|
|
(21), (22) Заявка: 2006129836/09, 17.08.2006
(24) Дата начала отсчета срока действия патента:
17.08.2006
(46) Опубликовано: 27.03.2008
(56) Список документов, цитированных в отчете о поиске:
US 3764860 А, 09.10.1973. RU 2201619 C2, 27.03.2003. RU 2020591 C1, 30.09.1994. DE 4242973 A, 22.06.1994.
Адрес для переписки:
630102, г.Новосибирск, ул. Кирова, 86, ГОУ ВПО “СибГУТИ”
|
(72) Автор(ы):
Абаренов Сергей Петрович (RU), Арсентьев Виктор Георгиевич (RU), Буркацкий Виталий Тадеушевич (RU), Осколков Виктор Владимирович (RU)
(73) Патентообладатель(и):
ЗАО “Центр информационной безопасности” (RU), Государственное образовательное учреждение высшего профессионального образования “Сибирский государственный университет телекоммуникаций и информатики” (ГОУ ВПО “СибГУТИ”) (RU)
|
(54) УСТРОЙСТВО ОБНАРУЖЕНИЯ МЕТАЛЛИЧЕСКИХ ПРЕДМЕТОВ
(57) Реферат:
Изобретение относится к средствам контроля служб безопасности различного профиля. Технический результат – повышение чувствительности устройства при ограниченной мощности излучения. Результат достигается введением первого квадратурного автокомпенсатора для устранения фонового напряжения в приемном тракте устройства обнаружения и за счет этого увеличения его коэффициента усиления; введением второго квадратурного автокомпенсатора для обнаружения малых амплитудно-фазовых флуктуаций сигнала в приемном тракте устройства обнаружения. 2 ил.
Предлагаемое изобретение относится к техническим средствам контроля служб безопасности различного профиля, а также может быть использовано в производстве (например, в пищевой или деревообрабатывающей промышленности) для контроля неметаллических изделий в разнообразных технологических циклах на предмет содержания в них металлических включений, приводящих к выходу из строя дорогостоящего производственного оборудования.
Известно устройство для обнаружения металлических предметов (а.с. СССР №1433276, кл. G08B 13/26, 1986), содержащее генератор тока, излучающий и приемный блоки, регистрирующий и исполнительный блоки. Излучающий и приемный блоки выполняются, например, в виде многовитковых катушек, которые располагаются в некотором объеме пространства на определенном расстоянии одна от другой. Генератор тока подключается к излучающему блоку, своим входом регистрирующий блок соединен с приемным блоком, а выходом с исполнительным блоком. Регистрирующий блок состоит из последовательно соединенных усилителя, синхронного детектора, фильтра верхних частот и порогового элемента.
Излучающий блок под воздействием генератора тока формирует в некотором объеме окружающего пространства, называемом контролируемой зоной, электромагнитное поле, под действием которого в приемном блоке формируется соответствующий электрический сигнал. Изменения этого сигнала, возникающие в приемном блоке при внесении в контролируемую зону устройства металлического предмета, фиксируются регистрирующим блоком и воспроизводятся в исполнительном блоке в виде звуковой и/или световой тревожной сигнализации.
Недостатком данного устройства являются ограниченные функциональные возможности по увеличению чувствительности при фиксированной мощности излучения. Указанный недостаток обусловлен следующими обстоятельствами.
Для получения требуемой чувствительности рассматриваемого устройства обнаружения, относящегося к классу электромагнитных обнаружителей, на входе порогового элемента регистрирующего блока необходимо иметь уверенно регистрируемый сигнал – с отношением сигнал/шум, обеспечивающим заданную вероятность ложной тревоги обнаружителя. Требуемое отношение сигнал/шум обнаруживаемого сигнала может быть обеспечено вариацией двух составляющих: тока излучающего блока (мощности излучения) и коэффициента усиления усилителя регистрирующего блока. Соотношение указанных составляющих (тока и коэффициента усиления) может быть различным, но технически ограниченным.
С одной стороны, величина тока излучающего блока сверху ограничивается надежностью силовых элементов генератора тока и заданным энергопотреблением устройства, а снизу величиной тока, обеспечивающего достаточную помехозащищенность обнаружителя в условиях внешних электромагнитных воздействий.
