|
|
(21), (22) Заявка: 2006127735/13, 01.08.2006
(24) Дата начала отсчета срока действия патента:
01.08.2006
(46) Опубликовано: 20.04.2008
(56) Список документов, цитированных в отчете о поиске:
RU 2254032 С2, 20.06.2005. WO 2005047304 А2, 26.05.2005. DE 10215055, 30.10.2003. CA 2381967, 15.02.2001. RU 2192879 C1, 20.11.2002.
Адрес для переписки:
119034, Москва, Пречистенский пер., 14, стр.1, 4 этаж, “Гоулингз Интернэшнл Инк.”, В.Н.Дементьеву
|
(72) Автор(ы):
Каплун Александр Петрович (RU), Балакшин Владимир Владимирович (RU), Чистяков Алексей Николаевич (RU)
(73) Патентообладатель(и):
ОБЩЕСТВО С ОГРАНИЧЕННОЙ ОТВЕТСТВЕННОСТЬЮ “БЕРЕЗОВЫЙ МИР” (RU)
|
(54) КОМПОЗИЦИЯ БИОЛОГИЧЕСКИ АКТИВНЫХ ВЕЩЕСТВ И СПОСОБ ПОЛУЧЕНИЯ НАНОДИСПЕРСИИ ЕЕ
(57) Реферат:
Изобретение относится к композиции биологически активных веществ, которая может использоваться как биологически активная добавка к пище. Композиция биологически активных веществ получена экстракцией бересты и содержит, мас.%: бетулин 65-71, лупеол 12-16, 3-O-кофеат бетулина 5-15 и сопутствующие вещества – остальное. Предложен также способ получения нанодисперсии вышеуказанной композиции. Изобретение позволяет повысить биодоступность содержащихся в композиции активных веществ. 3 н. и 5 з.п. ф-лы, 9 ил., 1 табл.
Область техники
Изобретение относится к композиции биологически активных веществ, которая может использоваться как биологическая добавка к пище, а также в профилактике и лечении ряда заболеваний людей и животных. Более конкретно оно относится к биоактивным композициям, полученным из натуральных продуктов растительного происхождения.
Уровень техники
Ценность, в том числе и терапевтическая, питательных добавок (нутрицевтиков или биологически активных добавок БАД) неопровержимо доказана большим количеством научных данных. Благодаря содержанию в малом объеме комплекса ежедневно необходимых человеку веществ растительного, животного и минерального происхождения, они не только служат средством балансировки рациона, но и становятся безопасной заменой многих лекарств либо защитниками организма от побочных воздействий лекарств.
В народной медицине с незапамятных времен в качестве источников растительного происхождения биологически активных веществ использовалась береза, а со второй половины 19 века началось научное изучение, в частности, таких содержащихся в белой части коры березы (бересте) веществ как бетулин и бетулиновая кислота.
К настоящему времени опубликованы положительные результаты по более чем 20 видам биологической активности бетулина и более 10 бетулиновой кислоты.
Наиболее близким аналогом (прототипом) настоящего изобретения является патент Российской Федерации №2254032. Он относится к композиции – смеси биологически активных веществ, полученных экстракцией бересты, включающей, в мас.%: бетулин в количестве 71-78%, бетулиновую кислоту в количестве 3-10% и сопутствующие вещества в количестве 12-26%. В качестве сопутствующих веществ в композиции могут присутствовать лупеол, овеол, ацетат бетулина, олеаноновая кислота, а также смеси указанных веществ.
Недостатком известной композиции является низкая растворимость в воде, обусловленная склонностью входящих в нее веществ, в первую очередь бетулина, к образованию в насыщенном растворе крупных кристаллов (растворимость бетулина в воде не превышает 1 мкг/мл). Плохая растворимость влечет за собой пониженную биодоступность композиции.
Сущность изобретения.
Задачей настоящего изобретения является создание композиции биологически активных веществ, получаемых экстракцией бересты, лишенной указанного недостатка, то есть переводимой в водорастворимую форму. В данном случае термин «водорастворимая форма» означает нанодисперсию с таким размером частиц, который приемлем для внутрисосудистого введения.
