|
|
(21), (22) Заявка: 2005120507/13, 01.07.2005
(24) Дата начала отсчета срока действия патента:
23.06.2000
(30) Конвенционный приоритет:
25.06.1999 US 60/141,031 08.07.1999 DE 19931562.0 08.07.1999 DE 19931634.1 08.07.1999 DE 19931412.8 08.07.1999 DE 19931413.6 08.07.1999 DE 19931419.5 08.07.1999 DE 19931420.9 08.07.1999 DE 19931424.1 08.07.1999 DE 19931428.4 08.07.1999 DE 19931431.4 08.07.1999 DE 19931433.0 08.07.1999 DE 19931434.9 08.07.1999 DE 19931510.8 09.07.1999 US 60/143,208 09.07.1999 DE 19932180.9 09.07.1999 DE 19932227.9 09.07.1999 DE 19932230.9 14.07.1999 DE 19933005.0 14.07.1999 DE 19932924.9 14.07.1999 DE 19932973.7 27.08.1999 DE 19940765.7 31.08.1999 US 60/151,572 03.09.1999 DE 19942076.9 03.09.1999 DE 19942079.3 03.09.1999 DE 19942086.6 03.09.1999 DE 19942087.4 03.09.1999 DE 19942088.2 03.09.1999 DE 19942095.5 03.09.1999 DE 19942123.4 03.09.1999 DE 19942125.0
(43) Дата публикации заявки: 10.01.2007
(46) Опубликовано: 10.04.2008
(56) Список документов, цитированных в отчете о поиске:
TAKAI К et. al. Ppc, the gene for phosphoenolpyruvate carboxylase from an extremely thermophilic bacterium, Rhodothermus obamensis: cloning, sequencing and overexpression in Escherichia coli. Microbiology. 1998 May; 144 (Pt 5):1423-34. PETERS-WENDISCH PG et. al. С3-carboxylation as an anaplerotic reaction in phosphoenolpyruvate
(62) Номер и дата подачи первоначальной заявки, из которой данная заявка выделена: 2002101727 23.06.2000
Адрес для переписки:
129010, Москва, ул. Б.Спасская, 25, стр.3, ООО “Юридическая фирма Городисский и Партнеры”, пат.пов. Е.Е.Назиной, рег. № 517
|
(72) Автор(ы):
ПОМПЕЙУС Маркус (DE), КРЕГЕР Буркхард (DE), ШРЕДЕР Хартвиг (DE), ЦЕЛЬДЕР Оскар (DE), ХАБЕРХАУЕР Грегор (DE)
(73) Патентообладатель(и):
БАСФ АКЦИЕНГЕЗЕЛЛЬШАФТ (DE)
|
(54) ГЕНЫ CORYNEBACTERIUM GLUTAMICUM, КОДИРУЮЩИЕ БЕЛКИ, УЧАСТВУЮЩИЕ В МЕТАБОЛИЗМЕ УГЛЕРОДА И ПРОДУЦИРОВАНИИ ЭНЕРГИИ
(57) Реферат:
Изобретение относится к биотехнологии и представляет собой выделенные молекулы нуклеиновой кислоты Corynebacterium glutamicum, которые кодируют полипептид, обладающий активностью фосфоенолпируваткарбоксикиназы. Изобретение относится также к рекомбинантным экспрессирующим векторам, содержащим такие молекулы нуклеиновых кислот, и клеткам-хозяевам, в которые были введены эти экспрессирующие векторы. Данное изобретение касается также способа получения аминокислот при помощи культивирования указанных клеток. Изобретение позволяет расширить ассортимент ферментов и получать аминокислоты с высокой степенью эффективности. 28 н. и 11 з.п. ф-лы, 4 табл.
(56) (продолжение):
CLASS=”b560m”carboxylase-deficient Corynebacterium glutamicum Arch Microbiol. 1996 Jun; 165 (6):387-96. BATHE В. et. al. Physical and genetic map of the Corynebacterium glutamicum ATCC 13032 chromosome. Mol Gen Genet 1996 Sep 13; 252 (3):255-65. RU 2081173, 10.06.1997.
Родственные заявки
Данная заявка заявляет приоритет предварительной заявки на патент США с порядковым номером 60/141031, поданной 25 июня 1999 года, предварительной заявки на патент США с порядковым номером 60/143208, поданной 9 июля 1999 года, и предварительной заявки на патент США с порядковым номером 60/151572, поданной 31 августа 1999 года. Данная заявка заявляет также приоритет предыдущей заявки на патент Германии № 19931412.8, поданной 8 июля 1999 года, заявки на патент Германии № 19931413.6, поданной 8 июля 1999 года, заявки на патент Германии № 19931419.5, поданной 8 июля 1999 года, заявки на патент Германии № 19931420.9, поданной 8 июля 1999 года, заявки на патент Германии № 19931424.1, поданной 8 июля 1999 года, заявки на патент Германии № 19931428.4, поданной 8 июля 1999 года, заявки на патент Германии № 19931431.4, поданной 8 июля 1999 года, заявки на патент Германии № 19931433.0, поданной 8 июля 1999 года, заявки на патент Германии № 19931434.9, поданной 8 июля 1999 года, заявки на патент Германии № 19931510.8, поданной 8 июля 1999 года, заявки на патент Германии № 19931562.0, поданной 8 июля 1999 года, заявки на патент Германии № 19931634.1, поданной 8 июля 1999 года, заявки на патент Германии № 19932180.9, поданной 9 июля 1999 года, заявки на патент Германии № 19932227.9, поданной 9 июля 1999 года, заявки на патент Германии № 19932230.9, поданной 9 июля 1999 года, заявки на патент Германии № 19932924.9, поданной 14 июля 1999 года, заявки на патент Германии № 19932973.7, поданной 14 июля 1999 года, заявки на патент Германии № 19933005.0, поданной 14 июля 1999 года, заявки на патент Германии № 19940765.7, поданной 27 августа 1999 года, заявки на патент Германии № 19942076.9, поданной 3 сентября 1999 года, заявки на патент Германии № 19942079.3, поданной 3 сентября 1999 года, заявки на патент Германии № 19942086.6, поданной 3 сентября 1999 года, заявки на патент Германии № 19942087.4, поданной 3 сентября 1999 года, заявки на патент Германии № 19942088.2, поданной 3 сентября 1999 года, заявки на патент Германии № 19942095.5, поданной 3 сентября 1999 года, заявки на патент Германии № 19942123.4, поданной 3 сентября 1999 года и заявки на патент Германии № 19942125.0, поданной 3 сентября 1999 года. Полные содержания всех вышеуказанных заявок включены здесь в виде ссылки.
Предпосылки изобретения
Некоторые продукты и побочные продукты природно встречающихся метаболических процессов в клетках имеют применение в широком списке отраслей промышленности, в том числе в кормовой, пищевой, косметической и фармацевтической отраслях промышленности. Эти молекулы, совокупно называемые “химическими продуктами тонкого органического синтеза”, включают органические кислоты, как входящие в состав белков (протеиногенные), так и не входящие в состав белков (не-протеиногенные) аминокислоты, нуклеотиды и нуклеозиды, липиды и жирные кислоты, диолы, углеводы, ароматические соединения, витамины и кофакторы и ферменты. Их получение наиболее удобно выполнять посредством крупномасштабной культуры бактерий, разработанной для продуцирования и секреции больших количеств одной или более желаемых молекул. Одним особенно применимым организмом для этой цели является Corynebacterium glutamicum, грамположительная, не патогенная бактерия. Посредством отбора штаммов был получен ряд мутантных штаммов, которые продуцируют ряд желаемых соединений. Однако отбор штаммов, улучшенных в отношении продуцирования конкретной молекулы, является трудоемким процессом, отнимающим много времени.
Сущность изобретения
Данное изобретение представляет новые бактериальные молекулы нуклеиновых кислот, которые имеют множество применений. Эти применения включают идентификацию микроорганизмов, которые могут быть использованы для получения химических продуктов тонкого органического синтеза, модуляции образования химических продуктов тонкого органического синтеза в С. glutamicum или родственных бактериях, типирования или идентификации С. glutamicum или родственных бактерий, в качестве ссылочных точек для картирования генома С. glutamicum и в качестве маркеров для трансформации. Эти новые молекулы нуклеиновых кислот кодируют белки, называемые здесь белками сахарного метаболизма и окислительного фосфорилирования (SMP).
С. glutamicum является грамположительной, аэробной бактерией, которую обычно используют в промышленности для крупномасштабного получения множества химических продуктов тонкого органического синтеза, а также для расщепления углеводородов (например, в разливах нефти) и для окисления терпеноидов. Таким образом, молекулы нуклеиновых кислот SMP данного изобретения могут быть использованы для идентификации микроорганизмов, которые могут быть использованы для получения химических продуктов тонкого органического синтеза, например, посредством ферментационных процессов. Модуляция экспрессии нуклеиновых кислот SMP данного изобретения или модификация последовательности молекул нуклеиновых кислот SMP данного изобретения может использоваться для модуляции образования одного или нескольких химических продуктов тонкого органического синтеза из микроорганизма (например, для улучшения выхода или получения одного или более химических продуктов тонкого органического синтеза из видов Corynebacterium или Brevibacterium).
Нуклеиновые кислоты SMP данного изобретения могут быть также использованы для идентификации организма как являющегося Corynebacterium glutamicum или близкородственной бактерией или для идентификации присутствия С. glutamicum или родственной бактерии в смешанной популяции микроорганизмов. Данное изобретение представляет последовательности нуклеиновых кислот ряда генов С. glutamicum; зондированием экстрагированной геномной ДНК культуры уникальной или смешанной популяции микроорганизмов при строгих условиях зондом, охватывающим участок гена С. glutamicum, который является уникальным в отношении этого организма, можно определить, присутствует ли данный организм. Хотя сама бактерия Corynebacterium glutamicum является непатогенной, она является родственной видам, патогенным в человеке, таким как Corynebacterium diphtheriae (возбудитель дифтерии); выявление таких организмов имеет важное клиническое значение.
Молекулы нуклеиновых кислот SMP данного изобретения могут также служить в качестве ссылочных точек для картирования генома С. glutamicum или геномов родственных организмов. Подобным образом эти молекулы, или их варианты или части, могут служить в качестве маркеров для генетически сконструированных видов Corynebacterium или Brevibacterium.
Белки SMP, кодируемые новыми молекулами нуклеиновых кислот данного изобретения, способны, например, выполнять функцию, участвующую в метаболизме углеродных соединений, таких как сахара, или в генерировании энергетических (энергоемких) молекул посредством таких процессов, как окислительное фосфорилирование в Corynebacterium glutamicum. При условии доступности клонирующих векторов для применения в Corynebacterium glutamicum, таких как векторы, описанные в Sinskey et al., U.S. Patent No. 4 649 110, и способов для генетической манипуляции С. glutamicum и родственных видов Brevibacterium (например, lactofermentum) (Yoshihama et al., J. Bacteriol. 162: 591-597 (1985); Katsumata et al., J. Bacteriol. 159: 306-311 (1984) и Santamaria et al., J. Gen. Microbiol. 130: 2237-2246 (1984)) молекулы нуклеиновых кислот данного изобретения могут быть использованы в генетической инженерии этого организма, чтобы сделать его лучшим или более эффективным продуцентом одного или большего количества химических продуктов тонкого органического синтеза. Эти улучшенные продуцирование или эффективность продуцирования химического продукта тонкого органического синтеза могут быть обусловлены прямым влиянием манипулирования геном данного изобретения или могут быть обусловлены опосредованным влиянием такого манипулирования.
Существует ряд механизмов, при помощи которых изменение белка SMP данного изобретения может непосредственно влиять на выход, продуцирование и/или эффективность продуцирования химического продукта тонкого органического синтеза из штамма С. glutamicum, включающего такой измененный белок. Расщепление высокоэнергетических углеродных молекул, таких как сахара, и превращение соединений, таких как НАДН и ФАДН2, в соединения, содержащие высокоэнергетические фосфатные связи, через окислительное фосфорилирование приводит к образованию ряда соединений, которые сами могут быть желательными химическими продуктами тонкого органического синтеза, таких как пируват, АТФ, НАДН и ряд промежуточных сахарных соединений. Далее, эти энергетические (энергоемкие) молекулы (такие как АТФ) и восстанавливающие эквиваленты (такие как НАДН или НАДФН), продуцируемые этими метаболическими путями, используются в клетке для проведения реакций, которые в ином случае были бы энергетически неблагоприятными. Такие неблагоприятные реакции включают многие биосинтетические пути для химических продуктов тонкого органического синтеза. Посредством улучшения способности клеток использовать конкретный сахар (например, манипулированием генами, кодирующими ферменты, участвующие в расщеплении и превращении этого сахара в энергию для клетки) можно увеличить количество доступной энергии для того, чтобы сделать возможным протекание неблагоприятных, но желаемых метаболических реакций (например, биосинтеза желаемого химического продукта тонкого органического синтеза).
Мутагенез одного или более генов SMP данного изобретения может также приводить к образованию белков SMP, имеющих измененные активности, которые непосредственно влияют на продуцирование одного или большего количества химических продуктов тонкого органического синтеза из С. glutamicum. Например, увеличением эффективности использования одного или большего количества сахаров (так что превращение этого сахара в полезные энергетические молекулы улучшается) или увеличением эффективности превращения восстанавливающих эквивалентов в полезные энергетические молекулы (например, посредством улучшения эффективности окислительного фосфорилирования или активности АТФ-синтазы) можно увеличить количество высокоэнергетических соединений, доступных для клетки, для проведения обычно неблагоприятных метаболических процессов. Эти процессы включают образование клеточных стенок, транскрипцию, трансляцию и биосинтез соединений, необходимых для роста и деления клеток (например, нуклеотидов, аминокислот, витаминов, липидов и т.д.) (Lengeler et al. (1999) Biology of Prokaryotes, Thieme Verlag: Stuttgart, p. 88-109; 913-918; 875-899). Посредством улучшения роста и размножения этих сконструированных клеток можно как повысить жизнеспособность этих клеток в крупномасштабной культуре, так и улучшить скорость их деления, так что относительно большее число клеток могут выживать в культуре ферментера. Выход, продуктивность или эффективность продуцирования могут быть увеличены по меньшей мере вследствие присутствия большего числа жизнеспособных клеток, каждая из которых продуцирует желаемый химический продукт тонкого органического синтеза. Также многие продукты расщепления, продуцируемые во время метаболизма сахаров, могут использоваться клеткой в качестве предшественников или промежуточных продуктов в продуцировании других желательных продуктов, таких как химические продукты тонкого органического синтеза. Таким образом, посредством увеличения способности клетки метаболизировать сахара должно также увеличиваться число продуктов расщепления, доступных для клетки для других процессов.
Данное изобретение представляет новые молекулы нуклеиновых кислот, которые кодируют белки, называемые здесь белками SMP, которые способны, например, выполнять функцию, участвующую в метаболизме углеродных соединений, таких как сахара, и генерировании энергетических молекул при помощи таких процессов, как окислительное фосфорилирование, в Corynebacterium glutamicum. Молекулы нуклеиновых кислот, кодирующие белок SMP, называют здесь молекулами нуклеиновых кислот SMP. В предпочтительном варианте белок SMP участвует в превращении углеродных молекул и продуктов их расщепления в энергию, которая используется клеткой для метаболических процессов. Примеры таких белков включают белки, кодируемые генами, представленными в таблице 1.
Таким образом, один аспект данного изобретения относится к выделенным молекулам нуклеиновых кислот (например, кДНК, ДНК или РНК), содержащим нуклеотидную последовательность, кодирующую белок SMP или его биологически активные части, а также фрагментам нуклеиновых кислот, пригодным в качестве праймеров или гибридизационных зондов для обнаружения или амплификации SMP-кодирующей нуклеиновой кислоты (например, ДНК или мРНК). В особенно предпочтительных вариантах выделенная молекула нуклеиновой кислоты содержит одну из нуклеотидных последовательностей, представленных в виде имеющих нечетные номера SEQ ID NO в Списке последовательностей (например, SEQ ID NO:1, SEQ ID NO:3, SEQ ID NO:5, SEQ ID NO:7…), или кодирующий участок или его комплемент одной из этих нуклеотидных последовательностей. В других особенно предпочтительных вариантах выделенная молекула нуклеиновой кислоты данного изобретения содержит нуклеотидную последовательность, которая гибридизуется с нуклеотидной последовательностью или является по меньшей мере на приблизительно 50%, предпочтительно по меньшей мере на приблизительно 60%, более предпочтительно по меньшей мере на приблизительно 70%, 80% или 90% и даже более предпочтительно по меньшей мере на приблизительно 95%, 96%, 97%, 98%, 99% или более гомологичной нуклеотидной последовательности, представленной в виде имеющих нечетные номера SEQ ID NO в Списке последовательностей (например, SEQ ID NO:1, SEQ ID NO:3, SEQ ID NO:5, SEQ ID NO:7…), или ее части. В других предпочтительных вариантах выделенная молекула нуклеиновой кислоты кодирует одну из аминокислотных последовательностей, представленных в виде имеющих четные номера SEQ ID NO в Списке последовательностей (например, SEQ ID NO:2, SEQ ID NO:4, SEQ ID NO:6, SEQ ID NO:8…). Предпочтительные белки SMP данного изобретения также предпочтительно имеют по меньшей мере одну из описанных здесь активностей SMP.
В другом варианте выделенная молекула нуклеиновой кислоты кодирует белок или его часть, причем этот белок или его часть включает аминокислотную последовательность, которая является достаточно гомологичной аминокислотной последовательности данного изобретения (например, последовательности, имеющей четный номер SEQ ID NO: в Списке последовательностей), например, достаточно гомологичной аминокислотной последовательности данного изобретения, так что этот белок или его часть сохраняет активность SMP. Предпочтительно белок или его часть, кодируемые этой молекулой нуклеиновой кислоты, сохраняет способность выполнять функцию, участвующую в метаболизме углеродных соединений, таких как сахара, или генерировании энергетических молекул (например, АТФ) при помощи таких процессов, как окислительное фосфорилирование, в Corynebacterium glutamicum. В одном варианте белок, кодируемый указанной молекулой нуклеиновой кислоты, является по меньшей мере на приблизительно 50%, предпочтительно по меньшей мере на приблизительно 60% и более предпочтительно по меньшей мере на приблизительно 70%, 80% или 90% и наиболее предпочтительно по меньшей мере на приблизительно 95%, 96%, 97%, 98%, 99% или более гомологичным аминокислотной последовательности данного изобретения (например, полной аминокислотной последовательности, выбранной из аминокислотных последовательностей, имеющих четные номера SEQ ID NO: в Списке последовательностей). В другом предпочтительном варианте этот белок является полноразмерным белком С. glutamicum, который является по существу гомологичным полной аминокислотной последовательности данного изобретения, кодируемой открытой рамкой считывания, показанной в соответствующих имеющих нечетные номера SEQ ID NO в Списке последовательностей (например, SEQ ID NO:1, SEQ ID NO:3, SEQ ID NO:5, SEQ ID NO:7…).
В другом предпочтительном варианте выделенная молекула нуклеиновой кислоты происходит из С. glutamicum и кодирует белок (например, слитый белок SMP), который включает биологически активный домен, который по меньшей мере на приблизительно 50% или более гомологичен одной из аминокислотных последовательностей данного изобретения (например, одной последовательности из имеющих четные номера SEQ ID NO: в Списке последовательностей) и способен выполнять функцию, участвующую в метаболизме углеродных соединений, таких как сахара, и генерировании энергетических молекул (например, АТФ) при помощи таких процессов, как окислительное фосфорилирование, в Corynebacterium glutamicum, или имеет одну или более активностей, представленных в таблице 1, и также включает гетерологичные последовательности нуклеиновых кислот, кодирующие гетерологичные полипептид или регуляторные участки.
В другом варианте выделенная молекула нуклеиновой кислоты имеет длину по меньшей мере 15 нуклеотидов и гибридизуется при строгих условиях с молекулой нуклеиновой кислоты, содержащей нуклеотидную последовательность данного изобретения (например, последовательность, имеющую нечетный номер SEQ ID NO: в Списке последовательностей). Предпочтительно выделенная молекула нуклеиновой кислоты соответствует природно встречающейся молекуле нуклеиновой кислоты. Более предпочтительно выделенная нуклеиновая кислота кодирует природно встречающийся белок SMP С. glutamicum или его биологически активную часть.
Другой аспект данного изобретения относится к векторам, например рекомбинантным экспрессирующим векторам, содержащим молекулы нуклеиновых кислот данного изобретения, и клеткам-хозяевам, в которые были введены такие векторы. В одном варианте такую клетку-хозяина используют для получения белка SMP культивированием клетки-хозяина в подходящей среде. Затем белок SMP может быть выделен из этой среды или из клетки-хозяина.
Еще один аспект данного изобретения относится к генетически измененному микроорганизму, в котором ген SMP был введен или изменен. В одном варианте геном микроорганизма был изменен введением молекулы нуклеиновой кислоты данного изобретения, кодирующей последовательность SMP дикого типа или мутированную последовательность SMP, в качестве трансгена. В другом варианте эндогенный ген SMP в геноме микроорганизма был изменен, например функционально нарушен, гомологичной рекомбинацией с измененным геном SMP. В другом варианте эндогенный или введенный ген SMP в микроорганизме был изменен одной или несколькими точковыми мутациями, делециями или инверсиями, но все еще кодирует функциональный ген белка SMP. Еще в одном варианте один или несколько регуляторных участков (например, промотор, репрессор или индуктор) гена SMP в микроорганизме был изменен (например, делецией, укорочением, инверсией или точковой мутацией), так что экспрессия гена SMP является модулированной. В предпочтительном варианте этот микроорганизм принадлежит к роду Corynebacterium или Brevibacterium, причем особенно предпочтительным является Corynebacterium glutamicum. В предпочтительном варианте этот микроорганизм используют также для получения желаемого соединения, такого как аминокислота, причем особенно предпочтительным является лизин.
В другом аспекте данное изобретение представляет способ идентификации присутствия или активности Corynebacterium diphtheriae в субъекте. Этот способ включает в себя обнаружение одной или более последовательностей нуклеиновых кислот или аминокислотных последовательностей данного изобретения (например, последовательностей, представленных в Списке последовательностей в виде SEQ ID NO:1-782) в субъекте, детектированием тем самым присутствия или активности Corynebacterium diphtheriae в субъекте.
Еще один аспект данного изобретения относится к выделенным белку SMP или его части, например его биологически активной части. В предпочтительном варианте выделенные белок SMP или его часть может выполнять функцию, участвующую в метаболизме углеродных соединений, таких как сахара, или в генерировании энергетических молекул (например, АТФ) при помощи таких процессов, как окислительное фосфорилирование, в Corynebacterium glutamicum. В другом предпочтительном варианте выделенные белок SMP или его часть является достаточно гомологичным аминокислотной последовательности данного изобретения (например, последовательности, имеющей четный номер SEQ ID NO: в Списке последовательностей), так что этот белок или его часть сохраняет способность выполнять функцию, участвующую в метаболизме углеродных соединений, таких как сахара, или в генерировании энергетических молекул (например, АТФ) при помощи таких процессов, как окислительное фосфорилирование, в Corynebacterium glutamicum.
Данное изобретение представляет также получение выделенного белка SMP. В предпочтительных вариантах белок SMP содержит аминокислотную последовательность данного изобретения (например, последовательность, имеющую четный номер SEQ ID NO: Списка последовательностей). В другом предпочтительном варианте данное изобретение относится к выделенному полноразмерному белку, который является по существу гомологичным полной аминокислотной последовательности данного изобретения (например, последовательности, имеющей четный номер SEQ ID NO: Списка последовательностей) (кодируемому открытой рамкой считывания, приведенной в соответствующих последовательностях, имеющих нечетные номера SEQ ID NO: Списка последовательностей). Еще в одном варианте этот белок является по меньшей мере на приблизительно 50%, предпочтительно по меньшей мере на приблизительно 60% и более предпочтительно по меньшей мере на приблизительно 70%, 80% или 90% и наиболее предпочтительно по меньшей мере на приблизительно 95%, 96%, 97%, 98%, 99% или более гомологичным полной аминокислотной последовательности данного изобретения (например, последовательности, имеющей четный номер SEQ ID NO: Списка последовательностей). В других вариантах выделенный белок SMP содержит аминокислотную последовательность, которая является по меньшей мере на приблизительно 50% или более гомологичной одной из аминокислотных последовательностей данного изобретения (например, последовательности имеющей четный номер SEQ ID NO: Списка последовательностей), и способен выполнять функцию, участвующую в метаболизме углеродных соединений, таких как сахара, или в генерировании энергетических молекул (например, АТФ) при помощи таких процессов, как окислительное фосфорилирование, в Corynebacterium glutamicum, или имеет одну или несколько активностей, приведенных в таблице 1.
Альтернативно, выделенный белок SMP может содержать аминокислотную последовательность, которая кодируется нуклеотидной последовательностью, которая гибридизуется, например гибридизуется при строгих условиях, с нуклеотидной последовательностью или является по меньшей мере на приблизительно 50%, предпочтительно по меньшей мере на приблизительно 60%, более предпочтительно по меньшей мере на приблизительно 70%, 80% или 90% и даже более предпочтительно по меньшей мере на приблизительно 95%, 96%, 97%, 98%, 99% или более гомологичной нуклеотидной последовательности одной из имеющих четные номера SEQ ID NO:, представленных в Списке последовательностей. Также предпочтительно, чтобы предпочтительные формы белков SMP имели также одну или несколько из биологических активностей SMP, описанных здесь.
Полипептид SMP или его биологически активная часть могут быть функционально связаны с полипептидом не-SMP с образованием слитого белка. В предпочтительных вариантах этот слитый белок имеет активность, которая отличается от активности одного белка SMP. В других предпочтительных вариантах этот слитый белок выполняет функцию, участвующую в метаболизме углеродных соединений, таких как сахара, или в генерировании энергетических молекул (например, АТФ) при помощи таких процессов, как окислительное фосфорилирование, в Corynebacterium glutamicum. В особенно предпочтительных вариантах интеграция этого слитого белка в клетку-хозяина модулирует продуцирование желаемого соединения из клетки.
В другом аспекте данное изобретение представляет способы для скрининга молекул, которые модулируют активность белка SMP, либо посредством взаимодействия с самим белком или субстратом или партнером связывания белка SMP, либо посредством модуляции транскрипции или трансляции молекулы нуклеиновой кислоты SMP данного изобретения.
