|
|
(21), (22) Заявка: 2006141907/28, 27.11.2006
(24) Дата начала отсчета срока действия патента:
27.11.2006
(46) Опубликовано: 20.05.2008
(56) Список документов, цитированных в отчете о поиске:
RU 2230330 C2, 10.06.2004. RU 2124216 C1, 27.12.1998. RU 2030750 C1, 10.03.1995. RU 2025737 C1, 30.12.1994. RU 2001407 C1, 15.10.1993. US 4904930, 27.02.1990.
Адрес для переписки:
197082, Санкт-Петербург, П-082, ул. Красного курсанта, 16, Военно-космическая академия
|
(72) Автор(ы):
Дикарев Виктор Иванович (RU), Альжанов Артур Булатович (RU), Тимофеев Дмитрий Иванович (RU), Стельмах Иван Владимирович (RU), Шишкин Николай Викторович (RU)
(73) Патентообладатель(и):
Военно-космическая академия имени А.Ф. Можайского (RU)
|
(54) УСТРОЙСТВО ОПРЕДЕЛЕНИЯ ЧАСТОТЫ И ВИДА МОДУЛЯЦИИ ПРИНИМАЕМЫХ СИГНАЛОВ
(57) Реферат:
Устройство отличается тем, что принимаемый сигнал после преобразования по частоте, детектирования и усиления накапливается в интеграторе, сравнивается с пороговым напряжением в пороговом блоке. Частота гетеродина измеряется измерителем частоты в цифровом коде и поступает на первый вход блока сравнения, на второй вход которого подаются коды измеренных ранее частот гетеродина из блока памяти. Если сравниваемые коды не равны, сигнал поступает через открытые ключи в блок определения вида модуляции. При этом код измеренной частоты гетеродина в первом цикле его перестройки поступает в блок памяти, где записывается. При втором и последующих циклах перестройки гетеродина измеренный сигнал опять будет попадать в полосу пропускания панорамного приемника. Сравниваемые коды в этом случае будут равны и на выходах блока сравнения напряжения отсутствуют, ключи остаются в закрытом состоянии и сигнал далее на этой частоте не обрабатывается. Технический результат заключается в устранении избыточности информации путем исключения повторного измерения и регистрации несущей частоты и вида модуляции принимаемого сигнала. 2 ил.
Предлагаемое устройство относится к области радиоэлектроники и может быть использовано для определения несущей частоты и вида модуляции сигналов, принимаемых в заданном диапазоне частот.
Известные устройства для определения частоты и вида модуляции принимаемых сигналов (авторские свидетельства СССР №№1.000.930, 1.012.152, 1.180.804, 1.187.095, 1.272.266, 1.290.192, 1.354.124, патенты РФ №№2.001.407, 2.025.737, 2.030.750, 2.124.216, 2.230.330, патент США №4.443.81. Вакин С.А., Шустов Л.Н. Основы радиопротиводействия и радиотехнической разведки. М.: Сов. радио, 1968, с.386-396, рис.10.3 и другие).
Из известных устройств наиболее близким к предлагаемому является устройство, реализующее «Способ определения частоты» (патент РФ №2.230.330, G01R 23/00. 2002), которое и выбрано в качестве прототипа.
Известное устройство обеспечивает определение несущей частоты и вида модуляции принимаемого сигнала, которые являются важными характеристиками радиоизлучений, обеспечивающими решение ряда задач радиотехнической разведки радиоэлектронных средств (РЭС).
Однако для панорамного приемника, входящего в состав известного устройства, характерно наличие избыточной информации о несущей частоте и виде модуляции принимаемых сигналов. Это обусловлено тем, что любой непрерывный сигнал попадает в полосу пропускания панорамного приемника в каждом цикле его перестройки. Поэтому избыточность получаемой информации о несущей частоте и виде модуляции принимаемого непрерывного сигнала определяется количеством циклов перестройки гетеродина.
Технической задачей изобретения является устранение избыточной информации путем исключения повторного измерения и регистрации несущей частоты и вида модуляции принимаемого сигнала.
Поставленная задача решается тем, что устройство для определения частоты и вида модуляции принимаемых сигналов, содержащее в соответствии с ближайшим аналогом последовательно включенные приемную антенну, входную цепь, усилитель высокой частоты, смеситель, второй вход которого соединен с выходом гетеродина, усилитель промежуточной частоты, первый амплитудный детектор и видеоусилитель, последовательно включенные устройство формирования частотной развертки и горизонтально-отклоняющие пластины электронно-лучевой трубки, последовательно подключенные к выходу усилителя высокой частоты первый ключ, второй амплитудный детектор, первый фильтр верхних частот, первый квадратор, первый делитель напряжений, второй вход которого через первый фильтр нижних частот соединен с выходом второго амплитудного детектора, и первый блок сравнения, два выхода которого являются первым и вторым выходами устройства, последовательно подключенные к выходу первого ключа частотный детектор, второй фильтр нижних частот, второй квадратор и второй делитель напряжений, второй вход которого через анализатор спектра соединен с выходом первого ключа, а выход подключен к второму входу первого блока сравнения, последовательно подключенные к выходу первого ключа второй ключ, второй вход которого соединен с вторым выходом первого блока сравнения, фазовый детектор, первый фильтр нижних частот, третий амплитудный детектор и второй блок сравнения, второй вход которого через последовательно включенные второй фильтр верхних частот и четвертый амплитудный детектор соединен с выходом фазового детектора, а два выхода являются третьим и четвертым выходами устройства, последовательно подключенные к выходу частотного детектора третий фильтр верхних частот, шестой