Патент на изобретение №2325935
|
||||||||||||||||||||||||||
(54) СПОСОБ ТРЕНИРОВКИ ЛИЦ ОПАСНЫХ ПРОФЕССИЙ
(57) Реферат:
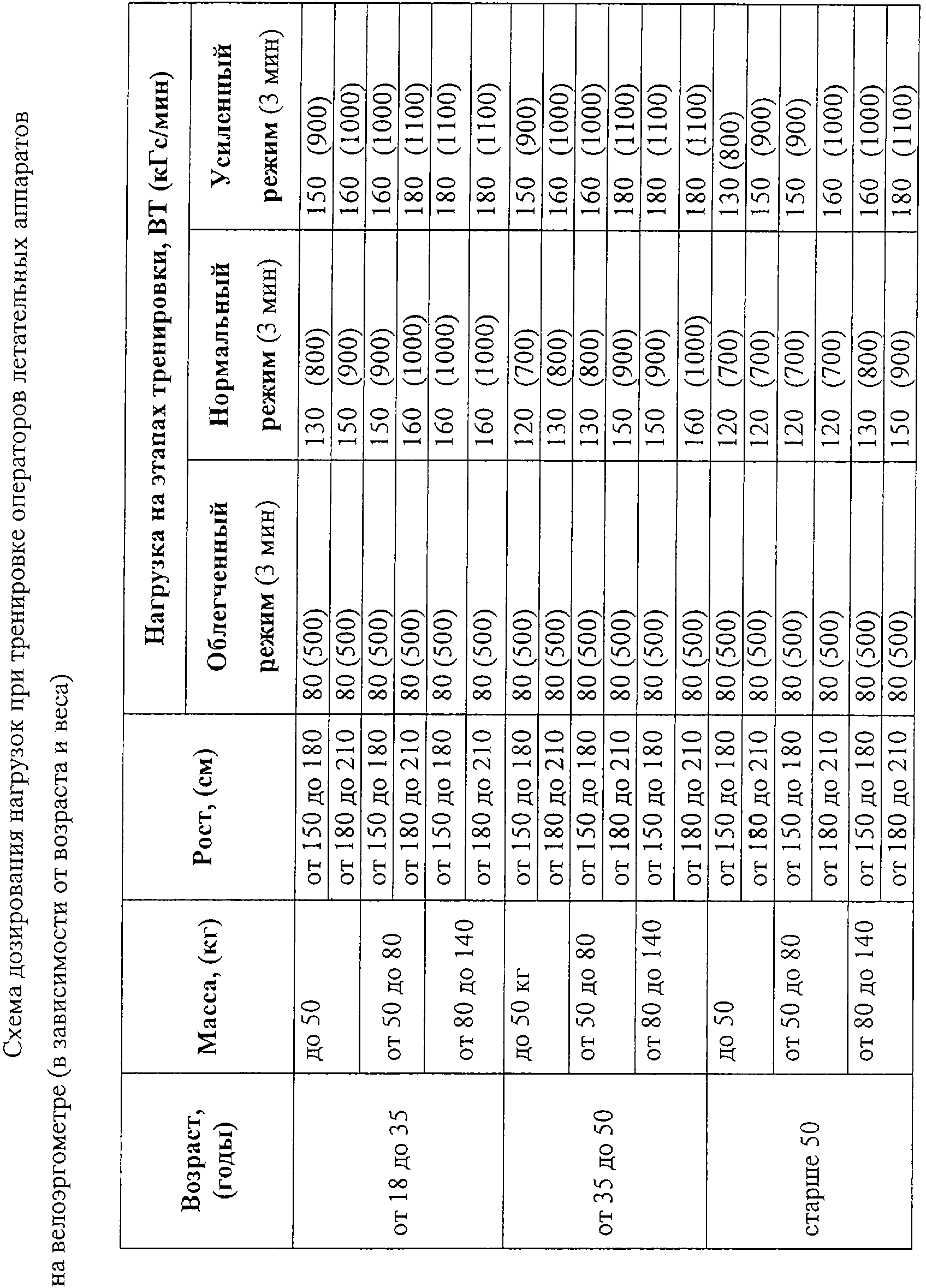
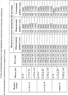
Изобретение относится к области учебно-тренировочного оборудования, в частности к способам физической тренировки мышечной системы лиц опасных профессий с высоким уровнем риска развития сердечно-сосудистых и других видов заболеваний вследствие воздействия повышенных нагрузок на их мышечную систему в процессе выполнения профессиональных обязанностей. Способ включает деление тренировок на облегченный, нормальный и усиленный режим в зависимости от частоты сердечных сокращений, систолического, диастолического артериального давления, насыщения крови кислородом до и во время проведения тренировки с гипоксической нагрузкой. Тестирование проводят с учетом массы тела, возраста, роста. Способ позволяет снизить риск развития осложнений со стороны сердечно-сосудистой системы, осложнений, связанных с обострением заболеваний, находящихся в стадии ремиссии. 1 табл.