Другой задачей настоящего изобретения является создание композиции биоактивных веществ, которая ввиду указанного преимущества может использоваться для последующего изготовления на ее основе лекарственных средств, которые могут вводиться не только перорально, но и иным путем, например инъекционно.
Другим аспектом настоящего изобретения является создание способа получения композиции биологически активных веществ в виде наносуспензии.
Композиция биологически активных веществ согласно настоящему изобретению включает в себя, мас.%:
| бетулин |
65-71 |
| лупеол |
12-16 |
| 3-O-кофеат бетулина |
5-15 |
| сопутствующие вещества |
остальное до 100% |
Основным отличием композиции согласно настоящему изобретению от прототипа является наличие в ней соединения 3-O-кофеата бетулина (далее для краткости «кофеат бетулина», другие менее употребляемые названия этого вещества – 3-O-кофеоилбетулин и 3-O-(3,4-дигидроксициннамоил)бетулин. Как показали исследования авторов настоящего изобретения (описываемые далее), именно наличие этого вещества в композиции позволило получить ее в водорастворимой форме, в форме нанодисперсий.
Исследования показали, что смеси, содержащие кофеат бетулина, в отличие от композиций, не содержащих его или содержащих в незначительных количествах, образуют стабильные нанодисперсии, причем увеличение содержания кофеата бетулина приводит к уменьшению размера частиц. Дисперсии со значительным содержанием кофеата бетулина (5 и более процентов) по данным электронной микрографии состоят в основном из сферических частиц диаметром от 30 до 300 нм. Смеси, содержащие меньше кофеата бетулина или не содержащие вовсе, в тех же условиях образуют кристаллы разнообразной формы с размерами более 1 мкм, склонные к агрегации. Наиболее совершенные дисперсии с наименьшим размером частиц образует чистый кофеат бетулина.
Способствуют достижению указанного технического результата – увеличению растворимости композиции и уменьшению по сравнению с прототипом содержания бетулина, обладающего, как указано выше, способностью образования крупных, плохо растворимых кристаллов. Важно отметить, что при заявляемом содержании бетулина в композиции (от 65 до 71 мас.%) она не утрачивает своей биологической активности.
Другим объектом настоящего изобретения является способ получения композиции биологически активных веществ в виде нанодисперсии, согласно которому композицию растворяют в органическом растворителе, прибавляют к раствору воду при соотношении вода:раствор около 25:1 и энергично перемешивают раствор и воду с последующим удалением растворителя и основной части воды.
При этом получаются нанодисперсии с размером частиц 20-200 нм в концентрациях до 1,5 мг/мл или выше.
Раскрытие изобретения.
Кора березы сегодня используется для получения ценных биологически активных веществ. Из наружного слоя коры березы (бересты) в 1788 году русский химик и фармацевт, академик Ловиц Т.Е. выделил вещество, названное позднее «бетулин» (бетулинол – тритерпеновый спирт). Именно бетулин является защитным веществом дерева и окрашивает его ствол в белый цвет.
Целебные свойства этого природного соединения далеко еще не познаны медициной. Интерес к этому уникальному биологически активному и малотоксичному веществу российских и зарубежных ученых только возрастает (Семенченко, 1993, Кожевников, 1955, Eckerman, 1985, Wheeler, 1899, Sheth, 1973, Fugioka, 1994, Дьячук, 2000 и др.).
Специалисты Российской компании «Березовый мир» создали промышленную установку и новую технологию по получению экстракта из коры березы. Полученный продукт «Бересты экстракт сухой» (БЭС) представляет собой сумму природных тритерпеновых соединений, основным из которых является бетулин, с содержанием его в экстракте около 70%.
Проведенные исследования показали высокую активность экстракта, обусловленную содержанием в экстракте суммы природных тритерпеновых соединений.