С другой стороны, на выходе приемного блока устройства под воздействием поля излучающего блока всегда присутствует фоновое (остаточное) напряжение. Величина этого фонового напряжения зависит от мощности излучения излучающего блока, а также от размеров, конфигурации, взаимного расположения в пространстве элементов излучающего и приемного блоков. На уровне этого фонового напряжения и осуществляется обнаружение тех изменений выходного сигнала приемного блока, которые обусловлены изменением электромагнитного поля при появлении в контролируемой зоне устройства металлического предмета. Уровень фонового напряжения, имеющий место в конкретной конструкции контролируемой зоны устройства обнаружения, и ограничивает максимально возможный коэффициент усиления усилителя регистрирующего блока, при котором этот усилитель функционирует в линейном режиме и не испытывает перегрузки.
Следовательно, обеспечение требуемой чувствительности устройства обнаружения осуществляется выбором технически оправданного соотношения между мощностью, подводимой от генератора тока к излучающему блоку, и коэффициентом усиления усилителя регистрирующего блока, существенно зависящим от взаимного расположения элементов излучающего и приемного блоков, то есть от конфигурации контролируемой зоны.
Так, например, для обеспечения чувствительности (в рамках требований потребителей) арочных металлодетекторов «Признак», выпускаемых ГП СНПО «Элерон» и имеющих вышеуказанную структуру, активная мощность излучения, подводимая к излучающему блоку, колеблется от 20 до 30 Вт, что уже вызывает определенные трудности в надежной технической реализации соответствующих силовых узлов устройства. При этом коэффициент усиления усилителя регистрирующего блока в принятой арочной конструкции металлодетектора лежит в пределах от 500 до 1000 (см. Техническое описание и руководство по эксплуатации стационарного металлодетектора «Признак». М.: ГП СНПО «Элерон», 1998, 157 с). Дальнейшее увеличение коэффициента усиления (повышение чувствительности устройства) ограничено остаточным напряжением на выходе приемного блока, которое вызывает перегрузку усилителя регистрирующего блока (из-за ограниченности его динамического диапазона) и полную потерю чувствительности устройства обнаружения.
Таким образом, существование фонового напряжения на выходе приемного блока устройства ограничивает его функциональные возможности по увеличению чувствительности при фиксированном энергопотреблении. Указанный недостаток препятствует реализации электромагнитных металлодетекторов с повышенной чувствительностью и не позволяет расширять область их возможного применения.
Наиболее близким к предлагаемому изобретению по технической сути (прототипом) является устройство обнаружения металлических предметов (пат. США №3764860, кл. G08B 13/26, 1973), содержащее генератор тока, соединенный с излучающим блоком, последовательно соединенные приемный блок, полосовой усилитель, фильтр верхних частот, пороговый элемент и исполнительный блок (формирователь сигнала тревоги). Излучающий блок формирует в пространстве контролируемой зоны электромагнитное поле, изменения которого приводят к возникновению в приемном блоке соответствующего сигнала. Выходной сигнал приемного блока усиливается в полосовом усилителе и поступает на фильтр верхних частот, который не пропускает медленные изменения напряжения. При отсутствии в контролируемой зоне устройства металлического предмета сигнал с выхода фильтра верхних частот не достигает порогового уровня срабатывания порогового элемента, при этом сигнал тревоги не воспроизводится. При попадании металлического предмета в контролируемую зону устройства изменяется индуктивная связь между элементами приемного и излучающего блоков, изменение напряжения на выходе приемного блока вызывает выброс напряжения на выходе фильтра верхних частот. При превышении сигналом на выходе фильтра верхних частот порогового уровня воспроизводится сигнал тревоги.
Недостатком данного устройства также являются ограниченные функциональные возможности по увеличению чувствительности при фиксированной мощности излучения.
Техническим результатом предлагаемого устройства является расширение его функциональных возможностей за счет увеличения чувствительности при фиксированной мощности излучения.
