Патент на изобретение №2160087
|
||||||||||||||||||||||||||
(54) КОМПОЗИЦИЯ ДЛЯ ОКРАСКИ КЕРАТИНОВЫХ ВОЛОКОН, СОДЕРЖАЩАЯ ПРЯМОЙ КАТИОННЫЙ КРАСИТЕЛЬ И СУБСТАНТИВНЫЙ ПОЛИМЕР, СПОСОБ ОКРАСКИ (ВАРИАНТЫ), НАБОР ДЛЯ ОКРАСКИ КЕРАТИНОВЫХ ВОЛОКОН
(57) Реферат: Изобретение относится к области косметологии, касается композиции для окраски кератиновых волокон человека, таких как волосы, содержащей в подходящей для окраски среде по крайней мере один прямой катионный краситель формулы I, где A, D, R1, R2, R3, R13 и X имеют значения, указанные в формуле изобретения, и по крайней мере один катионный или амфотерный субстантивный полимер, а также относится к способу окраски кератиновых волокон, в частности кератиновых волокон человека, таких как волосы, и к набору для окраски с несколькими отделениями. Композиция способна приводить к менее селективной и очень стойкой к различным агрессиям, которым могут подвергаться волосы, окраске. 6 с. и 23 з.п.ф-лы.
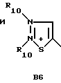
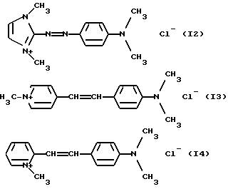
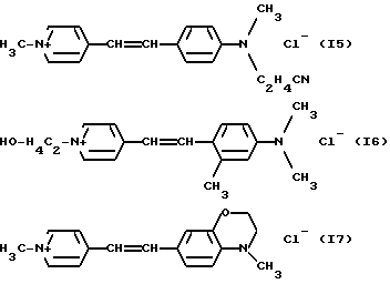
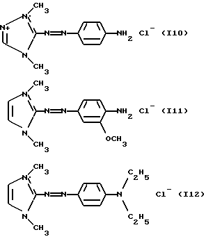
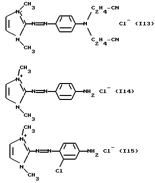
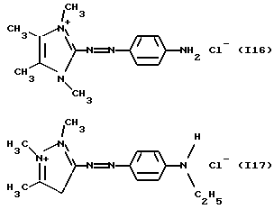
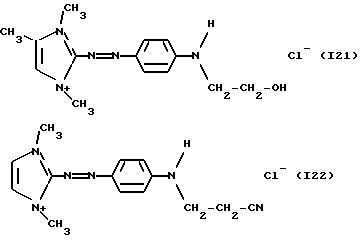
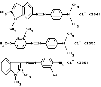
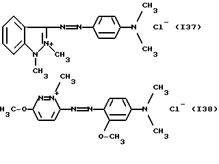
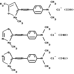
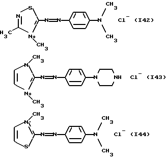
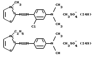
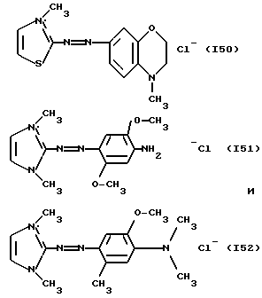
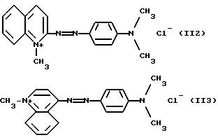
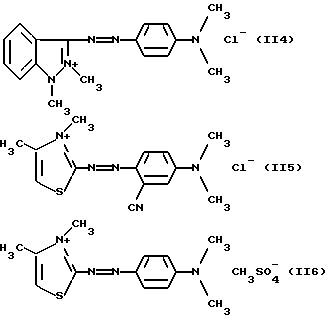
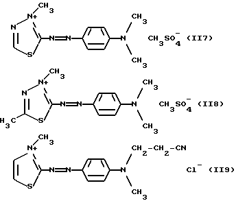
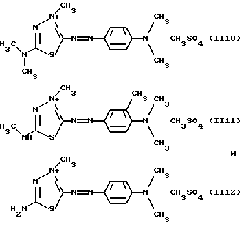
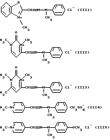
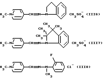
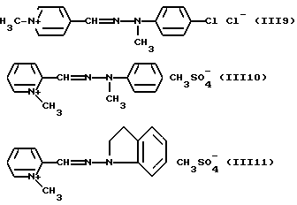
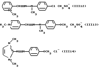
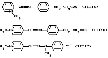
Изобретение относится к красящей композиции для кератиновых волокон, в особенности для таких кератиновых волокон человека, как волосы, включающей в подходящей для красящих композиций среде по крайней мере один прямой катионный краситель заданной формулы и по крайней мере один особый, катионный или амфотерный, субстантивный полимер. Предметами изобретения также являются способы и устройства для окраски, в случае которых используют вышеуказанную композицию. В области по уходу за волосами различают два типа окраски. Первым типом окраски является полуперманентная или временная окраска или прямая окраска, в случае которой используют красители, способные придавать естественной окраске волос более или менее заметное изменение тона, устойчивое, в некоторых случаях, к многократному мытью шампунями. Эти красители называют прямыми красителями; они могут быть использованы с окислителем или без него. В присутствии окислителя целью является получение осветляющей окраски. Осветляющую окраску осуществляют путем нанесения на волосы приготовляемой перед самым употреблением смеси прямого красителя и окислителя, и она позволяет, в частности, достигать путем осветления меланина волос превосходного эффекта, такого, как равномерный тон в случае седых волос, или подчеркивать тон в случае волос естественного цвета. Вторым типом окраски является перманентная окраска или окислительная окраска. Ее осуществляют с помощью так называемых “фиксирующихся при окислении” красителей, включающих предшественники окислительной окраски и краскообразующие компоненты. Предшественники окислительной окраски, обычно называемые “окисляющиеся основы”, представляют собой первоначально бесцветные или слегка окрашенные соединения, которые проявляют свою красящую способность внутри волоса в присутствии окислителей, добавляемых в момент употребления, приводя к образованию окрашенных и красящих соединений. Образование этих окрашенных и красящих соединений происходит либо за счет окислительной конденсации “окисляющихся основ” друг с другом, либо за счет окислительной конденсации “окисляющихся основ” с соединениями, являющимися модификаторами окраски, обычно называемыми “краскообразующие компоненты” и, как правило, присутствующими в красящих композициях, используемых для окислительной окраски. Для изменения оттенков, получаемых с помощью вышеуказанных фиксирующихся при окислении красителей, или для обогащения отливов к ним иногда добавляют