В таблице 1 показаны виды биологической и терапевтической активностей, обнаруженных и исследовавшихся у БЭС.
| Таблица 1 |
| № п/п |
Активность |
НИИ, проводившие исследования |
Патенты, полученные в РФ |
| 1 |
адаптогенная |
ВНИИ лекарственных и ароматических растений (ВИЛАР). ВНИИ физкультуры и спорта. |
№2240799 |
| 2 |
антиоксидантная |
ВНИИ лекарственных и ароматических растений (ВИЛАР). ГУ НИИ наркологии РФ, Клиника ГУ НИИ питания РАМН. |
|
| 3 |
антигипоксантная |
Центр по химии лекарственных средств (ФГУП ЦХЛС – ВНИХФИ). |
№2252773 |
| 4 |
антимутагенная |
НИИ фармакологии РАМН. |
№2266128 |
| 5 |
гепатопротекторная |
ВНИИ лекарственных и ароматических растений (ВИЛАР). 1-ая инфекционная б-ца г.Москвы, С.Пб.ГМА им И.И.Мечникова. Кафедра внутренних болезней Рязанский ГМУ им акад. И.П.Павлова, кафедра онкологии с курсом лучевой диагностики ЦНИИ туберкулеза РАМН. |
|
| 6 |
гиполипидемическая |
Клиника ГУ НИИ питания РАМН. |
|
| 7 |
противовоспалительная |
НИИ фармакологии РАМН |
|
| 8 |
иммуномодуляторная |
ВНИИ лекарственных и ароматических растений (ВИЛАР). |
|
| |
|
Центр по химии лекарственных средств (ФГУП ЦХЛС – ВНИХФИ) НИИ вирусологии им. Д.И.Ивановского. РАМН ЦНИИ туберкулеза РАМН. |
|
| 9 |
противоаллергическая |
НИИ фармакологии РАМН. |
|
| 10 |
ноотропная |
НИИ фармакологии РАМН. |
|
| 11 |
противовирусная |
НИИ вирусологии им. Д.И.Ивановского РАМН. Центр по химии лекарственных средств (ФГУП ЦХЛС-ВНИХФИ). |
№2244554 №2252774 №2264820 №2252775 |
| 12 |
противобактериальная |
ЦНИИ туберкулеза РАМН. |
№2262349 |
Вместе с тем, была выявлена крайне плохая растворимость БЭС в воде, что затрудняет его использование в качестве лекарственного препарата, уменьшает его эффективность как БАД. Поэтому создание водорастворимой формы БЭС весьма актуально, так как должно привести к увеличению его биодоступности.
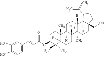
В составе БЭС кроме бетулина, бетулиновой кислоты и лупеола как основных тритерпеновых соединений, определяющих его биологическую активность, в процессе исследований авторами настоящего изобретения было обнаружено присутствие химического соединения, которое было идентифицировано ими как 3-O-(3,4-дигидроксициннамоил)бетулин (далее кофеат бетулина), являющийся сложным эфиром бетулина и кофейной (3,4-дигидрокси-транс-коричной) кислоты. Он имеет химическую формулу

На фиг.1 представлен 1H-ЯМР спектр (CDCl3, 400 МГц) кофеата бетулина, на фиг.2 – то же его фрагмента в алифатической части, на фиг.3 – то же его фрагмента в ароматической части, на фиг.4 – электронный спектр кофеата бетулина в этаноле с=1,66×10-4M, на фиг.5 – хроматограмма кофеата бетулина, выделенного из БЭС колоночной хроматографией на силикагеле, на фиг.6 – масс-спектр кофеата бетулина.
Кофеат бутулина отличается от других компонентов композиции (бетулина и лупеола) меньшей хроматографической подвижностью (то есть, вероятно, наличием дополнительных полярных групп) и интенсивным поглощением в УФ-диапазоне, характерным для ароматических и гетероароматических соединений.
1H-ЯМР спектр этого вещества (фиг.1) свидетельствует, что оно имеет в качестве фрагмента бетулин. Количество метильных групп и их химический сдвиг, характерный сигнал концевой двойной связи в положении 28 (4.57 и 4.67 м.д.), а также общий вид спектра показывает, что алифатическая часть молекулы представляет собой остаток бетулина (фиг.2). Так, сигналы протонов при С28 (3.81 и 3.34 м.д.) практически совпадают с сигналами аналогичных протонов в бетулине (3.78, 3.31 м.д.), а сигнал протона при С3 сдвинут (4.57 м.д.) в область сильного поля по сравнению с бетулином (3.17 м.д.), что дает основание предположить, что гидроксильная группа при С3 замещена. Положение сигнала протона при С19, очень чувствительного к изменениям в окружающей области, совпадает с таковым для бетулина (2.36 м.д.), что соответствует предполагаемой структуре.
