|
|
(21), (22) Заявка: 2004125177/13, 14.01.2003
(24) Дата начала отсчета срока действия патента:
14.01.2003
(30) Конвенционный приоритет:
15.01.2002 US 60/350,301
(43) Дата публикации заявки: 10.06.2005
(46) Опубликовано: 20.04.2008
(56) Список документов, цитированных в отчете о поиске:
US 5695794 А, 09.12.1997. US 6248374 А, 19.06.2001. ЕР 0711558 А, 15.05.1996. US 5476661 A, 19.12.1995. RU 2153491 C2, 27.07.2000.
(85) Дата перевода заявки PCT на национальную фазу:
16.08.2004
(86) Заявка PCT:
EP 03/00251 (14.01.2003)
(87) Публикация PCT:
WO 03/059358 (24.07.2003)
Адрес для переписки:
101000, Москва, пер. Малый Златоустинский, 10, кв.15, бюро “ЕВРОМАРКПАТ”, И.А.Веселицкой
|
(72) Автор(ы):
МАЗЗАРО Стивен Томас (US), ТРИТШ Жан-Клод (US), Ю Лицюнь (US)
(73) Патентообладатель(и):
ДСМ ИП АССЕТС Б.В. (NL)
|
(54) КОМПОЗИЦИИ, СОДЕРЖАЩИЕ 25-ГИДРОКСИВИТАМИН D3
(57) Реферат:
Изобретение относится к кормлению сельскохозяйственных животных. Предложены масляная композиция, содержащая пищевое масло и 25-гидроксивитамин D3 в количестве 12,5-50 мас.%; эмульсия, содержащая масляную композицию, включающую пищевое масло и 25-гидроксивитамин D3; микроинкапсулированная масляная композиция, включающая пищевое масло и 25-гидроксивитамин D3; композиция кормового премикса, содержащая микроинкапсулированную масляную композицию и пищевую добавку и способ получения кормового премикса, включающий получение микроинкапсулированной масляной композиции и смешивание ее с.пищевой добавкой. Изобретение позволяет повысить стабильность 25-гидроксивитамина D3. 5 н. и 5 з.п. ф-лы, 5 ил., 6 табл.
Настоящее изобретение относится к композициям, содержащим 25-гидроксивитамин D3, включая масла, эмульсии, микроинкапсулированные масла и кормовые премиксы. Изобретение относится также к способам получения и применения таких композиций.
Витамины применяют в качестве пищевых добавок к рациону различных животных. Витамины действуют в качестве катализаторов почти в каждом биохимическом пути. Поэтому дефицит витаминов приводит ко многим заболеваниям и физическим недомоганиям.
Многие заболевания зависят от уровня витамина D3. Слишком большое или слишком малое количество витамина D3 в паращитовидной железе может приводить к гиперпаратиреозу, гипопаратиреозу, псевдогипопаратиреозу и вторичному гиперпаратиреозу. Уровень витамина D3 в поджелудочной железе играет роль в развитии диабета. Проблемы, связанные с присутствием витамина D3 в печени, могут приводить к циррозу и обтурационной желтухе. Витамин D3 играет существенную роль в регуляции уровней кальция, в костной ткани он участвует в фиброгенезе поврежденной костной ткани, развитии паратиреоидной остеодистрофии, остеомаляции, остеопороза, остеопении, остеосклероза, почечной остеодистрофии и рахита. Уровень витамина D3 в кишечнике играет роль в развитии глюкокортикоидного антагонизма, идиопатической гиперкальциемии, синдрома мальабсорбции и злокачественной афты. Уровни витамина D3 в организме оказывают влияние на развитие псориаза кожи, медуллярной карциномы щитовидной железы, саркоидоза легкого и гипофосфатемической VDRR и хронического заболевания почек.
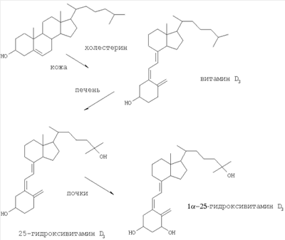
Витамин D3 производится в коже в результате окисления холестерина при нормальных условиях солнечного освещения. Затем витамин D3 превращается в печени в 25-гидроксивитамин D3. Наконец, 25-гидроксивитамин D3 превращается в почках в 1 ,25-(ОН)2-витамин D3, который обладает активностью в различных биохимических путях.
25-гидроксивитамин D3 является источником образующегося из него в организме 1 ,25-(ОН)2-витамина D3. Если уровень витамина D3 является адекватным, то 25-гидроксивитамин D3 накапливается в печени. По мере необходимости он высвобождается из печени и далее процессируется в почках с образованием активной молекулы.
Схема производства 1 ,25-(ОН)2 витамина D3 приведена ниже.

По указанным причинам в корм животных целесообразно включать 25-гидроксивитамин D3 в качестве пищевой добавки. Композиции, содержащие 25-гидроксивитамин D3, поступают в продажу, например, под товарным знаком HY-D (фирма Roche Vitamins Inc., Парсиппани, шт. Нью-Джерси).
К сожалению, 25-гидроксивитамин D3 является нестабильным в стандартных условиях хранения, что с течением времени приводит к снижению активности на единицу массы. Среди прочего 25-гидроксивитамин D3 имеет тенденцию к окислению, в частности, при хранении в течение продолжительных периодов времени. Такое разложение может оказывать неблагоприятное влияние на дозы 25-гидроксивитамина D3 при его включении в корма для животных.
Следовательно, важно разработать композиции 25-гидроксивитамина D3, обладающие улучшенными характеристиками стабильности в широком диапазоне условий и в сочетании с различными пищевыми добавками. Эти и другие объекты настоящего изобретения более подробно описаны ниже.
В настоящем изобретении предложена масляная композиция, содержащая масло и 25-гидроксивитамин D3, в которой 25-гидроксивитамин D3 растворен в масле в количестве от приблизительно 5 до 50 мас.% в пересчете на общую массу масляной композиции. Такие масляные композиции можно успешно включать в состав многих других композиций, прежде всего в эмульсии, микроинкапсулированные масла и кормовые премиксы.
Применяемое согласно настоящему изобретению масло может представлять собой любое пищевое масло или жир, предпочтительно имеющее высокое содержание лауриловой кислоты, например масло бабассу, кокосовое масло, когуновое масло, мурумировый твердый животный жир, пальмоядровое масло, тукумовое масло. Масло может быть природным, синтетическим, полусинтетическим или представлять собой смесь таких масел. Природные масла можно получать из любого источника, например, из организма животного, растения, грибов, морских организмов. Синтетические и полусинтетические масла можно получать любыми стандартными методами.
Предпочтительными маслами являются кокосовое масло, масло бабассу, когуновое масло и пальмоядровое масло.