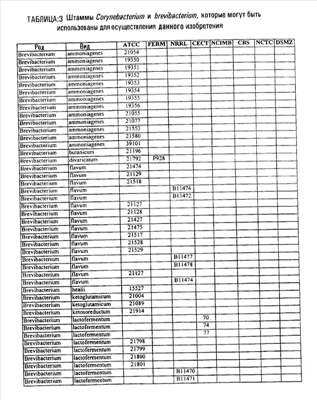
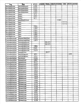
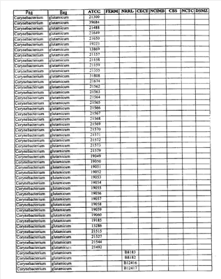
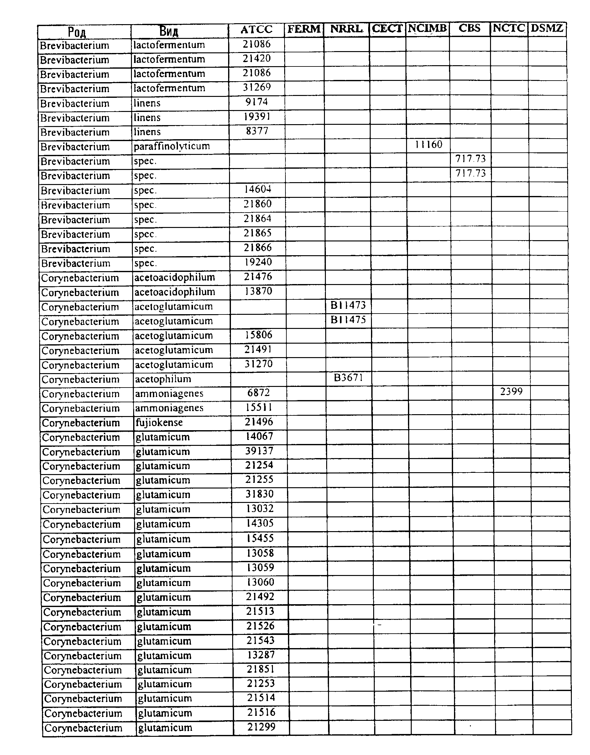
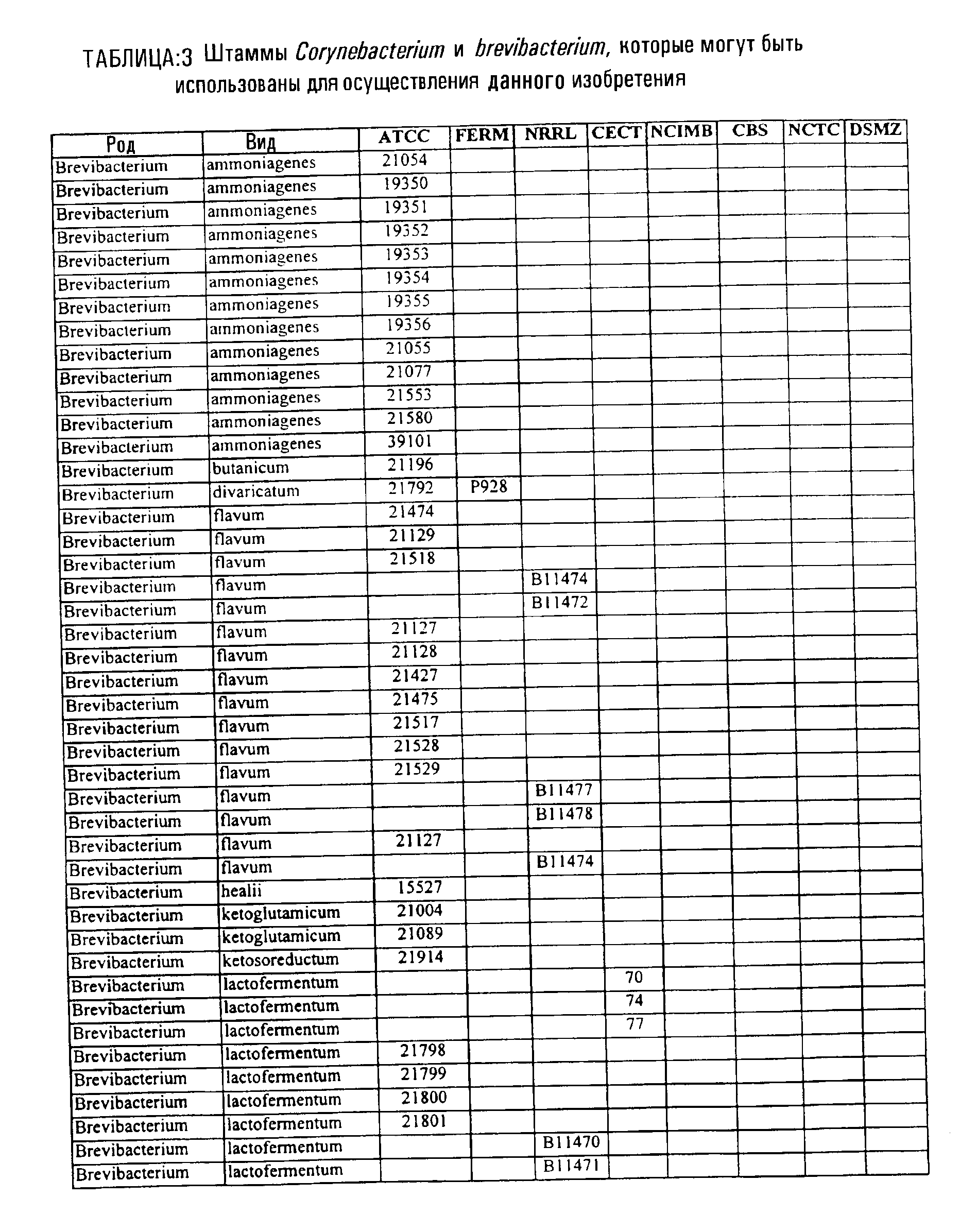
Другой аспект данного изобретения относится к способу получения химического продукта тонкого органического синтеза. Этот способ предусматривает культивирование клетки, содержащей вектор, направляющий экспрессию молекулы нуклеиновой кислоты SMP данного изобретения таким образом, что образуется химический продукт тонкого орагического синтеза. В предпочтительном варианте этот способ дополнительно включает стадию получения клетки, содержащей такой вектор, в которой клетку трансфицируют вектором, направляющим экспрессию нуклеиновой кислоты SMP. В другом предпочтительном варианте этот способ дополнительно включает стадию извлечения химических продуктов тонкого органического синтеза из культуры. В особенно предпочтительном варианте эта клетка является клеткой из рода Corynebacterium или Brevibacterium или выбрана из штаммов, приведенных в таблице 3.
Другой аспект данного изобретения относится к способам модуляции продуцирования молекулы из микроорганизма. Такие способы включают контактирование клетки с агентом, который модулирует активность белка SMP или экспрессию нуклеиновой кислоты SMP, так что связанная с клеткой активность является измененной относительно той же самой активности в отсутствие этого агента. В предпочтительном варианте клетку модулируют в отношении одного или нескольких путей метаболизма углерода С. glutamicum или в отношении продуцирования энергии через такие процессы, как окислительное фосфорилирование, так что выходы или скорость продуцирования желаемого химического продукта тонкого органического синтеза этим микроорганизмом улучшаются. Агент, который модулирует активность белка SMP, может быть агентом, стимулирующим активность белка SMP или экспрессию нуклеиновой кислоты SMP. Примеры агентов, стимулирующих активность белка SMP или экспрессию нуклеиновой кислоты SMP, включают небольшие молекулы, активные белки SMP и нуклеиновые кислоты, кодирующие белки SMP, которые были введены в клетку. Примеры агентов, ингибирующих активность SMP или экспрессию, включают небольшие молекулы и антисмысловые молекулы нуклеиновых кислот SMP.
Другой аспект данного изобретения относится к способам модуляции выходов желаемого соединения из клетки, включающим введение гена SMP дикого типа или мутантного SMP в клетку, либо сохраняемого на отдельной плазмиде, либо интегрируемого в геном клетки-хозяина. При интегрировании в геном такая интеграция может быть случайной или она может происходить посредством гомологичной рекомбинации, так что нативный ген заменяется вводимой копией, обусловливая модуляцию продуцирования желаемого соединения из этой клетки. В предпочтительном варианте указанные выходы увеличиваются. В другом предпочтительном варианте указанный химический продукт является химическим продуктом тонкого органического синтеза. В особенно конкретном предпочтительном варианте указанный химический продукт тонкого органического синтеза является аминокислотой. В особенно предпочтительном варианте указанная аминокислота является L-лизином.
Подробное описание изобретения
Данное изобретение представляет молекулы нуклеиновой кислоты и белка SMP, которые участвуют в метаболизме углеродных соединений, таких как сахара, и в генерировании энергетических молекул при помощи таких процессов, как окислительное фосфорилирование, в Corynebacterium glutamicum. Молекулы данного изобретения могут быть использованы в модуляции получения химических продуктов тонкого органического синтеза из микроорганизмов, таких как С. glutamicum, непосредственно (например, когда сверхэкспрессия или оптимизация белка гликолитического пути оказывает прямое действие на выход, продуктивность и/или эффективность продуцирования, например, пирувата из модифицированного С. glutamicum) или могут иметь опосредованное действие, которое тем не менее приводит к увеличению выхода, продуцирования и/или эффективности продуцирования желаемого соединения (например, когда модуляция белков, участвующих в окислительном фосфорилировании, приводит к изменениям в количестве энергии, доступной для проведения необходимых метаболических процессов и других клеточных функций, таких как биосинтез нуклеиновых кислот и белка и транскрипция/трансляция). Аспекты данного изобретения дополнительно объясняются ниже.
I. Химические продукты тонкого органического синтеза
Термин «химический продукт тонкого органического синтеза» является признанным в данной области и включает в себя молекулы, продуцируемые организмом, которые имеют применения в различных отраслях промышленности, таких как, но не только, фармацевтическая, сельскохозяйственная и косметическая отрасли промышленности. Такие соединения включают органические кислоты, такие как винная кислота, итаконовая кислота и диаминопимелиновая кислота, как протеиногенные, так и не-протеиногенные аминокислоты, пуриновые и пиримидиновые основания, нуклеозиды и нуклеотиды (описанные, например, в Kuninaka, A. (1996) Nucleotides and related compounds, p. 561-612, in Biotechnology vol. 6, Rehm et al., eds. VCH: Weinheim, и содержащихся в них ссылках), липиды, как насыщенные, так и ненасыщенные жирные кислоты (например, арахидоновую кислоту), диолы (например, пропандиол и бутандиол), углеводы (например, гиалуроновую кислоту и трегалозу), ароматические соединения (например, ароматические амины, ванилин и индиго), витамины и кофакторы (описанные в Ullmann’s Encyclopedia of Industrial Chemistry, vol. A27, “Vitamins”, p. 443-613 (1996) VCH: Weinheim и ссылках в них; и Ong, A.S., Niki, E. and Packer, L. (1995) “Nutrition, Lipids, Health, and Disease” Proceedings of the UNESCO/Confederation of Scientific and Technological Associations in Malaysia, and Society for Free Radical Research-Asia, held Sept. 1-3, 1994 at Penang, Malaysia, AOCS Press, (1995)), ферменты, поликетиды (Cane et al., (1998) Science 282: 63-68) и все другие химические продукты, описанные в Gutcho (1983) Chemicals by Fermentation, Noyes Data Corporation, ISBN: 0818805086 и имеющихся в этой работе ссылках. Метаболизм и применения некоторых из этих химических продуктов тонкого органического синтеза объясняются дополнительно ниже.
А. Метаболизм и применения аминокислот
Аминокислоты составляют основные структурные единицы всех белков и как таковые являются незаменимыми для нормального клеточного функционирования во всех организмах. Термин «аминокислота» является признанным в данной области. Протеиногенные аминокислоты, которыми являются 20 видов, служат в качестве структурных единиц для белков, в которых они связаны пептидными связями, тогда как не-протеиногенные аминокислоты (сотни которых известны) обычно не обнаруживаются в белках (см. Ullmann’s Encyclopedia of Industrial Chemistry, vol. A2, p. 57-97 VCH: Weinheim (1985)). Аминокислоты могут быть в D- или L-оптической конфигурации, хотя L-аминокислоты являются обычно единственным типом, обнаруживаемым в природно встречающихся белках. Биосинтетические пути и пути разложения каждой из 20 протеиногенных аминокислот были хорошо охарактеризованы как в прокариотических, так и в эукариотических клетках (см., например, Stryer, L. Biochemistry, 3rd edition, pages 578-590 (1988)). «Незаменимые» аминокислоты (гистидин, изолейцин, лейцин, лизин, метионин, фенилаланин, треонин, триптофан и валин), названные так, поскольку они обычно являются необходимыми в питании вследствие сложности их биосинтеза, легко превращаются посредством простых биосинтетических путей в остальные 11 «не-незаменимых» аминокислот (аланин, аргинин, аспарагин, аспартат, цистеин, глутамат, глутамин, глицин, пролин, серин и тирозин). Высшие животные действительно сохраняют способность синтезировать некоторые из этих аминокислот, но незаменимые аминокислоты должны предоставляться из пищевого рациона, для того чтобы имел место нормальный синтез белков.
Помимо их функции в биосинтезе белков, эти аминокислоты сами по себе представляют интерес, и было обнаружено, что многие из них имеют различные применения в кормовой, пищевой, химической, косметической, сельскохозяйственной и фармацевтической отраслях промышленности. Лизин является важной аминокислотой в питании не только человека, но также моногастрических животных (животных с однокамерным желудком), таких как домашняя птица и свинья. Глутамат наиболее часто используется в качестве вкусовой добавки (мононатрий-глутамат, MSG) и широко применяется в пищевой промышленности, так же как и аспартат, фенилаланин, глицин и цистеин. Глицин, L-метионин и триптофан используются в фармацевтической промышленности. Глутамин, валин, лейцин, изолейцин, гистидин, аргинин, пролин, серин и аланин применяют как в фармацевтической, так и в косметической промышленности. Треонин, триптофан и D/L-метионин являются общепринятыми пищевыми добавками (Leuchtenberger, W. (1996) Amino acids – technical production and use, p. 466-502 in Rehm et al., (eds.) Biotechnology vol. 6, chapter 14a, VCH: Weinheim). Кроме того, было обнаружено, что эти аминокислоты применимы в качестве предшественников для синтеза синтетических аминокислот и белков, таких как N-ацетилцистеин, S-карбоксиметил-L-цистеин, (S)-5-гидрокситриптофан и другие, описанные в Ullmann’s Encyclopedia of Industrial Chemistry, vol. A2, p. 57-97 VCH: Weinheim, 1985.
Биосинтез этих природных аминокислот в организмах, способных их продуцировать, таких как бактерии, был подробно охарактеризован (в отношении обзора бактериального биосинтеза аминокислот и его регуляции см., например, Umbarger, H.E. (1978) Ann. Rev. Biochem. 47: 533-606). Глутамат синтезируется восстановительным аминированием -кетоглутарата, промежуточного продукта цикла лимонной кислоты. Глутамин, пролин и аргинин, каждый, образуются затем из глутамата. Биосинтез серина является трехстадийным процессом, начинающимся с 3-фосфоглицерата (промежуточного продукта в гликолизе) и приводящим к этой аминокислоте после стадий окисления, переаминирования и гидролиза. Как цистеин, так и глицин образуются из серина; первый посредством конденсации гомоцистеина с серином, а последний переносом -углеродного атома боковой цепи к тетрагидрофолату, в реакции, катализируемой серин-трансгидроксиметилазой. Фенилаланин и тирозин синтезируются из предшественников гликолитического и пентозофосфатного пути эритрозо-4-фосфата и фосфоенолпирувата в 9-стадийном биосинтетическом пути, который отличается только на конечных двух стадиях после синтеза префената. Триптофан также образуется из этих двух исходных молекул, но его синтез является 11-стадийным путем. Тирозин может быть также синтезирован из фенилаланина, в реакции, катализируемой фенилаланингидроксилазой. Аланин, валин и лейцин – все являются биосинтетическими продуктами пирувата, конечного продукта гликолиза. Аспартат образуется из оксалоацетата, промежуточного продукта цикла лимонной кислоты. Аспарагин, метионин, треонин и лизин, каждый, образуются преобразованием аспартата. Изолейцин образуется из треонина. Сложный 9-стадийный путь приводит к образованию гистидина из 5-фосфорибозил-1-пирофосфата, активированного сахара.
Аминокислоты в превышающем потребности белкового синтеза клетки количестве не могут запасаться и вместо этого разрушаются с образованием промежуточных продуктов для основных метаболических путей клетки (в отношении обзора см. Stryer, L. Biochemistry 3rd ed. Ch. 21 “Amino Acid Degradation and the Urea Cycle”, p. 495-516 (1998)). Хотя клетка способна превращать нежелательные аминокислоты в полезные метаболические промежуточные продукты, получение аминокислот является дорогостоящим в отношении энергии, молекул предшественников и ферментов, необходимых для их синтеза. Таким образом, неудивительно, что биосинтез аминокислот регулируется ингибированием по типу обратной связи, в котором присутствие конкретной аминокислоты служит для замедления или полной остановки ее собственного образования (в отношении обзора механизмов по типу обратной связи в путях биосинтеза аминокислот см. Stryer, L. Biochemistry 3rd ed. Ch. 24: “Biosynthesis of Amino Acids and Heme”, p. 575-600 (1988)). Таким образом, выход любой конкретной аминокислоты лимитирован количеством этой аминокислоты, присутствующим в клетке.
В. Метаболизм и применения витаминов, кофакторов и нутрацевтических веществ (пищевых добавок)
Витамины, кофакторы и нутрацевтические вещества (пищевые добавки) составляют другую группу молекул, которые высшие животные не синтезируют вследствие утраты способности их синтеза и которые, следовательно, должны приниматься животными с пищей, хотя они легко синтезируются другими организмами, такими как бактерии. Эти молекулы либо сами являются биологически активными веществами, либо они являются предшественниками биологически активных веществ, которые могут служить в качестве носителей электронов или промежуточных продуктов в многочисленных метаболических путях. Помимо их питательной ценности, эти соединения имеют также значительную промышленную ценность в качестве красящих агентов, антиоксидантов и катализаторов или других технологических вспомогательных средств (в отношении обзора структуры, активности и промышленных применений этих соединений см., например, Ullmann’s Encyclopedia of Industrial Chemistry, “Vitamins” vol. A27, p. 443-613 VCH: Weinheim, 1996). Термин “витамин” является признанным в данной области и включает в себя питательные вещества, которые необходимы организму для нормального функционирования, но которые этот организм не может сам синтезировать. Группа витаминов может охватывать кофакторы и добавочные питательные (нутрацевтические) соединения (пищевые добавки). Термин “кофактор” включает в себя небелковые соединения, требуемые для того, чтобы имела место нормальная ферментативная активность. Такие соединения могут быть органическими или неорганическими; молекулы кофакторов данного изобретения являются предпочтительно органическими. Термин “нутрацевтическое вещество” включает в себя пищевые добавки, полезные для здоровья растений и животных, в частности людей. Примерами таких молекул являются витамины, антиоксиданты и также некоторые липиды (например, полиненасыщенные жирные кислоты).
Биосинтез этих молекул в организмах, способных их продуцировать, таких как бактерии, был в значительной степени охарактеризован (Ullmann’s Encyclopedia of Industrial Chemistry, “Vitamins” vol. A27, p. 443-613, VCH: Weinheim, 1996; Michal, G. (1999) Biochemical Pathways: An Atlas of Biochemistry and Molecular Biology, John Wiley and Sons; Ong, A.S., Niki, E and Packer, L. (1995) “Nutrition, Lipids, Health, and Disease” Proceedings of the UNESCO/Confederation of Scientific and Technological Associations in Malaysia, and Society for Free Radical Research-Asia, held Sept. 1-3, 1994 at Penang, Malaysia, AOCS Press: Champaign, IL X, 374 S).
Тиамин (витамин В1) образуется химическим связыванием пиримидиновой и тиазоловой частей молекулы. Рибофлавин (витамин В2) синтезируется из гуанозин-5′-трифосфата (ГТФ) и рибозо-5′-фосфата. Рибофлавин, в свою очередь, используется для синтеза флавинмононуклеотида (FMN) и флавинадениндинуклеотида (FAD). Семейство соединений, совокупно называемых «витамином В6» (например, пиридоксин, пиридоксамин, пиридокса-5′-фосфат и коммерчески используемый пиридоксингидрохлорид), включает соединения, являющиеся производными общей структурной единицы, 5-гидрокси-6-метилпиридина. Пантотенат (пантотеновая кислота, (R)-(+)-N-(2,4-дигидрокси-3,3-диметил-1-оксобутил)- -аланин) может быть получен химическим синтезом или ферментацией. Конечные стадии в биосинтезе пантотената состоят из АТФ-управляемой конденсации -аланина и пантоевой кислоты. Ферменты, ответственные за стадии биосинтеза для превращения в пантоевую кислоту, в -аланин и для конденсации в пантотеновую кислоту, являются известными. Метаболически активной формой пантотената является Кофермент А, биосинтез которого протекает в виде 5 ферментативных стадий. Пантотенат, пиридоксаль-5′-фосфат, цистеин и АТФ являются предшественниками Кофермента А. Эти ферменты катализируют не только образование пантотената, но также образование (R)-пантоевой кислоты, (R)-пантолактона, (R)-пантенола (провитамина В5) (и его производных) и кофермента А.
Биосинтез биотина из молекулы-предшественника пимелоил-КоА был в микроорганизме подробно исследован, и были идентифицированы несколько участвующих в нем генов. Было обнаружено, что многие из соответствующих белков участвуют также в синтезе Fe-кластера и являются членами белков nifS-класса. Липоевую кислоту получают из октановой кислоты и она служит в качестве кофермента в энергетическом обмене, где становится частью пируватдегидрогеназного комплекса и -кетоглутаратдегидрогеназного комплекса. Фолаты являются группой веществ, которые все являются производными фолиевой кислоты, которая, в свою очередь, образуется из L-глутаминовой кислоты, п-аминобензойной кислоты и 6-метилптерина. Биосинтез фолиевой кислоты и ее производных, начинающийся с промежуточных продуктов метаболизма гуанозин-5′-трифосфата (ГТФ), L-глутаминовой кислоты и п-аминобензойной кислоты, был подробно исследован в некоторых микроорганизмах.
Корриноиды (такие как кобаламины и, в частности, витамин В12) и порфирины принадлежат к группе химических продуктов, характеризующихся системой тетрапиролльного кольца. Биосинтез витамина В12 является достаточно сложным, так что он еще не был полностью охарактеризован, но многие участвующие в нем ферменты и субстраты в настоящее время известны. Никотиновая кислота (никотинат) и никотинамид являются производными пиридина, которые называют также “ниацином”. Ниацин является предшественником важных коферментов НАД (никотинамидадениндинуклеотида) и НАДФ (никотинамидадениндинуклеотидфосфата) и их восстановленных форм.
Крупномасштабное получение этих соединений в значительной степени основано на бесклеточных химических синтезах, хотя некоторые из этих химических продуктов были также получены крупномасштабным культивированием микроорганизмов, такие как рибофлавин, витамин В6, пантотенат и биотин. Только витамин В12 получают исключительно ферментацией вследствие сложности его синтеза. Методологии in vitro требуют значительных затрат материалов и времени, часто при высокой стоимости.
С. Метаболизм и применения пуринов, пиримидинов, нуклеозидов и нуклеотидов
Гены метаболизма пуринов и пиримидинов и их соответствующие белки являются важными мишенями для терапии опухолевых заболеваний и вирусных инфекций. Термины “пурин” или “пиримидин” включают в себя азотистые основания, которые являются составляющими нуклеиновых кислот, коферментов и нуклеотидов. Термин “нуклеотид” включает в себя основные структурные единицы молекул нуклеиновых кислот, которые состоят из азотистого основания, пентозного сахара (в случае РНК этот сахар является рибозой; в случае ДНК этот сахар является D-дезоксирибозой) и фосфорной кислоты. Термин “нуклеозид” включает в себя молекулы, которые служат в качестве предшественников для нуклеотидов, но которые не содержат части, являющейся фосфорной кислотой, которую имеют нуклеотиды. Ингибированием биосинтеза этих молекул или их мобилизации для образования молекул нуклеиновых кислот можно ингибировать синтез РНК и ДНК; ингибированием этой активности нацеленным на раковые клетки образом можно ингибировать способность опухолевых клеток делиться и размножаться. Кроме того, имеются нуклеотиды, которые не образуют молекул нуклеиновых кислот, а служат в качестве запасов энергии (т.е. АМФ) или в качестве коферментов (т.е. FAD и NAD).
В нескольких публикациях было описано применение этих химических продуктов для медицинских показаний, посредством влияния на метаболизм пуринов и/или пиримидинов (например, Christopherson, R.I. and Lyons, S.D. (1990) “Potent inhibitors of de novo pyrimidine and purine biosynthesis as chemotherapeutic agents”. Med. Res. Reviews 10: 505-548). Исследования ферментов, участвующих в метаболизме пуринов и пиримидинов, было сосредоточено на развитии новых лекарственных средств, которые могут быть использованы, например, в качестве иммунодепрессантов или антипролиферантов (Smith, J.L., (1995) “Enzymes in nucleotide synthesis”. Curr. Opin. Struct. Biol. 5: 752-757; (1995) Biochem. Soc. Transact. 23: 877-902). Однако пуриновые и пиримидиновые основания, нуклеозиды и нуклеотиды имеют другие применения: в качестве промежуточных продуктов в биосинтезе некоторых химических продуктов тонкого органического синтеза (например, тиамина, S-аденозилметионина, фолатов или рибофлавина), в качестве энергоносителей для клетки (например, АТФ или ГТФ) и для самих химических продуктов, обычно используемых в качестве усилителей аромата (например, ИМФ или ГМФ) или для некоторых медицинских применений (см., например, Kuninaka, A. (1996) Nucleotides and Related Compounds in Biotechnology vol. 6, Rehm et al., eds. VCH: Weinheim, p. 561-612). Кроме того, ферменты, участвующие в метаболизме пуринов, пиримидинов, нуклеозидов или нуклеотидов, все больше используются в качестве мишеней, против которых разрабатываются химические продукты для защиты урожая сельскохозяйственных культур, в том числе фунгициды, гербициды и инсектициды.
