Патент на изобретение №2323937
|
|||||||||||||||||||||||||||||||||||||||||||||||||||||||||||||||||||||||||||||||||||||||||||||||||||||||||||||||||||||||||||||||||||||||||||||||||||||||||||||||||||||||||||||||||||||||||||||||||||||||||||||||||||||||||||||||||||||||||||||||||||||||||||||||||||||||||||||||||||||||||||||||||||||||||||||||||||||||||||||||||||||||||||||||||||||||||||||||||||||||||||||||||||||||||||||||||||||||||||||||||||||||||||||||||||||||||||||||||||||||||||||||||||||||||||||||||||||||||||||||||||||||||||||||||||||||||||||||||||||||||||||||||||||||||||||||||||||||||||||||||||||||||||||||||||||||||||||||||||||||||||||||||||||||||||||||||||||||||||||||||||||||||||||||||||||||||||||||||||||||||||||||||||||||||||||||||||||||||||||||||||||||||||||||||||||||||||||||||||||||||||||||||||||||||||||||||||||||||||||||||||||||||||||||||||||||||||||||||||||||||||||||||||||||||||||||||||||||||||||||||||||||||||||||||||||||||||||||||||||||||||||||||||||||||||||||||||||||||||||||||||||||||||||||||||||||||||||||||||||||
(54) ПРОИЗВОДНЫЕ ИНДАНОЛА
(57) Реферат:
Изобретение относится к новым соединениям, представленным общей формулой (I): (где R1 и R2 могут быть одинаковыми или различными, и каждый представляет собой арильную группу, замещенную 1-3 группами, выбранными из группы заместителей
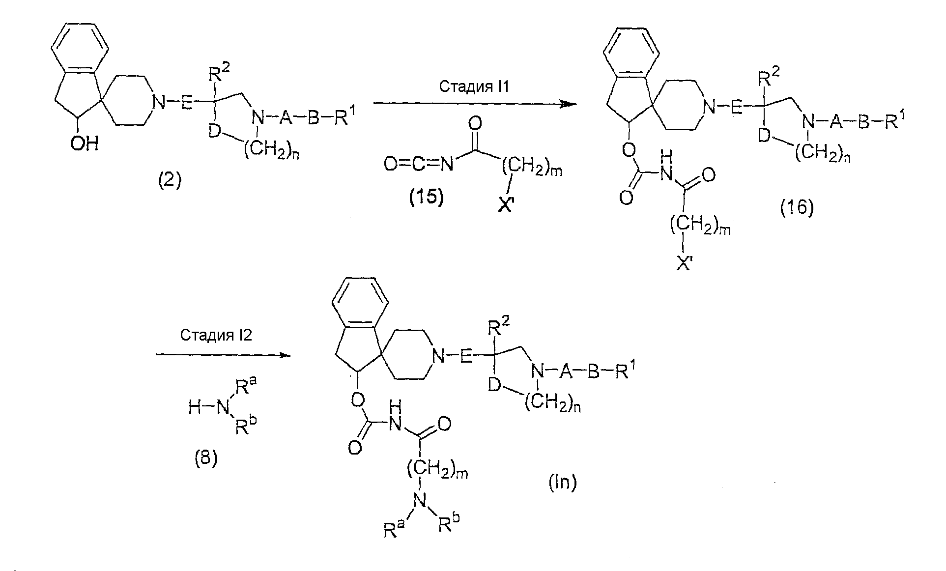
Настоящее изобретение относится к новым производным инданола, обладающим антагонистической активностью в отношении тахикининовых рецепторов (NK1, NK2 и NK3). В патенте США № 6511975 описаны производные инданола, обладающие антагонистической активностью в отношении NK1 рецепторов, NK2 рецепторов и NK3 рецепторов. Настоящее изобретение отличается от соединений предшествующего уровня техники тем, что гидроксильная группа инданола является замещенной, и из предшествующего уровня техники не ясно, что может служить основанием для введения данного заместителя (группа, соответствующая R3 в общей формуле (I), будет описана ниже) в соединение, описанное в патенте США № 6511975. Описание изобретения В результате проведения обширных исследований антагонистов нейрокининовых рецепторов в течение многих лет авторы настоящего изобретения обнаружили соединения, которые обладают антагонистической активностью в отношении всех NK1, NK2 и NK3 рецепторов и демонстрируют устойчивые фармакологические действия, которые стали объектом настоящего изобретения. Кроме того, к другому объекту настоящего изобретения относится новый фармацевтический препарат, включающий вышеуказанное соединение в качестве его активного компонента, и примеры заболеваний, при которых данный фармацевтический препарат может применяться, включают заболевания центральной нервной системы, включая страх, депрессию, психические заболевания и шизофрению; нейродегенеративные заболевания, включая связанную со СПИД деменцию, старческую деменцию по типу Альцгеймера, болезнь Альцгеймера, синдром Дауна, демиелинизирующее заболевание, боковой амиотрофический склероз, нейропатию, периферическую нейропатию и невралгию; респираторные заболевания, включая хроническое обструктивное заболевание легкого, бронхит, пневмонию, бронхиальный спазм, астму и кашель; воспалительные заболевания, включая воспалительную болезнь кишечника (IBD), псориаз, фиброз, остеоартрит, дегенеративный артрит и ревматоидный артрит; экзему; аллергические заболевания, включая ринит; состояния гиперчувствительности, включая заболевания гиперчувствительности к вьющимся растениям; офтальмологические заболевания, включая конъюнктивит, весенний конъюнктивит, весенний катар, деструкцию гематоофтальмического барьера, сопутствующую различным воспалительным заболеваниям глаз, повышенное внутриглазное давление и миоз; кожным заболеваниям, включая контактный дерматит, атопический дерматит, уртикарию и другие экземаподобные дерматиты; наркоманию, включая алкоголизм; вызываемые стрессом соматические заболевания; симпатическую рефлекторную дистрофию, включая синдром плеча; дистимию; заболевания относящиеся к нежелательным иммунным реакциям, включая отторжения трансплантата и иммунологическое отторжение или иммуносупрессию, включая системную эритематозную волчанку; заболевания органов пищеварения, включая заболевания, вызываемые пороками в нервах, контролирующих внутренние органы, колиты, язвенные колиты, синдром раздраженной толстой кишки и болезнь Крона; рвоту, включая рвоту, вызываемую рентгеновским облучением и хемиотерапевтическими средствами, ядами, токсинами, беременностью, вестибулярными растройствами, послеоперационными заболеваниями, гастроинтестинальной обструкцией, гастроинтестинальным нарушением моторики, висцералгией, мигренью, повышенным внутричерепным давлением, пониженным внутричерепным давлением или вредными побочными действиями, сопутствующими приему различных фармацевтических препаратов; функциональные заболевания мочевого пузыря, включая цистит и недержание мочи; эозинофилию, вызываемую коллагеновыми заболеваниями, склеродермией или печеночной инфекцией, вызываемой фасциолами; заболевания, вызываемые нарушениями кровообращения вследствие расширения сосудов или стеноза, включая стенокардию, мигрень и болезнь Рейно; боль, связанную с рецепцией болезненной пенетрации, включая мигрень, головную боль и зубную боль; и синдром апноэ во сне. Новый фармацевтический препарат по настоящему изобретению может использоваться в качестве профилактического или терапевтического средства для респираторных заболеваний, таких как астма, бронхит и хроническая обструкция легких; аллергических заболеваний, таких как ринит; и/или в частности, недержание мочи. Настоящее изобретение относится к (1) соединению, представленному общей формулой (I): (где R1 и R2 могут быть одинаковыми или различными, и каждый представляет собой арильную группу, гетероарильную группу, арильную группу, замещенную 1-3 группами, выбранными из группы заместителей R3 представляет собой любую из следующих групп: -CO-R4, -CO-O-R4, -CO-NH-R4, -CO-CH2-N(Ra)Rb, -(CH2)m-CO-R5, -(CH2)m-R5, -CO-NH-CO-N(Ra)Rb, -CO-NH-SO2-N(Ra)Rb, -CO-NH-CO-(CH2)m-N(Ra)Rb, и -CO-NH2; R4 представляет собой низшую алкильную группу, циклоалкильную группу, циклоалкильную группу, замещенную 1-3 группами, выбранными из группы заместителей R5 представляет собой гидроксильную группу, группу -OR4 или группу -N(Ra)Rb; Ra и Rb могут быть одинаковыми или различными, и каждый представляет собой атом водорода, гидроксильную группу, низшую алкоксигруппу, гидрокси низшую алкоксигруппу, гидрокси низшую алкоксиалкильную группу, низшую алкокси низшую алкоксиалкильную группу, циано низшую алкильную группу, циано низшую алкоксиалкильную группу, карбокси низшую алкильную группу, карбокси низшую алкоксиалкильную группу, низшую алкоксикарбонил низшую алкоксиалкильную группу, карбамоил низшую алкильную группу, карбамоил низшую алкоксиалкильную группу, низшую алифатическую ациламино низшую алкильную группу, низшую алифатическую ациламино низшую алкоксиалкильную группу, низшую алкилсульфониламино низшую алкильную группу, низшую алкилсульфониламино низшую алкоксиалкильную группу, (N-гидрокси-N-метилкарбамоил) низшую алкильную группу, (N-гидрокси-N-метилкарбамоил) низшую алкоксиалкильную группу, (N-низшую алкокси-N-метилкарбамоил) низшую алкильную группу, (N-низшую алкокси-N-метилкарбамоил) низшую алкоксиалкильную группу или R4, или вместе, включая атом азота, к которому они присоединены, представляют собой азотсодержащую гетероциклическую группу или азотсодержащую гетероциклическую группу, замещенную 1-3 группами, выбранными из группы заместителей m равно целому числу от 1 до 6; A представляет собой метиленовую группу, карбонильную группу или сульфонильную группу; B представляет собой прямую связь, C1-C4 алкиленовую группу или C2-C4 алкениленовую группу; D представляет собой атом кислорода или метиленовую группу; E представляет собой C1-C4 алкиленовую группу или C2-C4 алкениленовую группу; n равно целому числу от 1 до 3; и группа заместителей или их фармакологически приемлемые соли. Предпочтительные соединения из числа вышеуказанных соединений включают (2) соединение, где R1 представляет собой арильную группу или арильную группу, замещенную 1-3 группами, выбранными из группы заместителей (3) соединение, где R1 представляет собой фенил или фенил, замещенный 1-3 группами, выбранными из группы заместителей (4) соединение, где R1 представляет собой фенил или фенил, замещенный 1-3 группами, выбранными из группы, включающей галоген низшие алкильные группы, низшие алкоксигруппы и гидроксильные группы, (5) соединение, где R1 представляет собой фенил, замещенный 1-3 группами, выбранными из группы, включающей галоген низшие алкильные группы и низшие алкоксигруппы, (6) соединение, где R1 представляет собой 3,5-бис(трифторметил)фенил или 3,4,5-триметоксифенил, (7) соединение, где R2 представляет собой арильную группу, замещенную 1-3 группами, выбранными из группы заместителей (8) соединение, где R2 представляет собой фенильную группу, замещенную 1 или 2 атомами галогена, (9) соединение, где R2 представляет собой 3,4-дифторфенил или 3,4-дихлорфенил, (10) соединение, где A представляет собой метиленовую группу или карбонильную группу, (11) соединение, где A представляет собой карбонильную группу, (12) соединение, где B представляет собой прямую связь или C1-C4 алкиленовую группу, (13) соединение, где B представляет собой прямую связь, (14) соединение, где D представляет собой атом кислорода или метиленовую группу, (15) соединение, где E представляет собой C1-C4 алкиленовую группу, (16) соединение, где E представляет собой этилен или триметилен, (17) соединение, где n равно 1 или 2, (18) соединение, где n равно 2, (19) соединение, где R3 представляет собой -(CH2)m-CO-R5, (20) соединение, где R3 представляет собой -CH2-CO-N(Ra)Rb, (21) соединение, где один из Ra и Rb представляет собой атом водорода, низшую алкильную группу, гидроксильную группу или низшую алкоксигруппу, а другой представляет собой гидрокси низшую алкильную группу, гидрокси низшую алкоксиалкильную группу, карбокси низшую алкильную группу, карбокси низшую алкоксиалкильную группу, низшую алкоксикарбонил низшую алкильную группу или низшую алкоксикарбонил низшую алкоксиалкильную группу, или Ra и Rb вместе, включая атом азота, к которому они присоединены, образуют азотсодержащую гетероциклическую группу или азотсодержащую гетероциклическую группу, замещенную 1-3 группами, выбранными из группы заместителей (22) соединение, где -N(Ra)Rb представляет собой N-(3-гидроксипропил)-N-метиламино, N-(4-гидроксибутил)-N-метиламино, N-(5-гидроксипентил)-N-метиламино, N-(6-гидроксигексил)-N-метиламино, N-[2-(2-гидроксиэтокси)этил]-N-метиламино, N-(2-гидроксиэтил)-N-метоксиамино, N-(3-карбоксипропил)-N-метиламино, 2-(3-гидроксипропил)пирролидино, 4-гидроксиметилпиперидино, 4-(2-гидроксиэтил)пиперидино, 4-(3-гидроксипропил)пиперидино, 4-(2-гидроксиэтокси)пиперидино, 4-(гидроксиацетамидо)пиперидино, 4-(2-гидроксиэтоксиметил)пиперидино или 4-(2-гидроксиэтил)пиперазино, или их фармакологически приемлемые соли. Далее, настоящее изобретение относится к фармацевтической композиции, содержащей в качестве активного компонента соединение, описанное в любом из вышеуказанных (1)-(22), или его фармакологически приемлемую соль (и, в частности, к фармацевтической композиции для лечения или профилактики заболеваний, опосредованных NK1, NK2 и/или NK3 рецепторами; фармацевтической композиции для профилактики или лечения респираторных заболеваний, аллергических заболеваний и/или недержания мочи; и фармацевтической композиции для профилактики или лечения астмы, бронхита, хронического обструктивного легочного заболевания, ринита и/или недержания мочи), и, в частности, к фармацевтической композиции, содержащей, в качестве активного компонента, соединение, описанное в любом из вышеуказанных (1)-(22), или его фармакологически приемлемую соль, для пульмонального введения при профилактике или лечении респираторных заболеваний (в частности, астмы, бронхита и/или хронического обструктивного легочного заболевания). Далее, настоящее изобретение относится также к применению в качестве активного компонента соединения или его фармакологически приемлемой соли, как описано в любом из вышеуказанных (1)-(22), при получении фармацевтической композиции (в частности, фармацевтической композиции для лечения или профилактики заболеваний, опосредованных NK1, NK2 и/или NK3 рецепторами; фармацевтической композиции для профилактики или лечения респираторных заболеваний, аллергических заболеваний и/или недержания мочи; и фармацевтической композиции для профилактики или лечения астмы, бронхита, хронического обструктивного легочного заболевания, ринита и/или недержания мочи), и, в частности, к применению в качестве активного компонента соединения, описанного в любом из вышеуказанных (1)-(22), или его фармакологически приемлемой соли, при получении фармацевтической композиции для пульмонального введения для профилактики или лечения респираторных заболеваний (в частности, астмы, бронхита и/или хронического обструктивного легочного заболевания). Кроме того, настоящее изобретение относится к способу профилактики или лечения заболеваний, опосредованных NK1, NK2 и/или NK3 рецепторами (в частности, респираторных заболеваний, аллергических заболеваний и/или недержания мочи; и астмы, бронхита, хронического обструктивного легочного заболевания, ринита и/или недержания мочи), путем введения эффективного количества соединения, описанного в любом из вышеуказанных (1)-(22), или его фармакологически приемлемой соли, млекопитающим (в частности, человеку), и, в частности, к способу профилактики или лечения респираторных заболеваний (в частности, астмы, бронхита и/или хронического обструктивного легочного заболевания) путем введения эффективного количества соединения, описанного в любом из вышеуказанных (1)-(22), или его фармакологически приемлемой соли, млекопитающим (в частности, человеку). В вышеуказанной общей формуле (I) термин «арильная группа» и арильная группа «арильной группы, замещенной 1-3 группами, выбранными из группы заместителей Кроме того, вышеуказанная «C6-C10 арильная группа» может быть конденсирована с C3-C10 циклоалкильной группой (предпочтительно C5-C6 циклоалкильной группой). В случае, когда R1 представляет собой «арильную группу, замещенную 1-3 группами, выбранными из группы заместителей В случае, когда R2 представляет собой «арильную группу, замещенную 1-3 группами, выбранными из группы заместителей Термин «гетероарильная группа» и гетероарильная группа «гетероарильной группы, замещенной 1-3 группами, выбранными из группы заместителей Кроме того, вышеуказанная «гетероарильная группа» может быть конденсирована с другой циклической группой [такой как C6-C10 арильная (предпочтительно фенильная) или C3-C10 циклоалкильная (предпочтительно C5-C6 циклоалкильная) группа], и примеры таких групп включают индолил, бензофуранил, бензотиенил, хинолил, изохинолил, хиназолинил, тетрагидрохинолил и тетрагидроизохинолильную группу. Термин «низшая алкильная группа» в определениях R4 и группы заместителей Термин «циклоалкильная группа» и циклоалкильная группа, «циклоалкильной группы, замещенной 1-3 группами, выбранными из группы заместителей Термин «низшая алкенильная группа» в определении R4 означает линейную или разветвленную C2-C6 алкенильную группу и обозначает предпочтительно винил или аллил. Термин «низшая алкинильная группа» в определении R4 означает линейную или разветвленную C2-C6 алкинильную группу и обозначает предпочтительно ацетиленил или пропалгил. Термин «галоген низшая алкильная группа» в определениях R4 и группы заместителей Термин «гидрокси низшая алкильная группа» в определениях R4 и группы заместителей Термин «низшая алкоксигруппа» в определениях Ra, Rb и группы заместителей Термин «низшая алкоксиалкильная группа» в определении R4 означает группу, в которой вышеуказанная «низшая алкильная группа» замещена вышеуказанной «низшей алкоксигруппой», и представляет собой предпочтительно C1-C4 алкоксиалкильную группу, такую как метоксиметил, 2-метоксиэтил, 3-метоксипропил, этоксиметил, 2-этоксиэтил или пропоксиметил, более предпочтительно метоксиметил, 2-метоксиэтил, этоксиметил или 2-этоксиэтил и еще более предпочтительно метоксиметил, 2-метоксиэтил или 2-этоксиэтил. Термин «низшая алифатическая ацильная группа» в определении группы заместителей Термин «низшая алифатическая ацилоксиалкильная группа» в определении R4 означает группу, в которой вышеуказанная «низшая алкильная группа» замещена C1-C6 алифатической ацилокси (такой как формилокси, ацетилокси, пропионилокси, бутирилокси, изобутирилокси, пентаноилокси, пивалоилокси, валерилокси или изовалерилокси), предпочтительно она представляет собой C2-C6 алифатическую ацилоксиалкильную группу, более предпочтительно формилоксиметил, 2-формилоксиэтил, ацетилоксиметил, 2-ацетилоксиэтил, 3-ацетилоксипропил или пропионилоксиметил, еще более предпочтительно ацетилоксиметил, 2-ацетилоксиэтил или 3-ацетилоксипропильную группу, в частности предпочтительно ацетилоксиметильную группу. Термин «низшая алкоксикарбонильная группа» в определении группы заместителей Термин «низшая алкоксикарбонилалкильная группа» в определении R4 означает группу, в которой вышеуказанная «низшая алкильная группа» замещена вышеуказанной «низшей алкоксикарбонильной группой», предпочтительно она представляет собой C3-C9 алкоксикарбонилалкильную группу, более предпочтительно C3-C7 алкоксикарбонилалкильную группу, такую как метоксикарбонилметил, 2-метоксикарбонилэтил, 3-метоксикарбонилпропил, этоксилкарбонилметил, 2-этоксикарбонилэтил, 3-этоксикарбонилпропил, пропоксикарбонилметил, 2-пропоксикарбонилэтил или 3-пропоксикарбонилпропил, еще более предпочтительно C1-C4 алкильную группу, замещенную этоксикарбонилом, в частности предпочтительно этоксикарбонилметил, 2-этоксикарбонилэтил или 3-этоксикарбонилпропил. Термин «гидрокси низшая алкоксигруппа» в определениях Ra, Rb и группы заместителей Термин «гидрокси низшая алкоксиалкильная группа» в определениях Ra, Rb и группы заместителей Термин «низшая алкокси низшая алкоксиалкильная группа» в определениях Ra и Rb означает группу, в которой вышеуказанная «низшая алкоксиалкильная группа» замещена низшей алкоксигруппой, предпочтительно она представляет собой C1-C4 алкокси C3-C9 алкоксиалкильную группу, более предпочтительно C1-C2 алкокси C3-C4 алкоксиалкильную группу, в частности предпочтительно 2-метоксиэтоксиметил или 2-(2-метоксиэтокси)этил и наиболее предпочтительно 2-(2-метоксиэтокси)этил. Термин «циано низшая алкильная группа» в определениях Ra и Rb означает группу, в которой вышеуказанная «низшая алкильная группа» замещена цианогруппой, примеры которой включают цианометил, 2-цианоэтил, 3-цианопропил и 4-цианобутил, и предпочтительно она представляет собой 2-цианоэтил или 3-цианопропил. Термин «циано низшая алкоксиалкильная группа» в определениях Ra и Rb означает группу, в которой вышеуказанная «низшая алкоксиалкильная группа» замещена цианогруппой, предпочтительно она представляет собой циано C3-C9 алкоксиалкильную группу, более предпочтительно циано C3-C4 алкоксиалкильную группу, в частности предпочтительно 2-цианоэтоксиметил или 2-(2-цианоэтокси)этил и наиболее предпочтительно 2-(2-цианоэтокси)этил. Термин «карбокси низшая алкильная группа» в определениях Ra, Rb и группы заместителей Термин «карбокси низшая алкоксиалкильная группа» в определениях Ra, Rb и группы заместителей Термин «низшая алкоксикарбонильная низшая алкоксиалкильная группа» в определениях Ra и Rb означает группу, в которой вышеуказанная «низшая алкоксиалкильная группа» замещена низшей алкоксикарбонильной группой, предпочтительно она представляет собой метоксикарбонил C3-C9 алкоксиалкильную группу, более предпочтительно метоксикарбонил C3-C4 алкоксиалкильную группу, в частности предпочтительно 2-метоксикарбонилэтоксиметил или 2-(2-метоксикарбонилэтокси)этил и наиболее предпочтительно 2-(2-метоксикарбонилэтокси)этил. Термин «карбамоил низшая алкильная группа» в определениях Ra и Rb означает группу, в которой вышеуказанная «низшая алкильная группа» замещена карбамоильной группой, примеры которой включают карбамоилметил, 2-карбамоилэтил, 3-карбамоилпропил и 4-карбамоилбутил, и предпочтительно она представляет собой 2-карбамоилэтил или 3-карбамоилпропил. Термин «карбамоил низшая алкоксиалкильная группа» в определениях Ra и Rb означает группу, в которой вышеуказанная «низшая алкоксиалкильная группа» замещена карбамоильной группой, предпочтительно она представляет собой карбамоил C3-C9 алкоксиалкильную группу, более предпочтительно карбамоил C3-C4 алкоксиалкильную группу, в частности предпочтительно 2-карбамоилэтоксиметил или 2-(2-карбамоилэтокси)этил и наиболее предпочтительно 2-(2-карбамоилэтокси)этил. Термин «низшая алифатическая ациламиногруппа» в определении группы заместителей Термин «низшая алифатическая ациламино низшая алкильная группа» в определениях Ra и Rb означает группу, в которой вышеуказанная «низшая алкильная группа» замещена вышеуказанной «низшей алифатической ациламиногруппой», в частности предпочтительно она представляет собой C1-C4 алкильную группу, замещенную ацетиламино и наиболее предпочтительно 2-ацетиламиноэтил, 3-ацетиламинопропил или 4-ацетиламинобутил. Термин «низшая алифатическая ациламино низшая алкоксиалкильная группа» в определениях Ra и Rb означает группу, в которой вышеуказанная «низшая алкоксиалкильная группа» замещена низшей алифатической ациламиногруппой, предпочтительно она представляет собой ацетиламино C3-C9 алкоксиалкильную группу, более предпочтительно ацетиламино C3-C4 алкоксиалкильную группу, в частности предпочтительно 2-ацетиламиноэтоксиметил или 2-(2-ацетиламиноэтокси)этил и наиболее предпочтительно 2-(2-ацетиламиноэтокси)этил. «Низшая алкилсульфониламино низшая алкильная группа» в определениях Ra и Rb предпочтительно представляет собой C1-C2 алкил-SO2NH-C1-C4 алкильную группу, более предпочтительно C1-C4 алкильную группу, замещенную метилсульфониламино и наиболее предпочтительно 2-метилсульфониламиноэтил, 3-метилсульфониламинопропил или 4-метилсульфониламинобутил. «Низшая алкилсульфониламино низшая алкоксиалкильная группа» в определениях Ra и Rb представляет собой предпочтительно C1-C2 алкил-SO2NH-C3-C9 алкоксиалкильную группу, более предпочтительно метилсульфониламино-C3-C4 алкоксиалкильную группу, в частности предпочтительно 2-метилсульфониламиноэтоксиметил или 2-(2-метилсульфониламиноэтокси)этил и наиболее предпочтительно 2-(2-метилсульфониламиноэтокси)этил. «(N-Гидрокси-N-метилкарбамоил) низшая алкильная группа» в определениях Ra, Rb и группы заместителей «(N-Гидрокси-N-метилкарбамоил) низшая алкоксиалкильная группа» в определениях Ra и Rb представляет собой предпочтительно C3-C9 алкоксиалкильную группу, замещенную N-гидрокси-N-метилкарбамоилом, более предпочтительно C3-C4 алкоксиалкильную группу, замещенную N-гидрокси-N-метилкарбамоилом, в частности предпочтительно 2-(N-гидрокси-N-метилкарбамоил)этоксиметил или 2-[2-(N-гидрокси-N-метилкарбамоил)этокси]этил и наиболее предпочтительно 2-[2-(N-гидрокси-N-метилкарбамоил)этокси]этил. «(N-Низшая алкокси-N-метилкарбамоил) низшая алкильная группа» в определениях Ra, Rb и группы заместителей «(N-Низшая алкокси-N-метилкарбамоил) низшая алкоксиалкильная группа» в определениях Ra и Rb представляет собой предпочтительно N-(C1-C2 алкокси)-N-метилкарбамоил C3-C9 алкоксиалкильную группу, более предпочтительно C3-C4 алкоксиалкильную группу, замещенную N-метокси-N-метилкарбамоилом, в частности предпочтительно 2-(N-метокси-N-метилкарбамоил)этоксиметил или 2-[2-(N-метокси-N-метилкарбамоил)этокси]этил и наиболее предпочтительно 2-[2-(N-метокси-N-метилкарбамоил)этокси]этил. «Азотсодержащая гетероциклическая группа» и азотсодержащая гетероциклическая группа «азотсодержащей гетероциклической группы, замещенной 1-3 группами, выбранными из группы заместителей В случае, когда Ra и Rb, вместе с атомом азота, к которому они присоединены, образуют «азотсодержащую гетероциклическую группу, замещенную 1-3 группами, выбранными из группы заместителей «C1-C4 алкиленовая группа» в определениях B и E представляет собой, например, метилен, метилметилен, этилен, пропилен, триметилен, тетраметилен, 1-метилтриметилен, 2-метилтриметилен или 3-метилтриметилен и предпочтительно C1-C3 алкилен. B представляет собой, в частности, предпочтительно метилен. E представляет собой, в частности, предпочтительно этилен или триметилен и наиболее предпочтительно этилен. «C2-C4 алкениленовая группа» в определениях B и E представляет собой, например, этенилен, 2-пропенилен, 1-метил-2-пропенилен, 2-метил-2-пропенилен, 2-этил-2-пропенилен или 2-бутенилен, предпочтительно этенилен, 2-пропенилен или 3-бутенилен, и более предпочтительно этенилен или 2-пропенилен. «Атом галогена» в определении группы заместителей «Гидрокси низшая алифатическая ациламиногруппа» в определении группы заместителей Термин «его фармакологически приемлемая соль» означает соль соединения (I) по настоящему изобретению, поскольку указанное соединение (I) по настоящему изобретению может быть преобразовано в соль путем взаимодействия с кислотой в случае соединения, имеющего основную функциональную группу, такую как аминогруппа, или путем взаимодействия с основанием в случае соединения, имеющего кислотную функциональную группу, такую как карбоксильная группа. Примеры солей на базе основных функциональных групп, включают соли неорганических кислот, такие как гидрогалогениды, например гидрохлорид, гидробромид или гидройодид, нитраты, перхлораты, сульфаты или фосфаты; соли органических кислот, такие как низшие алкансульфонаты, например метансульфонат, трифторметансульфонат или этансульфонат, арилсульфонаты, например бензолсульфонат или п-толуолсульфонат, или соли карбоновой кислоты, например ацетаты, малаты, фумараты, сукцинаты, цитраты, аскорбаты, тартраты, оксалаты или малеаты; и соли аминокислот, такие как соли глицина, соли лизина, соли аргинина, соли орнитина, глутаматы или аспартаты. Примеры солей на базе кислотных функциональных групп включают соли металлов, такие как соли щелочных металлов, например соли натрия, соли калия или соли лития, соли щелочноземельных металлов, например соли кальция или соли магния, соли алюминия или соли железа; соли аммония; органические соли амина, такие как соли трет-октиламина, соли дибензиламина, соли морфолина, соли глюкозамина, соли алкиловых сложных эфиров фенилглицина, соли этилендиамина, соли N-метилглюкамина, соли гуанидина, соли диэтиламина, соли триэтиламина, соли дициклогексиламина, соли N,N’-дибензилэтилендиамина, соли хлорпрокаина, соли прокаина, соли диэтаноламина, соли N-бензилфенетиламина, соли пиперазина, соли тетраметиламмония или соли трис(гидроксиметил) аминометана; и соли аминокислот, такие как соли глицина, соли лизина, соли аргинина, соли орнитина, глутаматы или аспартаты. Соединение, имеющее общую формулу (I), по настоящему изобретению или его фармакологически приемлемая соль может впитывать влагу, удерживать влагу или образовывать гидрат в результате воздействия атмосферы или перекристаллизации, и такие гидраты также включены в настоящее изобретение. Соединение, имеющее общую формулу (I), по настоящему изобретению может иметь оптические изомеры ввиду наличия центра асимметрии в его молекуле. Соединение по настоящему изобретению, все указанные изомеры и их смеси представлены одной формулой, а именно общей формулой (I). Таким образом, настоящее изобретение включает все указанные изомеры и смеси указанных изомеров в произвольном соотношении. Конкретные примеры соединений, имеющих общую формулу (I) по настоящему изобретению, включают такие соединения, которые представлены в следующем списке соединений 1 и списке соединений 2. В следующих списках соединений «Ac» означает ацетил, «Me» – метил, «Et» – этил, «Pr» – пропил, «iPr» – изопропил, «Bu» – бутил, «iBu» – изобутил, «Pn» – пентил, «iPn» – изопентил, «tBu» – трет-бутил, «cPr» – циклопропил, «cBu» – циклобутил, «cPn» – циклопентил, «cHx» -циклогексил, «Mor» – морфолино, «Pip» – пиперидино (например, «4-(H2NCO)-Pip» означает 4-аминокарбонилпиперазино), «Pipr» – пиперазино, «Aze» – азетидино и «Pyrr» – пирролидино. [Список соединений 1]