25-гидроксивитамин D3 можно получать из любого источника. Например, получение 25-гидроксивитамина D3 описано в US 3565924, а выделение 25-гидроксивитамина D3 описано в US 4310467.
Масляную композицию можно приготавливать любыми стандартными методами. Как правило, кристаллы 25-гидроксивитамина D3 растворяют в масле путем нагревания при перемешивании. Предпочтительно сначала масло помещают в соответствующий сосуд и нагревают до требуемой температуры. После этого к маслу добавляют соответствующее количество 25-гидроксивитамина D3, поддерживая температуру масла на прежнем уровне или повышая ее с течением времени. Затем масляную композицию перемешивают в течение времени, достаточного для растворения кристаллов 25-гидроксивитамина D3. Перед добавлением к маслу размер кристаллов 25-гидроксивитамина D3 можно уменьшать с помощью любого пригодного метода, включая размалывание и/или просеивание, для повышения растворения. Перемешивание можно осуществлять любыми пригодными методами, включая перемешивание, вращение сосуда, смешение, гомогенизацию, рециркуляцию и облучение ультразвуком.
Как правило, масло нагревают до 80-85°С, в сосуд вносят 25-гидроксивитамин D3 и поддерживают эту температуру в течение 2 ч при перемешивании масляной композиции.
Как правило, 25-гидроксивитамин D3 растворяют в масле в количестве от примерно 5 до 50 мас.% в пересчете на общую массу масляной композиции. Предпочтительно 25-гидроксивитамин D3 растворяют в масле в количестве от примерно 10 до 40 мас.% в пересчете на общую массу масляной композиции, более предпочтительно в количестве от примерно 12,5 до 28 мас.% в пересчете на общую массу масляной композиции и еще более предпочтительно в количестве от примерно 15 до 25 мас.%.
Масляная композиция необязательно может содержать любой другой пригодный продукт, включая (но, не ограничиваясь ими) антиоксиданты, консерванты, растворители, поверхностно-активные вещества, агенты для регулирования значения рН или буферы, увлажнители и их смеси.
Пригодные антиоксиданты включают смешанные токоферолы, токоферолы, полученные из природных или синтетических источников, этоксихин (ЭМХ) (6-этокси-1,2-дигидро-2,2,4-триметилхинолин), бутилированный гидрокситолуол (БГТ), бутилированный гидроксианизол (БГА), природные антиоксиданты, такие как экстракт розмарина, пропилгаллат и их смеси. Предпочтительным антиоксидантом является ЭМХ.
Пригодные консерванты включают метилпарабен, пропилпарабен, сорбат калия, бензоат натрия, бензойную кислоту и их смеси. Пригодные растворители включают неорганические или органические растворители, в том числе спирты, хлорированные углеводороды и их смеси.
Поверхностно-активные вещества могут быть анионогенными, катионогенными или неионогенными. Пригодные поверхностно-активные вещества включают аскорбилпальмитат, полисорбаты, полиэтиленгликоли и их смеси. Пригодные агенты для регулирования значения рН или буферы включают лимонную кислоту – цитрат натрия, фосфорную кислоту – фосфат натрия, уксусную кислоту – ацетат натрия и их смеси. Пригодные увлажнители включают глицерин, сорбит, полиэтиленгликоль, пропиленгликоль и их смеси.
По-видимому, повышенная стабильность различных композиций, предлагаемых в настоящем изобретении, обусловлена физическим отделением лабильного компонента, представляющего собой 25-гидроксивитамин D3, с одной стороны, и минералов, переходных металлов и/или пероксидов, которые часто добавляют в кормовые премиксы для животных и корма животных, с другой стороны. Такая повышенная стабильность обладает практическим преимуществом, как это проиллюстрировано на основе сравнения результатов, представленных в приведенных ниже примерах. Таким образом, масляные композиции, предлагаемые в изобретении, предпочтительно не содержат никаких минералов, переходных металлов или пероксидов.
После получения масляной композиции, предлагаемой в изобретении, ее можно включать в состав различных других применяемых композиций, некоторые из которых описаны ниже. Например, можно получать эмульсии, которые можно превращать в различные инкапсулированные масла, обладающие улучшенными характеристиками стабильности.
В настоящем изобретении предложена также эмульсия, содержащая водную композицию и масляную композицию, где масляная композиция содержит 25-гидроксивитамин D3, растворенный в масле в количестве от примерно 5 до примерно 50 мас.% в пересчете на общую массу масляной композиции.
Путем объединения описанных выше масляных композиций с водными композициями можно получать разнообразные эмульсии. Эмульсии могут представлять собой эмульсии любого типа. Пригодные эмульсии включают эмульсии типа масло в воде, эмульсии типа вода в масле, безводные эмульсии, твердые эмульсии и микроэмульсии. Эмульсии можно получать любым пригодным методом.
В настоящем описании понятия “водная композиция” и “водная фаза” используются взаимозаменяемо.
Как правило, эмульсия содержит от примерно 20 до приблизительно 95% водной композиции и от примерно 5 до примерно 80% масляной композиции.
Однако предпочтительно эмульсия содержит от примерно 85 до примерно 95% водной композиции и от примерно 5 до примерно 15% масляной композиции.
Предпочтительно масляную композицию можно диспергировать в виде капель в водной композиции. Капли в водной композиции могут иметь, например, средний диаметр менее примерно 500 нм. Предпочтительно капли имеют средний диаметр от примерно 100 до примерно 200 нм.
В изобретении предложено также микроинкапсулированное масло, содержащее масляную композицию и инкапсулирующий агент, служащий для инкапсулирования масляной композиции, где масляная композиция содержит 25-гидроксивитамин D3, растворенный в масле в количестве от примерно 5 до 50 мас.% в пересчете на общую массу масляной композиции. Кроме того, предложен способ получения микроинкапсулированного масла, заключающийся в том, что получают масляную композицию, где 25-гидроксивитамин D3 растворен в масле в количестве от примерно 5 до 50 мас.% в пересчете на общую массу масляной композиции, и инкапсулируют масляную композицию в инкапсулирующем агенте.
В наиболее предпочтительном варианте осуществления изобретения эмульсия содержит инкапсулирующий агент, который облегчает микроинкапсулирование масляной композиции после дополнительной обработки эмульсии, например, распылительной сушкой. В настоящем описании понятия “инкапсулирующий агент” и “агент для инкапсуляции” используются взаимозаменяемо.
Инкапсулирующий агент может представлять собой любую съедобную субстанцию, способную инкапсулировать масляную композицию. Когда масляную композицию инкапсулируют с помощью инкапсулирующего агента, то предпочтительно инкапсулирующий агент обладает способностью устранять контакт между 25-гидроксивитамином D3 и окружающей средой. Предпочтительно инкапсулирующий агент представляет собой в основном коллоидный продукт. Такие продукты включают крахмалы, протеины животного происхождения (в том числе желатины), протеины растительного происхождения, казеин, пектин, альгинат, агар, мальтодекстрины, лигнинсульфонаты, производные целлюлозы, сахара, сахариды, сорбиты, камеди и их смеси.