Метаболизм этих соединений в бактериях был охарактеризован (в отношении обзора см., например, Zalkin, H. and Dixon, J.E. (1992) “de novo purine nucleotide biosynthesis”, in: Progress in Nucleic Acid Research and Molecular Biology, vol. 42, Academic Press: p. 259-287 и Michal, G. (1999) “Nucleotides and Nucleosides”, Chapter 8 in: Biochemical Pathways: An Atlas of Biochemistry and Molecular Biology, Wiley: New York). Метаболизм пуринов был объектом интенсивного исследования, и он является существенным для нормального функционирования клетки. Нарушенный метаболизм пуринов в высших животных может вызывать серьезное заболевание, такое как подагра. Пуриновые нуклеотиды синтезируются из рибозо-5-фосфата, в ряде стадий через промежуточное соединение инозин-5′-фосфат (ИМФ), приводя к образованию гуанозин-5′-монофосфата (ГМФ) или аденозин-5′-монофосфата (АМФ), из которых легко образуются трифосфатные формы, используемые в качестве нуклеотидов. Эти соединения используются также в качестве энергозапасов, и таким образом их разложением обеспечивается энергия для многих различных биохимических процессов в клетке. Биосинтез пиримидинов протекает посредством образования уридин-5′-монофосфата (УМФ) из рибозо-5-фосфата. УМФ, в свою очередь, превращается в цитидин-5′-трифосфат (ЦТФ). Дезоксиформы всех этих нуклеотидов образуются в одностадийной реакции восстановления из дифосфатрибозной формы нуклеотида в дифосфатную дезоксирибозную форму этого нуклеотида. При фосфорилировании эти молекулы способны участвовать в синтезе ДНК.
D. Метаболизм и применения трегалозы
Трегалоза состоит из двух молекул глюкозы, связанных в , -1,1-связи. Ее обычно используют в пищевой промышленности в качестве подслащивающего вещества, добавки для высушенных или замороженных пищевых продуктов и в напитках. Однако она применяется также в фармацевтической, косметической и биотехнологической отраслях промышленности (см., например, Nishimoto et al. (1998), U.S. Patent No. 5 759 610; Singer, M.A. and Lindquist, S. (1998) Trends Biotech. 16: 460-467; Paiva, C.L.A. and Panek, A.D. (1996) Biotech. Ann. Rev. 2: 293-314; и Shiosaka, M. (1997) J. Japan. 172: 97-102). Трегалоза образуется ферментами из многих микроорганизмов и природно высвобождается в окружающую среду, из которой она может быть собрана с использованием способов, известных в данной области.
II. Использование сахарных и углеродных молекул и окислительное фосфорилирование
Углерод является важнейшим элементом для образования всех органических соединений и, следовательно, является пищевым требованием не только для роста и деления С. glutamicum, но также для сверхпродуцирования химических продуктов тонкого органического синтеза из этого микроорганизма. Сахара, такие как моно-, ди- или полисахариды, являются особенно хорошими источниками углерода, и, следовательно, стандартные среды для выращивания обычно содержат одно или несколько из следующих веществ: глюкозы, фруктозы, маннозы, галактозы, рибозы, сорбозы, рибулозы, лактозы, мальтозы, сахарозы, рафинозы, крахмала или целлюлозы (Ullmann’s Encyclopedia of Industrial Chemistry (1987) vol. A9 “Enzymes”, VCH: Weinheim). Альтернативно, в этих средах могут использоваться более сложные формы сахара, такие как мелассы или другие побочные продукты очистки сахаров. Другие соединения, помимо сахаров, могут быть использованы в качестве альтернативных источников углерода, в том числе спирты (например, этанол или метанол), алканы, сахароспирты, жирные кислоты и органические кислоты (например, уксусная кислота или молочная кислота). В отношении обзора источников углерода и их использования микроорганизмами в культуре см.: Ullmann’s Encyclopedia of Industrial Chemistry (1987) vol. A9 “Enzymes”, VCH: Weinheim; Stoppok, E. and Buchholz, K. (1996) “Sugar-based raw materials for fermentation applications” in Biotechnology (Rehm, H.J. et al., eds.) vol. 6, VCH; Weinheim, p. 5-29; Rehm, H.J. (1980) Industrielle Microbiologie, Springer: Berlin; Bartholomew, W.H., and Reiman, H.B. (1979). Economics of Fermentation Processes, in: Peppler, H.J. and Perlman, D., eds. Microbial Technology 2nd ed., vol. 2, chapter 18, Academic Press: New York; и Kockova-Kratachvilova, A. (1981) Characteristics of Industrial Microorganisms, in: Rehm, H.J. and Reed, G., eds. Handbook of Biotechnology, vol. 1, chapter 1, Verlag Chemie: Weinheim.
После поглощения эти энергоемкие молекулы углерода должны процессироваться таким образом, чтобы они были способны разлагаться с использованием одного из основных путей метаболизма сахаров. Такие пути приводят непосредственно к образованию применимых продуктов разложения, таких как рибозо-5-фосфат и фосфоенолпируват, который может затем превращаться в пируват. Три из этих наиболее важных путей в бактериях для метаболизма сахаров включают путь Эмбдена-Мейерхоффа-Памаса (ЭМП) (известный также как гликолитический или фруктозобисфосфатный путь), гексозомонофосфатный (ГМФ) путь (известный также как пентозный шунт или пентозофосфатный путь) и путь Энтнера-Дудорова (ЭД) (в отношении обзора см. Michal, G. (1999) Biochemical Pathway: An Atlas of Biochemistry and Molecular Biology, Wiley: New York, and Stryer, L. (1988) Biochemistry, Chapters 13-19, Freeman: New York и приведенные в них ссылки).
Путь ЭМП превращает молекулы гексозы в пируват и в этом процессе продуцирует 2 молекулы АТФ и 2 молекулы НАДН. С использованием глюкозо-1-фосфата в качестве исходной молекулы (который может либо прямо поглощаться из среды, либо альтернативно может генерироваться из гликогена, крахмала или целлюлозы) молекула глюкозы изомеризуется до фруктозо-6-фосфата, фосфорилируется и расщепляется на две 3-углеродные молекулы глицеральдегид-3-фосфата. После дегидрирования, фосфорилирования и последовательных перегруппировок образуется пируват.
ГМФ-путь превращает восстанавливающие эквиваленты, такие как НАДФ, и продуцирует соединения пентозы и тетрозы, которые являются необходимыми в качестве промежуточных продуктов и предшественников в ряде других метаболических путей. В ГМФ-пути глюкозо-6-фосфат превращается в рибулозо-5-фосфат посредством двух последовательных дегидрогеназных реакций (которые также высвобождают две молекулы НАДФН) и стадии карбоксилирования. Рибулозо-5-фосфат может быть также превращен в ксилулозо-5-фосфат и рибозо-5-фосфат; первый может подвергаться ряду биохимических стадий с образованием глюкозо-6-фосфата, который может входить в путь ЭМП, тогда как последний обычно используется в качестве промежуточного продукта в других биосинтетических путях в клетке.
Путь ЭД начинается с соединения глюкозы или глюконата, которое затем фосфорилируется и дегидратируется с образованием 2-дегидро-3-дезокси-6-Р-глюконата. Глюкуронат и галактуронат могут быть также превращены в 2-дегидро-3-дезокси-6-Р-глюконат через более сложные биохимические пути. Эта полученная молекула затем ресщепляется до глицеральдегид-3-Р и пирувата; глицеральдегид-3-Р может быть сам превращен в пируват (Р обозначает фосфат).
Путь ЭМП и ГМФ-путь имеют общие признаки, в том числе общие промежуточные продукты и ферменты. Путь ЭМП обеспечивает наибольшее количество АТФ, но он не продуцирует рибозо-5-фосфат, важный предшественник, например, для биосинтеза нуклеиновых кислот, и не продуцирует эритрозо-4-фосфат, который является важным для биосинтеза аминокислот. Таким образом, микроорганизмы, которые способны использовать только путь ЭМП для утилизации глюкозы, неспособны расти на простых средах с глюкозой в качестве единственного источника углерода. Их называют разборчивыми (привередливыми) организмами, и их рост требует введений комплексных соединений, таких как обнаруживаемые в дрожжевом экстракте.
В противоположность этому, ГМФ-путь продуцирует все предшественники, необходимые для биосинтеза как нуклеиновых кислот, так и аминокислот, но все же дает только половину количества энергии АТФ в сравнении с путем ЭМП. ГМФ-путь продуцирует НАДФН, который может быть использован для окислительно-восстановительных реакций в биосинтетических путях. Однако ГМФ-путь не продуцирует непосредственно пируват, и, следовательно, эти микроорганизмы должны иметь также часть пути ЭМП. Таким образом, неудивительно, что эволюция создала ряд микроорганизмов, в частности факультативных анаэробов, которые обладают этими обоими путями.
Путь ЭД до сих пор был обнаружен только в бактериях. Хотя этот путь связан отчасти с ГМФ-путем в обращенном направлении в отношении образования предшественников, путь ЭД непосредственно образует пируват альдолазным расщеплением 3-кетодезокси-5-фосфоглюконата. Путь ЭД может существовать сам по себе и используется большинством строго аэробных микроорганизмов. Общий результат сходен с результатом ГМФ-пути, хотя один моль АТФ может быть образован только в том случае, если атомы углерода превращаются в пируват, а не в молекулы-предшественники.
Молекулы пирувата, продуцируемые любым из этих путей, могут быть легко превращены в энергию через цикл Кребса (известный также как цикл лимонной кислоты, цитратный цикл или цикл трикарбоновых кислот (цикл ТКК)). В этом процессе пируват сначала декарбоксилируется, приводя к образованию одной молекулы НАДН, 1 молекулы ацетил-КоА и 1 молекулы СО2. Затем ацетильная группа ацетил-КоА взаимодействует с 4-углеродной единицей, оксалоацетатом, приводя к образованию лимонной кислоты, 6-углеродной органической кислоты. Происходит дегидратация и выделяются две дополнительные молекулы СО2. В конечном счете, оксалоацетат регенерируется и опять может служить в качестве акцептора ацетила, завершая таким образом цикл. Электроны, высвобождаемые во время окисления промежуточных продуктов в ТКК-цикле, переносятся к НАД+ с выходом НАДН.
Во время дыхания электроны от НАДН переносятся к молекулярному кислороду или другим конечным акцепторам электронов. Этот процесс катализируется дыхательной цепью, системой электронного транспорта, содержащей как интегральные мембранные белки, так и мембраносвязанные белки. Эта система служит для двух основных функций: во-первых, для акцептирования электронов от донора электронов и переноса их к акцептору электронов и, во-вторых, для сохранения некоторой части энергии, высвобождаемой во время переноса электронов, посредством синтеза АТФ. Известно, что несколько типов окислительно-восстановительных ферментов и белков электронного транспорта участвуют в таких процессах, в том числе НАДН-дегидрогеназы, флавинсодержащие носители электрона, железо-серосодержащие белки и цитохромы. НАДН-дегидрогеназы расположены на цитоплазматической поверхности плазматической мембраны и переносят атомы водорода от НАДН к флавопротеинам, акцептируя, в свою очередь, электроны от НАДН. Флавопротеины являются группой переносчиков электрона, обладающих флавиновой простетической группой, которая периодически восстанавливается и окисляется, когда она акцептирует и переносит электроны. Известно, что три флавина участвуют в этих реакциях: рибофлавин, флавинадениндинуклеотид (ФАД) и флавинмононуклеотид (ФМН). Железо-серосодержащие белки содержат кластер атомов, которые не являются связанными с группой гема, но которые все еще способны участвовать в реакциях дегидратации и регидратации. Сукцинатдегидрогеназа и аконитаза являются примерами железо-серосодержащих белков; их железо-серокомплексы служат для акцептирования и переноса электронов в виде части общей цепи транспорта электронов. Цитохромы являются белками, содержащими железо-порфириновое кольцо (гем). Имеется ряд различных классов цитохромов, отличающихся по их восстановительным потенциалам. Функционально эти цитохромы образуют пути, в которых электроны могут переноситься к другим цитохромам, имеющим увеличивающиеся более положительные восстановительные потенциалы. Известен следующий класс небелковых переносчиков электрона: липидорастворимые хиноны (например, кофермент Q). Эти молекулы также служат в качестве акцепторов атомов водорода и доноров электронов.
Действие дыхательной цепи генерирует градиент протонов сквозь клеточную мембрану, приводя к возникновению протондвижущей силы. Эта сила используется клеткой для синтеза АТФ, через простирающийся через мембрану фермент, АТФ-синтазу. Этот фермент является мультипротеиновым комплексом, в котором транспорт Н+-молекул через мембрану приводит к физическому вращению внутриклеточных субъединиц и сопутствующему фосфорилированию АДФ с образованием АТФ (в отношении обзора см. Fillingame, R.H. and Divall, S. (1999) Novartis Found. Symp. 221: 218-229, 229-234).
Не-гексозные углеродные субстраты могут также служить в качестве источников углерода и энергии для клеток. Такие субстраты могут сначала превращаться в гексозные сахара в пути глюконеогенеза, где сначала клеткой генерируется глюкоза и затем она разлагается с образованием энергии. Исходным материалом для этой реакции является фосфоенолпируват (ФЕП), который является одним из ключевых промежуточных продуктов в гликолитическом пути. ФЕП может быть образован из субстратов, иных, чем сахара, например уксусной кислоты, или декарбоксилированием оксалоацетата (который сам является промежуточным продуктом в ТКК-цикле). Обращением гликолитического пути (с использованием каскада ферментов, иных, чем ферменты исходного пути гликолиза) может быть образован глюкозо-6-фосфат. Превращение пирувата в глюкозу требует использования 6 высокоэнергетических фосфатных связей, тогда как гликолиз продуцирует только 2 АТФ в превращении глюкозы в пируват. Однако полное окисление глюкозы (гликолиз, превращение пирувата в ацетил-КоА, цикл лимонной кислоты и окислительное фосфорилирование) дает 36-38 АТФ, так что фактическая потеря высокоэнергетических фосфатных связей, испытываемая во время глюконеогенеза, компенсируется общим более высоким выигрышем в таких высокоэнергетических молекулах, продуцируемых окислением глюкозы.
III. Элементы и способы изобретения
Данное изобретение основано, по меньшей мере частично, на обнаружении новых молекул, называемых здесь молекулами нуклеиновых кислот и белков SMP, которые участвуют в превращении сахаров в полезные продукты разложения и энергию (например, АТФ) в С. glutamicum или которые могут участвовать в продуцировании полезных энергоемких молекул (например, АТФ) при помощи других процессов, таких как окислительное фосфорилирование. В одном варианте молекулы SMP участвуют в метаболизме углеродных соединений, таких как сахара, или в генерировании энергетических молекул (например, АТФ) при помощи таких процессов, как окислительное фосфорилирование, в Corynebacterium glutamicum. В предпочтительном варианте активность молекул SMP данного изобретения в содействии метаболизму углерода или продуцированию энергии в С. glutamicum заключается во влиянии на продуцирование желаемого химического продукта тонкого органического синтеза этим организмом. В особенно предпочтительном варианте молекулы SMP данного изобретения модулируются по активности, так что метаболические и энергетические пути С. glutamicum, в которых участвуют белки SMP данного изобретения, модулируются в отношении выхода, продуцирования и/или эффективности продуцирования, что либо прямо, либо опосредованно модулирует выход, продуцирование и/или эффективность продуцирования желаемого химического продукта тонкого органического синтеза из С. glutamicum.
Выражение «белок SMP» или «полипептид SMP» включает в себя белки, которые способны выполнять функцию, участвующую в метаболизме углеродных соединений, таких как сахара, и генерировании энергетических молекул при помощи таких процессов, как окислительное фосфорилирование, в Corynebacterium glutamicum. Примеры белков SMP включают белки SMP, кодируемые генами SMP, представленными в таблице 1 и имеющими нечетные номера SEQ ID NO:. Термины «ген SMP» или «последовательность нуклеиновой кислоты SMP» включают в себя последовательности нуклеиновых кислот, кодирующих белок SMP, которые состоят из кодирующего участка, а также из соответствующих нетранслируемых 5′- и 3′-участков последовательности. Примеры генов SMP включают гены, приведенные в таблице 1. Термины «продуцирование» или «продуктивность» являются признанными в данной области и включают в себя концентрацию продукта ферментации (например, желаемого химического продукта тонкого органического синтеза), образованного за конкретное время и в конкретном объеме ферментации (например, кг продукта в час на литр). Термин «эффективность продуцирования» включает в себя время, необходимое для конкретного уровня продуцирования, который должен быть достигнут (например, время, которое необходимо для клетки для достижения конкретной скорости выхода химического продукта тонкого органического синтеза). Термины «выход» или «выход продукт/углерод» являются признанными в данной области и включают в себя эффективность превращения источника углерода в продукт (т.е. в химический продукт тонкого органического синтеза). Это обычно выражается как, например, кг продукта на кг источника углерода. Посредством увеличения выхода или продуцирования соединения количество извлеченных молекул этого соединения в конкретном количестве культуры на протяжении конкретного периода времени увеличивается. Термины «биосинтез» или «биосинтетический путь» являются признанными в данной области и включают в себя синтез соединения, предпочтительно органического соединения, клеткой из промежуточных соединений, который может включать в себя многостадийный и высокорегулируемый процесс. Термины «разложение» или «путь разложения» являются признанными в данной области и включают в себя распад соединения, предпочтительно органического соединения, клеткой до продуктов разложения (говоря в общем, меньших по размеру или менее сложных молекул), который может включать в себя многостадийный и высокорегулируемый процесс. Термин «продукт разложения» является признанным в данной области и включает в себя продукты распада соединения. Такие продукты могут сами иметь применение в качестве предшественника (исходной точки) или промежуточных молекул, необходимых для биосинтеза других соединений клеткой. Термин «метаболизм» является признанным в данной области и включает в себя всю сумму биохимических реакций, которые имеют место в организме. Тогда метаболизм конкретного соединения (например, метаболизм аминокислоты, например глицина) включает в себя общие биосинтетические пути, пути модификации и разложения в клетке, связанные с этим соединением.
В другом варианте молекулы SMP данного изобретения способны модулировать продуцирование желаемой молекулы, например химического продукта тонкого органического синтеза, в микроорганизме, таком как С. glutamicum. Существуют ряд механизмов, при помощи которых изменение белка SMP данного изобретения может непосредственно влиять на выход, продуцирование и/или эффективность продуцирования химического продукта тонкого органического синтеза из штамма С. glutamicum, включающего такой измененный белок. Разложение высокоэнергетических углеродных молекул, таких как сахара, и превращение таких соединений, как НАДН и ФАДН2, в более применимые формы через окислительное фосфорилирование приводит к образованию ряда соединений, которые сами могут быть желаемыми химическими продуктами тонкого органического синтеза, такими как пируват, АТФ, НАДН и ряд промежуточных сахарных соединений. Далее, энергоемкие молекулы (например, АТФ) и восстанавливающие эквиваленты (такие как НАДН или НАДФН), продуцируемые этими метаболическими путями, используются в клетке для проведения реакций, которые в противном случае были бы энергетически неблагоприятными. Такие неблагоприятные реакции включают многие биосинтетические пути для химических продуктов тонкого органического синтеза. Посредством улучшения способности клетки использовать конкретный сахар (например, манипулированием генами, кодирующими ферменты, участвующие в разложении и превращении этого сахара в энергию для клетки) можно увеличивать количество доступной энергии для создания возможности протекания неблагоприятных, но тем не менее желаемых метаболических реакций (например, биосинтеза желаемого химического продукта тонкого органического синтеза).
Мутагенез одного или более генов SMP данного изобретения может также обуславливать наличие белков SMP, имеющих измененные активности, которые опосредованно влияют на продуцирование одного или более желательных химических продуктов тонкого органического синтеза из С. glutamicum. Например, посредством увеличения использования одного или более сахаров (так что превращение этого сахара в полезные энергетические молекулы улучшается) или посредством увеличения эффективности превращения восстанавливающих эквивалентов в полезные энергетические молекулы (например, улучшением эффективности окислительного фосфорилирования или активности АТФ-синтазы) можно увеличивать количество этих высокоэнергетических соединений, доступных для клетки, для проведения обычно неблагоприятных метаболических процессов. Эти процессы включают образование клеточных стенок, транскрипцию, трансляцию и биосинтез соединений, необходимых для роста и деления клеток (например, нуклеотидов, аминокислот, витаминов, липидов и т.д.) (Lengeler et al. (1999) Biology of Prokariotes, Thieme Verlag: Stuttgart, p. 88-109; 913-918; 875-899). Посредством улучшения роста и размножения этих сконструированных клеток можно как повысить жизнеспособность этих клеток в крупномасштабной культуре, так и улучшить скорость их деления, так что относительно большее число клеток могут выживать в культуре ферментера. Выход, продуктивность или эффективность продуцирования могут быть увеличены, по меньшей мере вследствие присутствия большего числа жизнеспособных клеток, каждая из которых продуцирует желаемый химический продукт тонкого органического синтеза. Далее, ряд продуктов разложения и промежуточных соединений, продуцируемых во время метаболизма сахара, являются необходимыми предшественниками и промежуточными продуктами для других биосинтетических путей в клетке. Например, многие аминокислоты синтезируются непосредственно из соединений, обычно происходящих из гликолиза или ТКК-цикла (например, серин синтезируется из 3-фосфоглицерата, промежуточного продукта гликолиза). Таким образом, посредством увеличения эффективности превращения сахаров в полезные энергетические молекулы можно также увеличивать количество желаемых продуктов разложения.
Выделенные последовательности нуклеиновых кислот данного изобретения содержатся в геноме штамма Corynebacterium glutamicum, доступного в Американской Коллекции Типовых культур, с номером депонирования АТСС 13032. Нуклеотидная последовательность выделенных ДНК SMP С. glutamicum и предсказанные аминокислотные последовательности белков SMP С. glutamicum показаны в Списке последовательностей в виде имеющих нечетные номера SEQ ID NO: и четные номера SEQ ID NO:, соответственно. Были проведены компьютерные анализы, которые классифицировали и/или идентифицировали эти нуклеотидные последовательности как последовательности, кодирующие белки, имеющие функцию, участвующую в метаболизме углеродных соединений, таких как сахара, или в генерировании энергетических молекул при помощи таких процессов, как окислительное фосфорилирование, в Corynebacterium glutamicum.
Данное изобретение относится также к белкам, имеющим аминокислотную последовательность, которая является по существу гомологичной аминокислотной последовательности данного изобретения (например, последовательности, имеющей четный номер SEQ ID NO: Списка последовательностей). В применении здесь, белок, имеющий аминокислотную последовательность, которая является по существу гомологичной выбранной аминокислотной последовательности, является по меньшей мере на приблизительно 50% гомологичным выбранной аминокислотной последовательности, например полной выбранной аминокислотной последовательности. Белок, имеющий аминокислотную последовательность, которая является по существу гомологичной выбранной аминокислотной последовательности, может также быть по меньшей мере на приблизительно 50-60%, предпочтительно по меньшей мере на приблизительно 60-70% и более предпочтительно по меньшей мере на приблизительно 70-80%, 80-90% или 90-95% и наиболее предпочтительно по меньшей мере на приблизительно 96%, 97%, 98%, 99% или более гомологичным выбранной аминокислотной последовательности.
Белок SMP, или его биологически активная часть, или биологически активный фрагмент данного изобретения может участвовать в метаболизме углеродных соединений, таких как сахара, или в генерировании энергетических молекул (например, АТФ) при помощи таких процессов, как окислительное фосфорилирование, в Corynebacterium glutamicum, или может иметь одну или большее количество активностей, приведенных в таблице 1.
Различные аспекты данного изобретения описаны с дополнительными подробностями в следующих подразделах:
А. Выделенные молекулы нуклеиновых кислот
Один аспект данного изобретения относится к выделенным молекулам нуклеиновых кислот, которые кодируют полипептиды SMP или их биологически активные части, а также фрагментам нуклеиновых кислот, достаточным для применения в качестве гибридизационных зондов или праймеров для идендификации или амплификации кодирующей SMP нуклеиновой кислоты (например, ДНК SMP). В применении здесь термин “молекула нуклеиновой кислоты” включает в себя молекулы ДНК (например, кДНК или геномную ДНК), и молекулы РНК (например, мРНК), и аналоги ДНК или РНК, полученные с использованием нуклеотидных аналогов. Этот термин включает в себя также нетранслируемую последовательность, локализованную по обоим 3′- и 5′-концам кодирующего участка этого гена: по меньшей мере приблизительно 100 нуклеотидов последовательности выше (против хода транскрипции) от 5′-конца кодирующего участка и по меньшей мере приблизительно 20 нуклеотидов ниже (по ходу транскрипции) от 3′-конца кодирующего участка этого гена. Молекула нуклеиновой кислоты может быть одноцепочечной или двухцепочечной, но предпочтительно является двухцепочечной ДНК. “Выделенная” молекула нуклеиновой кислоты является молекулой нуклеиновой кислоты, которая отделена от других молекул нуклеиновых кислот, которые присутствуют в природном источнике этой нуклеиновой кислоты. Предпочтительно “выделенная” нуклеиновая кислота не содержит последовательностей, которые природно фланкируют эту нуклеиновую кислоту (т.е. последовательностей, локализованных по 5′- и 3′-концам этой нуклеиновой кислоты) в геномной ДНК организма, из которого получена эта нуклеиновая кислота. Например, в различных вариантах выделенная молекула нуклеиновой кислоты SMP может содержать менее чем приблизительно 5 т.п.н., 4 т.п.н., 3 т.п.н., 2 т.п.н., 1 т.п.н., 0,5 т.п.н. или 0,1 т.п.н. нуклеотидных последовательностей, которые природно фланкируют эту молекулу нуклеиновой кислоты в геномной ДНК клетки, из которой получена эта нуклеиновая кислота (например, клетки С. glutamicum). Кроме того, “выделенная” молекула нуклеиновой кислоты, например молекула ДНК, может по существу не содержать другого клеточного материала или культуральной среды при получении рекомбинантными способами или при химическом синтезе химических предшественников или других химических продуктов.
Молекула нуклеиновой кислоты данного изобретения, например молекула нуклеиновой кислоты, имеющая нуклеотидную последовательность, имеющую нечетные номера SEQ ID NO: Списка последовательностей, или ее часть, может быть выделена с использованием стандартных способов молекулярной биологии и информации последовательности, обеспеченной здесь. Например, ДНК SMP С. glutamicum может быть выделена из библиотеки С. glutamicum с использованием всей или части одной из имеющих нечетные номера SEQ ID NO: последовательностей Списка последовательностей в качестве гибридизационного зонда и стандартных способов гибридизации (например, описанных в Sambrook J., Fritsh, E.F., and Maniatis, T. Molecular Cloning. A Laboratory Manual, 2nd ed., Cold Spring Harbor Laboratory, Cold Spring Harbor Laboratory Press, Cold Spring Harbor, NY, 1989). Кроме того, молекула нуклеиновой кислоты, охватывающая полную последовательность или часть одной из последовательностей нуклеиновых кислот данного изобретения (например, имеющих нечетные номера SEQ ID NO: Списка последовательностей), может быть выделена полимеразной цепной реакцией с использованием олигонуклеотидных праймеров, сконструированных на основе этой последовательности (например, молекула нуклеиновой кислоты, охватывающая всю последовательность или часть одной из последовательностей нуклеиновых кислот данного изобретения (например, имеющих нечетные номера SEQ ID NO: Списка последовательностей), может быть выделена полимеразной цепной реакцией с использованием олигонуклеотидных праймеров, сконструированных на основе той же самой последовательности. Например, мРНК может быть выделена из нормальных эндотелиальных клеток (например, процедурой экстракции гуанидинийтиоцианатом Chirgwin et al. (1979) Biochemistry 18: 5294-5299), а ДНК может быть получена с использованием обратной транскриптазы (например, обратной транскриптазы Moloney MLV, доступной из Gibco/BRL, Bethesda, MD; или обратной транскриптазы AMV, доступной из Seikagaku America, Inc., St. Petersburg, FL). Синтетические олигонуклеотидные праймеры для амплификации при помощи полимеразной цепной реакции могут быть сконструированы на основе одной из нуклеотидных последовательностей, показанных в Списке последовательностей. Нуклеиновая кислота данного изобретения может быть амплифицирована с использованием кДНК или, альтернативно, геномной ДНК, в качестве матрицы и подходящих олигонуклеотидных праймеров в соответствии со стандартными способами ПЦР-амплификации. Амплифицированная таким образом нуклеиновая кислота может быть клонирована в подходящий вектор и охарактеризована анализом последовательности ДНК. Кроме того, олигонуклеотиды, соответствующие нуклеотидной последовательности SMP, могут быть получены стандартными синтетическими способами, например, с использованием автоматического ДНК-синтезатора.