[Список соединений 2]
СПОСОБ ОСУЩЕСТВЛЕНИЯ ИЗОБРЕТЕНИЯ Соединение (I) по настоящему изобретению может быть получено способами, описанными ниже. Из числа соединений (I), соединение, где R3 представляет собой -CO-R4, может быть получено в соответствии со следующим способом A. <Способ A> В вышеуказанных формулах A, B, D, E, R1, R2, R4 и n являются такими же, как определено выше, и X представляет собой гидроксильную группу или удаляемую группу. Для «удаляемой группы» в определении X нет конкретных ограничений при условии, что она представляет собой удаляемую группу, которая используется в области химии органического синтеза, и представляет собой предпочтительно атом галогена, такой как атом хлора, атом брома или атом йода; низшую алкансульфонильную группу, такую как метансульфонил или этансульфонил; галоген низшую алкансульфонильную группу, такую как трифторметансульфонил или пентафторэтансульфонил; или арилсульфонильную группу, такую как бензолсульфонил, п-толуолсульфонил или п-нитробензолсульфонил, более предпочтительно атом галогена, в частности предпочтительно атом хлора или атом брома. (Стадия A1) Стадия A1 представляет собой стадию, где соединение, имеющее общую формулу (Ia), получают путем конденсации соединения (2) и соединения (3) в инертном растворителе в присутствии или в отсутствие конденсирующего агента и в присутствии или в отсутствие основания. Для использования инертного растворителя нет конкретных ограничений при условии, что он является инертным в настоящей реакции, примеры его включают алифатические углеводороды, такие как гексан, гептан, лигроин или петролейный эфир; ароматические углеводороды, такие как бензол, толуол или ксилол; галогенированные углеводороды, такие как метиленхлорид, хлороформ, тетрахлорид углерода, дихлорэтан, хлорбензол или дихлорбензол; сложные эфиры, такие как этилформиат, этилацетат, пропилацетат, бутилацетат или диэтилкарбонат; эфиры, такие как диэтиловый эфир, диизопропиловый эфир, тетрагидрофуран, диоксан, диметоксиэтан или диметиловый эфир диэтиленгликоля; кетоны, такие как ацетон, метилэтилкетон, метилизобутилкетон, изофорон или циклогексанон; нитрилы, такие как ацетонитрил или изобутилнитрил; амиды, такие как формамид, N,N-диметилформамид, N,N-диметилацетамид или гексаметилфосфортриамид; сульфоксиды, такие как диметилсульфоксид; и сульфоны, такие как сульфолан, предпочтительно галогенированные углеводороды и наиболее предпочтительно метиленхлорид. Примеры используемых «конденсирующих агентов» включают (1) сочетания сложных эфиров фосфорной кислоты, таких как диэтилфосфорилцианид или дифенилфосфорилазид, и оснований, указанных ниже; (2) карбодиимиды, такие как 1,3-дициклогексилкарбодиимид, 1,3-диизопропилкарбодиимид или 1-этил-3-(3-диметиламинопропил)карбодиимид; сочетания вышеуказанных карбодиимидов и оснований, указанных ниже; или сочетания вышеуказанных карбодиимидов и N-гидроксисоединений, таких как N-гидроксисукцинимид, 1-гидроксибензотриазол или N-гидрокси-5-норборнен-2,3-дикарбоксиимид; (3) сочетания дисульфидов, таких как 2,2′-дипиридилдисульфид или 2,2′-дибензотиазолилдисульфид, и фосфинов, таких как трифенилфосфин или трибутилфосфин; (4) карбонаты, такие как N,N’-дисукцинимидилкарбонат, ди-2-пиридилкарбонат или S,S’-бис(1-фенил-1H-тетразол-5-ил)дитиокарбонат; (5) хлориды фосфиновой кислоты, такие как N,N’-бис(2-оксо-3-оксазолидинил)фосфинхлорид; (6) оксалаты, такие как N,N’-дисукцинимидилоксалат, N,N’-дифталимидоксалат, N,N’-бис(5-норборнен-2,3-дикарбоксиимидил)оксалат, 1,1′-бис(бензотриазолил)оксалат, 1,1′-бис(6-хлорбензотриазолил)оксалат или 1,1′-бис(6-трифторметилбензотриазолил)оксалат; (7) сочетания вышеуказанных фосфинов и эфира азодикарбоновой кислоты или азодикарбоксиамида, такого как диэтилдиазокарбоксилат или 1,1′-(азодикарбонил)дипиперидин; или сочетание вышеуказанных фосфинов и оснований, указанных ниже; (8) N-низшие алкил-5-арилизоксазолий-3-сульфонаты, такие как N-этил-5-фенилизоксазолий-3′-сульфонат; (9) дигетероарилдиселениды, такие как ди-2-пиридилселенид; (10) арилсульфонилтриазолиды, такие как п-нитробензолсульфонилтриазолид; (11) 2-галоген-1-низшие алкилпиридинийгалогениды, такие как 2-хлор-1-метилпиридиний йодид; (12) имидазолы, такие как 1,1′-оксалилдиимидазол или N,N’-карбонилдиимидазол; (13) 3-низшие алкил-2-галогенбензотиазолийфторбораты, такие как 3-этил-2-хлорбензотиазолийфторборат; (14) 3-низшие алкилбензотиазол-2-селоны, такие как 3-метилбензотиазол-2-селоны; (15) фосфаты, такие как фенилдихлорфосфат или полифосфатные эфиры; (16) галогеносульфонилизоцианаты, такие как хлорсульфонилизоцианат; (17) галогеносиланы, такие как триметилсилилхлорид или триэтилсилилхлорид; (18) сочетания низших алкансульфонилгалогенидов, таких как метансульфонилхлорид, и оснований, указанных ниже; и (19) N,N,N’,N’-тетра низшие алкилгалогенформамидинийхлориды, такие как N,N,N’,N’-тетраметилхлорформамидинийхлорид, и (5), описанные выше, являются предпочтительными. В отношении основания нет конкретных ограничений при условии, что оно представляет собой основание, которое используется в обычных реакциях алкилирования, примеры его включают карбонаты щелочного металла, такие как карбонат лития, карбонат натрия или карбонат калия; бикарбонаты щелочного металла, такие как гидрокарбонат лития, гидрокарбонат натрия или гидрокарбонат калия; гидриды щелочного металла, такие как гидрид лития, гидрид натрия или гидрид калия; гидроксиды щелочного металла, такие как гидроксид лития, гидроксид натрия или гидроксид калия; алкоксиды щелочного металла, такие как метоксид лития, метоксид натрия, этоксид натрия или трет-бутоксид калия; и, органические амины, такие как триэтиламин, трибутиламин, диизопропилэтиламин, N-метилморфолин, пиридин, 4-(N,N-диметиламино)пиридин, N,N-диметиланилин, N,N-диэтиланилин, 1,5-диазабицикло[4.3.0]нон-5-ен, 1,4-диазабицикло[2.2.2]октан (DABCO) или 1,8-диазабицикло[5.4.0]-7-ундецен (DBU), предпочтительно органические амины и наиболее предпочтительно триэтиламин. Несмотря на то что температура реакции изменяется в зависимости от типа исходных веществ, конденсирующего агента, основания, растворителя и так далее, она обычно находится в пределах от -20°C до 200°C (предпочтительно от 0°C до 120°C). Несмотря на то что время реакции изменяется в зависимости от исходных веществ, конденсирующего агента, основания, растворителя, температуры реакции и так далее, оно обычно находится в пределах от 5 минут до 48 часов (предпочтительно от 15 минут до 24 часов). Кроме того, в случае использования соединения (3), в котором X представляет собой гидроксильную группу, взаимодействие предпочтительно выполняют в присутствии конденсирующего агента. Кроме того, в данной стадии, ангидрид кислоты (например, соединение, имеющее общую формулу R4-CO-O-CO-R4, или ангидрид кислоты соединения (3) и органическая кислота, такая как уксусная кислота) также может использоваться вместо соединения (3). После завершения реакции желаемое соединение выделяют из реакционной смеси обычными способами. Например, после соответствующей нейтрализации реакционной смеси или удаления нерастворимого вещества фильтрованием, в случае, когда присутствует нерастворимое вещество, добавляют несмешивающийся органический растворитель, такой как вода или этилацетат, и после промывания водой и тому подобным органический слой, содержащий желаемое соединение, отделяют и после сушки безводным сульфатом магния или безводным сульфатом натрия с помощью отгонки растворителя получают желаемое соединение. Полученное желаемое соединение, если необходимо, очищают обычными способами. Например, способы, такие как перекристаллизация, повторное осаждение или способы, используемые для отделения и очистки обычных органических соединений, могут быть, соответственно, объединены для отделения и очистки путем элюирования соответствующим растворителем, примеры которой включают хроматографию на адсорбционной колонке, используя, например, силикагель, Florisil на основе оксида алюминия или магний-силикагеля; способы, использующие синтетический адсорбент, такие как разделительная колоночная хроматография, использующая носитель, такой как Sephadex LH-20 (Pharmacia), Amberlite XAD-11 (Rohm & Haas) или Diaion HP-20 (Mitsubishi Chemical); и способы, использующие ионообменную хроматографию или прямую/обращенно-фазовую колоночную хроматографию, использующую силикагель или алкилированный силикагель (и предпочтительно высокоэффективную жидкостную хроматографию). Из числа соединений (I) соединение, в котором R3 представляет собой -CO-O-R4, может быть получено в соответствии со следующим способом B. <Способ B> В вышеуказанных формулах A, B, D, E, R1, R2, R4, X и n являются такими, как определено выше. (Стадия B1) Стадия B1 представляет собой стадию, где соединение, имеющее общую формулу (Ib), получают путем конденсации соединения (2) и соединения (4) в инертном растворителе в присутствии или в отсутствие конденсирующего агента и в присутствии основания. На данной стадии может быть использован аналогичный инертный растворитель, конденсирующий агент и основание, описанные для «стадии A1». (Однако на настоящей стадии наиболее предпочтительно использовать основание, представляющее собой диизопропилэтиламин.) Несмотря на то что температура реакции изменяется в зависимости от типа исходных веществ, конденсирующего агента, основания, растворителя и так далее, она обычно находится в пределах от -20°C до 200°C (предпочтительно от 0°C до 120°C). Несмотря на то что время реакции изменяется в зависимости от исходных веществ, конденсирующего агента, основания, растворителя, температуры реакции и так далее, оно обычно находится в пределах от 5 минут до 48 часов (и предпочтительно от 15 минут до 24 часов). При проведении реакции, если необходимо, желаемое соединение может быть очищено способами, аналогичными описанным для «стадии A1». Из числа соединений (I) соединение, в котором R3 представляет собой -CO-NH-R4 или -CO-NH2 в соединении (I), может быть получено в соответствии со следующим способом C. <Способ C> В вышеуказанных формулах A, B, D, E, R1, R2, R4 и n являются такими же, как определено выше. (Стадия C1) Стадия C1 представляет собой стадию, где соединение, имеющее общую формулу (Ic), получают путем взаимодействия соединения (2) и соединения (5) в инертном растворителе в присутствии или в отсутствие основания. На указанной стадии могут быть использованы инертные растворители и основания, аналогичные описанным для «стадии A1». (Однако на указанной стадии в качестве растворителя предпочтительно использовать ароматический углеводород, галогенированный углеводород или нитрил (более предпочтительно ароматический углеводород), и предпочтительно использовать в качестве основания органический амин (более предпочтительно диизопропилэтиламин)). Несмотря на то что температура реакции изменяется в зависимости от типа исходных веществ, основания, растворителя и так далее, она обычно находится в пределах от -20°C до 200°C (предпочтительно от 0°C до 120°C). Несмотря на то что время реакции изменяется в зависимости от исходных веществ, основания, растворителя, температуры реакции и так далее, оно обычно находится в пределах от 5 минут до 48 часов (и предпочтительно от 15 минут до 24 часов). На указанной стадии соединение, в котором R3 представляет собой -CO-NH2, может быть получено, если вместо соединения (5) использовать изоциановую кислоту. После окончания реакции, если необходимо, желаемое соединение может быть очищено способами, аналогичными описанным на «стадии A1». Из числа соединений (I) соединение, в котором R3 представляет собой -CO-CH2-N(Ra)Rb, может быть получено в соответствии со следующим способом D. <Способ D> В вышеуказанной формуле A, B, D, E, R1, R2, Ra, Rb, X и n являются такими же, как определено выше, и X’ представляет собой удаляемую группу. Те же группы, что и удаляемые группы в определении X, могут быть использованы в определении «удаляемая группа» в определении X’, и предпочтительно они представляют собой атом галогена, в частности предпочтительно атом хлора или атом брома и наиболее предпочтительно атом брома. (Стадия D1) Стадия D1 представляет собой стадию, где соединение (7) получают путем взаимодействия соединения (2) и соединения (6) в инертном растворителе в присутствии основания. На указанной стадии могут быть использованы инертные растворители и основания, аналогичные описанным для «стадии A1». (Однако наиболее предпочтительно на указанной стадии использовать основание, представляющее собой диизопропилэтиламин). Несмотря на то что температура реакции изменяется в зависимости от типа исходного вещества, основания, растворителя и так далее, она обычно находится в пределах от -20°C до 200°C (и предпочтительно от 0 до 120°C). Несмотря на то что время реакции изменяется в зависимости от исходного вещества, основания, растворителя, температуры реакции и так далее, оно обычно находится в пределах от 5 минут до 48 часов (и предпочтительно от 15 минут до 24 часов). После окончания реакции, если необходимо, желаемое соединение может быть очищено способами, аналогичными описанным для «стадии A1». (Стадия D2) Стадия D2 представляет собой стадию, где соединение, имеющее общую формулу (Id), получают путем взаимодействия соединения (7) и соединения (8) в инертном растворителе в присутствии или в отсутствие основания. На указанной стадии могут быть использованы аналогичные инертные растворители и основания, аналогичные описанным для «стадии A1». (Однако на указанной стадии в качестве растворителя предпочтительно использовать нитрил (и, в частности, предпочтительно ацетонитрил)). Несмотря на то что температура реакции изменяется в зависимости от типа исходных веществ, основания, растворителя и так далее, она обычно находится в пределах от -20°C до 200°C (и предпочтительно от 0 до 120°C). Несмотря на то что время реакции изменяется в зависимости от исходных веществ, основания, растворителя, температуры реакции и так далее, оно обычно находится в пределах от 5 минут до 48 часов (и предпочтительно от 15 минут до 24 часов). После окончания реакции, если необходимо, желаемое соединение может быть очищено способами, аналогичными описанным для «стадии A1». Из числа соединений (I) соединение, в котором R3 представляет собой -(CH2)m-CO-R5, может быть получено в соответствии со следующим способом E. <Способ E> В вышеуказанной формуле A, B, D, E, R1, R2, R4, Ra, Rb, X, m и n являются такими же, как определено выше. (Стадия E1) Стадия E1 представляет собой стадию, где соединение, имеющее общую формулу (Ie), получают путем взаимодействия соединения (2) и соединения (9) в инертном растворителе в присутствии основания. Для использования инертного растворителя нет конкретных ограничений при условии, что он является инертным в настоящей реакции, примеры его включают алифатические углеводороды, такие как гексан, гептан, лигроин или петролейный эфир; ароматические углеводороды, такие как бензол, толуол или ксилол; галогенированные углеводороды, такие как метиленхлорид, хлороформ, тетрахлорид углерода, дихлорэтан, хлорбензол или дихлорбензол; сложные эфиры, такие как этилформиат, этилацетат, пропилацетат, бутилацетат или диэтилкарбонат; эфиры, такие как диэтиловый эфир, диизопропиловый эфир, тетрагидрофуран, диоксан, диметоксиэтан или диметиловый эфир диэтиленгликоля; кетоны, такие как ацетон, метилэтилкетон, метилизобутилкетон, изофорон или циклогексанон; нитрилы, такие как ацетонитрил или изобутилнитрил; амиды, такие как формамид, N,N-диметилформамид, N,N-диметилацетамид или гексаметилфосфортриамид; сульфоксиды, такие как диметилсульфоксид; и сульфоны, такие как сульфолан; или смеси этих растворителей, предпочтительно алифатические углеводороды, ароматические углеводороды, эфиры или смеси этих растворителей и более предпочтительно ароматические углеводороды, эфиры или смеси этих растворителей. Для использования основания нет конкретных ограничений при условии, что оно представляет собой основание, которое используют в обычных реакциях алкилирования, примеры которого включают карбонаты щелочного металла, такие как карбонат лития, карбонат натрия или карбонат калия; бикарбонаты щелочного металла, такие как гидрокарбонат лития, гидрокарбонат натрия или гидрокарбонат калия; гидриды щелочного металла, такие как гидрид лития, гидрид натрия или гидрид калия; гидроксиды щелочного металла, такие как гидроксид лития, гидроксид натрия или гидроксид калия; алкоксиды щелочного металла, такие как метоксид лития, метоксид натрия, этоксид натрия или трет-бутоксид калия; органические амины, такие как триэтиламин, трибутиламин, диизопропилэтиламин, N-метилморфолин, пиридин, 4-(N,N-диметиламино)пиридин, N,N-диметиланилин, N,N-диэтиланилин, 1,5-диазабицикло[4.3.0]нон-5-ен, 1,4-диазабицикло[2.2.2]октан (DABCO) или 1,8-диазабицикло[5.4.0]-7-ундецен (DBU); и амиды, такие как калий бис(триметилсилил)амид, предпочтительно амиды и наиболее предпочтительно бис(триметилсилил)амид калия. Несмотря на то что температура реакции изменяется в зависимости от типа исходных веществ, основания, растворителя и так далее, она обычно находится в пределах от -20°C до 200°C (предпочтительно от 0°C до 120°C). Несмотря на то что время реакции изменяется в зависимости от исходных веществ, основания, растворителя, температуры реакции и так далее, оно обычно находится в пределах от 5 минут до 48 часов (и предпочтительно от 15 минут до 24 часов). После окончания реакции, если необходимо, желаемое соединение может быть очищено способами, аналогичными описанным для “стадии A1”. (Стадия E2) Стадия E2 представляет собой стадию, где соединение, имеющее общую формулу (If), получают путем гидролиза соединения, имеющего общую формулу (Ie), в инертном растворителе в присутствии кислоты или основания. Для использования инертного растворителя нет конкретных ограничений при условии, что он является инертным в настоящей реакции, примеры его включают алифатические углеводороды, такие как гексан, гептан, лигроин или петролейный эфир; ароматические углеводороды, такие как бензол, толуол или ксилол; галогенированные углеводороды, такие как метиленхлорид, хлороформ, тетрахлорид углерода, дихлорэтан, хлорбензол или дихлорбензол; сложные эфиры, такие как этилформиат, этилацетат, пропилацетат, бутилацетат или диэтилкарбонат; эфиры, такие как диэтиловый эфир, диизопропиловый эфир, тетрагидрофуран, диоксан, диметоксиэтан или диметиловый эфир диэтиленгликоля; кетоны, такие как ацетон, метилэтилкетон, метилизобутилкетон, изофорон или циклогексанон; нитрилы, такие как ацетонитрил или изобутилнитрил; амиды, такие как формамид, N,N-диметилформамид, N,N-диметилацетамид или гексаметилфосфортриамид; сульфоксиды, такие как диметилсульфоксид; или сульфоны, такие как сульфолан; спирты, такие как метанол, этанол, пропанол, 2-пропанол, бутанол, этиленгликоль или диэтиленгликоль; вода; и смешанные растворители, состоящие из воды и вышеуказанных органических растворителей, предпочтительно галогенированные углеводороды и наиболее предпочтительно метиленхлорид. Примеры используемых кислот включают неорганические кислоты, такие как хлористоводородная кислота, серная кислота, фосфорная кислота или бромистоводородная кислота; сульфоновые кислоты, такие как метансульфоновая кислота или этансульфоновая кислота; и карбоновые кислоты, такие как уксусная кислота, пропионовая кислота или трифторуксусная кислота, предпочтительно кислота представляет собой хлористоводородную кислоту, серную кислоту или трифторуксусную кислоту, в частности предпочтительно трифторуксусную кислоту. Примеры используемых оснований включают гидроксиды щелочного металла, такие как гидроксид натрия, гидроксид калия, гидроксид бария или гидроксид лития, и предпочтительно основание представляет собой гидроксид натрия или гидроксид калия. Несмотря на то что температура реакции изменяется в зависимости от типа исходного вещества, кислоты, основания, растворителя и так далее, она обычно находится в пределах от -20°C до 200°C (и предпочтительно от 0°C до 120°C). Несмотря на то что время реакции изменяется в зависимости от типа исходного вещества, кислоты, основания, растворителя, температуры реакции и так далее, оно обычно находится в пределах от 5 минут до 48 часов (и предпочтительно от 15 минут до 24 часов). После окончания реакции, если необходимо, желаемое соединение может быть очищено способами, аналогичными описанным для «стадии A1». (Стадия E3) Стадия E3 представляет собой стадию, где соединение, имеющее общую формулу (Ig), получают путем взаимодействия соединения, имеющего общую формулу (If), с соединением (8) в инертном растворителе в присутствии или в отсутствие конденсирующего агента и в присутствии или в отсутствие основания. Для использования инертного растворителя нет конкретных ограничений при условии, что он является инертным в настоящей реакции, примеры его включают алифатические углеводороды, такие как гексан, гептан, лигроин или петролейный эфир; ароматические углеводороды, такие как бензол, толуол или ксилол; галогенированные углеводороды, такие как метиленхлорид, хлороформ, тетрахлорид углерода, дихлорэтан, хлорбензол или дихлорбензол; сложные эфиры, такие как этилформиат, этилацетат, пропилацетат, бутилацетат или диэтилкарбонат; эфиры, такие как диэтиловый эфир, диизопропиловый эфир, тетрагидрофуран, диоксан, диметоксиэтан или диметиловый эфир диэтиленгликоля; кетоны, такие как ацетон, метилэтилкетон, метилизобутилкетон, изофорон или циклогексанон; нитрилы, такие как ацетонитрил или изобутилнитрил; амиды, такие как формамид, N,N-диметилформамид, N,N-диметилацетамид или гексаметилфосфортриамид; сульфоксиды, такие как диметилсульфоксид; сульфоны, такие как сульфолан; и смеси этих растворителей, предпочтительно галогенированные углеводороды, амиды или растворители, состоящие из смеси этих растворителей, и растворитель представляет собой наиболее предпочтительно метиленхлорид, N,N-диметилформамид или смеси этих растворителей. На указанной стадии могут быть использованы аналогичные конденсирующие агенты и основания, которые описаны для “стадии A1”. Несмотря на то что температура реакции изменяется в зависимости от типа исходных веществ, конденсирующего агента, основания, растворителя и так далее, она обычно находится в пределах от -20°C до 200°C (предпочтительно от 0°C до 120°C). Несмотря на то что время реакции изменяется в зависимости от исходных веществ, конденсирующего агента, основания, растворителя, температуры реакции и так далее, оно обычно находится в пределах от 5 минут до 48 часов (предпочтительно от 15 минут до 24 часов). После окончания реакции, если необходимо, желаемое соединение может быть очищено способами, аналогичными описанным для «стадии A1». Кроме того, настоящая стадия также может быть осуществлена, например, путем взаимодействия соединения (If) с галогенирующим агентом (таким как тионил или оксалилхлорид) в вышеуказанных растворителях и затем взаимодействием полученного реакционно-активного производного (производное ацилгалогенида) и соединения (8) в вышеуказанных растворителях. Из числа соединений (I) соединение, в котором R3 представляет собой -(CH2)m-R5 и в котором m равно от 2 до 6, может быть получено в соответствии со следующим способом F. <Способ F> В вышеуказанной формуле A, B, D, E, R1, R2, R4, Ra, Rb, X, m и n являются такими же, как определено выше (однако в вышеуказанной реакционной схеме m представляет собой целое число от 2 до 6), и Y представляет собой удаляемую группу. Для «удаляемой группы» в определении Y нет конкретных ограничений при условии, что она представляет собой удаляемую группу, которая используется в области химии органического синтеза, и является предпочтительно атомом галогена, таким как атом хлора, атом брома или атом йода; низшей алкансульфонилоксигруппой, такой как метансульфонилокси или этансульфонилокси; галоген низшей алкансульфонилоксигруппой, такой как трифторметансульфонилокси или пентафторэтансульфонилокси; или арилсульфонилоксигруппой, такой как бензолсульфонилокси, п-толуолсульфонилокси или п-нитробензолсульфонилокси, более предпочтительно атомом