прямые красители. Среди прямых катионных красителей, имеющихся в области окраски кератиновых волокон, в частности волокон у человека, уже известны соединения, структура которых представлена в нижеследующем тексте; однако эти красители дают окраску, которая обладает еще неудовлетворительными характеристиками одновременно в отношении однородности цвета, распределяемого вдоль волокна (“унисон”), тогда говорят, что окраска слишком избирательная, и в отношении стойкости, под которой подразумевают устойчивость к различным агрессиям, которым могут подвергаться волосы (свет, непогода, шампуни). Однако после глубоких исследований по этому вопросу заявитель обнаружил, что можно получать новые композиции для окраски кератиновых волокон, способные приводить к менее селективной и очень стойкой к различным агрессиям, которым могут подвергаться волосы, окраске, путем сочетания по крайней мере одного особого, катионного или амфотерного, субстантивного полимера по крайней мере с одним прямым катионным красителем, известным из уровня техники, которые отвечают, соответственно, нижеприводимым формулам. Это открытие составляет основу настоящего изобретения. Следовательно, первым предметом настоящего изобретения является композиция для окраски кератиновых волокон и в особенности таких кератиновых волокон человека, как волосы, включающая в подходящей для окраски среде (i) по крайней мере один прямой катионный краситель, структура которого отвечает нижеследующим формулам, отличающаяся тем, что она дополнительно содержит (ii) по крайней мере один особый, катионный или амфотерный, субстантивный полимер. (i) Прямой катионый краситель, используемый согласно настоящему изобретению, представляет собой соединение, выбираемое среди соединений следующих формул (I), (II), (III), (III’): а) соединения следующей формулы (I): ![]() в которой D означает атом азота или группу – CH; R1 и R2 одинаковые или разные, означают атом водорода; алкильный радикал с 1-4 атомами углерода, который может быть замещен цианогруппой, гидроксилом или аминогруппой; или вместе с атомом углерода бензольного цикла образуют гетероцикл, возможно, оксигенированный или азотированный, который может быть замещен одним или несколькими алкильными радикалами с 1-4 атомами углерода; 4′-аминофенил; R3 и R’3 одинаковые или разные, означают атом водорода или галогена, выбираемый из атомов хлора, брома, йода и фтора, цианогруппу, алкоксил с 1-4 атомами углерода или ацетилоксигруппу; X– означает анион, предпочтительно выбираемый среди хлорметилсульфат- и ацетат-аниона; А означает группу, выбираемую из структур A1-A19 (см. в п. 1 формулы изобретения), в которых R4 означает алкильный радикал с 1-4 атомами углерода, который может быть замещен гидроксилом, и R5 означает алкоксил с 1-4 атомами углерода, при условии, что, когда D означает -CH, А означает А4 или A13 и R3 отличается от алкоксила, тогда R1 и R2 не означают одновременно атом водорода; б) соединения следующей формулы (II): ![]() в которой R6 означает атом водорода или алкильный радикал с 1-4 атомами углерода; R7 означает атом водорода, алкильный радикал, который может быть замещен цианогруппой или аминогруппой; 4′-аминофенил или вместе с R6 образует гетероцикл, возможно, оксигенированный и/или азотированный, который может быть замещен алкильным радикалом с 1-4 атомами углерода; R6 и R9 одинаковые или разные, означают атом водорода; атом галогена, такого, как бром, хлор, йод или фтор; алкильный радикал с 1-4 атомами углерода или алкоксил с 1-4 атомами углерода; цианогруппу; X– означает анион, предпочтительно выбираемый среди хлор-, метилсульфат- и ацетат-аниона; B означает группу, выбираемую из структур B1 – B6 (см. в п. 1 формулы изобретения), в которых R10 означает алкильный радикал с 1-4 атомами углерода; R11 и R12, одинаковые или разные, означают атом водорода или алкильный радикал с 1-4 атомами углерода; b) соединения следующих формул (III) и (III’): ![]() в которых R13 означает атом водорода, алкоксил с 1-4 атомами углерода, атом галогена, такого, как бром, хлор, йод или фтор, или аминогруппу; R14 означает атом водорода, алкильный радикал с 1-4 атомами углерода или вместе с атомом углерода бензольного цикла образует гетероцикл, в известных случаях оксигенированный и/или замещенный одним или несколькими