|
|
(21), (22) Заявка: 2005131683/28, 12.10.2005
(24) Дата начала отсчета срока действия патента:
12.10.2005
(43) Дата публикации заявки: 20.04.2007
(46) Опубликовано: 20.05.2008
(56) Список документов, цитированных в отчете о поиске:
ЕР 1378790 А2, 07.01.2004. US 6459480 В1, 01.10.2002. US 6368763 B2, 09.04.2002. RU 2238576 C1, 20.10.2004.
Адрес для переписки:
305040, г.Курск, ул. 50 лет Октября, 94, КГТУ, ОИС
|
(72) Автор(ы):
Стрелкова Александра Николаевна (RU), Титов Виталий Семёнович (RU), Труфанов Максим Игоревич (RU)
(73) Патентообладатель(и):
Государственное образовательное учреждение высшего профессионального образования Курский государственный технический университет (RU)
|
(54) СПОСОБ НАХОЖДЕНИЯ ОБЛАСТЕЙ ИЗОБРАЖЕНИЯ, ИСКАЖЕННЫХ КОМАТИЧЕСКОЙ АБЕРРАЦИЕЙ С ПОСЛЕДУЮЩЕЙ КОРРЕКЦИЕЙ
(57) Реферат:
Способ заключается в том, что по изображению, переданному оптической системой, определяют расстояние от точки предмета до главной оптической оси оптической системы, по радиусу диафрагмы и координатам геометрического центра тяжести изображения точки в виде светового пятна определяют диафрагменные координаты, находят величину коматической аберрации и определяют искаженные области изображения. Для определения искаженных областей производят поиск точек, при построении от которых заданной фигуры функция распределения яркости f(х,у) в этой фигуре удовлетворяет значению, экспериментально определенному для оптической системы. Из найденных точек формируют массивы точек, входящих в искаженные области, и осуществляют коррекцию яркостей точек в искаженных областях путем определения истинной яркости точек искаженной области по формуле fкор.=fтек.-f(х,у), где fтек – текущая яркость. Технический результат – повышение точности коррекции коматической аберрации. 2 ил.
Изобретение относится к вычислительной технике и может быть использовано как для нахождения областей изображения, искаженных коматической аберрацией, так и для коррекции коматической аберрации оптической системы оптико-электронного датчика.
Известен объектив (патент РФ №2258247, опубликованный 10.08.2005, по заявке №2003107773/28 от 17.03.2003), коррекция коматической аберрации в котором осуществляется способом, который заключается в том, что для коррекции аберрации объектив содержит положительный компонент, расположенный со стороны предмета и включающий две линзы, одна из которых двояковыпуклая, и отрицательный компонент, расположенный со стороны изображения и выполненный в виде мениска.
Недостатком является наличие после коррекции остаточных аберраций, вызванных введением дополнительных линз.
Наиболее близким к предлагаемому является способ компенсации коматической аберрации, (патент США №5726436, опубликованный 10.03.1998, по заявке №762508 от 10.12.1996), заключающийся в том, что линза объектива собирает световой пучок лучей, излучаемый источником света, расположенным на оптической оси, разветвитель пучка лучей разделяет пучок света, излучаемый источником света, отраженный световым отражателем от оптического диска, детектор обнаруживает возвращенный свет, отделенный от светового пучка, излучаемого источником света. Первое оптическое компенсирующее устройство имеет выпуклую асферическую поверхность и располагается на оптическом пути, где световой пучок излучается источником света. Второе оптическое компенсирующее устройство имеет вогнутую асферическую поверхность и располагается на оптическом пути, где световой пучок излучается источником света.
Недостатком этого способа является внесение дополнительных погрешностей введенными для коррекции компенсирующими устройствами.
Технической задачей изобретения является повышение точности коррекции коматической аберрации.
Задача решается тем, что по изображению, переданному оптической системой, определяют расстояние от точки предмета до главной оптической оси оптической системы, по радиусу диафрагмы и координатам геометрического центра тяжести изображения точки в виде светового пятна определяют диафрагменные координаты, находят величину коматчиеской аберрации, определяют искаженные области изображения, для чего производят поиск точек, при построении от которых заданной фигуры функция распределения яркости f(х,у) в этой фигуре удовлетворяет значению, экспериментально определенному для оптической системы, формируют массивы точек, входящих в искаженные области, осуществляют коррекцию яркостей точек в искаженных областях путем определения истинной яркости точек искаженной области. Изобретение может быть использовано для повышения точности передачи изображения оптических систем при их эксплуатации.
Сущность изобретения поясняется чертежами, где на фиг.1 показан ход лучей при коматической аберрации и обозначены точки, используемые в расчетах, на фиг.2 – схема, используемая для определения областей, искаженных коматической аберрацией.
Коматическая аберрация является одним из видов монохроматических аберраций и заключается в том, что симметричный относительно главного луча пучок, входящий в оптическую систему, становится асимметричным по выходе из системы (фиг.1) [Теория оптических систем. Учебник для вузов / Б.Н.Бегунов, Н.П.Заказнов, С.И.Кирюшин, В.И.Кузичев. – 2-е изд., перераб. и доп. – М.: Машиностроение, 1981. – С.158].
Наличие коматической аберрации в оптической системе приводит к тому, что вместо изображения в виде точки, в геометрическом смысле слова, имеет место световое пятно, напоминающее своей формой комету.
[Прикладная оптика. Апенко М.И., Дубовик А.С. М.: Наука, Главная редакция физико-математической литературы, 1971. – С.147].
Коматическая аберрация зависит от расстояния у от точки предмета до главной оптической оси, диафрагменных координат m и М, постоянного для оптической системы коэффициента В.
Рассмотрим определение расстояния у от точки предмета до главной оптической оси.
Т.к. расстояние от диафрагмы до главной оптической системы по отношению к расстоянию от точки предмета до оптической системы мало, то можно им пренебречь. Таким образом, для того, чтобы найти расстояние от точки предмета до главной оптической оси, производят следующие расчеты:
r – радиус диафрагмы;
f – фокусное расстояние;
r=ON=OK;
СТ – расстояние от центра изображения до крайней точки светового пятна.
Так как треугольники АТС и АОК подобны, то