амплитудный детектор и третий блок сравнения, второй вход которого через пятый амплитудный детектор соединен с выходом второго фильтра нижних частот, а два выхода являются пятым и шестым выходами устройства, при этом управляющие входы входной цепи, усилитель высокой частоты, гетеродина и устройство формирования частотной развертки соединены с соответствующими выходами блока поиска, отличается от ближайшего аналога тем, что оно снабжено интегратором, пороговым блоком, третьим, четвертым, пятым и шестым ключами, измерителем частоты, четвертым блоком сравнения и блоком памяти, причем к выходу видеоусилителя последовательно подключены интегратор, пороговый блок, третий ключ, второй вход которого соединен с выходом гетеродина, измеритель частоты, четвертый блок сравнения и четвертый ключ, второй вход которого соединен с выходом видеоусилителя, а выход подключен к второму входу первого ключа, к выходу видеоусилителя последовательно подключены пятый ключ, второй вход которого соединен с первым выходом четвертого блока сравнения, и вертикально-отклоняющие пластины электронно-лучевой трубки, к выходу измерителя частоты последовательно подключены шестой ключ, второй вход которого соединен с вторым выходом четвертого блока сравнения, и блок памяти, выход которого соединен с вторым входом четвертого блока сравнения.
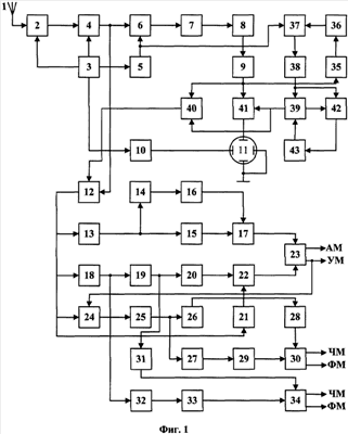
Структурная схема предлагаемого устройства представлена на фиг.1. Частотно-временные диаграммы, поясняющие принцип устранения избыточности информации о несущей частоте и виде модуляции принимаемого сигнала, изображены на фиг.2.
Устройство содержит последовательно включенные приемную антенну 1, входную цепь 2, усилитель 4 высокой частоты, смеситель 6, второй вход которого соединен с выходом гетеродина 5, усилитель 7 промежуточной частоты, первый амплитудный детектор 8, видеоусилитель 9, пятый ключ 41 и вертикально-отклоняющие пластины электронно-лучевой трубки (ЭЛТ) 11, горизонтально-отклоняющие пластины, которые соединены с выходом устройства 10 формирования частотной развертки ЭЛТ 11. Управляющие входы входной цепи 2, усилителя 4 высокой частоты, гетеродина 5 и устройства 10 формирования частотной развертки соединены с соответствующими выходами блока 3 поиска, в качестве которого может быть использован генератор пилообразного напряжения или электрический мотор. К выходу усилителя 4 высокой частоты последовательно подключены первый ключ 12, второй амплитудный детектор 13, первый фильтр 14 верхних частот, первый квадратор 16, первый делитель 17 напряжения, второй вход которого через первый фильтр 15 нижних частот соединен с выходом второго амплитудного детектора 13, и первый блок 23 сравнения, два выхода которого являются первым и вторым выходами устройства. К выходу первого ключа 12 последовательно подключены частотный детектор 18, второй фильтр 19 нижних частот, второй квадратор 20 и второй делитель 22 напряжения, второй вход которого через анализатор 21 спектра соединен с выходом первого ключа 12, а выход подключен к второму входу первого блока 23 сравнения. К выходу первого ключа 12 последовательно подключены второй ключ 24, второй вход которого соединен с вторым выходом первого блока 23 сравнения, фазовый детектор 25, третий фильтр 26 нижних частот, третий амплитудный детектор 28 и второй блок 30 сравнения, второй вход которого через последовательно включенные второй фильтр 27 верхних частот и четвертый амплитудный детектор 29 соединен с выходом фазового детектора 25, а два выхода являются третьим и четвертым выходами устройства. К выходу частотного детектора 18 последовательно подключены третий фильтр 32 верхних частот, шестой амплитудный детектор 33 и третий блок 34 сравнения, второй вход которого через пятый амплитудный детектор 31 соединен с выходом второго фильтра 19 нижних частот, а два выхода являются пятым и шестым выходами устройства. К выходу видеоусилителя 9 последовательно подключены интегратор 35, пороговый блок 36, третий ключ 37, второй вход которого соединен с выходом гетеродина 5, измеритель 38 частоты, четвертый блок 39 сравнения и четвертый ключ 40, второй вход которого соединен с выходом видеоусилителя 9, а выход подключен к второму входу первого ключа 12. Первый выход четвертого блока 39 сравнения соединен с вторым входом пятого ключа 41. К выходу измерителя 38 частоты последовательно подключены шестой ключ 42, второй вход которого соединен со вторым выходом четвертого блока 39 сравнения, и блок 43 памяти, выход которого соединен со вторым входом четвертого блока 39 сравнения.
Поиск сигналов в заданном диапазоне частот осуществляется с помощью блока 3 поиска, который по пилообразному закону согласованно изменяет настройку входной цепи 2, усилителя 4 высокой частоты и гетеродина 5. Одновременно блок 3 поиска управляет устройством 10 формирования частотной развертки на экране электронно-лучевой трубки 11.
Принимаемый сигнал после преобразования по частоте в смесителе 6 и усиления в усилителе 7 промежуточной частоты, детектирования в детекторе 8 и дополнительного усиления в видеоусилителе 9 подается через открытый ключ 41 на вертикально-отклоняющие пластины ЭЛТ 11, в результате чего на экране образуется импульс (частотная метка), положение которого на частотной развертке определяет несущую частоту принимаемого сигнала.
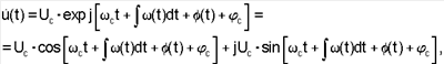
Модулированное колебание в самой общей форме может быть записано:

