно замещенного 1 или 2 С1-С4алкильными группами, циклогексилом, ii) 5-7-членного азотсодержащего гетероцикла, необязательно включающего другой гетероатом, выбранный из О, N, S;
Y1 выбран из группы, включающей NR7R8, или из следующих остатков:

;
R9 выбран из группы, включающей водород, -(CH2)q-L, где L выбран из -NR5R6, амидина, необязательно замещенного 1 или 2 С1-С4алкильными группами, гуанидина, необязательно замещенного 1 или 2 С1-С4алкильными группами;
и другие заместители имеют значения, определенные в п.2.
4. Соединения по п.1 общей формулы (I), содержащие, по меньшей мере, один тетраалкиламмоний, где
R1 означает атом водорода или метил;
R2 и R3, которые могут быть одинаковыми или различными, выбраны из метила или этила, или R2 и R3 вместе с атомом углерода, к которому они присоединены, образуют циклическую алифатическую группу, содержащую 3-7 атомов углерода;
R4 и R5, которые могут быть одинаковыми или различными, представляют собой водород или метил;
Х означает атом хлора;
В выбран из группы, включающей NR6Y, и из остатков


Y выбран из (CH2)pY1, NR6CH2)qY1 и из остатков

Т выбран из группы -NR7R8, -NR14R18R19, -OR6;
Y1 выбран из группы, включающей -NR7R8, -NR7R8R14 или из следующих остатков:

и другие заместители имеют значения, определенные в п.1.
5. Соединения общей формулы (I) по любому из пп.1-4, которые представляют собой
трифторацетат N-[2-[4-(2-(S)-амино-6-диметиламиногексаноил)-пиперазин-1-ил]-1,1-диметил-2-оксоэтил]-2,4-дихлор-3-(2-метилхинолин-8-илоксиметил)бензолсульфонамида;
трис-трифторацетат N-{2-[4-(6-гуанидиногексил)пиперазин-1-ил]-1,1-диметил-2-оксоэтил}-2,4-дихлор-3-(2-метил-8-хинолиноксиметил)-бензол-сульфонамидо-2-метилпропионамида;
4-{2-[2,4-дихлор-3-(2-метилхинолин-8-илоксиметил)бензолсульфонил-амино]-2-метилпропионил}пиперазин-1-карбоксамидин;
трис-трифторацетат N-[2-[4-(2-(S)-амино-5-гуанидинопентаноил)-пиперазин-1-ил]-1,1-диметил-2-оксоэтил]-2,4-дихлор-3-(2-метил-8-хинолиноксиметил)бензолсульфонамида;
трис-трифторацетат N-{2-[4-(6-аминогексил)пиперазин-1-ил]-1,1-диметил-2-оксоэтил}-2,4-дихлор-3-(2-метил-8-хинолиноксиметил)бензол-сульфонамида;
трис-трифторацетат N-{2-[4-(пиперазин-2-ил)пиперазин-1-ил]-1,1-диметил-2-оксоэтил}-2,4-дихлор-3-(2-метил-8-хинолиноксиметил)бензол-сульфонамида;
бис-трифторацетат N-{2-[4-(пиперазин-1-илацетил)пиперазин-1-ил]-1,1-диметил-2-оксоэтил]-2,4-дихлор-3-(2-метил-8-хинолиноксиметил)-бензолсульфонамида;
бис-трифторацетат N-{2-[4-(2-(пиперидин-4-ил)ацетил)пиперазин-1-ил]-1,1-диметил-2-оксоэтил}-2,4-дихлор-3-(2-метил-8-хинолиноксиметил)-бензолсульфонамида;
трис-трифторацетат N-{2-[4-[N-(4-пиперидил)глицил]пиперазин-1-ил]-1,1-диметил-2-оксоэтил}-2,4-дихлор-3-(2-метил-8-хинолиноксиметил)-бензолсульфонамида;
тетратрифторацетат N-{2-[4-(4-(2-аминоэтил)пиперазин-1-ил)ацетил)-пиперазин-1-ил]-1,1-диметил-2-оксоэтил}-2,4-дихлор-3-(2-метил-8-хинолиноксиметил)бензолсульфонамида;
