|
|
(21), (22) Заявка: 2004133764/04, 16.04.2003
(24) Дата начала отсчета срока действия патента:
16.04.2003
(30) Конвенционный приоритет:
18.04.2002 (пп.1-20) US 60/373,731
(43) Дата публикации заявки: 20.07.2005
(46) Опубликовано: 10.05.2008
(56) Список документов, цитированных в отчете о поиске:
US 6211199 B1, 03.04.2001. ЕР 0580541 A1, 26.01.1994. Janssens F. et al, Journal of Medicinal Chemistry, 1985, 28 (12), p. 1943-1947. WO 0224659 A2, 28.03.2002. ЕР 0626373 A1, 30.11.1994. RU 2035461 С1, 20.05.1995. RU 99125208 А, 20.10.2001.
(85) Дата перевода заявки PCT на национальную фазу:
18.11.2004
(86) Заявка PCT:
US 03/11672 (16.04.2003)
(87) Публикация PCT:
WO 03/088967 (30.10.2003)
Адрес для переписки:
105064, Москва, ул. Казакова,16, НИИР Канцелярия “Патентные поверенные Квашнин, Сапельников и партнеры”, В.П.Квашнину
|
(72) Автор(ы):
ЗЕНГ Квингбей (US), ЭСЛЕЙНИАН Роберт Дж. (US), БЕРЛИН Майкл И. (US), БОЙС Кристофер В. (US), КАО Янхуа (US), КОЗЛОВСКИ Джозеф А. (US), МЭНДЖАРАЧИНА Пьетро (US), МАК КОРМИК Кевин Д. (US), МУТАХИ Мванж В. (US), РОЗЕНБЛЮМ Стюарт Б. (US), ШИХ Ненг-Янг (US), СОЛОМОН Дэниел М. (US), ТОМ Уинг Ц. (US)
(73) Патентообладатель(и):
ШЕРИНГ КОРПОРЕЙШН (US)
|
(54) ПРОИЗВОДНЫЕ БЕНЗИМИДАЗОЛА, ИХ ПРИМЕНЕНИЕ И ФАРМАЦЕВТИЧЕСКАЯ КОМПОЗИЦИЯ НА ИХ ОСНОВЕ, ОБЛАДАЮЩАЯ СВОЙСТВАМИ АНТАГОНИСТА РЕЦЕПТОРА ГИСТАМИНА H3
(57) Реферат:
Изобретение относится к новым соединениям формулы I

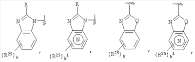
или его фармацевтически приемлемой соли или же сольвату, где пунктирная линия означает возможную дополнительную связь, а означает числа от 0 до 2, b означает числа от 0 до 2, n означает 2, р означает 2, r означает 1, М1 означает атом азота, М2 означает C(R3), X означает связь или алкиленовую группу с числом атомов углерода от одного до шести, Y означает группу -С(O)-, Z означает связь, алкиленовую группу с числом атомов углерода от одного до шести, алкениленовую группу с числом атомов углерода от одного до шести, группу -С(O)-, -CH(CN)-, -SO2– или CH2C(O)NR4-, R1 означает группы

R2 означает шестичленное гетероарильное кольцо с одним или двумя гетероатомами, выбираемыми независимо друг от друга из атома азота или группы N-O, при этом остающиеся атомы в цикле представлены атомами углерода, пятичленное гетероарильное кольцо с одним, двумя, тремя или четырьмя гетероатомами, выбираемыми независимо друг от друга из атома азота, кислорода или серы, при этом остающиеся атомы в цикле представлены атомами углерода, R32-замещенную хинолинильную группу, R32-замещенную арильную группу, гетероциклоалкильную группу, циклоалкильную группу с числом атомов углерода от трех до шести, алкильную группу с числом атомов углерода от одного до шести, группу