В предпочтительном варианте выделенная молекула нуклеиновой кислоты данного изобретения содержит одну из нуклеотидных последовательностей, показанных в Списке последовательностей. Последовательности нуклеиновых кислот данного изобретения, приведенные в Списке последовательностей, соответствуют ДНК SMP Corynebacterium glutamicum данного изобретения. Эта ДНК содержит последовательности, кодирующие белки SMP (т.е. “кодирующий участок”, показанный в каждой имеющей нечетный номер SEQ ID NO: последовательности в Списке последовательностей), а также 5′-нетранслируемые последовательности и 3′-нетранслируемые последовательности, также показанные в каждой имеющей нечетный номер SEQ ID NO: последовательности в Списке последовательностей. Альтернативно, молекула нуклеиновой кислоты может содержать только кодирующий участок любой из последовательностей нуклеиновых кислот Списка последовательностей.
Для целей данной заявки должно быть понятно, что каждая из последовательностей нуклеиновых кислот или аминокислотных последовательностей, приведенных в Списке последовательностей, имеет идентифицирующий номер RXA, RXN или RXS, имеющий обозначение “RXA”, “RXN” или “RXS”, с последующими 5 цифрами (т.е. RXA01626, RXN00043 или RXS0735). Каждая из этих последовательностей нуклеиновых кислот содержит до трех частей: 5′-верхний участок (против хода транскрипции), кодирующий участок и нижний участок (по ходу транскрипции). Каждый из этих трех участков идентифицирован тем же самым обозначением RXA, RXN или RXS для избежания путаницы. Тогда ссылка на “одну из имеющих нечетные номера последовательностей Списка последовательностей” относится к любой из последовательностей нуклеиновых кислот в Списке последовательностей, которые могут быть также различены отличающимися обозначениями RXA, RXN или RXS. Кодирующий участок каждой из этих последовательностей транслируется в соответствующую аминокислотную последовательность, которая также представлена в Списке последовательностей, в виде имеющих четные номера SEQ ID NO: непосредственно после соответствующей последовательности нуклеиновой кислоты. Например, кодирующий участок для RXA02735 представлен в SEQ ID NO:1, тогда как аминокислотная последовательность, которую он кодирует, представлена в виде SEQ ID NO:2. Последовательности молекул нуклеиновых кислот данного изобретения идентифицируются теми же самыми обозначениями RXA, RXN или RXS, что и молекулы аминокислот, которые они кодируют, так что они могут быть легко соотнесены друг с другом. Например, аминокислотная последовательность, обозначенная RXA00042, является трансляцией кодирующего участка нуклеотидной последовательности молекулы нуклеиновой кислоты RXA00042, а аминокислотная последовательность, обозначенная RXN00043, является трансляцией кодирующего участка нуклеотидной последовательности молекулы нуклеиновой кислоты RXN00043. Соответствие между нуклеотидными и аминокислотными последовательностями RXA, RXN и RXS данного изобретения и соответствующими SEQ ID NO: показано в таблице 1.
Несколько генов данного изобретения являются “F-обозначенными генами». F-обозначенный ген включает гены, представленные в таблице 1, которые имеют “F” перед обозначением RXA. Например, последовательность SEQ ID NO:11, обозначенная, как указано в таблице 1, как “F RXA01312”, является F-обозначенным геном, как и SEQ ID NO:29, 33 и 39 (обозначенные в таблице 1 как “F RXA02803”, “F RXA02854” и “F RXA01365” соответственно).
В одном варианте молекулы нуклеиновых кислот данного изобретения не включают молекулы нуклеиновых кислот, представленные в таблице 2. В случае гена dapD последовательность для этого гена была опубликована Wehrmann, A., et al., (1998) J. Bacteriol. 180(12): 3159-3165. Однако последовательность, полученная авторами данной заявки, является значительно более длинной, чем опубликованная версия. Авторы считают, что опубликованная версия основывается на неправильном стартовом (инициирующем) кодоне и, следовательно, представляет только фрагмент истинного кодирующего участка.
В другом предпочтительном варианте выделенная молекула нуклеиновой кислоты данного изобретения содержит молекулу нуклеиновой кислоты, которая является комплементом одной из нуклеотидных последовательностей данного изобретения (например, последовательности, имеющей нечетный номер SEQ ID NO: Списка последовательностей), или ее часть. Молекула нуклеиновой кислоты, которая комплементарна одной из нуклеотидных последовательностей данного изобретения, является последовательностью, которая достаточно комплементарна одной из нуклеотидных последовательностей в Списке последовательностей (например, последовательности, имеющей нечетный номер SEQ ID NO:), так что она может гибридизоваться с одной из нуклеотидных последовательностей данного изобретения с образованием в результате стабильного дуплекса.
Еще в одном предпочтительном варианте выделенная молекула нуклеиновой кислоты данного изобретения содержит нуклеотидную последовательность, которая является по меньшей мере на приблизительно 50%, 51%, 52%, 53%, 54%, 55%, 56%, 57%, 58%, 59% или 60%, предпочтительно по меньшей мере на приблизительно 61%, 62%, 63%, 64%, 65%, 66%, 67%, 68%, 69% или 70%, более предпочтительно по меньшей мере на приблизительно 71%, 72%, 73%, 74%, 75%, 76%, 77%, 78%, 79% или 80%, 81%, 82%, 84%, 85%, 86%, 87%, 88%, 89% или 90%, или 91%, 92%, 94%, или даже более предпочтительно на по меньшей мере приблизительно 95%, 96%, 97%, 98%, 99% или более гомологичной нуклеотидной последовательности данного изобретения (например, последовательности, имеющей нечетный номер SEQ ID NO: Списка последовательностей), или ее часть. Подразумевается, что диапазоны и величины идентичности, промежуточные относительно указанных выше диапазонов (например, идентичные на 70-90% или идентичные на 80-95%), также охватываются данным изобретением. Например, подразумевается, что включены также диапазоны величин идентичности, использующие комбинацию любых из цитированных выше величин в качестве верхнего и/или нижнего пределов. В дополнительном предпочтительном варианте выделенная молекула нуклеиновой кислоты данного изобретения содержит нуклеотидную последовательность, которая гибридизуется, например гибридизуется при строгих условиях, с одной из нуклеотидных последовательностей данного изобретения или с ее частью.
Кроме того, молекула нуклеиновой кислоты данного изобретения может содержать только часть кодирующего участка последовательности одной из имеющих нечетные номера SEQ ID NO: Списка последовательностей, например фрагмент, который может быть использован в качестве зонда или праймера, или фрагмент, кодирующий биологически активную часть белка SMP. Нуклеотидные последовательности, определенные из клонирования генов SMP из С. glutamicum, позволяют получать зонды и праймеры, сконструированные для применения в идентификации и/или клонировании SMP-гомологов в других клеточных типах и организмах, а также SMP-гомологов из других Corynebacteria или родственных видов. Зонд/праймер обычно содержит по существу очищенный олигонуклеотид. Олигонуклеотид обычно содержит участок нуклеотидной последовательности, который гибридизуется при строгих условиях по меньшей мере с приблизительно 12, предпочтительно приблизительно 25, более предпочтительно приблизительно 40, 50 или 75 последовательными нуклеотидами смысловой цепи одной из нуклеотидных последовательностей данного изобретения (например, последовательностью, имеющей нечетные номера SEQ ID NO: Списка последовательностей), антисмысловой последовательностью одной из этих последовательностей или их природно встречающимися мутантами. Праймеры на основе нуклеотидной последовательности данного изобретения могут быть использованы в ПЦР-реакциях для клонирования SMP-гомологов. Зонды на основе нуклеотидных последовательностей SMP могут быть использованы для обнаружения транскриптов или геномных последовательностей, кодирующих те же самые или гомологичные белки. В предпочтительных вариантах такой зонд дополнительно содержит группу метки, присоединенную к нему, например, эта группа метки может быть радиоактивным изотопом, флуоресцентным соединением, ферментом или кофактором фермента. Такие зонды могут быть использованы как часть диагностического тест-набора для идентификации клеток, которые имеют нарушенную экспрессию белка SMP, например, измерением уровня кодирующей SMP нуклеиновой кислоты в пробе клеток, например, детектированием уровней мРНК SMP, или определением, был ли геномный ген SMP мутирован или делетирован.
В одном варианте молекула нуклеиновой кислоты данного изобретения кодирует белок или его часть, которые включают аминокислотную последовательность, которая является достаточно гомологичной аминокислотной последовательности данного изобретения (например, последовательности, имеющей четные номера SEQ ID NO: Списка последовательностей), так что этот белок или его часть сохраняет способность выполнять функцию, участвующую в метаболизме углеродных соединений, таких как сахара, или в генерировании энергетических молекул (например, АТФ) при помощи таких процессов, как окислительное фосфорилирование, в Corynebacterium glutamicum. В применении здесь, термин “достаточно гомологичные” относится к белкам или их частям, которые имеют аминокислотные последовательности, которые включают минимальное число идентичных или эквивалентных (например, аминокислотный остаток, который имеет такую же боковую цепь, что и аминокислотный остаток в последовательности одной из имеющих четные номера SEQ ID NO: Списка последовательностей) аминокислотных остатков относительно аминокислотной последовательности данного изобретения, так что этот белок или его часть способны выполнять функцию, участвующую в метаболизме углеродных соединений, таких как сахара, или в генерировании энергетических молекул (например, АТФ) при помощи таких процессов, как окислительное фосфорилирование, в Corynebacterium glutamicum. Белковые члены таких метаболических путей сахаров или продуцирующих энергию систем, как описано здесь, могут играть роль в продуцировании и секреции одного или более химических продуктов тонкого органического синтеза. Примеры таких активностей также описаны здесь. Таким образом, “функция белка SMP” вносит вклад, прямо или опосредованно, в выход, продуктивность и/или эффективность продуцирования одного или более химических продуктов тонкого органического синтеза. Примеры активностей белков SMP приведены в таблице 1.
В другом варианте этот белок является по меньшей мере на приблизительно 50-60%, предпочтительно по меньшей мере на приблизительно 60-70% и более предпочтительно по меньшей мере на приблизительно 70-80%, 80-90%, 90-95% и наиболее предпочтительно по меньшей мере на приблизительно 96%, 97%, 98%, 99% или более гомологичным полной аминокислотной последовательности данного изобретения (например, последовательности из имеющих четные номера SEQ ID NO: Списка последовательностей).
Части белков, кодируемые молекулами нуклеиновых кислот SMP данного изобретения, являются предпочтительно биологически активными частями одного из белков SMP. В применении здесь термин “биологически активная часть белка SMP” включает в себя часть, например домен/мотив, белка SMP, которая участвует в метаболизме углеродных соединений, таких как сахара, или в генерирующих энергию путях в С. glutamicum, или имеет активность, приведенную в таблице 1. Для определения, может ли белок SMP или его биологически активная часть участвовать в метаболизме углеродных соединений, таких как сахара, или в продуцировании энергоемких (богатых энергией) молекул в С. glutamicum, может быть выполнен анализ ферментативной активности. Такие способы анализов хорошо известны в данной области специалистам с обычной квалификацией в данной области, как подробно описано в примере 8 раздела “Примеры”.
Дополнительные фрагменты нуклеиновых кислот, кодирующие биологически активные части белка SMP, могут быть получены выделением части одной из аминокислотных последовательностей данного изобретения (например, последовательности, имеющей четный номер SEQ ID NO: Списка последовательностей), экспрессией кодируемой части белка или пептида SMP (например, рекомбинантной экспрессией in vitro) и оценкой активности кодируемой части белка или пептида SMP.
Далее, данное изобретение охватывает молекулы нуклеиновых кислот, которые отличаются от нуклеотидных последовательностей данного изобретения (например, последовательности, имеющей нечетный номер SEQ ID NO: Списка последовательностей) (или их части) вследствие вырожденности генетического кода и, следовательно, кодируют тот же самый белок SMP, что и кодируемый нуклеотидными последовательностями данного изобретения. В другом варианте выделенная молекула нуклеиновой кислоты данного изобретения имеет нуклеотидную последовательность, кодирующую белок, имеющий аминокислотную последовательность, показанную в Списке последовательностей (например, имеющую четный номер SEQ ID NO:). Еще в одном варианте молекула нуклеиновой кислоты данного изобретения кодирует полноразмерный белок С. glutamicum, который является по существу гомологичным аминокислотной последовательности данного изобретения (кодируемой открытой рамкой считывания, показанной в имеющих нечетные номера SEQ ID NO: Списка последовательностей).
Специалисту в данной области должно быть понятно, что в одном варианте последовательности данного изобретения не должны включать последовательности предыдущего уровня техники, такие как последовательности Genbank, приведенные в таблицах 2 или 4, которые были доступны до данного изобретения. В одном варианте данное изобретение включает нуклеотидные и аминокислотные последовательности, имеющие процентную идентичность относительно нуклеотидной или аминокислотной последовательности данного изобретения, которая является больше идентичности последовательности предыдущего уровня техники (например, последовательности Genbank (или белка, кодируемого такой последовательностью), приведенных в таблицах 2 или 4). Например, данное изобретение включает нуклеотидную последовательность, которая является более чем на 58% и/или по меньшей мере на 58% идентична нуклеотидной последовательности, обозначенной RXA00014 (SEQ ID NO:41), нуклеотидную последовательность, которая является более чем на % и/или по меньшей мере на % идентичной нуклеотидной последовательности, обозначенной RXA00195 (SEQ ID NO:399), и нуклеотидную последовательность, которая является более чем на 42% и/или по меньшей мере на 42% идентичной нуклеотидной последовательности, обозначенной RXA00196 (SEQ ID NO:401). Специалист в данной области сможет рассчитать низший предел процентной идентичности для любой конкретной последовательности данного изобретения исследованием оценок рассчитанной с использованием программы GAP процентной идентичности, приведенных в таблице 4 для каждого из трех наивысших совпадений для конкретной последовательности, и вычитанием наивысшей рассчитанной с использованием программы GAP процентной идентичности из 100 процентов. Специалисту в данной области будет также понятно, что последовательности нуклеиновых кислот и аминокислотные последовательности, имеющие процентные идентичности, большие, чем нижний предел, рассчитанный таким образом (например, по меньшей мере на 50%, 51%, 52%, 53%, 54%, 55%, 56%, 57%, 58%, 59% или 60%, предпочтительно по меньшей мере на приблизительно 61%, 62%, 63%, 64%, 65%, 66%, 67%, 68%, 69% или 70%, более предпочтительно по меньшей мере на приблизительно 71%, 72%, 73%, 74%, 75%, 76%, 77%, 78%, 79% или 80%, 81%, 82%, 84%, 85%, 86%, 87%, 88%, 89% или 90%, или 91%, 92%, 94%, или даже более предпочтительно по меньшей мере приблизительно на 95%, 96%, 97%, 98%, 99% или более идентичные), также включены в данное изобретение.
Специалистам в данной области должно быть понятно, что, кроме нуклеотидных последовательностей SMP С. glutamicum, приведенных в Списке последовательностей в виде имеющих нечетные номера SEQ ID NO:, в популяции (например, в популяции С. glutamicum) могут существовать полиморфизмы последовательности ДНК, которые приводят к заменам в аминокислотных последовательностях белков SMP. Такой генетический полиморфизм в гене SMP может существовать среди индивидуумов в популяции вследствие природной изменчивости. В применении здесь термины “ген” и “рекомбинантный ген” относятся к молекулам нуклеиновых кислот, содержащих открытую рамку считывания, кодирующую белок SMP, предпочтительно белок SMP С. glutamicum. Такие природные вариации могут обычно приводить к 1-5% дисперсии в нуклеотидной последовательности гена SMP. Подразумевается, что любые и все такие вариации нуклеотидов и полученные полиморфизмы аминокислот в SMP, которые являются результатом природной изменчивости и которые не изменяют функциональную активность белков SMP, входят в объем данного изобретения.
Молекулы нуклеиновых кислот, соответствующие природным вариантам и не относящимся к С. glutamicum гомологам ДНК SMP С. glutamicum данного изобретения, могут быть выделены на основе их гомологии описанной здесь нуклеиновой кислоте SMP С. glutamicum с использованием ДНК С. glutamicum или ее части в качестве гибридизационного зонда в соответствии со стандартными способами гибридизации при строгих условиях гибридизации. Таким образом, в другом варианте выделенная молекула нуклеиновой кислоты данного изобретения имеет длину по меньшей мере 15 нуклеотидов и гибридизуется при строгих условиях с молекулой нуклеиновой кислоты, содержащей нуклеотидную последовательность, имеющую нечетный номер SEQ ID NO: Списка последовательностей. В других вариантах эта нуклеиновая кислота имеет длину по меньшей мере 30, 50, 100, 250 или более нуклеотидов. В применении здесь термин “гибридизуется при строгих условиях” относится к условиям гибридизации и промывки, при которых нуклеотидные последовательности, по меньшей мере на 60% гомологичные друг другу, обычно остаются гибридизованными друг с другом. Предпочтительно эти условия являются такими, что последовательности, по меньшей мере приблизительно на 65%, более предпочтительно по меньшей мере приблизительно на 70% и даже более предпочтительно по меньшей мере на приблизительно 75% или более гомологичные друг другу, обычно остаются гибридизованными друг с другом. Такие строгие условия известны специалистам в данной области и могут быть найдены в Current Protocols in Molecular Biology, John Wiley and Sons, N.Y. (1989), 6.3.1-6.3.6. Предпочтительным, неограничительным примером строгих условий гибридизации являются условия гибридизации в 6Х смеси хлорид натрия/цитрат натрия (SSC) при приблизительно 45оС с последующими одной или несколькими промывками в 0,2 х SSC, 0,1 ДСН при 50-65оС. Предпочтительно выделенная молекула нуклеиновой кислоты данного изобретения, которая гибридизуется при строгих условиях с нуклеотидной последовательностью данного изобретения, соответствует природно встречающейся молекуле нуклеиновой кислоты. В применении здесь «природно встречающейся» молекулой нуклеиновой кислоты называют молекулу РНК или ДНК, имеющую нуклеотидную последовательность, которая встречается в природе (например, кодирует природный белок). В одном варианте эта нуклеиновая кислота кодирует природный белок SMP С. glutamicum.
Специалисту в данной области будет также понятно, что кроме природно встречающихся вариантов последовательности SMP, которые могут существовать в популяции, в нуклеотидную последовательность данного изобретения могут быть введены изменения посредством мутации, что приведет к изменениям в аминокислотной последовательности кодируемого белка SMP, без изменения функциональной способности этого белка SMP. Например, в нуклеотидной последовательности данного изобретения могут быть произведены замены нуклеотидов, приводящие к заменам аминокислот в «не-незаменимых» аминокислотных остатках. «Не-незаменимым» аминокислотным остатком является остаток, который может быть изменен в сравнении с последовательностью дикого типа одного из белков SMP (например, имеющих четные номера SEQ ID NO: Списка последовательностей) без изменения активности указанного белка SMP, тогда как “незаменимый” аминокислотный остаток является необходимым для активности белка SMP. Однако другие аминокислотные остатки (например, остатки, которые являются неконсервативными или только полуконсервативными в домене, имеющем активность SMP) могут не быть незаменимыми для активности и, следовательно, будут, вероятно, доступными для изменения без изменения активности SMP.
Таким образом, другой аспект данного изобретения относится к молекулам нуклеиновых кислот, кодирующим белки SMP, которые содержат изменения в аминокислотных остатках, которые являются не-незаменимыми для активности SMP. Такие белки SMP отличаются по аминокислотной последовательности от последовательностей, имеющих четные номера SEQ ID NO: Списка последовательностей, но все еще сохраняют по меньшей мере одну из описанных здесь активностей SMP. В одном варианте выделенная молекула нуклеиновой кислоты содержит нуклеотидную последовательность, кодирующую белок, который содержит аминокислотную последовательность, по меньшей мере на приблизительно 50% гомологичную аминокислотной последовательности данного изобретения, и способен участвовать в метаболизме углеродных соединений, таких как сахара, или в биосинтезе высокоэнергетических соединений в С. glutamicum, или имеет одну или несколько активностей, приведенных в таблице 1. Предпочтительно белок, кодируемый этой молекулой нуклеиновой кислоты, является по меньшей мере на приблизительно 50-60% гомологичным аминокислотной последовательности одной из имеющих нечетные номера SEQ ID NO: Списка последовательностей, более предпочтительно по меньшей мере на приблизительно 60-70% гомологичным одной из этих последовательностей, даже более предпочтительно по меньшей мере на приблизительно 70-80%, 80-90%, 90-95% гомологичным одной из этих последовательностей и наиболее предпочтительно по меньшей мере на приблизительно 96%, 97%, 98% или 99% гомологичным одной из аминокислотных последовательностей данного изобретения.
Для определения процентной гомологии двух аминокислотных последовательностей (например, одной из аминокислотных последовательностей данного изобретения и ее мутантной формы) или двух нуклеиновых кислот эти последовательности сопоставляют для целей оптимального сравнения (например, в последовательность одного белка или нуклеиновой кислоты могут быть введены гэпы (бреши) для оптимального сопоставления с другим белком или другой нуклеиновой кислотой). Затем сравнивают аминокислотные остатки или нуклеотиды в соответствующих положениях аминокислот или нуклеотидов. Когда положение в одной последовательности (например, в одной из аминокислотных последовательностей данного изобретения) занято тем же самым аминокислотным остатком или нуклеотидом, что и соответствующее положение в другой последовательности (например, в мутантной форме этой аминокислотной последовательности), тогда эти молекулы являются гомологичными в данном положении (т.е. в применении здесь “гомология” аминокислоты или нуклеиновой кислоты эквивалентна “идентичности” аминокислоты или нуклеиновой кислоты). Процентная гомология между двумя последовательностями является функцией числа идентичных положений, общих у двух последовательностей (т.е. %-ная гомология = число идентичных положений/общее число положений х 100).
Выделенная молекула нуклеиновой кислоты, кодирующая белок SMP, гомологичный последовательности белка данного изобретения (например, последовательности, имеющей нечетные номера SEQ ID NO: Списка последовательностей), может быть создана введением одной или более нуклеотидных замен, добавлений или делеций в нуклеотидную последовательность данного изобретения, так что одна или более замен, добавлений или делеций аминокислот вводятся в кодируемый белок. Мутации могут быть введены в одну из нуклеотидных последовательностей данного изобретения стандартными способами, такими как сайт-направленный мутагенез и ПЦР-опосредованный мутагенез. Предпочтительно производят консервативные замены аминокислот в одном или более предсказанных не-незаменимых аминокислотных остатках. “Консервативной заменой аминокислоты” является замена, в которой аминокислотный остаток заменяют аминокислотным остатком, имеющим сходную боковую цепь. Семейства аминокислотных остатков, имеющих сходные боковые цепи, известны из уровня техники. Эти семейства включают аминокислоты с основными боковыми цепями (например, лизин, аргинин, гистидин), кислотными боковыми цепями (например, аспарагиновая кислота, глутаминовая кислота), незаряженными полярными боковыми цепями (например, глицин, аспарагин, глутамин, серин, треонин, тирозин, цистеин), неполярными боковыми цепями (например, аланин, валин, лейцин, изолейцин, пролин, фенилаланин, метионин, триптофан), бета-разветвленными боковыми цепями (например, треонин, валин, изолейцин) и ароматическими боковыми цепями (например, тирозин, фенилаланин, триптофан, гистидин). Таким образом, предсказанный не-незаменимый аминокислотный остаток в белке SMP предпочтительно заменяют другим аминокислотным остатком из того же самого семейства боковых цепей. Альтернативно, в другом варианте мутации могут быть введены случайным образом вдоль всей или части кодирующей последовательности SMP, например, насыщающим мутагенезом, и полученные мутанты могут быть подвергнуты скринингу на активность SMP, описанную здесь, для идентификации мутантов, которые сохраняют активность SMP. После мутагенеза одной из нуклеотидных последовательностей, имеющей нечетный номер SEQ ID NO: Списка последовательностей, кодируемый белок может быть экспрессирован рекомбинантно и активность этого белка может быть определена с использованием, например, анализов, описанных здесь (см. пример 8 раздела “Примеры”).
Кроме молекул нуклеиновых кислот, кодирующих описанные выше белки SMP, другой аспект данного изобретения относится к выделенным молекулам нуклеиновых кислот, которые являются антисмысловыми по отношению к ним. “Антисмысловая” нуклеиновая кислота содержит нуклеотидную последовательность, которая комплементарна “смысловой” нуклеиновой кислоте, кодирующей белок, например комплементарна кодирующей цепи двухцепочечной молекулы ДНК или комплементарна последовательности мРНК. Таким образом, антисмысловая нуклеиновая кислота может связываться водородной связью со смысловой нуклеиновой кислотой. Антисмысловая нуклеиновая кислота может быть комплементарной полной кодирующей цепи SMP или только ее части. В одном варианте антисмысловая молекула нуклеиновой кислоты является антисмысловой относительно “кодирующего участка” кодирующей цепи нуклеотидной последовательности, кодирующей белок SMP. Термин “кодирующий участок” относится к участку нуклеотидной последовательности, содержащей кодоны, которые транслируются в аминокислотные остатки (например, полный кодирующий участок SEQ ID NO:3 (RXA01626) содержит нуклеотиды 1-345). В другом варианте антисмысловая молекула нуклеиновой кислоты является антисмысловой относительно «некодирующего участка» кодирующей цепи нуклеотидной последовательности, кодирующей SMP. Термин «некодирующий участок» относится к 5′- и 3′-последовательностям, которые фланкируют кодирующий участок, которые не транслируются в аминокислоты (т.е. их называют также 5′- и 3′-нетранслируемыми участками).