Пригодными крахмалами являются: крахмалы растительного происхождения (например, CAPSUL® (фирма National Starch & Chemical Corp., Нью-Йорк, шт.Нью-Йорк), HI-CAP® (фирма National Starch & Chemical Corp., Нью-Йорк, шт.Нью-Йорк), другие модифицированные пищевые крахмалы и их смеси. Предпочтительно крахмал представляет собой CAPSUL®.
Пригодными протеинами животного происхождения являются: желатины (например, бычьи желатины, свиные желатины (типа А или Б) с различными числами Блума, рыбьи желатины), протеин из сепарированного молока, казеинат и их смеси. Предпочтительно протеин животного происхождения представляет собой желатин. Пригодными протеинами растительного происхождения являются: картофельный протеин (например, ALBUREX® (фирма Roquette Preres Societe Anonyme, Лестрем, Франция)), гороховый протеин, соевый протеин и их смеси. Предпочтительно протеин растительного происхождения представляет собой картофельный протеин ALBUREX®.
Пригодными мальтодекстринами с различными декстрозными эквивалентами являются мальтодекстрин 5, мальтодекстрин 10, мальтодекстрин 15, мальтодекстрин 20, мальтодекстрин 25 и их смеси. Предпочтительно мальтодекстрин представляет собой мальтодекстрин 15.
Пригодными производными целлюлозы являются этилцеллюлоза, метилэтилцеллюлоза, гидроксипропилцеллюлоза, гидроксипропилметилцеллюлоза, карбоксиметилцеллюлоза и их смеси. Пригодными сахаридами являются лактоза, сахароза или их смеси. Предпочтительно сахарид представляет собой сахарозу. Пригодными камедями являются аравийская камедь, камедь рожкового дерева, каррагенан и их смеси. Предпочтительно камедь представляет собой аравийскую камедь.
Если эмульсия, предлагаемая в изобретении, содержит инкапсулирующий агент, то инкапсулирующий агент можно диспергировать в воде с помощью любых пригодных методов с образованием водной фазы. Водная фаза может представлять собой раствор или смесь в зависимости от свойств выбранных компонентов. Выбранные компоненты можно диспергировать с помощью любых пригодных методов, включая гомогенизацию, смешение, эмульгирование, рециркуляцию, статическое смешение, облучение ультразвуком, перемешивание, нагревание и комбинации указанных методов. Затем при необходимости можно регулировать вязкость образовавшейся водной фазы путем добавления воды.
Водная композиция, входящая в состав эмульсии, необязательно может содержать любой пригодный продукт, включая (но, не ограничиваясь ими) продукты, описанные выше для масляной композиции. Предпочтительно водная композиция может содержать инкапсулирующий агент, пленкообразующий агент, пластификатор, консервант, антиоксидант и их смеси.
Пригодными антиоксидантами являются аскорбат натрия, аскорбиновая кислота, лимонная кислота и их смеси. Пригодными консервантами являются метилпарабен, пропилпарабен, сорбиновая кислота, сорбат калия, бензоат натрия и их смеси.
Предпочтительно водная фаза содержит модифицированный пищевой крахмал, такой как октенилсукцинилкрахмал (CAPSUL®), мальтодекстрин и аскорбат натрия. Выбранные компоненты можно растворять в воде любыми пригодными методами, предпочтительно путем перемешивания. Конечную вязкость образовавшейся водной фазы можно затем доводить до требуемой вязкости, составляющей предпочтительно от приблизительно 250 до приблизительно 450 сП, более предпочтительно от приблизительно 300 до приблизительно 400 сП, еще более предпочтительно приблизительно 385 сП.
Другая предпочтительная водная фаза содержит картофельный протеин (ALBUREX®), мальтодекстрин 20 и аскорбат натрия. Выбранные компоненты диспергируют в воде предпочтительно путем гомогенизации. Смесь предпочтительно гомогенизируют до однородного состояния и отсутствия комков. Предпочтительно гомогенизацию осуществляют при температуре от приблизительно 50 до приблизительно 75°С.
Предпочтительно композиции в виде эмульсии, предлагаемые в изобретении, не содержат никаких минеральных веществ, переходных металлов или пероксидов.
Эмульсию можно получать путем эмульгирования масляной композиции и водной фазы с помощью любых методов, включая гомогенизацию, методы с использованием создаваемых ротором и статором сдвиговых усилий, сдвиговых усилий при повышенном давлении и кавитацию, применение высокоскоростных “дефлекторов” или перемешивание с использованием сдвиговых усилий и сочетание этих методов. После эмульгирования объем и вязкость эмульсии предпочтительно можно регулировать путем добавления воды.
Предпочтительно масляную композицию и водную композицию эмульгируют путем гомогенизации.
Как указано выше, эмульсию можно включать в состав других применяемых композиций или использовать при получении таких композиций, прежде всего микроинкапсулированных масел, например, высушенных распылением порошков.
Как правило, микроинкапсулированные масла содержат масляную композицию и инкапсулирующий агент, служащий для инкапсуляции масляной композиции, где масляная композиция содержит растворенный в масле 25-гидроксивитамин D3 в количестве от приблизительно 5 до приблизительно 50 мас.% в пересчете на общую массу масляной композиции.
Микроинкапсулированное масло можно получать любыми пригодными методами. Как правило, масляную композицию инкапсулируют путем сушки описанной выше эмульсии с помощью любых пригодных методов, включая распылительную сушку, сушку вымораживанием, сушку в псевдоожиженном слое, сушку на поддоне, абсорбцию и комбинацию указанных методов. Предпочтительно микроинкапсулированное масло получают путем распылительной сушки эмульсии, в которой водная фаза, как указано выше, содержит инкапсулирующий агент. Параметры распылительной сушки определяются требуемыми физическими характеристиками конечного микроинкапсулированного масла. К таким физическим параметрам относятся размер частиц, форма и текучесть порошка и содержание воды.
Низкие концентрации масла в микроинкапсулированном масле по сравнению с концентрацией 25-гидроксивитамина D3 обусловливают высокую степень защиты 25-гидроксивитамина D3 и высокую степень утилизации 25-гидроксивитамин D3 в процессе инкапсуляции. Как правило, масло присутствует в количестве менее приблизительно 30 мас.% в пересчете на общую массу микроинкапсулированного масла, предпочтительно менее приблизительно 20 мас.%, более предпочтительно менее приблизительно 10 мас.% и еще более предпочтительно менее приблизительно 5 мас.%.