где названное шестичленное гетероарильное кольцо или названное пятичленное гетероарильное кольцо может нести заместитель R6, R12 независимо от других выбирают из группы, состоящей из алкильной группы с числом атомов углерода от одного до шести, гидроксильной группы или атома фтора, при этом в случае, когда R12 означает гидроксильную группу или атом фтора, остаток R12 не может быть связан с атомом углерода, соединенным с атомом азота, или два заместителя R12 образуют алкильный мостик с числом атомов углерода от одного до двух, направленный от одного атома углерода в кольце к другому, не соседствующему с ним атому углерода в кольце, R13 независимо от других выбирают из группы, состоящей из алкильной группы с числом атомов углерода от одного до шести, гидроксильной группы, алкоксигруппы с числом атомов углерода от одного до шести или атома фтора, при этом в случае, когда R13 означает гидроксильную группу или атом фтора, остаток R13 не может быть связан с атомом углерода, соединенным с атомом азота, или два заместителя R13 образуют алкильный мостик с числом атомов углерода от одного до двух, направленный от одного атома углерода в кольце к другому, не соседствующему с ним атому углерода в кольце, а значение остальных переменных структурных элементов приведено в описании. Изобретение относится также к фармацевтическим композициям и к применению соединений формулы I. Технический результат – получение новых биологически активных соединений, фармацевтических композиций и применение соединений формулы I, обладающих свойствами антагониста рецептора гистамина Н3. 3 н. и 17 з.п. ф-лы.
Текст описания приведен в факсимильном виде.                                                                                                                                                         
Формула изобретения
1. Соединение, представленное структурной формулой

или его фармацевтически приемлемая соль, или же сольват,
где пунктирная линия означает возможную дополнительную связь;
а означает числа от 0 до 2;
b означает числа от 0 до 2;
n означает 2;
p означает 2;
r означает 1;
М1 означает атом азота;
М2 означает C(R3);
Х означает связь или алкиленовую группу с числом атомов углерода от одного до шести;
Y означает группу -С(O)-;
Z означает связь, алкиленовую группу с числом атомов углерода от одного до шести, алкениленовую группу с числом атомов углерода от одного до шести, группу -С(O)-, -CH(CN)-, -SO2– или CH2C(O)NR4-;
R1 означает группы

Q означает группу -N(R8)-, атом серы или кислорода;
k означает 0, 1, 2, 3 или 4;
k1 означает 0, 1, 2 или 3;
R означает атом водорода, алкильную группу с числом атомов углерода от одного до шести, галогензамещенную алкильную группу с числом атомов углерода от одного до шести, алкоксигруппу с числом атомов углерода от одного до шести, алкилтиогруппу с числом атомов углерода от 1 до 6, алкоксиалкильную группу с числом атомов углерода и в алкоксильном и в алкильном остатке от одного до шести, алкоксиалкоксильную группу с числом атомов углерода от одного до шести в обоих алкоксильных остатках, R32-арил(С1-С6)алкоксигруппу, R32-арил(С1-С6)алкильную группу, R32-замещенную арильную группу, R32-замещенную арилоксигруппу, гетероарил, R32-замещенную гетероарильную группу, циклоалкильную группу с числом атомов углерода от трех до шести, циклоалкилалкильную группу с числом атомов углерода в циклоалкильном остатке от трех до шести и в алкильном остатке от одного до шести, циклоалкилалкоксильную группу с числом атомов углерода в циклоалкильном остатке от трех до шести и в алкоксильном остатке от одного до шести, циклоалкилоксигруппу с числом атомов углерода от трех до шести, R37-замещенную гетероциклоалкильную группу, R37-замещенную гетероциклоалкилоксигруппу, R37-гетероциклоалкил-(С1-С6)-алкоксигруппу, группу N(R30)(R31)-(C1-C6)алкил-, -N(R30)(R31), алкоксиалкиламиногруппу с числом атомов углерода и в алкоксильном и в алкильном остатке от одного до шести, группу -NHC(O)NH(R29), R29-S(O)0-2-, галогензамещенную группу (C1-С6)-алкил-S(O)0-2-, группу N(R30)(R31)-(Cl-C6)алкил-S(O)0-2– или бензоильную группу,
R8 означает атом водорода, алкильную группу с числом атомов углерода от одного до шести, галогензамещенную алкильную группу с числом атомов углерода от одного до шести, алкоксиалкильную группу с числом атомов углерода и в алкоксильном и в алкильном остатке от одного до шести, R32-замещенную арильную группу, R32-замещенную гетероарильную группу,
R2 означает шестичленное гетероарильное кольцо с одним или двумя гетероатомами, выбираемыми независимо друг от друга из атома азота или группы N-O, при этом остающиеся атомы в цикле представлены атомами углерода, пятичленное гетероарильное кольцо с одним, двумя, тремя или четырьмя гетероатомами, выбираемыми независимо друг от друга из атома азота, кислорода или серы, при этом остающиеся атомы в цикле представлены атомами углерода, R32-замещеную хинолинильную группу, R32-замещенную арильную группу, гетероциклоалкильную группу, циклоалкильную группу с числом атомов углерода от трех до шести, алкильную группу с числом атомов углерода от одного до шести, группу