Предложенное изобретение относится к области учебно-тренировочного оборудования, в частности к способам физической тренировки мышечной системы лиц, лиц опасных профессий с высоким уровнем риска развития сердечно-сосудистых и других видов заболеваний вследствие воздействия повышенных нагрузок на их мышечную систему в процессе выполнения профессиональных обязанностей. Например, к лицам таких профессий, являющихся опасными в связи с наличием повышенного уровня риска, относятся операторы летательных аппаратов, спортсмены, лица, работающие в высокогорной местности и другие. Известен выбранный в качестве ближайшего аналога способ тренировки летного состава к защите от перегрузок направления голова таз, включающий воздействие статическими и статодинамическими нагрузками на мышечную систему человека, при этом величину статических нагрузок определяют по величине мышечного напряжения тренируемого при воздействии перегрузок направления голова таз и коррелируют ее соответственно с гемодинамическими показателями организма (патент РФ №2097834, кл. МПК G09B 9/10, опубл. 27.11.1997 г.). Недостатком данного способа является отсутствие определения резервных возможностей организма тренируемых путем воздействия на их мышечную систему минимальной нагрузкой (облегченной нагрузочной пробой). Облегченная нагрузочная проба имеет преимущество предмаксимальной нагрузочной пробой, поскольку значительно снижает риск развития нежелательных осложнений. В первую очередь существенно снижается риск развития осложнений со стороны сердечно-сосудистой системы (ССС), а также осложнений, связанных с обострением заболеваний, находящихся в стадии ремиссии. Одновременно с этим применение облегченной нагрузочной пробы существенно уменьшает время обследования. При анализе результатов облегченной нагрузочной пробы динамика зарегистрированных показателей отражает последовательное освоение различных категорий резервов организма в точке анаэробного перехода: резервов мощности, мобилизации и эффективности-экономичности системы газоэнергообмена. Технической задачей предложенного изобретения является проведение тренировки, снижающей риск развития осложненей со стороны ССС, а также осложнений, связанных с обострением заболеваний, находящихся в стадии ремиссии. Поставленная задача достигается тем, что в способе тренировки лиц опасных профессий, заключающемся в том, что на мышечную систему тренируемого воздействуют статическими и статодинамическими нагрузками, контролируют биомедицинские показатели организма тренируемого во время тренировки, формируют базу знаний по набору возможных программ тренировок по результатам анализа и опыта исследований при проведении тренировок, классифицируют тренируемых по профессиональной принадлежности, делят каждый профессиональный класс на возрастные группы, каждую возрастную группу делят на подгруппы по массе тела тренируемого и по его росту, для каждой подгруппы в группе определяют набор возможных вариантов изменения биомедицинских параметров в процессе тренировки, на основании набора возможных вариантов изменения биомедицинских параметров формируют условия для допуска к проведению разных этапов тренировок, перед началом тренировки классифицируют тренируемого по виду профессии, возрастной категории, массе тела и росту, регистрируют биомедицинские показатели организма тренируемого в состоянии покоя, на основании значений биомедицинских параметров в состоянии покоя делают заключение о допуске к тренировки и по какой схеме будет проводиться тренировка, тренировка с переходом от облегченного режима к нормальному режиму и усиленному режиму допускается при условии недостижения биомедицинских параметров тренируемого на предыдущем этапе предельно-допустимых значений. Предложенный способ реализуется следующим образом. Формируют базу знаний по набору возможных программ тренировок, а также по результатам анализа и опыта исследований при проведении тренировок. При этом полная тренировка делится на три этапа по объему нагрузки при тренировке лиц опасных профессий (см.