|
(21), (22) Заявка: 2006117440/09, 22.05.2006
(24) Дата начала отсчета срока действия патента:
22.05.2006
(46) Опубликовано: 27.03.2008
(56) Список документов, цитированных в отчете о поиске:
RU 2195702 С2, 27.12.2002. RU 2259592 С2, 27.08.2005. WO 2006001525 A1, 05.01.2006. WO 2006047253 A1, 04.05.2006.
Адрес для переписки:
302034, г.Орел, ул. Приборостроительная, 35, Академия ФСО России, ОНТИ
|
(72) Автор(ы):
Миняев Андрей Александрович (RU), Яковлев Вадим Лаврович (RU)
(73) Патентообладатель(и):
Государственное образовательное учреждение высшего профессионального образования Академия Федеральной службы охраны Российской Федерации (Академия ФСО России) (RU)
|
(54) СПОСОБ РАСПОЗНАВАНИЯ СЛОЖНОГО ГРАФИЧЕСКОГО ОБЪЕКТА
(57) Реферат:
Изобретение относится к системам искусственного интеллекта и предназначено для идентификации сложных графических объектов на изображении и может быть использовано в системах электронного документооборота. Технический результат заключается в повышении достоверности распознавания графических объектов за счет извлечения из анализируемых графических изображений признаков, позволяющих эффективно описывать анализируемые объекты в условиях влияния характера почерка на их структуру. Технический результат достигается за счет того, что формируют спектральное представление в виде координатно-фазового портрета изображения объекта. Затем производят вейвлет преобразование портрета и формирование, на каждом уровне преобразования, характеристического вектора признаков, состоящего из статистических характеристик распределений вейвлет коэффициентов. Далее вычисляют расстояния между координатой вектора признаков анализируемого графического объекта и центрами кластеров характеристических векторов объектов-эталонов. Полученные расстояния записывают в таблицу. Далее таблицу подают на классификатор. Данные с классификатора поступают на блок принятия решения о принадлежности анализируемого объекта к одному из разрешенных классов, где и принимают решение. 6 ил.
Изобретение относится к автоматике и вычислительной технике и, в частности, к системам искусственного интеллекта. Предназначено для распознавания на изображении сложных графических объектов в виде изолированных печатных и рукописных символов и может быть использовано в системах электронного документооборота (Фиг.1).
Задача, решаемая изобретением, заключается в повышении достоверности распознавания графических объектов за счет извлечения из анализируемых изображений признаков, позволяющих эффективно описывать анализируемые объекты в условиях влияния характера почерка на их структуру.
Сущность изобретения заключается в том, что на первом этапе формируют спектральное представление анализируемого графического объекта в виде его координатно-фазового портрета на основе построчного пошагового сканирования бит графического изображения в направлении слева-направо и сверху-вниз с фиксацией на каждом шаге переходов бит (дибит) в состояние, соответствующее конкретной фазе, в зависимости от выбранной схемы. Затем производят вейвлет преобразование координатно-фазового портрета графического объекта, заключающееся в формировании характеристического вектора признаков, состоящего из статистических характеристик распределений вейвлет коэффициентов, представляющих собой результат многоуровневой свертки исходного координатно-фазового портрета графического объекта с базовой функцией вейвлета. Значение расстояния между центрами каждого кластера характеристических векторов объектов-эталонов и координатой характеристического вектора анализируемого графического объекта записывают в таблицу. Далее таблицу подают на классификатор, где по критерию минимума расстояния определяется кластер, ближайший к координате характеристического вектора анализируемого графического объекта. Данные с классификатора поступают на блок принятия решения о принадлежности анализируемого объекта к одному из разрешенных классов, где и принимают решение.
Пример реализации данного способа поясняется чертежами, на которых на Фиг.1 показана схема реализации способа, на Фиг.2 – блок-схема операций предлагаемого способа, на Фиг.3 – схема правил четырехпозиционного фазового пространства координатно-фазового способа, на Фиг.4 – схема правил восьмипозиционного фазового пространства координатно-фазового способа, на Фиг.5 – результат формирования координатно-фазового портрета графического (фрагмент), на фиг.6 – кластеры характеристических векторов объектов-эталонов.
Выполнение предлагаемого способа осуществляется в несколько этапов, как изображено на Фиг.2. Первоначально, на этапе предобработки, на анализируемой сцене определяются координаты всех графических объектов, подлежащих распознаванию (блок 5, Фиг.2). Затем для каждого графического объекта формируется его координатно-фазовый портрет (блок 6, Фиг.2).
Правило формирования координатно-фазового портрета заключается в следующем. В процессе просмотра (сканирования) массива пикселей (матрицы) изображения анализируемого графического объекта в направлении сверху-вниз и слева-направо (построчно) осуществляется пошаговая оценка перехода бит (дибит, трибит и т.д.) в состояние, соответствующее конкретной фазе, в зависимости от выбранной схемы правил, показанных на Фиг.3 и Фиг.4. Результат формирования координатно-фазового портрета (фрагмент) показан на Фиг.5.
Далее производится вейвлет преобразование полученного координатно-фазового портрета (1) (блок 7, Фиг.2).