где названное шестичленное гетероарильное кольцо или названное пятичленное гетероарильное кольцо может нести заместитель R6,
R3 означает атом водорода, галогена, алкильную группу с числом атомов углерода от одного до шести,
R4 независимо от других выбирают из группы, состоящей из атома водорода, алкильной группы с числом атомов углерода от одного до шести,
R5 означает атом водорода, алкильную группу с числом атомов углерода от одного до шести,
R4 и R5 вместе с атомом азота, к которому они присоединены, образуют пиперидинильный или морфолинильный цикл,
R6 означает от одного до трех заместителей, выбираемых независимо друг от друга из группы, состоящей из гидроксильной группы, атомов галогенов, алкильной группы с числом атомов углерода от одного до шести, алкоксигруппы с числом атомов углерода от одного до шести, алкилтиольной группы с числом атомов углерода от одного до шести, трифторметильной группы, группы -NR4R5, -CH2-NR4R5, -NHSO2R22, -N(SO2R22)2, нитро-группы,
R7 означает группу -N(R29)-,
R12 независимо от других выбирают из группы, состоящей из алкильной группы с числом атомов углерода от одного до шести, гидроксильной группы или атома фтора, при этом в случае когда R12 означает гидроксильную группу или атом фтора, остаток R12 не может быть связан с атомом углерода, соединенным с атомом азота, или два заместителя R12 образуют алкильный мостик с числом атомов углерода от одного до двух, направленный от одного атома углерода в кольце к другому, не соседствующему с ним атому углерода в кольце,
R13 независимо от других выбирают из группы, состоящей из алкильной группы с числом атомов углерода от одного до шести, гидроксильной группы, алкоксигруппы с числом атомов углерода от одного до шести или атома фтора, при этом в случае когда R13 означает гидроксильную группу или атом фтора, остаток R13 не может быть связан с атомом углерода, соединенным с атомом азота, или два заместителя R13 образуют алкильный мостик с числом атомов углерода от одного до двух, направленный от одного атома углерода в кольце к другому, не соседствующему с ним атому углерода в кольце,
R22 означает алкильную группу с числом атомов углерода от одного до шести,
R25 независимо от других выбирают из группы, состоящей из алкильной группы с числом атомов углерода от одного до шести, атомов галогенов, трифторметильной, гидроксильной группы, алкоксигруппы с числом атомов углерода от одного до шести, алкилкарбонильной группы с числом атомов углерода в алкильном остатке от одного до шести, R22-S(O)0-2-,
R29 означает атом водорода, алкильную группу с числом атомов углерода от одного до шести, R35-замещенную арильную группу или R35-замещенную арилалкильную группу с числом атомов углерода в алкильном остатке от одного до шести,
R30 означает атом водорода, алкильную группу с числом атомов углерода от одного до шести,
R31 означает атом водорода, алкильную группу с числом атомов углерода от одного до шести,
R32 означает от одного до трех заместителей, независимо друг от друга выбираемых из группы, состоящей из атома водорода, гидроксильной группы, атомов галогенов, алкильной группы с числом атомов углерода от одного до шести, алкоксигруппы с числом атомов углерода от одного до шести, трифторметильной группы, группы -NR39R40, фенильной группы, R35-замещенной фенильной группы, нитрогруппы, -S(O)2R22,
R33 означает от одного до трех заместителей, выбираемых независимо друг от друга из группы, состоящей из алкильной группы с числом атомов углерода от одного до шести, атомов галогенов,
R35 означает от одного до трех заместителей, выбираемых независимо друг от друга из атомов водорода, галогенов,
R37 означает от одного до трех заместителей, выбираемых независимо друг от друга из атомов водорода, галогенов, алкильной группы с числом атомов углерода от одного до шести, гидроксигруппы, алкоксигруппы с числом атомов углерода от одного до шести, трифторметильной группы, группы -N(R36)2, где R36 независимо выбирают из группы, включающей водород и алкил с числом атомов углерода от одного до шести;
R39 означает атома водорода,
R40 означает атом водорода.
2. Соединение по п.1, где М1 означает атом азота, а означает 0, n означает 2, а возможная дополнительная связь отсутствует.
3. Соединение по п.2, где М2 означает группу C(R3), где R3 означает атом водорода или фтора и b означает 0.
4. Соединение по п.3, где Х означает связь.
5. Соединение по п.1, где Z означает линейную или разветвленную алкиленовую группу с числом атомов углерода от одного до трех.
6. Соединение по п.5, где R2 означает незамещенное или замещенное заместителем R6 шестичленное гетероарильное кольцо.
7. Соединение по п.6, где R2 означает пиримидильную, R6-замещенную пиримидильную группу, пиридильную, R6-замещенную пиридильную группу или пиридазинильную группу и R6 означает аминогруппу.
8. Соединение по п.7, где R2 означает группу