В устройство, содержащее излучающий и приемный блоки, генератор тока, подключенный выходом к излучающему блоку, первый полосовой усилитель, входом подключенный к приемному блоку, первый фильтр верхних частот, пороговый элемент и исполнительный блок, введены второй полосовой усилитель, первый и второй квадратурные автокомпенсаторы, второй фильтр верхних частот, первый и второй линейные выпрямители и сумматор, причем выход первого полосового усилителя соединен с первым входом первого квадратурного автокомпенсатора, второй вход которого связан с выходом генератора тока и вторым входом второго квадратурного автокомпенсатора, а выход соединен с входом второго полосового усилителя, выходом подключенного к первому входу второго квадратурного автокомпенсатора, два выхода которого через последовательно включенные первый фильтр верхних частот и первый линейный выпрямитель и соответственно второй фильтр верхних частот и второй линейный выпрямитель связаны с входами сумматора, выходом подключенного к входу порогового элемента, который выходом соединен с исполнительным блоком.
Существенным отличием предлагаемого устройства является введение первого квадратурного автокомпенсатора для устранения фонового напряжения в приемном тракте устройства обнаружения и за счет этого увеличение его коэффициента усиления (введение второго полосового усилителя), использование второго квадратурного автокомпенсатора (и введенных второго фильтра верхних частот, двух линейных выпрямителей и сумматора) по новому назначению для обнаружения малых амплитудно-фазовых флуктуаций сигнала в приемном тракте устройства обнаружения, что в совокупности позволяет повысить чувствительность металлодетектора при неизменной мощности излучения.
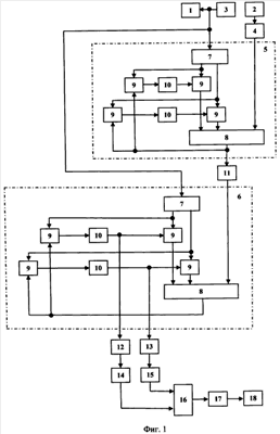
На фиг.1 представлена структурная схема предлагаемого устройства, содержащего излучающий блок 1, приемный блок 2, генератор 3 тока, первый полосовой усилитель 4, первый и второй квадратурные автокомпенсаторы 5 и 6, каждый из которых включает в себя квадратурный преобразователь 7, сумматор 8, перемножители 9 и фильтры 10 нижних частот, второй полосовой усилитель 11, первый и второй фильтры 12 и 13 верхних частот, первый и второй линейные детекторы 14 и 15, сумматор 16, пороговый элемент 17 и исполнительный блок 18. На фиг.2 представлен один из вариантов практической реализации предлагаемого устройства – конвейерный металлодетектор для обнаружения мелких металлических включений в хлебобулочных изделиях.
Излучающий блок 1 подключен к выходу генератора 3 тока, соединенного также со вторыми входами первого и второго квадратурных автокомпенсаторов 5 и 6. Приемный блок 2 соединен с входом первого полосового усилителя 4, выходом подключенного к первому входу первого квадратурного автокомпенсатора 5, выход которого через второй полосовой усилитель 11 связан с первым входом второго квадратурного автокомпенсатора 6, выходами соединенного с входами первого и второго фильтров 12 и 13 верхних частот, выходы которых через линейные выпрямители 14 и 15 связаны с входами сумматора 16, выходом подключенного к входу порогового элемента 17, выход которого соединен с исполнительным блоком 18.
Предлагаемое устройство работает следующим образом. Сначала рассмотрим функционирование устройства в режиме ожидания.
Излучающий блок 1 формирует в пространстве контролируемой зоны электромагнитное поле с частотой, задаваемой генератором 3 тока, и напряженностью, зависящей от тока генератора. Под воздействием электромагнитного поля излучающего блока 1 в приемном блоке 2 формируется фоновое (остаточное) напряжение. Это напряжение усиливается первым полосовым усилителем 4 и поступает на первый вход первого квадратурного автокомпенсатора 5, на второй вход которого подается сигнал с выхода генератора 3 тока.