Микроинкапсулированное масло должно обладать хорошей текучестью и гомогенным распределением 25-гидроксивитамина D3 в композиции. Предпочтительно микроинкапсулированное масло находится в виде порошка.
В микроинкапсулированное масло можно включать любые пригодные добавки. Одна из таких добавок может представлять собой агент, повышающий текучесть, такой как диоксид кремния, предназначенный для повышения текучести микроинкапсулированного масла.
Микроинкапсулированное масло можно включать в состав других различных применяемых композиций, включая композиции кормовых премиксов, или использовать для изготовления таких композиций.
Настоящее изобретение относится также к композиции кормового премикса, содержащей микроинкапсулированное масло, предлагаемое в изобретении, в смеси по меньшей мере с одной пищевой добавкой. В изобретении предложен также способ изготовления композиции кормового премикса, заключающийся в том, что получают микроинкапсулированное масло, содержащее масляную композицию, в которой 25-гидроксивитамин D3 растворен в масле в количестве от приблизительно 5 до приблизительно 50 мас.% в пересчете на общую массу масляной композиции, инкапсулированной в инкапсулирующем агенте. После этого композицию в виде микроинкапсулированного масла смешивают с пищевой добавкой.
В контексте настоящего описания понятие “пищевая добавка” обозначает любую субстанцию, добавляемую к кормам для животных и кормовым премиксам для животных, для придания питательной ценности продукту, регулирования питательной ценности продукта или повышения питательной ценности продукта. Пригодными пищевыми добавками являются витамины, провитамины, минералы, активная фитаза, аминокислоты, каротеноиды, крахмалы, рыбная кормовая мука, холин, лекарственные добавки, носители и их комбинации.
К пригодным витаминам относятся все витамины и их производные (витамин А, витамин Е, витамин В12, витамин D3, ниацин, d-пантотеновая кислота, фолиевая кислота, витамин B6, витамин B1, витамин D3, витамин С, витамин В2 и их комбинации). Можно применять любой провитамин или смесь провитаминов, такой как бета-каротин. К пригодным минералам и их солям относятся марганец, цинк, сульфат железа, (моногидрат), оксид меди, йод, сульфат кобальта, селен и их комбинации.
Можно применять любую приемлемую аминокислоту. К приемлемым каротеноидам относятся CAROPHYLL® Red (фирма Roche Vitamins Inc., Парсиппани, шт.Нью-Джерси), бета-каротин, астаксантин и их комбинации. Пригодными крахмалами являются кукурузный крахмал, пшеничный крахмал, картофельный крахмал, маниоковый крахмал и их комбинации.
Приемлемые лекарственные добавки включают лекарственные средства, усилители действия, антибиотики, антикокцидальные средства и их смеси. Пригодными носителями являются глина, пшеничный кормовой продукт, кукурузная мука, рисовая шелуха, карбонат кальция и их комбинации.
Как правило, композиция кормового премикса содержит витамин А, витамин Е, витамин B12, витамин D3, ниацин, d-пантотеновую кислоту, фолиевую кислоту, витамин B6, витамин B1, глину и рисовую шелуху.
Другая предпочтительная композиция кормового премикса содержит витамин Е, витамин D3, каротиноиды, холинхлорид, оксид марганца, оксид цинка, сульфат железа, оксид меди, сульфат кобальта и пшеничный кормовой продукт. Еще одна предпочтительная композиция кормового премикса, предлагаемая в изобретении, содержит фермент фитазу.
Композицию кормового премикса можно получать путем объединения микроинкапсулированного масла с любыми выбранными пищевыми добавками с помощью любых пригодных методов, известных в данной области, включая смешение, адгезию, диспергирование микроинкапсулированного ингредиента в соответствующем растворителе и распыление на пищевую добавку и комбинации указанных методов. Как правило, композицию кормового премикса получают путем смешения микроинкапсулированного масла с любыми выбранными пищевыми добавками.
Композиции кормового премикса можно добавлять к различным кормам для животных. Например, их можно добавлять к корму для домашней птицы (например, фрайеров, бройлеров, куриц-несушек, индюшек), свиней, собак и кошек.
Как правило, премикс объединяют с кормами для животных в количестве, обеспечивающем от 50 до 200 ч./млн (частей на миллион) 25-гидроксивитамина D3 в конечном корме.
Таким образом, в соответствии с вышеизложенным в изобретении предложены
а) масляная композиция, содержащая масло, например, выбранное из ряда, включающего масло бабассу, кокосовое масло, когуновое масло, мурумировый твердый животный жир, пальмоядровое масло и тукумовое масло, предпочтительно кокосовое масло и пальмоядровое масло, и 25-гидроксивитамин D3, где 25-гидроксивитамин D3 растворен в масле в количестве от приблизительно 5 до 50 мас.%, например в количестве от приблизительно 10 до 40 мас.% в пересчете на общую массу масляной композиции, например предпочтительно в количестве от приблизительно 12,5 до 28 мас.%, более предпочтительно в количестве от приблизительно 15 до 25 мас.% в пересчете на общую массу масляной композиции;
б) масляная композиция, указанная в а), дополнительно содержащая антиоксидант, например, выбранный из ряда, включающего смешанные токоферолы, токоферолы, этоксихин, бутилированный гидрокситолуол, бутилированный гидроксианизол, природные антиоксиданты и пропилгаллат;
(в) эмульсия, включающая масляную композицию и 25-гидроксивитамин D3, где 25-гидроксивитамин D3 растворен в масле в количестве от приблизительно 5 до 50 мас.% в пересчете на полную массу масляной композиции; и водную композицию, например водную композицию, содержащую инкапсулирующий агент и воду;
(г) эмульсия, указанная в (в), где масляная композиция диспергирована в виде капель в водной композиции, например в виде капель, имеющих средний диаметр менее приблизительно 500 нм, предпочтительно средний диаметр от приблизительно 100 до приблизительно 200 нм;
(д) микроинкапсулированное масло, содержащее масляную композицию, которая содержит гидроксивитамин D3, растворенный в масле в количестве от приблизительно 5 до 50 мас.% в пересчете на общую массу масляной композиции; и инкапсулирующий агент, инкапсулирующий масляную композицию, например выбранный из ряда, включающего крахмалы, протеины животного происхождения, протеины растительного происхождения, казеин, пектин, альгинат, агар, мальтодекстрины, лигнинсульфонаты, производные целлюлозы, сахара, сахариды, сорбиты и камеди, предпочтительно инкапсулирующий агент представляет собой крахмал;
