|
(21), (22) Заявка: 2006123880/03, 03.07.2006
(24) Дата начала отсчета срока действия патента:
03.07.2006
(46) Опубликовано: 10.04.2008
(15) Информация о коррекции:
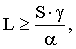
Версия коррекции № 1 (, где L – нахлест полос мембраны, см; S – расстояние между утеплителем и мембраной, см; – краевой угол смачивания пародышащей стороны мембраны, градусы; – угол уклона кровли, градусы. 3 з.п. ф-лы, 5 ил.
Изобретение относится к области строительства, а именно к кровлям зданий, отслуживших значительный срок, а также к кровлям в новом строительстве, где необходимо снизить нагрузку на несущие конструкции и повысить пожаробезопасность кровли.
Известно кровельное покрытие, состоящее из профилированного настила, утеплителя, деревянных несущих брусьев и рулонного покрытия из наплавляемых материалов (патент РФ №2127351, МПК Е04D 3/30, опубл. 10.03.1999).
Недостатками такой конструкции являются:
– низкая пожарная безопасность, обусловленная применением горючих материалов;
– отсутствие и сложность выполнения противопожарных поясов;
– необходимость два раза в год проводить проверку огнезащитной обработки несущих деревянных брусьев (ППБ 01-03, стр.8).
Известна конструкция кровли, включающая профилированный металлический настил, установленный на верхних полках прогонов, гидроизоляционный кровельный ковер и плиты теплоизоляции, расположенные на металлических сетках. Каждая сетка прикреплена к стенке прогона в точке сопряжения этой стенки с внутренней поверхностью нижней полки прогона. Между профилированным настилом и гидроизоляционным ковром имеется воздушный зазор (заявка на изобретение РФ №2003131846, МПК Е04В 7/00, опубл. 27.04.2005).
Недостатками этой конструкции кровли являются:
– наличие «мостика холода», что будет приводить к появлению росы на внутренней поверхности кровли и постоянному замачиванию теплоизоляции;
– увеличенная нагрузка на перекрытие для зданий, отслуживших более пятидесяти лет, обусловленная большой металлоемкостью конструкции и уменьшением расчетного допускаемого предела прочности первого рода для металлоконструкций перекрытий, отслуживших более пятидесяти лет.
Известна конструкция, включающая плиты перекрытия, тепло- и гидроизоляционный слои, несущие элементы и экран. Несущие элементы выполнены решетчатыми из продольно деформированных пластин, образующих нижний и верхний пояса. Несущие элементы установлены на гидроизоляционный слой (А.С. СССР №815216, МПК Е04D 3/35, опубл. 23.03.1981).
Недостатками данной конструкции являются:
– сложность изготовления решетчатых несущих элементов из профилированных (продольно деформированных) пластин;
– воздействие решетчатых поясов непосредственно на теплоизоляцию, что приводит к сминанию теплоизоляции и, следовательно, ухудшению ее физико-механических свойств;
– вероятность замачивания водяными парами теплоизоляции вследствие отсутствия пароизоляции.
Наиболее близкой к предлагаемой является конструкция кровли, включающая несущий настил, пароизоляцию, теплоизоляцию, уложенную между дистанционными прогонами, закрепленными через пароизоляцию на несущем настиле, пародышащую водонепроницаемую мембрану из натянутых с нахлестом полос рулонного материала и кровельное покрытие из стального профилированного настила, уложенное по основанию, прикрепленному к дистанционным прогонам через пародышащую водонепроницаемую мембрану. Основание выполнено из гнутых зетобразных профилей, а между верхними полками дистанционных прогонов и основанием установлены прокладки из фанеры для разрыва «мостиков холода» (Проектирование и строительство кровель. “Свод правил к ТСН КР-97 МО”. Утверждены постановлением Правительства Московской области от 30.03.98 №28/3, стр.30, рис.26, а) (прототип).
Недостатками этой конструкции являются:
– малая жесткость основания кровельного покрытия;
– отсутствие зазора между пародышащей водонепроницаемой мембраной, кровельным покрытием и утеплителем, что приводит к сминанию утеплителя и снижению его срока службы, а также ухудшает отвод водяных паров от теплоизоляции;
– низкая пожарная безопасность, обусловленная контактом кровельного покрытия с теплоизоляцией;
– отсутствие зависимости размера нахлеста полос пародышащей водонепроницаемой мембраны от физико-механических характеристик мембраны и угла уклона кровли, что приводит к перерасходу дорогостоящего материала мембраны.