где j,k(x) – базовая функция вейвлета, f(x) – координатно-фазовый портрет графического объекта, x – абсцисса координатно-фазового портрета, dj,k – многоуровневая последовательность вейвлет коэффициентов, j, k – параметры уровня вейвлет преобразования [1].
На следующем этапе формируется характеристический вектор признаков графического объекта, состоящий из статистических характеристик распределений вейвлет коэффициентов на каждом уровне вейвлет преобразования – формула (2) (блок 8, Фиг.2).

Статистические характеристики распределений вейвлет коэффициентов [2] представляют собой математическое ожидание (3):

где Pkj – вероятность появления коэффициента со значением dkj в k позиции, дисперсию (4):

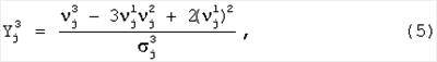
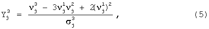
асимметрию (5):

где и , эксцесс (6):

Значения расстояний между центрами кластеров характеристических векторов объектов-эталонов (Фиг.6) и координатой характеристического вектора анализируемого графического объекта записывают в таблицу (блок 9, Фиг.2). В качестве меры выбрано Евклидово расстояние.
Сформированная таблица поступает на классификатор (блок 10, Фиг.2), где по критерию минимума расстояния определяется кластер, ближайший к координате характеристического вектора анализируемого графического объекта [3].
Полученный номер кластера поступает на блок 11 (Фиг.2) принятия решения о принадлежности анализируемого изображения к одному из разрешенных классов. Анализируемый графический объект соответствует тому классу, к кластеру которого он был отнесен.
Экспериментальная проверка предлагаемого способа показала, что характеристический вектор признаков, состоящий из статистических характеристик вейвлет коэффициентов, способен адекватно учитывать вариации в формировании сложных графических объектов, вызванные характером почерка.
Предлагаемый способ реализован в среде математического моделирования MathLab 7.0.4 и рассчитан на выполнение в среде Windows на ПЭВМ класса Pentium, CPU 200 МГц, 64 RAM и выше.
Описание элементов фигур
Фигура 1:
1 – анализируемая сцена;
2 – сканирующее устройство;
3 – ЭВМ;
4 – эталонные изображения.
Фигура 2:
5 – блок определения координат графических объектов на анализируемой сцене;
6 – блок формирования координатно-фазового портрета графического объекта;
7 – блок выполнения вейвлет пребразования;
8 – блок формирования характеристического вектора признаков;
9 – блок записи векторов в таблицу;
10 – блок классификатора;
11 – блок принятия решения.
Фигура 6:
12 – координата характеристического вектора признаков графического объекта;
13 – кластеры характеристических векторов объектов-эталонов первого разрешенного класса;
14 – кластеры характеристических векторов объектов-эталонов второго разрешенного класса;
15 – кластеры характеристических векторов объектов-эталонов третьего разрешенного класса;
16 – кластеры характеристических векторов объектов-эталонов четвертого разрешенного класса.
Источники информации
1. Дьяконов В.П. Вейвлеты. От теории к практике. – М.: СОЛОН-Р, 2002. – 155 с.
2. Гмурман В.Е. Теория вероятностей и математическая статистика. – М.: Высшая Школа, 1972. – 368 с.
3. Яковлев В.Л., Миняев А.А. Аналитическая модель сложноструктурированного объекта факсимильного сообщения. Сборник научных трудов. Выпуск 19. С. – Орел: Академия ФСО России, 2005.
4. Яковлев В.Л., Миняев А.А. Алгоритм автоматической обработки факсимильных сообщений. Сборник научных трудов. Выпуск 19. С. – Орел: Академия ФСО России, 2005.
Формула изобретения
Способ распознавания сложных графических объектов, характеризующийся трехуровневой процедурой обработки графического объекта с формированием на первом уровне спектрального представления графического объекта в виде его координатно-фазового портрета на основе построчного пошагового сканирования бит графического изображения в направлении слева-направо и сверху-вниз с фиксацией на каждом шаге переходов бит (дибит) в состояние, соответствующее конкретной фазе, в зависимости от выбранной схемы, вейвлет-преобразованием спектра графического объекта на втором уровне, заключающимся в формировании характеристического вектора признаков, состоящего из статистических характеристик распределений вейвлет-коэффициентов, представляющих собой результат многоуровневой свертки исходного спектра графического объекта с базовой функцией вейвлета, и принятием решения об отнесении образа графического объекта к одному из разрешенных классов по критерию минимума расстояния между центрами кластеров характеристических векторов объектов-эталонов и координатой характеристического вектора анализируемого графического объекта на третьем уровне.
РИСУНКИ
MM4A – Досрочное прекращение действия патента СССР или патента Российской Федерации на изобретение из-за неуплаты в установленный срок пошлины за поддержание патента в силе
Дата прекращения действия патента: 23.05.2008
Извещение опубликовано: 10.06.2010 БИ: 16/2010
|