галогена, низшей алкансульфонилоксигруппой или галоген низшей алкансульфонилоксигруппой, еще более предпочтительно атомом хлора, атомом брома, метансульфонилокси или трифторметансульфонилокси, в частности предпочтительно метансульфонилокси. (Стадия F1) Стадия F1 представляет собой стадию, где соединение, имеющее общую формулу (Ih), получают путем восстановления соединения, имеющего общую формулу (If), в инертном растворителе с использованием восстанавливающего агента. Для использования инертного растворителя нет конкретных ограничений при условии, что он является инертным в настоящей реакции, примеры его включают алифатические углеводороды, такие как гексан, гептан, лигроин или петролейный эфир; ароматические углеводороды, такие как бензол, толуол или ксилол; галогенированные углеводороды, такие как метиленхлорид, хлороформ, тетрахлорид углерода, дихлорэтан, хлорбензол или дихлорбензол; сложные эфиры, такие как этилформиат, этилацетат, пропилацетат, бутилацетат или диэтилкарбонат; эфиры, такие как диэтиловый эфир, диизопропиловый эфир, тетрагидрофуран, диоксан, диметоксиэтан или диметиловый эфир диэтиленгликоля; кетоны, такие как ацетон, метилэтилкетон, метилизобутилкетон, изофорон или циклогексанон; нитрилы, такие как ацетонитрил или изобутилнитрил; амиды такие, как формамид, N,N-диметилформамид, N,N-диметилацетамид или гексаметилфосфортриамид; сульфоксиды, такие как диметилсульфоксид; и сульфоны, такие как сульфолан, предпочтительно ароматические углеводороды или эфиры, еще более предпочтительно эфиры, в частности предпочтительно диэтиловый эфир или тетрагидрофуран. Примеры используемых восстанавливающих агентов включают боран, диборан, комплекс боран-диметилсульфид и комплекс боран-тетрагидрофуран; боргидриды щелочных металлов, такие как цианоборгидрид натрия, боргидрид натрия, боргидрид цинка или боргидрид лития; и производные гидрида алюминия, такие как литийалюминийгидрид или три-трет-бутилалюминийгидрид; предпочтительно боран, комплекс боран-диметилсульфид или комплекс боран-тетрагидрофуран, в частности предпочтительно комплекс боран-тетрагидрофуран. Несмотря на то что температура реакции изменяется в зависимости от типов исходного вещества, восстанавливающего агента, растворителя и так далее, она обычно находится в пределах от -20°C до 200°C (предпочтительно от 0°C до 120°C). Несмотря на то что время реакции изменяется в зависимости от исходного вещества, восстанавливающего агента, растворителя, температуры реакции и так далее, оно обычно находится в пределах от 5 минут до 48 часов (и предпочтительно от 15 минут до 24 часов). После окончания реакции, если необходимо, желаемое соединение может быть очищено способами, аналогичными описанным для «стадии A1». (Стадия F2) Стадия F2 представляет собой стадию, где соединение, имеющее общую формулу (Ii), получают путем взаимодействия соединения, имеющего общую формулу (Ih), с соединением (X) в инертном растворителе в присутствии или в отсутствие конденсирующего агента и в присутствии или в отсутствие основания, и выполняется аналогичным способом, который описан выше для “стадии A1”. После окончания реакции, если необходимо, желаемое соединение может быть очищено способами, аналогичными описанным для «стадии A1». (Стадия F3) Стадия F3 представляет собой стадию, где соединение (10) получают путем взаимодействия соединения, имеющего общую формулу (Ih) с галогенирующим агентом (таким как тионилхлорид или оксалилхлорид) или сульфонилирующим агентом (таким как метансульфонилхлорид, трифторметансульфонилхлорид, бензолсульфонилхлорид или п-толуолсульфонилхлорид) в инертном растворителе в присутствии или в отсутствие основания. На указанной стадии могут быть использованы аналогичный инертный растворитель и основание, которые описаны для “стадии A1”. Несмотря на то что температура реакции изменяется в зависимости от типов исходного вещества, галогенирующего агента или сульфонилирующего агента, основания, растворителя и так далее, она обычно находится в пределах от -20°C до 200°C (и предпочтительно от 0°C до 120°C). Несмотря на то что время реакции изменяется в зависимости от исходного вещества, галогенирующего агента или сульфонилирующего агента, основания, растворителя, температуры реакции и так далее, оно обычно находится в пределах от 5 минут до 48 часов (и предпочтительно от 15 минут до 24 часов). После окончания реакции, если необходимо, желаемое соединение может быть очищено способами, аналогичными описанным для «стадии A1». (Стадия F4) Стадия F4 представляет собой стадию, где соединение, имеющее общую формулу (Ij), получают путем взаимодействия соединения (10) с соединением (8) в инертном растворителе в присутствии основания, и выполняется аналогичным способом, который описан выше для “стадии D2». (Однако на указанной стадии предпочтительно использовать в качестве растворителя амид (в частности, предпочтительно N,N-диметилацетамид), и предпочтительно в качестве основания использовать бикарбонат щелочного металла (в частности, предпочтительно гидрокарбонат натрия)). После окончания реакции, если необходимо, желаемое соединение может быть очищено способами, аналогичными описанным для «стадии A1». Из числа соединений (I) соединение, в котором R3 представляет собой -CO-NH-CO-N(Ra)Rb, может быть получено в соответствии со следующим способом G. <Способ G> В вышеуказанной формуле A, B, D, E, R1, R2, Ra, Rb, X’ и n являются такими же, как определено выше. (Стадия G1) Стадия G1 представляет собой стадию, где соединение (12) получают путем взаимодействия соединения (2) с соединением (11) в инертном растворителе в присутствии или в отсутствие основания, и выполняют способом, аналогичным описанному для «стадии C1». (Однако на указанной стадии в качестве растворителя предпочтительно использовать галогенированный углеводород (в частности, предпочтительно метиленхлорид)). После окончания реакции, если необходимо, желаемое соединение может быть очищено способами, аналогичными описанным для «стадии A1». (Стадия G2) Стадия G2 представляет собой стадию, где соединение, имеющее общую формулу (Ik), получают путем взаимодействия соединения (12) с соединением (8) в инертном растворителе в присутствии основания, и выполняют способом, аналогичным описанному для «стадии D2». (Однако на указанной стадии предпочтительно в качестве растворителя использовать галогенированный углеводород (в частности, предпочтительно метиленхлорид)). После окончания осуществления реакции, если необходимо, желаемое соединение может быть очищено способами, аналогичными описанным для «стадии A1». Из числа соединений (I) соединение, в котором R3 представляет собой -CO-NH-SO2-N(Ra)Rb, может быть получено в соответствии со следующим способом H. <Способ H> В вышеуказанной формуле A, B, D, E, R1, R2, Ra, Rb, X’ и n являются такими же, как определено выше. (Стадия H1) Стадия H1 представляет собой стадию, где соединение (14) получают путем взаимодействия соединения (2) с соединением (13) в инертном растворителе в присутствии или в отсутствие основания, и выполняют способом, аналогичным описанному для «стадии C1». (Однако на указанной стадии предпочтительно в качестве растворителя использовать галогенированный углеводород (в частности, предпочтительно метиленхлорид)). После окончания осуществления реакции, если необходимо, желаемое соединение может быть очищено способами, аналогичными описанным для «стадии A1». (Стадия H2) Стадия H2 представляет собой стадию, где соединение, имеющее общую формулу (Im), получают путем взаимодействия соединения (14) с соединением (8) в инертном растворителе в присутствии или в отсутствие основания, и выполняют способом, аналогичным описанному для «стадии D2». (Однако на указанной стадии предпочтительно использовать галогенированный углеводород (в частности, предпочтительно метиленхлорид) в качестве растворителя)). После окончания реакции, если необходимо, желаемое соединение может быть очищено способами, аналогичными описанным для «стадии A1». Из числа соединений (I) соединение, в котором R3 представляет собой -CO-NH-CO-(CH2)m-N(Ra)Rb, может быть получено в соответствии со следующим способом I. <Способ I> В вышеуказанной формуле A, B, D, E, R1, R2, Ra, Rb, X’, m и n являются такими же, как определено выше. (Стадия I1) Стадия I1 представляет собой стадию, где соединение (16) получают путем взаимодействия соединения (2) с соединением (15) в инертном растворителе в присутствии или в отсутствие основания, и выполняют способом, аналогичным описанному для «стадии C1». (Однако на указанной стадии предпочтительно в качестве растворителя использовать галогенированный углеводород (в частности, предпочтительно метиленхлорид)). После окончания реакции, если необходимо, желаемое соединение может быть очищено способами, аналогичными описанным для «стадии A1». (Стадия I2) Стадия I2 представляет собой стадию, где соединение, имеющее общую формулу (In), получают путем взаимодействия соединения (16) с соединением (8) в инертном растворителе в присутствии или в отсутствие основания, и выполняют способом, аналогичным описанному для «стадии D2». (Однако на указанной стадии предпочтительно в качестве растворителя использовать галогенированный углеводород (в частности, предпочтительно метиленхлорид)). После окончания реакции, если необходимо, желаемое соединение может быть очищено способами, аналогичными описанным для «стадии A1». Из числа соединений (I) соединение, в котором R3 представляет собой -(CH2)m-R5 и в котором m равно от 1 до 6, может быть получено в соответствии со следующим способом J. <Способ J> В вышеуказанной формуле A, B, D, E, R1, R2, R5, m и n являются такими же, как определено выше, и Y’ представляет собой удаляемую группу. Группы, аналогичные описанным в определении Y, могут быть использованы для удаляемой группы в определении Y’ и представлять собой предпочтительно атом галогена, более предпочтительно атом хлора или атом брома, в частности предпочтительно атом хлора. (Стадия J1) Стадия J1 представляет собой стадию, где соединение, имеющее общую формулу (Ip), получают путем взаимодействия соединения (2) с соединением (17) в инертном растворителе в присутствии или в отсутствие конденсирующего агента и в присутствии или в отсутствие основания, и выполняют способом, аналогичным описанному для «стадии E1». После окончания осуществления реакции, если необходимо, желаемое соединение может быть очищено способами, аналогичными описанным для стадии A1. Каждое исходное вещество в вышеуказанных способах от A до J представляет собой известное соединение или может быть легко получено из известного соединения в соответствии c известными способами в области органической химии. Например, соединение (2) может быть получено в соответствии со способом, описанным в колонках 11-13 патента США № 6511975. Кроме того, соединения, имеющие удаляемую группу, такие как соединения (3), (4), (9) и (10), могут быть легко получены путем, например, галогенирования и сульфонилирования соответствующего производного карбоновой кислоты или производного спирта в соответствии со способом, описанным для вышеуказанной стадии F3. Далее, соединения (4), (5) и (9) могут быть легко получены путем взаимодействия R4-X (где R4 и X являются такими же, как определено выше) с подходящим соединением в соответствии со способом, описанным в вышеуказанной стадии A1 или стадии D2. Так как соединение, имеющее общую формулу (I), и его фармакологически приемлемая соль по настоящему изобретению обладают антагонистической активностью в отношении тахикининовых рецепторов (NK1, NK2 и NK3 рецепторы), они могут быть использованы в качестве фармацевтического препарата. Такой фармацевтический препарат может быть назначен при заболеваниях, опосредуемых рецепторами NK1, NK2 и/или NK3, и примеры таких заболеваний включают заболевания центральной нервной системы, включая страх, депрессию, психические заболевания и шизофрению; нейродегенеративные заболевания, включая связанное со СПИД слабоумие, старческое слабоумие по типу Альцгеймера, болезнь Альцгеймера, болезнь Дауна, демиелинизирующее заболевание, боковой амиотрофический склероз, невропатию, периферическую невропатию и невралгию; респираторные заболевания, включая хроническое обструктивное заболевание легкого, бронхит, пневмонию, бронхиальный спазм, астму и кашель; воспалительные заболевания, включая воспалительное заболевание кишечника (IBD), псориаз, фиброзит, остеоартрит, дегенеративный артрит и ревматоидный артрит; экзему; аллергические заболевания, включая ринит; аллергические заболевания, включая заболевания, связанные с гиперчувствительностью к вьющимся растениям; офтальмологические заболевания, включая конъюнктивит, весенний конъюнктивит, весенний катар, деструкцию гематоофтальмического барьера, сопровождающую различные воспалительные глазные заболевания, повышенное интраокулярное давление и миоз; кожные заболевания, включая контактный дерматит, атопический дерматит, уртикарию и другие экземаподобные дерматиты; наркоманию, включая алкоголизм; вызванные стрессом соматические заболевания; симпатическую рефлекторную дистрофию, включая плечевой синдром; дистимию; заболевания, относящиеся к нежелательным иммунным реакциям, включая отторжение трансплантата и иммунологическое усиление или иммуносупрессию, включая системную эритематозную волчанку; заболевания органов пищеварения, включая заболевания, вызванные нарушениями в нервах, контролирующих внутренние органы, колиты, язвенный колит, синдром раздраженной толстой кишки и болезнь Крона; рвоту, включая вызванную рентгеновским излучением и хемиотерапевтическими веществами, ядами, токсинами, беременностью, вестибулярными нарушениями, послеоперационными заболеваниями, гастроинтестинальной обструкцией, гастроинтестинальным нарушением моторики, висцералгией, мигренью, повышенным внутричерепным давлением, пониженным внутричерепным давлением или вредными побочными действиями, сопровождающими введение различных фармацевтических препаратов; функциональные заболевания мочевого пузыря, включая цистит и недержание мочи; эозинофилию, вызываемую коллагеновыми заболеваниями, склеродермией или печеночной инфекцией, вызываемой фасциолами; заболевания, вызываемые нарушениями кровообращения вследствие сосудистой делатации или стеноза, включая стенокардию, мигрень и болезнь Рейно; боль, связанную с рецепцией болезненной пенетрации, включая мигрень, головную боль и зубную боль; и, синдром апноэ во сне. Вышеуказанные фармацевтические препараты могут быть использованы в качестве профилактического или терапевтического средства для респираторных заболеваний, таких как астма, бронхит и хроническое обструктивное заболевание легкого; аллергических заболеваний, таких как ринит; и/или в частности, недержание мочи. Примеры форм для введения соединения, имеющего общую формулу (I) по настоящему изобретению или его фармакологически приемлемой соли, включают пероральное введение таблеток, капсул, гранул, порошков или сиропов и парентеральное введение инъекции или суппозиторий. Кроме того, соединение, имеющее общую формулу (I), или его фармакологически приемлемая соль по настоящему изобретению также могут быть введены пульмональным путем в виде порошка, раствора или суспензии. Препараты для этих введений получают известными способами, используя добавки, такие как наполнители, смазывающие вещества, связующие вещества, дезинтегрирующие вещества, стабилизаторы, модификаторы, разбавители и так далее. Примеры наполнителей включают органические наполнители, такие как производные сахара, например лактоза, сахароза, глюкоза, маннит или сорбит, производные крахмала, например кукурузный крахмал, картофельный крахмал, Примеры смазывающих веществ включают стеариновую кислоту и стеараты металла, такие как стеарат кальция или стеарат магния; тальк; коллоидный оксид кремния; воски, такие как пчелиный воск или спермацет; борную кислоту; адипиновую кислоту; сульфаты, такие как сульфат натрия; гликоль; фумаровую кислоту; бензоат натрия; DL-лейцин; натриевые соли жирных кислот; лаурилсульфаты, такие как лаурилсульфат натрия или лаурилсульфат магния; кремниевые кислоты, такие как кремниевый ангидрид или силикат гидрат; и, производные крахмала. Примеры связующих веществ включают поливинилпирролидон, Macrogol и соединения, аналогичные вышеуказанным наполнителям. Примеры разрыхляющих агентов включают соединения, аналогичные вышеуказанным наполнителям, и химически сшитые крахмалы и целлюлозы, такие как кросс-натрийкармелоза, натрий карбоксиметил крахмал или поперечно-сшитый поливинилпирролидон. Примеры стабилизаторов включают сложные эфиры параоксибензоата, такие как метилпарабен или пропилпарабен; спирты, такие как хлорбутанол, бензиловый спирт или фенилэтиловый спирт; бензалконий хлорид; фенолы, такие как фенол или крезол; тимерозал; дегидроуксусную кислоту и сорбиновую кислоту. Примеры модификаторов включают обычно используемые подсластители, ароматизатор, придающий кислый вкус, и ароматизаторы. В случае получения раствора или суспензии для пульмонального введения соединения, имеющего общую формулу (I), или его фармакологически приемлемой соли по настоящему изобретению, например, указанный раствор или суспензия могут быть получены путем растворения или суспендирования кристаллов по настоящему изобретению в воде или в смеси воды и вспомогательном растворителе (например, этаноле, пропиленгликоле или полиэтиленгликоле). Такой раствор или суспензия также может содержать антисептик (например, бензалконий хлорид), солюбилизирующий агент (например, полисорбат, такой как твин 80 или спан 80, или поверхностный активатор, такой как бензалконий хлорид), буфер, изотонический агент (например, хлорид натрия), ускоритель впитывания и/или загуститель. Кроме того, суспензия может дополнительно содержать суспендирующий агент (такой как микрокристаллическая целлюлоза или натрий-карбоксиметилцеллюлоза). Композиция для пульмонального введения, полученная описанным выше способом, вводится непосредственно в носовую полость или полость рта обычными способами, известными в области использования ингаляторов (используя, например, капельницу, пипетку, канюлю или аэрозольный ингалятор). В случае использования аэрозольного ингалятора кристаллы по настоящему изобретению могут быть распылены в виде аэрозоли в форме находящегося под давлением контейнера вместе с соответствующей аэрозолью (например, хлорфторуглерод, такой как дихлорфторметан, трихлорфторметан или дихлортетрафторэтан, или газ, такой как диоксид углерода), или они могут вводиться с использованием распылителя. Так как количество используемого соединения, имеющего общую формулу (I), или его фармакологически приемлемой соли по настоящему изобретению изменяется в зависимости от симптомов, возраста, способа введения и так далее, то, например, в случае перорального введения нижний предел желаемого количества вводимого соединения равен 0,1 мг (предпочтительно 1 мг и более предпочтительно 5 мг) и верхний предел равен 1000 мг (предпочтительно 100 мг и более предпочтительно 50 мг) в день для взрослого человека, либо в виде единой дозированной формы, либо при разделении на несколько доз в соответствии с симптомами. В случае внутривенного введения низший предел желаемого количества соединения составляет 0,01 мг (предпочтительно 0,1 мг) и верхний предел составляет 100 мг (предпочтительно 10 мг) в день для взрослого человека, либо в виде единой дозированной формы, либо при разделении на несколько доз в соответствии с симптомами. Далее, так как количество используемого соединения, имеющего общую формулу (I), или его фармакологически приемлемой соли изменяется в зависимости от симптомов, возраста, пола и так далее, то в случае пульмонального введения нижний предел желаемого количества вводимого соединения составляет 0,01 мкг/кг (предпочтительно 0,05 мкг/кг), и верхний предел составляет 1000 мкг/кг (предпочтительно 100 мкг/кг и более предпочтительно 20 мкг/кг) в день для взрослого человека, либо в виде единой дозированной формы, либо при делении на несколько доз в соответствии с симптомами. НАИЛУЧШИЙ СПОСОБ ВЫПОЛНЕНИЯ ИЗОБРЕТЕНИЯ Несмотря на то что далее представлено более подробное описание настоящего изобретения с помощью его примеров, ссылочных примеров, примеров получения и примеров исследований, следует учесть, что настоящее изобретение ими не ограничивается. [Пример] [Пример 1] Гидрохлорид 1-(2-{(2R)-2-(3,4-дихлорфенил)-4-[3,5-бис(трифторметил)бензоил]морфолин-2-ил}этил)спиро{(2S)-2-[(ацетокси)ацетокси]}индан-1,4′-пиперидина (иллюстративное соединение № 2-97, гидрохлорид) К раствору 150 мг (0,214 ммоль) 1-(2-{(2R)-2-(3,4-дихлорфенил)-4-[3,5-бис(трифторметил)бензоил]морфолин-2-ил}этил)спиро[(2S)-2-гидрокси]индан-1,4′-пиперидина и 320 мг (1,07 ммоль, 3,3 ммоль/г) PS-диизопропилэтиламина в толуоле (3,0 мл) добавляли 0,07 мл ацетоксиацетилхлорида. После перемешивания смеси при комнатной температуре в течение 20 часов смолистое вещество удаляли фильтрованием. После упаривания растворителя при пониженном давлении полученный остаток очищали хроматографией на колонке с силикагелем (элюирующий растворитель: метиленхлорид/метанол=10/1), растворяли в этаноле (5,0 мл) и добавляли 4 н. раствор смеси хлористоводородная кислота-диоксан (0,5 мл). Растворитель повторно отгоняли при пониженном давлении, затем дважды подвергали азеотропной отгонке с диэтиловым эфиром. Полученный таким образом остаток перекристаллизовывали из гексана с получением 171 мг (выход: 95%) указанного в заголовке соединения в виде белого кристаллического продукта. 1H-ЯМР спектр (400 МГц, ДМСО-d6) Спектр ИК Масс-спектр (FAB) m/z: 801 ((M+H)+, свободная форма) Элементный анализ (для C38H37Cl3F6N2O6) Вычислено (%): C:54,46, H:4,45, N:3,34, F:13,60, Cl:12,69 Получено (%): C:52,13, H:4,54, N:3,43, F:12,23, Cl:11,83 Оптическое вращение: [ [Пример 2] Гидрохлорид 1-(2-{(2R)-2-(3,4-дихлорфенил)-4-[3,5-бис(трифторметил)бензоил]морфолин-2-ил}этил)спиро{(2S)-2-[(3,3-диметилбутаноил)окси]}индан-1,4′-пиперидина (иллюстративное соединение № 2-106, гидрохлорид) Реакцию проводили способом, описанным в примере 1, используя 150 мг (0,214 ммоль) 1-(2-{(2R)-2-(3,4-дихлорфенил)-4-[3,5-бис(трифторметил)бензоил]морфолин-2-ил}этил)спиро[(2S)-2-гидрокси]индан-1,4′-пиперидина и хлорангидрид 3,3-диметилмасляной кислоты с получением 143 мг (выход: 80%) указанного в заголовке соединения в виде белого кристаллического продукта. Спектр ИК Масс-спектр (FAB) m/z: 799 ((M+H)+, свободная форма) [Пример 3] Гидрохлорид 1-(2-{(2R)-2-(3,4-дихлорфенил)-4-[3,5-бис(трифторметил)бензоил]морфолин-2-ил}этил)спиро{(2S)-2-[(циклогексилкарбонил)окси]}индан-1,4′-пиперидина (иллюстративное соединение № 2-110, гидрохлорид) Реакцию проводили способом, описанным в примере 1, используя 150 мг (0,214 ммоль) 1-(2-{(2R)-2-(3,4-дихлорфенил)-4-[3,5-бис(трифторметил)бензоил]морфолин-2-ил}этил)спиро[(2S)-2-гидрокси]индан-1,4′-пиперидина и хлорангидрид циклогексанкарбоновой кислоты с получением 185 мг (выход: 99%) указанного в заголовке соединения в виде белого кристаллического продукта. Спектр ИК Масс-спектр (FAB) m/z: 811 ((M+H)+, свободная форма) [Пример 4] Гидрохлорид 1-(2-{(2R)-2-(3,4-дихлорфенил)-4-[3,5-бис(трифторметил)бензоил]морфолин-2-ил}этил)спиро{(2S)-2-[(метоксиацетил)окси]}индан-1,4′-пиперидина (иллюстративное соединение № 2-111, гидрохлорид) Реакцию проводили способом, описанным в примере 1, используя 150 мг (0,214 ммоль) 1-(2-{(2R)-2-(3,4-дихлорфенил)-4-[3,5-бис(трифторметил)бензоил]морфолин-2-ил}этил)спиро[(2S)-2-гидрокси]индан-1,4′-пиперидина и хлорангидрид метоксиуксусной кислоты с получением 98,0 мг (выход: 57%) указанного в заголовке соединения в виде белого кристаллического продукта. Спектр ИК Масс-спектр (FAB) m/z: 773 ((M+H)+, свободная форма) [Пример 5] Гидрохлорид 1-(2-{(2R)-2-(3,4-дихлорфенил)-4-[3,5-бис(трифторметил)бензоил]морфолин-2-ил}этил)спиро{(2S)-2-[(циклопропилкарбонил)окси]}индан-1,4′-пиперидина (иллюстративное соединение № 2-107, гидрохлорид) Реакцию проводили способом, описанным в примере 1, используя 150 мг (0,214 ммоль) 1-(2-{(2R)-2-(3,4-дихлорфенил)-4-[3,5-бис(трифторметил)бензоил]морфолин-2-ил}этил)спиро[(2S)-2-гидрокси]индан-1,4′-пиперидина и хлорангидрид циклопропанкарбоновой кислоты с получением 72,0 мг (выход: 42%) указанного в заголовке соединения в виде белого кристаллического продукта. Спектр ИК Масс-спектр (FAB) m/z: 801 ((M+H)+, свободная форма) [Пример 6] Дигидрохлорид 1-(2-{(2R)-2-(3,4-дихлорфенил)-4-[3,5-бис(трифторметил)бензоил]морфолин-2-ил}этил)спиро((2S)-2-{[(морфолин-1-ил)ацетил]окси})индан-1,4′-пиперидина (иллюстративное соединение № 2-112, дигидрохлорид) К раствору 400 мг (0,57 ммоль) 1-(2-{(2R)-2-(3,4-дихлорфенил)-4-[3,5-бис(трифторметил)бензоил]морфолин-2-ил}этил)спиро[(2S)-2-гидрокси]индан-1,4′-пиперидина, 248 мг (1,71 ммоль) 2-морфолинуксусной кислоты и 0,48 мл (3,42 ммоль) триэтиламина в 12 мл метиленхлорида при охлаждении льдом и перемешивании добавляли 435 мг (1,71 ммоль) N,N-бис(2-оксо-3-оксазолидинил)фосфинхлорида и 7 мг (0,057 ммоль) 4-(диметиламино)пиридина и смесь перемешивали при комнатной температуре в течение 1 часа. Реакционную смесь промывали водой и насыщенным раствором NaCl и сушили над безводным сульфатом магния. Полученный упариванием растворителя при пониженном давлении остаток очищали хроматографией на колонке с силикагелем (элюирующий растворитель: метиленхлорид/метанол = 50/1-100/3) с получением 337 мг (выход: 71%) свободной формы указанного в заголовке соединения. К 336 мг (0,405 ммоль) полученного таким образом указанного в заголовке соединения в свободной форме добавляли для растворения 5 мл этанола и добавляли 4 н. раствор смеси хлористоводородная кислота-диоксан (0,51 мл). После перемешивания реакционной смеси при охлаждении льдом в течение 10 минут растворитель отгоняли при пониженном давлении, затем проводили азеотропную отгонку с диэтиловым эфиром. К полученному таким образом остатку для собирания его фильтрованием добавляли эфир с получением 341 мг (выход: 93%) указанного в заголовке соединения в виде белого твердого продукта. 