При наличии последовательностей кодирующей цепи, кодирующих SMP, описанных здесь (например, последовательности, представленные в имеющих нечетные номера SEQ ID NO: в Списке последовательностей), антисмысловые нуклеиновые кислоты данного изобретения могут быть сконструированы согласно правилам спаривания оснований Уотсона и Крика. Антисмысловая молекула нуклеиновой кислоты может быть комплементарна полному кодирующему участку мРНК SMP, но более предпочтительно она является олигонуклеотидом, который является антисмысловым относительно только части кодирующего или некодирующего участка мРНК SMP. Например, антисмысловой олигонуклеотид может быть комплементарным участку, окружающему стартовый сайт трансляции мРНК SMP. Антисмысловой олигонуклеотид может иметь длину, например, приблизительно 5, 10, 15, 20, 25, 30, 35, 40, 45 или 50 нуклеотидов. Антисмысловая нуклеиновая кислота данного изобретения может быть сконструирована при помощи химического синтеза и реакциями ферментативного лигирования с использованием процедур, известных в данной области. Например, антисмысловая нуклеиновая кислота (например, антисмысловой олигонуклеотид) может быть химически синтезирована с использованием природно встречающихся нуклеотидов или разнообразно модифицированных нуклеотидов, сконструированных для увеличения биологической стабильности этих молекул или для увеличения физической стабильности дуплекса, образуемого между антисмысловой и смысловой нуклеиновыми кислотами, например, могут быть использованы фосфоротиоатные производные и замещенные акридином нуклеотиды. Примеры модифицированных нуклеотидов, которые могут быть использованы для получения антисмысловой нуклеиновой кислоты, включают в себя 5-фторурацил, 5-бромурацил, 5-хлорурацил, 5-иодурацил, гипоксантин, ксантин, 4-ацетилцитозин, 5-(карбоксигидроксиметил)урацил, 5-карбоксиметиламинометил-2-тиоуридин, 5-карбоксиметиламинометилурацил, дигидроурацил, бета-D-галактозилквеозин, инозин, N6-изопентениладенин, 1-метилгуанин, 1-метилинозин, 2,2-диметилгуанин, 2-метиладенин, 2-метилгуанин, 3-метилцитозин, 5-метилцитозин, N6-аденин, 7-метилгуанин, 5-метиламинометилурацил, 5-метоксиаминометил-2-тиоурацил, бета-D-маннозилквеозин, 5′-метоксикарбоксиметилурацил, 5-метоксиурацил, 2-метилтио-N6-изопентениладенин, урацил-5-оксиуксусную кислоту (v), вибутоксозин, псевдоурацил, квеозин, 2-тиоцитозин, 5-метил-2-тиоурацил, 2-тиоурацил, 4-тиоурацил, 5-метилурацил, метиловый эфир урацил-5-оксиуксусной кислоты, урацил-5-оксиуксусную кислоту (v), 5-метил-2-тиоурацил, 3-(3-амино-3-N-2-карбоксипропил)урацил, (acp3)w и 2,6-диаминопурин. Альтернативно, антисмысловая нуклеиновая кислота может быть получена биологически с использованием экспрессирующего вектора, в который была субклонирована нуклеиновая кислота в антисмысловой ориентации (т.е. РНК, транскрибированная со встроенной нуклеиновой кислотой будет иметь антисмысловую ориентацию относительно представляющей интерес нуклеиновой кислоты-мишени, описанной далее в следующем подразделе).
Молекулы антисмысловых нуклеиновых кислот данного изобретения обычно вводят в клетку или генерируют in situ таким образом, что они гибридизуются или связываются с клеточной мРНК и/или геномной ДНК, кодирующей белок SMP, для ингибирования посредством этого экспрессии белка, например, посредством ингибирования транскрипции и/или трансляции. Гибридизация может происходить посредством общепринятой комплементарности нуклеотидов с образованием стабильного дуплекса или, например, в случае антисмысловой молекулы нуклеиновой кислоты, которая связывается с ДНК-дуплексами, через специфические взаимодействия в большой бороздке двойной спирали. Антисмысловая молекула может быть модифицирована таким образом, что она специфически связывается с рецептором или антигеном, экспрессируемым на поверхности выбранной клетки, например, посредством связывания молекулы антисмысловой нуклеиновой кислоты с пептидом или антителом, которые связываются с рецептором поверхности клетки или антигеном. Молекула антисмысловой нуклеиновой кислоты может также доставляться в клетки с использованием описанных здесь векторов. Для получения достаточных внутриклеточных концентраций антисмысловых молекул предпочтительными являются векторные конструкции, в которые молекулу антисмысловой нуклеиновой кислоты помещают под контроль сильного, предпочтительно, прокариотического, вирусного или эукариотического промотора.
Еще в одном варианте молекула антисмысловой нуклеиновой кислоты данного изобретения является -аномерной молекулой нуклеиновой кислоты. -аномерная молекула нуклеиновой кислоты образует специфические двухцепочечные гибриды с комплементарной РНК, в которых, в противоположность обычным -единицам, цепи идут параллельно друг другу (Gaultier et al. (1987) Nucleic Acids Res. 15:6625-6641). Молекула антисмысловой нуклеиновой кислоты может также содержать 2′-о-метилрибонуклеотид (Inoue et al. (1987) Nucleic Acids Res. 15: 6131-6148) или химерный аналог РНК-ДНК (Inoue et al. (1987) FEBS Lett. 215: 327-330).
Еще в одном варианте антисмысловая нуклеиновая кислота данного изобретения является рибозимом. Рибозимы являются каталитическими молекулами РНК с рибонуклеазной активностью, которые способны расщеплять одноцепочечную нуклеиновую кислоту, такую как мРНК, к которой они имеют комплементарный участок. Таким образом, рибозимы (например, молотоголовые рибозимы (описанные в Haselhoff and Gerlach (1988) Nature 334:585-591)) могут быть использованы для каталитического расщепления мРНК-транскриптов SMP с ингибированием тем самым трансляциии мРНК SMP. Рибозим, имеющий специфичность в отношении кодирующей SMP нуклеиновой кислоты, может быть сконструирован на основе нуклеотидной последовательности описанной здесь ДНК SMP (т.е. SEQ ID NO:3 (RXA01626)). Например, может быть сконструировано производное РНК Tetrahymena L-19 IVS, в котором нуклеотидная последовательность активного сайта является комплементарной нуклеотидной последовательности, которая должна быть расщепелена в кодирующей SMP мРНК. См., например, Cech et al. US Patent No. 4 987 071 и Cech et al. US Patent No. 5 116 742. Альтернативно, мРНК SMP может быть использована для отбора каталитической РНК, имеющей специфическую рибонуклеазную активность, из пула молекул РНК. См., например, Bartel, D. and Szostak, J.W. (1993) Science 261:1411-1418.
Альтернативно, экспрессия гена SMP может ингибироваться нацеливающими нуклеотидными последовательностями, комплементарными регуляторному участку нуклеотидной последовательности SMP (например, промотору и/или энхансерам SMP) с образованием тройных спиральных структур, которые препятствуют транскрипции гена SMP в клетках-мишенях. См., в общем, Helene, C. (1991) Anticancer Drug Des. 6(6): 569-84; Helene, C. et al. (1992) Ann. N.Y. Acad. Sci. 660:27-36; и Maher, L.J. (1992) Bioassays 14(12):807-15.
В. Рекомбинантные экспрессирующие векторы и клетки-хозяева
Другой аспект данного изобретения относится к векторам, предпочтительно экспрессирующим векторам, содержащим нуклеиновую кислоту, кодирующую белок SMP (или его часть). В применении здесь, термин “вектор” относится к молекуле нуклеиновой кислоты, способной переносить другую нуклеиновую кислоту, с которой она была связана. Одним типом вектора является “плазмида”, которая является кольцевой двухцепочечной ДНК-петлей, в которую могут быть лигированы дополнительные сегменты ДНК. Другим типом вектора является вирусный вектор, причем дополнительные сегменты ДНК могут быть лигированы в вирусный геном. Некоторые векторы способны к автономной репликации в клетке-хозяине, в которую их вносят (например, бактериальные векторы, имеющие бактериальный сайт инициации репликации, и эписомные векторы млекопитающих). Другие векторы (например, не-эписомные векторы млекопитающих) интегрируются в геном клетки-хозяина при введении в клетку-хозяина и поэтому реплицируются вместе с геномом хозяина. Кроме того, некоторые векторы способны управлять экспрессией генов, с которыми они функционально связаны. Такие векторы называют здесь “экспрессирующими векторами”. Вообще, экспрессирующие векторы, используемые в способах рекомбинантных ДНК, часто находятся в форме плазмид. В данном описании термины “плазмида” и “вектор” используются взаимозаменяемо, так как плазмида является наиболее обычно используемой формой вектора. Однако данное изобретение предполагает включение таких других форм экспрессирующих векторов, как вирусные векторы (например, ретровирусы с дефектной репликацией, аденовирусы и аденоассоциированные вирусы), которые выполняют эквивалентную функцию.
Рекомбинантные экспрессирующие векторы данного изобретения содержат нуклеиновую кислоту данного изобретения в форме, пригодной для экспрессии этой нуклеиновой кислоты в клетке-хозяине, что означает, что эти рекомбинантные экспрессирующие векторы включают одну или более регуляторных последовательностей, выбранных на основе используемых для экспрессии клеток-хозяев, которые функционально связаны с экспрессируемой последовательностью нуклеиновой кислоты. В рекомбинантном экспрессирующем векторе, “функционально связанные” означает, что представляющая интерес нуклеотидная последовательность связана с регуляторной последовательностью (регуляторными последовательностями) таким образом, что возможна экспрессия этой нуклеотидной последовательности (например, в системе транскрипции/трансляции in vitro или в клетке-хозяине, при введении этого вектора в клетку-хозяина). Термин “регуляторная последовательность” включает в себя промоторы, энхансеры и другие элементы регуляции экспрессии (например, сигналы полиаденилирования). Такие регуляторные последовательности описаны, например, в Goeddel: Gene Expression Technology: Methods in Enzymology 185, Academic Press, San Diego, CA (1990). Регуляторные последовательности включают последовательности, которые управляют конститутивной экспрессией нуклеотидной последовательности во многих типах клетки-хозяина и которые управляют экспрессией нуклеотидной последовательности только в определенных клетках-хозяевах. Предпочтительными регуляторными последовательностями являются например, промоторы, такие как cos-, tac-, trp-. tet-, trp-tet, lpp-, lac-, lpp-lac-, lacIq-, T7-, T5-, T3-, gal-, trc-, ara-, SP6-, arny, SPO2, -PR– или -PL, которые используют предпочтительно в бактериях. Дополнительными регуляторными последовательностями являются, например, промоторы из дрожжей и грибов, такие как ADC1, MF , АС, Р-60, CYC1, GAPDH, TEF, rp28, ADH, промоторы из растений, такие как CaMV/35S, SSU, OCS, lib4, usp, STLS1, B33, nos или убиквитин- или фазеолин-промоторы. Можно также использовать синтетические промоторы. Специалисту в данной области будет понятно, что конструкция экспрессирующего вектора может зависеть от таких факторов, как выбор трасформируемой клетки-хозяина, уровень экспрессии желаемого белка и т.д. Экспрессирующие векторы данного изобретения могут быть введены в клетки-хозяева для получения при помощи них белков или пептидов, в том числе слитых белков или пептидов, кодируемых нуклеиновыми кислотами, описанных здесь (например, белков SMP, мутантных форм белков SMP, слитых белков и т.д.).
Рекомбинантные экспрессирующие векторы данного изобретения могут быть сконструированы для экспрессии белков SMP в прокариотических или эукариотических клетках. Например, гены SMP могут быть экспрессированы в бактериальных клетках, таких как С. glutamicum, клетках насекомых (с использованием бакуловирусных экспрессирующих векторов), дрожжах и других грибных клетках (см. Romanos, M.A. et al. (1992) “Foreign gene expression in yeast: a review”, Yeast 8: 423-488; van den Hondel, C.A.M.J.J. et al. (1991) “Heterologous gene expression in filamentous fungi” in: More Gene Manipulations in Fungi, J.W. Bennet and L.L. Lasure, eds., p. 396-428: Academic Press: San Diego; и van den Hondel, C.A.M.J.J. and Punt, P.J. (1991) “Gene transfer systems and vector development for filamentous fungi, in: Applied Molecular Genetics of Fungi, Peberdy, J.F. et al., eds., p. 1-28, Cambridge University Press: Cambridge), водорослях и мнококлеточных растительных клетках (см. Schmidt, R. and Willmitzer, L. (1988) High efficiency Agrobacterium tumefaciens-mediated transformation of Arabidopsis thaliana leaf and cotyledon explants” Plant Cell Rep.: 583-586) или клетках млекопитающих. Подходящие клетки-хозяева обсуждаются дополнительно в Goeddel: Gene Expression Technology: Methods in Enzymology 185, Academic Press, San Diego, CA (1990). Альтернативно, рекомбинантный экспрессирующий вектор может быть транскрибирован и транслирован in vitro, например, с использованием промоторных регуляторных последовательностей Т7 и полимеразы Т7.
Экспрессию белков в прокариотах наиболее часто проводят с векторами, содержащими конститутивные или индуцибельные промоторы, направляющие экспрессию слитых или неслитых белков. Слитые векторы добавляют ряд аминокислот к кодируемому в них белку, обычно к аминоконцу рекомбинантного белка, но также и к С-концу, или сливают с подходящими участками в белке. Такие слитые векторы обычно служат для достижения трех целей: 1) для увеличения экспрессии рекомбинантного белка; 2) для увеличения растворимости рекомбинантного белка и 3) для того, чтобы способствовать очистке рекомбинантного белка посредством действия в качестве лиганда в аффинной очистке. Часто, в слитых экспрессирующих векторах, вводится сайт протеолитического расщепления в месте соединения слитой части молекулы и рекомбинантного белка для обеспечения возможности отделения рекомбинантного белка от слитой части молекулы после очистки слитого белка. Такие ферменты и их родственные последовательности узнавания включают в себя фактор Ха, тромбин и энтерокиназу.
Типичные слитые экспрессирующие векторы включают в себя pGEX (Pharmacia Biotech Inc; Smith, D.B. and Johnson, K.S. (1988) Gene 67:31-40), pMAL (New England Biolabs, Beverly, MA) и pRIT5 (Pharmacia, Piscataway, NJ), которые сливают глутатион S-трансферазу (GST), мальтозу Е-связывающий белок, или белок А, соответственно, с рекомбинантным белком-мишенью. В одном варианте кодирующую последовательность белка SMP клонируют в экспрессирующий вектор pGEX для создания вектора, кодирующего слитый белок, содержащий, от N-конца к С-концу, GST-сайт расщепления тромбином-Х белок. Этот слитый белок может быть очищен аффинной хроматографией с использованием глутатион-агарозной смолы. Рекомбинантный белок SMP, неслитый с GST, может быть извлечен расщеплением слитого белка тромбином.
Примеры подходящих индуцибельных неслитых экспрессирующих векторов E. coli включают pTrc (Amann et al., (1988) Gene 69:301-315), pLG338, pACYC184, pBR322, pUC18, pUC19, pKC30, pRep4, pHS1, pHS2, pPLc236, pMBL24, pLG200, pUR290, pIN-III113-B1, gt11, pBdC1 и pET 11d (Studier et al., Gene Expression Technology: Methods in Enzymology 185, Academic Press, San Diego, California (1990) 60-89; и Pouwels et al., (1985) Cloning Vectors, Elsevier: New York IBSN 0 444 904018). Экспрессия гена-мишени из вектора pTrc основана на транскрипции РНК-полимеразой хозяина от гибридного trp-lac слитого промотора. Экспрессия гена-мишени из вектора рЕТ 11d основана на транскрипции от слитого промотора gn10-lac Т7, опосредованной коэкспрессируемой вирусной РНК-полимеразой (gn1 T7). Эта вирусная полимераза поставляется штаммами-хозяевами BL21(DE3) или HMS174(DE3) из резидентного профага , несущего ген gn1 Т7 под транскрипционным контролем промотора lacUV 5. Для трансформаци других разновидностей бактерий, могут быть выбраны соответствующие векторы. Например, известно, что плазмиды pIJ101, pIJ364, pIJ702 и pIJ361 применимы в трансформации Streptomyces, тогда как плазмиды pUB110, pC194 или pBD214 пригодны для трансформации видов Bacillus. Несколько плазмид, применимых в переносе генетической информации в Corynebacterium, включают рНМ1519, рBL1, pSA77 или pAJ667 (Pouwels et al., (1985) Cloning Vectors, Elsevier: New York IBSN 0 444 904018).
Одна стратегия максимизации экспрессии рекомбинантного белка состоит в экспрессии этого белка в бактерии-хозяине с нарушенной способностью протеолитически расщеплять рекомбинантный белок (Gottesman, S., Gene Expression Technology: Methods in Enzymology 185, Academic Press, San Diego, California (1990) 119-128). Другая стратегия состоит в изменении последовательности нуклеиновой кислоты, которая должна быть встроена в экспрессирующий вектор, таким образом, что индивидуальные кодоны для каждой аминокислоты являются кодонами, преимущественно используемыми в бактерии, выбранной для экспрессии, такой как С. glutamicum (Wada et al. (1992) Nucleic Acids Res. 20:2111-2118). Такое изменение последовательностей нуклеиновых кислот данного изобретения может проводиться стандартными способами синтеза ДНК.
В другом варианте экспрессирующий белок SMP вектор является дрожжевым экспрессирующим вектором. Примеры векторов для экспрессии в дрожжах S. cerevisiae включают pYepSec1 (Baldari, et al., (1987) EMBO J. 6:229-234), 2 , pAG-1, Yep6, Yep13, pEMBLYe23, pMFa (Kurjan and Herskowitz, (1982) Cell 30:933-943), pJRY88 (Schulz et al., (1987) Gene 54:113-123) и pYES2 (Invitrogen Corporation, San Diego, CA). Векторы и способы конструирования векторов, пригодных для применения в других грибах, таких как нитчатые грибы, включают способы и векторы, подробно описанные в van den Hondel, C.A.M.J.J. and Punt, P.J. (1991) “Gene transfer systems and vector development for filamentous fungi, in: Applied Molecular Genetics of Fungi, J.F. Peberdy, et al., eds., p. 1-28, Cambridge University Press: Cambridge, и Pouwels et al., (1985) Cloning Vectors, Elsevier: New York IBSN 0 444 904018).
Альтернативно, белки SMP могут экспрессироваться в клетках насекомых с использованием бакуловирусных экспрессирующих векторов. Бакуловирусные векторы, пригодные для экспрессии белков в культивируемых клетках насекомых (например, в клетках Sf9), включают серию pAC (Smith et al., (1983) Mol. Cell Biol. 3:2156-2165) и ряд pVL (Lucklow and Summers (1989) Virology 170:31-39).
В другом варианте белки SMP данного изобретения могут экспрессироваться в клетках одноклеточных растений (таких как водоросли) и в растительных клетках из высших растений (например, семенных растений, таких как сельскохозяйственные культуры). Примеры экспрессирующих векторов растений включают векторы, подробно описанные в Becker, D., Kemper, E., Schell. J. and Masterson, R. (1992) “New plant binary vectors with selectable markers located proximal to the left border”, Plant Mol. Biol. 20: 1195-1197; и Bevan, M.W. (1984) “Binary Agrobacterium vectors for plant transformation”, Nucl. Acid. Res. 12: 8711-8721, и включают в себя pLGV23, pGHlac+, pBIN19, pAK2004 и pDH51 (Pouwels et al., (1985) Cloning Vectors, Elsevier: New York IBSN 0 444 904018).
Еще в одном варианте нуклеиновая кислота данного изобретения экспрессируется в клетках млекопитающих с использованием экспрессирующего вектора млекопитающего. Примеры экспрессирующих векторов млекопитающих включают pCDM8 (Seed, B. (1987) Nature 329:840) и pMT2PC (Kaufman et al., (1987) EMBO J. 6:187-195). При использовании в клетках млекопитающего регуляторные функции этого экспрессирующего вектора часто обеспечиваются вирусными регуляторными элементами. Например, обычно используемые промоторы происходят из полиомы, аденовируса 2, цитомегаловируса и вируса обезьян 40. В отношении подходящих экспрессирующих векторов для прокариотических и эукариотических клеток см. главы 16 и 17 Sambrook J., Fritsh, E.F., and Maniatis, T. Molecular Cloning. A Laboratory Manual, 2nd ed., Cold Spring Harbor Laboratory, Cold Spring Harbor Laboratory Press, Cold Spring Harbor, NY, 1989).
В другом варианте рекомбинантный экспрессирующмй вектор млекопитающих способен направлять экспрессию нуклеиновой кислоты преимущественно в конкретном типе клеток (например, используют тканеспецифические регуляторные элементы для экспрессии нуклеиновой кислоты). Тканеспецифические регуляторные элементы известны в данной области. Неограничивающие примеры подходящих тканеспецифических промоторов включают промотор альбумина (печеночно-специфический; Pinkert et al., (1987) Genes Dev. 1:268-277), лимфоидно-специфические промоторы (Calame and Eaton (1988) Adv. Immunol. 43:235-275), в частности промоторы Т-клеточных рецепторов (Winoto and Baltimore (1989) EMBO J. 8:729-733) и иммуноглобулинов (Banerji et al., (1983) Cell 33:729-740; Queen and Baltimore (1983) Cell 33:741-748), нейрон-специфическиие промоторы (например, промотор нейрофиламента; Byrne and Ruddle (1989) PNAS 86:5473-5477), специфические для поджелудочной железы промоторы (Edlund et al. (1985) Science 230:912-916), и специфические для молочной железы промоторы (например, промотор молочной сыворотки; патент США № 4 873 316 и Публикация Европейской заявки № 264 166). Включены также регулируемые стадией развития промоторы, например, мышиные промоторы hox (Kessel and Gruss (1990) Science 249:374-379) и промотор -фетопротеина (Campes and Tilghman (1989) Genes Dev. 3:537-546).
Далее, данное изобретение представляет рекомбинантный экспрессирующий вектор, содержащий молекулу ДНК данного изобретения, клонированную в этот экспрессирующий вектор в антисмысловой ориентации. Т.е., эта молекула ДНК функционально связана с регуляторной последовательностью таким образом, что возможна экспрессия (транскрипцией этой молекулы ДНК) молекулы РНК, которая является антисмысловой относительно мРНК SMP. Могут быть выбраны регуляторные последовательности, функционально связанные с нуклеиновой кислотой, клонированной в антисмысловой ориентации, которые направляют непрерывную экспрессию этой антисмысловой молекулы РНК в многочисленных клеточных типах, например, вирусные промоторы и/или энхансеры, или могут быть выбраны регуляторные последовательности, которые направляют конститутивную, тканеспецифическую или специфическую для определенного типа клеток экспрессию антисмысловой РНК. Антисмысловой экспрессирующий вектор может быть в форме рекомбинантной плазмиды, фагмиды или аттенуированного вируса, в котором антисмысловые нуклеиновые кислоты продуцируются под контролем высокоэффективного регуляторного участка, активность которого может определяться типом клеток, в которые вводят этот вектор. В отношении обсуждения регуляции экспрессии генов с использованием антисмысловых генов см. Weintraub, H. et al., Antisense RNA as a molecular tool for genetic analysis, Reviews – Trends in Genetics, Vol. 1(1) 1986.
Другой аспект данного изобретения относится к клеткам-хозяевам, в которые вводили рекомбинантный экспрессирующий вектор данного изобретения. Термины «клетка-хозяин» и «рекомбинантная клетка-хозяин» используются здесь взаимозаменяемо. Понятно, что такие термины относятся не только к конкретной рассматриваемой клетке, но и к потомству или потенциальному потомству такой клетки. Поскольку некоторые модификации могут встречаться в последующих поколениях вследствие мутации или влияний окружающей среды, такое потомство на самом деле может не быть идентичным родительской клетке, но оно все-таки включено в рамки этого термина, в применении здесь.
Клетка-хозяин может быть любой прокариотической или эукариотической клеткой. Например, белок SMP может быть экспрессирован в бактериальных клетках, таких как С. glutamicum, клетках насекомых, клетках дрожжей или млекопитающих (таких как клетки яичника Китайского хомячка (СНО) или клетки COS). Другие подходящие клетки-хозяева известны специалисту в данной области. Микроорганизмы, родственные Corynebacterium glutamicum, которые могут быть легко использованы в качестве клеток-хозяев для молекул нуклеиновых кислот и белков данного изобретения, приведены в таблице 3.
Вектор ДНК может быть введен в прокариотические или эукариотические клетки посредством общепринятых способов трансформации или трансфекции. В применении здесь, термины “трансформация” и “трансфекция”, “конъюгация” и “трансдукция”, относятся к различным признанным в данной области способам введения чужеродной нуклеиновой кислоты (например, линейной ДНК или РНК (например, линеаризованного вектора или генной конструкции отдельно без вектора) или нуклеиновой кислоты в форме вектора (например, плазмиды, фага, фазмиды, фагмиды, транспозона или другой ДНК) в клетку-хозяина, в том числе совместным осаждением фосфатом кальция или хлоридом кальция, опосредованной ДЭАЭ-декстраном трансфекцией, липофекцией или естественной конкуренцией, химически опосредованным переносом или электропорацией. Подходящие способы для трансформации или трансфекции клеток-хозяев могут быть найдены в Sambrook, et al., (Molecular Cloning, A Laboratory Manual, 2nd ed., Cold Spring Harbor Laboratory, Cold Spring Harbor Laboratory Press, Cold Spring Harbor, NY, 1989) и других лабораторных руководствах-справочниках.
В отношении стабильной трансфекции клеток млекопитающих известно, что, в зависимости от используемого экспрессирующего вектора и способа трансфекции, только небольшая фракция клеток может интегрировать чужеродную ДНК в их геном. Для идентификации и отбора этих интегрантов ген, который кодирует селектируемый маркер (например, ген устойчивости к антибиотикам) вводят обычно в клетки-хозяева вместе с представляющим интерес геном. Предпочтительные селектируемые маркеры включают маркеры, придающие устойчивость к лекарственным средствам, таким как G418, гигромицин и метотрексат. Нуклеиновая кислота, кодирующая селектируемый маркер, может быть введена в клетку-хозяина на том же самом векторе, что и вектор, кодирующий белок SMP, или может быть введена на отдельном векторе. Клетки, стабильно трансфецированные введенной нуклеиновой кислотой, могут быть идентифицированы отбором с лекарственным средством (например, клетки, которые включили ген селектируемого маркера, будут выживать, тогда как другие клетки погибают).