Задача, решаемая изобретением, – повышение жесткости основания под кровельное покрытие, снижение нагрузки на кровлю, увеличение степени пожаробезопасности кровли, уменьшение расхода дорогостоящего материала мембраны.
Поставленная задача решается тем, что кровля, включающая несущий настил, пароизоляцию, теплоизоляцию, уложенную между дистанционными прогонами, закрепленными через пароизоляцию на несущем настиле, пародышащую водонепроницаемую мембрану из натянутых с нахлестом полос рулонного материала и кровельное покрытие из стального профилированного настила, уложенное по основанию, прикрепленному к дистанционным прогонам через пародышащую водонепроницаемую мембрану, имеет сотовую структуру, образованную дистанционными прогонами, выполненными из С-образного облегченного металлического профиля, высоту которого выбирают из условия обеспечения зазора между пародышащей водонепроницаемой мембраной и теплоизоляцией, при этом нахлест полос рулонного материала мембраны определяют по формуле:

где L – нахлест (перекрытие) полос пародышащей водонепроницаемой мембраны, см;
S – расстояние (зазор) между утеплителем и мембраной, см;
– краевой угол смачивания пародышащей стороны мембраны, градусы;
– угол уклона кровли, градусы.
Несущий настил выполнен в виде железобетонной плиты.
Основание выполнено в виде деревянной решетки.
Величина зазора S составляет 25÷45 мм.
На фиг.1 показан разрез кровли поперек профилированного настила.
На фиг.2 – сечение А-А на фиг.1 – показана сотовая структура, образованная дистанционными прогонами.
На фиг.3 – сечение Б-Б на фиг.1 – сечение кровли вдоль профилированного настила.
На фиг.4 – сечение В-В на фиг.2 – показано крепление продольных и поперечных С-образных профилей между собой и к несущему настилу.
На фиг.5 – сечение Г-Г на фиг.3 – показан нахлест (перекрытие) полос пародышащей водонепроницаемой мембраны.
Кровля содержит несущий настил 1, выполненный в виде железобетонной плиты, пароизоляцию 2, лежащую на несущем настиле 1, продольные 10 и поперечные 11 дистанционные прогоны, выполненные из С-образных облегченных металлических профилей (см. фиг.2), соединенных между собой саморезами 15 (см. фиг.4) и закрепленных через пароизоляцию 2 на несущем настиле 1 дюбель-шурупами 16 (см. фиг.4) с образованием сотовой структуры 9 (см. фиг.2), содержащей теплоизоляцию 4. Сотовая структура 9, образованная дистанционными прогонами, выполненными из продольных 10 и поперечных 11 С-образных облегченных металлических профилей, повышает жесткость конструкции каркаса кровли, увеличивает степень пожаробезопасности (огнестойкости) кровли, разделяя каркас кровли на противопожарные ячейки, снижает нагрузку на покрытие без уменьшения несущей способности кровли.
Толщину теплоизоляции 4 определяют расчетом в зависимости от температурного режима эксплуатации здания. Металлический С-образный профиль, например, по ТУ 1120-100-47515705-2000 выбран превышающим толщину теплоизоляции 4 на 30 мм (см. фиг.3). Поверх дистанционных прогонов из С-образных металлических профилей натянута пародышащая водонепроницаемая мембрана 3. Зазор S между теплоизоляцией 4 и мембраной 3, равный 30 мм находится в пределах оптимальной величины 25÷45 мм (см. фиг.3). Оптимальный зазор между теплоизоляцией 4 и пародышащей водонепроницаемой мембраной 3 позволяет водяным парам 13, проникшим через пароизоляцию 2 и теплоизоляцию 4, подняться над теплоизоляцией 4 и равномерно распределиться по поверхности пародышащей водонепроницаемой мембраны 3. Вентиляционный поток 14 между кровельным покрытием 7, выполненным из стального профилированного настила, и мембраной 3, истекая со скоростью, прямо пропорциональной углу уклона кровли , производит эжекцию скопившихся под мембраной 3 водяных паров 13, извлекая их в наружный слой пародышащей водонепроницаемой мембраны 3. Водяные пары подхватываются вентиляционным потоком 14 и выводятся из подкровельного пространства наружу. Одновременно водяные пары 13, увлекаемые вентиляционным потоком 14, создают разрежение над теплоизоляцией 4, способствуя эжекции паров 13 из теплоизоляции 4. Таким образом происходит непрерывное осушение теплоизоляции 4. Деревянная решетка 5 через пародышащую водонепроницаемую мембрану 3 закреплена на дистанционных прогонах саморезами 6. Кровельное покрытие 7 прикреплено к деревянной решетке 5, исключающей образование «мостика холода», гвоздями 8.