В соответствии с алгоритмом функционирования автокомпенсатора (см. кн. Ю.И.Лосева и др. Адаптивная компенсация помех в каналах связи. М.: Радио и связь, 1988, с.38-43) на выходе сумматора 8 первого квадратурного автокомпенсатора 5 устанавливается минимум напряжения, т.е. осуществляется компенсация фонового напряжения, поступающего по первому входу, напряжением, подаваемым на второй вход от генератора 3 тока. Выравнивание амплитуд компенсируемых напряжений и обеспечение их противофазности осуществляется за счет разложения колебаний второго входа на две квадратурные составляющие (с помощью квадратурного преобразователя 7) с соответствующим управлением этими квадратурами за счет корреляционных обратных связей (с использованием перемножителей 9, фильтров 10 нижних частот). Минимум фонового напряжения на выходе сумматора 8 первого квадратурного автокомпенсатора 5 (остаток компенсации) поддерживается автоматически вне зависимости от всякого рода внешних дестабилизирующих факторов: старения элементов, температурного влияния, конструктивных деформаций элементов контролируемой зоны устройства. В результате фоновое напряжение, ограничивающее коэффициент усиления приемного тракта устройства обнаружения, оказывается значительно ослабленным – коэффициент подавления гармонических сигналов в автокомпенсаторах подобного рода находится в пределах от 60 до 80 дБ, в зависимости от их аппаратурной реализации (см., например, Арсентьев В.Г., Штанюк А.М. Экспериментальные исследования адаптивного компенсатора помех при приеме импульсных сигналов. – Техника средств связи: Системы связи, 1984, вып. 3, с.74-80).
Постоянные времени фильтров 10 нижних частот первого квадратурного автокомпенсатора 5 выбираются значительными (порядка сотни секунд), чтобы автокомпенсатор отслеживал только очень медленные изменения сигнала на первом входе (фоновую составляющую) и не реагировал на относительно быстрые его флуктуации (полезную составляющую), вызываемые изменениями электромагнитного поля при внесении в контролируемую зону устройства обнаружения металлического предмета.
В установившемся режиме на выходе сумматора 8 первого квадратурного автокомпенсатора 5 действует сигнал, в котором присутствуют три составляющие: остаток компенсации фоновой составляющей сигнала приемного блока 2, шумы первого полосового усилителя 4 и шумы сумматора 8. Соотношение уровней этих составляющих может быть различным (оно зависит от аппаратурной реализации элементов 4, 5 и 8), но в соответствии с алгоритмом функционирования автокомпенсатора в установившемся режиме сумма сигналов этих трех составляющих на выходе сумматора 8 всегда некоррелирована с сигналом генератора 3 тока, поступающим на второй вход первого квадратурного автокомпенсатора 5.
Выходной сигнал сумматора 8 первого квадратурного автокомпенсатора 5 усиливается вторым полосовым усилителем 11 и поступает на первый вход второго квадратурного автокомпенсатора 6, который по структуре полностью аналогичен первому квадратурному автокомпенсатору.
Постоянные времени фильтров 10 нижних частот цепей регулирования второго квадратурного автокомпенсатора 6 выбираются небольшими (порядка сотни миллисекунд), чтобы автокомпенсатор отслеживал относительно быстрые флуктуации сигнала, действующего на его первом входе, которые вызываются изменениями электромагнитного поля при внесении в контролируемую зону устройства обнаружения металлического предмета.
В силу некоррелированности сигналов на первом и втором входах второго квадратурного автокомпенсатора 6 в режиме ожидания, в соответствии с алгоритмом функционирования второго квадратурного автокомпенсатора (а этот алгоритм аналогичен алгоритму функционирования первого квадратурного автокомпенсатора) напряжения на выходах фильтров 10 нижних частот второго квадратурного автокомпенсатора 6, минимизирующие выходной сигнал сумматора 8 второго квадратурного автокомпенсатора, будут достаточно малыми (при большом усреднении они должны стремиться к нулю) и медленно меняющимися.
Медленные изменения напряжений на выходах фильтров 10 нижних частот второго квадратурного автокомпенсатора 6 не проходят на выходы первого и второго фильтров 12, 13 верхних частот и напряжения на выходах первого и второго линейных выпрямителей 14, 15 и сумматора 16 соответственно будут малыми, не превышающими установленный пороговый уровень порогового элемента 17, поэтому они не регистрируются исполнительным блоком 18.
