|
|
(21), (22) Заявка: 2006142590/28, 04.12.2006
(24) Дата начала отсчета срока действия патента:
04.12.2006
(46) Опубликовано: 20.05.2008
(56) Список документов, цитированных в отчете о поиске:
RU 2279632 С2, 10.07.2006. RU 2280238 C1, 20.07.2006. RU 2234054 C1, 10.08.2004. US 2004251916 A1, 16.12.2004.
Адрес для переписки:
124498, Москва, Зеленоград, пр-д 4806, 5, МИЭТ, патентно-лицензионный отдел
|
(72) Автор(ы):
Зотов Сергей Александрович (RU), Чаплыгин Юрий Александрович (RU), Тимошенков Сергей Петрович (RU), Плеханов Вячеслав Евгеньевич (RU), Лапенко Вадим Николаевич (RU), Анчутин Степан Александрович (RU), Рубчиц Вадим Григорьевич (RU), Шилов Валерий Федорович (RU), Максимов Владимир Николаевич (RU), Балычев Владимир Николаевич (RU), Морозова Елена Сергеевна (RU), Калугин Виктор Владимирович (RU)
(73) Патентообладатель(и):
Государственное образовательное учреждение высшего профессионального образования “Московский государственный институт электронной техники (технический университет)” (МИЭТ) (RU), ООО “ЛАБОРАТОРИЯ МИКРОПРИБОРОВ” (RU)
|
(54) СПОСОБ ИЗМЕРЕНИЯ ВЕЛИЧИНЫ ЗАЗОРА В МИКРОМЕХАНИЧЕСКОМ ДАТЧИКЕ
(57) Реферат:
Изобретение относится к измерительной технике. Сущность: определяют зазор на основе измерения электрической емкости между чувствительным элементом упругого подвеса и электродом. Первоначально измеряется величина электрической емкости между чувствительным элементом упругого подвеса и электродом в исходном положении чувствительного элемента. Затем чувствительный элемент перемещается до касания с его основанием, на котором расположен электрод, в этом положении снова измеряется величина указанной емкости, а величина рабочего зазора вычисляется по соотношению. Технический результат: повышение точности измерения. 1 з.п. ф-лы, 2 ил.
Изобретение относится к измерительной технике и может применяться при изготовлении и контроле параметров микромеханических датчиков (ММД): акселерометров, гироскопов, датчиков давления, резонаторов, микрозеркал и т.п. Предлагаемый способ предназначен для контроля рабочего зазора между чувствительным элементом (ЧЭ) и электродами систем съема перемещений и электростатического привода, применяемых в ММД. Способ применяется в технологическом процессе изготовления ММД на этапе сборки перед посадкой ЧЭ в корпус.
К известным прямым способам контроля зазора можно отнести оптический контроль, имеющий ряд существенных недостатков: не доступен для контроля рабочего зазора в структурах типа “сэндвич”, непроизводителен при массовом изготовлении;
рентгеновский контроль – непроизводителен при массовом изготовлении [1, 2].
Известен способ контроля зазора, основанный на измерении емкости [3]. Однако прямые методы измерения емкостей в системе “упругий подвес-электроды” обладают большой погрешностью из-за наличия паразитных емкостей, сопоставимых по величине с величиной номинальной емкости (емкости между ЧЭ и электродом). Это приводит к существенной погрешности определения зазора, поскольку погрешности измерения номинальной емкости прямым методом могут достигать нескольких десятков или даже сотен процентов вследствие.
Целью изобретения является повышение точности измерения рабочего зазора в системе “упругий подвес-электроды”.
Для достижения поставленной цели предлагается способ, заключающийся в первоначальном измерении величины электрической емкости между чувствительным элементом (ЧЭ) упругого подвеса и электродом, перемещении ЧЭ в упругом подвесе до его касания с основанием, на котором расположен электрод, измерении величины указанной емкости в этом положении, вычислении величины рабочего зазора по следующему соотношению:

где h0 – рабочий зазор, l – длина электрода, L – расстояние от оси торсионов упругого подвеса до края электрода, – коэффициент диэлектрической проницаемости; 0 – электрическая постоянная; b – ширина чувствительного элемента, Сном из – измеренная величина электрической емкости между чувствительным элементом и электродом в положении устойчивого равновесия, Смин из – измеренная величина электрической емкости между чувствительным элементом и электродом в положении касания чувствительного элемента с основанием.
Соотношение (1) для определения зазора предлагаемым способом получается следующим образом.
На фиг.1 показана типовая система “упругий подвес-электроды”, используемая в микромеханических датчиках и представляющая собой ЧЭ, подвешенный с помощью упругих элементов с зазором h0 над системой электродов С11, С12, С21, С22, которые в свою очередь расположенны на статорной подложке.
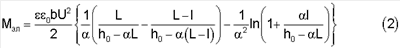
Рассмотрим работу ММД в режиме электростатического двигателя. Плавное увеличение напряжения на любом из электродов приводит к плавному увеличению угла отклонения ЧЭ (фиг.1), происходящему за счет притягивающих пондеромоторных сил, возникающих в электростатическом поле между ЧЭ и электродом. При достижении некоторого критического значения угла происходит опрокидывание ЧЭ на статорную подложку. Электростатический момент силы может быть представлен следующим соотношением:

где U – управляющее напряжение, l – длина обкладки конденсатора (l=l1 или l=l2), L – расстояние от оси торсионов до края обкладки электрода (L=L1 или L=L2), – коэффициент диэлектрической проницаемости; 0 – электрическая постоянная; b – ширина чувствительного элемента, – угол поворота чувствительного элемента (ЧЭ).
Момент упругой силы торсионов при повороте ЧЭ на угол определяется зависимостью: Mмех=к .
На фиг.2 представлены функциональные зависимости Мэл, Mмех от угла . В силу того, что электростатический момент Мэл возрастает на всем допустимом диапазоне значений и не имеет точек перегибов, а механический момент Ммех линейно зависит от угла , возможны три случая взаимного расположения графиков электростатического и механического моментов: графики электростатического момента и механического момента имеют две точки пересечения; одну точку пересечения (график механического момента является касательной к графику электростатического момента); не пересекаются. Рассмотрим каждый из трех случаев отдельно.
В случае двух точек пересечения точки 1 и 2 определяют пересечения графиков функций электростатического и механического моментов и являются положением равновесия. Разобьем абрисами точек 1 и 2 ось , на три зоны (условно обозначим зоны I, II, III). Из фиг.2 видно, что в зоне I выполняется условие |Mэл 1|>|Ммех|, для зоны II |Мэл 1|<|Ммех|, для зоны III |Мэл 1|>|Ммех|. Отмечая, что механический момент возвращает ЧЭ в нейтральное положение, а электростатический момент выводит подвижную систему МП из данного положения, заключаем, что зоны I, II – устойчивые зоны, а III – неустойчивая зона. Следовательно, точка 1 – точка устойчивого положения равновесия, а точка 2 – точка неустойчивого положения равновесия. Таким образом, в случае если графики электростатического момента и механического момента имеют две точки пересечения, то вторая точка пересечения определяет границу устойчивости. В случае одной точки пересечения (из фиг.2) видно, что до точки касания графиков выполняется условие |Мэл 2|>|Ммех|, после точки пересечения графиков |Мэл 2|<|Ммех|. Следовательно, точка пересечения графиков – точка неустойчивого положения равновесия и система не имеет зон устойчивости. В том случае, если графики не пересекаются (фиг.2), видно, что |Мэл 3|>|Ммех|. Следовательно, система не имеет зон устойчивости. Выражение (2) представляет собой квадратичную зависимость от напряжения U, поэтому при его увеличении меняется положение графика Мэл( ). Это приводит к сближению точек пересечения графиков электростатического и механического моментов (точки 1 и 2, см. фиг.4), при некотором критическом напряжении U точки 1 и 2 сливаются, что приводит к потере устойчивости и опрокидыванию ЧЭ на статорную обкладку. Данный эффект может быть использован для измерения номинального значения емкости.
Емкость, образованная ЧЭ и электродом, определяется следующей зависимостью:

Номинальная величина емкости при =0 определяется так:

В случае поворота ЧЭ на максимальный угол max=h0/L из (3) получаем соотношение для определения минимальной емкости:

Отношение разности номинальной и минимальной емкостей к номинальной емкости для фиксированной геометрии обкладок будет постоянным числом, не зависящим от зазора и от ширины обкладки.