Мембрана 3 выполнена из полос рулонного материала «Тайвек», натянутых поверх дистанционных прогонов с нахлестом L (см. фиг.5), равным 114 мм, согласно формуле:

где S=30 мм, =14°, =53°.
Как было установлено автором, выявленная зависимость позволяет определить минимальную величину нахлеста полос пародышащей водонепроницаемой мембраны L, исключающую подтекание воды под мембрану и замачивание теплоизоляции, что позволяет экономить материал пародышащей водонепроницаемой мембраны без снижения качества защиты теплоизоляции.
Краевой угол смачивания пародышащей стороны мембраны с достаточной точностью может быть измерен при пятикратном увеличении капли дистиллированной воды, помещенной на пародышащую сторону мембраны, и проведении касательной к поверхности капли на границе раздела трех фаз мембрана – вода – воздух (Ройх И.Л. и Колтунова Л.Н. “Защитные вакуумные покрытия на стали”. М.: Машиностроение, 1971, стр.110…112).
Применение предлагаемой конструкции вентилируемой кровли позволит повысить жесткость основания под кровельное покрытие, снизить нагрузку на кровлю, увеличить степень пожаробезопасности кровли, уменьшить расход материала пародышащей мембраны без снижения качества защиты теплоизоляции.
Формула изобретения
1. Кровля, включающая несущий настил, пароизоляцию, теплоизоляцию, уложенную между дистанционными прогонами, закрепленными через пароизоляцию на несущем настиле, пародышащую водонепроницаемую мембрану из натянутых с нахлестом полос рулонного материала и кровельное покрытие из стального профилированного настила, уложенное по основанию, прикрепленному к дистанционным прогонам через пародышащую водонепроницаемую мембрану, отличающаяся тем, что дистанционные прогоны, образующие сотовую структуру, выполнены из С-образного облегченного металлического профиля, высоту которого выбирают из условия обеспечения зазора между пародышащей водонепроницаемой мембраной и теплоизоляцией, при этом нахлест полос рулонного материала мембраны определяют по формуле

где L – нахлест (перекрытие) полос пародышащей водонепроницаемой мембраны, см;
S – расстояние между утеплителем и мембраной, см;
– краевой угол смачивания пародышащей стороны мембраны, градусы;
– угол уклона кровли, градусы.
2. Кровля по п.1, отличающаяся тем, что несущий настил выполнен в виде железобетонной плиты.
3. Кровля по п.1, отличающаяся тем, что основание выполнено в виде деревянной решетки.
4. Кровля по п.1, отличающаяся тем, что высоту С-образного металлического профиля выбирают из условия обеспечения зазора между утеплителем и пародышащей водонепроницаемой мембраной 25÷45 мм.
РИСУНКИ
TH4A – Переиздание описания изобретения к патенту Российской Федерации
Причина переиздания: Коррекция библиографических данных
Извещение опубликовано: 27.06.2008 БИ: 18/2008
TK4A – Поправки к публикациям сведений об изобретениях в бюллетенях “Изобретения (заявки и патенты)” и “Изобретения. Полезные модели”
Напечатано: (73) Общество с ограниченной ответственностью «Радикап» (RU)
Следует читать: (73) Общество с ограниченной ответственностью «Радикал» (RU)
Номер и год публикации бюллетеня: 10-2008
Код раздела: FG4A
Извещение опубликовано: 27.06.2008 БИ: 18/2008
|