Для создания гомологичного рекомбинантного микроорганизма получают вектор, который содержит по меньшей мере часть гена SMP, в который была введена делеция, добавление или замена, для изменения посредством этого, например, функционального нарушения, гена SMP. Предпочтительно этот ген является геном SMP Corynebacterium glutamicum, но он может быть гомологом из родственной бактерии или даже из млекопитающего, дрожжей или насекомого. В предпочтительном варианте этот вектор конструируют таким образом, что, при гомологичной рекомбинации, эндогенный ген SMP функционально разрушается (т.е. уже больше не кодирует функциональный белок; этот вектор называют также «нокаут»-вектором). Альтернативно, вектор может быть сконструирован таким образом, что при гомологичной рекомбинации эндогенный ген SMP мутируется или иным образом изменяется, но все еще кодирует функциональный белок (например, регуляторный участок против хода транскрипции может быть изменен для изменения посредством этого экспрессии эндогенного белка SMP). В векторе гомологичной рекомбинации, изменяемая часть гена SMP фланкирована на ее 5′- и 3′-концах дополнительной нуклеиновой кислотой гена SMP, чтобы сделать возможной гомологичную рекомбинацию между экзогенным геном SMP, переносимым этим вектором, и эндогенным геном SMP в микроорганизме. Дополнительная фланкирующая нуклеиновая кислота SMP имеет достаточную длину для успешной гомологичной рекомбинации с эндогенным геном. Обычно несколько т.п.н. фланкирующей ДНК (как на 5′-, так и на 3′-концах) включают в этот вектор (см., например, Thomas, K.R. and Capecchi, M.R. (1987) Cell 51: 503 в отношении описания векторов гомологичной рекомбинации). Вектор вводят в микроорганизм (например, электропорацией), и клетки, в которых введенный ген SMP был гомологично рекомбинирован с эндогенным геном SMP, отбирают с использованием известных в данной области способов.
В другом варианте могут быть получены рекомбинантные микроорганизмы, которые содержат выбранные системы, которые делают возможной регулируемую экспрессию введенного гена. Например, включение гена SMP на векторе с помещением его под контроль lac-оперона делает возможной экспрессию гена SMP только в присутствии IPTG. Такая регуляторная система хорошо известна в данной области.
В другом варианте эндогенный ген SMP в клетке-хозяине разрушают (например, гомологичной рекомбинацией или другими генетическими способами, известными в данной области), так что экспрессия его белкового продукта не происходит. В другом варианте эндогенный или введенный ген SMP в клетке-хозяине был изменен одной или более точковыми мутациями, делециями или инверсиями, но все еще кодирует функциональный белок SMP. Еще в одном варианте один или более регуляторных участков (например, промотор, репрессор или индуктор) гена SMP в микроорганизме был изменен (например, делецией, укорочением, инверсией или точковой мутацией), так что экспрессия гена SMP является модулированной. Специалисту в данной области будет понятно, что клетки-хозяева, содержащие более чем одну из описанных модификаций гена и белка SMP, могут быть легко получены с использованием способов данного изобретения, и подразумевается, что они включены в данное изобретение.
Клетка-хозяин данного изобретения, например, прокариотическая или эукариотическая клетка-хозяин в культуре, может быть использована для продуцирования (т.е. экспрессии) белка SMP. Таким образом, данное изобретение представляет далее способы получения белков SMP с использованием клеток-хозяев данного изобретения. В одном варианте этот способ включает культивирование клетки-хозяина данного изобретения (в которую был введен рекомбинантный экспрессирующий вектор, кодирующий белок SMP, или в геном которой был введен ген, кодирующий белок SMP дикого типа или измененный белок SMP) в подходящей среде до тех пор, пока не продуцируется белок SMP. В другом варианте этот способ дополнительно включает выделение белков SMP из среды или из клетки-хозяина.
С. Выделенные белки SMP
Другой аспект данного изобретения относится к выделенным белкам SMP и их биологически активным частям. “Выделенный” или “очищенный” белок или его биологически активная часть по существу не содержит клеточного материала при получении способами рекомбинантных ДНК или при химическом синтезе химических предшественников или других химических продуктов. Выражение “по существу не содержащие клеточного материала” включает в себя препараты белка SMP, в которых белок отделен от клеточных компонентов клеток, в которых он природно или рекомбинантно продуцировался. В одном варианте выражение “по существу не содержащие клеточного материала” включает в себя препараты белка SMP, имеющие менее чем приблизительно 30% (по сухому весу) белка не-SMP (называемого здесь также “загрязняющим (примесным) белком”), более предпочтительно менее чем приблизительно 20% белка не-SMP, еще более предпочтительно менее чем приблизительно 10% белка не-SMP и наиболее предпочтительно менее чем приблизительно 5% белка не-SMP. При рекомбинантном получении белка SMP или его биологически активной части он предпочтительно является по существу не содержащим культуральной среды, т.е. культуральная среда представляет менее чем приблизительно 20%, более предпочтительно менее чем приблизительно 10%, еще более предпочтительно менее чем приблизительно 10% и наиболее предпочтительно менее чем приблизительно 5% объема препарата белка. Выражение “по существу не содержащие химических предшественников или других химических продуктов” включает в себя препараты белка SMP, в которых этот белок отделен от химических предшественников или других химических продуктов, которые участвуют в синтезе этого белка. В одном варианте выражение “по существу не содержащие химических предшественников или других химических продуктов” включает в себя препараты белка SMP, имеющие менее чем приблизительно 30% (по сухому весу) химических предшественников или химических продуктов не-SMP, более предпочтительно менее чем приблизительно 20% химических предшественников или химических продуктов не-SMP, еще более предпочтительно менее чем приблизительно 10% химических предшественников или химических продуктов не-SMP, и наиболее предпочтительно менее чем приблизительно 5% химических предшественников или химических продуктов не-SMP. В предпочтительных вариантах выделенные белки или их биологически активные части не содержат загрязняющих (примесных) белков из того же самого организма, из которого получен белок SMP. Обычно такие белки получают рекомбинантной экспрессией, например, белка SMP С. glutamicum, в микроорганизме, например, С. glutamicum.
Выделенный белок SMP или его часть данного изобретения может участвовать в метаболизме углеродных соединений, таких как сахара, или в продуцировании энергетических соединений (например, посредством окислительного фосфорилирования), используемых в проведении неблагоприятных метаболических путей, или имеет одну или более активностей, приведенных в таблице 1. В предпочтительных вариантах этот белок или его часть содержит аминокислотную последовательность, которая является достаточно гомологичной аминокислотной последовательности данного изобретения (например, последовательности имеющих четные номера SEQ ID NO: Списка последовательностей), так что этот белок или его часть сохраняет способность выполнять функцию, участвующую в метаболизме углеродных соединений, таких как сахара, или в генерировании энергетических молекул при помощи таких процессов, как окислительное фосфорилирование, в Corynebacterium glutamicum. Часть этого белка является предпочтительно биологически активной частью, как описано здесь. В другом предпочтительном варианте белок SMP данного изобретения имеет аминокислотную последовательность, представленную в виде имеющих четные номера SEQ ID NO: Списка последовательностей. Еще в одном предпочтительном варианте белок SMP имеет аминокислотную последовательность, которая кодируется нуклеотидной последовательностью, которая гибридизуется, например гибридизуется при строгих условиях, с нуклеотидной последовательностью данного изобретения (например, последовательностью имеющих нечетные номера SEQ ID NO: Списка последовательностей). Еще в одном предпочтительном варианте белок SMP имеет аминокислотную последовательность, которая кодируется нуклеотидной последовательностью, которая является по меньшей мере на приблизительно 50%, 51%, 52%, 53%, 54%, 55%, 56%, 57%, 58%, 59% или 60%, предпочтительно по меньшей мере на приблизительно 61%, 62%, 63%, 64%, 65%, 66%, 67%, 68%, 69% или 70%, более предпочтительно по меньшей мере на приблизительно 71%, 72%, 73%, 74%, 75%, 76%, 77%, 78%, 79% или 80%, 81%, 82%, 84%, 85%, 86%, 87%, 88%, 89% или 90%, или 91%, 92%, 94%, или даже более предпочтительно на по меньшей мере мере приблизительно 95%, 96%, 97%, 98%, 99% или более гомологичной нуклеотидной последовательности данного изобретения, или ее часть. Подразумевается, что диапазоны и величины идентичности, промежуточные относительно указанных выше диапазонов (например, идентичные на 70-90% или идентичные на 80-95%), также охватываются данным изобретением. Например, подразумевается, что включены также диапазоны величин идентичности, использующие комбинацию любых из цитированных выше величин в качестве верхнего и/или нижнего пределов. Предпочтительные белки SMP данного изобретения также предпочтительно обладают по меньшей мере одной из описанных здесь активностей SMP. Например, предпочтительный белок SMP данного изобретения включает аминокислотную последовательность, кодируемую нуклеотидной последовательностью, которая гибридизуется, например гибридизуется при строгих условиях, с нуклеотидной последовательностью данного изобретения и может выполнять функцию, участвующую в метаболизме углеродных соединений, таких как сахара, или в генерировании энергетических молекул (например, АТФ) при помощи таких процессов, как окислительное фосфорилирование, в Corynebacterium glutamicum, или имеет одну или несколько активностей, приведенных в таблице 1.
В других вариантах белок SMP является по существу гомологичным аминокислотной последовательности данного изобретения (например, последовательности имеющих четные номера SEQ ID NO: Списка последовательностей) и сохраняет функциональную активность белка одной из аминокислотных последовательностей данного изобретения, несмотря на то, что он отличается по аминокислотной последовательности вследствие природной изменчивости или мутагенеза, как описано подробно в подразделе I выше. Таким образом, в другом варианте белок SMP является белком, который содержит аминокислотную последовательность, которая является по меньшей мере на приблизительно 50%, 51%, 52%, 53%, 54%, 55%, 56%, 57%, 58%, 59% или 60%, предпочтительно по меньшей мере на приблизительно 61%, 62%, 63%, 64%, 65%, 66%, 67%, 68%, 69% или 70%, более предпочтительно по меньшей мере на приблизительно 71%, 72%, 73%, 74%, 75%, 76%, 77%, 78%, 79% или 80%, 81%, 82%, 84%, 85%, 86%, 87%, 88%, 89% или 90%, или 91%, 92%, 94%, или даже более предпочтительно по меньшей мере мере на приблизительно 95%, 96%, 97%, 98%, 99% или более гомологичной полной аминокислотной последовательности данного изобретения, и который имеет по меньшей мере одну из описанных здесь активностей SMP. Подразумевается, что диапазоны и величины идентичности, промежуточные относительно указанных выше диапазонов (например, идентичные на 70-90% или идентичные на 80-95%), также охватываются данным изобретением. Например, подразумевается, что включены также диапазоны величин идентичности, использующие комбинацию любых из цитированных выше величин в качестве верхнего и/или нижнего пределов. В другом варианте данное изобретение относится к полноразмерному белку С. glutamicum, который является по существу гомологичным полной аминокислотной последовательности данного изобретения.
Биологически активные части белка SMP включают пептиды, содержащие аминокислотные последовательности, полученные из аминокислотной последовательности белка SMP, например аминокислотную последовательность, имеющую четный номер SEQ ID NO: Списка последовательностей или аминокислотную последовательность белка, гомологичного белку SMP, которая содержит меньше аминокислот, чем полноразмерный белок SMP или полноразмерный белок, который гомологичен белку SMP, и проявляют по меньшей мере одну активность белка SMP. Обычно биологически активные части (пептиды, например пептиды, которые имеют длину, например, 5, 10, 15, 20, 30, 35, 36, 37, 38, 39, 40, 50, 100 или более аминокислот) содержат домен или мотив с по меньшей мере одной активностью белка SMP. Кроме того, другие биологически активные части, в которых делетированы другие участки этого белка, могут быть получены рекомбинантными способами и оценены на одну или несколько описанных здесь активностей. Предпочтительно биологически активные части белка SMP включают один или несколко доменов/мотивов или их частей, имеющих биологическую активность.
Белки SMP предпочтительно получают способами рекомбинантных ДНК. Например, молекулу нуклеиновой кислоты, кодирующую этот белок, клонируют в экспрессирующий вектор (как описано выше), экспрессирующий вектор вводят в клетку-хозяин (как описано выше) и белок SMP экспрессируется в клетке-хозяине. Затем белок SMP может быть выделен из клеток с использованием подходящей схемы очистки при помощи стандартных способов очистки белков. Альтернативно рекомбинантной экспрессии, белок, полипептид или пептид SMP может быть синтезирован химически при помощи стандартных способов синтеза пептидов. Кроме того, нативный белок SMP может быть выделен из клеток (например, эндотелиальных клеток), например, с использованием анти-SMP-антитела, которое может быть получено стандартными способами, использующими белок SMP или его фрагмент данного изобретения.
Данное изобретение представляет также химерные или слитые белки SMP. В применении здесь, “химерный белок” или “слитый белок” SMP содержит полипептид SMP, функционально связанный с полипептидом не-SMP. “Полипептид SMP” обозначает полипептид, имеющий аминокислотную последовательность, соответствующую белку SMP, тогда как “полипептид не-SMP” обозначает полипептид, имеющий аминокислотную последовательность, соответствующую белку, который не является по существу гомологичным белку SMP, например, белку, который отличается от белка SMP и который получен из того же самого или другого организма. В слитом белке термин “функционально связанный” означает, что полипептид SMP и полипептид не-SMP слиты в рамке считывания друг с другом. Полипептид не-SMP может быть слит с N-концом или С-концом полипептида SMP. Например, в одном варианте слитый белок является слитым белком GST-SMP, в котором последовательности SMP слиты с С-концом последовательностей GST. Такие слитые белки могут облегчать очистку рекомбинантных белков SMP. В другом варианте слитый белок является белком SMP, содержащим гетерологичную сигнальную последовательность на его N-конце. В некоторых клетках-хозяевах (например, в клетках-хозяевах млекопитающих) экспрессия и/или секреция белка SMP может быть увеличена посредством применения гетерологичной сигнальной последовательности.
Предпочтительно химерный или слитый белок SMP данного изобретения получают стандартными способами рекомбинантных ДНК. Например, фрагменты ДНК, кодирующие различные полипептидные последовательности, лигируют вместе в рамке считывания в соответствии с общепринятыми способами, например, посредством использования тупых концов или ступенчатых концов для лигирования, расщепления рестрикатазами для обеспечения подходящих концов, достраивания липких концов, если нужно, обработки щелочной фосфатазой для избежания нежелательного связывания и ферментативного лигирования. В другом варианте слитый ген может быть синтезирован общепринятыми способами, в том числе с использованием автоматических синтезаторов ДНК. Альтернативно может быть проведена ПЦР-амплификация фрагментов гена с использованием якорных праймеров, которые вызывают появление выступов между двумя последовательными генными фрагментами, которые могут быть затем подвергнуты отжигу и повторно амплифицированы с образованием химерной последовательности гена (см., например, Current Protocols in Molecular Biology, Ausubel et al., eds. John Wiley and Sons: 1992). Кроме того, коммерчески доступными являются многие экспрессирующие векторы, которые уже кодируют необходимую для слияния часть (например, полипептид GST). Кодирующая SMP нуклеиновая кислота может быть клонирована в такой экспрессирующий вектор таким образом, что сливаемая часть связывается в рамке считывания с белком SMP.
Гомологи белка SMP могут быть получены мутагенезом, например, дискретной точковой мутацией или укорочением белка SMP. В применении здесь термин «гомолог» относится к вариантной форме белка SMP, которая действует как агонист или антагонист активности белка SMP. Агонист белка SMP может сохранять по существу те же самые биологические активности или субпопуляцию биологических активностей белка SMP. Антагонист белка SMP может ингибировать одну или более активностей природно встречающейся формы белка SMP, например, конкурентным связыванием со стоящим ниже или выше по ходу процесса членом метаболического каскада сахарных молекул или продуцирующего энергию пути, который включает белок SMP.
В альтернативном варианте гомологи белка SMP могут быть идентифицированы скринингом комбинаторных библиотек мутантов, например укороченных мутантов, белка SMP на агонистическую или антагонистическую активность относительно белка SMP. В одном варианте смешанная библиотека вариантов SMP генерируется комбинаторным мутагенезом на уровне нуклеиновых кислот и кодируется библиотекой смешанных (разнообразных) генов. Смешанная библиотека вариантов SMP может быть получена, например, ферментативным лигированием смеси синтетических олигонуклеотидов в последовательности генов таким образом, что вырожденный набор потенциальных последовательностей SMP может экспрессироваться в виде индивидуальных полипептидов или альтернативно в виде набора более крупных слитых белков (например, для фаг-дисплея (фагового представления)), содержащих в них ряд последовательностей SMP. Существуют различные способы, которые могут быть использованы для получения библиотек потенциальных гомологов SMP из вырожденной олигонуклеотидной последовательности. Химический синтез вырожденной последовательности гена может проводиться в автоматическом синтезаторе ДНК, и синтетический ген затем лигируют в подходящий экспрессирующий вектор. Применение вырожденного набора генов позволяет обеспечить, в одной смеси, все последовательности, кодирующие желаемый набор потенциальных последовательностей SMP. Способы синтеза вырожденных олигонуклеотидов известны в данной области (см., например, Narang, S.A. (1983) Tetrahedron 39:3; Itakura et al. (1984) Annu. Rev. Biochem. 53:323; Itakura et al. (1984) Science 198:1056; Ike et al. (1983) Nucleic Acid Res. 11:477.
Кроме того, библиотеки фрагментов кодирующей белок SMP последовательности могут быть использованы для генерирования смешанной популяции фрагментов SMP для скрининга и последующего отбора гомологов белка SMP. В одном варианте библиотека фрагментов кодирующей последовательности может быть получена обработкой двухцепочечного ПЦР-фрагмента кодирующей SMP последовательности нуклеазой в условиях, в которых происходит образование одноцепочечных разрывов только приблизительно один раз на молекулу, денатурацией двухцепочечной ДНК, ренатурацией этой ДНК с образованием двухцепочечной ДНК, которая может включать смысловые/антисмысловые пары из различных разорванных продуктов, удалением одноцепочечных частей из повторно образованных дуплексов обработкой нуклеазой S1 и лигированием полученной библиотеки фрагментов в экспрессирующий вектор. При помощи этого способа может быть получена экспрессионная библиотека, которая кодирует N-концевые, С-концевые и внутренние фрагменты различного размера белка SMP.
Несколько способов известны в данной области для скрининга генных продуктов комбинаторных библиотек, приготовленных с использованием точковых мутаций или укорочения, и для скрининга библиотек кДНК на генные продукты, имеющие выбранное свойство. Такие способы можно приспособить для быстрого скрининга библиотек генов, генерируемых комбинаторным мутагенезом гомологов SMP. Наиболее широко распространенные способы, которые поддаются высокопроизводительному анализу, для скрининга больших библиотек генов, обычно включают клонирование библиотеки генов в реплицируемые экспрессирующие векторы, трансформацию подходящих клеток полученной библиотекой векторов и экспрессию комбинаторных генов в условиях, в которых обнаружение желаемой активности облегчает выделение вектора, кодирующего ген, продукт которого был детектирован. Рекурсивный комплексный мутагенез (REM), новый способ, который усиливает частоту встречаемости функциональных мутантов в библиотеках, может быть использован в сочетании с анализами скрининга для идентификации гомологов SMP (Arkin and Yourvan (1992) PNAS 89:7811-7815; Delgrave et al., (1993) Protein Engineering 6(3):327-331).
В другом варианте анализы на основе клеток могут быть использованы для анализа смешанной библиотеки SMP с применением способов, хорошо известных в данной области.
D. Применения и способы изобретения
Молекулы нуклеиновых кислот, белки, белковые гомологи, слитые белки, праймеры, векторы и клетки-хозяева, описанные здесь, могут быть использованы в одном или большем количестве из следующих способов: идентификации С. glutamicum и родственных организмов; картировании геномов организмов, родственных С. glutamicum; идентификации и локализации представляющих интерес последовательностей С. glutamicum; определении участков белка SMP, необходимых для функции; модуляции активности белка SMP, модуляции метаболизма одного или более сахаров; модуляции продуцирования высокоэнергетических молекул в клетке (т.е. АТФ, НАДФН) и модуляции клеточного продуцирования желаемого соединения, такого как химический продукт тонкого органического синтеза.
Молекулы нуклеиновых кислот SMP данного изобретения имеют множество применений. Во-первых, они могут быть использованы для идентификации организма как являющегося Corynebacterium glutamicum или близкородственным ему организмом. Они могут быть также использованы для идентификации присутствия С. glutamicum или родственного ему организма в смешанной популяции микроорганизмов. Данное изобретение представляет последовательности нуклеиновых кислот ряда генов С. glutamicum; зондированием экстрагированной геномной ДНК культуры уникальной или смешанной популяции микроорганизмов при строгих условиях зондом, охватывающим участок гена С. glutamicum, который является уникальным в отношении этого организма, можно определить, присутствует ли данный организм.
Хотя сама бактерия Corynebacterium glutamicum является непатогенной, она является родственной патогенным видам, таким как Corynebacterium diphtheriae. Corynebacterium diphtheriae является возбудителем дифтерии, быстро развивающейся, острой, протекающей с повышением температуры инфекции, которая включает как местную, так и системную патологию. В этом заболевании местное повреждение развивается в верхних дыхательных путях и включает некротическое повреждение эпителиальных клеток; бациллы секретируют токсин, который диссеминируется через это повреждение к дистальным чувствительным тканям тела. Дегенеративные изменения, вызываемые ингибированием белкового синтеза в этих тканях, которые включают сердце, мышцы, периферические нервы, надпочечники, почки, печень и селезенку, приводят к системной патологии этого заболевания. Дифтерия продолжает встречаться с высокой частотой во многих частях света, в том числе в Африке, Азии, Восточной Европе и независимых государствах бывшего Советского Союза. Продолжающиеся эпидемии дифтерии в двух последних участках привели по меньшей мере к 5000 случаям со смертельным исходом с 1990 года.
В одном варианте данное изобретение представляет способ идентификации присутствия или активности Corynebacterium glutamicum в субъекте. Этот способ включает обнаружение одной или большего количества последовательностей нуклеиновых кислот или аминокислотных последовательностей данного изобретения (например, последовательностей, имеющих нечетные или четные номера SEQ ID NO: соответственно в Списке последовательностей) в субъекте, с обнаружением посредством этого присутствия или активности Corynebacterium diphtheriae в этом субъекте. С. glutamicum и C. diphtheriae являются родственными бактериями, и многие из молекул нуклеиновых кислот и белковых молекул в С. glutamicum являются гомологичными молекулам нуклеиновых кислот и белковым молекулам Corynebacterium diphtheriae, и, следовательно, могут быть использованы для обнаружения Corynebacterium diphtheriae в субъекте.
Молекулы нуклеиновых кислот и белковые молекулы данного изобретения могут также служить в качестве маркеров для специфических участков генома. Это находит применение не только в картировании генома, но также для функциональных исследований белков С. glutamicum. Например, для идентификации участка генома, с которым связывается конкретный связывающий ДНК С. glutamicum белок, геном С. glutamicum можно было бы подвергнуть расщеплению и фрагменты можно было бы инкубировать с ДНК-связывающим белком. Фрагменты, которые связывают этот белок, могут быть дополнительно зондированы молекулами нуклеиновых кислот данного изобретения, предпочтительно с легко обнаруживаемыми метками; связывание такой молекулы нуклеиновой кислоты с фрагментом генома позволяет определить местоположение этого фрагмента на карте генома С. glutamicum и, при проведении этого много раз с различными ферментами, облегчает быстрое определение последовательности нуклеиновой кислоты, с которой связывается данный белок. Далее, молекулы нуклеиновых кислот данного изобретения могут быть достаточно гомологичными последовательностям родственных видов, так что эти молекулы нуклеиновых кислот могут служить в качестве маркеров для конструирования геномной карты в родственных бактериях, таких как Brevibacterium lactofermentum.
Молекулы нуклеиновых кислот SMP данного изобретения применимы также для эволюционных исследований и исследований структуры белков. Метаболические и высвобождающие энергию процессы, в которых участвуют молекулы данного изобретения, используется в большом разнообразии прокариотических и эукариотических клеток; посредством сравнения последовательностей молекул нуклеиновых кислот данного изобретения с молекулами нуклеиновых кислот, кодирующими сходные ферменты из других организмов, может оцениваться эволюционное родство этих организмов. Подобным образом, такое сравнение позволяет оценить, какие участки этой последовательности являются консервативными, а какие не являются консервативными, что может способствовать определению тех участков этого белка, которые являются незаменимыми для функционирования данного фермента. Этот тип определения является ценным для исследований по конструированию белков и может дать указание на то, какой белок может выносить условия мутагенеза без утраты функции.
Манипулирование молекулами нуклеиновых кислот SMP данного изобретения может приводить к получению белков SMP, имеющих функциональные различия в сравнении с белками SMP дикого типа. Эти белки могут быть улучшены по эффективности или активности, могут присутствовать в более высоких количествах в клетке, чем обычно, или могут иметь уменьшенную эффективность или активность.
Данное изобретение представляет способы скрининга молекул, которые модулируют активность белка SMP, либо посредством взаимодействия с самим этим белком или субстратом или партнером связывания белка SMP, либо модуляцией транскрипции или трансляции молекулы нуклеиновой кислоты SMP данного изобретения. В таких способах микроорганизм, экспрессирующий один или более белков SMP данного изобретения, контактируют с одним или более испытуемыми соединениями и оценивают действие каждого тест-соединения на активность или на уровень экспрессии данного белка SMP.
Существует ряд механизмов, при помощи которых белок SMP данного изобретения может непосредственно влиять на выход, продуцирование и/или эффективность продуцирования химического продукта тонкого органического синтеза из штамма С. glutamicum, несущего такой измененный белок. Разложение высокоэнергетических углеродных молекул, таких как сахара, и превращение таких соединений, как НАДН и ФАДН2, в более полезные формы через окислительное фосфорилирование, приводит к образованию ряда соединений, которые сами могут быть желательными химическими продуктами тонкого органического синтеза, таких как пируват, АТФ, НАДН и ряд промежуточных соединений сахара. Далее, эти энергетические (энергоемкие) молекулы (такие как АТФ) и восстанавливающие эквиваленты (такие как НАДН или НАДФН), продуцируемые этими метаболическими путями, используются в клетке для проведения реакций, которые в ином случае были бы энергетически неблагоприятными. Такие неблагоприятные реакции включают многие биосинтетические пути для химических продуктов тонкого органического синтеза. Посредством улучшения способности клеток использовать конкретный сахар (например, манипулированием генами, кодирующими ферменты, участвующие в разложении и превращении этого сахара в энергию для клетки) можно увеличить количество доступной энергии для того, чтобы сделать возможным протекание желаемых метаболических реакций (например, биосинтеза желаемого химического продукта тонкого органического синтеза).