Измерение и расчет номинального значения емкости проводятся в два этапа. На первом этапе измеряется значение емкости Сном из без подачи управляющего напряжения на электрод. На втором – подается достаточное для опрокидывания ЧЭ напряжение на симметричный измеряемому электрод, измеряется значение емкости Смин из. Следует отметить, что измеренные значения емкостей Сном из и Смин из состоят из Сном из=Сном+Сnap, Cмин из=Смин+Сnap, где Сnap – паразитная емкость, состоящая из емкостей подводящих проводов, контактных площадок и других элементов конструкции датчика. Однако разность измеренных емкостей Сном из-Смин из будет равна разности действительных значений емкостей Сном-Смин. В этом случае истинное значение номинальной емкости, в соответствии с зависимостью (6), рассчитывается по формуле:

Используя (4), (7), получаем соотношение (1) для вычисления величины зазора h0 между ЧЭ и электродом.
Таким образом, предлагаемый способ позволяет определять величины номинальных емкостей, образованных ЧЭ и электродами систем съема перемещений и электростатического привода в процессе сборки ММД перед посадкой его в корпус и дальнейшей герметизацией, а также контролировать величины рабочих зазоров между ними. Способ применяется в МИЭТ на кафедре микроэлектроники для контроля емкостей ММД, величина которых находится в пределах 0,2÷10 пФ (величина паразитных емкостей составляет при этом 2,5÷6 пФ), а также рабочих зазоров с величинами порядка 3÷30 мкм. Погрешность измерения номинальных емкостей и рабочих зазоров не превышает при этом ±9%.
Источники информации
1. Измерение параметров полупроводниковых материалов и структур / В.В.Батавин, Ю.А.Концевой, Ю.В.Федорович. М.: Радио и связь, 264 с., ил. 20, 1985.
2. Методы исследования и контроля чистоты поверхности материалов электронной техники: [Учеб. пособие] / А.И.Бутурлин, И.Э.Голубская, Ю.Д.Чистяков; Моск. ин-т электрон. техники. М.: МИЭТ, 91 с., ил. 20, 1989.
3. Былинкин С.Ф., Вавилов В.Д., Миронов С.Г. Преобразователь перемещений. Патент РФ №2279632, 2004.06.15 – прототип.
Формула изобретения
1. Способ измерения величины зазора в микромеханическом датчике, включающий определение зазора на основе измерения электрической емкости между чувствительным элементом упругого подвеса и электродом, отличающийся тем, что первоначально измеряется величина электрической емкости между чувствительным элементом упругого подвеса и электродом в исходном положении чувствительного элемента, затем чувствительный элемент перемещается до касания с его основанием, на котором расположен электрод, в этом положении снова измеряется величина указанной емкости, а величина рабочего зазора вычисляется по следующему соотношению:

где h0 – рабочий зазор, l – длина электрода, L – расстояние от оси торсионов упругого подвеса до края электрода, – коэффициент диэлектрической проницаемости; 0 – электрическая постоянная; b – ширина чувствительного элемента, Сном из – измеренная величина электрической емкости между чувствительным элементом и электродом в положении устойчивого равновесия,
Смин из – измеренная величина электрической емкости между чувствительным элементом и электродом в положении касания чувствительного элемента с основанием.
2. Способ по п.1, отличающийся тем, что перемещение чувствительного элемента до его касания с основанием, на котором расположен электрод, обеспечивается подачей на него электрического напряжения.
РИСУНКИ
|
|