трис-трифторацетат N-{2-[4-(3-(R)-амино-6-гуанидиногексаноил)-пиперазин-1-ил]-1,1-диметил-2-оксоэтил}-2,4-дихлор-3-(2-метил-8-хинолиноксиметил)бензолсульфонамида;
трис-трифторацетат N-{2-[4-(3-(S)-амино-6-диметиламиногексаноил)-пиперазин-1-ил]-1,1-диметил-2-оксоэтил}-2,4-дихлор-3-(2-метил-8-хинолиноксиметил)бензолсульфонамида;
трис-трифторацетат N-{2-[4-(3-(S)-амино-7-диметиламиногептаноил)-пиперазин-1-ил]-1,1-диметил-2-оксоэтил}-2,4-дихлор-3-(2-метил-8-хинолиноксиметил)бензолсульфонамида;
трис-трифторацетат N-(3-аминопропил)-4-{2-[2,4-дихлор-3-(2-метилхинолин-8-илоксиметил)бензолсульфониламино]-2-метилпропионил}-пиперазин-1-карбоксамидина;
трис-трифторацетат N-[2-[4-(2-(S)-амино-5-диметиламинопентаноил)-пиперазин-1-ил]-1,1-диметил-2-оксоэтил}-2,4-дихлор-3-(2-метил-8-хинолиноксиметил)бензолсульфонамида;
(S)-N-{2-[1′-(2-амино-5-гуанидинопентаноил)-[4,4′]бипиперидинил-1-ил]-1,1-диметил-2-оксоэтил}-2,4-дихлор-3-(2-метилхинолин-8-илоксиметил)-бензолсульфонамид;
2,4-дихлор-N-(2-{4-[2-(3,5-диметилпиперазин-1-ил)этил]-3,5-диметилпиперазин-1-ил}-1,1-диметил-2-оксоэтил)-3-(2-метил-4а,8а-дигидрохинолин-8-илоксиметил)бензолсульфонамид;
N-(2-{4-[4-(2-(S)-амино-5-гуанидинопентаноил)пиперазин-1-ил]-пиперидин-1-ил}-1,1-диметил-2-оксоэтил)-2,4-дихлор-3-(2-метилхинолин-8-илоксиметил)бензолсульфонамид;
[1-(4-пиперазин-1-илпиперидин-1-карбонил)циклопентил]амид 2,4-дихлор-3-(2,4-диметилхинолин-8-илоксиметил)бензолсульфиновой кислоты;
(1-{4-[4-(2-(5)-амино-6-гуанидиногексаноил)пиперазин-1-ил]-пиперидин-1-карбонил}циклопентил)амид 2,4-дихлор-3-(2,4-диметилхинолин-8-илоксиметил)бензолсульфиновой кислоты;
(1-{4-[4-(2-(S)-амино-5-гуанидинопентаноил)пиперазин-1-ил]-пиперидин-1-карбонил}циклопентил)амид 2,4-дихлор-3-(2,4-диметилхинолин-8-илоксиметил)бензолсульфиновой кислоты;
[1-(4-пиперидин-4-илпиперазин-1-карбонил)циклопентил]амид 2,4-дихлор-3-(2,4-диметилхинолин-8-илоксиметил)бензолсульфиновой кислоты;
{2-[4-(2-гуанидиноэтил)пиперазин-1-ил]-1,1-диметил-2-оксоэтил}амид 2,4-дихлор-3-(2-метилхинолин-8-илоксиметил)бензолсульфиновой кислоты;
(2-{4-[2-(S)-амино-5-(N’,N”-диэтилгуанидино)пентаноил]пиперазин-1-ил}-1,1-диметил-2-оксоэтил)амид 2,4-дихлор-3-(2-метилхинолин-8-илоксиметил)бензолсульфиновой кислоты;
(2-{4-[2-R-амино-5-(N’,N”-диэтилгуанидино)пентаноил]пиперазин-1-ил}-1,1-диметил-2-оксоэтил)амид-2,4-дихлор-3-(2-метилхинолин-8-илоксиметил)бензолсульфиновой кислоты;
(2S)-N-(1-{4-[2-амино-6-(N’N”-диэтилгуанидино)гексаноил]пиперазин-1-карбонил}циклопентил)-2,4-дихлор-3-(2,4-диметилхинолин-8-илоксиметил)бензолсульфонамид;
N-(1-{4-[2-(S)-амино-6-(N’,N”-диэтилгуанидино)пентаноил]пиперазин-1-карбонил} циклопентил)-2,4-дихлор-3-(2,4-диметилхинолин-8-илоксиметил)бензолсульфонамид;
N-[2-[4-(2-(S)-амино-6-диметиламиногексаноил)пиперазин-1-ил]-1,1-диметил-2-оксоэтил]-2,4-дихлор-3-(2,4-диметилхинолин-8-илоксиметил)-бензолсульфонамид;