алкильными радикалами с 1-4 атомами углерода; R15 означает атом водорода или галогена, такого, как бром, хлор, йод или фтор; R16 и R17, одинаковые или разные, означают атом водорода или алкильный радикал с 1-4 атомами углерода; D1 и D2, одинаковые или разные, означают атом азота или группу -CH; m означает 0 или 1; при условии, что, когда R13 означает незамещенную аминогруппу, тогда D1 и D2 одновременно означают группу -CH и m означает 0; X– означает анион, предпочтительно выбираемый среди хлор-, метилсульфат- и ацетат-аниона; E означает группу, выбираемую среди структур E1 – E8 (см. в п. 1 формулы изобретения), в которых R’ означает алкильный радикал с 1-4 атомами углерода; когда m =0 и D1 означает атом азота, тогда E может также означать группу следующей структуры E9: ![]() в которой R’ означает алкильный радикал с 1-4 атомами углерода. Прямые катионные красители формул (I), (II), (III) и (III’), используемые в красящих композициях согласно изобретению, представляют собой известные соединения и описываются, например, в международной заявке на патент 95/01772, в международной заявке на патент 95/15144 и в заявке на европейский патент A-O 714954. Среди прямых катионных красителей формулы (I), используемых в красящих композициях согласно изобретению, более предпочтительно можно назвать соединения, соответствующие структурам (I1) – (I52) (см. в п. 2 формулы изобретения). Среди вышеуказанных соединений структур (I1) – (I52) в высшей степени предпочтительны соединения, соответствующие структурам (I1), (I2), (I14) и (I31). Среди прямых катионных красителей формулы (II), используемых в красящих композициях согласно изобретению, более предпочтительно можно назвать соединения, соответствующие структурам (II1) – (II12) (см. в п. 4 формулы изобретения). Среди прямых катионных красителей формулы (III), используемых в красящих композициях согласно изобретению, более предпочтительно можно назвать соединения, соответствующие структурам (III1) – (III18) (см. в п. 5 формулы изобретения). Среди особых соединений вышеуказанных структур (III1) – (III18) в высшей степени предпочтительны соединения, соответствующие структурам (III4), (III5) и (III13). Среди прямых катионных красителей формулы (III’), используемых в красящих композициях согласно изобретению, более предпочтительно можно назвать соединения, соответствующие структурам (III’1) – (III’3) (см. в п. 7 формулы изобретения). Прямой катионный краситель (или прямые катионные красители), используемые согласно изобретению, составляют предпочтительно около 0,001-10 мас.% в расчете на общую массу красящей композиции и еще более предпочтительно около 0,005-5 мас.% в расчете на эту массу. (ii) Используемый согласно настоящему изобретению, катионный или амфотерный, субстантивный полимер выбирают из группы, состоящей из следующих соединений: 1) – катионные производные целлюлозы за исключением Polyquaternium 10; 2) – сополимеры диметилдиаллиламмонийгалогенида с (мет)акриловой кислотой; 3) – гомополимеры и сополимеры метакрилоилоксиэтилтриметиламмонийгалогенида; 4) – четвертичные полиаммониевые полимеры, выбираемые среди следующих соединений: – полимеры, образованные повторяющимися звеньями, отвечающими следующей формуле (IV): ![]() – полимеры, образованные повторяющимися звеньями, отвечающими следующей формуле (V): ![]() – полимеры, образованные повторяющимися звеньями, отвечающими следующей формуле (VI): ![]() в которой p означает целое число, изменяющееся примерно от 1 до 6; D может отсутствовать или может означать группу -(CH2)r -CO-, где r означает число 4 или 7; 5) – сополимеры винилпирролидона с катионными звеньями; 6) – их смеси. Субстантивный характер (то есть способность осаждаться на волосах) используемых согласно изобретению полимеров обычно определяют с помощью теста, описанного Richard J. Crawford, Journal of the Society of Cosmetic Chemists, 31 (5), p. 273-278 [1980] (обнаружение с помощью кислотного красителя Red 80). Эти субстантивные полимеры могут быть выбраны среди таковых, ранее описанных в литературе, в особенности в заявке на европейский патент A-O 557203, со с. 4, строка 19, по с. 12, строка 14. Из катионных производных целлюлозы можно назвать кватернизованные производные простых эфиров целлюлозы, такие, как описанные в заявке на европейский патент A-O 