Кроме того, 1H-ЯМР спектр исследуемого соединения наряду с характерными для бетулина сигналами протонов метильных групп и алифатических колец содержит сигналы в области ароматических протонов. Суммарная интегральная интенсивность этих сигналов (относительно алифатической части) равна 5 (фиг.3). Из этого следует, что в составе молекулы присутствует ароматический или гетероароматический структурный компонент.
Исходя из полученных и литературных данных авторы сделали вывод, что соединение является сложным эфиром бетулина и кофейной (3,4-дигидроксикоричной) кислоты – соединения, часто присутствующего в растительных источниках.
УФ-спектр исследуемого вещества практически совпадает со спектром кофейной кислоты, что говорит об идентичности хромофоров.
Подтверждением индентификации выделенного вещества послужил масс-спектр, снятый в режиме регистрации отрицательных ионов (ионизация – электроспрей) (рис.6). Наличие кластерного иона 1207 подтверждает интерпретацию сигнала m/z=603 как молекулярного иона (М-Н)–. Таким образом, молекулярная масса равна 604, что совпадает с вычисленной молекулярной массой кофеата бетулина.
Изменение химического сдвига (4.57 м.д., перекрывается с сигналом двойной связи) протона 3 в остатке бетулина указывает на то, что сложноэфирная связь образуется по 3-ОН группе лупанового скелета.
Окончательным доказательством структуры соединения можно считать практическое совпадение химических сдвигов протонов в 1H-ЯМР спектре со значениями, описанными в литературе для этого соединения (Pan H., Lundgren L.N., Andersson R. Triterpene caffeates from bark of Betula pubescens. Phytochemistry. 1994; V.37 (3): P.795-799).
При дальнейших исследованиях авторами было обнаружено, что при определенном (выше 5%) содержании идентифицированного вещества (кофеата бетулина) оно оказывает влияние на водорастворимость экстракта бересты, в частности делая возможным приготовление из него устойчивых нанодисперсий – эффективной лекарственной формы, представляющей собой нанокристаллы активного вещества, как правило, стабилизированные поверхностно-активными веществами. Поскольку в этом случае активное вещество является одновременно и носителем, включение его (отношение активное вещество/носитель) максимально близко к 100%.
Способ получения композиции биологически активных веществ в форме наносуспензии согласно изобретению включает в себя следующие операции:
– растворение экстракта (композиции) в органическом растворителе при предпочтительной концентрации 2,5-5 г/л:
– введение указанного раствора в контакт с большим количеством (до 25 объемов по отношению к объему раствора) воды или водных растворов растворителей;
– перемешивание полученной смеси;
– удаление растворителя и основной части воды.
Было обнаружено, что стабильность нанодисперсии возрастает при ее приготовлении при низких температурах, близких к 0°С.
В качестве растворителей могут использоваться смешивающиеся с водой органические растворители, такие как тетрагидрофуран, ацетон, диоксан.
Удаление растворителя может осуществляться выпариванием, лиофилизацией, ультрафильтрацией, вымораживанием и т.п.