Из фиг.1:
OC=f,


Из треугольника АОК

DT=|CT-r|,
ND=ОС=f.
Из треугольника DTN:

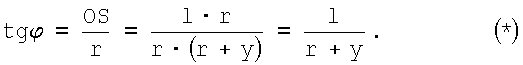
LH=у
Так как треугольники LSH и SON подобны,


Пусть LO=l


Из треугольника OSN:

Из треугольника ЕНК:
ЕН=r-y,


Пусть n – коэффициент преломления, определяющийся следующим образом:


sin =n·sin ‘,
sin =n·sin ‘.
tg =tg(arcsin(sin ))=tg(arcsin(n·sin ‘)),
tg =tg(arcsin(sin ))=tg(arcsin(n·sin ‘)),
tg =tg(arcsin(n·sin(arctg(tg ‘)))),
tg =tg(arcsin(n·sin(arctg(tg ‘)))),
Из формулы (*) следует:
l=tg ·(r+y)
Из формул (*) и (**) следует:
при >90°:

tg ·tg ·(r+y)=r-y,
tg ·tg ·r+tg ·tg ·y=r-y,
r·(1-tg ·tg )=у·(1+tg ·tg ),

при <90°:

tg ·(r-y)=tg ·(r+y),
tg ·r-tg ·y=tg ·r+tg ·y,
r·(tg -tg )=у·(tg +tg ),

Таким образом,

Диафрагменные координаты определяются по изображению при известном радиусе диафрагмы путем определения полярных координат (r, а), где а – угол, определяемый по координатам геометрического центра тяжести изображения светового пятна, r – радиус диафрагмы, и последующего перехода к декартовым координатам (m, М).
После нахождения расстояния от точки предмета до оптической оси у и диафрагменных координат m и М находят величину коматической аберрации по формуле
y’=By(3m2+M2),
где Дy’ – величина коматической аберрации.
Для исправления коматической аберрации выявляют искаженные области. Для этого от крайней точки Т светового пятна (фиг.2) откладывают расстояние, равное величине коматической аберрации. После чего от полученной точки Р строят две вспомогательные прямые под углом 30 градусов к прямой PT (фиг.2). Далее строят окружность радиусом RT.
Для выявления искаженной области, нуждающейся в коррекции, необходимо знать координаты точек Р, U, V, R. Для чего при известных координатах точки Т производят следующие расчеты. Рассмотрим проводимые расчеты для первой четверти изображения (при х>0, y>0). Для остальных четвертей вычисления будут аналогичны.
Пусть (хT, yT) – координаты точки Т (фиг.2).
Т.к. С – центр изображения, принимаемый за начало координат,
СТY=ТТx=уT, СТX=хT.