189935, и в особенности полимер, выпускаемый в продажу фирмой Юньон Карбид под названием “Quatrisoft LM 200”; эти полимеры также указываются в словаре Ассоциации по парфюмерно-косметическим товарам и душистым веществам (пятое издание, 1993 г.) как четвертичные аммониевые производные гидроксиэтилцеллюлозы, получаемые путем ее взаимодействия с эпоксидом, замещенным лаурилдиметиламмониевой группой, и указанные там под названием “Polyquaternium 24”. Из субстантивных полимеров типа гомополимера и сополимера метакрилоилоксиэтилтриметиламмонийгалогенида, используемых согласно изобретению, можно, в частности, указать продукты, называемые в словаре Ассоциации по парфюмерно-косметическим товарам и душистым веществам (пятое издание, 1993 г. ) как “Polyquaternium 37”, “Polyquaternium 32” и “Polyquaternium 35”, которые, соответственно, представляют собой: “Polyquaternium 37” – сшитый гомополимер поли(метакрилоилоксиэтилтриметиламмонийхлорид) в виде 50%-ной дисперсии в минеральном масле, выпускаемый в продажу фирмой A1lied Colloids под названием Salcare SC95; “Polyquaternium 32”, сшитый сополимер акриламида с метакрилоилоксиэтилтриметиламмонийхлоридом (в массовом соотношении 20:80) в виде 50%-ной дисперсии в минеральном масле, выпускаемый в продажу фирмой Allied Colloids под названием Salcare SC92; “Polyquaternium 35” – сополимер метакрилоилоксиэтилтриметиламмонийметосульфата с метакрилоилоксиэтилдиметилацетиламмонийметосульфатом, выпускаемый в продажу фирмой Rohm GmbH под названием Plex 7525L. Из субстантивных полимеров типа сополимера диметилдиаллиламмонийгалогенида с (мет)акриловой кислотой, используемых согласно изобретению, можно назвать, в частности, сополимеры диаллилдиметиламмонийхлорида с акриловой кислотой, такие как сополимер в массовом соотношении 80:20, выпускаемый в продажу фирмой Calgon под названием Merquat 280. Из субстантивных полимеров четвертичного полиаммониевого типа, используемых согласно изобретению, в частности, можно назвать следующие: – полимеры, полученные и описанные в патенте Франции 2270846, образованные повторяющимися звеньями, отвечающими следующей формуле (IV): ![]() и особенно такие, молекулярная масса которых, определенная методом гель-проникающей хроматографии, составляет 9500-9900; – полимеры, полученные и описанные в патенте Франции 2270846, образованные повторяющимися звеньями, отвечающими следующей формуле (V): ![]() и особенно такие, молекулярная масса которых, определенная методом гель-проникающей хроматографии, составляет около 1200; – полимеры, описанные и полученные в патентах США NN 4157388, 4390689, 4702906, 4719282, и образованные повторяющимися звеньями, отвечающими следующей формуле (VI): ![]() где p означает целое число примерно от 1 до 6; D может отсутствовать или может означать группу -(CH2)r-CO- , где r означает число, равное 4 или 7, причем молекулярная масса вышеуказанных полимеров предпочтительно ниже 100000 и еще более предпочтительно ниже или равна 50000; такие полимеры выпускаются, в частности, фирмой Miranol под названиями Mirapol A15″, “Mirapol AD1”, “Mirapol AZ1” и “Mirapol 175”. Из полимеров винилпирролидона с катионными звеньями, используемых согласно изобретению, в частности, можно назвать следующие: а) полимеры винилпирролидона, включающие звенья диметиламиноэтилметакрилата; среди них можно назвать следующие: – сополимер винилпирролидона с диметиламиноэтилметакрилатом (в массовом соотношении 20:80), выпускаемый фирмой I.S.P. под торговым названием COPOLYMER 845; – сополимеры винилпирролидона с диметиламиноэтилметакрилатом, кватернизованные диэтилсульфатом, выпускаемые фирмой I.S.P. под названиями GAFQUAT 734, 755, 755 S и 755 L; – гидрофильные сополимеры винилпирролидона с диметиламиноэтилметакрилатом и полиуретанами, выпускаемые в продажу фирмой U. С. I. В. под торговым названием PECOGEL GC-310, а также фирмой BLAGDEN CHEMICALS под названиями AQUAMERE С 1031 и С 1511; – кватернизованные или некватернизованные сополимеры винилпирролидона с диметиламиноэтилметакрилатом и олефинами с 8-16 атомами углерода, выпускаемые фирмой I.S.P. под названиями GANEX ACP 1050-1057, 1062-1069, 1079-1086; – сополимер винилпирролидона с диметиламиноэтилметакрилатом и винилкапролактамом, выпускаемый фирмой I.S.P. под названием GAFFIX VC 713; б) полимеры винилпирролидона, включающие звенья метакриламидопропилтриметиламмония (M.A.P.T.