При получении нанодисперсии в момент образования наночастиц происходит диффузия молекул растворителя из первоначально образовавшихся капель раствора композиции в воду и диффузия молекул воды в упомянутые капли. Результатом первого процесса является уменьшение размеров капель, увеличение концентрации компонентов композиции в капле, что приводит, в конце концов, к достижению концентрации насыщения какого-либо соединения. Из такого пересыщенного раствора должны выпадать кристаллы, что и происходит, если в растворе достаточно чистое вещество, и увеличение концентрации происходит достаточно медленно. С другой стороны, если в смеси присутствуют вещества, кристаллизующиеся с трудом (как, например, кофеат бетулина), вместо кристаллов образуется аморфный осадок. Второй процесс (диффузия воды в капли раствора композиции) приводит к катастрофическому уменьшению растворимости всех веществ в капле, что также ведет к образованию твердой субстанции. И так же, как и в первом случае, возможно альтернативное образование либо кристаллов, либо аморфной субстанции. Исследования показали, что в композициях с содержанием кофеата бетулина 5% и выше образуются в основном сферические частицы; при меньшем содержании кофеата бетулина – кристаллы бетулина гораздо большего размера чем сферические аморфные частицы.
Авторы изобретения полагают, что кофеат бетулина является «цементирующим» веществом при получении нанодисперсий.
Известно, что в аморфном состоянии лекарственные субстанции имеют лучшую растворимость и большую скорость растворения, чем в кристаллическом состоянии, то есть лучшую биодоступность.
Далее изобретение будет описано на основе примеров его осуществления, не имеющих ограничительного характера.
Пример 1. Получение композиции биологически активных веществ.
Композицию биологически активных веществ получали в виде экстракта бересты способом по патенту РФ №2192879, принадлежащему заявителю данной заявки.
Экстракцию измельченной бересты осуществляли толуолом в течение около 1,5 часов при постоянном перемешивании и температуре 90-110°С. После завершения процесса экстракции осуществляли фильтрацию массы через ткань при температуре 40-50°С.
Из шрота был частично отогнан толуол, а оставшуюся массу охлаждали в течение 6-10 часов до температуры 15-5°С, после чего проводили повторную тканевую фильтрацию и промывку массы на фильтре толуолом. Затем осуществляли вакуумную отгонку толуола и получали конечный продукт в виде кристаллов желтоватого цвета. Полученный экстракт подвергли высокоэффективной жидкостной хроматографии (ВЭЖХ) при следующих условиях: колонка Separon S6×C18(3,3·150 мм), элюент: ацетонитрил/метанол/вода + фосфорная кислота 40/40/20+0,6 мл на 100 мл смеси, расход элюента 0,5 мл/мин.
Детекция осуществлялась с помощью УФ-детектора при 210 нм. Состав экстракта по результатам ВЭЖХ, %:
бетулин – 65,
лупеол – 12,
кофеат бетулин 15,
сопутствующие вещества – остальное до 100%.
Пример 2.
Получали экстракт по примеру 1 и подвергали его дополнительной очистке этиловым спиртом, затем промывке водой и сушке. При этом получали кристаллы от кремового до белого цвета (при дополнительной очистке увеличивалось содержание бетулина и лупеола и уменьшалось содержание кофеата бетулина, придававшего кристаллам желтый цвет). По результатам ВЭЖХ экстракт имел следующий состав, %:
бетулин – 71,
лупеол – 16,
кофеат бетулина – 5,
сопутствующие вещества – остальное до 100%.
Пример 3.
В круглодонную колбу с 5 мг композиции, полученной по примеру 1, в 1 мл тетрагидрофурана (5 мг/мл) при сильном перемешивании добавляли пипеткой 25 мл дистиллированной воды. Дисперсию перемешивали еще в течение 5 минут. Растворитель упаривали на роторном испарителе при температуре не выше 35-40°С. Полученную нанодисперсию обрабатывали на ультразвуковой бане и затем концентрировали на роторном испарителе до 1-1.5 мг/мл. Спектротурбодиметрией оценили средний размер полученных наночастиц как 187 нм. Одну из электронных микрофотографий образца можно видеть на фиг.7. Кроме сферических наночастиц частиц другой формы не наблюдалось.
На основе микрофотографий построена гистограмма (фиг.8), из которой видно, что в нанодисперсии присутствуют частицы от 20 до 200 нм, в наибольшем же количестве частицы размером от 90 до 110 нм.
Пример 4.