Далее, модуляция одного или более путей, участвующих в утилизации сахаров, позволяет оптимизировать превращение энергии, содержащейся в сахарной молекуле, для продуцирования одного или более желаемых химических продуктов тонкого органического синтеза. Например, посредством уменьшения активности ферментов, участвующих, например, в глюконеогенезе, большее количество АТФ является доступным для проведения желательных биохимических реакций (таких как биосинтез химических продуктов тонкого органического синтеза) в клетке. Общее продуцирование энергетических молекул из сахаров также может модулироваться для обеспечения максимизации продуцирования клеткой энергии из каждой молекулы сахара. Неэффективная утилизация сахара может приводить к избыточному образованию СО2 и избытку энергии, что может приводить к бесполезным метаболическим циклам. Посредством улучшения метаболизма сахарных молекул клетка должна быть способна функционировать более эффективно, с необходимостью меньшего количества углеродных молекул. Это должно приводить к улучшенному соотношению химический продукт тонкого органического синтеза: молекула сахара (улучшенному выходу углерода) и позволяет уменьшить количество сахаров, которое должно добавляться в крупномасштабную культуру ферментера такого сконструированного С. glutamicum.
Мутагенез одного или более генов SMP данного изобретения может также приводить к образованию белков SMP, имеющих измененные активности, которые непосредственно влияют на продуцирование одного или большего количества химических продуктов тонкого органического синтеза из С. glutamicum. Например, увеличением эффективности использования одного или большего количества сахаров (так что превращение этого сахара в полезные энергетические молекулы улучшается) или увеличением эффективности превращения восстанавливающих эквивалентов в полезные энергетические молекулы (например, посредством улучшения эффективности окислительного фосфорилирования или активности АТФ-синтазы) можно увеличить количество высокоэнергетических соединений, доступных для клетки, для проведения обычно неблагоприятных метаболических процессов. Эти процессы включают образование клеточных стенок, транскрипцию, трансляцию и биосинтез соединений, необходимых для роста и деления клеток (например, нуклеотидов, аминокислот, витаминов, липидов и т.д.) (Lengeler et al. (1999) Biology of Prokaryotes, Thieme Verlag: Stuttgart, p. 88-109; 913-918; 875-899). Посредством улучшения роста и размножения этих сконструированных клеток можно как повысить жизнеспособность этих клеток в крупномасштабной культуре, так и улучшить скорость их деления, так что относительно большее число клеток могут выживать в культуре ферментера. Выход, продуктивность или эффективность продуцирования могут быть увеличены, по меньшей мере, вследствие присутствия большего числа жизнеспособных клеток, каждая из которых продуцирует желаемый химический продукт тонкого органического синтеза.
Далее, многие продукты разложения, продуцируемые во время метаболизма сахаров, сами используются клеткой в качестве предшественников или промежуточных продуктов для продуцирования ряда других полезных соединений, некоторые из которых являются химическими продуктами тонкого органического синтеза. Например, пируват превращается в аминокислоту аланин, а рибозо-5-фосфат является интегральной частью, например, нуклеотидных молекул. В результате количество и эффективность метаболизма сахаров оказывает сильное влияние на доступность этих продуктов разложения в клетке. Посредством увеличения способности клетки процессировать сахара, либо на основе эффективности существующих путей (например, конструированием ферментов, участвующих в этих путях, таким образом, что они оптимизируются в их активности), либо посредством увеличения доступности ферментов, участвующих в таких путях (например, увеличением числа этих ферментов, присутствующего в клетке) можно также увеличивать доступность этих продуктов разложения в клетке, что должно, в свою очередь, увеличивать образование многих различных других желаемых соединений в данной клетке (например, химических продуктов тонкого органического синтеза).
Вышеупомянутые стратегии мутагенеза для белков SMP с целью получения увеличенных выходов химического продукта тонкого органического синтеза из С. glutamicum не должны рассматриваться как органичительные; вариации в таких стратегиях будут вполне очевидными специалисту в данной области. С использованием таких стратегий и посредством включения описанных здесь механизмов молекулы нуклеиновых кислот и белков данного изобретения могут быть использованы для генерирования С. glutamicum или родственных штаммов бактерий, экспрессирующих мутированные молекулы нуклеиновых кислот и белков SMP, так что выход, продуцирование и/или эффективность продуцирования желаемого соединения улучшается. Это желаемое соединение может быть любым продуктом, продуцируемым С. glutamicum, который включает конечные продукты путей биосинтеза и промежуточные продукты природно встречающихся метаболических путей, а также молекулы, которые не встречаются природно в метаболизме С. glutamicum, но которые продуцируются штаммом С. glutamicum данного изобретения.
Данное изобретение иллюстрируется далее следующими примерами, которые не должны рассматриваться как ограничивающие. Содержания всех ссылок, заявок на патенты, патентов, опубликованных патентных заявок, таблиц и Списка последовательностей, цитируемые в данной заявке, включены здесь в качестве ссылки.
            
          
      
         
         
       
Примеры
Пример 1: Получение общей геномной ДНК Corynebacterium glutamicum АТСС 13032
Культуру Corynebacterium glutamicum (АТСС 13032) выращивали в течение ночи при 30оС с сильным встряхиванием в среде BHI (Difco). Клетки собирали центрифугированием, супернатант отбрасывали и клетки ресуспендировали в 5 мл буфера-I (5% исходного объема культуры – все указанные объемы рассчитывали для 100 мл объема культуры). Состав буфера-I: 140,34 г/л сахарозы, 2,46 г/л MgSO4 х 7Н2О, 10 мл/л раствор K2HPO4 (100 г/л, доведенный до рН 6,7 с помощью КОН), 50 мл/л концентрата М12 (10 г/л (NH4)2SO4, 1 г/л NaCl, 2 г/л MgSO4 х 7Н2О, 0,2 г/л CaCl2, 0,5 г/л дрожжевого экстракта (Difco), 10 мл/л смеси микроэлементов (200 мг/л FeSO4 х Н2О, 10 мг/л ZnSO4 х 7Н2О, 3 мг/л MnCl2 х 4Н2О, 30 мг/л Н3ВО3, 20 мг/л CoCl2 х 6Н2О, 1 мг/л NiCl2 х 6Н2О, 3 мг/л Na2MoO4 х 2Н2О, 500 мг/л комплексообразующего агента (ЭДТА или лимонная кислота), 100 мл/л смеси витаминов (0,2 мг/л биотина, 0,2 мг/л фолиевой кислоты, 20 мг/л п-аминобензойной кислоты, 20 мг/л рибофлавина, 40 мг/л Са-пантотената, 140 мг/л никотиновой кислоты, 40 мг/л пиридоксолгидрохлорида, 200 мг/л миоинозита). К этой суспензии добавляли лизоцим до конечной концентрации 2,5 мг/мл. После приблизительно 4 часов инкубации при 37оС клеточную стенку разрушали и полученные протопласты собирали центрифугированием. Осадок промывали один раз 5 мл буфера-I и один раз 5 мл ТЭ-буфера (10 мМ Трис-HCl, 1 мМ ЭДТА, рН 8). Осадок ресуспендировали в 4 мл ТЭ-буфера и добавляли 0,5 мл раствора ДСН (10%) и 0,5 мл раствора NaCl (5 М). После добавления протеиназы К до конечной концентрации 200 мкг/мл суспензию инкубировали в течение приблизительно 18 часов при 37оС. ДНК очищали экстракцией фенолом, смесью фенол-хлороформ-изоамиловый спирт и смесью хлороформ-изоамиловый спирт с использованием обычных процедур. Затем ДНК осаждали добавлением 1/50 объема 3 М ацетата натрия и 2 объемов этанола с последующими 30-минутной инкубацией при -20оС и 30-минутным центрифугированием при 12000 об/мин в высокоскоростной центрифуге с использованием ротора SS34 (Sorvall). ДНК растворяли в 1 мл ТЭ-буфера, содержащего 20 мкг/мл РНКазы А и диализовали при 4оС против 1000 мл ТЭ-буфера в течение по меньшей мере 3 часов. В это время буфер заменяли 3 раза. К аликвотам 0,4 мл диализованного раствора ДНК добавляли 0,4 мл 2 М LiCl и 0,8 мл этанола. После 30 мин инкубации при -20оС ДНК собирали центрифугированием (13000 об/мин, Biofuge Fresco, Heraeus, Hanau, Germany). Осадок ДНК растворяли в ТЭ-буфере. ДНК, полученную этой процедурой, можно было использовать для всех целей, в том числе для Саузерн-блоттинга или конструирования геномных библиотек.
Пример 2: Конструирование геномных библиотек Corynebacterium glutamicum АТСС 13032 в Escherichia coli
С использованием ДНК, полученной, как описано в примере 1, космидные и плазмидные библиотеки конструировали в соответствии с известными и хорошо установленными способами (см., например, Sambrook et al. (1989) “Molecular Cloning. A Laboratory Manual”, Cold Spring Harbor Laboratory Press или Ausubel, F.M. et al. (1994) “Current Protocols in Molecular Biology”, John Wiley and Sons).
Можно использовать любую плазмиду или космиду. Особенно применимыми были плазмиды pBR322 (Sutcliffe, J.G. (1979) Proc. Natl. Acad. Sci. USA, 75:3737-3741); pACYC177 (Change and Cohen (1978) J. Bacteriol. 134:1141-1156), плазмиды серии pBS (pBSSK+, pBSSK- и другие; Stratagene, La Jolla, USA) или космиды в виде SuperCos1 (Stratagene, La Jolla, USA) или Lorist6 (Gibson, T.J., Rosenthal A. and Waterson, R.H. (1987) Gene 53:283-286. Библиотеки генов специально для применения в С. glutamicum могут быть сконструированы с использованием плазмиды pSL109 (Lee, H.-S. and A.J. Sinskey (1994) J. Microbiol. Biotechnol. 4: 256-263).
Пример 3: Секвенирование и вычислительный функциональный анализ ДНК
Геномные библиотеки, описанные в примере 2, использовали для секвенирования ДНК в соответствии со стандартными способами, в частности при помощи способа терминации цепи с использованием установки для секвенирования АВI377 (см., например, Fleischman, R.D. et al., (1995) “Whole-genom Random Sequencing and Assembly of Haemophilus Influenzae Rd., Science, 269:496-512). Использовали следующие секвенирующие праймеры со следующими нуклеотидными последовательностями: 5′-GGAAACAGTATGACCATG-3′ (SEQ ID NO:783) или 5′-GTAAAACGACGGCCAGT-3′ (SEQ ID NO:784).
Пример 4: Мутагенез in vivo
Мутагенез in vivo Corynebacterium glutamicum может проводиться пассажем ДНК плазмиды (или другого вектора) через E. coli или другие микроорганизмы (например, виды Bacillus или дрожжи, такие как Saccharomyces cerevisiae), у которых была нарушена их способность поддерживать целостность их генетической информации. Типичные мутированные штаммы имеют мутации в генах для системы репарации ДНК (например, mutHLS, mutD, mutT, и т.д.; в отношении ссылки см. Rupp, W.D. (1996) DNA repair mechanisms, in: Escherichia coli and Salmonella, p. 2277-2294, ASM, Washington). Такие штаммы хорошо известны специалисту в данной области. Применение таких штаммов иллюстрируется, например, в Greener, A. and Callahan, M. (1994) Strategies 7: 32-34.
Пример 5: Перенос ДНК между Escherichia coli и Corynebacterium glutamicum
Некоторые виды Corynebacterium и Brevibacterium содержат эндогенные плазмиды (например, pHM1519 или pBL1), которые реплицируются автономно (в отношении обзора см, например, Martin, J.F. et al. (1987) Biotechnology, 5:137-146). Челночные векторы для Escherichia coli и Corynebacterium glutamicum могут быть легко сконструированы с использованием стандартных векторов для E. coli (Sambrook et al. (1989) “Molecular Cloning. A Laboratory Manual”, Cold Spring Harbor Laboratory Press или Ausubel, F.M. et al. (1994) “Current Protocols in Molecular Biology”, John Wiley and Sons), к которым добавляют сайт инициации репликации (ориджин) и подходящий маркер из Corynebacterium glutamicum. Такие сайты инициации репликации предпочтительно берутся из эндогенных плазмид, выделенных из видов Corynebacterium и Brevibacterium. Особенно применимы в качестве маркеров трансформации для этих видов гены устойчивости к канамицину (такие, как полученные из транспозонов Tn5 или Tn903) или к хлорамфениколу (Winnacker, E.L. (1987) “From Genes to Clones – Introduction to Gene Technology, VCH, Weinheim). В литературе имеются многочисленные примеры конструирования большого разнообразия челночных векторов, которые реплицируются как в E. coli, так и в С. glutamicum и которые могут быть использованы для нескольких целей, в том числе для сверхэкспрессии генов (в отношении ссылки см, например, Yoshihama, M. et al. (1985) J. Bacteriol. 162:591-597, Martin, J.F. et al. (1987) Biotechnology, 5:137-146 и Eikmanns, B.J. et al. (1991) Gene, 102:93-98).
С использованием стандартных способов можно клонировать представляющий интерес ген в один из описанных выше челночных векторов и вводить такие гибридные векторы в штаммы Corynebacterium glutamicum. Трансформация С. glutamicum может быть достигнута трансформацией протопластов (Kastsumata, R. et al. (1984) J. Bacteriol. 159306-311), электропорацией (Liebl, E. et al. (1989) FEMS Microbiol. Letters, 53:399-403) и в случаях, когда используют специальные векторы, также конъюгацией (как описано, например, в Schafer, A. et al. (1990) J. Bacteriol. 172:1662-1666). Можно также переносить челночные векторы для С. glutamicum в E. coli получением плазмидной ДНК из С. glutamicum (с использованием стандартных способов, хорошо известных в данной области) и трансформацией ее в E. coli. Эту стадию трансформации можно проводить с использованием стандартных способов, но предпочтительно использовать Mcr-недостаточный штамм E. coli, такой как NM522 (Gough and Murray (1983) J. Mol. Biol. 166:1-19).
Гены могут быть сверхэкспрессированы в штаммах С. glutamicum с использованием плазмид, содержащих pCG1 (патент США № 4 617 267) или ее фрагменты, и необязательно ген устойчивости к канамицину из TN903 (Grindley, N.D. and Joyce, C.M. (1980) Proc. Natl. Acad. Sci. USA 77(12): 7176-7180). Кроме того, гены могут быть сверхэкспрессированы в штаммах С. glutamicum с использованием плазмиды pSL109 (Lee, H.-S. and A.J. Sinskey (1994) J. Microbiol. Biotechnol. 4: 256-263).
Помимо применения реплицирующихся плазмид, сверхэкспрессия генов может быть также достигнута интеграцией их в геном. Геномная интеграция в С. glutamicum или других видах Corynebacterium или Brevibacterium может выполняться хорошо известными способами, такими как гомологичная рекомбинация с участком (участками) генома, опосредованная рестрикционными эндонуклеазами интеграция (REMI) (см., например, патент DE 19823834), или посредством использования транспозонов. Можно также модулировать активность представляющего интерес гена модификацией регуляторных участков (например, промотора, репрессора и/или энхансера) посредством модификации последовательности, инсерцией или делецией с использованием сайт-направленных способов (таких как гомологичная рекомбинация) или способов на основе случайных событий (таких как транспозонный мутагенез или REMI). Последовательности нуклеиновых кислот, которые функционируют как терминаторы транскрипции, могут быть также встроены по 3′ положению (справа) от кодирующего участка одного или более генов данного изобретения; такие терминаторы хорошо известны в данной области и описаны, например, в Winnacker, E.L. (1987) “From Genes to Clones – Introduction to Gene Technology, VCH, Weinheim.
Пример 6: Оценка экспрессии мутантного белка
Наблюдения активности мутированного белка в трансформированной клетке-хозяине основываются на том факте, что мутантный белок экспрессируется сходным образом и в сходном количестве в сравнении с белком дикого типа. Применимым способом для определения уровня транскрипции мутантного гена (индикатора количества мРНК, доступного для трансляции генного продукта) является проведение Нозерн-блоттинга (в отношении ссылки см., например, Ausubel, et al. (1988) “Current Protocols in Molecular Biology”, Wiley; New York), в котором праймер, сконструированный для связывания с представляющим интерес геном, метят детектируемой меткой (обычно радиоактивной или хемилюминесцентной), так что при экстракции общей РНК культуры организма, подвергании ее электрофорезу на геле, переносе на стабильный матрикс и инкубировании с этим зондом связывание и количество связывания этого зонда указывает на присутствие, а также показывает количество мРНК для этого гена. Эта информация показывает степень транскрипции мутантного гена. Общая клеточная РНК может быть получена из Corynebacterium glutamicum при помощи нескольких способов, которые хорошо известны в данной области, например, описанных в Bormann, E.R. et al. (1992) Mol. Microbiol. 6: 317-326.
Для оценки присутствия или относительного количества белка, транслируемого из этой мРНК, могут быть использованы стандартные способы, такие как Вестерн-блоттинг (см., например, Ausubel, et al. (1988) “Current Protocols in Molecular Biology”, Wiley: New York). В этом способе экстрагируют общие клеточные белки, разделяют их гель-электрофорезом, переносят на матрикс, такой как нитроцеллюлоза, и инкубируют с зондом, таким как антитело, которое специфически связывается с желаемым белком. Этот зонд обычно является меченным хемилюминесцентной или колорметрической меткой, которая может легко детектироваться. Присутствие и количество наблюдаемой метки показывает присутствие и количество желаемого мутантного белка, присутствующего в данной клетке.
Пример 7: Культивирование генетически модифицированного Corynebacterium glutamicum – среды и условия культуры
Генетически модифицированные Corynebacteria культивируют в синтетических или природных средах для выращивания. Ряд различных сред для выращивания для Corynebacteria являются как хорошо известными, так и легко доступными (Lieb et al. (1989) Appl. Microbiol. Biotechnol., 32:205-210; von der Osten et al. (1998) Biotechnology Letters, 11:11-16; Patent DE 4 120 867; Liebl (1992) “The Genus Corynebacterium, in: The Procaryotes, Volume II, Balows, A. et al., eds. Springer-Verlag). Эти среды состоят из одного или более источников углерода, источников азота, неорганических солей, витаминов и микроэлементов. Предпочтительными источниками углерода являются сахара, такие как моно-, ди- или полисахариды. Например, очень хорошими источниками углерода являются глюкоза, фруктоза, манноза, галактоза, рибоза, сорбоза, рибулоза, лактоза, мальтоза, сахароза, рафиноза, крахмал или целлюлоза. Сахар можно также предоставлять в среду через комплексные соединения, такие как мелассы или другие побочные продукты очистки сахаров. Предпочтительно можно также предоставлять смеси различных источников углерода. Другими возможными источниками углерода являются спирты и органические кислоты, такие как метанол, этанол, уксусная кислота или молочная кислота. Источниками азота обычно являются органические или неорганические соединения азота или материалы, содержащие эти соединения. Примеры источников азота включают газообразный аммиак или аммониевые соли, такие как NH4Cl или (NH4)2SO4, NH4OH, нитраты, мочевина, аминокислоты или комплексные источники азота, такие как жидкий кукурузный экстракт, соевая мука, соевый белок, дрожжевой экстракт, мясной экстракт и другие.
Соединения, являющиеся неорганическими солями, которые могут быть включены в эти среды, включают хлоридные, фосфористые или сульфатные соли кальция, магния, натрия, кобальта, молибдена, калия, марганца, цинка, меди и железа. Хелатообразующие соединения могут быть добавлены к среде для поддержания ионов металлов в растворе. Особенно применимые хелатообразующие соединения включают дигидроксифенолы, такие как катехин или прокатехуат, или органические кислоты, такие как лимонная кислота. Для этих сред является типичным, что они также содержат другие факторы роста, такие как витамины или стимуляторы роста, примеры которых включают биотин, рибофлавин, тиамин, фолиевую кислоту, никотиновую кислоту, пантотенат и пиридоксин. Факторы роста и соли часто происходят из комплексных компонентов для сред, таких как дрожжевой экстракт, мелассы, жидкий кукурузный экстракт и другие. Точный состав соединений сред сильно зависит от конкретного эксперимента и решение о составе принимается для каждого особого случая. Информация об оптимизации сред доступна в руководстве “Applied Microbiol. Physiology. A Practical Approach (eds. P.M. Rhodes, P.F. Stanbury, IRL Press (1997) pp. 53-73, ISBN 0 19 963577 3). Возможен также выбор сред для выращивания от коммерческих поставщиков, таких как стандарт 1 (Merck) или BHI (инфузионный раствор для мозга и сердца, Difco) или другие.
Все компоненты среды стерилизуют либо нагреванием (20 мин при 1,5 бар и 121оС), либо стерильным фильтрованием. Эти компоненты могут стерилизоваться в начале культивирования или они могут необязательно добавляться непрерывно или периодически.
Условия культивирования определяют отдельно для каждого эксперимента. Температура должна быть в диапазоне между 15оС и 45оС. Температура может поддерживаться на постоянном уровне или может меняться во время эксперимента. рН среды должен быть в диапазоне 5-8,5, предпочтительно около 7,0, и может поддерживаться добавлением буферов к средам. Примером буфера для этой цели является калий-фосфатный буфер. Альтернативно или одновременно могут быть использованы синтетические буферы, такие как MOPS, HEPES, ACES и другие. Можно также поддерживать постоянный рН культуры добавлением NaOH или NH4OH во время культивирования. При использовании комплексных компонентов среды, таких как дрожжевой экстракт, необходимость в дополнительных буферах может уменьшаться вследствие того факта, что многие соединения комплекса имеют высокие буферные способности. При использовании ферментера для культивирования микроорганизмов рН может регулироваться при помощи газообразного аммиака.
Время инкубации обычно находится в диапазоне от нескольких часов до нескольких дней. Это время выбрано для получения возможности накопления максимального количества продукта в бульоне. Описанные эксперименты с культивированием могут проводиться в различных сосудах, таких как микротитрационные планшеты, стеклянные пробирки, стеклянные колбы или металлические ферментеры разных размеров. Для скрининга большого количества клонов микроорганизмы должны культивироваться в микротитрационных планшетах, стеклянных пробирках или встряхиваемых колбах с перегородками или без перегородок. Предпочтительно, используют встряхиваемые колбы на 100 мл, заполненные 10% (по объему) требующейся среды для выращивания. Колбы должны встряхиваться на ротационном шейкере (амплитуда 25 мм) с использованием диапазона скоростей 100-300 об/мин. Потери, связанные с испарением, могут быть уменьшены поддержанием влажной атмосферы; альтернативно должна проводиться математическая коррекция на потери от испарения.
При испытании генетически модифицированных клонов должен также испытываться немодифицированный контрольный клон или контрольный клон, содержащий основную плазмиду без какой-либо вставки. Среду инокулируют до OD600 0,5-1,5 с использованием клеток, выращенных на чашках с агаром, таких как СМ-чашки (10 г/л глюкозы, 2,5 г/л NaCl, 2 г/л мочевины, 10 г/л полипептона, 5 г/л дрожевого экстракта, 5 г/л мясного экстракта, 22 г/л агара, рН 6,8 с 2 М NaOH), которые инкубировали при 30оС. Инокуляцию сред выполняют либо введением суспензии клеток С. glutamicum в солевом растворе из СМ-чашек, либо добавлением жидкой предварительной культуры этой бактерии.
Пример 8: Анализ in vitro функции мутантных белков
Определение активностей и кинетических параметров ферментов является хорошо разработанным в данной области. Эксперименты для определения активности любого конкретного измененного фермента должны выполняться относительно удельной активности фермента дикого типа, что находится в рамках способностей специалиста в данной области. Обзоры по ферментам вообще, а также конкретные детали, касающиеся структуры, кинетики, принципов, способов, применений и примеров для определения активностей многих ферментов могут быть найдены в следующих ссылках: Dixon, M. and Webb, E.C., (1979) Enzymes, Longmans: London; Fersht, (1985) Enzyme Structure and Mechanism, Freeman: New York; Walsh, (1979) Enzymatic Reaction Mechanisms. Freeman: San Francisco; Price, N.C., Stevens, L. (1982) Fundamentals of Enzymology, Oxford Univ. Press: Oxford; Boyer, P.D., ed. (1983) The Enzymes, 3rd ed. Academic Press: New York; Bisswanger, H., (1994) Enzymkinetik, 2nd ed. VCH: Weinheim (IBSN 3527300325); Bergmeyer, H.U., Bergmeyer, J., Grassl, M., eds. (1983-1986) Methods of Enzymatic Analysis, 3rd ed., vol. I-XII, Verlag Chemie: Weinheim; и Ullmann’s Encyclopedia of Industrial Chemistry (1987) vol. A9, “Enzymes”, VCH: Weinheim, p. 352-363.
Активность белков, которые связываются с ДНК, может быть измерена несколькими установленными способами, такими как анализы смещения полос ДНК (также называемые гель-ретардационными анализами (анализами замедления миграции в геле)). Действие таких белков на экспрессию других молекул может быть измерено с использованием анализов с репортерными генами (например, описанными в Kolmar, H. et al. (1995) EMBO J. 14: 3895-3904 и цитируемых в этой работе ссылках). Тест-системы с репортерными генами хорошо известны и разработаны для применений как в прокариотических, так и эукариотических клетках, с использованием ферментов, таких как бета-галактозидаза, зеленый флуоресцентный белок и некоторые другие.
Определение активности белков мембранного транспорта может проводиться в соответствии со способами, такими как способы, описанные в Gennis, R.B. (1989) “Pores, Channels and Transporters”, in Biomemranes, Molecular Structure and Function, Springer: Heidelberg, p. 85-137; 199-234 и 270-322.
Пример 9: Анализ влияния мутантных белков на продуцирование желаемого продукта
Влияние генетической модификации в С. glutamicum на продуцирование желаемого соединения (такого как аминокислота) может быть оценено культивированием модифицированного микроорганизма при подходящих условиях (таких как условия, описанные выше) и анализом среды и/или клеточного компонента на увеличенное продуцирование желаемого продукта (т.е. аминокислоты). Такие способы анализа являются хорошо известными специалисту в данной области, и включают спектроскопию, тонкослойную хроматографию, способы окрашивания разного рода, ферментативные и микробиологические способы и аналитическую хроматографию, например, высокоэффективную жидкостную хроматографию (см., например, Ullmann, Encyclopedia of Industrial Chemistry, vol. A2, p. 89-90 и p. 443-613, VCH: Weinheim (1985); Fallon, A. et al., (1987) “Applications of HPLC in Biochemistry” in: Laboratory Techniques in Biochemistry and Molecular Biology, vol. 17; Rehm et al. (1993) Biotechnology, vol. 3, Chapter III: “Product recovery and purification”, page 469-714, VCH: Weinheim; Belter, P.A. et al. (1988) Bioseparations: downstream processing for biotechnology, John Wiley and Sons; Kennedy, J.F. and Cabral, J.M.S. (1992) Recovery processes for biological materials, John Wiley and Sons; Shaeiwitz, J.A. and Henry, J.D. (1988) Biochemical separations, in: Ullmann’s Encyclopedia of Industrial Chemistry, vol. B3, Chapter 11, page 1-27, VCH: Weinheim; и Dechow, F.J. (1989) Separation and purification techniques in biotechnology, Noyes Publications).