А.С.), из которых можно назвать, в частности, следующие: – сополимеры винилпирролидона с М.А.Р.T.А.С., выпускаемые фирмой I.S.Р. под торговыми названиями GAFQUAT ACP 1011 и GAFQUAT HS 100; в) полимеры винилпирролидона, включающие звенья метилвинилимидазолия, из которых, в частности, можно назвать следующие: – сополимеры винилпирролидона с метилвинилимидазолийхлоридом, выпускаемые фирмой БАСФ под названиями LUVIQUAT FC 370, FC 550, FC 905, HM 552; – сополимер винилпирролидона с метилвинилимидазолийхлоридом и винилимидазолом, выпускаемый фирмой БАСФ под названием LUVIQUAT 8155; – сополимер винилпирролидона с метилвинилимидазолийметосульфатом, выпускаемый фирмой БАСФ под названием LUVIQUAT MS 370. Концентрация субстантивного полимера (ii) в композиции для окраски согласно изобретению может составлять примерно от 0,01 до 10% в расчете на общую массу красящей композиции и предпочтительно от 0,1 до 5%. Подходящая для окраски среда (или основа) обычно образована водой или смесью воды, по крайней мере, с одним органическим растворителем для солюбилизации соединений, которые недостаточно растворимы в воде. В качестве органического растворителя, например, можно назвать низшие алканолы с 1-4 атомами углерода, такие, как этанол и изопропанол; ароматические спирты, такие, как бензиловый спирт или феноксиэтанол; а также аналогичные продукты и их смеси. Растворители могут находиться в количествах, предпочтительно составляющих примерно 1 – 40 мас.% в расчете на общую массу красящей композиции и еще более предпочтительно примерно 5-30 мас.%. Значение pH красящей композиции согласно изобретению обычно составляет около 2-11 и предпочтительно около 5 – 10. Его можно доводить до желательной величины с помощью подкисляющих или подщелачивающих компонентов, обычно используемых при окраске кератиновых волокон. Из подкисляющих компонентов в качестве примера можно назвать неорганические или органические кислоты, такие, как соляная кислота, ортофосфорная кислота, серная кислота, карбоновые кислоты, такие как уксусная кислота, винная кислота, лимонная кислота, молочная кислота, сульфокислоты. Из подщелачивающих компонентов в качестве примера можно назвать аммиак, карбонаты щелочных металлов, алканоламины, такие, как моно-, ди- и триэтаноламины, а также их производные, гидроксиды натрия или калия и соединения следующей формулы (VII): ![]() где W означает пропиленовый остаток, возможно замещенный гидроксилом или алкильным радикалом с 1-6 атомами углерода; R18, R19 R20 и R21, одинаковые или разные, означают атом водорода, алкильный радикал с 1-6 атомами углерода или гидроксиалкильный радикал с 1-6 атомами углерода. Красящая композиция согласно изобретению, кроме вышеуказанных одного или нескольких прямых катионных красителей (i), может содержать один или несколько дополнительных прямых красителей, которые могут быть выбраны, например, среди нитробензольных красителей, антрахиноновых красителей, нафтохиноновых красителей, триарилметановых красителей, ксантеновых красителей, некатионных азокрасителей. Когда красящая композиция согласно изобретению предназначена для окислительной окраски, то она, кроме прямого катионного красителя или прямых катионных красителей (i), содержит одну или несколько окисляющихся основ, выбираемых среди окисляющихся основ, обычно используемых для окислительной окраски и из которых особенно можно назвать парафенилендиамины, бисфенилалкилендиамины, пара-аминофенолы, орто-аминофенолы и гетероциклические основания. Когда используют окисляющуюся основу (или окисляющиеся основы), то они предпочтительно составляют около 0,0005-12 мас.%, в расчете на общую массу красящей композиции, и еще более предпочтительно около 0,005-6 мас.% в расчете на эту массу. Когда красящая композиция согласно изобретению предназначена для окислительной окраски, то она, кроме прямого катионного красителя (i) и субстантивного полимера (ii), а также окисляющихся основ, может также включать один или несколько краскообразующих компонентов для модификации или обогащения отливами оттенков, получаемых при использовании одного или нескольких прямых катионных красителей (i) и одной или нескольких окисляющихся основ. Краскообразующие компоненты, используемые в красящей композиции согласно изобретению, могут быть выбраны среди краскообразующих компонентов, обычно используемых для окислительной окраски и из которых можно, в частности, назвать метафенилендиамины, мета-аминофенолы, метадифенолы и гетероциклические краскообразующие компоненты. Когда присутствуют краскообразующий компонент или краскообразующие компоненты, то они предпочтительно составляют около 0,0001-10 мас.