В режиме обнаружения в предлагаемом устройстве происходят процессы, которые сводятся к следующему. Перемещение в контролируемой зоне предлагаемого устройства металлического предмета приводит к возникновению на выходе приемного блока 2 относительно быстрых флуктуаций напряжения, которые не компенсируются в первом квадратурном автокомпенсаторе 5 (вследствие большой постоянной времени его цепей регулирования) и проходят с заданным усилением через тракт: первый полосовой усилитель 4, сумматор 8 первого квадратурного автокомпенсатора 5, второй полосовой усилитель 11, поступая на первый вход второго квадратурного автокомпенсатора 6.
Второй квадратурный автокомпенсатор 6, имея малые постоянные времени цепей регулирования, отслеживает флуктуации напряжения на первом входе и в процессе компенсации этих флуктуаций формирует на выходах фильтров 10 нижних частот цепей регулирования выбросы напряжения, которые проходят на выходы первого и второго фильтров 12, 13 верхних частот, детектируются первым и вторым линейными выпрямителями 14, 15, объединяются в сумматоре 16 и вызывают срабатывание порогового элемента 17, поскольку их уровень превышает установленный порог (порог срабатывания порогового элемента выставляется в режиме ожидания в соответствии с требуемой вероятностью ложных тревог). Выходное напряжение порогового элемента 17 активизирует соответствующие элементы исполнительного блока 18, в результате регистрируется световой и/или звуковой сигнал/сигналы тревоги.
Излучающий блок 1 может, например, выполняться в виде многовитковой плоскостной рамки из медного провода с числом витков около 15-20 и диаметром провода около 1 мм. Размеры и конфигурация рамки зависят от назначения устройства обнаружения и его конкретной конструкции (арочная, панельная или комбинированная).
Приемный блок 2 может быть выполнен в виде многовитковой катушки (с числом витков медного провода около 400-800 и диаметром провода около 0,2 мм), намотанной на ферритовом (с магнитной проницаемостью около 400) цилиндрическом сердечнике длиной 100-200 мм и диаметром около 10-15 мм. Размещение приемной катушки относительно излучающей определяется общей конструкцией устройства обнаружения и размерами контролируемой зоны.
Генератор 3 тока может быть реализован на операционном усилителе с внешним биполярным транзистором (см., например, А.Г.Алексенко и др. Применение прецизионных аналоговых микросхем, М.: Радио и связь, 1985, с.218, рис.6.6б).
Первый и второй полосовые усилители 4 и 11 могут быть выполнены на операционных усилителях общего применения, включенных по схеме полосового RC-фильтра второго порядка с заданным коэффициентом усиления (см., например, Ж.Марше. Операционные усилители и их применение. Перевод с английского М.: Радио и связь, 1984, с.184, рис.8.22).
Квадратурные автокомпенсаторы 5 и 6 могут быть реализованы в соответствии со схемой, приведенной, например, в книге Ю.И.Лосева и др. Адаптивная компенсация помех в каналах связи. М.: Радио и связь, 1988, с.38-43. Квадратурные преобразователи 7 автокомпенсаторов могут быть выполнены в виде фазовращателей на 90° (см., например, Ж.Марше. Операционные усилители и их применение. Перевод с английского М.: Радио и связь, 1984, с.97, рис.2.14). Сумматоры 8 автокомпенсаторов могут быть выполнены на операционных усилителях по схеме инвертирующего сумматора (см., например, Ю.А.Мячин. 180 аналоговых микросхем. М.: Патриот, 1993, с.7). Перемножители 9 автокомпенсаторов могут быть реализованы с использованием специализированных микросхем К525ПС2 (см., например, А.Г.Алексенко и др. Применение прецизионных аналоговых микросхем. М.: Радио и связь, 1985, с.79, рис.1.43). Фильтры 10 нижних частот автокомпенсаторов могут быть реализованы, например, в виде обычных RC-цепей с заданными постоянными времени.
Фильтры 12, 13 верхних частот могут быть выполнены на операционных усилителях по схеме дифференциатора (см., например, А.Г.Алексенко и др. Применение прецизионных аналоговых микросхем, М.: Радио и связь, 1985, с.123, рис.2.34).