1H-ЯМР спектр (400 МГц, CD3OD) Спектр ИК Масс-спектр (FAB) m/z: 828 ((M+H)+, свободная форма) Элементный анализ (для C40H41Cl2F6N3O5 Вычислено (%): C:53,29, H:4,81, N:4,66, F:12,64, Cl:15,73 Получено (%): C:51,97, H:5,05, N:4,60, F:11,48, Cl:15,39 Оптическое вращение: [ [Пример 7] Дигидрохлорид 1-{2-[(2R)-2-(3,4-дихлорфенил)-4-(3,4,5-триметоксибензоил)морфолин-2-ил]этил}спиро((2S)-2-{[(морфолин-1-ил)ацетил]окси})индан-1,4′-пиперидина (иллюстративное соединение № 1-112, дигидрохлорид) Реакцию проводили способом, описанным в примере 6, используя 350 мг (0,534 ммоль) 1-{2-[(2R)-2-(3,4-дихлорфенил)-4-(3,4,5-триметоксибензоил)морфолин-2-ил]этил}спиро[(2S)-2-гидрокси]индан-1,4′-пиперидина, 232 мг (1,60 ммоль) 2-морфолинуксусной кислоты, 0,45 мл (3,20 ммоль) триэтиламина, 408 мг (1,60 ммоль) N,N-бис(2-оксо-3-оксазолидинил)фосфинхлорида и 7 мг (0,057 ммоль) 4-(диметиламино)пиридина с получением 404 мг (выход: 83%) указанного в заголовке соединения в виде белого твердого продукта. 1H-ЯМР спектр (400 МГц, CD3OD) Спектр ИК Масс-спектр (FAB) m/z: 782 ((M+H)+, свободная форма) Элементный анализ (для C41H49Cl2N3O8 Вычислено (%): C:55,79, H:6,17, N:4,76, Cl:16,07 Получено (%): C:55,87, H:6,07, N:4,69, Cl:16,37 Оптическое вращение: [ [Пример 8] Дигидрохлорид 1-(2-{(2R)-2-(3,4-дихлорфенил)-4-[3,5-бис(трифторметил)бензоил]морфолин-2-ил}этил)спиро((2S)-2-{[(4-морфолин-4-ил)бутаноил]окси})индан-1,4′-пиперидина (иллюстративное соединение № 2-114, дигидрохлорид) Реакцию проводили способом, описанным в примере 6, используя 212 мг (0,302 ммоль) 1-(2-{(2R)-2-(3,4-дихлорфенил)-4-[3,5-бис(трифторметил)бензоил]морфолин-2-ил}этил)спиро[(2S)-2-гидрокси]индан-1,4′-пиперидина, 262 мг (1,51 ммоль) 4-морфолинмасляной кислоты, 0,42 мл (3,02 ммоль) триэтиламина, 384 мг (1,51 ммоль) N,N-бис(2-оксо-3-оксазолидинил)фосфинхлорида и 4 мг (0,03 ммоль) 4-(диметиламино)пиридина с получением 182 мг (выход: 67%) указанного в заголовке соединения в виде белого твердого продукта. Спектр ИК Масс-спектр (FAB) m/z: 856 ((M+H)+, свободная форма) [Пример 9] Дигидрохлорид 1-(2-{(2R)-2-(3,4-дихлорфенил)-4-[3,5-бис(трифторметил)бензоил]морфолин-2-ил}этил)спиро((2S)-2-{[(3-морфолин-4-ил)пропаноил]окси})индан-1,4′-пиперидина (иллюстративное соединение № 2-113, дигидрохлорид) Реакцию проводили способом, описанным в примере 6, используя 218 мг (0,311 ммоль) 1-(2-{(2R)-2-(3,4-дихлорфенил)-4-[3,5-бис(трифторметил)бензоил]морфолин-2-ил}этил)спиро[(2S)-2-гидрокси]индан-1,4′-пиперидина, 247 мг (1,55 ммоль) 3-морфолинпропионовой кислоты, 0,43 мл (3,10 ммоль) триэтиламина, 395 мг (1,55 ммоль) N,N-бис(2-оксо-3-оксазолидинил)фосфинхлорида и 5 мг (0,03 ммоль) 4-(диметиламино)пиридина с получением 158 мг (выход: 63%) указанного в заголовке соединения в виде белого твердого продукта. Спектр ИК Масс-спектр (FAB) m/z: 842 ((M+H)+, свободная форма) [Пример 10] Гидрохлорид 1-(2-{(2R)-2-(3,4-дихлорфенил)-4-[3,5-бис(трифторметил)бензоил]морфолин-2-ил}этил)спиро((2S)-2-{[(2-метокси)этоксикарбонил]окси})индан-1,4′-пиперидина (иллюстративное соединение № 2-122, гидрохлорид) Реакцию проводили способом, описанным в примере 1, используя 150 мг (0,214 ммоль) 1-(2-{(2R)-2-(3,4-дихлорфенил)-4-[3,5-бис(трифторметил)бензоил]морфолин-2-ил}этил)спиро[(2S)-2-гидрокси]индан-1,4′-пиперидина и 2-метоксиэтилхлорформиат, с получением 172 мг (выход: 96%) указанного в заголовке соединения в виде белого кристаллического продукта. Спектр ИК Масс-спектр (FAB) m/z: 803 ((M+H)+, свободная форма) [Пример 11] Гидрохлорид 1-(2-{(2R)-2-(3,4-дихлорфенил)-4-[3,5-бис(трифторметил)бензоил]морфолин-2-ил}этил)спиро{(2S)-2-[этоксикарбонил)окси]}индан-1,4′-пиперидина (иллюстративное соединение № 2-121, гидрохлорид) Реакцию проводили способом, описанным в примере 1, используя 150 мг (0,214 ммоль) 1-(2-{(2R)-2-(3,4-дихлорфенил)-4-[3,5-бис(трифторметил)бензоил]морфолин-2-ил}этил)спиро[(2S)-2-гидрокси]индан-1,4′-пиперидина и этилхлорформиат, с получением 165 мг (выход: 93%) указанного в заголовке соединения в виде белого кристаллического продукта. Спектр ИК Масс-спектр (FAB) m/z: 773 ((M+H)+, свободная форма) [Пример 12] Гидрохлорид 1-(2-{(2R)-2-(3,4-дихлорфенил)-4-[3,5-бис(трифторметил)бензоил]морфолин-2-ил}этил)спиро((2S)-2-{[(2-фтор)этоксикарбонил]окси})индан-1,4′-пиперидина (иллюстративное соединение № 2-123, гидрохлорид) Реакцию проводили способом, описанным в примере 1, используя 150 мг (0,214 ммоль) 1-(2-{(2R)-2-(3,4-дихлорфенил)-4-[3,5-бис(трифторметил)бензоил]морфолин-2-ил}этил)спиро[(2S)-2-гидрокси]индан-1,4′-пиперидина и этилхлорформиат, с получением 50,0 мг (выход: 28%) указанного в заголовке соединения в виде белого кристаллического продукта. Спектр ИК Масс-спектр (FAB) m/z: 791 ((M+H)+, свободная форма) [Пример 13] Гидрохлорид 1-(2-{(2R)-2-(3,4-дихлорфенил)-4-[3,5-бис(трифторметил)бензоил]морфолин-2-ил}этил)спиро((2S)-2-{[(2-пропаргил)оксикарбонил]окси})индан-1,4′-пиперидина (иллюстративное соединение № 2-124, гидрохлорид) Реакцию проводили способом, описанным в примере 1, используя 150 мг (0,214 ммоль) 1-(2-{(2R)-2-(3,4-дихлорфенил)-4-[3,5-бис(трифторметил)бензоил]морфолин-2-ил}этил)спиро[(2S)-2-гидрокси]индан-1,4′-пиперидина и пропаргилхлорформиат, с получением 170 мг (выход: 97%) указанного в заголовке соединения в виде белого кристаллического продукта. Спектр ИК Масс-спектр (FAB) m/z: 783 ((M+H)+, свободная форма) [Пример 14] Гидрохлорид 1-(2-{(2R)-2-(3,4-дихлорфенил)-4-[3,5-бис(трифторметил)бензоил]морфолин-2-ил}этил)спиро[(2S)-2-({[2-этоксикарбонил)этил]карбамоил}окси)]индан-1,4′-пиперидина (иллюстративное соединение № 2-126, гидрохлорид) К раствору 150 мг (0,214 ммоль) 1-(2-{(2R)-2-(3,4-дихлорфенил)-4-[3,5-бис(трифторметил)бензоил]морфолин-2-ил}этил)спиро[(2S)-2-гидроксиокси]индан-1,4′-пиперидина и 320 мг (1,07 ммоль, 3,3 ммоль/г) PS-диизопропилэтиламина в толуоле (3,0 мл) добавляли 0,08 мл этоксикарбонилэтил изоцианата. Затем перемешивали при 80°C в течение 20 часов, смолянистое вещество удаляли фильтрованием. После упаривания растворителя при пониженном давлении полученный остаток очищали хроматографией на колонке с силикагелем (элюирующий растворитель: метиленхлорид/метанол=10/1), растворяли в этаноле (5,0 мл) и добавляли 4 н. раствор смеси хлористоводородная кислота-диоксан (0,5 мл). Растворитель вновь отгоняли при пониженном давлении, затем дважды проводили азеотропную отгонку с диэтиловым эфиром. Полученный таким образом остаток перекристаллизовывали из гексана с получением 45,0 мг (выход: 24%) указанного в заголовке соединения в виде белого кристаллического продукта. 1H-ЯМР спектр (400 МГц, ДМСО-d6) Спектр ИК Масс-спектр (FAB) m/z: 844 ((M+H)+, свободная форма) Элементный анализ (для C40H42Cl3F6N3O6) Вычислено (%): C:54,52, H:4,80, N:4,77, F:12,94, Cl:12,07 Получено (%): C:51,32, H:4,77, N:5,35, F:10,92, Cl:12,04 Оптическое вращение: [ [Пример 15] Гидрохлорид 1-(2-{(2R)-2-(3,4-дихлорфенил)-4-[3,5-бис(трифторметил)бензоил]морфолин-2-ил}этил)спиро[(2S)-2-({[3-этоксикарбонил)пропил]карбамоил}окси)]индан-1,4′-пиперидина (иллюстративное соединение № 2-127, гидрохлорид) Реакцию проводили способом, описанным в примере 14, используя 150 мг (0,214 ммоль) 1-(2-{(2R)-2-(3,4-дихлорфенил)-4-[3,5-бис(трифторметил)бензоил]морфолин-2-ил}этил)спиро[(2S)-2-гидрокси]индан-1,4′-пиперидина и этоксикарбонилпропил изоцианат, с получением 38,0 мг (выход: 20%) указанного в заголовке соединения в виде белого кристаллического продукта. Спектр ИК Масс-спектр (FAB) m/z: 858 ((M+H)+, свободная форма) [Пример 16] Гидрохлорид 1-(2-{(2R)-2-(3,4-дихлорфенил)-4-[3,5-бис(трифторметил)бензоил]морфолин-2-ил}этил)спиро[(2S)-2-(2-(этилкарбамоилокси)]индан-1,4′-пиперидина (иллюстративное соединение № 2-128, гидрохлорид) Реакцию проводили способом, описанным в примере 14, используя 150 мг (0,214 ммоль) 1-(2-{(2R)-2-(3,4-дихлорфенил)-4-[3,5-бис(трифторметил)бензоил]морфолин-2-ил}этил)спиро[(2S)-2-гидрокси]индан-1,4′-пиперидина и этил изоцианат, с получением 68,0 мг (выход: 39%) указанного в заголовке соединения в виде белого кристаллического продукта. Спектр ИК Масс-спектр (FAB) m/z: 772 ((M+H)+, свободная форма). [Пример 17] Гидрохлорид 1-(2-{(2R)-2-(3,4-дихлорфенил)-4-[3,5-бис(трифторметил)бензоил]морфолин-2-ил}этил)спиро[(2S)-2-(этоксикарбонилметилкарбамоилокси))индан-1,4′-пиперидина (иллюстративное соединение № 2-125, гидрохлорид) Реакцию проводили способом, описанным в примере 14, используя 150 мг (0,214 ммоль) 1-(2-{(2R)-2-(3,4-дихлорфенил)-4-[3,5-бис(трифторметил)бензоил]морфолин-2-ил}этил)спиро[(2S)-2-гидрокси]индан-1,4′-пиперидина и этоксикарбонилметил изоцианат, с получением 53,0 мг (выход: 29%) указанного в заголовке соединения в виде белого кристаллического продукта. Спектр ИК Масс-спектр (FAB) m/z: 830 ((M+H)+, свободная форма) [Пример 18] Дигидрохлорид 1-(2-{(2R)-2-(3,4-дихлорфенил)-4-[3,5-бис(трифторметил)бензоил]морфолин-2-ил}этил)спиро[(2S)-2-({[N-(гидроксиэтил)-N-метиламино]ацетил}окси)]индан-1,4′-пиперидина (иллюстративное соединение № 2-129, дигидрохлорид) [Пример 18a] 1-(2-{(2R)-2-(3,4-Дихлорфенил)-4-[3,5-бис(трифторметил)бензоил]морфолин-2-ил}этил)спиро[(2S)-2-(бромацетил)окси]индан-1,4′-пиперидин К раствору 10,0 г (14,3 ммоль) 1-(2-{(2R)-2-(3,4-дихлорфенил)-4-[3,5-бис(трифторметил)бензоил]морфолин-2-ил}этил)спиро[(2S)-2-гидрокси]индан-1,4′-пиперидина и 2,78 мл триэтиламина в 200 мл метиленхлорида при охлаждении льдом с перемешиванием добавляли по каплям бромацетилбромид и эту смесь перемешивали в течение 35 минут. Реакционный раствор промывали насыщенным водным раствором хлорида аммония и сушили над безводным сульфатом магния. Остаток, полученный упариванием растворителя при пониженном давлении, очищали хроматографией на колонке с силикагелем (элюирующий растворитель: метиленхлорид/метанол = 25/1-20/1) с получением 11,48 г (выход: 98%) указанного в заголовке соединения в виде белого твердого продукта. 1H-ЯМР спектр (400 МГц, CDCl3) Спектр ИК Масс-спектр (FAB) m/z: 821 ((M+H)+) [Пример 18b] Дигидрохлорид 1-(2-{(2R)-2-(3,4-дихлорфенил)-4-[3,5-бис(трифторметил)бензоил]морфолин-2-ил}этил)спиро[(2S)-2-({[N-(2-гидроксиэтил)-N-метиламино]ацетил}окси)]индан-1,4′-пиперидина К раствору 200 мг (0,243 ммоль) 1-(2-{(2R)-2-(3,4-дихлорфенил)-4-[3,5-бис(трифторметил)бензоил]морфолин-2-ил}этил)спиро[(2S)-2-(бромацетил)окси]индан-1,4′-пиперидина, полученного в примере 18a, в ацетонитриле добавляли 60 мкл (0,75 ммоль) N-метилэтаноламина и смесь перемешивали при 50°C в течение 5 часов. К реакционному раствору добавляли метиленхлорид и органический слой промывали насыщенным раствором NaCl, и сушили над безводным сульфатом магния. Остаток, полученный упариванием растворителя при пониженном давлении, очищали хроматографией на колонке с силикагелем (элюирующий растворитель: метиленхлорид/2-пропанол = 10/1-5/1) и растворяли в 5,0 мл метанола и добавляли 1,0 мл раствора смеси 4 н. соляная кислота-диоксан. Повторно отгоняли растворитель при пониженном давлении, затем дважды выполняли азеотропную отгонку с диэтиловым эфиром. К полученному таким образом остатку для собирания его фильтрованием добавляли эфир с получением 39 мг (выход: 18%) указанного в заголовке соединения в виде белого твердого продукта. 1H-ЯМР спектр (400 МГц, CD3OD) Спектр ИК Масс-спектр (FAB) m/z: 816 ((M+H)+, свободная форма) Элементный анализ (для C39H41Cl2F6N3O5 Вычислено: C:52,66, H:4,87, N:4,72 Найдено: C:52,72, H:4,59, N:3,73 Оптическое вращение: [ [Пример 19] Дигидрохлорид 1-(2-{(2R)-2-(3,4-дихлорфенил)-4-[3,5-бис(трифторметил)бензоил]морфолин-2-ил}этил)спиро[(2S)-2-({[4-(аминокарбонил)пиперидин-1-ил]ацетил}окси)]индан-1,4′-пиперидина (иллюстративное соединение № 2-144, дигидрохлорид) Реакцию проводили способом, описанным в примере 18b, используя 200 мг (0,243 ммоль) 1-(2-{(2R)-2-(3,4-дихлорфенил)-4-[3,5-бис(трифторметил)бензоил]морфолин-2-ил}этил)спиро[(2S)-2-(бромацетил)окси]индан-1,4′-пиперидина, полученного в примере 18a, и 86 мг (0,75 ммоль) изонипекотамида, с получением 43 мг (выход: 19%) указанного в заголовке соединения в виде белого твердого продукта. 1H-ЯМР спектр (400 МГц, CD3OD) Спектр ИК Масс-спектр (FAB) m/z: 869 ((M+H)+, свободная форма) Элементный анализ (для C42H46Cl2F6N4O5 Вычислено (%): C:48,85, H:5,47, N:5,43 Получено (%): C:48,61, H:5,23, N:5,27 Оптическое вращение: [ [Пример 20] Дигидрохлорид 1-(2-{(2R)-2-(3,4-дихлорфенил)-4-[3,5-бис(трифторметил)бензоил]морфолин-2-ил}этил)спиро((2S)-2-{[(пирролидин-1-ил)ацетил]окси})индан-1,4′-пиперидина (иллюстративное соединение № 2-142, дигидрохлорид) Реакцию проводили способом, описанным в примере 18b, используя 200 мг (0,243 ммоль) 1-(2-{(2R)-2-(3,4-дихлорфенил)-4-[3,5-бис(трифторметил)бензоил]морфолин-2-ил}этил)спиро[(2S)-2-(бромацетил)окси]индан-1,4′-пиперидина, полученного в примере 18a, и 52 мг (0,73 ммоль) пирролидина, с получением 91 мг (выход: 45%) указанного в заголовке соединения в виде белого твердого продукта. Спектр ИК Масс-спектр (FAB) m/z: 812 ((M+H)+, свободная форма) [Пример 21] Дигидрохлорид 1-(2-{(2R)-2-(3,4-дихлорфенил)-4-[3,5-бис(трифторметил)бензоил]морфолин-2-ил}этил)спиро((2S)-2-{[(азетидин-1-ил)ацетил]окси})индан-1,4′-пиперидина (иллюстративное соединение № 2-141, дигидрохлорид) Реакцию проводили способом, описанным в примере 18b, используя 200 мг (0,243 ммоль) 1-(2-{(2R)-2-(3,4-дихлорфенил)-4-[3,5-бис(трифторметил)бензоил]морфолин-2-ил}этил)спиро[(2S)-2-(бромацетил)окси]индан-1,4′-пиперидина, полученного в примере 18a, и 52 мг (0,75 ммоль) азетидина, с получением 37 мг (выход: 17%) указанного в заголовке соединения в виде белого твердого продукта. Спектр ИК Масс-спектр (FAB) m/z: 798 ((M+H)+, свободная форма) [Пример 22] Дигидрохлорид 1-(2-{(2R)-2-(3,4-дихлорфенил)-4-[3,5-бис(трифторметил)бензоил]морфолин-2-ил}этил)спиро[(2S)-2-({[4-(гидроксиметил)пиперидин-1-ил]ацетил}окси)]индан-1,4′-пиперидина (иллюстративное соединение № 2-145, дигидрохлорид) Реакцию проводили способом, описанным в примере 18b, используя 200 мг (0,243 ммоль) 1-(2-{(2R)-2-(3,4-дихлорфенил)-4-[3,5-бис(трифторметил)бензоил]морфолин-2-ил}этил)спиро[(2S)-2-(бромацетил)окси]индан-1,4′-пиперидина, полученного в примере 18a, и 96 мг (0,75 ммоль) 4-(гидроксиметил)пиперидина, с получением 58 мг (выход: 26%) указанного в заголовке соединения в виде белого твердого продукта. Спектр ИК Масс-спектр (FAB) m/z: 856 ((M+H)+, свободная форма) [Пример 23] Дигидрохлорид 1-(2-{(2R)-2-(3,4-дихлорфенил)-4-[3,5-бис(трифторметил)бензоил]морфолин-2-ил}этил)спиро[(2S)-2-({[N-(2-этоксиэтил)-N-метиламино]ацетил}окси)]индан-1,4′-пиперидина (иллюстративное соединение № 2-130, дигидрохлорид) Реакцию проводили способом, описанным в примере 18b, используя 200 мг (0,243 ммоль) 1-(2-{(2R)-2-(3,4-дихлорфенил)-4-[3,5-бис(трифторметил)бензоил]морфолин-2-ил}этил)спиро[(2S)-2-(бромацетил)окси]индан-1,4′-пиперидина, полученного в примере 18a, и 105 мкл (0,75 ммоль) 2-этоксиэтиламина, с получением 68 мг (выход: 31%) указанного в заголовке соединения в виде белого твердого продукта. Спектр ИК Масс-спектр (FAB) m/z: 830 ((M+H)+, свободная форма) [Пример 24] Дигидрохлорид 1-(2-{(2R)-2-(3,4-дихлорфенил)-4-[3,5-бис(трифторметил)бензоил]морфолин-2-ил}этил)спиро[(2S)-2-({[4-(2-гидроксиэтил)пиперидин-1-ил]ацетил}окси)]индан-1,4′-пиперидина (иллюстративное соединение № 2-146, дигидрохлорид) Реакцию проводили способом, описанным в примере 18b, используя 200 мг (0,243 ммоль) 1-(2-{(2R)-2-(3,4-дихлорфенил)-4-[3,5-бис(трифторметил)бензоил]морфолин-2-ил}этил)спиро[(2S)-2-(бромацетил)окси]индан-1,4′-пиперидина, полученного в примере 18a, и 92 мг (0,75 ммоль) 4-пиперидинэтанола, с получением 48 мг (выход: 21%) указанного в заголовке соединения в виде белого твердого продукта. Спектр ИК Масс-спектр (FAB) m/z: 870 ((M+H)+, свободная форма) [Пример 25] Дигидрохлорид 1-(2-{(2R)-2-(3,4-дихлорфенил)-4-[3,5-бис(трифторметил)бензоил]морфолин-2-ил}этил)спиро((2S)-2-{[(изопропиламино)ацетил]окси})индан-1,4′-пиперидина (иллюстративное соединение № 2-134, дигидрохлорид) Реакцию проводили способом, описанным в примере 18b, используя 200 мг (0,243 ммоль) 1-(2-{(2R)-2-(3,4-дихлорфенил)-4-[3,5-бис(трифторметил)бензоил]морфолин-2-ил}этил)спиро[(2S)-2-(бромацетил)окси]индан-1,4′-пиперидина, полученного в примере 18a, и 64 мкл (0,75 ммоль) 2-пропиламина, с получением 50 мг (выход: 24%) указанного в заголовке соединения в виде белого твердого продукта. Спектр ИК Масс-спектр (FAB) m/z: 800 ((M+H)+, свободная форма) [Пример 26] Дигидрохлорид 1-(2-{(2R)-2-(3,4-дихлорфенил)-4-[3,5-бис(трифторметил)бензоил]морфолин-2-ил}этил)спиро[(2S)-2-({[бис(2-метоксиэтил)амино]ацетил}окси)]индан-1,4′-пиперидина (иллюстративное соединение № 2-140, дигидрохлорид) Реакцию проводили способом, описанным в примере 18b, используя 200 мг (0,243 ммоль) 1-(2-{(2R)-2-(3,4-дихлорфенил)-4-[3,5-бис(трифторметил)бензоил]морфолин-2-ил}этил)спиро[(2S)-2-(бромацетил)окси]индан-1,4′-пиперидина, полученного в примере 18a, и 97 мкл (0,75 ммоль) бис(2-метоксиэтил)амина, с получением 74 мг (выход: 32%) указанного в заголовке соединения в виде белого твердого продукта. Спектр ИК Масс-спектр (FAB) m/z: 874 ((M+H)+, свободная форма) [Пример 27] Натриевая соль 1-(2-{(2R)-2-(3,4-дихлорфенил)-4-[3,5-бис(трифторметил)бензоил]морфолин-2-ил}этил)спиро{(2S)-2-[(карбоксиметил)окси]}индан-1,4′-пиперидина (иллюстративное соединение № 2-147, натриевая соль) [Пример 27a] 1-(2-{(2R)-2-(3,4-Дихлорфенил)-4-[3,5-бис(трифторметил)бензоил]морфолин-2-ил}этил)спиро[(2S)-2-(трет-бутоксикарбонилметокси)]индан-1,4′-пиперидин 5 г (7,13 ммоль) 1-(2-{(2R)-2-(3,4-дихлорфенил)-4-[3,5-бис(трифторметил)бензоил]морфолин-2-ил}этил)спиро[(2S)-2-гидрокси]индан-1,4′-пиперидина растворяли в 6 мл тетрагидрофурана и при охлаждении льдом в течение 10 минут по каплям добавляли 21 мл (10,5 ммоль) бис(триметилсилил)амида калия (0,5 моль/л раствора толуола). После перемешивания смеси при охлаждении льдом в течение 10 минут добавляли 1,58 мл (10,7 ммоль) трет-бутилбромацетата. После перемешивания смеси при охлаждении льдом в течение 10 минут температура смеси возвращалась до значения комнатной температуры и смесь перемешивали в течение 1 часа. Добавляли воду и смесь гасили и экстрагировали этилацетатом. Органический слой промывали последовательно водой и насыщенным раствором NaCl и сушили над безводным сульфатом натрия. Растворитель отгоняли при пониженном давлении и остаток очищали хроматографией на колонке с силикагелем (элюирующий растворитель: этилацетат/н-гексан=4/1) с получением 3,45 г (выход: 59%) указанного в заголовке соединения. 1H-ЯМР спектр (500 МГц, CD3OD) Спектр ИК Масс-спектр (FAB) m/z: 815 ((M+H)+, свободная форма) [Пример 27b] 1-(2-{(2R)-2-(3,4-Дихлорфенил)-4-[3,5-бис(трифторметил)бензоил]морфолин-2-ил}этил)спиро{(2S)-2-[(карбоксиметил)окси]}индан-1,4′-пиперидин В 75 мл метиленхлорида растворяли 7,5 г (9,19 ммоль) 1-(2-{(2R)-2-(3,4-дихлорфенил)-4-[3,5-бис(трифторметил)бензоил]морфолин-2-ил}этил)спиро[(2S)-2-(трет-бутоксикарбонилметокси)]индан-1,4′-пиперидина, полученного в примере 27a, и в течение 5 минут по каплям добавляли 75 мл 90% водного раствора трифторуксусной кислоты. После перемешивания смеси при комнатной температуре в течение 2 часов растворитель отгоняли при пониженном давлении. Полученный таким образом остаток растворяли в этилацетате, последовательно промывали водой и насыщенным раствором NaCl и сушили над безводным сульфатом натрия. Растворитель отгоняли при пониженном давлении с получением 6,5 г (выход: 96%) указанного в заголовке соединения. 1H-ЯМР спектр (500 МГц, CD3OD) Спектр ИК Масс-спектр (FAB) m/z: 759 ((M+H)+, свободная форма) [Пример 27c] Натриевая соль 1-(2-{(2R)-2-(3,4-Дихлорфенил)-4-[3,5-бис(трифторметил)бензоил]морфолин-2-ил}этил)спиро{(2S)-2-[(карбоксиметил)окси]}индан-1,4′-пиперидина В 15 мл 1 н. водного раствора гидроксида натрия растворяли 300 мг (0,39 ммоль) 1-(2-{(2R)-2-(3,4-дихлорфенил)-4-[3,5-бис(трифторметил)бензоил]морфолин-2-ил}этил)спиро{(2S)-2-[(карбоксиметил)окси]}индан-1,4′-пиперидина, полученного в примере 27b, и смесь экстрагировали дважды этилацетатом, промывали насыщенным раствором NaCl и сушили над безводным сульфатом натрия. Растворитель отгоняли при пониженном давлении и полученный таким образом остаток перекристаллизовывали из н-гексана с получением 135 мг (выход: 44%) указанного в заголовке соединения в виде белого кристаллического продукта. 1H-ЯМР спектр (500 МГц, CD3OD) Спектр ИК Масс-спектр (FAB) m/z: 759 ((M+H)+, свободная форма) Элементный анализ (для C36H33Cl2F6N2NaO5 Вычислено (%): C:50,65, H:4,84, Cl:8,31, F:13,35, N:3,28, Na:2,69 Получено (%): C:50,59, H:4,32, Cl:7,94, F:13,07, N:3,36, Na: 3,63 Оптическое вращение: [ [Пример 28] Гидрохлорид 1-(2-{(2R)-2-(3,4-дихлорфенил)-4-[3,5-бис(трифторметил)бензоил]морфолин-2-ил}этил)спиро{(2S)-2-[2-(морфолин-4-ил)-2-оксоэтокси]}индан-1,4′-пиперидина (иллюстративное соединение № 2-156, гидрохлорид) В 5 мл метиленхлорида растворяли 300 мг (0,39 ммоль) 1-(2-{(2R)-2-(3,4-дихлорфенил)-4-[3,5-бис(трифторметил)бензоил]морфолин-2-ил}этил)спиро[(2S)-2-карбоксиметокси]индан-1,4′-пиперидина, полученного в примере 27b, и добавляли 57 мкл (0,79 ммоль) тионилхлорида. К смеси добавляли одну каплю диметилформамида, затем перемешивали при комнатной температуре в течение 2 часов. Растворитель отгоняли при пониженном давлении, к полученному остатку добавляли 5 мл метиленхлорида и при охлаждении льдом добавляли 103 мкл (1,18 ммоль) морфолина. После перемешивания смеси при комнатной температуре в течение 2 часов ее промывали последовательно водой и насыщенным раствором NaCl и сушили над безводным сульфатом натрия. Растворитель отгоняли при пониженном давлении и полученный таким образом остаток очищали с помощью тонкослойной хроматографии (элюирующий растворитель: метиленхлорид/метанол=9/1) с получением 105 мг (выход: 32%) 1-(2-{(2R)-2-(3,4-дихлорфенил)-4-[3,5-бис(трифторметил)бензоил]морфолин-2-ил}этил)спиро{(2S)-2-[2-(морфолин-4-ил)-2-оксоэтокси]}индан-1,4′-пиперидина. Полученный таким образом 1-(2-{(2R)-2-(3,4-дихлорфенил)-4-[3,5-бис(трифторметил)бензоил]морфолин-2-ил}этил)спиро{(2S)-2-[2-(морфолин-4-ил)-2-оксоэтокси]}индан-1,4′-пиперидин растворяли в 4 мл этанола и добавляли 0,5 мл раствора смеси 4 н. соляная кислота-диоксан. Растворитель отгоняли при пониженном давлении, затем выполняли азеотропную отгонку дважды с диэтиловым эфиром. Полученный таким образом остаток перекристаллизовывали из гексана с получением 70 мг (выход: 64%) указанного в заголовке соединения в виде белого кристаллического продукта. 1H-ЯМР спектр (500 МГц, CD3OD) Спектр ИК Масс-спектр (FAB) m/z: 828 ((M+H)+, свободная форма) Элементный анализ (для C40H42Cl3F6N3O4 Вычислено (%): C:52,27, H:5,26, Cl:11,57, F:12,40, N:4,57 Получено (%): C:52,56, H:5,05, Cl:12,14, F:12,67, N:4,70 Оптическое вращение: [ [Пример 29] Гидрохлорид 1-(2-{(2R)-2-(3,4-дихлорфенил)-4-[3,5-бис(трифторметил)бензоил]морфолин-2-ил}этил)спиро[(2S)-2-(2-амино-2-оксоэтокси)]индан-1,4′-пиперидина (иллюстративное соединение № 2-150, гидрохлорид) Реакцию проводили способом, описанным в примере 28, используя 300 мг (0,39 ммоль) 1-(2-{(2R)-2-(3,4-дихлорфенил)-4-[3,5-бис(трифторметил)бензоил]морфолин-2-ил}этил)спиро[(2S)-2-карбоксиметокси]индан-1,4′-пиперидина и 2,5 мл водного раствора аммиака, с получением 162 мг (выход: 52%) указанного в заголовке соединения в виде белого кристаллического продукта. 1H-ЯМР спектр (500 МГц, CD3OD) Спектр ИК Масс-спектр (FAB) m/z: 758 ((M+H)+, свободная форма) Элементный анализ (для C36H36Cl3F6N3O4 Вычислено (%): C:49,87, H:5,11, Cl:12,27, F:13,15, N:4,85 Получено (%): C:49,84, H:4,81, Cl:14,91, F:13,70, N:4,83 Оптическое вращение: [ [Пример 30] Гидрохлорид 1-(2-{(2R)-2-(3,4-дихлорфенил)-4-[3,5-бис(трифторметил)бензоил]морфолин-2-ил}этил)спиро{(2S)-2-[2-(N,N-диметиламино)-2-оксоэтокси]}индан-1,4′-пиперидина (иллюстративное соединение № 2-151, гидрохлорид) Реакцию проводили способом, описанным в примере 28, используя 300 мг (0,39 ммоль) 1-(2-{(2R)-2-(3,4-дихлорфенил)-4-[3,5-бис(трифторметил)бензоил]морфолин-2-ил}этил)спиро{[(2S)-2-карбоксиметокси]}индан-1,4′-пиперидина и 2,5 мл водного раствора диметиламина, с получением 166 мг (выход: 51%) указанного в заголовке соединения в виде белого кристаллического продукта. 1H-ЯМР спектр (500 МГц, CD3OD) Спектр ИК Масс-спектр (FAB) m/z: 786 ((M+H)+, свободная форма) Элементный анализ (для C38H40Cl3F6N3O4 Вычислено (%): C:53,13, H:5,16, Cl:12,38, F:13,27, N:4,89 Получено (%): C:53,37, H:5,75, Cl:13,39, F:12,96, N:4,60 Оптическое вращение: [ [Пример 31] Дигидрохлорид 1-(2-{(2R)-2-(3,4-дихлорфенил)-4-[3,5-бис(трифторметил)бензоил]морфолин-2-ил}этил)спиро((2S)-2-{2-[бис(2-гидроксиэтил)амино]-2-оксоэтокси})индан-1,4′-пиперидина (иллюстративное соединение № 2-153, дигидрохлорид) Реакцию проводили способом, описанным в примере 28, используя 300 мг (0,39 ммоль) 1-(2-{(2R)-2-(3,4-дихлорфенил)-4-[3,5-бис(трифторметил)бензоил]морфолин-2-ил}этил)спиро[(2S)-2-карбоксиметокси]индан-1,4′-пиперидина и 113 мкл (1,18 ммоль) диэтаноламина, с получением 87 мг (выход: 25%) указанного в заголовке соединения в виде белого кристаллического продукта. 1H-ЯМР спектр (500 МГц, CD3OD) Спектр ИК Масс-спектр (FAB) m/z: 846 ((M+H)+, свободная форма) Элементный анализ (для C40H45Cl4F6N3O6 Вычислено (%): C:48,45, H:5,39, Cl:14,30, F:11,49, N:4,24 Получено (%): C:48,51, H:4,99, Cl:15,23, F:11,77, N:4,28 Оптическое вращение: [ [Пример 32] Гидрохлорид 1-(2-{(2R)-2-(3,4-дихлорфенил)-4-[3,5-бис(трифторметил)бензоил]морфолин-2-ил}этил)спиро((2S)-2-{[N-(2-гидроксиэтил)-N-метиламино]-2-оксоэтокси})индан-1,4′-пиперидина (иллюстративное соединение № 2-155, гидрохлорид) Реакцию проводили способом, описанным в примере 28, используя 300 мг (0,39 ммоль) 1-(2-{(2R)-2-(3,4-дихлорфенил)-4-[3,5-бис(трифторметил)бензоил]морфолин-2-ил}этил)спиро[(2S)-2-карбоксиметокси]индан-1,4′-пиперидина и 95 мкл (1,18 ммоль) 2-(метиламино)этанола, с получением 162 мг (выход: 48%) указанного в заголовке соединения в виде белого кристаллического продукта. 