таблицу): 1. Тренировка в облегченном режиме (облегченная нагрузочная проба). Нагрузки по величине подобраны таким образом, что не могут привести человека к нежелательным осложнениям со стороны ССС; 2. Тренировка в нормальном режиме. На втором этапе тренировки нагрузки возрастают по своей величине, но не превышают установленного предела, например, в соответствии с таблицей; 3. Тренировки в усиленном режиме. На данном этапе нагрузки возрастают по величине в сравнении с предыдущим этапом, в некоторых случаях нагрузки увеличиваются по своей продолжительности. Тренируемый в облегченном режиме выполняет нагрузки, только соответствующие облегченному режиму, тренируемый в нормальном режиме выполняет нагрузки, соответствующие облегченному режиму, и после их успешного завершения выполняет нагрузки, соответствующие нормальному режиму, а после их успешного завершения приступает к выполнению нагрузок усиленного режима при соответствии значений его биомедицинских параметров предельно-допустимым значениям. В базе знаний тренируемые классифицируются по профессиональной принадлежности, например операторы летательных аппаратов, лица, работающие в высокогорной местности, аквалангисты и т.д. Каждый профессиональный класс делится на возрастные группы, например на три: – от 18 до 35 лет; – от 35 до 50 лет; – старше 50 лет. Кроме того, каждая возрастная группа делится на подгруппы по массе тела тренируемого, например на три: – до 50 килограмм; – от 50 до 80 килограмм; – от 80 до 140 килограмм. В каждой из этих подгрупп тренируемые делятся по своему росту, например: – от 150 до 180 сантиметров; -от 180 до 210 сантиметров. Для каждой подгруппы в группе определяется набор возможных вариантов изменения биомедицинских параметров в процессе тренировки, например артериального давления (АД), частоты сердечных сокращений (ЧСС), насыщения крови кислородом (SaO2), определяемой, например, методом фотоплетизмографии. Набор биомедицинских параметров может изменяться, например, для операторов летательных аппаратов, а в отдельных случаях регистрируют следующие биомедицинские параметры: электроэнцефалограмму, электромиограмму, электронистагмограмму, плетизмооксигемограмму сосудов мочки уха, прессопульсограмму мочки уха, прессопульсограмму плечевой артерии, электродерморезистограмму, термограмму тела, состояние глаз. Набор возможных вариантов изменения биомедицинских параметров в процессе тренировки формируется для различных состояний тренируемого, в которых он находится до воздействия на его мышечную систему статическими и статодинамическими нагрузками. Набор возможных вариантов изменения биомедицинских параметров в процессе тренировки получен расчетным и экспериментальным путем после исследований и вносится в базу знаний как критерий. На основании набора возможных вариантов изменения биомедицинских параметров формируют условия для проведения разных этапов тренировок для лиц конкретных профессий. Например, формируются следующие четыре группы условий: Условия для проведения тренировки в облегченном режиме: – (220 В)·М/Mmax {уд/мин}<ЧСС<0,85·(220-В) {уд/мин}, где М – масса тела тренируемого в килограммах, Mmax – максимальная масса тела тренируемого в подгруппе (верхняя граница подгруппы), В – возраст тренируемого; – Систолическое артериальное давление 280+(Lmax-L)>Адс>160±1,6 (1,5Ln {М·В}) {мм рт.ст.}, диастолическое 110+(Lmax-L)>Адд>100±(2Ln {М·В}) {мм рт.ст.}, где L – рост тренируемого в сантиметрах, Lmax – максимальный рост в подгруппе; SaO2 до и во время проведения пробы должна быть более 93% с возможными бросками до 70% при тренировке с гипоксической нагрузкой. Условия для проведения тренировки в нормальном режиме: – ЧСС<(220-В)·М/Mmax {уд/мин}; – Систолическое артериальное давление 160±1,6·(1,5Ln{М·В})>Адс>120±1,2(1,8·Ln{М·В}) {мм рт.ст.}, диастолическое артериальное давление 100±(2·Ln{М·В})>Адд>60±0,6·(2,17Ln{M·B}) {мм рт.ст.}; – SaO2 до и во время проведения пробы должна быть более 93%. Условия для проведения тренировки в усиленном режиме: – ЧСС<(220-В)·0,5 {уд/мин}; – Систолическое артериальное давление 100+(Lmax-L)>Адс>120±1,2(1,8·Ln{M·B}) {мм рт.ст.}, диастолическое артериальное давление 45+(Lmax-L)>Адд>60±0,6(2,17Ln{M·B}) {мм рт.ст.