Здесь c, (t) – несущая частота и начальная фаза колебания;
(t)= (t)dt+ (t)+ с – фаза колебания;
U(t)=Uc[1+m·sin t] – огибающая колебания;
где Uc – амплитуда несущей в отсутствие модуляции;
m – коэффициент амплитудной модуляции;
– частота модулирующей функции.
Для сигнала с амплитудной модуляцией (AM) выражение (1) будет иметь вид:

Если АМ-сигнал поступает на вход амплитудного детектора 13 с выхода усилителя 4 высокой частоты через открытый ключ 12, то на его выходе образуется напряжение:

Следовательно, на выходе амплитудного детектора 13 при воздействии на его вход АМ-сигнала выделяется модулирующая функция, в которой заложена полезная информация.
Если на вход амплитудного детектора 13 поступает сигнал с угловой модуляцией (УМ), то при этом U(t)=Uc=const и выражение (1) принимает вид:

т.е. 
Из полученных выражений видно, что при отсутствии паразитной УМ при амплитудной модуляции колебания и паразитной AM при угловой модуляции колебания различить амплитудно-модулированный сигнал от сигнала с угловой модуляцией можно, пропуская его через амплитудный детектор 13.
В качестве информативных признаков распознавания сигналов с амплитудной и угловой модуляциями могут быть использованы следующие параметры:
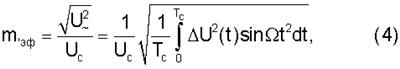
– эффективный коэффициент амплитудной модуляции