1H-ЯМР спектр (500 МГц, CD3OD) Спектр ИК Масс-спектр (FAB) m/z: 816 ((M+H)+, свободная форма) Элементный анализ (для C39H41Cl2F6N3O5 Вычислено (%): C:50,95, H:5,30, Cl:12,85, F:12,40, N:4,57 Получено (%): C:50,63, H:5,13, Cl:13,77, F:13,05, N:4,49 Оптическое вращение: [ [Пример 33] Гидрохлорид 1-(2-{(2R)-2-(3,4-дихлорфенил)-4-[3,5-бис(трифторметил)бензоил]морфолин-2-ил}этил)спиро((2S)-2-{2-[N-(2-гидроксиэтил)амино]-2-оксоэтокси})индан-1,4′-пиперидина (иллюстративное соединение № 2-154, гидрохлорид) Реакцию проводили способом, описанным в примере 28, используя 300 мг (0,39 ммоль) 1-(2-{(2R)-2-(3,4-дихлорфенил)-4-[3,5-бис(трифторметил)бензоил]морфолин-2-ил}этил)спиро[(2S)-2-карбоксиметокси]индан-1,4′-пиперидина и 71 мкл (1,18 ммоль) этаноламина, с получением 142 мг (выход: 43%) указанного в заголовке соединения в виде белого кристаллического продукта. 1H-ЯМР спектр (500 МГц, CD3OD) Спектр ИК Масс-спектр (FAB) m/z: 802((M+H)+, свободная форма) Элементный анализ (для C38H40Cl3F6N3O5 Вычислено (%): C:51,10, H:5,19, Cl:11,91, F:12,76, N:4,70 Получено (%): C:51,00, H:4,95, Cl:12,76, F:13,00, N:4,72 Оптическое вращение: [ [Пример 34] Гидрохлорид 1-(2-{(2R)-2-(3,4-дихлорфенил)-4-[3,5-бис(трифторметил)бензоил]морфолин-2-ил}этил)спиро{(2S)-2-[2-(пиперидин-1-ил)-2-оксоэтокси]}индан-1,4′-пиперидина (иллюстративное соединение № 2-157, гидрохлорид) Реакцию проводили способом, описанным в примере 28, используя 300 мг (0,43 ммоль) 1-(2-{(2R)-2-(3,4-дихлорфенил)-4-[3,5-бис(трифторметил)бензоил]морфолин-2-ил}этил)спиро[(2S)-2-гидрокси]индан-1,4′-пиперидина и 119 мкл (1,18 ммоль) пиперидина, с получением 168 мг (выход: 50%) указанного в заголовке соединения в виде белого кристаллического продукта. Спектр ИК Масс-спектр (FAB) m/z: 831 ((M+H)+, свободная форма) [Пример 35] Гидрохлорид 1-(2-{(2R)-2-(3,4-дихлорфенил)-4-[3,5-бис(трифторметил)бензоил]морфолин-2-ил}этил)спиро[(2S)-2-(2-гидроксиэтокси)]индан-1,4′-пиперидина (иллюстративное соединение № 2-159, гидрохлорид) [Пример 35a] 1-(2-{(2R)-2-(3,4-Дихлорфенил)-4-[3,5-бис(трифторметил)бензоил]морфолин-2-ил}этил)спиро[(2S)-2-(2-гидроксиэтокси)]индан-1,4′-пиперидин В 30 мл тетрагидрофурана растворяли 3 г (3,95 ммоль) 1-(2-{(2R)-2-(3,4-дихлорфенил)-4-[3,5-бис(трифторметил)бензоил]морфолин-2-ил}этил)спиро[(2S)-2-карбоксиметокси]индан-1,4′-пиперидина, полученного в примере 27b, и в течение 10 минут при охлаждении льдом по каплям добавляли 5,9 мл (5,9 ммоль) комплекса боран-тетрагидрофуран (1 моль/л раствора тетрагидрофурана). После перемешивания смеси в течение 30 минут при охлаждении льдом температуру смеси возвращали до значения комнатной, затем перемешивали в течение 1 часа. Добавляли воду и смесь гасили и экстрагировали этилацетатом. Экстракт промывали последовательно водой и насыщенным раствором NaCl и сушили над безводным сульфатом натрия. Растворитель отгоняли при пониженном давлении и полученный таким образом остаток очищали хроматографией на колонке с силикагелем (элюирующий растворитель: этилацетат/метанол=100/2) с получением 2,1 г (выход: 71%) указанного в заголовке соединения. 1H-ЯМР спектр (500 МГц, CD3OD) Спектр ИК Масс-спектр (FAB) m/z: 745 ((M+H)+, свободная форма) [Пример 35b] Гидрохлорид 1-(2-{(2R)-2-(3,4-дихлорфенил)-4-[3,5-бис(трифторметил)бензоил]морфолин-2-ил}этил)спиро[(2S)-2-(2-гидроксиэтокси)]индан-1,4′-пиперидина В 6 мл этанола растворяли 300 мг (0,4 ммоль) 1-(2-{(2R)-2-(3,4-дихлорфенил)-4-[3,5-бис(трифторметил)бензоил]морфолин-2-ил}этил)спиро[(2S)-2-(2-гидроксиэтокси)]индан-1,4′-пиперидина, полученного в примере 35a, и добавляли 0,5 мл раствора смеси 4 н. соляная кислота-диоксан. Растворитель отгоняли при пониженном давлении, затем дважды проводили азеотропную отгонку с диэтиловым эфиром. Полученный таким образом остаток перекристаллизовывали из гексана с получением 215 мг (выход: 68%) указанного в заголовке соединения в виде белого кристаллического продукта. 1H-ЯМР спектр (500 МГц, CD3OD) Спектр ИК Масс-спектр (FAB) m/z: 745 ((M+H)+, свободная форма) Элементный анализ (для C36H37Cl3F6N2O4 Вычислено (%): C:52,92, H:4,93, Cl:13,02, F:13,95, N:3,43 Получено (%): C:52,61, H:4,70, Cl:12,68, F:14,22, N:3,48 Оптическое вращение: [ [Пример 36] Дигидрохлорид 1-(2-{(2R)-2-(3,4-дихлорфенил)-4-[3,5-бис(трифторметил)бензоил]морфолин-2-ил}этил)спиро{(2S)-2-[2-(морфолин-4-ил)этокси]}индан-1,4′-пиперидина (иллюстративное соединение № 2-166, дигидрохлорид) В 4 мл метиленхлорида растворяли 200 мг (0,27 ммоль) 1-(2-{(2R)-2-(3,4-дихлорфенил)-4-[3,5-бис(трифторметил)бензоил]морфолин-2-ил}этил)спиро[(2S)-2-(2-гидроксиэтокси)]индан-1,4′-пиперидина, полученного в примере 35b, и добавляли 56 мкл (0,4 ммоль) триэтиламина, и к смеси при охлаждении льдом добавляли 27 мкл (0,35 ммоль) метансульфонилхлорида, затем перемешивали при комнатной температуре в течение 30 минут. К реакционной смеси добавляли воду и метиленхлоридный слой промывали водой и насыщенным раствором NaCl, и сушили над безводным сульфатом натрия. Растворитель отгоняли при пониженном давлении и полученный таким образом остаток растворяли в 6 мл диметилацетамида. К раствору добавляли 34 мг (0,35 ммоль) гидрокарбоната натрия, 66 мг (0,35 ммоль) йодида калия и 35 мкл (0,35 ммоль) морфолина и смесь перемешивали при 80°C в течение 8 часов. Температуру реакционной смеси возвращали до значения комнатной температуры и смесь выливали в воду, затем дважды экстрагировали этилацетатом. Этилацетатный слой собирали, промывали последовательно водой и насыщенным раствором NaCl и сушили над безводным сульфатом натрия. Растворитель отгоняли при пониженном давлении и полученный остаток очищали с помощью тонкослойной хроматографии (элюирующий растворитель: метиленхлорид/метанол=9/1) с получением 125 мг (выход: 57%) 1-(2-{(2R)-2-(3,4-дихлорфенил)-4-[3,5-бис(трифторметил)бензоил]морфолин-2-ил}этил)спиро{(2S)-2-[2-[(морфолин-4-ил)этокси]}индан-1,4′-пиперидина. В 3 мл этанола растворяли 125 мг (0,15 ммоль) полученного 1-(2-{(2R)-2-(3,4-дихлорфенил)-4-[3,5-бис(трифторметил)бензоил]морфолин-2-ил}этил)спиро{(2S)-2-[2-(морфолин-4-ил)этокси]}индан-1,4′-пиперидина и добавляли 0,5 мл раствора смеси 4 н. соляная кислота-диоксан. Растворитель отгоняли при пониженном давлении, затем дважды проводили азеотропную отгонку с диэтиловым эфиром. Полученный таким образом остаток перекристаллизовывали из гексана с получением 97 мг (выход: 74%) указанного в заголовке соединения в виде белого кристаллического продукта. 1H-ЯМР спектр (500 МГц, CD3OD) Спектр ИК Масс-спектр (FAB) m/z: 814 ((M+H)+, свободная форма) Элементный анализ (для C40H45Cl4F6N3O4 Вычислено (%): C:50,06, H:5,57, Cl:14,78, F:11,88, N:4,38 Получено (%): C:48,62, H:5,03, Cl:15,27, F:11,61, N:3,48 Оптическое вращение: [ [Пример 37] Дигидрохлорид 1-(2-{(2R)-2-(3,4-дихлорфенил)-4-[3,5-бис(трифторметил)бензоил]морфолин-2-ил}этил)спиро{(2S)-2-[2-(пиперидин-1-ил)этокси]}индан-1,4′-пиперидина (иллюстративное соединение № 2-167, дигидрохлорид) Реакцию проводили способом, описанным в примере 36, используя 200 мг (0,27 ммоль) 1-(2-{(2R)-2-(3,4-дихлорфенил)-4-[3,5-бис(трифторметил)бензоил]морфолин-2-ил}этил)спиро[(2S)-2-(2-гидроксиэтокси)]индан-1,4′-пиперидина и 40 мкл (0,4 ммоль) пиперидина, с получением 32 мг (выход: 14%) указанного в заголовке соединения в виде белого кристаллического продукта. 1H-ЯМР спектр (500 МГц, CD3OD) Спектр ИК Масс-спектр (FAB) m/z: 812 ((M+H)+, свободная форма) Элементный анализ (для C41H47Cl4F6N3O3 Вычислено (%): C:47,82, H:6,17, Cl:13,77, F:11,07, N:4,08 Получено (%): C:48,29, H:5,26, Cl:15,53, F:11,03, N:4,27 Оптическое вращение: [ [Пример 38] Дигидрохлорид 1-(2-{(2R)-2-(3,4-дихлорфенил)-4-[3,5-бис(трифторметил)бензоил]морфолин-2-ил}этил)спиро{(2S)-2-[2-(N,N-диметиламино)этокси]}индан-1,4′-пиперидина (иллюстративное соединение № 2-161, дигидрохлорид) Реакцию проводили способом, описанным в примере 36, используя 200 мг (0,27 ммоль) 1-(2-{(2R)-2-(3,4-дихлорфенил)-4-[3,5-бис(трифторметил)бензоил]морфолин-2-ил}этил)спиро[(2S)-2-(2-гидроксиэтокси)]индан-1,4′-пиперидина и 33 мг (0,4 ммоль) диметиламина гидрохлорида, с получением 54 мг (выход: 25%) указанного в заголовке соединения в виде белого кристаллического продукта. 1H-ЯМР спектр (500 МГц, CD3OD) Спектр ИК Масс-спектр (FAB) m/z: 772 ((M+H)+, свободная форма) Элементный анализ (для C38H43Cl4F6N3O3 Вычислено (%): C:50,73, H:5,49, Cl:15,76, F:12,67, N:4,67 Получено (%): C:47,55, H:5,23, Cl:16,68, F:12,43, N:4,48 Оптическое вращение: [ [Пример 39] Дигидрохлорид 1-(2-{(2R)-2-(3,4-дихлорфенил)-4-[3,5-бис(трифторметил)бензоил]морфолин-2-ил}этил)спиро((2S)-2-{2-[N-(2-гидроксиэтил)-N-метиламино]этокси})индан-1,4′-пиперидина (иллюстративное соединение № 2-165, дигидрохлорид) Реакцию проводили способом, описанным в примере 36, используя 200 мг (0,27 ммоль) 1-(2-{(2R)-2-(3,4-дихлорфенил)-4-[3,5-бис(трифторметил)бензоил]морфолин-2-ил}этил)спиро[(2S)-2-(2-гидроксиэтокси)]индан-1,4′-пиперидина и 32 мкл (0,4 ммоль) 2-(метиламино)этанола, с получением 158 мг (выход: 70%) указанного в заголовке соединения в виде белого кристаллического продукта. 1H-ЯМР спектр (500 МГц, CD3OD) Спектр ИК Масс-спектр (FAB) m/z: 802 ((M+H)+, свободная форма) Элементный анализ (для C39H45Cl4F6N3O4 Вычислено (%): C:50,39, H:5,53, Cl:15,25, F:12,26, N:4,52 Получено (%): C:50,00, H:5,50, Cl:15,22, F:11,16, N:4,30 Оптическое вращение: [ [Пример 40] Дигидрохлорид 1-(2-{(2R)-2-(3,4-дихлорфенил)-4-[3,5-бис(трифторметил)бензоил]морфолин-2-ил}этил)спиро((2S)-2-{2-[N-(2-гидроксиэтил)амино]этокси})индан-1,4′-пиперидина (иллюстративное соединение № 2-164, дигидрохлорид) Реакцию проводили способом, описанным в примере 36, используя 200 мг (0,27 ммоль) 1-(2-{(2R)-2-(3,4-дихлорфенил)-4-[3,5-бис(трифторметил)бензоил]морфолин-2-ил}этил)спиро[(2S)-2-(2-гидроксиэтокси)]индан-1,4′-пиперидина и 24 мкл (0,4 ммоль) этаноламина, с получением 96 мг (выход: 43%) указанного в заголовке соединения в виде белого кристаллического продукта. 1H-ЯМР спектр (500 МГц, CD3OD) Спектр ИК Масс-спектр (FAB) m/z: 788 ((M+H)+, свободная форма) Элементный анализ (для C38H43Cl4F6N3O4 Вычислено (%): C:48,89, H:5,51, Cl:15,19, F:12,21, N:4,50 Получено (%): C:48,75, H:4,79, Cl:15,85, F:12,20, N:4,57 Оптическое вращение: [ [Пример 41] Дигидрохлорид 1-(2-{(2R)-2-(3,4-дихлорфенил)-4-[3,5-бис(трифторметил)бензоил]морфолин-2-ил}этил)спиро((2S)-2-{2-[бис(2-гидроксиэтил)амино]этокси})индан-1,4′-пиперидина (иллюстративное соединение № 2-163, дигидрохлорид) Реакцию проводили способом, описанным в примере 36, используя 200 мг (0,27 ммоль) 1-(2-{(2R)-2-(3,4-дихлорфенил)-4-[3,5-бис(трифторметил)бензоил]морфолин-2-ил}этил)спиро[(2S)-2-гидрокси]индан-1,4′-пиперидина и 33 мкл (0,35 ммоль) диэтаноламина, с получением 90 мг (выход: 39%) указанного в заголовке соединения в виде белого кристаллического продукта. Спектр ИК Масс-спектр (FAB) m/z: 832 ((M+H)+, свободная форма) [Пример 42] Гидрохлорид 1-(2-{(2R)-2-(3,4-дихлорфенил)-4-[3,5-бис(трифторметил)бензоил]морфолин-2-ил}этил)спиро((2S)-2-{[({[бис(2-гидроксиэтил)амино]карбонил}амино)карбонил]окси})индан-1,4′-пиперидина (иллюстративное соединение № 2-172, гидрохлорид) В 5 мл метиленхлорида растворяли 300 мг (0,43 ммоль) 1-(2-{(2R)-2-(3,4-дихлорфенил)-4-[3,5-бис(трифторметил)бензоил]морфолин-2-ил}этил)спиро[(2S)-2-гидрокси]индан-1,4′-пиперидина и при охлаждении льдом добавляли 55 мкл (0,64 ммоль) N-(хлоркарбонил)изоцианата. После перемешивания смеси при охлаждении льдом в течение 30 минут добавляли 61 мкл (0,64 ммоль) диэтаноламина и смесь перемешивали при охлаждении льдом в течение 30 минут. Затем температуру смеси повышали до значения комнатной температуры и смесь перемешивали в течение 1 часа, промывали последовательно 1 н. водным раствором соляной кислоты, водой и насыщенным раствором NaCl и сушили над безводным сульфатом натрия. Растворитель отгоняли при пониженном давлении и полученный таким образом остаток очищали с помощью тонкослойной хроматографии (элюирующий растворитель: метиленхлорид/метанол=9/1) с получением 223 мг (выход: 60%) 1-(2-{(2R)-2-(3,4-дихлорфенил)-4-[3,5-бис(трифторметил)бензоил]морфолин-2-ил}этил)спиро{(2S)-2-{[({[бис(2-гидроксиэтил)амино]карбонил}амино)карбонил]окси}индан-1,4′-пиперидина. В 4 мл этанола растворяли 223 мг (0,25 ммоль) полученного 1-(2-{(2R)-2-(3,4-дихлорфенил)-4-[3,5-бис(трифторметил)бензоил]морфолин-2-ил}этил)спиро[(2S)-2-{[({[бис(2-гидроксиэтил)амино]карбонил}амино)карбонил]окси}индан-1,4′-пиперидина и добавляли 0,5 мл раствор смеси 4 н. соляная кислота-диоксан. Растворитель отгоняли при пониженном давлении, затем дважды проводили азеотропную отгонку диэтиловым эфиром. Полученный таким образом остаток перекристаллизовывали из гексана с получением 179 мг (выход: 77%) указанного в заголовке соединения в виде белого кристаллического продукта. 1H-ЯМР спектр (500 МГц, CD3OD) Спектр ИК Масс-спектр (FAB) m/z: 875 ((M+H)+, свободная форма) Элементный анализ (для C40H43Cl3F6N4O7 Вычислено (%): C:48,81, H:5,22, Cl:10,81, F:11,58, N:5,69 Получено (%): C:49,02, H:4,92, Cl:11,62, F:11,50, N:5,86 Оптическое вращение: [ [Пример 43] Гидрохлорид 1-(2-{(2R)-2-(3,4-дихлорфенил)-4-[3,5-бис(трифторметил)бензоил]морфолин-2-ил}этил)спиро{(2S)-2-[({[(морфолин-4-ил)карбонил]амино}карбонил)окси]}индан-1,4′-пиперидина (иллюстративное соединение № 2-175, гидрохлорид) Реакцию проводили способом, описанным в примере 42, используя 300 мг (0,43 ммоль) 1-(2-{(2R)-2-(3,4-дихлорфенил)-4-[3,5-бис(трифторметил)бензоил]морфолин-2-ил}этил)спиро[(2S)-2-гидрокси]индан-1,4′-пиперидина и 56 мкл (0,64 ммоль) морфолина, с получением 240 мг (выход: 63%) указанного в заголовке соединения в виде белого кристаллического продукта. Спектр ИК Масс-спектр (FAB) m/z: 857 ((M+H)+, свободная форма) [Пример 44] Гидрохлорид 1-(2-{(2R)-2-(3,4-дихлорфенил)-4-[3,5-бис(трифторметил)бензоил]морфолин-2-ил}этил)спиро{(2S)-2-[({[(пиперидин-1-ил)карбонил]амино}карбонил)окси]]индан-1,4′-пиперидина (иллюстративное соединение № 2-176, гидрохлорид) Реакцию проводили способом, описанным в примере 42, используя 300 мг (0,43 ммоль) 1-(2-{(2R)-2-(3,4-дихлорфенил)-4-[3,5-бис(трифторметил)бензоил]морфолин-2-ил}этил)спиро[(2S)-2-гидрокси]индан-1,4′-пиперидина и 64 мкл (0,64 ммоль) пиперидина, с получением 143 мг (выход: 38%) указанного в заголовке соединения в виде белого кристаллического продукта. Спектр ИК Масс-спектр (FAB) m/z: 855 ((M+H)+, свободная форма) [Пример 45] Гидрохлорид 1-(2-{(2R)-2-(3,4-дихлорфенил)-4-[3,5-бис(трифторметил)бензоил]морфолин-2-ил}этил)спиро((2S)-2-{[({[N-(2-гидроксиэтил)-N-метиламино]карбонил}амино)карбонил]окси})индан-1,4′-пиперидина (иллюстративное соединение № 2-174, гидрохлорид) Реакцию проводили способом, описанным в примере 42, используя 300 мг (0,43 ммоль) 1-(2-{(2R)-2-(3,4-дихлорфенил)-4-[3,5-бис(трифторметил)бензоил]морфолин-2-ил}этил)спиро[(2S)-2-гидрокси]индан-1,4′-пиперидина и 52 мкл (0,64 ммоль) 2-(метиламино)этанола, с получением 181 мг (выход: 48%) указанного в заголовке соединения в виде белого кристаллического продукта. 1H-ЯМР спектр (500 МГц, CD3OD) Спектр ИК Масс-спектр (FAB) m/z: 845 ((M+H)+, свободная форма) Элементный анализ (для C39H41Cl3F6N4O6 Вычислено (%): C:50,04, H:5,06, Cl:11,36, F:12,18, N:5,06 Получено (%): C:50,69, H:4,82, Cl:11,00, F:11,66, N:6,20 Оптическое вращение: [ [Пример 46] Гидрохлорид 1-(2-{(2R)-2-(3,4-дихлорфенил)-4-[3,5-бис(трифторметил)бензоил]морфолин-2-ил}этил)спиро((2S)-2-{[({[N-(2-гидроксиэтил)амино]карбонил}амино)карбонил]окси})индан-1,4′-пиперидина (иллюстративное соединение № 2-173, гидрохлорид) Реакцию проводили способом, описанным в примере 42, используя 300 мг (0,43 ммоль) 1-(2-{(2R)-2-(3,4-дихлорфенил)-4-[3,5-бис(трифторметил)бензоил]морфолин-2-ил}этил)спиро[(2S)-2-гидрокси]индан-1,4′-пиперидина и 39 мкл (0,64 ммоль) этаноламина, с получением 192 мг (выход: 52%) указанного в заголовке соединения в виде белого кристаллического продукта. 1H-ЯМР спектр (500 МГц, CD3OD) Спектр ИК Масс-спектр (FAB) m/z: 831 ((M+H)+, свободная форма) Элементный анализ (для C38H39Cl3F6N4O6 Вычислено (%): C:50,48, H:4,79, Cl:11,76, F:12,61, N:6,20 Получено (%): C:50,69, H:4,82, Cl:11,93, F:12,09, N:6,20 Оптическое вращение: [ [Пример 47] Гидрохлорид 1-(2-{(2R)-2-(3,4-дихлорфенил)-4-[3,5-бис(трифторметил)бензоил]морфолин-2-ил}этил)спиро{(2S)-2-[({[(морфолин-4-ил)сульфонил]амино}карбонил)окси]}индан-1,4′-пиперидина (иллюстративное соединение № 2-184, гидрохлорид) В 5 мл метиленхлорида растворяли 300 мг (0,43 ммоль) 1-(2-{(2R)-2-(3,4-дихлорфенил)-4-[3,5-бис(трифторметил)бензоил]морфолин-2-ил}этил)спиро[(2S)-2-гидрокси]индан-1,4′-пиперидина и при охлаждении льдом добавляли 63 мкл (0,64 ммоль) сульфонилизоцианатхлорида. После перемешивания смеси при охлаждении льдом в течение 30 минут добавляли 56 мкл (0,64 ммоль) морфолина и смесь перемешивали при охлаждении льдом в течение 30 минут. После того как температуру смеси поднимали до значения комнатной и смесь перемешивали в течение 1 часа, смесь промывали последовательно 1 н. раствором соляной кислоты, водой и насыщенным раствором NaCl и сушили над безводным сульфатом натрия. Растворитель отгоняли при пониженном давлении и полученный таким образом остаток перекристаллизовывали из смеси метанол-вода с получением 215 мг (выход: 56%) 1-(2-{(2R)-2-(3,4-дихлорфенил)-4-[3,5-бис(трифторметил)бензоил]морфолин-2-ил}этил)спиро[(2S)-2-({[(морфолин-4-илсульфонил)амино]карбонил}окси)]индан-1,4′-пиперидина. В 4 мл этанола растворяли 215 мг (0,24 ммоль) полученного 1-(2-{(2R)-2-(3,4-дихлорфенил)-4-[3,5-бис(трифторметил)бензоил]морфолин-2-ил}этил)спиро[(2S)-2-({[(морфолин-4-илсульфонил)амино]карбонил}окси)]индан-1,4′-пиперидина и добавляли 0,5 мл раствор смеси 4 н. соляная кислота-диоксан. Растворитель отгоняли при пониженном давлении, затем дважды проводили азеотропную отгонку с диэтиловым эфиром. Полученный таким образом остаток перекристаллизовывали из гексана с получением 181 мг (выход: 81%) указанного в заголовке соединения в виде белого кристаллического продукта. 1H-ЯМР спектр (500 МГц, CD3OD) Спектр ИК Масс-спектр (FAB) m/z: 893 ((M+H)+, свободная форма) Элементный анализ (для C39H41Cl3F6N4O7S Вычислено (%): C:48,48, H:4,69, Cl:11,01, F:11,80, N:5,80, S: 3,32 Получено (%): C:48,11, H:4,66, Cl:11,25, F:11,83, N:5,87, S: 3,38 Оптическое вращение: [ [Пример 48] Гидрохлорид 1-(2-{(2R)-2-(3,4-дихлорфенил)-4-[3,5-бис(трифторметил)бензоил]морфолин-2-ил}этил)спиро[(2S)-2-({[(аминосульфонил)амино]карбонил}окси)]индан-1,4′-пиперидина (иллюстративное соединение № 2-178, гидрохлорид) Реакцию проводили способом, описанным в примере 47, используя 300 мг (0,43 ммоль) 1-(2-{(2R)-2-(3,4-дихлорфенил)-4-[3,5-бис(трифторметил)бензоил]морфолин-2-ил}этил)спиро[(2S)-2-гидрокси]индан-1,4′-пиперидина и 2,5 мл водного раствора аммиака, с получением 70 мг (выход: 12%) указанного в заголовке соединения в виде белого кристаллического продукта. 1H-ЯМР спектр (500 МГц, CD3OD) Спектр ИК Масс-спектр (FAB) m/z: 823 ((M+H)+, свободная форма) Элементный анализ (для C35H34Cl2F6N4O6S Вычислено (%): C:48,22, H:4,43, Cl:9,49, F:13,07, N:6,43, S:3,68 Получено (%): C:48,21, H:4,29, Cl:10,09, F:13,39, N:6,34, S:3,58 Оптическое вращение: [ [Пример 49] Гидрохлорид 1-(2-{(2R)-2-(3,4-дихлорфенил)-4-[3,5-бис(трифторметил)бензоил]морфолин-2-ил}этил)спиро[(2S)-2-({[(N,N-диметиламиносульфонил)амино]карбонил}окси)]индан-1,4′-пиперидина (иллюстративное соединение № 2-179, гидрохлорид) Реакцию проводили способом, описанным в примере 47, используя 300 мг (0,43 ммоль) 1-(2-{(2R)-2-(3,4-дихлорфенил)-4-[3,5-бис(трифторметил)бензоил]морфолин-2-ил}этил)спиро[(2S)-2-гидрокси]индан-1,4′-пиперидина и 2,5 мл водного раствора диметиламина, с получением 90 мг (выход: 25%) указанного в заголовке соединения в виде белого кристаллического продукта. 1H-ЯМР спектр (500 МГц, CD3OD) Спектр ИК Масс-спектр (FAB) m/z: 851 ((M+H)+, свободная форма) Элементный анализ (для C37H38Cl2F6N4O6S Вычислено (%): C:50,57, H:4,62, Cl:9,08, F:12,97, N:6,38, S:3,65 Получено (%): C:50,45, H:4,43, Cl:9,12, F:13,31, N:6,24, S:3,71 Оптическое вращение: [ [Пример 50] 1-(2-{(2R)-2-(3,4-Дихлорфенил)-4-[3,5-бис(трифторметил)бензоил]морфолин-2-ил}этил)спиро((2S)-2-{[({[N-(2-гидроксиэтил)-N-метиламино]сульфонил}амино)карбонил]окси})индан-1,4′-пиперидин (иллюстративное соединение № 2-183) Реакцию проводили способом, описанным в примере 47, используя 300 мг (0,43 ммоль) 1-(2-{(2R)-2-(3,4-дихлорфенил)-4-[3,5-бис(трифторметил)бензоил]морфолин-2-ил}этил)спиро[(2S)-2-гидрокси]индан-1,4′-пиперидина и 52 мкл (0,64 ммоль) 2-(метиламино)этанола, с получением 30 мг (выход: 8%) указанного в заголовке соединения в виде белого кристаллического продукта. 1H-ЯМР спектр (500 МГц, CD3OD) Спектр ИК Масс-спектр (FAB) m/z: 881 ((M+H)+, свободная форма) Элементный анализ (для C38H40Cl2F6N4O7S Вычислено (%): C:48,78, H:4,95, Cl:7,58, F:12,18, N:5,99, S:3,43 Получено (%): C:48,52, H:4,40, Cl:7,81, F:11,81, N:6,22, S:3,21 Оптическое вращение: [ [Пример 51] 1-(2-{(2R)-2-(3,4-Дихлорфенил)-4-[3,5-бис(трифторметил)бензоил]морфолин-2-ил}этил)спиро((2S)-2-{[({[N-(2-гидроксиэтил)амино]сульфонил}амино)карбонил]окси})индан-1,4′-пиперидин (иллюстративное соединение № 2-182) Реакцию проводили способом, описанным в примере 47, используя 300 мг (0,43 ммоль) 1-(2-{(2R)-2-(3,4-дихлорфенил)-4-[3,5-бис(трифторметил)бензоил]морфолин-2-ил}этил)спиро[(2S)-2-гидрокси]индан-1,4′-пиперидина и 39 мкл (0,64 ммоль) этаноламина, с получением 67 мг (выход: 17%) указанного в заголовке соединения в виде белого кристаллического продукта. 1H-ЯМР спектр (500 МГц, CD3OD) Спектр ИК Масс-спектр (FAB) m/z: 867 ((M+H)+, свободная форма) Элементный анализ (для C37H38Cl2F6N4O7S Вычислено (%): C:49,18, H:4,68, Cl:7,85, F:12,61, N:6,20, S:3,55 Получено (%): C:49,10, H:4,45, Cl:8,53, F:12,67, N:6,23, S:3,29 Оптическое вращение: [ [Пример 52] Гидрохлорид 1-(2-{(2R)-2-(3,4-дихлорфенил)-4-[3,5-бис(трифторметил)бензоил]морфолин-2-ил}этил)спиро((2S)-2-{[({[бис(2-гидроксиэтил)амино]сульфонил}амино)карбонил]окси})индан-1,4′-пиперидина (иллюстративное соединение № 2-181, гидрохлорид) Реакцию проводили способом, описанным в примере 47, используя 300 мг (0,43 ммоль) 1-(2-{(2R)-2-(3,4-дихлорфенил)-4-[3,5-бис(трифторметил)бензоил]морфолин-2-ил}этил)спиро[(2S)-2-гидрокси]индан-1,4′-пиперидина и 61 мкл (0,64 ммоль) диэтаноламина, с получением 60 мг (выход: 16%) указанного в заголовке соединения в виде белого кристаллического продукта. Спектр ИК Масс-спектр (FAB) m/z: 911 ((M+H)+, свободная форма) [Пример 53] Гидрохлорид 1-(2-{(2R)-2-(3,4-дихлорфенил)-4-[3,5-бис(трифторметил)бензоил]морфолин-2-ил}этил)спиро{(2S)-2-[({[(морфолин-4-ил)ацетил]амино}карбонил)окси]}индан-1,4′-пиперидина (иллюстративное соединение № 2-187, гидрохлорид) В 5 мл метиленхлорида растворяли 300 мг (0,43 ммоль) 1-(2-{(2R)-2-(3,4-дихлорфенил)-4-[3,5-бис(трифторметил)бензоил]морфолин-2-ил}этил)спиро[(2S)-2-гидрокси]индан-1,4′-пиперидина и при охлаждении льдом добавляли 55 мкл (0,64 ммоль) N-(хлорацетил)изоцианата. После перемешивания смеси в течение 30 минут при охлаждении льдом добавляли 56 мкл (0,64 ммоль) морфолина, затем перемешивали при охлаждении льдом в течение 30 минут. После того как температуру смеси повысили до значения комнатной и смесь перемешивали в течение 1 часа, смесь промывали последовательно 1 н. раствором соляной кислоты, водой и насыщенным раствором NaCl и сушили над безводным сульфатом натрия. Растворитель отгоняли при пониженном давлении и полученный таким образом остаток очищали с помощью тонкослойной хроматографии (элюирующий растворитель: метиленхлорид/метанол=9/1) с получением 248 мг (выход: 67%) 1-(2-{(2R)-2-(3,4-дихлорфенил)-4-[3,5-бис(трифторметил)бензоил]морфолин-2-ил}этил)спиро{(2S)-2-[({[(морфолин-4-ил)ацетил]амино}карбонил)окси]}индан-1,4′-пиперидина. В 4 мл этанола растворяли 248 мг (0,29 ммоль) полученного 1-(2-{(2R)-2-(3,4-дихлорфенил)-4-[3,5-бис(трифторметил)бензоил]морфолин-2-ил}этил)спиро{(2S)-2-[({[(морфолин-4-ил)ацетил]амино}карбонил)окси]}индан-1,4′-пиперидина и добавляли 0,5 мл раствор смеси 4 н. соляная кислота-диоксан. Растворитель отгоняли при пониженном давлении, затем дважды проводили азеотропную отгонку диэтиловым эфиром. Полученный таким образом остаток перекристаллизовывали из гексана с получением 224 мг (выход: 84%) указанного в заголовке соединения в виде белого кристаллического продукта. 1H-ЯМР спектр (500 МГц, CD3OD) Спектр ИК Масс-спектр (FAB) m/z: 871 ((M+H)+, свободная форма) Элементный анализ (для C41H44Cl4F6N4O6 Вычислено (%): C:49,31, H:5,05, Cl:14,20, F:11,41, N:5,61 Получено (%): C:49,21, H:4,91, Cl:14,76, F:11,62, N:5,64 Оптическое вращение: [ [Пример 54] Гидрохлорид 1-(2-{(2R)-2-(3,4-дихлорфенил)-4-[3,5-бис(трифторметил)бензоил]морфолин-2-ил}этил)спиро{(2S)-2-[(аминокарбонил)окси]}индан-1,4′-пиперидина (иллюстративное соединение № 2-190, гидрохлорид) Реакцию проводили способом, описанным в примере 53, используя 300 мг (0,43 ммоль) 1-(2-{(2R)-2-(3,4-дихлорфенил)-4-[3,5-бис(трифторметил)бензоил]морфолин-2-ил}этил)спиро[(2S)-2-гидрокси]индан-1,4′-пиперидина и 1 мл водного раствора аммиака, с получением 134 мг (выход: 40%) указанного в заголовке соединения в виде белого кристаллического продукта. Спектр ИК Масс-спектр (FAB) m/z: 744 ((M+H)+, свободная форма) [Пример 55] Гидрохлорид 1-(2-{(2R)-2-(3,4-дихлорфенил)-4-[3,5-бис(трифторметил)бензоил]морфолин-2-ил}этил)спиро{(2S)-2-[({[(пиперидин-1-ил)ацетил]амино}карбонил)окси]}индан-1,4′-пиперидина (иллюстративное соединение № 2-188, гидрохлорид) Реакцию проводили способом, описанным в примере 53, используя 300 мг (0,43 ммоль) 1-(2-{(2R)-2-(3,4-дихлорфенил)-4-[3,5-бис(трифторметил)бензоил]морфолин-2-ил}этил)спиро[(2S)-2-гидрокси]индан-1,4′-пиперидина и 64 мкл (0,64 ммоль) пиперидина, с получением 217 мг (выход: 56%) указанного в заголовке соединения в виде белого кристаллического продукта. Спектр ИК Масс-спектр (FAB) m/z: 869 ((M+H)+, свободная форма) [Пример 56] 1-(2-{(2R)-2-(3,4-Дихлорфенил)-4-[3,5-бис(трифторметил)бензоил]морфолин-2-ил}этил)спиро{(2S)-2-[(2-метоксиэтокси)метокси]}индан-1,4′-пиперидин (иллюстративное соединение № 2-191) Реакцию проводили способом, описанным в примере 27a, используя 300 мг (0,43 ммоль) 1-(2-{(2R)-2-(3,4-дихлорфенил)-4-[3,5-бис(трифторметил)бензоил]морфолин-2-ил}этил)спиро[(2S)-2-гидрокси]индан-1,4′-пиперидина и 73 мкл (0,64 ммоль) 2-метоксиэтоксиметилхлорида, с получением 110 мг (выход: 34%) указанного в заголовке соединения в виде белого кристаллического продукта. Спектр ИК Масс-спектр (FAB) m/z: 789 ((M+H)+, свободная форма) [Пример 57] 1-(2-{(2R)-2-(3,4-Дихлорфенил)-4-[3,5-бис(трифторметил)бензоил]морфолин-2-ил}этил)спиро[(2S)-2-(2-метоксиметокси)]индан-1,4′-пиперидин (иллюстративное соединение № 2-192) Реакцию проводили способом, описанным в примере 27a, используя 300 мг (0,43 ммоль) 1-(2-{(2R)-2-(3,4-дихлорфенил)-4-[3,5-бис(трифторметил)бензоил]морфолин-2-ил}этил)спиро[(2S)-2-гидрокси]индан-1,4′-пиперидина и 49 мкл (0,64 ммоль) хлорметилметилового эфира, с получением 121 мг (выход: 37%) указанного в заголовке соединения в виде белого кристаллического продукта. Спектр ИК Масс-спектр (FAB) m/z: 745 ((M+H)+, свободная форма) [Пример 58] Гидрохлорид 2-[((2S)-1′-{2-[(2R)-4-[3,5-бис(трифторметил)бензоил]-2-(3,4-дихлорфенил)морфолин-2-ил]этил}-2,3-дигидроспиро[инден-1,4′-пиперидин]-2-ил)окси]-N-(4-гидроксибутил)-N-метилацетамида (иллюстративное соединение № 2-418, гидрохлорид) [Пример 58a] Гидрохлорид 4-(метиламино)бутан-1-ола В 10 мл этилформиата растворяли 4,00 г (0,045 моль) 4-аминобутан-1-ола и смесь кипятили с обратным холодильником в течение 6 часов. После того как температуру смеси поднимали до значения комнатной, растворитель отгоняли при пониженном давлении и полученный таким образом остаток очищали хроматографией на колонке с силикагелем (элюирующий растворитель: этилацетат/метиленхлорид/метанол=5:5:1) с получением 4,16 г (выход: 79%) 4-гидроксибутилформамида. В 10 мл безводного тетрагидрофурана растворяли 4,16 г (0,036 моль) полученного 4-гидроксибутилформамида и затем смесь перемешивали при 0°C в атмосфере азота. К реакционному раствору в течение 5 минут добавляли 1,35 г (0,036 моль) литийалюминийгидрида и затем смесь кипятили с обратным холодильником. Через 6 часов реакционную смесь охлаждали до 0°C и медленно добавляли в течение 10 минут 5,00 г сульфата натрия 10 гидрата и 40 мл тетрагидрофурана. После этого смесь перемешивали до тех пор, пока реакционная смесь не стала мутно-белого цвета. Осажденное вещество удаляли фильтрованием и после постепенного добавления 10 мл раствора смеси 4 н. соляная кислота-диоксан, пока остаток не охладился до 0°C, растворитель отгоняли с получением 4,51 г (выход: 91%) указанного в заголовке соединения. 