(е) микроинкапсулированная масляная композиция, описанная в (д), где масло присутствует в масляной композиции в количестве менее приблизительно 30 мас.% в пересчете на общую массу микроинкапсулированной масляной композиции, предпочтительно в количестве менее приблизительно 20 мас.%, более предпочтительно в количестве менее приблизительно 10 мас.%, наиболее предпочтительно в количестве менее приблизительно 5 мас.% в пересчете на общую массу микроинкапсулированной масляной композиции;
(ж) микроинкапсулированная масляная композиция, описанная в (е), где масло выбрано из ряда, включающего масло бабассу, кокосовое масло, когуновое масло, мурумировый твердый животный жир, пальмоядровое масло и тукумовое масло, предпочтительно масло выбрано из кокосового масла и пальмоядрового масла;
(з) микроинкапсулированная масляная композиция, описанная в (д), где инкапсулирующий агент представляет собой крахмал и масло представляет собой кокосовое масло или пальмоядровое масло;
(и) композиция кормового премикса, содержащая микроинкапсулированное масло, которая включает масляную композицию, содержащую 25-гидроксивитамин D3, растворенный в масле в количестве от приблизительно 5 до 50 мас.% в пересчете на общую массу масляной композиции, и инкапсулирующий агент, инкапсулирующий масляную композицию; и по меньшей мере одну пищевую добавку, например пищевую добавку, выбранную из ряда, включающего витамины, провитамины, минералы, активную фитазу, аминокислоты, каротиноиды, крахмал, рыбную кормовую муку, холин и носители, предпочтительно пищевые добавки представляют собой витамин D3, витамин А, витамин Е, витамин B12, витамин B3, ниацин, пантотенат кальция, витамин К3, фолиевую кислоту, витамин B6, витамин B1, глину и рисовую шелуху; или витамин Е, витамин B3, каротиноиды, холинхлорид, оксид марганца, оксид цинка, сульфат железа, оксид меди, сульфат кобальта и пшеничный кормовой продукт;
(к) композиция кормового премикса, описанная в (и), где масло выбрано из ряда, включающего масло бабассу, кокосовое масло, когуновое масло, мурумировый твердый животный жир, пальмоядровое масло и тукумовое масло, предпочтительно масло выбрано из кокосового масла и пальмоядрового масла;
(л) композиция кормового премикса, описанная в (и), где инкапсулирующий агент выбран из ряда, включающего крахмалы, протеины животного происхождения, протеины растительного происхождения, казеин, пектин, альгинат, агар, мальтодекстрины, лигнинсульфонаты, производные целлюлозы, сахара, сахариды, сорбиты и камеди, предпочтительно инкапсулирующий агент представляет собой крахмал;
(м) композиция кормового премикса, описанная в (и), где инкапсулирующий агент представляет собой крахмал, и масло представляет собой кокосовое масло или пальмоядровое масло;
(н) способ получения микроинкапсулированного масла, заключающийся в том, что получают масляную композицию, содержащую 25-гидроксивитамин D3, растворенный в масле в количестве от приблизительно 5 до приблизительно 50 мас.% в пересчете на общую массу масляной композиции; и инкапсулируют масляную композицию в инкапсулирующем агенте, например, выбранном из ряда, включающего крахмалы, протеины животного происхождения (включая желатины), протеины растительного происхождения, казеин, пектин, альгинат, агар, мальтодекстрины, лигнинсульфонаты, производные целлюлозы, сахара, сахариды, сорбиты и камеди, предпочтительно инкапсулирующий агент представляет собой крахмал;
(о) способ получения микроинкапсулированного масла, описанного в (н), в котором масло присутствует в масляной композиции в количестве менее приблизительно 30 мас.%, предпочтительно менее приблизительно 20 мас.%, более предпочтительно менее приблизительно 10 мас.%, наиболее предпочтительно менее приблизительно 5 мас.% в пересчете на общую массу микроинкапсулированной масляной композиции;
(п) способ получения микроинкапсулированного масла, описанный в (н), в котором инкапсулирующий агент представляет собой крахмал, и масло представляет собой кокосовое масло или пальмоядровое масло;
(р) способ получения микроинкапсулированного масла, описанный в (н), заключающийся в том, что дополнительно объединяют масляную композицию и водную композицию с образованием эмульсии и осуществляют сушку эмульсии с образованием микроинкапсулированного масла, например, с помощью распылительной сушки;
(с) способ получения микроинкапсулированного масла, описанный в (п), в котором капли имеют средний диаметр менее приблизительно 500 нм, предпочтительно средний диаметр от приблизительно 100 до приблизительно 200 нм;
(т) способ приготовления кормового премикса, заключающийся в том, что получают микроинкапсулированную масляную композицию, содержащую 25-гидроксивитамин D3, растворенный в масле в количестве от приблизительно 5 до приблизительно 50 мас.% в пересчете на общую массу масляной композиции; и инкапсулирующий агент, который инкапсулирует масляную композицию; и смешивают микроинкапсулированную масляную композицию по меньшей мере с одной пищевой добавкой, например пищевой добавкой, выбранной из ряда, включающего витамины, провитамины, минералы, активную фитазу, аминокислоты, каротиноиды, крахмалы, рыбную кормовую муку, холин, лекарственные добавки и носители;
(у) способ приготовления кормового премикса, описанный в (т), в котором масло выбирают из ряда, включающего масло бабассу, кокосовое масло, когуновое масло, мурумировый твердый животный жир, пальмоядровое масло и тукумовое масло, предпочтительно масло выбрано из кокосового масла и пальмоядрового масла;
(ф) способ приготовления кормового премикса, описанный в (т), в котором инкапсулирующий агент выбирают из ряда, включающего крахмалы, протеины животного происхождения (включая желатины), протеины растительного происхождения, казеин, пектин, альгинат, агар, мальтодекстрины, лигнинсульфонаты, производные целлюлозы, сахара, сахариды, сорбиты и камеди, предпочтительно инкапсулирующий агент представляет собой крахмал;
(х) способ приготовления кормового премикса, описанный в (т), в котором инкапсулирующий агент представляет собой крахмал, и масло представляет собой кокосовое масло или пальмоядровое масло.
Приведенные ниже примеры служат для более подробной иллюстрации композиций и способов, предлагаемых в настоящем изобретении. Эти примеры даны только с целью иллюстрации и никоим образом не направлены на ограничение объема изобретения.