% в расчете на общую массу красящей композиции и еще более предпочтительно около 0,005-5 мас.% в расчете на эту массу. Красящая композиция согласно изобретению может также включать различные добавки, обычно используемые в композициях для окраски волос, такие, как антиоксиданты, агенты проникания, комплексообразователи, духи, буферы, диспергаторы, поверхностно-активные вещества, пленкообразующие компоненты, церамиды, консерванты, фильтрующие компоненты, корректоры тона. Разумеется, специалист должен выбирать это или эти возможные дополнительные соединения таким образом, чтобы не ухудшать или существенно не ухудшать за счет предусматриваемой или предусматриваемых добавок полезные свойства, присущие по существу красящей композиции согласно изобретению. Красящая композиция согласно изобретению может находиться в различных формах, таких, как жидкости, шампуни, кремы, гели, или в любой другой форме, пригодной для осуществления окраски кератиновых волокон, и особенно человеческих волос. Особенно предпочтительна форма шампуня. Когда сочетание прямого катионного красителя (i) с субстантивным полимером (ii) согласно изобретению используют в композиции, предназначенной для окислительной окраски (тогда используют одну или несколько окисляющихся основ, иногда в присутствии одного или нескольких краскообразующих компонентов), или когда это сочетание используют в композиции, предназначенной для прямой осветляющей окраски, тогда красящая композиция согласно изобретению включает, кроме того, по крайней мере один окислитель, выбираемый, например, из пероксида водорода, пероксида мочевины, броматов щелочных металлов, солей надкислот, таких, как пербораты и персульфаты, и ферментов, таких, как пероксидазы, лакказы и оксиредуктазы, несущей два эвлектрона. Особенно предпочтительно использование пероксида водорода или ферментов. Другим предметом изобретения является способ окраски кератиновых волокон и в особенности кератиновых волокон человека, таких, как волосы, при использовании красящей композиции, такой, как указанная выше. Согласно первому варианту осуществления этого способа окраски согласно изобретению на волокна наносят по крайней мере одну красящую композицию, как она определена выше, на время, достаточное для проявления желательной окраски, после чего ополаскивают, в случае необходимости моют шампунем, снова ополаскивают и высушивают. Время, необходимое для проявления окраски на кератиновых волокнах, обычно составляет от 3 до 60 минут и еще более предпочтительно от 5 до 40 минут. Согласно второму варианту осуществления этого способа окраски согласно изобретению на волокна наносят по крайней мере одну красящую композицию, как она определена выше, в течение времени, достаточного для проявления желательной окраски, без заключительного ополаскивания. Согласно одному особому варианту осуществления этого способа окраски и когда красящая композиция согласно изобретению содержит по крайней мере одну окисляющуюся основу и по крайней мере один окислитель, способ окраски включает предварительный этап, заключающийся в хранении в отдельной форме, с одной стороны, композиции (А1), включающей, в подходящей для окраски среде, по крайней мере один прямой катионный краситель (i), такой, как указано выше, и по крайней мере одну окисляющуюся основу, и, с другой стороны, композиции (Б1), включающей в подходящей для окраски среде по крайней мере один окислитель, затем в осуществлении их смешения в момент употребления перед нанесением этой смеси на кератиновые волокна, причем композиция (А1) или композиция (Б1) содержит катионный или амфотерный субстантивный полимер (ii), такой, как указано выше. Согласно другому особому варианту осуществления этого способа окраски и когда красящая композиция согласно изобретению содержит по крайней мере один окислитель, способ окраски включает предварительный этап, заключающийся в хранении в отдельной