Кроме измерения конечного продукта ферментации, можно также анализировать другие соединения метаболических путей, используемых для продуцирования желаемого соединения, такие как промежуточные продукты и побочные продукты, для определения общей продуктивности соединения. Способы анализа включают измерения уровней питательных веществ в среде (например, сахаров, углеводородов, источников азота, фосфата и других ионов), измерения состава биомассы и роста, анализ продуцирования обычных метаболитов биосинтетических путей и измерение газов, продуцируемых во время ферментации. Стандартные способы для этих измерений описаны в “Applied Microbial. Physiology, A Practical Approach, eds. P.M. Rhodes and P.F. Stanbury, eds., IRL Press p. 103-129;131-163; и 165-192 (ISBN 0 199635773) и цитируемые ссылки.
Пример 10: Очистка желаемого продукта из культуры С. glutamicum
Извлечение желаемого продукта из клеток С. glutamicum или супернатанта описанной выше культуры может быть выполнено различными способами, хорошо известными в данной области. Если желаемый продукт не секретируется из клеток, клетки могут быть собраны из культуры низкоскоростным центрифугированием, эти клетки могут быть лизированы стандартными способами, такими как механические способы или обработка ультразвуком. Клеточный дебрис удаляют центрифугированием, а фракцию супернатанта, содержащую растворимые белки, сохраняют для последующей очистки желаемого соединения. Если продукт секретируется из клеток С. glutamicum, то эти клетки удаляют из культуры низкоскоростным центрифугированием, а фракцию супернатанта сохраняют для последующей очистки.
Фракцию супернатанта из любого способа очистки подвергают хроматографии с подходящей смолой, в которой либо желаемая молекула удерживается на хроматографической смоле, тогда как примеси в пробе не удерживаются, либо примеси удерживаются этой смолой, тогда как проба не удерживается. Такие стадии хроматографии могут быть повторены, если требуется, с использованием той же самой смолы или отличающихся смол. Специалист в данной области должен быть вполне сведущим в выборе подходящих хроматографических смол и в их наиболее эффективном применении для конкретной подлежащей очистке молекулы. Очищенный продукт может быть сконцентрирован фильтрованием или ультрафильтрацией и может храниться при температуре, при которой стабильность этого продукта является максимизированной.
Имеется большое число способов очистки, известных в данной области, и предыдущий способ очистки не должен рассматриваться как ограничивающий изобретение. Такие способы очистки описаны, например, в Bailey, J.E. and Ollis, D.F. Biochemical Engineering Fundamentals, McGraw-Hill: New York (1986).
Идентичность и чистота выделенных соединений может оцениваться способами, стандартными в данной области. Они включают высокоэффективную жидкостную хроматографию (ВЖХ), спектроскопические способы, способы окрашивания, тонкослойную хроматографию, NIRS, ферментативный анализ или микробиологические способы. Такие способы анализа рассматриваются в Patek et al. (1994) Appl. Environ. Microbiol. 60: 133-140; Malakhova et al. (1996) Biotekhnologiya 11: 27-32 и Schmidt et al. (1998) Bioprocess Engineer, 19: 67-70, Ullmann’s Encyclopedia of Industrial Chemistry, (1996) vol. A27, VCH: Weinheim, p. 89-90, p. 521-540, p. 540-547, p. 559-566, 575-581 и p. 581-587; Michal, G. (1999) Biochemical Pathways: An Atlas of Biochemistry and Molecular Biology, John Wiley and Sons; Fallon, A. et al.(1987) Applications of HPLC in Biochemistry in: Laboratory Techniques in Biochemistry and Molecular Biology, vol. 17.
Пример 11: Анализ последовательностей генов изобретения
Сравнение последовательностей и определение процентной гомологии между двумя последовательностями являются известными в данной области способами и могут быть выполнены с использованием математического алгоритма, такого как алгоритм Karlin and Altschul (1990) Proc. Natl. Acad. Sci. USA 87:2264-68, модифицированный, как описано в Karlin and Altschul (1993) Proc. Natl. Acad. Sci. USA 90:5873-77. Такой алгоритм включен в программы NBLAST и XBLAST (версия 2.0) Altschul, et al. (1990) J. Mol. Biol. 215:403-10. BLAST-поиски нуклеотидов могут выполняться с программой NBLAST, оценка = 100, длина слова = 12, для получения нуклеотидных последовательностей, гомологичных молекулам нуклеиновых кислот SMP данного изобретения. BLAST-поиски белков могут выполняться с программой XBLAST, оценка = 50, длина слова = 3, для получения аминокислотных последовательностей, гомологичных молекулам белка SMP данного изобретения. Для получения имеющих гэпы сопоставлений для целей сравнения может быть использована программа Gapped BLAST, описанная в Altschul, et al. (1997) Nucleic Acids Res. 25(17): 3389-3402. При использовании программ BLAST и Gapped BLAST специалист в данной области должен знать, как оптимизировать параметры этой программы (например, XBLAST и NBLAST) для конкретной анализируемой последовательности.
Другим примером математического алгоритма, используемого для сравнения последовательностей, является алгоритм Meyers and Miller (1998) Comput. Appl. Biosci. 4: 11-17). Такой алгоритм включен в программу ALIGN (версия 2.0), которая является частью GCG-пакета программ сопоставления последовательностей. При использовании программы ALIGN для сравнения аминокислотных последовательностей могут быть использованы таблица РАМ120 остатков весовых коэффициентов, штраф длины гэпа 12 и штраф гэпа 4. Дополнительные алгоритмы для анализа последовательностей известны в данной области и включают ADVANCE и ADAM, описанные в Torelli and Robotti (1994) Comput. Appl. Biosci. 10:3-5; и FASTA, описанную в Pearson and Lipman (1988) P.N.A.S. 85:2444-8.
Сравнительный анализ последовательностей генов данного изобретения с последовательностями, присутствующими в Genbank, выполняли с использованием способов, известных в данной области (см., например, Bexevanis and Oullette, eds. (1998) Bioinformatics: A Practical Guide to the Analysis of Genes and Proteins. John Wiley and Sons: New York). Последовательности генов данного изобретения сравнивали с генами, присутствующими в Genbank, в трехстадийном процессе. В первой стадии выполняли анализ BLASTN (например, локальный анализ сопоставления) для каждой из последовательностей данного изобретения в отношении нуклеотидных последовательностей, присутствующих в Genbank, и высшие 500 совпадений использовали для дальнейшего анализа. Последующий поиск FASTA (например, объединенный локальный и общий анализ сопоставления, в котором сопоставляли лимитированные участки этих последовательностей) проводили на этих 500 совпадениях. Каждую последовательность гена данного изобретения затем сопоставляли в целом с каждым из наивысших трех совпадений FASTA с использованием программы GAP в GCG-пакете программ (с использованием стандартных параметров). Для получения точных результатов длину последовательностей, извлеченных из Genbank, корректировали относительно длины исследуемых последовательностей при помощи способов, хорошо известных в данной области. Результаты этого анализа приведены в таблице 4. Полученная информация идентична информации, которая была бы получена, если бы проводили только анализ GAP (общий) на каждом из генов данного изобретения в сравнении с каждой из ссылочных последовательностей в Genbank, но требовалось значительно уменьшенное время вычисления в сравнении со временем вычисления анализа GAP (общего) с широкой базой данных. Последовательности данного изобретения, для которых не получали сопоставлений выше величин отсечения, показаны в таблице 4 отсутствием информации сопоставления. Кроме того, специалисту в данной области будет понятно, что проценты гомологии сопоставления GAP, приведенные в таблице 4 под заголовком «%-ная гомология (GAP)», перечислены в Европейском цифровом формате, где “,” (запятая) обозначает десятичную точку. Например, величина “40,345” в этом столбце обозначает именно”40,345%”.
Пример 12: Конструирование и эксплуатация микроматриц ДНК
Последовательности данного изобретения могут быть дополнительно использованы в конструировании и применении микроматриц ДНК (конструирование, методология и применения матриц ДНК хорошо известны в данной области и описаны, например, в Schena, M. et al. (1995) Science 270: 467-470, Wodicka, L. et al. (1997) Nature Biotechnology 15: 1359-1367; DeSaizieu, A. et al. (1998) Nature Biotechnology 16: 45-48 и DeRisi, J.L. et al. (1997) Science 278: 680-686).
Микроматрицы ДНК являются твердыми или гибкими подложками, состоящими из нитроцеллюлозы, стекла, силикона или других материалов. Молекулы нуклеиновых кислот могут быть присоединены к поверхности упорядоченном образом. После подходящего мечения другие нуклеиновой кислоты или смеси нуклеиновых кислот могут быть гибридизованы с иммобилизованными молекулами нуклеиновых кислот, и метка может быть использована для мониторинга и измерения индивидуальных интенсивностей сигнала гибридизованных молекул в определенных участках. Эта методология позволяет обеспечить одновременное определение относительного или абсолютного количества всех или выбранных нуклеиновых кислот в нанесенной пробе или смеси нуклеиновых кислот. Таким образом, микроматрицы ДНК позволяют проводить анализ экспрессии множественных (до 6800 или более) нуклеиновых кислот параллельно (см., например, Schena, M. (1996) BioEssays 18(5): 427-431).
Последовательности данного изобретения могут быть использованы для конструирования олигонуклеотидных праймеров, которые способны амплифицировать определенные участки одного или более генов С. glutamicum посредством реакции амплификации нуклеиновых кислот, такой как полимеразная цепная реакция. Выбор и конструирование 5′- или 3′-олигонуклеотидных праймеров или подходящих линкеров делают возможным ковалентное присоединение полученных ПЦР-продуктов к поверхности среды-носителя, описанной выше, (и описанной также, например, Schena, M. et al. (1995) Science 270: 467-470).
Микроматрицы нуклеиновых кислот могут быть также сконструированы синтезом олигонуклеотидов in situ, как описано Wodicka, L. et al. (1997) Nature Biotechnology 15: 1359-1367. При помощи фотолитографических способов точно определенные участки матрицы экспонируются свету. Защитные группы, которые являются фотолабильными, активируются посредством этого и подвергаются добавлению нуклеотидов, тогда как участки, которые маскированы от света, не подвергаются никакой модификации. Последующие циклы защиты и активации светом делают возможным синтез различных олигонуклеотидов в определенных положениях. Небольшие, определенные участки генов данного изобретения могут быть синтезированы на микроматрицах посредством твердофазного синтеза олигонуклеотидов.
Молекулы нуклеиновых кислот данного изобретения, присутствующие в пробе или смеси нуклеотидов, могут быть гибридизованы с микроматрицами. Эти молекулы нуклеиновых кислот могут быть помечены в соответствии со стандартными способами. Вкратце, молекулы нуклеиновых кислот (например, молекулы мРНК или молекулы ДНК) метят включением изотопно или флуоресцентно меченных нуклеотидов, например, во время обратной транскрипции или синтеза ДНК. Гибридизация меченых нуклеиновых кислот с микроматрицами описана (например, в Schena, M. et al. (1995) supra; Wodicka, L. et al. (1997) supra и DeSaizieu, A. et al. (1998) supra). Детектирование и количественное определение гибридизованной молекулы выполняются в соответствии со специфической включенной меткой. Радиоактивные метки могут быть детектированы, например, как описано в Schena, M. et al. (1995) supra, а флуоресцентные метки могут быть детектированы, например, по способу Shalon et al. (1996) Genome Research 6: 639-645).
Применение последовательностей данного изобретения к технологии микроматриц ДНК, как описано выше, делает возможным сравнительный анализ различных штаммов С. glutamicum или других Corynebacteria. Например, исследования вариаций между штаммами на основе профилей индивидуальных транскриптов и идентификация генов, которые являются важными для специфических и/или желательных свойств штаммов, таких как патогенность, продуктивность и устойчивость к стрессам, облегчаются методологиями микроматриц нуклеиновых кислот. Сравнения профиля экспрессии генов данного изобретения в ходе реакции ферментации также являются возможными с использованием технологии матриц нуклеиновых кислот.
Пример 13: Анализ динамики клеточных популяций белков (протеомики)
Гены, композиции и способы данного изобретения могут применяться для исследования взаимодействий и динамики популяций белков, называемой “протеомикой”. Представляющие интерес популяции белков включают, но не ограничиваются ими, общую популяцию белков С. glutamicum (например, в сравнении с популяциями белков других организмов), белки, которые являются активными при специфических условиях окружающей среды или метаболических условиях (например, во время ферментации, при высокой или низкой температуре или при высоком или низком рН) или другие белки, которые являются активными во время конкретных фаз роста и развития.
Популяции белков можно анализировать разнообразными хорошо известными способами, такими как гель-электрофорез. Клеточные белки могут быть получены, например, лизисом или экстракцией, и могут быть отделены друг от друга с использованием различных электрофоретических способов. Электрофорез в полиакриламидном геле с додецилсульфатом натрия (электрофорез в ДСН-ПААГ) разделяет белки в значительной степени на основе их молекулярной массы. Электрофорез в полиакриламидном геле с изоэлектрическим фокусированием (ИЭФ-электрофорез в ПААГ) разделяет белки по их изоэлектрической точке (которая отражает не только аминокислотную последовательность, но также посттрансляционные модификации данного белка). Другим более предпочтительным способом анализа белков является последовательная комбинация ИЭФ-электрофореза в ПААГ и электрофореза в ДСН-ПААГ, известная как 2-D-гель-электрофорез (описанная, например, в Hermann et al. (1998) Electrophoresis 19: 3217-3221; Fountoulakis et al. (1998) Electrophoresis 19:1193-1202; Langen et al. (1997) Electrophoresis 18: 1184-1192; Antelmann et al. (1997) Electrophoresis 18: 1451-1463). Другие способы разделения могут быть также использованы для разделения белков, такие как капиллярный гель-электрофорез; подобные способы хорошо известны в данной области.
Белки, разделенные с использованием этих методологий, могут быть визуализированы стандартными способами, такими как окрашивание или мечение. Подходящие красители известны в данной области и включают Кумасси бриллиантовый синий, содержащий серебро краситель (серебряный краситель) или флуоресцентные красители, такие как Sypro Ruby (Molecular Probes). Включение радиоактивно меченных аминокислот или других белковых предшественников (например, 35S-метионина, 35S-цистеина, 14С-меченых аминокислот, 15N-аминокислот, 15NO3 или 15NH4 + или 13C-меченных аминокислот) в среду С. glutamicum позволяет проводить мечение белков из этих клеток перед их разделением. Подобным образом, могут быть использованы флуоресцентные метки. Меченые белки могут быть экстрагированы, выделены и разделены в соответствии с описанными ранее способами.
Белки, визуализированные этими способами, можно дополнительно анализировать посредством измерения количества используемых красителя или метки. Количество конкретного белка может быть определено количественно с использованием, например, оптических методов и может сравниваться с количеством других белков в том же самом геле или в других гелях. Сравнения белков на гелях могут производиться, например, оптическим сравнением, спектроскопией, сканированием изображений и анализом гелей или посредством применения фотографических пленок и экранов. Такие способы хорошо известны в данной области.
Для определения идентичности любого конкретного белка могут быть использованы прямое секвенирование или другие стандартные способы. Например, может быть использовано секвенирование N- и/или С-концевых аминокислот (например, разложение по Эдману), а также масс-спектрометрия (а именно, способах MALDI или ESI (см., например, Langen et al. (1997) Electrophoresis 18: 1184-1192)). Белковые последовательности, представленные здесь, могут быть использованы для идентификации белков С. glutamicum при помощи этих способов.
Информация, полученная этими способами, может быть использована для сравнения параметров присутствия белков, активности или модификации между различными пробами из различных биологических условий (например, различных организмов, временных точек ферментации, условий сред или различных биотопов, среди прочих). Данные, полученные только из таких экспериментов, или в комбинации с другими способами, могут быть использованы для различных применений, например, для сравнения поведения различных организмов в конкретной (например, метаболической) ситуации, для увеличения продуктивности штаммов, которые продуцируют химические продукты тонкого органического синтеза, или для увеличения эффективности продуцирования химических продуктов тонкого органического синтеза.
Эквиваленты
Специалистам в данной области будут очевидны многие эквиваленты или они будут способны получить с использованием не большего труда, чем этого требует рутинное экспериментирование, многочисленные эквиваленты относительно конкретных вариантов описанного здесь изобретения. Предполагается, что такие эквиваленты охватываются следующей формулой изобретения.
Формула изобретения
1. Выделенная молекула нуклеиновой кислоты, которая гибридизируется с последовательностью, комплементарной нуклеотидной последовательности SEQ ID NO:179 в 6 × хлориде натрия/цитрате натрия (SSC) при 65°С, или комплементарная ей последовательность, где нуклеотидная последовательность SEQ ID NO:179 кодирует полипептид с активностью фосфоенолпируваткарбоксикиназы.
2. Выделенная молекула нуклеиновой кислоты, содержащая фрагмент по меньшей мере из 25 последовательных нуклеотидов нуклеотидной последовательности SEQ ID NO:179, или комплементарная ей последовательность, где молекула нуклеиновой кислоты используется в качестве зонда.
3. Выделенная молекула нуклеиновой кислоты, содержащая фрагмент по меньшей мере из 25 последовательных нуклеотидов нуклеотидной последовательности SEQ ID NO:179, или комплементарная ей последовательность, где молекула нуклеиновой кислоты используется в качестве праймера.
4. Выделенная молекула нуклеиновой кислоты, содержащая фрагмент по меньшей мере из 25 последовательных нуклеотидов нуклеотидной последовательности SEQ ID NO:179, или комплементарная ей последовательность, где молекула нуклеиновой кислоты используется в качестве антисмысловой последовательности.
5. Выделенная молекула нуклеиновой кислоты, содержащая нуклеотидную последовательность SEQ ID NO:179, или комплементарная ей последовательность, где нуклеотидная последовательность SEQ ID NO:179 кодирует полипептид с активностью фосфоенолпируваткарбоксикиназы.
6. Выделенная молекула нуклеиновой кислоты, которая кодирует полипептид, содержащий аминокислотную последовательность SEQ ID NO:180, или комплементарная ей последовательность, где аминокислотная последовательность SEQ ID NO:180 обладает активностью фосфоенолпируваткарбоксикиназы.
7. Выделенная молекула нуклеиновой кислоты, которая кодирует природный аллельный вариант полипептида, содержащего аминокислотную последовательность SEQ ID NO:180, или комплементарная ей последовательность, где аминокислотная последовательность SEQ ID NO:180 обладает активностью фосфоенолпируваткарбоксикиназы.
8. Выделенная молекула нуклеиновой кислоты, содержащая нуклеотидную последовательность, которая по меньшей мере на 50% идентична полноразмерной нуклеотидной последовательности SEQ ID NO:179, или комплементарная ей последовательность, где нуклеотидная последовательность SEQ ID NO:179 кодирует полипептид с активностью фосфоенолпируваткарбоксикиназы.
9. Выделенная молекула нуклеиновой кислоты, содержащая фрагмент по меньшей мере из 25 последовательных нуклеотидов нуклеотидной последовательности SEQ ID NO:179, или комплементарная ей последовательность, где нуклеотидная последовательность SEQ ID NO:179 кодирует полипептид с активностью фосфоенолпируваткарбоксикиназы.
10. Выделенная молекула нуклеиновой кислоты, содержащая молекулу нуклеиновой кислоты по любому из пп.1 или 5-9, и нуклеотидную последовательность, кодирующую гетерологичный полипептид.
11. Рекомбинантный вектор экспрессии, содержащий молекулу нуклеиновой кислоты по любому из пп.1 или 5-10.
12. Рекомбинантный вектор по п.11, который является плазмидой.
13. Клетка-хозяин, трансфицированная экспрессирующим вектором по п.11.
14. Клетка-хозяин по п.13, где указанная клетка является микроорганизмом.
15. Клетка-хозяин по п.14, где указанная клетка принадлежит роду Corynebacterium или Brevibacterium.
16. Клетка-хозяин по п.13, где экспрессия указанной молекулы нуклеиновой кислоты приводит к модуляции продукции аминокислоты из указанной клетки.
17. Клетка-хозяин по п.16, где указанная аминокислота представляет собой протеиногенную или непротеиногенную аминокислоту.
18. Способ получения полипептида, обладающего активностью фосфоенолпируваткарбоксикиназы, в котором предусмотрено культивирование рекомбинантной клетки-хозяина, трансфицированной вектором по п.11, в подходящей культуральной среде с получением, таким образом, полипептида, обладающего активностью фосфоенолпируваткарбоксикиназы.
19. Выделенный полипептид, содержащий аминокислотную последовательность SEQ ID NO:180, где аминокислотная последовательность SEQ ID NO:180 обладает активностью фосфоенолпируваткарбоксикиназы.
20. Выделенный полипептид, содержащий природный аллельный вариант полипептида, содержащий аминокислотную последовательность SEQ ID NO:180, где аминокислотная последовательность SEQ ID NO:180 обладает активностью фосфоенолпируваткарбоксикиназы.
21. Выделенный полипептид, который кодируется молекулой нуклеиновой кислоты, содержащей нуклеотидную последовательность, которая по меньшей мере на 50% идентична полноразмерной последовательности нуклеиновой кислоты SEQ ID NO:179, где нуклеотидная последовательность SEQ ID NO:179 кодирует полипептид с активностью фосфоенолпируваткарбоксикиназы.
22. Выделенный полипептид, содержащий аминокислотную последовательность, которая по меньшей мере на 50% идентична полноразмерной аминокислотной последовательности SEQ ID NO:180, где аминокислотная последовательность SEQ ID NO:180 обладает активностью фосфоенолпируваткарбоксикиназы.
23. Выделенный полипептид, содержащий фрагмент полипептида, содержащего аминокислотную последовательность SEQ ID NO:180, где аминокислотная последовательность SEQ ID NO:180 обладает активностью фосфоенолпируваткарбоксикиназы.
24. Выделенный полипептид, который кодируется молекулой нуклеиновой кислоты, содержащей нуклеотидную последовательность SEQ ID NO:179, где нуклеотидная последовательность SEQ ID NO:179 кодирует полипептид с активностью фосфоенолпируваткарбоксикиназы.
25. Выделенный полипептид по любому из пп.19-24, дополнительно содержащий гетерологичные аминокислотные последовательности.
26. Способ получения аминокислоты, предусматривающий культивирование рекомбинантной клетки-хозяина, трансфицированной вектором по п.11, таким образом, что продуцируется аминокислота.
27. Способ по п.26, где указанный способ дополнительно предусматривает стадию извлечения аминокислот из указанной культуры.
28. Способ по п.26, где указанная клетка принадлежит роду Corynebacterium или Brevibacterium.
29. Способ по п.26, где указанная клетка выбрана из группы, состоящей из Corynebacterium glutamicum, Corynebacterium herculis, Corynebacterium lilium, Corynebacterium acetoacidophilum, Corynebacterium acetoglutamicum, Corynebacterium acetophilum, Corynebacterium ammoniagenes, Corynebacterium fujiokense, Corynebacterium nitrilophilus, Brevibacterium ammoniagenes, Brevibacterium butanicum, Brevibacterium divaricatum, Brevibacterium flavum, Brevibacterium healii, Brevibacterium ketoglutamicum, Brevibacterium ketosoreductum, Brevibacterium lactofermentum, Brevibacterium linens, Brevibacterium paraffinolyticum и штаммов, перечисленных в таблице 3.
30. Способ по п.26, где экспрессия молекулы нуклеиновой кислоты указанным вектором приводит к модуляции продукции аминокислоты.
31. Способ по п.26, где указанная аминокислота является протеиногенной или непротеиногенной аминокислотой.
32. Способ по п.26, где указанная аминокислота является протеиногенной аминокислотой.
33. Способ по п.32, где указанная аминокислота выбрана из группы, состоящей из лизина, глутамата, глутамина, аланина, аспартата, глицина, серина, треонина, метионина, цистеина, валина, лейцина, изолейцина, аргинина, пролина, гистидина, тирозина, фенилаланина и триптофана.
34. Способ получения аминокислоты, в котором предусмотрено культивирование клетки, геномная ДНК которой была изменена путем включения молекулы нуклеиновой кислоты по любому из пп.1 или 5-10.
35. Способ определения активности Corynebacterium diphtheriae in vitro в образце, в котором предусмотрено обнаружение по меньшей мере одной молекулы нуклеиновой кислоты по пп.1 или 5-9 или полипептидных молекул по п.19-24, таким образом, определяя присутствие или активность Corynebacterium diphtheriae в образце.
36. Способ по п.35, где образец взят у индивидуума.
37. Способ получения рекомбинантной клетки-хозяина, в котором предусмотрена трансфекция клетки-хозяина молекулой нуклеиновой кислоты, содержащей нуклеотидную последовательность SEQ ID NO:179, где молекула нуклеиновой кислоты является разрушенной и где нуклеотидная последовательность SEQ ID NO:179 кодирует полипептид с активностью фосфоенолпируваткарбоксикиназы.
38. Способ получения рекомбинантной клетки-хозяина, в котором предусмотрена трансфекция клетки-хозяина молекулой нуклеиновой кислоты, содержащей нуклеотидную последовательность SEQ ID NO:179, где молекула нуклеиновой кислоты содержит одну или несколько модификаций в нуклеиновой кислоте по сравнению с последовательностью SEQ ID NO:179, и где нуклеотидная последовательность SEQ ID NO:179 кодирует полипептид с активностью фосфоенолпируваткарбоксикиназы.
39. Способ получения рекомбинантной клетки-хозяина, в котором предусмотрена трансфекция клетки-хозяина молекулой нуклеиновой кислоты, содержащей нуклеотидную последовательность SEQ ID NO:179, где регуляторный участок молекулы нуклеиновой кислоты модифицирован относительно регуляторного участка молекулы дикого типа, и где нуклеотидная последовательность SEQ ID NO:179 кодирует полипептид с активностью фосфоенолпируваткарбоксикиназы.
Приоритеты по пунктам:
25.06.1999 по пп.1-39;
08.07.1999 по пп.1-39;
09.07.1999 по пп.1-39;
14.07.1999 по пп.1-39;
27.08.1999 по пп.1-39;
31.08.1999 по пп.1-39;
03.09.1999 по пп.1-39.
РИСУНКИ
PC4A – Регистрация договора об уступке патента СССР или патента Российской Федерации на изобретение
Прежний патентообладатель:
БАСФ АКЦИЕНГЕЗЕЛЛЬШАФТ (DE)
(73) Патентообладатель:
ПАЙК КВАНГ ИНДАСТРИАЛ КО., ЛТД. (KP)
Договор № РД0043455 зарегистрирован 18.11.2008
Извещение опубликовано: 27.12.2008 БИ: 36/2008
|
|