N-[2-[4-(3-(S)-амино-6-диметиламиногексаноил)пиперазин-1-ил]-1,1-диметил-2-оксоэтил]-2,4-дихлор-3-(2,4-диметилхинолин-8-илоксиметил)-бензолсульфонамид;
N-[2-[4-(3-(S)-амино-6-диметиламиногептаноил)пиперазин-1-ил]-1,1-диметил-2-оксоэтил]-2,4-дихлор-3-(2,4-диметилхинолин-8-илоксиметил)-бензолсульфонамид;
N-[2-[4-(2-(S)-амино-5-гуанидинопентаноил)пиперазин-1-ил]-1,1-диметил-2-оксоэтил]-2,4-дихлор-3-(2,4-диметилхинолин-8-илоксиметил) бензолсульфонамид;
N-[2-[4-(2-(S)-амино-6-гуанидиногексаноил)пиперазин-1-ил]-1,1-диметил-2-оксоэтил]-2,4-дихлор-3-(2,4-диметилхинолин-8-илоксиметил)-бензолсульфонамид;
N-[2-[4-(2-(S)-амино-5-диметиламинопентаноил)пиперазин-1-ил]-1,1-диметил-2-оксоэтил]-2,4-дихлор-3-(2,4-диметилхинолин-8-илоксиметил)-бензолсульфонамид;
N-[2-[4-(2-(R)-амино-5-гуанидинопентаноил)пиперазин-1-ил]-1,1-диметил-2-оксоэтил]-2,4-дихлор-3-(2-метилхинолин-8-илоксиметил)-бензолсульфонамид;
N-[2-[4-(3-(S)-амино-6-гуанидиногексаноил)пиперазин-1-ил]-1,1-диметил-2-оксоэтил]-2,4-дихлор-3-(2-метилхинолин-8-илоксиметил)-бензолсульфонамид;
N-[2-[4-(3-(S)-амино-7-гуанидиногептаноил)пиперазин-1-ил]-1,1-диметил-2-оксоэтил]-2,4-дихлор-3-(2-метилхинолин-8-илоксиметил)-бензолсульфонамид;
N-{2-[4-(4-[2-(гуанидино)этил]пиперазин-1-илацетил)пиперазин-1-ил]-1,1-диметил-2-оксоэтил]-2,4-дихлор-3-(2-метилхинолин-8-илоксиметил)-бензолсульфонамид;
трис-трифторацетат N-[1-[4-(2-(S)-амино-5-гуанидинопентаноил)-пиперазин-1-карбонил]циклопентил]-2,4-дихлор-3-(2-метилхинолин-8-илоксиметил)бензолсульфонамида;
трис-трифторацетат N-[1-[4-(2-(S)-амино-6-гуанидиногексаноил)-пиперазин-1-карбонил]циклопентил]-2,4-дихлор-3-(2-метилхинолин-8-илоксиметил)бензолсульфонамида;
трис-трифторацетат N-[1-[4-(2-(S)-амино-6-диметиламиногексаноил)-пиперазин-1-ил]циклопентил]-2,4-дихлор-3-(2-метилхинолин-8-илокси-метил)бензолсульфонамида;
трис-трифторацетат N-[1-[4-(2-(S)-амино-6-гуанидиногексаноил)-пиперазин-1-карбонил]циклопентил]-2,4-дихлор-3-(2,4-диметилхинолин-8-илоксиметил)бензолсульфонамида;
трис-трифторацетат N-[1-[4-(2-(S)-амино-6-диметиламиногексаноил)-пиперазин-1-ил]циклопентил]-2,4-дихлор-3-(2,4-диметилхинолин-8-илоксиметил)бензолсульфонамида;
трис-трифторацетат (R)-N-[4-(2-(S)-амино-6-гуанидиногексаноил)-пиперазин-1-карбонил]-1-метилпропил]-2,4-дихлор-3-(2,4-диметилхинолин-8-илоксиметил)бензолсульфонамида;
трис-трифторацетат (R)-N-[1-[4-(2-(S)-амино-6-диметиламино-гексаноил)пиперазин-1-карбонил]-1-метилпропил]-2,4-дихлор-3-(2,4-ди-метилхинолин-8-илоксиметил)бензолсульфонамида;
тетратрифторацетат N-{2-[4-(4-[2-(гуанидино)этил]пиперазин-1-илацетил)пиперазин-1-карбонил]циклопентил]-2,4-дихлор-3-(2,4-диметил-хинолин-8-илоксиметил)бензолсульфонамида;
трис-трифторацетат]N-[1-[4-(2-(R)-амино-6-аминогексаноил)пиперазин-1-карбонил]циклопентил]-2,4-дихлор-3-(2,4-диметилхинолин-8-илоксиметил)бензолсульфонамида;
трис-трифторацетат N-[1-[4-(2-(R)-амино-6-гуанидиногексаноил)-пиперазин-1-карбонил]циклопентил]-2,4-дихлор-3-(2,4-диметилхинолин-8-илоксиметил)бензолсульфонамида;