Пример 1: Масляные композиции
Масляные композиции, предлагаемые в настоящем изобретении, получали путем растворения 25-гидроксивитамина D3 в масле при нагревании и/или перемешивании с использованием следующих пропорций.
| Таблица 1. |
| Масляные композиции |
| 25-OH-Vit D3 [г] |
Масло |
Масло [г] |
25-OH-Vit D3 [мас.%] |
| 5 |
Кокосовое |
95 |
5 |
| 5 |
Пальмоядровое |
95 |
5 |
| 10 |
Кокосовое |
90 |
10 |
| 10 |
Пальмоядровое |
90 |
10 |
| 15 |
Кокосовое |
85 |
15 |
| 15 |
Пальмоядровое |
85 |
15 |
| 20 |
Кокосовое |
80 |
20 |
| 20 |
Пальмоядровое |
80 |
20 |
| 25 |
Кокосовое |
75 |
25 |
| 25 |
Пальмоядровое |
75 |
25 |
| 30 |
Кокосовое |
70 |
30 |
| 30 |
Пальмоядровое |
70 |
30 |
| 35 |
Кокосовое |
65 |
35 |
| 35 |
Пальмоядровое |
65 |
35 |
| 40 |
Кокосовое |
60 |
40 |
| 40 |
Пальмоядровое |
60 |
40 |
| 45 |
Кокосовое |
55 |
45 |
| 45 |
Пальмоядровое |
55 |
45 |
| 50 |
Кокосовое |
50 |
50 |
| 50 |
Пальмоядровое |
50 |
50 |
| 25-OH-Vit D3 обозначает 25-гидроксивитамин D3 |
Пример 2: Масляные композиции
Масляные композиции, предлагаемые в настоящем изобретении, получали путем растворения 25-гидроксивитамина D3 и антиоксиданта в масле при нагревании и/или перемешивании с использованием следующих пропорций.
| Таблица 2. |
| Масляные композиции, содержащие антиоксидант |
| 25-OH-Vit D3 [г] |
Масло |
Масло [г] |
Антиоксидант |
Антиоксидант [г] |
25-OH-Vit D3 [мас.%] |
| 5 |
Кокосовое |
85 |
ЭМХ |
10 |
5 |
| 5 |
Пальмоядровое |
75 |
БГТ |
20 |
5 |
| 10 |
Кокосовое |
85 |
ЭМХ |
10 |
5 |
| 10 |
Пальмоядровое |
75 |
БГТ |
20 |
5 |
| 15 |
Кокосовое |
75 |
ЭМХ |
10 |
15 |
| 15 |
Пальмоядровое |
65 |
БГТ |
20 |
15 |
| 20 |
Кокосовое |
75 |
ЭМХ |
10 |
15 |
| 20 |
Пальмоядровое |
65 |
БГТ |
20 |
15 |
| 25 |
Кокосовое |
60 |
ЭМХ |
10 |
30 |
| 25 |
Пальмоядровое |
50 |
БГТ |
20 |
30 |
| 30 |
Кокосовое |
60 |
ЭМХ |
10 |
30 |
| 30 |
Пальмоядровое |
50 |
БГТ |
20 |
30 |
| 35 |
Кокосовое |
50 |
ЭМХ |
10 |
40 |
| 35 |
Пальмоядровое |
40 |
БГТ |
20 |
40 |
| 40 |
Кокосовое |
50 |
ЭМХ |
10 |
40 |
| 40 |
Пальмоядровое |
40 |
БГТ |
20 |
40 |
| 45 |
Кокосовое |
40 |
ЭМХ |
10 |
50 |
| 45 |
Пальмоядровое |
30 |
БГТ |
20 |
50 |
| 50 |
Кокосовое |
40 |
ЭМХ |
10 |
50 |
| 50 |
Пальмоядровое |
30 |
БГТ |
20 |
50 |
| 25-OH-Vit D3 обозначает 25-гидроксивитамин D3 |
Пример 3: Эмульсия
Эмульсию, предлагаемую в настоящем изобретении, получали путем диспергирования масляной композиции, предлагаемой в настоящем изобретении (например, из числа композиций, описанных в примерах 1 и 2), в водной композиции.
Масляная композиция содержала: 7,2 кг 25-гидроксивитамина D3, 27,6 кг кокосового масла и 9,88 кг ЭМХ. Масляную композицию получали путем смешения кокосового масла, ЭМХ и 25-гидроксивитамина D3 и нагревания до приблизительно 85°С. Перемешивание продолжали в течение 90 мин при постоянной температуре. По истечении этого времени все кристаллы 25-гидроксивитамина D3 переходили в раствор, что определяли путем визуального осмотра раствора под микроскопом.
Водная композиция содержала 376,35 кг CAPSUL®, 78,09 кг мальтодекстрина 15, 12,81 кг аскорбата натрия и 437,64 кг воды. Ингредиенты объединяли, получая водную фазу. При перемешивании и нагревании безводные ингредиенты быстро растворялись в воде. Вязкость полученного раствора составляла примерно 385 сП.
Масляную композицию добавляли к водной композиции и гомогенизировали в гомогенизаторе в течение 30 мин. В процессе гомогенизации образовывалась эмульсия, в которой капли масляной композиции имели диаметр примерно 150 нм.
Пример 4: Микроинкапсулированная масляная композиция
Микроинкапсулированную масляную композицию, предлагаемую в настоящем изобретении, получали путем сушки распылением эмульсии, описанной в примере 3, с использованием следующих параметров.
| Температура на входе |
135°С |
| Температура на выходе |
102°С |
| Впускное отверстие микроклона |
4,1 |
| Впускное отверстие вентилятора |
14,6 |
| Дозатор диоксида кремния |
Отрегулирован для обеспечения примерно 1% диоксида кремния в безводном продукте |
| Скорость вращения (об/мин) форсунки |
17000 часть А 15 000 часть Б |
| Скорость насоса |
17 часть А 21 часть Б |
| Влажность продукта |
1,9-2,25% |
Микроинкапсулированное масло представляло собой порошок рыжевато-коричневого цвета, имеющий следующие характеристики:
| Объемная плотность неупакованного продукта |
-0,42 г/мл |
| Объемная плотность упакованного продукта |
0,5 г/мл |
| Содержание пыли |
169 мг/25 г |
| Угол естественного откоса |
49° |
| Поток |
Нет |
| Потеря при сушке |
2,6% |
Кроме того, по результатам измерений с помощью УФ-лучей абсорбционной способности порошка микроинкапсулированная масляная композиция обладала высокой степенью гомогенности.
Пример 5: Стабильность
Согласно описанному ниже методу получали две партии микроинкапсулированной масляной композиции, предлагаемой в настоящем изобретении [партия 001 по изобретению (или партия 1 по изобретению или партия 001) и партия 002 по изобретению (или партия 2 по изобретению или партия 002)]. Стабильность этих партий сравнивали с прототипом, представляющим собой поступающий в продажу продукт в форме восковых гранул (прототип). Две партии и поступающий в продажу продукт хранили при температуре либо 11°С, либо 25°С в течение периода времени до 4 месяцев. Содержание 25-гидроксивитамина D3 в двух тестируемых партиях составляло примерно 1,25 мас.%, и их получали согласно методам, описанным в примерах 3 и 4.