}; – SaO2 до и во время проведения пробы должна быть более 93%. Условия для отказа проведения тренировки: – ЧСС – АД=280/110 мм рт.ст.; – SaO2 до и во время проведения пробы должна быть менее 93% в течение более 2 минут. Условия для отказа от проведения тренировки являются обязательными для тренируемого. Перед началом тренировки тренируемый проходит классификацию по виду своей профессии, возрастной категории, массе тела и росту. После того как тренируемый будет отнесен к какой-либо подгруппе в группе в соответствующем его профессии классе, у него, в состоянии покоя, регистрируют биомедицинские параметры любым известным способом. Полученные данные при помощи базы знаний анализируют на предмет соответствия какой-либо из групп условий для проведения тренировок (условия для проведения тренировки в облегченном режиме, условия для проведения тренировки в нормальном режиме, условия для проведения тренировки в усиленном режиме, условия для отказа проведения тренировки). Если биомедицинские параметры тренируемого в состоянии покоя удовлетворяют хотя бы одному из условий для отказа проведения тренировки, то тренируемый не допускается до проведения тренировки. Если биомедицинские параметры тренируемого в состоянии покоя в соответствии с данными из базы знаний удовлетворяют условиям для проведения тренировки в любом режиме (облегченном, нормальном или усиленном), то тренируемый допускается до проведения тренировки. Тренируемый в облегченном режиме выполняет нагрузки, соответствующие облегченному режиму. Тренируемый в нормальном режиме выполняет нагрузки, соответствующие облегченному режиму, а затем нагрузки, соответствующие нормальному режиму. Тренируемый в усиленном режиме выполняет нагрузки, соответствующие облегченному режиму, нормальному режиму и усиленному режиму. При этом во время проведения тренировки в любом режиме постоянно регистрируют биомедицинские параметры тренируемого любым известным способом, и если во время проведения тренировки в любом режиме хотя бы одно из регистрируемых значений биомедицинских параметров тренируемого достигает предельно-допустимого значения, соответствующего условиям для отказа проведения тренировки, тренировка прекращается. Таким образом, за счет применения различных ступеней нагрузки в зависимости от текущих биомедицинских параметров организма, в том числе облегченной нагрузочной пробы, снижается риск развития осложнений со стороны ССС, а также осложнений, связанных с обострением заболеваний, находящихся в стадии ремиссии.
Формула изобретения
Способ тренировки лиц опасных профессий, включающий тренировки в облегченном режиме при условии, когда частота сердечных сокращений больше величины (220-В)·М/Mmax ударов в минуту и меньше 0,85·(220-В) ударов в минуту, когда систолическое артериальное давление {мм рт.ст.} меньше 280+(Lmax-L) и больше 160±1,6·(1,5 Ln{M·В}), диастолическое артериальное давление {мм рт.ст.} менее 110+(Lmax-L) и более 100±(2·Ln {M·В}), когда насыщение крови кислородом до и во время проведения пробы должно быть более 93% с возможными бросками до 70% при тренировке с гипоксической нагрузкой, проведение тренировок в нормальном режиме при условии частоты сердечных сокращений меньше (220-В)·М/Mmax ударов в минуту, когда систолическое артериальное давление {мм рт.ст.} меньше 160±1,6·(1,5 Ln {M·В}) и больше 120±1,2(1,8·Ln {M·В}), диастолическое артериальное давление {мм рт.ст.} менее 110±(2·Ln {M·В}) и больше 60±0,6·(2,17·Ln {M·В}), насыщение крови кислородом до и во время проведения пробы более 93%, проведение тренировок в усиленном режиме при условии, когда частота сердечных сокращений меньше (220-В)·0,5 ударов в минуту, систолическое артериальное давление {мм рт.ст.} меньше 100±(Lmax-L) и больше 120±1,2(1,8·Ln{M·В}), диастолическое артериальное давление {мм рт.ст.} меньше 45+(Lmax-L) и больше 60±0,6·(2,17·Ln {M·В}), насыщение крови кислородом до и во время проведения пробы более 93%, где M – масса тела тренируемого в кг, Mmax – максимальная масса тела тренируемого в группе, В – возраст тренируемого, L – рост тренируемого в сантиметрах, Lmax – максимальный рост в группе.
|
||||||||||||||||||||||||||

0,85·(220-В) {уд/мин};