1H-ЯМР спектр (400 МГц, CD3OD) [Пример 58b] Гидрохлорид 2-[((2S)-1′-{2-[(2R)-4-[3,5-бис(трифторметил)бензоил]-2-(3,4-дихлорфенил)морфолин-2-ил]этил}-2,3-дигидроспиро[инден-1,4′-пиперидин]-2-ил)окси]-N-(4-гидроксибутил)-N-метилацетамида В 10 мл метиленхлорида растворяли 3 г (3,95 ммоль) 1-(2-{(2R)-2-(3,4-дихлорфенил)-4-[3,5-бис(трифторметил)бензоил]морфолин-2-ил}этил)спиро[(2S)-2-карбоксиметокси]индан-1,4′-пиперидина, полученного в примере 27b, и добавляли 406 мкл (4,74 ммоль) оксалилхлорида. К смеси добавляли одну каплю диметилформамида, затем перемешивали при комнатной температуре в течение 20 минут. Вновь добавляли 169 мкл (1,98 ммоль) оксалилхлорида и смесь дополнительно перемешивали в течение 20 минут. Раствор, полученный растворением в 10 мл метиленхлорида остатка после отгонки растворителя при пониженном давлении, добавляли по каплям к раствору гидрохлорида 4-(метиламино)бутан-1-ола, полученного в примере 58a, и 1,93 мл (13,9 ммоль) триэтиламина в метиленхлориде (5 мл), и смесь перемешивали в течение 30 минут. Реакционную смесь промывали последовательно водой и насыщенным раствором NaCl и сушили над безводным сульфатом натрия. Растворитель отгоняли при пониженном давлении и полученный таким образом остаток очищали хроматографией на колонке с силикагелем (элюирующий растворитель: этилацетат/метиленхлорид/метанол = 5/5/0-1) с получением 1,89 г (выход: 57%) 2-[((2S)-1′-{2-[(2R)-4-[3,5-бис(трифторметил)бензоил]-2-(3,4-дихлорфенил)морфолин-2-ил]этил}-2,3-дигидроспиро[инден-1,4′-пиперидин]-2-ил)окси]-N-(4-гидроксибутил)-N-метилацетамида. Полученный таким образом 2-[((2S)-1′-{2-[(2R)-4-[3,5-бис(трифторметил)бензоил]-2-(3,4-дихлорфенил)морфолин-2-ил]этил}-2,3-дигидроспиро[инден-1,4′-пиперидин]-2-ил)окси]-N-(4-гидроксибутил)-N-метилацетамид растворяли в 20 мл этилацетата и смесь экстрагировали 20 мл 1 н. водного раствора соляной кислоты. После сушки этилацетатного слоя над безводным сульфатом натрия растворитель отгоняли при пониженном давлении. Полученное таким образом аморфное вещество собирали фильтрованием, добавляя н-гексан, с получением 1,89 г (выход: 96%) указанного в заголовке соединения в виде белого твердого продукта. 1H-ЯМР спектр (400 МГц, CDCl3) Спектр ИК Масс-спектр (FAB) m/z: 844 ((M+H)+, свободная форма) Элементный анализ (для C41H45Cl2F6N3O5 Вычислено (%): C:54,77, H:5,38, Cl:11,83, N:4,67. Получено (%): C:54,92, H:5,47, Cl:11,59, N:4,59. [Пример 59] 2-[((2S)-1′-{2-[(2R)-4-[3,5-бис(Трифторметил)бензоил]-2-(3,4-дихлорфенил)морфолин-2-ил]этил}-2,3-дигидроспиро[инден-1,4′-пиперидин]-2-ил)окси]-N-(4-гидроксибутил)-N-метилацетамид (иллюстративное соединение № 2-418) В 50 мл этилацетата растворяли 600 мг (0,68 ммоль) гидрохлорида 2-[((2S)-1′-{2-[(2R)-4-[3,5-бис(трифторметил)бензоил]-2-(3,4-дихлорфенил)морфолин-2-ил]этил}-2,3-дигидроспиро[инден-1,4′-пиперидин]-2-ил)окси]-N-(4-гидроксибутил)-N-метилацетамида, полученного в примере 58, и смесь промывали последовательно 100 мл водного насыщенного раствора гидрокарбоната натрия и насыщенным раствором NaCl, и сушили над безводным сульфатом натрия. Растворитель отгоняли при пониженном давлении с получением 575 мг (выход: 100%) указанного в заголовке соединения в виде белого твердого продукта. 1H-ЯМР спектр (400 МГц, CDCl3) Спектр ИК Масс-спектр (FAB) m/z: 844 (M+H)+ Элементный анализ (для C41H45Cl2F6N3O5 Вычислено (%): C:57,68, H:5,43, Cl:8,31, F:13,35, N:4,92 Получено (%): C:57,49, H:5,34, Cl:8,39, F:13,73, N:4,85 [Пример 60] 1/2 Сульфат 2-[((2S)-1′-{2-[(2R)-4-[3,5-бис(трифторметил)бензоил]-2-(3,4-дихлорфенил)морфолин-2-ил]этил}-2,3-дигидроспиро[инден-1,4′-пиперидин]-2-ил)окси]-N-(4-гидроксибутил)-N-метилацетамида (иллюстративное соединение № 2-418, 1/2 сульфат) В 2 мл этанола растворяли 100 мг (0,12 ммоль) 2-[((2S)-1′-{2-[(2R)-4-[3,5-бис(трифторметил)бензоил]-2-(3,4-дихлорфенил)морфолин-2-ил]этил}-2,3-дигидроспиро[инден-1,4′-пиперидин]-2-ил)окси]-N-(4-гидроксибутил)-N-метилацетамида, полученного в примере 59, и при охлаждении льдом добавляли 30 мкл (0,12 ммоль) 4 н. раствора серной кислоты. Растворитель отгоняли при пониженном давлении с получением 104 мг (выход: 98%) указанного в заголовке соединения в виде белого твердого продукта. 1H-ЯМР спектр (400 МГц, CDCl3) Спектр ИК Масс-спектр (FAB) m/z: 844 ((M+H)+, свободная форма) Элементный анализ (для C41H45Cl2F6N3O5 Вычислено (%): C:54,01, H:5,31, Cl:7,78, F:12,50, N:4,61, S:1,76 Получено (%): C:53,54, H:5,13, Cl:7,94, F:12,53, N:4,51, S:1,88 [Пример 61] Фумарат 2-[((2S)-1′-{2-[(2R)-4-[3,5-бис(Трифторметил)бензоил]-2-(3,4-дихлорфенил)морфолин-2-ил]этил}-2,3-дигидроспиро[инден-1,4′-пиперидин]-2-ил)окси]-N-(4-гидроксибутил)-N-метилацетамида (иллюстративное соединение № 2-418, фумарат) В 1 мл этанола растворяли 100 мг (0,12 ммоль) 2-[((2S)-1′-{2-[(2R)-4-[3,5-бис(трифторметил)бензоил]-2-(3,4-дихлорфенил)морфолин-2-ил]этил}-2,3-дигидроспиро[инден-1,4′-пиперидин]-2-ил)окси]-N-(4-гидроксибутил)-N-метилацетамида, полученного в примере 59, и добавляли 14 мг (0,12 ммоль) фумаровой кислоты. Растворитель отгоняли при пониженном давлении с получением 114 мг (выход: 100%) указанного в заголовке соединения в виде белого твердого продукта. 1H-ЯМР спектр (400 МГц, CD3OD) Спектр ИК Масс-спектр (FAB) m/z: 844 ((M+H)+, свободная форма) Элементный анализ (для C41H45Cl2F6N3O5 Вычислено (%): C:55,22, H:5,25, Cl:7,24, F:11,65, N:4,29 Получено (%): C:55,17, H:5,14, Cl:7,42, F:11,56, N:4,17 [Пример 62] L-(+)-Тартрат 2-[((2S)-1′-{2-[(2R)-4-[3,5-бис(трифторметил)бензоил]-2-(3,4-дихлорфенил)морфолин-2-ил]этил}-2,3-дигидроспиро[инден-1,4′-пиперидин]-2-ил)окси]-N-(4-гидроксибутил)-N-метилацетамида (иллюстративное соединение № 2-418, L-(+)-тартрат) В 1 мл этанола растворяли 100 мг (0,12 ммоль) 2-[((2S)-1′-{2-[(2R)-4-[3,5-бис(трифторметил)бензоил]-2-(3,4-дихлорфенил)морфолин-2-ил]этил}-2,3-дигидроспиро[инден-1,4′-пиперидин]-2-ил)окси]-N-(4-гидроксибутил)-N-метилацетамида, полученного в примере 59, и добавляли 18 мг (0,12 ммоль) L-(+)-винной кислоты. Растворитель отгоняли при пониженном давлении с получением 118 мг (выход: 100%) указанного в заголовке соединения в виде белого твердого продукта. 1H-ЯМР спектр (400 МГц, CD3OD) Спектр ИК Масс-спектр (FAB) m/z: 844 ((M+H)+, свободная форма) Элементный анализ (для C41H45Cl2F6N3O5 Вычислено (%): C:53,36, H:5,27, Cl:7,00, F:11,25, N:4,15 Получено (%): C:53,29, H:5,14, Cl:7,36, F:11,04, N:4,03 [Пример 63] Малеат 2-[((2S)-1′-{2-[(2R)-4-[3,5-бис(трифторметил)бензоил]-2-(3,4-дихлорфенил)морфолин-2-ил]этил}-2,3-дигидроспиро[инден-1,4′-пиперидин]-2-ил)окси]-N-(4-гидроксибутил)-N-метилацетамида (иллюстративное соединение № 2-418, малеат) В 2 мл этанола растворяли 200 мг (0,24 ммоль) 2-[((2S)-1′-{2-[(2R)-4-[3,5-бис(трифторметил)бензоил]-2-(3,4-дихлорфенил)морфолин-2-ил]этил}-2,3-дигидроспиро[инден-1,4′-пиперидин]-2-ил)окси]-N-(4-гидроксибутил)-N-метилацетамида, полученного в примере 59, и добавляли 27 мг (0,24 ммоль) малеиновой кислоты. Растворитель отгоняли при пониженном давлении с получением 227 мг (выход: 100%) указанного в заголовке соединения в виде белого твердого продукта. 1H-ЯМР спектр (400 МГц, CD3OD) Спектр ИК Масс-спектр (FAB) m/z: 844 ((M+H)+, свободная форма) Элементный анализ (для C41H45Cl2F6N3O5 Вычислено (%): C:55,22, H:5,25, Cl:7,24, F:11,65, N:4,29 Получено (%): C:54,94, H:5,06, Cl:7,38, F:11,53, N:4,19 [Пример 64] Гидрохлорид 2-[((2S)-1′-{2-[(2R)-4-[3,5-бис(трифторметил)бензоил]-2-(3,4-дихлорфенил)морфолин-2-ил]этил}-2,3-дигидроспиро[инден-1,4′-пиперидин]-2-ил)окси]-N-(3-гидроксипропил)-N-метилацетамида (иллюстративное соединение № 2-417, гидрохлорид) [Пример 64a] Гидрохлорид 3-(метиламино)пропан-1-ола Реакцию проводили способом, описанным в примере 58a, используя 2 г (0,027 моль) 4-аминопропан-1-ола с получением 2,77 г (выход: 83%) указанного в заголовке соединения. 1H-ЯМР спектр (500 МГц, CD3OD) [Пример 64b] Гидрохлорид 2-[((2S)-1′-{2-[(2R)-4-[3,5-бис(трифторметил)бензоил]-2-(3,4-дихлорфенил)морфолин-2-ил]этил}-2,3-дигидроспиро[инден-1,4′-пиперидин]-2-ил)окси]-N-(3-гидроксипропил)-N-метилацетамида Реакцию проводили способом, описанным в примере 58b, используя 2,86 г (3,76 ммоль) 1-(2-{(2R)-2-(3,4-дихлорфенил)-4-[3,5-бис(трифторметил)бензоил]морфолин-2-ил}этил)спиро[(2S)-2-карбоксиметокси]индан-1,4′-пиперидина, полученного в примере 27b, и гидрохлорид 3-(метиламино)пропан-1-ола, полученный в примере 64a, с получением 1,62 г (выход: 52%) 2-[((2S)-1′-{2-[(2R)-4-[3,5-бис(трифторметил)бензоил]-2-(3,4-дихлорфенил)морфолин-2-ил]этил}-2,3-дигидроспиро[инден-1,4′-пиперидин]-2-ил)окси]-N-(3-гидроксипропил)-N-метилацетамида. 1 г (1,2 ммоль) полученного таким образом 2-[((2S)-1′-{2-[(2R)-4-[3,5-бис(трифторметил)бензоил]-2-(3,4-дихлорфенил)морфолин-2-ил]этил}-2,3-дигидроспиро[инден-1,4′-пиперидин]-2-ил)окси]-N-(3-гидроксипропил)-N-метилацетамида обрабатывали способом, описанным в примере 58b, с получением 956 мг (выход: 92%) указанного в заголовке соединения в виде белого твердого продукта. 1H-ЯМР спектр (400 МГц, CDCl3) Спектр ИК Масс-спектр (FAB) m/z: 830 ((M+H)+, свободная форма) Элементный анализ (для C40H43Cl2F6N3O5 Вычислено (%): C:53,19, H:5,36, Cl:11,78, N:4,65. Получено (%): C:52,54, H:5,04, Cl:11,27, N:4,43. [Пример 65] Гидрохлорид 2-[((2S)-1′-{2-[(2R)-4-[3,5-бис(трифторметил)бензоил]-2-(3,4-дихлорфенил)морфолин-2-ил]этил}-2,3-дигидроспиро[инден-1,4′-пиперидин]-2-ил)окси]-N-[2-(2-гидроксиэтокси)этил]-N-метилацетамида (иллюстративное соединение № 2-422, гидрохлорид) [Пример 65a] Гидрохлорид 2-[2-(метиламино)этокси]этанола Реакцию проводили способом, описанным в примере 58a, используя 2 г (0,019 моль) 2-(2-аминоэтокси)этанола с получением 1,99 г (выход: 67%) указанного в заголовке соединения. 1H-ЯМР спектр (500 МГц, CD3OD) [Пример 65b] Гидрохлорид 2-[((2S)-1′-{2-[(2R)-4-[3,5-бис(трифторметил)бензоил]-2-(3,4-дихлорфенил)морфолин-2-ил]этил}-2,3-дигидроспиро[инден-1,4′-пиперидин]-2-ил)окси]-N-[2-(2-гидроксиэтокси)этил]-N-метилацетамида Реакцию проводили способом, описанным в примере 58b, используя 100 мг (0,136 ммоль) 1-(2-{(2R)-2-(3,4-дихлорфенил)-4-[3,5-бис(трифторметил)бензоил]морфолин-2-ил}этил)спиро[(2S)-2-карбоксиметокси]индан-1,4′-пиперидина, полученного в примере 27b, и 106 мг (0,678 ммоль) гидрохлорида 2-[2-(метиламино)этокси]этанола, полученного в примере 65a, с получением 68,2 мг (выход: 58%) 2-[((2S)-1′-{2-[(2R)-4-[3,5-бис(трифторметил)бензоил]-2-(3,4-дихлорфенил)морфолин-2-ил]этил}-2,3-дигидроспиро[инден-1,4′-пиперидин]-2-ил)окси]-N-[2-(2-гидроксиэтокси)этил]-N-метилацетамида. В 5 мл метиленхлорида растворяли 68,2 мг (0,079 ммоль) полученного 2-[((2S)-1′-{2-[(2R)-4-[3,5-бис(трифторметил)бензоил]-2-(3,4-дихлорфенил)морфолин-2-ил]этил}-2,3-дигидроспиро[инден-1,4′-пиперидин]-2-ил)окси]-N-[2-(2-гидроксиэтокси)этил]-N-метилацетамида и по каплям добавляли 0,2 мл раствора смеси 4 н. соляная кислота-диоксан. Растворитель отгоняли при пониженном давлении и полученное таким образом аморфное вещество собирали фильтрованием, добавляя н-гексан, с получением 63,6 мг (выход: 89%) указанного в заголовке соединения в виде белого твердого продукта. 1H-ЯМР спектр (400 МГц, CD3OD) Спектр ИК Масс-спектр (FAB) m/z: 860 ((M+H)+, свободная форма) [Пример 66] Гидрохлорид 3-(1-{[((2S)-1′-{2-[(2R)-4-[3,5-бис(трифторметил)бензоил]-2-(3,4-дихлорфенил)морфолин-2-ил]этил}-2,3-дигидроспиро[инден-1,4′-пиперидин]-2-ил)оксиацетил]пиперидин-4-ил}пропан-1-ола (иллюстративное соединение № 2-583, гидрохлорид) [Пример 66a] Гидрохлорид 3-пиперидин-4-илпропан-1-ола В 3 н. водном растворе соляной кислоты растворяли 1,00 г (7,29 ммоль) 4-пиридинпропанола и добавляли 206 мг оксида платины, затем перемешивали смесь при комнатной температуре в атмосфере водорода при атмосферном давлении в течение 12 часов. Реакционную смесь фильтровали через Целит и фильтрат отгоняли при пониженном давлении. Полученный таким образом остаток переосаждали из раствора метанол-эфир с получением 1,31 г (выход: количественный) указанного в заголовке соединения в виде белого твердого продукта. 1H-ЯМР спектр (400 МГц, CD3OD) Спектр ИК Масс-спектр (FAB) m/z: 143 (M+·, свободная форма) [Пример 66b] Гидрохлорид 3-(1-{[((2S)-1′-{2-[(2R)-4-[3,5-бис(трифторметил)бензоил]-2-(3,4-дихлорфенил)морфолин-2-ил]этил}-2,3-дигидроспиро[инден-1,4′-пиперидин]-2-ил)оксиацетил]пиперидин-4-ил}пропан-1-ола В 40 мл метиленхлорида растворяли 2,02 г (2,67 ммоль) 1-(2-{(2R)-2-(3,4-дихлорфенил)-4-[3,5-бис(трифторметил)бензоил]морфолин-2-ил}этил)спиро[(2S)-2-карбоксиметокси]индан-1,4′-пиперидина, полученного в примере 27b, и 881 мкл (8,02 ммоль) N-метилморфолина и при охлаждении льдом при перемешивании добавляли 263 мкл (2,94 ммоль) этилхлорформиата, затем смесь перемешивали в течение 15 минут. К реакционной смеси при охлаждении льдом добавляли 720 мг (4,01 ммоль) 3-пиперидин-4-илпропан-1-ола, полученного в примере 66b. После перемешивания смеси при комнатной температуре в течение 1 часа, для разбавления смеси добавляли этилацетат, и смесь промывали последовательно водой и насыщенным раствором NaCl и сушили над безводным сульфатом магния. После фильтрования фильтрат упаривали при пониженном давлении и полученный таким образом остаток очищали хроматографией на колонке с силикагелем (элюирующий растворитель: этилацетат/метанол=88/12) с получением 1,82 г 3-(1-{[((2S)-1′-{2-[(2R)-4-[3,5-бис(трифторметил)бензоил]-2-(3,4-дихлорфенил)морфолин-2-ил]этил}-2,3-дигидроспиро[инден-1,4′-пиперидин]-2-ил)оксиацетил]пиперидин-4-ил}пропан-1-ола. Полученный таким образом 3-(1-{[((2S)-1′-{2-[(2R)-4-[3,5-бис(трифторметил)бензоил]-2-(3,4-дихлорфенил)морфолин-2-ил]этил}-2,3-дигидроспиро[инден-1,4′-пиперидин]-2-ил)оксиацетил]пиперидин-4-ил}пропан-1-ол растворяли в 40 мл этилацетата и добавляли 1,00 мл раствор смеси 4 н. соляная кислота-диоксан. Растворитель отгоняли при пониженном давлении и добавляли 30 мл н-гексан-этилацетат (1:1), затем проводили азеотропную отгонку. Полученный таким образом остаток переосаждали из смеси метиленхлорид-гексан с получением 1,98 г (выход: 77%) указанного в заголовке соединения в виде белого твердого продукта. 1H-ЯМР спектр (400 МГц, CD3OD) Спектр ИК Масс-спектр (FAB) m/z: 884 ((M+H)+, свободная форма) Элементный анализ (для C44H50Cl3F6N3O5 Вычислено (%): C:56,81, H:5,53, Cl:11,43, F:12,25, N:4,52 Получено (%): C:56,78, H:5,80, Cl:11,37, F:12,22, N:4,36 [Пример 67] Гидрохлорид 2-(4-{[((2S)-1′-{2-[(2R)-4-[3,5-бис(трифторметил)бензоил]-2-(3,4-дихлорфенил)морфолин-2-ил]этил}-2,3-дигидроспиро[инден-1,4′-пиперидин]-2-ил)окси]ацетил}пиперазин-1-ил)этанола (иллюстративное соединение № 2-614, гидрохлорид) 120 мг (0,158 ммоль) 1-(2-{(2R)-2-(3,4-дихлорфенил)-4-[3,5-бис(трифторметил)бензоил]морфолин-2-ил}этил)спиро[(2S)-2-карбоксиметокси]индан-1,4′-пиперидина, полученного в примере 27b, растворяли в 5 мл метиленхлорида и добавляли 27 мкл (0,316 ммоль) оксалилхлорида. К смеси добавляли одну каплю диметилформамида, затем перемешивали при комнатной температуре в течение 1 часа. Остаток, полученный отгонкой растворителя при пониженном давлении, растворяли в 5 мл метиленхлорида. К смеси по каплям добавляли 1-(2-гидроксиэтил)пиперазин, затем перемешивали в течение 30 минут. Смесь промывали последовательно водой и насыщенным раствором NaCl и сушили над безводным сульфатом натрия. Растворитель отгоняли при пониженном давлении и полученный таким образом остаток очищали хроматографией на колонке с силикагелем (элюирующий растворитель: этилацетат/метиленхлорид/метанол = 5/5/0-2) с получением 60 мг (выход: 44%) 2-(4-{[((2S)-1′-{2-[(2R)-4-[3,5-бис(трифторметил)бензоил]-2-(3,4-дихлорфенил)морфолин-2-ил]этил}-2,3-дигидроспиро[инден-1,4′-пиперидин]-2-ил)окси]ацетил}пиперазин-1-ил)этанола. Полученный 2-[((2S)-1′-{2-[(2R)-4-[3,5-бис(трифторметил)бензоил]-2-(3,4-дихлорфенил)морфолин-2-ил]этил}-2,3-дигидроспиро[инден-1,4′-пиперидин]-2-ил)окси]-N-(4-гидроксибутил)-N-метилацетамид растворяли в 5 мл метиленхлорида и по каплям добавляли 0,2 мл раствор смеси 4 н. соляная кислота-диоксан. Растворитель отгоняли при пониженном давлении и полученное аморфное вещество собирали фильтрованием, добавляя н-гексан, с получением 50 мг (выход: 80%) указанного в заголовке соединения в виде белого твердого продукта. 1H-ЯМР спектр (400 МГц, CDCl3) Спектр ИК Масс-спектр (FAB) m/z: 871 ((M+H)+, свободная форма) Элементный анализ (для C42H46Cl2F6N4O5 Вычислено (%): C:52,40, H:5,24, N:5,82. Получено (%): C:52,54, H:5,04, N:5,43. [Пример 68] Гидрохлорид 3-((2R)-1-{[((2S)-1′-{2-[(2R)-4-[3,5-бис(трифторметил)бензоил]-2-(3,4-дихлорфенил)морфолин-2-ил]этил}-2,3-дигидроспиро[инден-1,4′-пиперидин]-2-ил)окси]ацетил}пирролидин-2-ил)пропан-1-ола (иллюстративное соединение № 2-574, гидрохлорид) [Пример 68a] Бензил (2R)-2-(гидроксиметил)пирролидин-1-карбоксилат В 20 мл этилацетата растворяли 2 г (0,0198 моль) (2R)-пирролидин-2-илметанола, добавляли 20 мл воды и смесь перемешивали. К смеси добавляли 3,3 г (0,30 моль) гидрокарбоната натрия, затем смесь перемешивали в течение 5 минут. К смеси по каплям добавляли 4,24 мл (0,03 моль) бензилхлорформиата, затем перемешивали в течение 5 часов. После сушки этилацетатного слоя над безводным сульфатом натрия растворитель отгоняли при пониженном давлении с получением в количественном отношении указанного в заголовке соединения. 1H-ЯМР спектр (500 МГц, CDCl3) [Пример 68b] Бензил (2R)-2-формилпирролидин-1-карбоксилат В 15 мл метиленхлорида растворяли 1 г (4,25 ммоль) бензил (2R)-2-(гидроксиметил)пирролидин-1-карбоксилата, полученного в примере 68a, и смесь перемешивали при охлаждении льдом. К смеси добавляли 1,98 г (4,68 ммоль) перйодинана Десса-Мартина (Dess-Martin), затем перемешивали в течение 2 часов. После добавления к смеси насыщенного водного раствора гидрокарбоната натрия и водного раствора тиосульфата натрия (2 экв.) и перемешивания смеси в течение 30 минут смесь три раза экстрагировали метиленхлоридом. После сушки метиленхлоридного слоя над безводным сульфатом натрия растворитель отгоняли при пониженном давлении с получением сырого продукта указанного в заголовке соединения. [Пример 68c] Бензил (2R)-2-(3-этокси-3-оксопроп-1-енил)пирролидин-1-карбоксилат В 15 мл тетрагидрофурана растворяли 929 мкл (4,68 ммоль) триэтилфосфоноацетата и в течение 5 минут с перемешиванием при -50°C в атмосфере азота по каплям добавляли 3,19 мл раствора 1,6M н-бутиллития в гексане, затем смесь перемешивали в течение 20 минут. К реакционной смеси в течение 5 минут добавляли по каплям 10 мл раствора бензил (2R)-2-формилпирролидин-1-карбоновой кислоты в тетрагидрофуране, полученного в примере 68b, и температуру смеси поднимали до значения комнатной, затем перемешивали в течение 8 часов. К реакционной смеси добавляли воду и смесь три раза экстрагировали этилацетатом. После сушки этилацетатного слоя над безводным сульфатом натрия растворитель отгоняли при пониженном давлении. Полученный таким образом остаток очищали хроматографией на колонке с силикагелем (элюирующий растворитель: этилацетат/гексан=1/5) с получением 1,13 г (выход: 88%) указанного в заголовке соединения в виде смеси (E)- и (Z)-форм. [Пример 68d] Бензил (2R)-2-[(1E)-3-гидроксипроп-1-енил]пирролидин-1-карбоксилат В 5 мл тетрагидрофурана растворяли 283 мг (0,933 ммоль) бензил (2R)-2-(3-этокси-3-оксопроп-1-енил)пирролидин-1-карбоксилата, полученного в примере 68c, и в течение 5 минут при перемешивании при -78°C в атмосфере азота добавляли по каплям 1,85 мл (1,87 ммоль) раствора 1,01M диизобутилалюминий гидрида в толуоле. После перемешивания смеси в течение 1 часа охлаждающую баню отставляли и смесь гасили постепенным, капля за каплей, добавлением воды. Добавляли воду и этилацетат и осуществляли экстрагирование. После сушки этилацетатного слоя над безводным сульфатом натрия растворитель отгоняли при пониженном давлении. Полученный таким образом остаток очищали хроматографией на колонке с силикагелем (элюирующий растворитель: этилацетат/гексан = 1/1) с получением 135 мг (выход: 55%) указанного в заголовке соединения. (E)-форма 1H-ЯМР спектр (400 МГц, CDCl3) (Z)-форма 1H-ЯМР спектр (400 МГц, CDCl3) [Пример 68e] Гидрохлорид 3-[(2R)-пирролидин-2-ил]пропан-1-ола Бензил (2R)-2-[(1E)-3-гидроксипроп-1-енил]пирролидин-1-карбоксилат, полученный в примере 68d, растворяли в 5 мл этанола и добавляли 50 мг 10% палладия-на-угле, затем смесь интенсивно перемешивали в атмосфере водорода. Через 1 час и 30 минут палладий-на-угле удаляли фильтрованием и к остатку по каплям добавляли 0,5 мл раствора смеси 4 н. соляная кислота/диоксан. Растворитель отгоняли при пониженном давлении с получением указанного в заголовке соединения в виде бесцветного масла. 1H-ЯМР спектр (500 МГц, CD3OD) [Пример 68f] Гидрохлорид 3-((2R)-1-{[((2S)-1′-{2-[(2R)-4-[3,5-бис(трифторметил)бензоил]-2-(3,4-дихлорфенил)морфолин-2-ил]этил}-2,3-дигидроспиро[инден-1,4′-пиперидин]-2-ил)окси]ацетил}пирролидин-2-ил)пропан-1-ола Реакцию проводили способом, описанным в примере 58b, используя 200 мг (0,263 ммоль) 1-(2-{(2R)-2-(3,4-дихлорфенил)-4-[3,5-бис(трифторметил)бензоил]морфолин-2-ил}этил)спиро[(2S)-2-карбоксиметокси]индан-1,4′-пиперидина, полученного в примере 27b, и гидрохлорид 3-[(2R)-пирролидин-2-ил]пропан-1-ола, полученный в примере 68e, с получением 102 мг (выход: 44%) 3-((2R)-1-{[((2S)-1′-{2-[(2R)-4-[3,5-бис(трифторметил)бензоил]-2-(3,4-дихлорфенил)морфолин-2-ил]этил}-2,3-дигидроспиро[инден-1,4′-пиперидин]-2-ил)окси]ацетил}пирролидин-2-ил)пропан-1-ол. 1 г (1,2 ммоль) полученного 2-[((2S)-1′-{2-[(2R)-4-[3,5-бис(трифторметил)бензоил]-2-(3,4-дихлорфенил)морфолин-2-ил]этил}-2,3-дигидроспиро[инден-1,4′-пиперидин]-2-ил)окси]-N-(3-гидроксипропил)-N-метилацетамида обрабатывали способом, описанным в примере 58b, с получением 98 мг (выход: 93%) указанного в заголовке соединения в виде белого твердого продукта. 1H-ЯМР спектр (400 МГц, CDCl3) Спектр ИК Масс-спектр (FAB) m/z: 870 ((M+H)+, свободная форма) Элементный анализ (для C43H47Cl2F6N3O5 Вычислено (%): C:55,44, H:5,27, N:4,51. Получено (%): C:55,17, H:5,43, N:4,47. [Пример 69] Гидрохлорид 2-(1-{[((2S)-1′-{2-[(2R)-4-[3,5-бис(трифторметил)бензоил]-2-(3,4-дихлорфенил)морфолин-2-ил]этил}-2,3-дигидроспиро[инден-1,4′-пиперидин]-2-ил)окси]ацетил}пиперидин-4-ил)этанола (иллюстративное соединение № 2-582, гидрохлорид) В 4 мл метиленхлорида растворяли 200 мг (0,26 ммоль) 1-(2-{(2R)-2-(3,4-дихлорфенил)-4-[3,5-бис(трифторметил)бензоил]морфолин-2-ил}этил)спиро[(2S)-2-карбоксиметокси]индан-1,4′-пиперидина, полученного в примере 27b, и добавляли при охлаждении льдом 46 мкл (0,53 ммоль) оксалилхлорида. К смеси добавляли одну каплю диметилформамида, затем перемешивали при комнатной температуре в течение 30 минут. Растворитель отгоняли при пониженном давлении и полученный таким образом остаток растворяли в 4 мл метиленхлорида. К раствору при охлаждении льдом добавляли 68 мг (0,53 ммоль) 4-пиперидинэтанола и 110 мкл (0,79 ммоль) триэтиламина. После перемешивания смеси при комнатной температуре в течение 2 часов смесь промывали последовательно водой и насыщенным раствором NaCl и сушили над безводным сульфатом натрия. Растворитель отгоняли при пониженном давлении и полученный таким образом остаток очищали с помощью тонкослойной хроматографии (элюирующий растворитель: метиленхлорид/метанол = 10/1). Полученный таким образом 2-(1-{[((2S)-1′-{2-[(2R)-4-[3,5-бис(трифторметил)бензоил]-2-(3,4-дихлорфенил)морфолин-2-ил]этил}-2,3-дигидроспиро[инден-1,4′-пиперидин]-2-ил)окси]ацетил}пиперидин-4-ил)этанол растворяли в 20 мл этилацетата и смесь промывали последовательно 50 мл 1 н. соляной кислоты и насыщенным раствором NaCl и сушили над безводным сульфатом натрия. Растворитель отгоняли при пониженном давлении и полученный остаток промывали гексаном с получением 129 мг (выход: 54%) указанного в заголовке соединения в виде белого твердого продукта. 