В круглодонную колбу с 5 мг композиции, полученной по примеру 1, в 1 мл тетрагидрофурана (5 мг/мл) при сильном перемешивании пипеткой добавляли необходимый избыток дистиллированной воды (12.5 мл или 6 мл). Дисперсию перемешивали еще в течение 5 минут. Растворитель упаривали на роторном испарителе при температуре не выше 35-40°С. Полученную нанодисперсию обрабатывали на ультразвуковой бане и затем концентрировали на роторном испарителе до 1-1.5 мг/мл. Полученные таким образом дисперсии имели изначально более крупные частицы, чем в примере 2 (средний размер в 445 нм при избытке воды 12.5:1 и 259 нм при избытке воды 6:1), и не были стабильны (нанодисперсии, приготовленные при избытке воды 25:1 оставались стабильными, по крайней мере, в течение одной недели).
Пример 5.
По методике, представленной в примере 3, была приготовлена нанодисперсия кофеата бетулина. На электронной микрофотографии (фиг.9) видны сферические частицы, неотличимые от наночастиц, получаемых из композиции по примеру 3. Этот дает основания полагать, что сферическая форма наночастиц обусловлена именно присутствием в композиции кофеата бутулина, поскольку при попытках получить нанодисперсии из бетулина и лупеола образовывались грубые дисперсии, состоящие из нанодосок, наноканатов и т.п., но сферические частицы обнаружены не были.
Пример 6.
Спектротурбодиметрией был оценен средний размер наночастиц, полученных по примеру 3 при температуре, близкой к 0°С и 55-60°С. Он оказался равным 144 нм и 2300 нм соответственно. На электронных микрофотографиях дисперсий, полученных при повышенной температуре, видны крупные нанокристаллы, собирающиеся в агрегаты. Существенно то, что дисперсии, приготовленные при пониженной температуре, получались более стабильными, не нуждались в обработке на ультразвуковой бане при получении.
Пример 7.
Для исследования влияния концентрации композиции на размер наночастиц была приготовлена серия дисперсий с разной концентрацией: 2.5, 5, 7, 9 и 10 мг/мл. Было установлено, что стабильными получаются дисперсии, полученные из растворов с концентрацией 2.5 и 5 мг/мл, в остальных быстро образуется осадок.
Промышленная применимость
Получение композиции в виде нанодисперсий, состоящих из сферических частиц, в которых вещества находятся в аморфном состоянии, имеет несколько положительных качеств: большая удельная поверхность, что увеличивает скорость растворения субстанции в желудке и особенно в кишечнике, и аморфное состояние веществ, что ведет к тем же результатам; отсутствие кристаллов резко увеличивает стабильность дисперсии при хранении. Следовательно, присутствие кофеата бетулина в определенных концентрациях в композиции согласно настоящему изобретению приводит к кардинальному улучшению потребительских качеств композиции биологически активных веществ, как субстанции для приготовления лекарственных препаратов или БАД. К этому следует добавить, что кофеат бетулина усиливает биологическую активность композиции, обладая сильными антиоксидантными свойствами.
Формула изобретения
1. Композиция биологически активных веществ, получаемая экстракцией из бересты, содержащая, мас.%:
| бетулин |
65-71 |
| лупеол |
12-16 |
| 3-O-кофеат бетулина |
5-15 |
| сопутствующие вещества |
остальное до 100%. |
2. Способ получения нанодисперсии композиции по п.1, содержащий следующие этапы:
растворение композиции по п.1 в органическом растворителе;
введение в контакт полученного раствора с водой или водными растворами растворителей;
перемешивание полученной смеси;
удаление растворителя и основной части воды.
3. Способ по п.2, при котором концентрацию композиции в растворе поддерживают в пределах 2,5-5 г/л.
4. Способ по п.2, при котором органический растворитель выбирают из группы растворителей, смешивающихся с водой.
5. Способ по п.4, при котором растворитель выбирают из группы, включающей тетрагидрофуран, ацетон, диоксан.
6. Способ по п.2, при котором на 1 объем раствора композиции берут до 25 объемов воды или водных растворителей.
7. Способ по любому из пп.2-6, при котором его осуществляют при температуре, близкой к 0°С.
8. Композиция биологически активных веществ в форме нанодисперсии, полученная способом по любому из пп.2-7.
РИСУНКИ
|
|