Приведенные ниже данные свидетельствуют о том, что микроинкапсулированные масла, предлагаемые в настоящем изобретении, обладали существенно более высокой стабильностью по сравнению с поступающим в продажу продуктом. Кроме того, микроинкапсулированные масла, предлагаемые в настоящем изобретении, характеризовались замедлением кинетики разложения, что свидетельствует о том, что скорость разложения 25-гидроксивитамина D3 существенно снижалась после начального периода хранения.
Партия 001 характеризовалась более высокими исходными одержаниями 25-гидроксивитамина D3 по сравнению с партией 002.
Хранение при 11°С
На фиг.1 представлено сравнение процента сохранения витамина D3 в композициях, которые содержат 25-гидроксивитамин D3 (мас.% действующего вещества в пересчете на общую массу композиции) в микроинкапсулированных маслах, предлагаемых в настоящем изобретении, и в композиции-прототипе после различных периодов хранения при 11°С. Композиции, предлагаемые в настоящем изобретении, обладали более высокой стабильностью по сравнению с поступающим в продажу продуктом во все моменты времени.
На фиг.2 представлено сравнение процента сохранения 25-гидроксивитамина D3 в микроинкапсулированных маслах, предлагаемых в настоящем изобретении, и в композиции-прототипе после различных периодов хранения при 11°С. Представленная на фиг.2 зависимость процента сохранения 25-гидроксивитамина D3 в композициях, предлагаемых в настоящем изобретении, характеризуется наличием плато и замедлением кинетики разложения.
Хранение при 25°С
На фиг.3 представлено сравнение процента сохранения витамина D3 в композициях, которые содержат 25-гидроксивитамин D3 (мас.% действующего вещества в пересчете на общую массу композиции) в микроинкапсулированных маслах, предлагаемых в настоящем изобретении, и в композиции-прототипе после различных периодов хранения при 25°С. Композиции, предлагаемые в настоящем изобретении, обладали более высокой стабильностью по сравнению с поступающим в продажу продуктом во все моменты времени.
На фиг.4 представлено сравнение процента сохранения 25-гидроксивитамина D3 в микроинкапсулированных маслах, предлагаемых в настоящем изобретении, и в композиции-прототипе после различных периодов хранения при 25°С. Представленная на фиг.4 зависимость процента сохранения 25-гидроксивитамина D3 в композициях, предлагаемых в настоящем изобретении, характеризуется наличием плато и замедлением кинетики разложения.
Хранение при 37°С
При этой температуре гранулы композиции-прототипа начинали разлагаться и образовывали твердый блок, отличный от порошкообразной формы. Поэтому гранулы композиции-прототипа нельзя было растворять как обычно в растворителе и было невозможно получать достоверные данные о сохранении. Композиции, предлагаемые в настоящем изобретении, не имели недостатков, связанных с таким разложением, и сохраняли достаточно хорошую текучесть и объемную плотность при такой повышенной температуре хранения во все моменты времени.
На фиг.5 представлено сравнение зависимостей, полученных обработкой по методу линейной регрессии данных о сохранении 25-гидроксивитамина D3 в микроинкапсулированных маслах, предлагаемых в настоящем изобретении, и в композиции-прототипе после различных периодов хранения при различных температурах. Результаты регрессионного анализа свидетельствуют о том, что композиции, предлагаемые в настоящем изобретении, обладают существенно более высокой стабильностью по сравнению с поступающим в продажу продуктом при обеих температурах после всех периодов хранения. Кроме того, наклон регрессионных кривых четко свидетельствует о том, что скорость разложения 25-гидроксивитамина D3 в микроинкапсулированных масляных композициях, предлагаемых в настоящем изобретении, намного меньше, чем в случае гранулы композиции-прототипа, после всех периодов хранения и при всех температурах. Следовательно, даже после непродолжительного хранения композиции, предлагаемые в настоящем изобретении, должны сохранять намного больше 25-гидроксивитамина D3 по сравнению с гранулой композиции-прототипа.
Пример 6: Композиция премикса
Основной премикс для применения в корме животных получали с использованием перечисленных ниже компонентов в указанных ниже пропорциях, выраженных в мас.%, в пересчете на общую массу премикса.
| Таблица 3. |
| Композиция премикса |
| Компонент |
Мас.% в премиксе |
| 25-гидроксивитамин D3, 1,25% |
0,64 |
| Витамин А |
6,40 |
| Витамин Е |
16,00 |
| Витамин В12 |
6,40 |
| Витамин B3 |
2,00 |
| Ниацин |
8,00 |
| Пантотенат кальция |
4,00 |
| Витамин К3 |
0,94 |
| Фолиевая кислота |
0,90 |
| Витамин В6 |
0,96 |
| Витамин B1 |
0,62 |
| Глина |
29,00 |
| Рисовая шелуха |
24,14 |
Пример 7: Стабильность премикса
Три премикса, а именно премикс ПОЛНЫЙ, премикс ВИТАМИН и премикс ОСНОВНОЙ, предназначенные для применения в корме животных, получали с использованием перечисленных ниже компонентов в указанных ниже пропорциях, выраженных в мас.% в пересчете на общую массу премикса.
| Таблица 4. |
| Композиции премиксов |
| Компонент |
ПОЛНЫЙ |
ВИТАМИН |
ОСНОВНОЙ |
| 25-гидроксивитамин D3, 1,25% |
0,50 |
1,00 |
1,57 |
| Витамин D3 |
|
0,64 |
|
| Витамин А |
|
6,40 |
|
| Витамин Е |
0,40 |
16,00 |
|
| Витамин В12 |
|
6,40 |
|
| Витамин D3 |
0,05 |
2,00 |
|
| Ниацин |
|
8,00 |
|
| Пантотенат кальция |
|
4,00 |
|
| Витамин К3 |
|
0,94 |
|
| Фолиевая кислота |
|
0,90 |
|
| Витамин В6 |
|
0,96 |
|
| Витамин B1 |
|
0,62 |
|
| Каротиноиды |
0,20 |
|
|
| Хлорид холина, 50% |
1,50 |
|
|
| Оксид марганца |
3,00 |
|
|
| Оксид цинка |
0,60 |
|
|
| Сульфат железа (моногидрат) |
1,00 |
|
|
| Оксид меди |
0,10 |
|
|
| Сульфат кобальта |
0,01 |
|
|
| Масло |
|
|
1,00 |
| Глина |
|
28,00 |
19,93 |
| Рисовая шелуха |
|
24,14 |
77,50 |
| Пшеничный кормовой продукт |
78,99 |
|
|
Каждую из этих композиций премикса получали с использованием микроинкапсулированного масла, предлагаемого в настоящем изобретении, или гранул композиции-прототипа, содержащих 25-гидроксивитамин D3. Кроме того, получали контрольную композицию, в которой 25-гидроксивитамин D3 заменяли витамином D3. Каждый премикс хранили при 25 и 35°С в течение периода времени вплоть до 3 месяцев. В каждый момент времени и при каждой температуре определяли процент сохранения 25-гидроксивитамина D3.