1H-ЯМР спектр (400 МГц, CDCl3) Спектр ИК Масс-спектр (FAB) m/z: 870 ((M+H)+, свободная форма) Элементный анализ (для C43H48Cl3F6N3O5 Вычислено (%): C:55,28, H:5,50, Cl:11,38, F:12,20, N:4,50 Получено (%): C:55,20, H:5,53, Cl:11,24, F:12,53, N:4,33 [Пример 70] Гидрохлорид 2-[((2S)-1′-{2-[(2R)-4-[3,5-бис(трифторметил)бензоил]-2-(3,4-дихлорфенил)морфолин-2-ил]этил}-2,3-дигидроспиро[инден-1,4′-пиперидин]-2-ил)окси]-N-(4-гидроксибутил)-N-метоксиацетамида (иллюстративное соединение № 2-460, гидрохлорид) [Пример 70a] 4-(Метоксиамино)бутан-1-ол В 20 мл этанола растворяли 1,10 г (7,19 ммоль) 4-бром-1-бутанола и добавляли 4,59 г (28,8 ммоль) гидрохлорида O-метилгидроксиламина и 6,02 мл (43,1 ммоль) триэтиламина, затем смесь перемешивали при 70°C в течение 2 часов. К реакционной смеси добавляли этилацетат, осадок удаляли фильтрованием и растворитель отгоняли при пониженном давлении. Остаток очищали хроматографией на колонке с силикагелем (элюирующий растворитель: этилацетат/метанол = 100/0-50/50) с получением 52 мг (выход: 6%) указанного в заголовке соединения в виде светло-желтого масла. 1H-ЯМР спектр (400 МГц, CD3OD) Спектр ИК Масс-спектр (EI) m/z: 119 (M+) [Пример 70b] Гидрохлорид 2-[((2S)-1′-{2-[(2R)-4-[3,5-бис(трифторметил)бензоил]-2-(3,4-дихлорфенил)морфолин-2-ил]этил}-2,3-дигидроспиро[инден-1,4′-пиперидин]-2-ил)окси]-N-(4-гидроксибутил)-N-метоксиацетамида Реакцию проводили способом, описанным в примере 69, используя 200 мг (0,26 ммоль) 1-(2-{(2R)-2-(3,4-дихлорфенил)-4-[3,5-бис(трифторметил)бензоил]морфолин-2-ил}этил)спиро[(2S)-2-карбоксиметокси]индан-1,4′-пиперидина, 46 мкл (0,53 ммоль) оксалилхлорида, 47 мг (0,40 ммоль) 4-(метоксиамино)бутан-1-ола, полученного в примере 70a, и 110 мкл (0,79 ммоль) триэтиламина, с получением 86 мг (выход: 36%) указанного в заголовке соединения в виде белого твердого продукта. 1H-ЯМР спектр (400 МГц, CDCl3) Спектр ИК Масс-спектр (FAB) m/z: 860 ((M+H)+, свободная форма) Элементный анализ (для C41H46Cl3F6N3O6 Вычислено (%): C:53,81, H:5,29, Cl:11,62, F:12,46, N:4,59 Получено (%): C:53,82, H:5,22, Cl:11,31, F:12,40, N:4,59 [Пример 71] Гидрохлорид 2-[((2S)-1′-{2-[(2R)-4-[3,5-бис(трифторметил)бензоил]-2-(3,4-дихлорфенил)морфолин-2-ил]этил}-2,3-дигидроспиро[инден-1,4′-пиперидин]-2-ил)окси]-N-(5-гидроксипентил)-N-метилацетамид (иллюстративное соединение № 2-419, гидрохлорид) [Пример 71a] 5-Гидроксипентилформамид В 5 мл этилформиата растворяли 2,06 г (20,0 ммоль) 5-амино-1-пентанола и смесь перемешивали при 90°C в течение 4 часов. Растворитель отгоняли при пониженном давлении и полученный остаток очищали хроматографией на колонке с силикагелем (элюирующий растворитель: этилацетат/метанол = 100/0-70/30) с получением 1,90 г (выход: 73%) указанного в заголовке соединения в виде светло-желтого масла. 1H-ЯМР спектр (400 МГц, CDCl3) Масс-спектр (EI) m/z: 131 (M+) [Пример 71b] 5-(Метиламино)пентан-1-ол В 20 мл тетрагидрофурана растворяли 1,90 г (14,5 ммоль) 5-гидроксипентилформамида, полученного в примере 71a и к раствору при охлаждении льдом добавляли по каплям 17,4 мл (17,4 ммоль) 1M раствора литийалюминийгидрида в тетрагидрофуране, затем смесь перемешивали при 90°C в течение 2 часов. После этого к реакционной смеси при охлаждении льдом добавляли 28 г (87 ммоль) сульфата натрия 10 гидрата и 20 мл диэтилового эфира и смесь перемешивали при комнатной температуре в течение 18 часов. После фильтрования реакционной смеси через целит растворитель отгоняли при пониженном давлении и полученный остаток очищали хроматографией на колонке с силикагелем (элюирующий растворитель: дихлорметан/метанол/раствор аммиака = 95/5/0-80/19/1) с получением 1,36 г (выход: 80%) указанного в заголовке соединения в виде светло-желтого масла. 1H-ЯМР спектр (400 МГц, CD3OD) Спектр ИК Масс-спектр (EI) m/z: 117 (M+) [Пример 71c] Гидрохлорид 2-[((2S)-1′-{2-[(2R)-4-[3,5-бис(трифторметил)бензоил]-2-(3,4-дихлорфенил)морфолин-2-ил]этил}-2,3-дигидроспиро[инден-1,4′-пиперидин]-2-ил)окси]-N-(5-гидроксипентил)-N-метилацетамида Реакцию проводили способом, описанным в примере 69, используя 110 мг (0,15 ммоль) 1-(2-{(2R)-2-(3,4-дихлорфенил)-4-[3,5-бис(трифторметил)бензоил]морфолин-2-ил}этил)спиро[(2S)-2-карбоксиметокси]индан-1,4′-пиперидина, 25 мкл (0,29 ммоль) оксалилхлорида, 51 мг (0,43 ммоль) 5-(метоксиамино)пентан-1-ола, полученного в примере 71b, и 91 мкл (0,65 ммоль) триэтиламина, с получением 29 мг (выход: 22%) указанного в заголовке соединения в виде белого твердого продукта. 1H-ЯМР спектр (400 МГц, CDCl3) Спектр ИК Масс-спектр (FAB) m/z: 858 ((M+H)+, свободная форма) [Пример 72] Гидрохлорид 4-[{[((2S)-1′-{2-[(2R)-4-[3,5-бис(трифторметил)бензоил]-2-(3,4-дихлорфенил)морфолин-2-ил]этил}-2,3-дигидроспиро[инден-1,4′-пиперидин]-2-ил)окси]ацетил}(метил)амино]масляной кислоты (иллюстративное соединение № 2-495, гидрохлорид) [Пример 72a] Гидрохлорид этил 4-(метиламино)бутаноата В 40 мл этанола растворяли 2,00 г (13,0 ммоль) гидрохлорида 4-(метиламино)масляной кислоты и добавляли 69 мкл (1,30 ммоль) концентрированной серной кислоты, затем смесь перемешивали при 90°C в течение 1 часа. Растворитель отгоняли при пониженном давлении, затем проводили азеотропную отгонку с толуолом. Для последующей реакции использовали 3,02 г полученного остатка без дополнительной очистки. 1H-ЯМР спектр (400 МГц, CD3OD) [Пример 72b] Гидрохлорид этил 4-[{[((2S)-1′-{2-[(2R)-4-[3,5-бис(трифторметил)бензоил]-2-(3,4-дихлорфенил)морфолин-2-ил]этил}-2,3-дигидроспиро[инден-1,4′-пиперидин]-2-ил)окси]ацетил}(метил)амино]бутаноата Реакцию проводили способом, описанным в примере 69, используя 200 мг (0,26 ммоль) 1-(2-{(2R)-2-(3,4-дихлорфенил)-4-[3,5-бис(трифторметил)бензоил]морфолин-2-ил}этил)спиро[(2S)-2-карбоксиметокси]индан-1,4′-пиперидина, 46 мкл (0,53 ммоль) оксалилхлорида, 96 мг (0,53 ммоль) гидрохлорида этил 4-(метиламино)бутаноата, полученного в примере 72a, и 184 мкл (1,32 ммоль) триэтиламина, с получением 165 мг (выход: 68%) указанного в заголовке соединения в виде белого твердого продукта. [Пример 72c] Гидрохлорид 4-[{[((2S)-1′-{2-[(2R)-4-[3,5-бис(трифторметил)бензоил]-2-(3,4-дихлорфенил)морфолин-2-ил]этил}-2,3-дигидроспиро[инден-1,4′-пиперидин]-2-ил)окси]ацетил}(метил)амино]масляной кислоты В 1,5 мл тетрагидрофурана растворяли 120 мг (0,13 ммоль) гидрохлорида этил 4-[{[((2S)-1′-{2-[(2R)-4-[3,5-бис(трифторметил)бензоил]-2-(3,4-дихлорфенил)морфолин-2-ил]этил}-2,3-дигидроспиро[инден-1,4′-пиперидин]-2-ил)окси]ацетил}(метил)амино]бутаноата, полученного в примере 72b, и добавляли при охлаждении льдом 1,5 мл метанола и 0,39 мл (0,39 ммоль) 1 н. водного раствора гидроксида натрия, затем смесь перемешивали при комнатной температуре в течение 18 часов. К реакционной смеси при охлаждении льдом добавляли 20 мл 1 н. соляной кислоты и смесь экстрагировали этилацетатом. Экстракт промывали последовательно водой и насыщенным раствором NaCl и сушили над безводным сульфатом натрия. Растворитель отгоняли при пониженном давлении и полученный остаток очищали с помощью тонкослойной хроматографии (элюирующий растворитель: метиленхлорид/метанол=10/1). Полученный очищенный продукт растворяли в 20 мл этилацетата, смесь промывали последовательно 50 мл 1 н. соляной кислоты и насыщенным раствором NaCl и сушили над безводным сульфатом натрия, и растворитель отгоняли при пониженном давлении. Полученный остаток промывали гексаном с получением 59 мг (выход: 51%) указанного в заголовке соединения в виде белого твердого продукта. 1H-ЯМР спектр (400 МГц, CDCl3) Спектр ИК Масс-спектр (FAB) m/z: 858 ((M+H)+, свободная форма) Элементный анализ (для C41H44Cl3F6N3O6 Вычислено (%): C:52,88, H:5,20, Cl:11,42, F:12,24, N:4,51 Получено (%): C:52,94, H:4,97, Cl:10,93, F:12,66, N:4,33 [Пример 73] Гидрохлорид (1-{[((2S)-1′-{2-[(2R)-4-[3,5-бис(трифторметил)бензоил]-2-(3,4-дихлорфенил)морфолин-2-ил]этил}-2,3-дигидроспиро[инден-1,4′-пиперидин]-2-ил)окси]ацетил}пиперидин-4-ил)метанола (иллюстративное соединение № 2-581, гидрохлорид) Реакцию проводили способом, описанным в примере 69, используя 200 мг (0,26 ммоль) 1-(2-{(2R)-2-(3,4-дихлорфенил)-4-[3,5-бис(трифторметил)бензоил]морфолин-2-ил}этил)спиро[(2S)-2-карбоксиметокси]индан-1,4′-пиперидина, 46 мкл (0,53 ммоль) оксалилхлорида, 61 мг (0,53 ммоль) 4-пиперидинметанола и 110 мкл (0,79 ммоль) триэтиламина, с получением 76 мг (выход: 32%) указанного в заголовке соединения в виде белого твердого продукта. 1H-ЯМР спектр (400 МГц, CDCl3) Спектр ИК Масс-спектр (FAB) m/z: 856 ((M+H)+, свободная форма) Элементный анализ (для C42H46Cl3F6N3O5 Вычислено (%): C:54,82, H:5,37, Cl:11,56, F:12,39, N:4,57 Получено (%): C:54,64, H:5,17, Cl:11,48, F:12,82, N:4,30 [Пример 74] Гидрохлорид 2-[((2S)-1′-{2-[(2R)-4-[3,5-бис(трифторметил)бензоил]-2-(3,4-дихлорфенил)морфолин-2-ил]этил}-2,3-дигидроспиро[инден-1,4′-пиперидин]-2-ил)окси]-N-(6-гидроксигексил)-N-метилацетамида (иллюстративное соединение № 2-421, гидрохлорид) [Пример 74a] 6-Гидроксигексилформамид Реакцию проводили способом, описанным в примере 71a, используя 1,50 г (12,8 ммоль) 6-амино-1-гексанола и 3 мл этилформиата, с получением 1,34 г (выход: 72%) указанного в заголовке соединения в виде белого твердого продукта. 1H-ЯМР спектр (400 МГц, CD3OD) Спектр ИК Масс-спектр (EI) m/z: 144 (M-H)+ [Пример 74b] 6-(Метиламино)гексан-1-ол Реакцию проводили способом, описанным в примере 71b, используя 1,34 г (9,23 ммоль) 6-гидроксигексилформамида, полученного в примере 74a, и 11,1 мл (11,1 ммоль) раствора 1 моль/л литийалюминийгидрида в тетрагидрофуране, с получением 0,89 г (выход: 74%) указанного в заголовке соединения в виде светло-желтого масла. 1H-ЯМР спектр (400 МГц, CD3OD) Спектр ИК Масс-спектр (EI) m/z: 131 (M+) [Пример 74c] Гидрохлорид 2-[((2S)-1′-{2-[(2R)-4-[3,5-бис(трифторметил)бензоил]-2-(3,4-дихлорфенил)морфолин-2-ил]этил}-2,3-дигидроспиро[инден-1,4′-пиперидин]-2-ил)окси]-N-(6-гидроксигексил)-N-метилацетамида Реакцию проводили способом, описанным в примере 69, используя 110 мг (0,15 ммоль) 1-(2-{(2R)-2-(3,4-дихлорфенил)-4-[3,5-бис(трифторметил)бензоил]морфолин-2-ил}этил)спиро[(2S)-2-карбоксиметокси]индан-1,4′-пиперидина, 25 мкл (0,29 ммоль) оксалилхлорида, 57 мг (0,43 ммоль) 6-(метиламино)гексан-1-ола, полученного в примере 74b, и 91 мкл (0,65 ммоль) триэтиламина, с получением 54 мг (выход: 33%) указанного в заголовке соединения в виде белого твердого продукта. 1H-ЯМР спектр (400 МГц, CDCl3) Спектр ИК Масс-спектр (FAB) m/z: 872 ((M+H)+, свободная форма) [Пример 75] Гидрохлорид 2-[(1-{[((2S)-1′-{2-[(2R)-4-[3,5-бис(трифторметил)бензоил]-2-(3,4-дихлорфенил)морфолин-2-ил]этил}-2,3-дигидроспиро[инден-1,4′-пиперидин]-2-ил)окси]ацетил}пиперидин-4-ил)окси]этанола (иллюстративное соединение № 2-586, гидрохлорид) [Пример 75a] Трет-бутил 4-(2-{[трет-бутил(диметил)силил]окси}этокси)пиперидин-1-карбоксилат В 100 мл диметилформамида растворяли 5,00 г (24,8 ммоль) трет-бутил 4-гидрокси-1-пиперидинкарбоксилата и добавляли при охлаждении льдом 1,08 г (24,8 ммоль) гидрида натрия (55% или более, в масле), затем смесь перемешивали при комнатной температуре в течение 4 часов. Затем к реакционной смеси при охлаждении льдом добавляли по каплям 20 мл раствора 6,54 г (27,3 ммоль) (2-бромэтокси)-трет-бутилдиметилсилана в диметилформамиде и смесь перемешивали при комнатной температуре в течение 2 дней. К реакционной смеси при охлаждении льдом добавляли воду и смесь экстрагировали этилацетатом, затем промывали последовательно водой и насыщенным раствором NaCl и сушили над безводным сульфатом натрия. Растворитель отгоняли при пониженном давлении и полученный остаток очищали хроматографией на колонке с силикагелем (элюирующий растворитель: гексан/этилацетат = 100/0-90/10) с получением 1,65 г (выход: 18%) указанного в заголовке соединения в виде бесцветного масла. 1H-ЯМР спектр (500 МГц, CDCl3) Спектр ИК Масс-спектр (FAB) m/z: 360 (M+H)+ [Пример 75b] Трет-бутил 4-(2-гидроксиэтокси)пиперидин-1-карбоксилат В 20 мл тетрагидрофурана растворяли 1,65 г (4,59 ммоль) трет-бутил 4-(2-{[трет-бутил(диметил)силил]окси}этокси)пиперидин-1-карбоксилата, полученного в примере 75a, и добавляли при охлаждении льдом 6,88 мл (6,88 ммоль) раствора 1M тетрабутиламмоний фторида в тетрагидрофуране, затем перемешивали смесь при комнатной температуре в течение 2 часов. К реакционной смеси добавляли воду и смесь экстрагировали этилацетатом, затем промывали последовательно водой и насыщенным раствором NaCl и сушили над безводным сульфатом натрия. Растворитель отгоняли при пониженном давлении и полученный остаток очищали хроматографией на колонке с силикагелем (элюирующий растворитель: гексан/этилацетат = 90/10-30/70) с получением 0,94 г (выход: 84%) указанного в заголовке соединения в виде бесцветного масла. 1H-ЯМР спектр (500 МГц, CDCl3) Спектр ИК Масс-спектр (FAB) m/z: 246 (M+H)+ [Пример 75c] 2-(Пиперидин-4-илокси)этанол В 12 мл дихлорметана растворяли 0,94 г (3,83 ммоль) трет-бутил 4-(2-гидроксиэтокси)пиперидин-1-карбоксилата, полученного в примере 75b, и добавляли при охлаждении льдом 6 мл трифторуксусной кислоты, затем перемешивали смесь при комнатной температуре в течение 2 часов. Растворитель отгоняли при пониженном давлении, затем проводили азеотропную отгонку с толуолом. Полученный остаток очищали хроматографией на колонке с силикагелем (силикагель: Chromatrex NH, 100-200 меш, элюирующий растворитель: дихлорметан/метанол = 100/0-90/10) с получением 564 мг (выход: 100%) указанного в заголовке соединения в виде белого твердого продукта. 1H-ЯМР спектр (500 МГц, CD3OD) Спектр ИК Масс-спектр (FAB) m/z: 146 (M+H)+ [Пример 75d] Гидрохлорид 2-[(1-{[((2S)-1′-{2-[(2R)-4-[3,5-бис(трифторметил)бензоил]-2-(3,4-дихлорфенил)морфолин-2-ил]этил}-2,3-дигидроспиро[инден-1,4′-пиперидин]-2-ил)окси]ацетил}пиперидин-4-ил)окси]этанола Реакцию проводили способом, описанным в примере 66b, используя 150 мг (0,20 ммоль) 1-(2-{(2R)-2-(3,4-дихлорфенил)-4-[3,5-бис(трифторметил)бензоил]морфолин-2-ил}этил)спиро[(2S)-2-карбоксиметокси]индан-1,4′-пиперидина, 21 мкл (0,22 ммоль) этилхлорформиата, 65 мкл (0,59 ммоль) N-метилморфолина и 43 мг (0,30 ммоль) 2-(пиперидин-4-илокси)этанола, полученного в примере 75c, с получением 116 мг (выход: 64%) указанного в заголовке соединения в виде белого твердого продукта. 1H-ЯМР спектр (400 МГц, CDCl3) Спектр ИК Масс-спектр (FAB) m/z: 886 ((M+H)+, свободная форма) Элементный анализ (для C43H48Cl3F6N3O6 Вычислено (%): C:55,40, H:5,30, Cl:11,41, F:12,23, N:4,51 Получено (%): C:55,06, H:5,30, Cl:11,22, F:12,27, N:4,35 [Пример 76] Гидрохлорид N-[(1-{[((2S)-1′-{2-[(2R)-4-[3,5-бис(трифторметил)бензоил]-2-(3,4-дихлорфенил)морфолин-2-ил]этил}-2,3-дигидроспиро[инден-1,4′-пиперидин]-2-ил)окси]ацетил}пиперидин-4-ил)-2-гидроксиацетамида (иллюстративное соединение № 2-590, гидрохлорид) [Пример 76a] 2-(Бензилокси)-N-(1-бензилпиперидин-4-ил)ацетамид В 40 мл дихлорметана растворяли 2,00 г (12,0 ммоль) бензилоксиуксусной кислоты и добавляли при охлаждении льдом 2,77 г (14,4 ммоль) гидрохлорида 1-этил-3-(3-диметиламинопропил)карбодиимида, 2,21 г (14,4 ммоль) 1-гидроксибензотриазол 1 гидрата, 2,52 мл (18,1 ммоль) триэтиламина и 2,52 г (13,2 ммоль) 4-амино-1-бензилпиперидина, затем смесь перемешивали при комнатной температуре в течение 18 часов. К реакционной смеси добавляли дихлорметан и смесь промывали последовательно насыщенным водным раствором гидрокарбоната натрия, водой и насыщенным раствором NaCl и сушили над безводным сульфатом натрия. Растворитель отгоняли при пониженном давлении и полученный остаток очищали хроматографией на колонке с силикагелем (элюирующий растворитель: этилацетат/метанол = 100/0-90/10) с получением 2,82 г (выход: 69%) указанного в заголовке соединения в виде белого твердого продукта. 1H-ЯМР спектр (500 МГц, CDCl3) Спектр ИК Масс-спектр (FAB) m/z: 339 (M+H)+ [Пример 76b] 2-Гидрокси-N-пиперидин-4-илацетамид В 60 мл этанола растворяли 2,82 г (8,33 ммоль) 2-(бензилокси)-N-(1-бензилпиперидин-4-ил)ацетамида, полученного в примере 76a, и добавляли в атмосфере азота 0,60 г 10% палладий-на-угле (степень влажности: 51,7%), затем смесь перемешивали при 50°C в течение 4 часов в атмосфере водорода. После фильтрования реакционной смеси через Целит растворитель отгоняли при пониженном давлении с получением 1,26 г (выход: 96%) указанного в заголовке соединения в виде светло-желтого твердого продукта. 1H-ЯМР спектр (500 МГц, CD3OD) Спектр ИК Масс-спектр (FAB) m/z: 159 (M+H)+ [Пример 76c] Гидрохлорид N-(1-{[((2S)-1′-{2-[(2R)-4-[3,5-бис(трифторметил)бензоил]-2-(3,4-дихлорфенил)морфолин-2-ил]этил}-2,3-дигидроспиро[инден-1,4′-пиперидин]-2-ил)окси]ацетил}пиперидин-4-ил)-2-гидроксиацетамида Реакцию проводили способом, описанным в примере 66b, используя 150 мг (0,20 ммоль) 1-(2-{(2R)-2-(3,4-дихлорфенил)-4-[3,5-бис(трифторметил)бензоил]морфолин-2-ил}этил)спиро[(2S)-2-карбоксиметокси]индан-1,4′-пиперидина, 21 мкл (0,22 ммоль) этилхлорформиата, 65 мкл (0,59 ммоль) N-метилморфолина и 37 мг (0,24 ммоль) 2-гидрокси-N-пиперидин-4-илацетамида, полученного в примере 76b, с получением 89 мг (выход: 48%) указанного в заголовке соединения в виде белого твердого продукта. 1H-ЯМР спектр (400 МГц, CDCl3) Спектр ИК Масс-спектр (FAB) m/z: 899 ((M+H)+, свободная форма) Элементный анализ (для C43H47Cl3F6N4O6 Вычислено (%): C:54,12, H:5,18, Cl:11,15, F:11,95, N:5,87 Получено (%): C:53,81, H:5,22, Cl:10,72, F:11,60, N:5,50 [Пример 77] Гидрохлорид 2-[(1-{[((2S)-1′-{2-[(2R)-4-[3,5-бис(трифторметил)бензоил]-2-(3,4-дихлорфенил)морфолин-2-ил]этил}-2,3-дигидроспиро[инден-1,4′-пиперидин]-2-ил)окси]ацетил}пиперидин-4-ил)метокси]этанола (иллюстративное соединение № 2-591, гидрохлорид) [Пример 77a] Бензил 4-[(2-{[трет-бутил(диметил)силил]окси}этокси)метил]пиперидин-1-карбоксилат Реакцию проводили способом, который описан в примере 75a, используя 5,00 г (20,1 ммоль) бензил 4-(гидроксиметил)пиперидин-1-карбоксилата, 0,88 г (20,1 ммоль) гидрида натрия (55% или более, в масле) и 5,28 г (22,1 ммоль) (2-бромэтокси)-трет-бутилдиметилсилана с получением 237 мг (выход: 3%) указанного в заголовке соединения в виде коричневого масла. 1H-ЯМР спектр (500 МГц, CDCl3) Спектр ИК Масс-спектр (FAB) m/z: 408 (M+H)+ [Пример 77b] Бензил 4-[(2-гидроксиэтокси)метил]пиперидин-1-карбоксилат Реакцию проводили способом, описанным в примере 75b, используя 237 мг (0,58 ммоль) бензил 4-[(2-{[трет-бутил(диметил)силил]окси}этокси)метил]пиперидин-1-карбоксилата, полученного в примере 77a, и 0,87 мл (0,87 ммоль) раствора 1M тетрабутиламмоний фторида в тетрагидрофуране, с получением 133 мг (выход: 78%) указанного в заголовке соединения в виде коричневого масла. 1H-ЯМР спектр (500 МГц, CDCl3) Спектр ИК Масс-спектр (FAB) m/z: 294 (M+H)+ [Пример 77c] 2-(Пиперидин-4-илметокси)этанол В 2 мл этанола растворяли 133 мг (0,45 ммоль) бензил 4-[(2-гидроксиэтокси)метил]пиперидин-1-карбоксилата, полученного в примере 77b, и добавляли в атмосфере азота 20 мг 10% палладий-на-угле (степень влажности: 51,7%), затем смесь перемешивали при комнатной температуре в атмосфере водорода в течение 2 часов. После фильтрования реакционной смеси через Целит растворитель отгоняли при пониженном давлении с получением 70 мг (выход: 97%) указанного в заголовке соединения в виде бесцветного масла. 1H-ЯМР спектр (500 МГц, CD3OD) Спектр ИК Масс-спектр (EI) m/z: 159 (M+) [Пример 77d] Гидрохлорид 2-[(1-{[((2S)-1′-{2-[(2R)-4-[3,5-бис(трифторметил)бензоил]-2-(3,4-дихлорфенил)морфолин-2-ил]этил}-2,3-дигидроспиро[инден-1,4′-пиперидин]-2-ил)окси]ацетил}пиперидин-4-ил)метокси]этанола Реакцию проводили способом, описанным в примере 66b, используя 239 мг (0,32 ммоль) 1-(2-{(2R)-2-(3,4-дихлорфенил)-4-[3,5-бис(трифторметил)бензоил]морфолин-2-ил}этил)спиро[(2S)-2-карбоксиметокси]индан-1,4′-пиперидина, 33 мкл (0,35 ммоль) этилхлорформиата, 52 мкл (0,47 ммоль) N-метилморфолина и 60 мг (0,39 ммоль) 2-(пиперидин-4-илметокси)этанола, полученного в примере 77c, с получением 206 мг (выход: 70%) указанного в заголовке соединения в виде белого твердого продукта. 1H-ЯМР спектр (400 МГц, CDCl3) Спектр ИК Масс-спектр (FAB) m/z: 900 ((M+H)+, свободная форма) Элементный анализ (для C44H50Cl3F6N3O6 Вычислено(%): C:55,32, H:5,49, Cl:11,13, F:11,93, N:4,40 Получено (%): C:55,70, H:5,51, Cl:10,72, F:11,84, N:4,31 Для синтеза нижеследующих соединений реакции выполняли способом, который описан в примере 58b, 66b или 69. [Пример 78] Гидрохлорид 1-{[((2S)-1′-{2-[(2R)-4-[3,5-бис(трифторметил)бензоил]-2-(3,4-дихлорфенил)морфолин-2-ил]этил}-2,3-дигидроспиро[инден-1,4′-пиперидин]-2-ил)окси]ацетил}пиперидин-4-она (иллюстративное соединение № 2-579, гидрохлорид) 1H-ЯМР спектр (400 МГц, CDCl3) Спектр ИК Масс-спектр (FAB) m/z: 840 ((M+H)+, свободная форма) Элементный анализ (для C41H41Cl2F6N3O5 Вычислено (%): C:55,01, H:4,95, N:4,69. Получено (%): C:55,08, H:5,28, N:4,28. [Пример 79] Гидрохлорид 2-[((2S)-1′-{2-[(2R)-4-[3,5-бис(трифторметил)бензоил]-2-(3,4-дихлорфенил)морфолин-2-ил]этил}-2,3-дигидроспиро[инден-1,4′-пиперидин]-2-ил)окси]-N-этил-N-(2-гидроксиэтил)ацетамида (иллюстративное соединение № 2-424, гидрохлорид) 1H-ЯМР спектр (400 МГц, CDCl3) Спектр ИК Масс-спектр (FAB) m/z: 830 ((M+H)+, свободная форма) Элементный анализ (для C40H43Cl2F6N3O5 Вычислено (%): C:55,40, H:5,11, N:4,85. Получено (%): C:56,01, H:5,67, N:4,39. [Пример 80] Гидрохлорид 2-[((2S)-1′-{2-[(2R)-2-(3,4-дихлорфенил)-4-(3,4,5-триметоксибензоил)морфолин-2-ил]этил}-2,3-дигидроспиро[инден-1,4′-пиперидин]-2-ил)окси]-N-[2-(2-гидроксиэтокси)этил]-N-метилацетамида (иллюстративное соединение № 1-422, гидрохлорид) 1H-ЯМР спектр (400 МГц, CDCl3) Спектр ИК Масс-спектр (FAB) m/z: 814 ((M+H)+, свободная форма) [Пример 81] Гидрохлорид 2-[((2S)-1′-{2-[(2R)-4-[3,5-бис(трифторметил)бензоил]-2-(3,4-дихлорфенил)морфолин-2-ил]этил}-2,3-дигидроспиро[инден-1,4′-пиперидин]-2-ил)окси]-N-этил-N-(4-гидроксибутил)ацетамида (иллюстративное соединение № 2-426, гидрохлорид) 1H-ЯМР спектр (400 МГц, CDCl3) Спектр ИК Масс-спектр (FAB) m/z: 858 ((M+H)+, свободная форма) [Пример 82] Гидрохлорид 2-[((2S)-1′-{2-[(2R)-2-(3,4-дихлорфенил)-4-(3,4,5-триметоксибензоил)морфолин-2-ил]этил}-2,3-дигидроспиро[инден-1,4′-пиперидин]-2-ил)окси]-N-(4-гидроксибутил)-N-метилацетамида (иллюстративное соединение № 1-418, гидрохлорид) 1H-ЯМР спектр (400 МГц, CDCl3) Спектр ИК Масс-спектр (FAB) m/z: 798 ((M+H)+, свободная форма) [Пример 83] Гидрохлорид 1-{[((2S)-1′-{2-[(2R)-4-[3,5-бис(трифторметил)бензоил]-2-(3,4-дихлорфенил)морфолин-2-ил]этил}-2,3-дигидроспиро[инден-1,4′-пиперидин]-2-ил)окси]ацетил}пиперидин-4-ола (иллюстративное соединение № 2-580, гидрохлорид) 1H-ЯМР спектр (400 МГц, CDCl3) Спектр ИК Масс-спектр (FAB) m/z: 842 ((M+H)+, свободная форма) Элементный анализ (для C41H43Cl2F6N3O5 Вычислено (%): C:54,89, H:5,17, N:4,68. Получено (%): C:54,91, H:5,37, N:4,43. [Пример 84] Гидрохлорид 2-[((2S)-1′-{2-[(2R)-4-[3,5-бис(трифторметил)бензоил]-2-(3,4-дихлорфенил)морфолин-2-ил]этил}-2,3-дигидроспиро[инден-1,4′-пиперидин]-2-ил)окси]-N-(3-метоксипропил)-N-метилацетамида (иллюстративное соединение № 2-466, гидрохлорид) 1H-ЯМР спектр (400 МГц, CDCl3) Спектр ИК Масс-спектр (FAB) m/z: 844 ((M+H)+, свободная форма) Элементный анализ (для C41H45Cl2F6N3O5 Вычислено (%): C:55,88, H:5,26, N:4,77. Получено (%): C:55,56, H:5,57, N:4,54. [Пример 85] Гидрохлорид N-(1-{2-[((2S)-1′-{2-[(2R)-4-[3,5-бис(трифторметил)бензоил]-2-(3,4-дихлорфенил)морфолин-2-ил]этил}-2,3-дигидроспиро[инден-1,4′-пиперидин]-2-ил)окси]ацетил}пиперидин-4-ил)ацетамида (иллюстративное соединение № 2-589, гидрохлорид) 1H-ЯМР спектр (400 МГц, CDCl3) Спектр ИК Масс-спектр (FAB) m/z: 883 (M+H)+, свободная форма) Элементный анализ (для C43H46Cl2F6N4O5 Вычислено (%): C:53,01, H:5,48, N:5,75. Получено (%): C:52,94, H:5,53, N:5,53. [Пример 86] Гидрохлорид 2-[((2S)-1′-{2-[(2R)-4-[3,5-бис(трифторметил)бензоил]-2-(3,4-дихлорфенил)морфолин-2-ил]этил}-2,3-дигидроспиро[инден-1,4′-пиперидин]-2-ил)окси]-N-(2-метоксиэтил)-N-метилацетамида (иллюстративное соединение № 2-465, гидрохлорид) 1Н-ЯМР спектр (400 МГц, CDCl3) Спектр ИК Масс-спектр (FAB) m/z: 830 (М+Н)+, свободная форма) Элементный анализ (для С40Н43Cl2F6N3O5·HCl) Вычислено (%): С:55,40, H:5,11, N:4,85. Получено (%): С:56,11, Н:5,79, N:4,38. [Пример 87] Гидрохлорид (2S)-2-[2-(4-ацетилпиперазин-1-ил)-2-оксоэтокси]-1 1Н-ЯМР спектр (400 МГц, CDCl3) Спектр ИК Масс-спектр (FAB) m/z: 869 (М+Н)+, свободная форма) Элементный анализ (для C42H44Cl2F6N4O5·HCl·3Н2О) Вычислено (%): С:52,54, Н:5,35, N:5,85. Получено (%): С:53,00, Н:5,35, N:5,50. [Пример 88] Гидрохлорид 2-[((2S)-1 1Н-ЯМР спектр (400 МГц, CDCl3) 1H-ЯМР спектр (400 МГц, CDCl3) Спектр ИК Масс-спектр (FAB) m/z: 874 (M+H)+, свободная форма) Элементный анализ (для C42H47Cl2F6N3O6 Вычислено (%): C:55,36, H:5,31, N:4,61. Получено (%): C:55,08, H:5,76, N:4,28. [Пример 89] 2-[((2S)-1′-{2-[(2R)-4-[3,5-бис(трифторметил)бензоил]-2-(3,4-дихлорфенил)морфолин-2-ил]этил}-2,3-дигидроспиро[инден-1,4′-пиперидин]-2-ил)окси]-N-(3-гидроксипропокси)-N-метилацетамид (иллюстративное соединение № 2-550) 1H-ЯМР спектр (400 МГц, CDCl3) Спектр ИК Масс-спектр (FAB) m/z: 846 (M+H)+, свободная форма) [Пример 90] Гидрохлорид 2-[((2S)-1′-{2-[(2R)-4-[3,5-бис(трифторметил)бензоил]-2-(3,4-дихлорфенил)морфолин-2-ил]этил}-2,3-дигидроспиро[инден-1,4′-пиперидин]-2-ил)окси]-N-(3-гидроксипропил)ацетамида (иллюстративное соединение № 2-410, гидрохлорид) 1H-ЯМР спектр (400 МГц, CDCl3) Спектр ИК Масс-спектр (FAB) m/z: 816 (M+H)+, свободная форма) Элементный анализ (для C39H41Cl2F6N3O5 Вычислено (%): C:54,91, H:4,96, N:4,93. Получено (%): C:56,56, H:6,03, N:4,30. [Пример 91] Гидрохлорид 2-[((2S)-1′-{2-[(2R)-4-[3,5-бис(трифторметил)бензоил]-2-(3,4-дихлорфенил)морфолин-2-ил]этил}-2,3-дигидроспиро[инден-1,4′-пиперидин]-2-ил)окси]-N-(4-гидрокси-4-метилпентил)-N-метилацетамида (иллюстративное соединение № 2-416, гидрохлорид) 1H-ЯМР спектр (400 МГц, CD3OD) Спектр ИК Масс-спектр (FAB) m/z: 872 ((M+H)+, свободная форма) Элементный анализ (для C43H49Cl2F6N3O5 Вычислено (%): C:56,80, H:5,54, N:4,62. Получено (%): C:57,38, H:6,16, N:4,29. [Пример 92] Гидрохлорид 3-(1-{[((2S)-1′-{2-[(2R)-2-(3,4-дихлорфенил)-4-(3,4,5-триметоксибензоил)морфолин-2-ил]этил}-2,3-дигидроспиро[инден-1,4′-пиперидин]-2-ил)окси]ацетил}пиперидин-4-ил)пропан-1-ола (иллюстративное соединение № 1-587, гидрохлорид) 1H-ЯМР спектр (400 МГц, CDCl3) Спектр ИК Масс-спектр (FAB) m/z: 838 ((M+H)+, свободная форма) Элементный анализ (для С45Н57Cl2N3О8·HCl·Н2О) Вычислено (%): С:60,50, Н:5,77, Cl:11,91, N:4,70. Получено (%): С:60,48, Н:6,72, Cl:11,85, N:4,55. [Пример 93] Гидрохлорид N-[4-(ацетиламино)бутил]-2-[((2S)-1 1Н-ЯМР спектр (400 МГц, CDCl3) Спектр ИК Масс-спектр (FAB) m/z: 885 ((М+Н)+, свободная форма) Элементный анализ (для С43Н48Cl3F6N3О6·Н2О) Вычислено (%): С:54,93, Н:5,47, Cl:11,31, F:12,12, N:5,96 Получено (%): С:54,84, Н:5,56, Cl:11,03, F:12,12, N:5,81 [Пример 94] Гидрохлорид 2-[((2S)-1 Спектр ИК Масс-спектр (FAB) m/z: 846 ((M+H)+, свободная форма) [Пример 95] Гидрохлорид 2-[((2S)-1′-{2-[(2R)-4-[3,5-бис(трифторметил)бензоил]-2-(3,4-дихлорфенил)морфолин-2-ил]этил}-2,3-дигидроспиро[инден-1,4′-пиперидин]-2-ил)окси]-N-метил-N-{4-[(метилсульфонил)амино]бутил}ацетамида (иллюстративное соединение № 2-569, гидрохлорид) 1H-ЯМР спектр (400 МГц, CDCl3) Спектр ИК Масс-спектр (FAB) m/z: 921 ((M+H)+, свободная форма) Элементный анализ (для C43H48Cl3F6N3O6 Вычислено (%): C:51,67, H:5,27, Cl:10,89, F:11,68, N:5,74, S:3,28 Получено (%): C:51,44, H:5,40, Cl:10,51, F:11,21, N:5,61, S:3,18