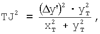
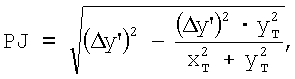
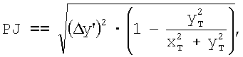
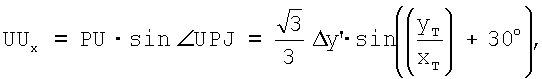
Из фиг.2 видно, что угол TCTx равен углу TPJ, следовательно:
tg TCTx=tg TPJ,


Известно, что РТ (фиг.2) – величина коматической аберрации, равная Дy’
Рассмотрим треугольник PTJ:
По теореме Пифагора:

Из формул (1) и (2):






Из формул (2) и (3):





Пусть (xP, yP) – координаты точки Р (фиг.2).
xP=xT-PJ,

yP=yT-TJ.

Рассмотрим равные треугольники UPR и VPR:
Т.к. угол UPJ=60° [Прикладная оптика. Апенко М.И., Дубовик А.С. М.: Наука, Главная редакция физико-математической литературы, 1971. – С.147], углы UPR и VPR равны 30°,
sin UPR=sin VPR,

PR=2UR.
Т.к. UR=VR=RT (фиг.2)
y’=PT=PR+RT=2UR+RT=2RT+RT=3RT,


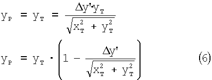
Пусть (хR,уR) – координаты точки R (фиг.2). Эти координаты определяются аналогично координатам точки Р (формулы (5) и (6)).


Т.к. 


Угол 
По теореме Пифагора:

Из треугольника PUUx.


yU=yP+UUx,




Угол 
Координаты точки V находятся аналогично координатам точки U. Таким образом, согласно формулам (11) и (12):


В результате получают область, ограниченную двумя прямыми и дугой окружности с центром в точке R. Данная область нуждается в коррекции.
Для определения всех искаженных областей изображения последовательно по всему кадру производится поиск точек, при построении от которых заданной фигуры закон распределения яркости удовлетворяет заранее определенному для каждой конкретной оптической системы шаблонному значению, после чего при выполнении данного условия формируется массив точек, входящих в искаженную область для последующей коррекции.
Коррекция яркостей точек в искаженных областях осуществляется путем определения истинной яркости точек искаженной области. Яркость определяется по формуле
fкор=fтек-f(x,y),
где fтек – текущая яркость, f(x,y) – функция распределения яркости в искаженной области в зависимости от расстояния от крайней точки светового пятна, определяемая экспериментально для каждой оптической системы.
Способ позволяет повысить качество изображений за счет повышения точности коррекции коматической аберрации путем нахождения областей изображения, искаженных коматической аберрацией и их последующей коррекцией.
Формула изобретения
Способ нахождения областей изображения, искаженных коматической аберрацией, заключающийся в том, что по изображению, переданному оптической системой, определяют расстояние от точки предмета до главной оптической оси оптической системы, по радиусу диафрагмы и координатам геометрического центра тяжести изображения точки в виде светового пятна определяют диафрагменные координаты, находят величину коматической аберрации, определяют искаженные области изображения, для чего производят поиск точек, при построении от которых заданной фигуры функция распределения яркости f(х,у) в этой фигуре удовлетворяет значению, экспериментально определенному для оптической системы, формируют массивы точек, входящих в искаженные области, осуществляют коррекцию яркостей точек в искаженных областях путем определения истинной яркости точек искаженной области по формуле
fкор.=fтек.-f(х,у),
где fтек. – текущая яркость.
РИСУНКИ
MM4A – Досрочное прекращение действия патента СССР или патента Российской Федерации на изобретение из-за неуплаты в установленный срок пошлины за поддержание патента в силе
Извещение опубликовано: 27.04.2009 БИ: 12/2009
|
|