| Таблица 5. |
| Стабильность композиций, содержащих витамин D3 и 25-гидроксивитамин D3, в премиксе ОСНОВНОЙ |
| |
Сохранение (%) |
| |
Партия по изобретению |
прототип |
Витамин D3 |
| |
Б |
В |
П |
Б |
В |
П |
Б |
В |
П |
| 1 мес./25°С |
94 |
98 |
109 |
98,4 |
94,5 |
80,3 |
88,4 |
106,1 |
101,7 |
| 1 мес./35°С |
85 |
94 |
82 |
82,5 |
94,9 |
26,9 |
95,1 |
106,3 |
81,7 |
| 2 мес./25°С |
115 |
98 |
91 |
95,4 |
88,5 |
33,8 |
90,7 |
106,4 |
85,8 |
| 2 мес./35°С |
75 |
77 |
52 |
75,2 |
70 |
17,7 |
97,9 |
91,2 |
71,1 |
| 3 мес./25°С |
84 |
83 |
82 |
90,6 |
93,4 |
19,5 |
95,7 |
106,2 |
81,1 |
| 3 мес./35°С |
70 |
78 |
53 |
67,0 |
77,7 |
7,4 |
97,9 |
104,7 |
70,0 |
Б: премикс ОСНОВНОЙ; В: премикс ВИТАМИН; П: премикс ПОЛНЫЙ
Результаты свидетельствуют о том, что стабильность 25-гидроксивитамина D3 в премиксах ОСНОВНОЙ и ВИТАМИН была ниже, чем стабильность витамина D3. При этом стабильность 25-гидроксивитамина D3 в композициях, предлагаемых в настоящем изобретении, оказалась практически идентичной его стабильности в композиции-прототипе.
Однако результаты существенно отличаются от результатов, полученных для премикса ПОЛНЫЙ. Стабильность 25-гидроксивитамина D3 в композиции-прототипе оказалась существенно более низкой по сравнению с композициями, предлагаемыми в настоящем изобретении. Как отмечалось выше, такое уменьшение стабильности может быть обусловлено окислением витамина D3 или 25-гидроксивитамина D3 минералами, переходными металлами или пероксидами, присутствующими в премиксе. Например, после хранения в течение 3 месяцев в композиции-прототипе сохранялось менее 20% 25-гидроксивитамина D3, в то время как в композиции, предлагаемой в настоящем изобретении, сохранялось более 50% 25-гидроксивитамина D3 (свыше 80% при хранении при температуре 25°С).
Таким образом, композиция, предлагаемая в изобретении, позволяет повышать сохранение 25-гидроксивитамина D3 в широком диапазоне температур и сроков хранения даже в том случае, если в премиксах содержатся компоненты, усиливающие разложение 25-гидроксивитамина D3.
Пример 8: Корма
Композицию корма для животных получали путем объединения композиций кормового премикса, предлагаемых в настоящем изобретении, с кормом для животных. Корм для домашней птицы получали путем смешения премикса, описанного в примере 6, с основным кормом для домашней птицы, имеющим следующий состав;
| Таблица 6. |
| Состав основного корма для домашней птицы |
| Ингредиент |
Количество (мас.%) |
| Кукуруза |
50,55 |
| Соевая мука |
40,05 |
| Соевое масло |
5,00 |
| Дикальцийфосфат |
1,90 |
| Глина |
1,40 |
| Соль |
0,40 |
| Смесь витаминов, не содержащая D3 |
0,20 |
| Смесь минералов |
0,15 |
| DL-Met |
0,20 |
| Холин 60 |
0,10 |
| Батрацин |
0,025 |
-токоферол |
0,002 |
| Этоксихин |
0,0125 |
Премикс и основной корм смешивали до практически гомогенного состояния.
Очевидно, что в представленное в данном описании изобретение можно вводить многочисленные вариации. Такие вариации не следует рассматривать как отклонение от сущности и объема изобретения и подразумевается, что все такие модификации подпадают под объем приведенной ниже формулы изобретения.
Формула изобретения
1. Масляная композиция для приготовления кормового премикса, содержащая пищевое масло и 25-гидроксивитамин D3, взятый в количестве примерно от 12,5 до 50 мас.% в пересчете на общую массу масляной композиции.
2. Масляная композиция по п.1, дополнительно содержащая антиоксидант.
3. Эмульсия, содержащая масляную композицию для приготовления кормового премикса, которая включает пищевое масло и 25-гидроксивитамин D3, взятый в количестве примерно от 12,5 до 50 мас.% в пересчете на общую массу масляной композиции, и водную композицию.
4. Эмульсия по п.3, в которой масляная композиция диспергирована в виде капель в водной композиции.
5. Микроинкапсулированная масляная композиция для приготовления кормового премикса, содержащая масляную композицию, которая включает пищевое масло и 25-гидроксивитамин D3, взятый в количестве примерно от 12,5 до 50 мас.% в пересчете на общую массу масляной композиции, и инкапсулирующий агент.
6. Микрокапсулированная масляная композиция по п.5, в которой инкапсулирующий агент представляет собой крахмал, а масло представляет собой кокосовое масло или пальмоядровое масло.
7. Композиция кормового премикса, содержащая микроинкапсулированную масляную композицию, включающую масляную композицию, которая содержит пищевое масло и 25-гидроксивитамин D3, взятый в количестве примерно от 12,5 до 50 мас.% в пересчете на общую массу масляной композиции, инкапсулирующий агент и по меньшей мере одну пищевую добавку.
8. Композиция кормового премикса по п.7, в которой инкапсулирующий агент представляет собой крахмал, а масло представляет собой кокосовое масло или пальмоядровое масло.
9. Композиция кормового премикса по п.7, в которой пищевые добавки представляют собой витамин D3, витамин А, витамин Е, витамин В12, витамин В3, ниацин, пантотенат кальция, витамин K3, фолиевую кислоту, витамин B6, витамин B1, глину и рисовую шелуху; или витамин Е, витамин В3, каротиноиды, холинхлорид, оксид марганца, оксид цинка, сульфат железа, оксид меди, сульфат кобальта и пшеничный кормовой продукт.
10. Способ получения кормового премикса, заключающийся в том, что получают микроинкапсулированную масляную композицию, которая содержит масляную композицию, включающую пищевое масло и 25-гидроксивитамин D3, взятый в количестве примерно от 12,5 до 50 мас.% в пересчете на общую массу масляной композиции, инкапсулирующий агент, и смешивают микроинкапсулированную масляную композицию с по меньшей мере одной пищевой добавкой.
РИСУНКИ
|
|