где – среднеквадратическое значение переменного напряжения сигнала и шума на нагрузке амплитудного детектора 13;
M(t)= U(t)·sin t – модулирующая функция;
– эффективная девиация частоты

где T – длительность сигнала;
– ширина спектра  c принимаемого сигнала.
Для АМ-сигнала указанные признаки равны:
mэф=0; K0 1-1,5; m0 2-3.
Для УМ-сигнала:
mэф m0; 
Эффективный коэффициент амплитудной модуляции mэф определяется с помощью амплитудного детектора 13, фильтра 14 верхних частот, первого фильтра 15 нижних частот, первого квадратора 16 и первого делителя 17 напряжений.
Эффективная девиация частоты  дэф определяется с помощью частотного детектора 18, второго фильтра 19 нижних частот, второго квадратора 20 и второго делителя 22 напряжений.
Ширина амплитудного спектра  c принимаемого сигнала определяется с помощью анализатора 21 спектра.
Отношение  c/ дэф определяется в делителе 22 напряжений. В первом блоке 23 сравнения измеренные величины mэф и  c/ дэф сравниваются с определенными численными значениями m0 и K0. По результатам сравнения определяется вид модуляции (амплитудная или угловая) принимаемого сигнала.
Если принимаемый сигнал имеет угловую модуляцию, то постоянное напряжение со второго выхода блока 23 сравнения подается на управляющий вход ключа 24, открывая его. В исходном состоянии ключи 12 и 24 всегда закрыты. При этом принимаемый сигнал с угловой модуляцией с выхода усилителя 4 высокой частоты через открытые ключи 12 и 24 поступает для дальнейшей обработки.
Следует отметить, что распознавание вида угловой (частотная или фазовая) модуляции является сложной технической задачей. Это связано с трудностью выделения информативных признаков, по которым можно отличить сигнал с частотной модуляцией (ЧМ) от сигнала с фазовой модуляцией (ФМ), так как частотная и фазовая модуляции в силу интегродифференциальной связи между частотой и фазой колебания имеют много общего друг с другом, что и оправдывает существование объединенного термина “угловая модуляция”.
Заметим, что в силу указанной связи частотная модуляция всегда сопровождается изменением фазы модулируемого колебания, а при осуществлении фазовой модуляции всегда имеет место изменение частоты радиосигнала. Эти изменения неразрывно связаны друг с другом, и все дело в том, какое из них является первичным, т.е. какое из них пропорционально модулирующей функции. При частотной модуляции очевидно, первичным является изменение частоты, а при фазовой модуляции – изменение фазы высокочастотных колебаний.
Следует отметить, что распознавание ЧМ и ФМ – сигналов при гармонической модулирующей функции вообще невозможно. Однако реальные колебания имеют модулирующую функцию, значительно более сложную, чем гармоническая. Поэтому имеется определенная возможность для распознавания ЧМ- и ФМ-сигналов, используя в качестве признака распознавания деформацию модулирующей функции на выходе частотного 18 и фазового 25 детекторов.
Пусть разложение модулирующей функции в ряд Фурье на некотором временном интервале имеет следующий вид:

где Ui, i, i – амплитуда, частота и начальная фаза i-й спектральной составляющей.
Известно, что на выходе фазового детектора 25 будет выделяться фаза колебания:

а на выходе частотного детектора 18 получается дифференциал от фазы:

Рассмотрим случай, когда тип детектора соответствует виду угловой модуляции принимаемого сигнала.
При ЧМ (t)=M(t), (t)=0 и на выходе частотного детектора 18 будем иметь:

При ФМ (t)=0, (t)=M(t) и на выходе фазового детектора 25 будем иметь:

Если тип детектора не соответствует виду угловой модуляции, то возможны следующие ситуации.
Пусть на вход фазового детектора 25 поступает ЧМ-сигнал. При этом (t)=M(t), (t)=0 и на выходе фазового детектора 25 будем иметь:

Анализируя формулу (11), видим, что спектр ЧМ-колебания после фазового детектора 25 претерпевает деформацию. С увеличением номера спектральной составляющей амплитуда ее будет уменьшаться, т.е. отношение амплитуд спектральных составляющих, взятых в начале частотной оси, к амплитуде спектральных составляющих, взятых на некотором расстоянии от начала оси, будет больше 1.
Теперь рассмотрим похождение ФМ-колебания через частотный детектор 18.
При ФМ (t)=0, (t)=M(t) и на выходе частотного детектора 18 будем иметь:

Из формулы (12) видно, что спектр ФМ-колебания на выходе частотного детектора 18 также претерпевает деформацию. С увеличением номера спектральной составляющей амплитуда ее будет увеличиваться, т.е. отношение амплитуд спектральных составляющих, взятых в начале частотной оси, к амплитудам спектральных составляющих, взятых на некотором расстоянии от начала оси, будет меньше 1.
Принимаемый УМ-сигнал с выхода усилителя 4 высокой частоты через открытые ключи 12 и 24 поступает на входы частотного 18 и фазового 25 детекторов. Фильтры 19 и 26 нижних частот выделяют спектральные составляющие, расположенные в начале частотной оси. Фильтры 27 и 32 верхних частот выделяют спектральные составляющие, расположенные на некотором расстоянии от начала оси. Амплитудные детекторы 28, 29, 31 и 33 выделяют огибающие соответствующих спектральных составляющих. Блоки 30 и 34 сравнения определяют отношение амплитуд спектральных составляющих, взятых в начале частотной оси, к амплитудам спектральных составляющих, взятых на некотором расстоянии от начала частотной оси, на выходах фазового 25 и частотного 18 детекторов. В зависимости от указанного отношения принимается решение о виде угловой (частотная или фазовая) модуляции принимаемого сигнала.
Если на выходе фазового детектора 25 указанное отношение больше единицы, а на выходе частотного детектора 18 указанное отношение приблизительно равно единице, то принимаемый сигнал имеет частотную модуляцию.
Если на выходе частотного детектора 18 отношение амплитуд спектральных составляющих, взятых в начале частотной оси, к амплитудам спектральных составляющих, взятых на некотором расстоянии от начала частотной оси, будет меньше единицы, а на выходе фазового детектора 25 указанное отношение приблизительно равно единице, то принимаемый сигнал имеет фазовую модуляцию.
Для панорамного приемника, входящего в состав устройства, характерно наличие избыточной информации о несущей частоте и виде модуляции принимаемых сигналов. Это обусловлено тем, что любой непрерывный сигнал попадает в полосу пропускания fП панорамного приемника в каждом цикле его перестройки (фиг.2). Поэтому избыточность полученной информации определяется количеством циклов перестройки гетеродина 5.
Для устранения этого недостатка может быть использован панорамный приемник с устройством исключения повторного определения и регистрации несущей частоты и вида модуляции принимаемых сигналов.
Ключи 40, 41 и 42 в исходном состоянии всегда закрыты.
Принимаемый сигнал, например, на несущей частоте f1 (фиг.2) после преобразования по частоте, детектирования и усиления интегрируется (накапливается) в интеграторе 35 и сравнивается с пороговым напряжением Uпор в пороговом блоке 36. При превышении порогового уровня Uпор в пороговом блоке 36 формируется постоянное напряжение, которое поступает на управляющий вход ключа 37, открывая его. При этом частота fГ1 гетеродина 5 в данный момент времени t1 через открытый ключ 37 измеряется измерителем 38 частоты в цифровом коде и поступает на первый вход блока 39 сравнения, на второй вход которого подаются коды измеренных ранее частот гетеродина 5 из блока 43 памяти. В исходном состоянии в памяти блока 43 памяти информация отсутствует.
Если сравниваемые коды не равны, то блок 39 сравнения формирует постоянное напряжение, которое поступает на управляющие входы ключей 40, 41 и 42, открывая их.
При этом код измеренной частоты fГ1 гетеродина в первом цикле его перестройки через открытый ключ 42 поступает в блок 43 памяти, где записывается в его памяти. Видеосигнал (фиг.2,б) с выхода видеоусилителя 9 в момент времени t1 через открытый ключ 41 поступает на вертикально-отклоняющие пластины ЭЛТ11, в результате чего на ее экране образуется частотная метка, положение которой на горизонтальной развертке однозначно определяет несущую частоту принимаемого сигнала. Этот же видеосигнал через открытый ключ 40 поступает на управляющий вход ключа 12, открывая его. При этом принимаемый сигнал с выхода усилителя 4 высокой частоты через открытый ключ 12 поступает на входы второго амплитудного детектора 13, частотного детектора 18, анализатора 21 спектра и второго ключа 24 для дальнейшей обработки с целью определения вида его модуляции.