трис-трифторацетат N-[2-[4-(3-(S)-амино-6-гуанидиногексаноил)-пиперазин-1-карбонил]циклопентил-2,4-дихлор-3-(2,4-диметилхинолин-8-илоксиметил)бензолсульфонамида;
трис-трифторацетат N-[2-[4-(3-(S)-амино-6-диметиламиногексаноил)-пиперазин-1-карбонил]циклопентил]-2,4-дихлор-3-(2,4-диметилхинолин-8-илоксиметил)бензолсульфонамида;
бис-трифторацетат N-[1-[4-(6-гуанидиногексаноил)пиперазин-1-карбонил]циклопентил]-2,4-дихлор-3-(2,4-диметилхинолин-8-илоксиметил)-бензолсульфонамида;
трис-трифторацетат N-[2-[4-(2-(S)-амино-6-аминогексаноил)пиперазин-1-ил]-1,1-диметил-2-оксоэтил]-2,4-дихлор-3-(2-метилхинолин-8-илоксиметил)бензолсульфонамида;
трис-трифторацетат N-[2-[4-(2-(S)-гуанидино-6-гуанидиногексаноил)пиперазин-1-ил]-1,1-диметил-2-оксоэтил]-2,4-дихлор-3-(2-метилхинолин-8-илоксиметил)бензолсульфонамида;
трис-трифторацетат (R)-N-[4-(3-(S)-амино-6-гуанидиногексаноил)пиперазин-1-карбонил]-1-метилпропил]-2,4-дихлор-3-(2,4-диметилхинолин-8-илоксиметил)бензолсульфонамида;
тетратрифторацетат (R)-N-{2-[4-(4-[2-(гуанидино)этил]пиперазин-1-илацетил)пиперазин-1-карбонил]-1-метилпропил]-2,4-дихлор-3-(2,4-диметилхинолин-8-илоксиметил)бензолсульфонамида;
трис-трифторацетат (R)-N-[4-(3-(S)-амино-6-аминогексаноил)-пиперазин-1-карбонил]-1-метилпропил]-2,4-дихлор-3-(2,4-диметилхинолин-8-илоксиметил)бензолсульфонамида;
трис-трифторацетат (R)-N-[4-(3-(S)-гуанидино-6-гуанидиногексаноил)-пиперазин-1-карбонил]-1-метилпропил]-2,4-дихлор-3-(2,4-диметилхинолин-8-илоксиметил)бензолсульфонамида;
трис-трифторацетат (R)-N-[4-(3-(S)-амино-6-диметиламиногексаноил)-пиперазин-1-карбонил]-1-метилпропил]-2,4-дихлор-3-(2,4-диметилхинолин-8-илоксиметил)бензолсульфонамида;
трис-трифторацетат (S)-N-[4-(2-(S)-амино-6-гуанидиногексаноил)-пиперазин-1-карбонил]-1-метилпропил]-2,4-дихлор-3-(2,4-диметилхинолин-8-илоксиметил)бензолсульфонамида;
(S)-N-[4-(3-(S)-амино-6-гуанидиногексаноил)пиперазин-1-карбонил]-1-метилпропил]-2,4-дихлор-3-(2,4-диметилхинолин-8-илоксиметил)-бензолсульфонамид трис-трифторацетат;
трис-трифторацетат 2,4-дихлор-N-{1-[4-(3(S),6-диаминогексаноил)пиперазин-1-карбонил]циклопентил}-3-(2,4-диметилхинолин-8-илоксиметил)бензолсульфонамида;
трис-трифторацетат 2,4-дихлор-N-{1-[4-(3(S),6-дигуанидиногексаноил)пиперазин-1-карбонил]циклопентил}-3-(2,4-диметилхинолин-8-илоксиметил)бензолсульфонамида;
трис-трифторацетат N-(1-{4-[3-(S),6-бис-(N’,N”-дициклогексил-гуанидино)гексаноил]пиперазин-1-карбонил}циклопентил)-2,4-дихлор-3-(2,4-диметилхинолин-8-илоксиметил)бензолсульфонамида;
трис-трифторацетат N-{1-[4-(2-(S)амино-3-пиперидин-4-илпропионил)-пиперазин-1-карбонил]циклопентил}-2,4-дихлор-3-(2,4-диметилхинолин-8-илоксиметил)бензолсульфонамида;
бис-трифторацетат N-{1-[4-(2-триметиламмонийацетил)пиперазин-1-карбонил]циклопентил}-2,4-дихлор-3-(2,4-диметилхинолин-8-илоксиметил)-бензолсульфонамида;