[Ссылочный пример] [Ссылочный пример 1] 1-{2-[(2R)-2-(3,4-Дихлорфенил)-4-[3,5-бис(трифторметил)бензоил]морфолин-2-ил]этил}спиро[(2S)-2-гидрокси]индан-1,4′-пиперидин] [Ссылочный пример 1a] 2-{(2R)-2-(3,4-Дихлорфенил)-4-[3,5-бис(трифторметил)бензоил]морфолин-2-ил}этанол метансульфонат В метиленхлориде (60 мл) растворяли 5,60 г (20,3 ммоль) 2-[(2R)-2-(3,4-дихлорфенил)морфолин-2-ил]этанола (описание патента США 6159967, пример 51(d)) и добавляли 2,83 мл (24,3 ммоль) триэтиламина. К смеси при охлаждении льдом добавляли 5,60 г (20,3 ммоль) 3,5-бис(трифторметил)бензоилхлорида и 248 мг (2,03 ммоль) 4-диметиламинопиридина и смесь перемешивали при комнатной температуре в течение 2 часов в атмосфере азота. К реакционной смеси добавляли воду и метиленхлоридный слой промывали водой и насыщенным раствором NaCl, и сушили над безводным сульфатом магния. После фильтрования растворитель отгоняли при пониженном давлении и остаток очищали хроматографией на колонке с силикагелем (элюирующий растворитель: гексан/этилацетат = 1/1) с получением 5,68 г (выход: 54%) 2-{(2R)-2-(3,4-дихлорфенил)-4-[3,5-бис(трифторметил)бензоил]морфолин-2-ил}этанола. В метиленхлориде (60 мл) растворяли 5,68 г (11 ммоль) полученной спиртовой формы и добавляли в атмосфере азота 2,3 мл (16,5 ммоль) триэтиламина. К смеси при охлаждении льдом добавляли 1,02 мл (13,2 ммоль) метансульфонилхлорида и смесь перемешивали при комнатной температуре в течение 30 минут в атмосфере азота. К реакционной смеси добавляли воду и метиленхлоридный слой промывали водой и насыщенным раствором NaCl, и сушили над безводным сульфатом магния. После фильтрования растворитель отгоняли при пониженном давлении и остаток очищали хроматографией на колонке с силикагелем (элюирующий растворитель: гексан/этилацетат=3/2) с получением 6,09 г (выход: 93%) указанного в заголовке соединения. 1H-ЯМР спектр (400 МГц, CDCl3) Масс-спектр (FAB+) m/z: 594 ((M+H)+) [Ссылочный пример 1b] 1-{2-[(2R)-2-(3,4-Дихлорфенил)-4-[3,5-бис(трифторметил)бензоил]морфолин-2-ил]этил}спиро[(2S)-2-гидрокси]индан-1,4′-пиперидин] В 1300 мл диметилацетамида растворяли 126 мг (212 ммоль) метансульфоната 2-{(2R)-2-(3,4-дихлорфенил)-4-[3,5-бис(трифторметил)бензоил]морфолин-2-ил}этанола, полученного в ссылочном примере 1a, и добавляли 26,7 г (318 ммоль) гидрокарбоната натрия, 52,8 г (318 ммоль) йодида калия и 43,1 г (212 ммоль) спиро[(2S)-2-гидрокси]индан-1,4′-пиперидин], затем смесь перемешивали при 80°C в течение 8 часов. К реакционной смеси добавляли воду и смесь дважды экстрагировали этилацетатом. Этилацетатный слой собирали и смесь промывали водой и насыщенным раствором NaCl, и сушили над безводным сульфатом натрия. После фильтрования растворитель отгоняли при пониженном давлении и остаток очищали хроматографией на колонке с силикагелем (элюирующий растворитель: этилацетат/метанол = 100/1) с получением 129 г (выход: 87%) указанного в заголовке соединения в виде аморфного твердого продукта. 1H-ЯМР спектр (500 МГц, CD3OD) Спектр ИК Масс-спектр (FAB) m/z: 701 ((M+H)+) Элементный анализ (для C34H32Cl2F6N2O3 Вычислено: C: 57,47, H: 4,68, Cl: 9,98, F: 16,04, N: 3,94 Найдено: C: 57,76, H: 4,63, Cl: 9,54, F: 15,78, N: 3,86 Оптическое вращение: [ [Примеры получения] [Пример получения 1] Порошок Порошок может быть получен путем смешивания в блендере 5 г соединения примера 1, 895 г лактозы и 100 г кукурузного крахмала. [Пример получения 2] Гранулы Смешивали 5 г соединения примера 3, 865 г лактозы и 100 г гидроксипропилцеллюлозы низкой степени замещения, затем добавляли 300 г 10% водного раствора гидроксипропилцеллюлозы и растирали. Затем таким образом замешанный продукт подвергали экструзии и гранулировали, используя гранулятор, потом сушили с получением гранул. [Пример получения 3] Таблетки В блендере смешивали 5 г соединения примера 5, 90 г лактозы, 34 г кукурузного крахмала, 20 г кристаллической целлюлозы и 1 г стеарата магния, затем придавали форму таблеток с помощью таблеточного пресса. [Пример получения 4] Жидкость для ингаляции 1 Жидкость получали таким образом, чтобы она содержала 10% (мас./мас.) соединения примера 6, 0,04% (мас./мас.) бензалконий хлорида, 0,40% (мас./мас.) фенетилового спирта и 89,56% (мас./мас.) очищенной воды. [Пример получения 5] Жидкость для ингаляции 2 Жидкость получали таким образом, чтобы она содержала 10% (мас./мас.) соединения примера 31, 0,04% (мас./мас.) бензалконийхлорида, 10% (мас./мас.) полиэтиленгликоля, 30% (мас./мас.) пропиленгликоля и 49,96% (мас./мас.) очищенной воды. [Пример получения 6] Порошок для ингаляции Порошок получали таким образом, чтобы он содержал 40% (мас./мас.) соединения примера 32 и 60% (мас./мас.) лактозы. [Пример получения 7] Аэрозоль Аэрозоль получали таким образом, чтобы она содержала 10% (мас./мас.) соединения примера 33, 0,5% (мас./мас.) лецитина, 34,5% (мас./мас.) хлорфторуглерода 11 и 55% (мас./мас.) хлорфторуглерода 12. [Тестовые примеры] [Тестовый пример 1] Тест связывания рецептора NK1 (in vitro) <Получение образца незрелой легочной мембраны> Образец легочной мембраны получали из легкого самца морской свинки Hartley. А именно, животное обескровливали через брюшную аорту под действием анестезии хлороформом, затем быстро иссекали легочную ткань и ткань респираторного тракта. На иссеченное легкое брызгали буфер Тканевые массы удаляли из гомогената путем фильтрования через нейлоновое сито (50 мкм), затем центрифугировали (30000 × g, 30 минут, 4°C). Затем полученный осадок вновь суспендировали в охлажденном на льду буфере Образец незрелой легочной мембраны хранили при -80°C перед использованием. <Тест связывания рецептора> 250 мкл жидкости образца незрелой легочной мембраны добавляли к 250 мкл смеси исследуемого вещества и [3H]-вещества P (окончательная концентрация: 1 нМ) (содержащее 50 мМ Трис-HCl, pH 7,4, 6 мМ хлорида марганца, 800 мкг/мл BSA, 8 мкг/мл химостатина, 8 мкг/мл лейпептина, 80 мкг/мл бацитрацина и 20 мкг/мл фосфорамидона), затем инкубировали при комнатной температуре в течение 30 минут. После реакции компонент мембраны выделяли на GF/B фильтре из стекловолокна (Whatman), используя автоматическую систему фильтрации (Brandel). Кроме того, фильтр из стекловолокна использовали после предварительной обработки в течение около 4 часов с 0,1% раствором полиэтиленимина для супрессии неспецифического связывания до низшего уровня. Используемый для получения мембранного компонента фильтр перемещали в пластиковый мини-сосуд, содержащий 4 мл Picoflow, затем измеряли радиоактивность с помощью жидкостного счетчика-сцинтилятора (Beckman, LSC3500). [Тестовый пример 2] Тест связывания рецептора NK2 (in vitro) <Получение образца незрелой мембраны подвздошной кишки> Образец незрелой мембраны получали из подвздошной кишки самца морской свинки Hartley. А именно, животное обескровливали через брюшную аорту под действием анестезии хлороформом, затем быстро иссекали подвздошную кишку. Иссеченную подвздошную кишку отделяли от содержимого полости, секрета и эпителия соскабливанием покровным стеклом и после нарезания на тонкие слои в буфере Тканевые массы удаляли из гомогената фильтрованием через нейлоновое сито (50 мкм), затем разделяли центрифугированием (30000 × g, 30 минут, 4°C). Затем полученный осадок вновь суспендировали в охлажденном на льду буфере Образец незрелой мембраны подвздошной кишки хранили при -80°C перед использованием. <Тест связывания рецептора> 250 мкл жидкости незрелой мембраны подвздошной кишки добавляли к 250 мкл смеси исследуемого вещества и [3H]-SR-48968 (Amersham, окончательная концентрация: 1 нМ) (содержащий 50 мМ Трис-HCl, pH 7,4, 6 мМ хлорид марганца, 800 мкг/мл BSA, 8 мкг/мл химостатина, 8 мкг/мл лейпептина, 80 мкг/мл бацитрацина и 20 мкг/мл фосфорамидона), затем инкубировали при комнатной температуре в течение 30 минут. После реакции компонент мембраны выделяли на GF/B фильтре из стекловолокна (Whatman), используя автоматическую систему фильтрации (Brandel). Кроме того, фильтр из стекловолокна использовали после предварительной обработки в течение около 4 часов с 0,1% раствором полиэтиленимина для супрессии неспецифического связывания до нижнего уровня. Используемый для задержания мембранного компонента фильтр перемещали в пластиковый минисосуд, содержащий 4 мл Picoflow, затем измеряли радиоактивность с помощью жидкостного счетчика-сцинтилятора (Beckman, LSC3500). [Тестовый пример 3] Ингибирующее действие в отношении повышенной проницаемости сосудов (in vivo, пероральное введение) Ингибирующее действие в отношении повышенной проницаемости сосудов может быть исследовано, используя количество выделяемого красителя как индикатор ингибирующего действия в отношении повышенной проницаемости сосудов, индуцируемой агентом рецептора NK1, субстанция P (SP), используя здоровых морских свинок (вес тела: около 400 г, самцы морских свинок Hartley). Краситель (Эванс голубой: 40 мг/кг внутривенно) вводили в бедренную вену морским свинкам под действием анестезии пентобарбиталом (30 мг/кг, в.в.), затем непосредственно выполняли внутривенную инъекцию SP (1 мкг/кг) для стимуляции повышения проницаемости сосудов. Через 15 минут морских свинок умерщвляли под действием анестезии хлороформом и количество выделяемого красителя со стороны главного бронха измеряли в соответствии со способом Harada (J. Pharm. Pharmacol. 23, 218 (1971)). Исследуемое вещество суспендировали в 0,5% суспензии трагаканта и вводили перорально за 1 час до испытания с помощью SP. Ингибирующее действие может быть определено, используя в качестве индикатора количество выделяемого красителя у морских свинок, которым вводили исследуемое вещество. [Тестовый пример 4] Ингибирующее действие в отношении сужения дыхательных путей (in vivo, пероральное введение) Ингибирующее действие в отношении сужения дыхательных путей исследовали, используя внутреннее давление дыхательных путей в качестве индикатора ингибирующих воздействий исследуемого вещества на сужение дыхательных путей, индуцируемого агентом рецептора NK2, нейрокинином A (NKA), используя здоровых морских свинок (вес тела: около 500 г, самцы морской свинки Hartley) в соответствии c вариацией способа Konzett-Roessler (Naunyn-Schmiedegergs Arch. Exp. Pathol. Pharmakol. 195, 71 (1940)). То есть, после имплантации трахеальной канюли морским свинкам под действием анестезии с пентобарбиталом (30 мг/кг, в.в.) и обработки галлаамином (20 мг/кг, внутривенно) быстро выполняли приточно-вытяжную вентиляцию (Ugo-Basile Biological Research Apparatus, номер в каталоге 7025) при 8 мл/кг и 60 раз/минута. Внутреннее давление дыхательных путей в процессе искусственной респирации записывали с помощью записывающего устройства (Nihon Koden, WT-645G или WT-685G) с усилением и повышением чувствительности (Nihon Koden, AP-601G) с помощью датчика давления (Nihon Koden, TP-200T или TP-400T), имплантированного к боковой ветви трахеальной канюли. Через пять минут после предварительной обработки атропином (1 мг/кг, внутривенно) и пропранололом (1 мг/кг, внутривенно) для стимуляции сужения дыхательных путей внутривенно вводили NKA из расчета 4 мкг/кг, затем измеряли внутреннее давление дыхательных путей в течение следующих 10 минут. Исследуемое вещество получали способом, который описан в тестовом примере 3, и вводили перорально за 1 час до испытания с помощью NKA. Ингибирующее действие может быть определено путем сравнения значений площади поверхности внутреннего давления дыхательных путей между группой, которой вводили дозу исследуемого вещества, и группой, которой не вводили такую дозу. [Тестовый пример 5] Тест связывания рецептора NK3 (in vitro) <Получение образца незрелой мембраны мозга> Образец незрелой мембраны получали из мозга самца морской свинки Hartley. А именно, самца морской свинки Hartley обескровливали через брюшную аорту под действием анестезии хлороформом и после разбрызгивания со стороны правого желудочка буфера <Тест связывания рецептора> Используемую в реакции пробирку предварительно обрабатывали буфером После инкубирования при комнатной температуре в течение 60 минут мембранный компонент выделяли на GF/B фильтре из стекловолокна (Whatman), предварительно обработанного в течение 4 часов или более 0,1% полиэтиленимином, используя автоматическую систему фильтрации (Brandel), и затем промывали три раза 5 мл охлажденного льдом буфера GF/B фильтр из стекловолокна с удерживаемым мембранным компонентом перемещали в пластиковый мини-сосуд, содержащий 4 мл Picoflow, затем измеряли радиоактивность с помощью жидкостного счетчика-сцинтилятора (Aloka, LSC3500). Исследование выполняли путем добавления избыточного количества senctide (окончательная концентрация: 10 мкМ), затем измеряли радиоактивность для определения радиоактивности, свойственной неспецифическому связыванию [3H]-senctide (связывание с сайтами, иными чем рецепторы (такие как фильтр)). Степень ингибирования связывания senctide-рецептора по исследуемому веществу определяли в соответствии со следующей формулой. Степень ингибирования (%) = [1-(C-A)/(B-A)] × 100 A: радиоактивность, соответствующая неспецифическому связыванию B: радиоактивность в тесте, который проводили без добавления исследуемого вещества C: радиоактивность в тесте, в котором добавляли исследуемое вещество [Тестовый пример 6] Ингибирующее действие в отношении повышенной васкулярной проницаемости (in vivo, введение через трахею) Исследуемое вещество растворяли в 5% водном растворе глюкозы и 0,5 мл/кг раствора вводили через трахею морским свинкам (вес тела: около 400 г, самец морской свинки Hartley), используя внутритрахеальный дозирующий прибор (1A-1B, Penn-Century) под действием анестезии пентобарбиталом (0,2-0,25 мл/организм, в.в.). Непосредственно после введения препарата, Эванс голубой (40 мг/2 мл/кг, внутривенно) и затем агониста рецептора NK1, вводили через бедренную (внутренняя сторона) вену вещество P (1 мкг/2 мл/кг, внутривенно). Через 15 минут после введения вещества P животных умерщвляли с помощью углекислого газа и иссекали из шеи около 2 см главного бронха. Иссеченный главный бронх погружали на период около 24 часов в 4 мл смеси 7:3 ацетона и 0,5% Na2SO4 для экстракта красителя, затем измеряли оптическую плотность (OD 620 нм) экстракта. Количество красителя преобразовывали, используя калибровочную кривую, и количество красителя, который выделился на 0,1 г трахеи, было взято для определения силы повышения васкулярной проницаемости, затем подсчитывали степень ингибирования относительно контроля (группа, которой вводили 5% раствор глюкозы через трахею). [Тестовый пример 7] Ингибирующее действие в отношении сужения дыхательного пути (in vivo, введение через трахею) Ингибирующее действие в отношении сужения дыхательного пути агонистом рецептора NK2, нейрокинина A (NKA) исследовали, используя внутреннее давление дыхательного пути в качестве индикатора у нормальных морских свинок (вес тела: около 500 г, самец морской свинки Hartley), используя вариации способа Konzett-Roessler (Naunyn-Schmiedebergs Arch. Exp. Pathol. Pharmakol. 195, 71 (1940)). Трахеальную канюлю и венную канюлю имплантировали морским свинкам под действием анестезии пентобарбитала (50 мг/мл жидкости, 0,40-0,50 мл/тело, подкожно). Затем артериальную канюлю, наполненную гепаринсодержащим физиологическим раствором (100 единиц/мл), имплантировали для мониторинга кровяного давления и сердечного ритма с помощью амплификатора и кардиографа непрерывного действия. После введения галламина (20 мг/кг, внутривенно) и нарушения самостоятельного дыхания быстро проводили приточно-вытяжную вентиляцию (Ugo-Basile Biological Research Apparatus, Cat. No. 7025) при 10 мл/кг и 60 раз/минута. Внутреннее давление дыхательных путей в процессе искусственной вентиляции легких регистрировали с помощью датчика давления (Nihon Koden, TP-200T или TP-400T), имплантированного в латеральную ветвь трахеальной канюли, усиливали (Nihon Koden, AP-601G) и записывали с помощью рекодера (Nihon Koden, WT-645G или WT-685G). После того как внутренне давление дыхательных путей, кровяное давление и сердечный ритм стабилизировались, для подтверждения ответной реакции дыхательных путей вводили стандартное суживающее трахеальное вещество метахолин при 10 мкг/кг (100 мкг/мл, 0,10 мл/кг). В случае, если ожидаемой ответной реакции сужения не было, то дополнительно вводили метахолин из расчета 12 мкг/кг (120 мкг/мл, 0,10 мл/кг), затем подтверждали ответную реакцию дыхательных путей. Через пять минут после подтверждения ответной реакции дыхательных путей внутривенно через внутривенную канюлю из расчета 4 мкг/кг для стимулирования ответной реакции дыхательных путей вводили NKA, затем измеряли внутреннее давление дыхательных путей в течение следующих 10 минут. Исследуемое вещество растворяли в 5% глюкозе и 0,5 мл/кг раствора вводили в дыхательный путь, используя прибор для внутритрахеального введения (1A-1B, Penn-Century). Величина поверхности, относительно которой внутреннее давление дыхательных путей повышали через 10 минут после введения NKA, получали для отображения силы NKA-индуцированного сужения дыхательных путей, а степень ингибирования вычисляли относительно контрольной группы (группа, которой вводили 5% раствор глюкозы через трахею). Степени ингибирования сужения дыхательных путей, когда предпочтительные соединения по настоящему изобретению вводили через 16 часов после введения NKA, показаны ниже.
Промышленная применимость Поскольку соединение, имеющее общую формулу (I), по настоящему изобретению или его фармакологически приемлемая соль демонстрируют антагонистическое действие в отношении нейрокининовых рецепторов (NK1, NK2 и NK3), имеют незначительную токсичность и превосходную фармакокинетику, оно может быть использовано в качестве фармацевтического препарата, и, в частности, может быть использовано в качестве профилактического или терапевтического агента при респираторных заболеваниях, таких как астма, бронхит и хронические обструктивные легочные заболевания; аллергические заболевания, такие как ринит; и/или, в частности, недержания мочи.
Формула изобретения
1. Соединение, представленное общей формулой (I): где R1 и R2 могут быть одинаковыми или различными и каждый представляет собой арильную группу, замещенную 1-3 группами, выбранными из группы заместителей R3 представляет собой любую из следующих групп: -CO-R4, -CO-O-R4, -CO-NH-R4, -CO-CH2-N(Ra)Rb, -(CH2)m-CO-R5, -(CH2)m-R, -CO-NH-CO-N(Ra)Rb, -CO-NH-SO2-N(Ra)Rb, -CO-NH-CO-(CH2)m-N(Ra)Rb и -CO-NH2; R4 представляет собой низшую алкильную группу, циклоалкильную группу, циклоалкильную группу, замещенную 1-3 группами, выбранными из группы заместителей R5 представляет собой гидроксильную группу, группу -OR4 или группу -N(Ra)Rb; Ra и Rb могут быть одинаковыми или различными и каждый представляет собой атом водорода, гидроксильную группу, низшую алкоксигруппу, гидрокси низшую алкоксигруппу, гидрокси низшую алкоксиалкильную группу, низшую алкокси низшую алкоксиалкильную группу, циано низшую алкильную группу, циано низшую алкоксиалкильную группу, карбокси низшую алкильную группу, карбокси низшую алкоксиалкильную группу, низшую алкоксикарбонил низшую алкоксиалкильную группу, карбамоил низшую алкильную группу, карбамоил низшую алкоксиалкильную группу, низшую алифатическую ациламино низшую алкильную группу, низшую алифатическую ациламино низшую алкоксиалкильную группу, низшую алкилсульфониламино низшую алкильную группу, низшую алкилсульфониламино низшую алкоксиалкильную группу, (N-гидрокси-N-метилкарбамоил) низшую алкильную группу, (N-гидрокси-N-метилкарбамоил) низшую алкоксиалкильную группу, (N-низшую алкокси-N-метилкарбамоил) низшую алкильную группу, (N-низшую алкокси-N-метилкарбамоил) низшую алкоксиалкильную группу или R4 или вместе, включая атом азота, к которому они присоединены, представляют собой азотсодержащую гетероциклическую группу или азотсодержащую гетероциклическую группу, замещенную 1-3 группами, выбранными из группы заместителей m равно целому числу от 1 до 6; А представляет собой карбонильную группу; В представляет собой прямую связь; D представляет собой атом кислорода; Е представляет собой С1-С4 алкиленовую группу; n равно целому числу от 1 до 3; и группа заместителей 2. Соединение или его фармакологически приемлемая соль по п.1, где R1 представляет собой фенил, замещенный 1-3 группами, выбранными из группы заместителей 3. Соединение или его фармакологически приемлемая соль по п.1, где R1 представляет собой фенил, замещенный 1-3 группами, выбранными из группы, включающей галоген низшие алкильные группы, низшие алкоксигруппы и гидроксильные группы. 4. Соединение или его фармакологически приемлемая соль по п.1, где R1 представляет собой фенил, замещенный 1-3 группами, выбранными из группы, включающей галоген низшие алкильные группы и низшие алкоксигруппы. 5. Соединение или его фармакологически приемлемая соль по п.1, где R1 представляет собой 3,5-бис(трифторметил)фенил или 3,4,5-триметоксифенил. 6. Соединение или его фармакологически приемлемая соль по п.1, где R2 представляет собой фенильную группу, замещенную 1 или 2 атомами галогена. 7. Соединение или его фармакологически приемлемая соль по п.1, где R представляет собой 3,4-дифторфенил или 3,4-дихлорфенил. 8. Соединение или его фармакологически приемлемая соль по п.1, где Е представляет собой этилен или триметилен. 9. Соединение или его фармакологически приемлемая соль по п.1, где n равно 1 или 2. 10. Соединение или его фармакологически приемлемая соль по п.1, где n равно 2. 11. Соединение или его фармакологически приемлемая соль по п.1, где R3 представляет собой -(CH2)m-CO-R5. 12. Соединение или его фармакологически приемлемая соль по п.1, где R3 представляет собой -CH2-CO-N(Ra)Rb. 13. Соединение или его фармакологически приемлемая соль по п.1, где один из Ra и Rb представляет собой атом водорода, низшую алкильную группу, гидроксильную группу или низшую алкоксигруппу, а другой представляет собой гидрокси низшую алкильную группу, гидрокси низшую алкоксиалкильную группу, карбокси низшую алкильную группу, карбокси низшую алкоксиалкильную группу, низшую алкоксикарбонил низшую алкильную группу или низшую алкоксикарбонил низшую алкоксиалкильную группу или Ra и Rb вместе, включая атом азота, к которому они присоединены, образуют азотсодержащую гетероциклическую группу или азотсодержащую гетероциклическую группу, замещенную 1-3 группами, выбранными из группы заместителей 14. Соединение или его фармакологически приемлемая соль по п.1, где – N(Ra)Rb представляет собой N-(3-гидроксипропил)-N-метиламино, N-(4-гидроксибутил)-N-метиламино, N-(5-гидроксипентил)-N-метиламино, N-(6-гидроксигексил)-N-метиламино, N-[2-(2-гидроксиэтокси)этил]-N-метиламино, N-(2-гидроксиэтил)-N-метоксиамино, N-(3-карбоксипропил)-N-метиламино, 2-(3-гидроксипропил)пирролидино, 4-гидроксиметилпиперидино, 4-(2-гидроксиэтил)пиперидино, 4-(3-гидроксипропил)пиперидино, 4-(2-гидроксиэтокси)пиперидино, 4-(гидроксиацетамидо)пиперидино, 4-(2-гидроксиэтоксиметил)пиперидино или 4-(2-гидроксиэтил)пиперазино. 15. Фармацевтическая композиция, обладающая антагонистической активностью в отношении тахикининовых рецепторов NK1, NK2 и/или NK3, содержащая в качестве активного компонента соединение или его фармакологически приемлемую соль по любому из пп.1-14. 16. Фармацевтическая композиция по п.15 для лечения или профилактики заболеваний, опосредованных NK1, NK2 и/или NK3 рецепторами. 17. Способ профилактики или лечения заболеваний, опосредованных NK1, NK2 и/или NK3 рецепторами, который включает введение млекопитающему эффективного количества соединения или его фармакологически приемлемой соли по любому из пп.1-14. 18. Способ по п.17, где млекопитающим является человек.
|
|||||||||||||||||||||||||||||||||||||||||||||||||||||||||||||||||||||||||||||||||||||||||||||||||||||||||||||||||||||||||||||||||||||||||||||||||||||||||||||||||||||||||||||||||||||||||||||||||||||||||||||||||||||||||||||||||||||||||||||||||||||||||||||||||||||||||||||||||||||||||||||||||||||||||||||||||||||||||||||||||||||||||||||||||||||||||||||||||||||||||||||||||||||||||||||||||||||||||||||||||||||||||||||||||||||||||||||||||||||||||||||||||||||||||||||||||||||||||||||||||||||||||||||||||||||||||||||||||||||||||||||||||||||||||||||||||||||||||||||||||||||||||||||||||||||||||||||||||||||||||||||||||||||||||||||||||||||||||||||||||||||||||||||||||||||||||||||||||||||||||||||||||||||||||||||||||||||||||||||||||||||||||||||||||||||||||||||||||||||||||||||||||||||||||||||||||||||||||||||||||||||||||||||||||||||||||||||||||||||||||||||||||||||||||||||||||||||||||||||||||||||||||||||||||||||||||||||||||||||||||||||||||||||||||||||||||||||||||||||||||||||||||||||||||||||||||||||||||||||||


; R3 представляет собой любую из следующих групп: -CO-R4, -CO-O-R4, -CO-NH-R4, -CO-CH2-N(Ra)Rb, -(CH2)m-CO-R5, -(CH2)m-R5, -CO-NH-CO-N(Ra)Rb, -CO-NH-SO2-N(Ra)Rb, -CO-NH-CO-(CH2)m-N(Ra)Rb, и -CO-NH2; R4 представляет собой низшую алкильную группу, циклоалкильную группу, циклоалкильную группу, замещенную 1-3 группами, выбранными из группы заместителей 












м.д.: 8,45-8,01 (3H, м), 7,85-7,12 (7H, м), 5,43 (1H, ушир.с), 4,56 (2H, ушир.с), 4,21-1,62 (24H, м).
max см-1 (KBr): 2961, 1748, 1646, 1474, 1439, 1376, 1282, 1186, 1137, 905, 681.
2HCl)
-{2-[(2R)-4-[3,5-бис(трифторметил)бензоил]-2-(3,4-дихлорфенил)морфолин-2-ил]этил}-2,3-дигидроспиро[инден-1,4
(буфер
(буфер 