9. Соединение по п.2, где R1 означает группу

10. Соединение по п.9, где R означает алкильную группу с числом атомов углерода от одного до шести, алкоксигруппу с числом атомов углерода от одного до шести, алкоксиалкоксильную группу с числом атомов углерода в обоих алкоксильных остатках от одного до шести, алкилтиогруппу с числом атомов углерода от одного до шести, гетероарильную группу или R32-замещенную арильную группу, R25 означает атом галогена или трифторметильную группу, a k и k1 означают 0 или 1.
11. Соединение по п.10, где R означает метальную, этильную группу, метоксигруппу, этоксигруппу, пропоксигруппу, изопропоксигруппу, метилтио-, этилтиогруппу, пиридильную, пиримидильную, пиразинильную, фуранильную, оксазолильную группу или R32-замещенную фенильную группу.
12. Соединение по п.11, где R2 означает группу

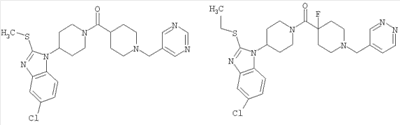
13. Соединение по п.1, выбираемое из группы, состоящей из

 


 
14. Фармацевтическая композиция, обладающая свойствами антагониста рецептора гистамина Н3, включающая эффективное количество соединения по п.1 и фармацевтически эффективный носитель.
15. Фармацевтическая композиция по п.14, отличающая тем, что она дополнительно включает эффективное количество антагониста H1-рецептора.
16. Фармацевтическая композиция по п.15, отличающаяся тем, что в качестве антагониста H1-рецептора содержит соединение из группы, включающей астемизол, азатадин, азеластин, акривастин, бромфенирамин, цетиризин, хлорфенирамин, клемастин, циклизин, каребастин, ципрогептадин, карбиноксамин, дескарбоэтоксилоратадин, дифенгидрамин, доксиламин, диметинден, эбастин, эпинастин, эфлетиризин, фексофенадин, гидроксизин, кетотифен, лоратадин, левокабастин, меклизин, мизоластин, меквитазин, миансерин, ноберастин, норастемизол, пикумаст, пириламин, прометазин, терфенадин, трипеленнамин, темеластин, тримепразин и трипролидин.
17. Фармацевтическая композиция по п.16, отличающаяся тем, что в качестве антагониста Н1-рецептора содержит лоратадин или дезкарбоэтоксилоратадин.
18. Применение соединения по п.1 для получения лекарственного средства для лечения аллергии, аллергической реакции в дыхательных путях, застойных явлений, гипотензии, сердечно-сосудистых заболеваний, заболеваний желудочно-кишечного тракта или ожирения.
19. Применение соединения по п.18, при котором для лечения аллергии, аллергической реакции в дыхательных путях и застойных явлений дополнительно применяют антагонист H1-рецептора.
20. Применение по п.19, где названный антагонист Н1-рецептора выбирают из астемизола, азатадина, азеластина, акривастина, бромфенирамина, цетиризина, хлорфенирамина, клемастина, циклизина, каребастина, ципрогептадина, карбиноксамина, дескарбоэтоксилоратадина, дифенгидрамина, доксиламина, диметиндена, эбастина, эпинастина, эфлетиризина, фексофенадина, гидроксизина, кетотифена, лоратадина, левокабастина, меклизина, мизоластина, меквитазина, миансерина, ноберастина, норастемизола, пикумаста, пириламина, прометазина, терфенадина, трипеленнамина, темеластина, тримепразина или трипролидина.
TK4A – Поправки к публикациям сведений об изобретениях в бюллетенях “Изобретения (заявки и патенты)” и “Изобретения. Полезные модели”
Напечатано: (57) 11. Соединение по п. 10, где R означает метальную группу,…
Следует читать: (57) 11. Соединение по п. 10, где R означает метильную группу,…
Номер и год публикации бюллетеня: 13-2008
Код раздела: FG4A
Извещение опубликовано: 10.12.2008 БИ: 34/2008
TK4A – Поправки к публикациям сведений об изобретениях в бюллетенях “Изобретения (заявки и патенты)” и “Изобретения. Полезные модели”
Напечатано: 13. … …
Следует читать: 13. … …
Номер и год публикации бюллетеня: 13-2008
Код раздела: FG4A
Извещение опубликовано: 10.12.2008 БИ: 34/2008
|
|