Линейные выпрямители 14, 15 могут быть реализованы на специализированных микросхемах K157DA1 (см., например, Д.И.Атаев, В.А.Болотников. Аналоговые интегральные микросхемы для бытовой аппаратуры. М.: МЭИ, 1993, с.90-92).
Сумматор 16 может быть выполнен на операционном усилителе общего применения по схеме инвертирующего сумматора (см., например, Ю.А.Мячин. 180 аналоговых микросхем. М.: Патриот, 1993, с.7).
Пороговый элемент 17 может быть реализован на прецизионном операционном усилителе по схеме однопорогового компаратора (см., например, Ж.Марше. Операционные усилители и их применение. Перевод с английского М.: Радио и связь, 1984, с.64, рис.5.14).
Исполнительный блок 18 (формирователь сигнала тревоги) может быть реализован на основе стандартных радиокомпонентов (пьезогенераторов, светоизлучающих элементов), позволяющих преобразовать электрический сигнал тревоги устройства в сигналы звуковой и/или световой сигнализации.
Оценим величину прироста чувствительности, которая может быть получена в предлагаемой структуре устройства обнаружения (по сравнению с прототипом) с учетом использованной при реализации элементной базы.
Используя наиболее общую форму аналитического представления сигналов, колебания, действующие на выходе приемного блока устройства обнаружения прототипа и предлагаемого устройства, можно представить в следующем виде:

где Uост(t) – остаточное напряжение, обусловленное наличием электромагнитной связи между передающим и приемным блоками и представляющее собой гармоническое колебание с заданной генератором тока частотой, которая при обнаружении металлических предметов из разных металлов может варьироваться в пределах от 1 кГц до 15 кГц;
U(t) – обнаруживаемое изменение напряжения на выходе приемного блока, вызванное перемещением металлического предмета в контролируемой зоне устройства обнаружения.
Для повышения помехозащищенности устройства обнаружения от всякого рода внешних электромагнитных воздействий мощность излучения излучающего блока выбирается такой, чтобы выходной сигнал приемного блока имел достаточно большое отношение сигнал/шум. В этом случае можно считать, что приведенные к входу шумы полосового усилителя прототипа (или первого полосового усилителя предлагаемого устройства) будут малыми относительно составляющих Uост(t) и U(t), тогда колебания на выходе полосового усилителя определятся соотношением

где k1 – коэффициент усиления полосового усилителя прототипа или первого полосового усилителя предлагаемого устройства.
Для устройства прототипа (в предположении, что его фильтр верхних частот реализован на операционном усилителе, имеет типовой для схемы дифференциатора коэффициент передачи, равный единице, и при этом осуществляется эффективная фильтрация составляющей Uост(t), когда Uост(t)<< U(t)) напряжение на входе порогового элемента регистрирующего блока будет определяться зависимостью

Если обозначить – напряжение уверенного срабатывания порогового элемента, то из соотношения (3) можно найти величину уверенно обнаруживаемого изменения напряжения на выходе приемного блока, вызванного перемещением металлического предмета в контролируемой зоне устройства обнаружения прототипа. Эта величина находится из выражения

Поскольку для каждой конкретной реализации порогового элемента является величиной постоянной, то для устройства прототипа величина уверенно обнаруживаемого изменения напряжения на выходе приемного блока, вызванного перемещением металлического предмета в контролируемой зоне устройства обнаружения, будет изменяться обратно пропорционально коэффициенту усиления полосового усилителя регистрирующего блока.
Для упрощения анализа (не влияющего на конечный результат) считаем, что коэффициент передачи сумматора 8 первого квадратурного автокомпенсатора предлагаемого устройства равен единице, а его приведенные к входу шумы (подразумевается реализация сумматора на операционном усилителе) значительно меньше выходного напряжения первого полосового усилителя 4, тогда напряжение на выходе сумматора первого автокомпенсатора, после компенсации составляющей Uост(t), можно представить в следующей форме:

где U(t) – некомпенсированный остаток фоновой составляющей Uост(t), его величина при указанной реализации элементов предлагаемого устройства, как уже указывалось, на 60-80 дБ меньше k1Uост(t) на выходе первого полосового усилителя.