бис-трифторацетат N-{1-[4-(4-триметиламмонийбутаноил)пиперазин-1-карбонил]циклопентил}-2,4-дихлор-3-(2,4-диметилхинолин-8-илоксиметил)-бензолсульфонамида;
бис-трифторацетат N-{1-[4-(3(R)-гидрокси-4-триметиламмоний-бутаноил)пиперазин-1-карбонил]циклопентил}-2,4-дихлор-3-(2,4-диметилхинолин-8-илоксиметил)бензолсульфонамида;
трис-трифторацетат N-[1-[4-(2-(S)-диметиламино-6-диметиламино-гексаноил)пиперазин-1-ил]циклопентил]-2,4-дихлор-3-(2,4-диметилхинолин-8-илоксиметил)бензолсульфонамида;
трис-трифторацетат {5-[(1-{1-[2,4-дихлор-3-(2,4-диметилхинолин-8-илоксиметил)бензолсульфониламино]циклопентанкарбонил}пиперидин-4-илметил)диметиламмоний]пентил}триметиламмония;
бис-трифторацетат {5-[(1-{1-[2,4-дихлор-3-(2,4-диметилхинолин-8-илоксиметил)бензолсульфониламино]циклопентанкарбонил}пиперидин-4-карбонил)амино]пентил}триметиламмония;
трис-трифторацетат N-[1-[4-(2-(8)-триметиламмоний-6-триметил-аммонийгексаноил)пиперазин-1-ил]циклопентил]-2,4-дихлор-3-(2,4-диметилхинолин-8-илоксиметил)бензолсульфонамида;
трис-трифторацетат N-[1-[4-(2-(R)-триметиламмоний-6-триметил-аммонийгексаноил)пиперазин-1-ил]циклопентил]-2,4-дихлор-3-(2,4-диметилхинолин-8-илоксиметил)бензолсульфонамида;
трис-трифторацетат N-[1-[4-(2-(S)-триметиламмоний-6-амино-гексаноил)пиперазин-1-ил]циклопентил]-2,4-дихлор-3-(2,4-диметилхинолин-8-илоксиметил)бензолсульфонамида;
бис-трифторацетат N-{1-[4-(6-триметиламмонийгексаноил)пиперазин-1-карбонил]циклопентил}-2,4-дихлор-3-(2,4-диметилхинолин-8-илоксиметил)бензолсульфонамида;
N-(6-аминогексил)-4-{2-[2,4-дихлор-3-(2-метилхинолин-8-илокси-метил)бензолсульфониламино]-2-метилпропионил}пиперазин-1-карбоксамидин;
N-[2-(3-аминопропиламино)этил]-4-{2-[2,4-дихлор-3-(2-метилхинолин-8-илоксиметил)бензолсульфониламино]-2-метилпропионил}пиперазин-1-карбоксамидин;
бис-трифторацетат N-(3-аминопропил)-4-{2-[2,4-дихлор-3-(2,4-диметилхинолин-8-илоксиметил)бензолсульфониламино]-2-метилпропионил}пиперазин-1-карбоксамидина;
бис-трифторацетат N-(6-аминогексил)-4-{1-[2,4-дихлор-3-(2,4-диметилхинолин-8-илоксиметил)бензолсульфониламино]циклопентан-карбонил}пиперазин-1-карбоксамидина;
бис-трифторацетат N-[2-(3-аминопропиламино)этил]-4-{1-[2,4-дихлор-3-(2,4-диметилхинолин-8-илоксиметил)бензолсульфониламино]циклопентан-карбонил}пиперазин-1-карбоксамидина;
бис-трифторацетат N-[2-(4-{1-[2,4-дихлор-3-(2,4-диметилхинолин-8-илоксиметил)бензолсульфониламино]циклопентанкарбонил}пиперазин-1-ил)этил]-4-метилпиперазин-1-карбоксамидина;
тетратрифторацетат 2,4-дихлор-N-{1-[4-(2(R),6-диаминогексил)-пиперазин-1-карбонил]циклопентил}-3-(2,4-диметилхинолин-8-илоксиметил) бензолсульфонамида;
тетрагидрохлорид 2,4-дихлор-N-{1-[4-(2(R),6-дигуанидиногексил)пиперазин-1-карбонил]циклопентил}-3-(2,4-диметилхинолин-8-илоксиметил)бензолсульфонамида;
тетратрифторацетат 2,4-дихлор-3-(2,4-диметилхинолин-8-илоксиметил)-N-{1-[4-(2-пиперазин-1-илэтил)пиперазин-1-карбонил]циклопентил}бензолсульфонамида;