При втором и последующих циклах перестройки гетеродина 5 непрерывный сигнал на частоте f1 опять будет попадать в полосу пропускания fП панорамного приемника (усилителя 7 промежуточной частоты). Сравниваемые коды в этом случае будут равны и на выходах блока 39 сравнения напряжения отсутствуют, ключи 40, 41 и 42 остаются в закрытом состоянии.
Следовательно, только в первом цикле перестройки гетеродина 5 осуществляется визуальная оценка несущей частоты f1 принимаемого сигнала, определение вида его модуляции и запись кода частоты fГ1 гетеродина в данный момент времени в блок 43 памяти.
Таким образом, предлагаемое устройство для определения частоты и вида модуляции принимаемых сигналов по сравнению с прототипом и другими техническими решениями аналогичного назначения обеспечивает устранение избыточной информации. Это достигается путем исключения повторного измерения и регистрации несущей частоты и вида модуляции принимаемого сигнала.
Формула изобретения
Устройство для определения частоты и вида модуляции принимаемых сигналов, содержащее последовательно включенные приемную антенну, входную цепь, усилитель высокой частоты, смеситель, второй вход которого соединен с выходом гетеродина, усилитель промежуточной частоты, первый амплитудный детектор и видеоусилитель, последовательно включенные устройство формирования частотной развертки и горизонтально-отклоняющие пластины электронно-лучевой трубки, последовательно подключенные к выходу усилителя высокой частоты первый ключ, второй амплитудный детектор, первый фильтр верхних частот, первый квадратор, первый делитель напряжений, второй вход которого через первый фильтр нижних частот соединен с выходом второго амплитудного детектора, и первый блок сравнения, два выхода которого являются первым и вторым выходами устройства, последовательно подключенные к выходу первого ключа частотный детектор, второй фильтр нижних частот, второй квадратор и второй делитель напряжений, второй вход которого через анализатор спектра соединен с выходом первого ключа, а выход подключен ко второму входу первого блока сравнения, последовательно подключенные к выходу первого ключа второй ключ, второй вход которого соединен с вторым выходом первого блока сравнения, фазовый детектор, первый фильтр нижних частот, третий амплитудный детектор и второй блок сравнения, второй вход которого через последовательно включенные второй фильтр верхних частот и четвертый амплитудный детектор соединен с выходом фазового детектора, а два выхода являются третьим и четвертым выходами устройства, последовательно подключенные к выходу частотного детектора третий фильтр верхних частот, шестой амплитудный детектор и третий блок сравнения, второй вход которого через пятый амплитудный детектор соединен с выходом второго фильтра нижних частот, а два выхода являются пятым и шестым выходами устройства, при этом управляющие входы входной цепи, усилитель высокой частоты, гетеродина и устройство формирования частотной развертки соединены с соответствующими выходами блока поиска, отличающееся тем, что оно снабжено интегратором, пороговым блоком, третьим, четвертым, пятым и шестым ключами, измерителем частоты, четвертым блоком сравнения и блоком памяти, причем к выходу видеоусилителя последовательно подключены интегратор, пороговый блок, третий ключ, второй вход которого соединен с выходом гетеродина, измеритель частоты, четвертый блок сравнения и четвертый ключ, второй вход которого соединен с выходом видеоусилителя, а выход подключен к второму входу первого ключа, к выходу видеоусилителя последовательно подключены пятый ключ, второй вход которого соединен с первым выходом четвертого блока сравнения, и вертикально-отклоняющие пластины электронно-лучевой трубки, к выходу измерителя частоты последовательно подключены шестой ключ, второй вход которого соединен с вторым выходом четвертого блока сравнения, и блок памяти, выход которого соединен с вторым входом четвертого блока сравнения.
РИСУНКИ
MM4A – Досрочное прекращение действия патента СССР или патента Российской Федерации на изобретение из-за неуплаты в установленный срок пошлины за поддержание патента в силе
Дата прекращения действия патента: 28.11.2008
Извещение опубликовано: 10.08.2010 БИ: 22/2010
|
|