Поскольку влияние собственных шумов на выходной сигнал второго полосового усилителя 11 предлагаемого устройства уже незначительно, то напряжение на его выходе описывается соотношением

где k2 – коэффициент усиления второго полосового усилителя.
Из условия равенства мощностей компенсируемых колебаний на входах сумматора автокомпенсатора (см. книгу Ю.И.Лосева и др. Адаптивная компенсация помех в каналах связи. М.: Радио и связь, 1988, с.40, выражение (1.45)) вытекает уравнение компенсации входного воздействия для второго квадратурного автокомпенсатора предлагаемого устройства, которое применительно к обнаруживаемой составляющей U(t) имеет вид

где UГ(t) – выходное напряжение генератора 3 тока, поступающее на вторые входы первого и второго квадратурных автокомпенсаторов;
Upc и Uрк – изменения напряжений на выходах фильтров 10 нижних частот цепей регулирования синфазного и квадратурного каналов второго квадратурного автокомпенсатора 6, обеспечивающие компенсацию входного воздействия (напряжения U(t) на первом входе);
kC – коэффициент передачи каждого из перемножителей 9 в сигнальных цепях второго квадратурного автокомпенсатора, имеющий размерность [1/В].
Из уравнения (7) нетрудно найти обнаруживаемое с использованием квадратурного автокомпенсатора 6 изменение напряжения на выходе приемного блока 2, вызванное перемещением металлического предмета в контролируемой зоне предлагаемого устройства обнаружения:

Для корректного сравнения эффективности предлагаемого устройства и прототипа считаем, что коэффициенты передачи фильтров 12 и 13 верхних частот, линейных выпрямителей 14, 15 и сумматора 16 предлагаемого устройства равны единице, а регистрируемые напряжения

Тогда выражение (8) можно записать в следующем виде

где U(t) теперь определяет величину уверенно обнаруживаемого изменения напряжения на выходе приемного блока 2, вызванного перемещением металлического предмета в контролируемой зоне предлагаемого устройства обнаружения.
Прирост чувствительности предлагаемого устройства обнаружения по отношению к прототипу (в логарифмических единицах) может быть рассчитан на основе зависимостей (4) и (9) следующим образом:

где первое слагаемое определяет прирост чувствительности устройства за счет компенсации с помощью первого квадратурного автокомпенсатора фоновой составляющей Uост(t) и введения дополнительного усиления k2 в приемный тракт предлагаемого устройства, а второе слагаемое характеризует эффективность использования второго квадратурного автокомпенсатора по новому назначению для обнаружения малых амплитудно-фазовых флуктуаций напряжения U(t) в приемном тракте устройства обнаружения.
Максимальная величина (оценка сверху) коэффициента усиления второго полосового усилителя k2 предлагаемого устройства может быть определена из условия обеспечения линейности приемного тракта из двух последовательно включенных усилителей: 4 и 11. Это условие характеризуется следующей зависимостью:
,
откуда получаем

где k1 и k2 – коэффициенты усиления первого и второго полосовых усилителей;
h – отношение сигнал/шум в приемном тракте;
Uш – приведенный к входу уровень собственных шумов первого полосового усилителя;
f – эффективная полоса пропускания первого полосового усилителя;
Uвыхмах – уровень максимального неискаженного выходного сигнала второго полосового усилителя.
Численные значения параметров Uш, f, Uвыхмах при доступной реализации полосовых усилителей на базе операционных усилителей общего применения (см. Ю.А.Мячин. 180 аналоговых микросхем. М.: Патриот, 1993) могут быть приняты следующими:
.
Отношение сигнал/шум в приемном тракте h примем равным 10, исходя из общепринятых требований к энергетике приемных трактов различных устройств обнаружения. Коэффициент усиления k1 первого полосового усилителя будем считать равным 1000, чтобы использовать для сравнения уже упоминавшийся пример аналога – металлодетектора «Признак». Тогда на основании зависимости (11) получаем, что максимальная величина коэффициента усиления k2 второго полосового усилителя 11 не должна превышать 140.