2,4-дихлор-3-(2,4-диметилхинолин-8-илоксиметил)-N-{1-[4-(2-пиперидин-4-илэтил)пиперазин-1-карбонил]циклопентил}-бензолсульфонамид;
трис-трифторацетат {3-[(4-{1-[2,4-дихлор-3-(2,4-диметилхинолин-8-илоксиметил)бензолсульфониламино]циклопентанкарбонил}пиперазин-1-карбоксимидоил)амино]пропил}триметиламмония;
трис-трифторацетат 4-{1-[2,4-дихлор-3-(2,4-диметилхинолин-8-илоксиметил)бензолсульфониламино]циклопентанкарбонил}-N-(3-диметиламинопропил)пиперазин-1-карбоксамидина;
трис-трифторацетат N-(1-{4-[(5-аминопентиламино)метил]пиперидин-1-карбонил}циклопентил)-2,4-дихлор-3-(2,4-диметилхинолин-8-илоксиметил)бензолсульфонамида;
трис-трифторацетат N-{1-[4-(4-аминопиперидин-1-илметил)-пиперидин-1-карбонил]циклопентил}-2,4-дихлор-3-(2,4-диметилхинолин-8-илоксиметил)бензолсульфонамида;
трис-трифторацетат 2,4-дихлор-3-(2,4-диметилхинолин-8-илоксиметил)-N-(1-{4-[(5-метиламинопентиламино)метил]пиперидин-1-карбонил}циклопентил)бензолсульфонамида;
бис-трифторацетат [4-(S)-амино-6-(4-{1-[2,4-дихлор-3-(2,4-диметилхинолин-8-илоксиметил)бензолсульфониламино]циклопентан-карбонил}пиперазин-1-ил)-6-оксогексил]триметиламмония.
6. Промежуточные соединения общей формулы (6) или (7)

в которых R1 может означать Н или метил, R2 и R3 могут независимо представлять собой метил, этил или вместе с атомом углерода, к которому они присоединены, образовывать циклопентильную группу, и R14 означает метил или трет-бутил.
7. Промежуточные соединения общей формулы (1)

в которой R1 может означать Н или метил, R2 и R3 могут независимо представлять собой метил, этил, или вместе с атомом углерода, к которому они присоединены, образовывать циклопентильную группу.
8. Фармацевтические композиции для лечения нарушений, которые требуют применение антагониста брадикинина, содержащие в качестве активного ингредиента соединение по любому из пп.1-5 вместе с фармацевтически приемлемыми эксципиентами.
9. Применение соединения по любому из пп.1-5 для получения фармацевтических композиций для лечения нарушений, когда требуется применение антагониста брадикинина.
10. Применение соединения по п.9 для получения фармацевтических композиций для лечения воспалительных, аллергических и аутоиммунных нарушений.
11. Применение соединения по п.9 для получения фармацевтических композиций для лечения нарушений, таких как астма и хронический бронхит, аллергический, вазомоторный и вирусный ринит, обструктивное заболевание легких (COPD), ревматоидный артрит, хронические воспалительные заболевания кишечника (болезнь Крона и язвенный колит), гломерулонефрит, псориаз, сыпь, острый и хронический цистит, цирроз печени, гломерулопатия и фиброз легких, артериосклероз, острая и хроническая боль, септический, аллергический и посттравматический шок, цирроз печени при гепаторенальном синдроме, гипотензия, алопеция, или в качестве противораковых агентов и агентов против ангиогенеза.
|
|