Произведение переменных kC и UГ(t) в соотношении (10) может варьироваться в достаточно широких пределах, оно зависит в основном от технически реализуемого динамического диапазона перемножителей 9 в сигнальных цепях второго квадратурного автокомпенсатора 6. При реализации перемножителей на базе специализированных микросхем К525ПС2 среднестатистическая величина произведения kСUГ(t), ограниченная технологией изготовления интегральных микросхем этого класса, может быть доведена до 0,1 (см. А.Г.Алексенко и др. Применение прецизионных аналоговых микросхем. М.: Радио и связь, 1985).
Теперь, руководствуясь зависимостью (10), нетрудно увидеть, что максимальный прирост чувствительности предлагаемого устройства обнаружения за счет введения первого квадратурного автокомпенсатора и второго полосового усилителя может достигать величины 43 дБ, а использование второго квадратурного автокомпенсатора для решения задачи обнаружения позволяет дополнительно повысить чувствительность устройства еще на 17 дБ, что в совокупности может увеличить чувствительность предлагаемого устройства обнаружения на 60 дБ по сравнению с прототипом.
Полученные результаты свидетельствуют о возможности реализации класса высокочувствительных металлодетекторов электромагнитного типа, существенно расширяя область их самого разнообразного применения.
Достоверность приведенных технических характеристик экспериментально подтверждена в изготовленных на производственной базе ЗАО «Центр информационной безопасности» опытных образцах конвейерных металлодетекторов «КМП-1», установленных на постоянную эксплуатацию в продовольственной компании «Сибирский берег» и предназначенных для обнаружения мелких металлических включений в хлебобулочных изделиях в технологическом цикле производства сухариков-кириешек. Внешний вид металлодетектора «КМП-1» в составе специально разработанной для этого конвейерной линии представлен на фотографии (см. фиг.2).
Таким образом, предлагаемое техническое решение позволяет повысить чувствительность устройства за счет до сих пор не применявшегося сочетания электронных блоков: двух последовательно включенных квадратурных автокомпенсаторов с полосовым усилителем между ними, а также использования одного из квадратурных автокомпенсаторов (и введенных второго фильтра верхних частот, двух линейных выпрямителей и сумматора) по новому назначению – для обнаружения малых амплитудно-фазовых флуктуаций сигнала в приемном тракте устройства обнаружения.
Формула изобретения
Устройство обнаружения металлических предметов, содержащее излучающий и приемный блоки, генератор тока, подключенный выходом к излучающему блоку, первый полосовой усилитель, входом подключенный к приемному блоку, первый фильтр верхних частот, пороговый элемент и исполнительный блок, отличающееся тем, что в него введены второй полосовой усилитель, второй фильтр верхних частот, первый и второй линейные выпрямители, сумматор и первый и второй квадратурные автокомпенсаторы, типовая структура каждого из которых включает в себя квадратурный преобразователь, сумматор, четыре перемножителя и два фильтра нижних частот, причем сигнальным выходом первого квадратурного автокомпенсатора является выход его сумматора, а сигнальными выходами второго квадратурного автокомпенсатора служат выходы его фильтров нижних частот, при этом выход первого полосового усилителя соединен с одним из входов сумматора первого квадратурного автокомпенсатора, вход квадратурного преобразователя которого связан с выходом генератора тока и входом квадратурного преобразователя второго квадратурного автокомпенсатора, а выход сумматора первого квадратурного автокомпенсатора соединен с входом второго полосового усилителя, выходом подключенного к одному из входов сумматора второго квадратурного автокомпенсатора, два выхода фильтров нижних частот которого через последовательно включенные первый фильтр верхних частот и первый линейный выпрямитель и соответственно второй фильтр верхних частот и второй линейный выпрямитель связаны с входами сумматора, выходом подключенного к входу порогового элемента, который выходом соединен с исполнительным блоком, кроме того, постоянные времени фильтров нижних частот первого квадратурного автокомпенсатора выбираются существенно больше (не менее чем на три порядка) постоянных времени фильтров нижних частот второго квадратурного автокомпенсатора.
РИСУНКИ
|
|