форме, с одной стороны, композиции (А2), включающей, в подходящей для окраски среде, по крайней мере один прямой катионный краситель (i), такой, как указано выше, и, с другой стороны, композиции (Б2), включающей, в подходящей для окраски среде, по крайней мере один окислитель, затем в осуществлении их смешения в момент употребления перед нанесением этой смеси на кератиновые волокна, причем композиция (А2) или композиция (Б2) содержит катионный или амфотерный субстантивный полимер, такой, как указано выше. Другим предметом изобретения является устройство с несколькими отделениями или “набор” для окраски или любая другая система упаковки с несколькими отделениями, первое отделение которой содержит композицию (А1) или (А2), такую, как указано выше, и второе отделение содержит композицию (Б1) или (Б2), такую, как указано выше. Эти устройства могут быть снабжены средством, позволяющим наносить на волосы желательную смесь, таким как устройства, описанные в патенте Франции 2586913 на имя заявителя. Нижеследующие примеры предназначены для иллюстрации изобретения, не ограничивая его объема охраны. ПРИМЕРЫ Пример 1. Готовят следующую композицию для окраски: Прямой катионный краситель формулы I(2) – 0,125 г Парааминофенол – 0,120 г 5-N- – гидроксиэтиламино-2-метилфенол – 0,125 гCубстантивный полимер: сополимер диаллилдиметиламмонийхлорида с акриловой кислотой (в массовом соотношении 80:20), выпускаемый фирмой CALGON под названием Merquat 280 – 1,0 г A.B.* Полиглицеринированный олеиновый спирт (2 моль глицерина) – 4,0 г Полиглицеринированный олеиновый спирт (4 моль глицерина), с 78% активных веществ (A.B.) – 5,69 г A.B* Олеиновая кислота – 3,0 г Олеинамин (2 моль этиленоксида), выпускаемый фирмой AKZO под торговым названием ETHOMEEN 012 – 7,0 г Диэтиламинопропиллауриламиносукцинамат натрия с 55% активного вещества – 3,0 г A.B.* Олеиновый спирт – 5,0 г Диэтаноламид олеиновой кислоты – 12,0 г Пропиленгликоль – 3,5 г Дипропиленгликоль – 0,5 г Простой монометиловый эфир пропиленгликоля – 9,0 г Этанол – 7,0 г Метабисульфит натрия в виде водного раствора, с 35% активного вещества – 0,455 г А.В.* Ацетат аммония – 0,8 г Антиоксидант, комплексообразователь – Достаточное количество Духи, консервант – Достаточное количество 20 %-ный спиртовой раствор аммиака – 10,0 г где А.В.* означает активное вещество. В момент употребления эту композицию смешивают с равным количеством водного раствора пероксида водорода с концентрацией 20 объемов (6 мас.%). Результирующую композицию наносят на 30 минут на пряди естественных седых волос к (90% седых). Пряди волос затем ополаскивают, моют стандартным шампунем, затем высушивают. Они окрашиваются в светло-русый оттенок с интенсивным красным отливом. Пример 2. Готовят следующую красящую композицию: Прямой катионный краситель формулы (I14) – 0,09 г Cубстантивный полимер четвертичного полиаммониевого типа формулы (IV) – 1,0 г А. В.* Нонилфенол с 9 моль этиленоксида – 8,0 г 2-Амино-2-метилпропанол – Достаточное количество, pH 9 Диминерализованная вода – До общего количества 100 г где А.В.* означает активное вещество. Вышеуказанную композицию наносят на 30 минут на пряди естественных седых волос (90% седых). Пряди волос затем ополаскивают, моют стандартным шампунем, затем высушивают. Они окрашиваются в интенсивный медный о Формула изобретения
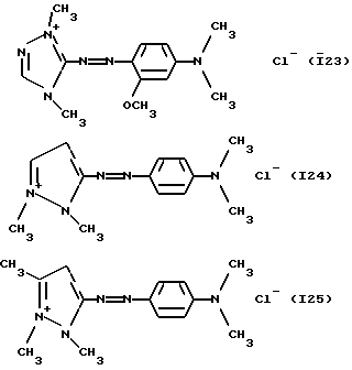
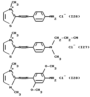
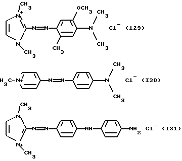
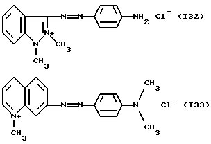
формулы I ![]() где D означает атом азота или группу – CH; R1 и R2 одинаковые или разные, означает атом водорода; алкильный радикал с 1 – 4 атомами углерода, который может быть замещен цианогруппой, гидроксилом или аминогруппой; или вместе с атомом углерода бензольного цикла образуют гетероцикл, возможно, оксигенированный или азотированный, который может быть замещен одним или несколькими алкильными радикалами с 1 – 4 атомами углерода; 4′ – аминофенил; R3 и R‘3, одинаковые или разные, означают атом водорода или галогена, выбираемый из атомов хлора, брома, йода и фтора, цианогруппу, алкоксил с 1 – 4 атомами углерода или ацетилоксигруппу; X– означает анион, предпочтительно выбираемый среди хлор, метилсульфат- и ацетат-аниона; A означает группу, выбираемую из следующих структур А1-А19: ![]() ![]() ![]() ![]() ![]() ![]() ![]() ![]() ![]() ![]() где R4 означает алкильный радикал с 1 – 4 атомами углерода, который может быть замещен гидроксилом; R5 означает алкоксил с 1 – 4 атомами углерода, при условии, что, когда D означает -CH, A означает A4 или A13 и R3 отличается от алкоксила, тогда R1 и R2 не означают одновременно атом водорода; формулы II ![]() где R6 означает атом водорода или алкильный радикал с 1 – 4 атомами углерода; R7 означает атом водорода, алкильный радикал, который может быть замещен цианогруппой или аминогруппой; 4′-аминофенил или вместе с R6 образует гетероцикл, возможно, оксигенированный и/или азотированный, который может быть замещен алкильным радикалом с 1 – 4 атомами углерода; R8 и R9 одинаковые или разные, означают атом водорода; атом галогена, такого, как бром, хлор, йод или фтор; алкильный радикал с 1 – 4 атомами углерода или алкоксил с 1 – 4 атомами углерода; цианогруппу; X– означает анион, предпочтительно выбираемый среди хлор-, метилсульфат- и ацетат-аниона; B означает группу, выбираемую из следующих структур В1-В6: ![]() ![]() ![]() ![]() где R10 означает алкильный радикал с 1 – 4 атомами углерода; R11 и R12, одинаковые или разные, означают атом водорода или алкильный радикал с 1 – 4 атомами углерода; формул III и III’ ![]() ![]() где R13 означает атом водорода, алкоксил с 1 – 4 атомами углерода, атом галогена, такого, как бром, хлор, йод или фтор, или аминогруппу; R14 означает атом водорода, алкильный радикал с 1 – 4 атомами углерода или вместе с атомом углерода бензольного цикла образует гетероцикл, в некоторых случаях оксигенированный и/или замещенный одним или несколькими алкильными радикалами с 1 – 4 атомами углерода; R15 означает атом водорода или галогена, такого, как бром, хлор, йод или фтор; R16 и R17, одинаковые или разные, означают атом водорода или алкильный радикал с 1 – 4 атомами углерода; D1 и D2, одинаковые или разные, означают атом азота или группу -CH; m = 0 или 1; при условии, что, когда R13 означает незамещенную аминогруппу, тогда D1 и D2 одновременно означают группу -CH и m = 0; X– означает анион, предпочтительно выбираемый среди хлор-, метилсульфат- и ацетат-аниона; E означает группу, выбираемую среди следующих структур Е1 – Е8: ![]() ![]() ![]() ![]() где R’ означает алкильный радикал с 1 – 4 атомами углерода; когда m = 0 и D1 означает атом азота, тогда Е может также означать группу следующей структуры Е9: ![]() где R’ означает алкильный радикал с 1 – 4 атомами углерода; отличающаяся тем, что она дополнительно содержит (ii) по крайней мере один катионный или амфотерный субстантивный полимер, выбираемый из группы, состоящей из следующих соединений: 1) – катионные производные целлюлозы за исключением Polyguaternium 10; 2) – сополимеры диметилдиаллиламмонийгалогенида с (мет)акриловой кислотой; 3) – гомополимеры и сополимеры метакрилоилоксиэтилтриметиламмонийгалогенида; 4) – четвертичные полиаммониевые полимеры, выбираемые среди следующих соединений: полимеры, образованные повторяющимися звеньями, отвечающими следующей формуле IV ![]() полимеры, образованные повторяющимися звеньями, отвечающими следующей по формуле V ![]() полимеры, образованные повторяющимися звеньями, отвечающими следующей формулы IV ![]() где p означает целое число, примерно от 1 до 6; D может отсутствовать или может означать группу -(CH2)r-CO-, где r = 4 или 7; 5) – сополимеры винилпирролидона с катионными звеньями; 6) – их смеси. 2. Композиция по п.1, отличающуюся тем, что прямые катионные красители формулы I выбирают из соединений, соответствующих структурам I1 – I52 : ![]() ![]() ![]() ![]() ![]() ![]() ![]() ![]() ![]() ![]() ![]() ![]() ![]() ![]() ![]() ![]() ![]() ![]() ![]() ![]() 3. Композиция по п.2, отличающаяся тем, что прямые катионные красители соответствуют структурам I1, I2, I14 и I31. 4. Композиция по п.1, отличающаяся тем, что прямые катионные красители формулы II выбирают из соединений, соответствующих следующим структурам II1 – III2 : ![]() ![]() ![]() ![]() 5. Композиция по п.1, отличающаяся тем, что прямые катионные красители формулы III выбирают из соединений, соответствующих следующим структурам III1 – III8: ![]() ![]() ![]() ![]() ![]() ![]() ![]() 6. Композиция по п.5, отличающаяся тем, что прямые катионные красители формулы III выбирают из соединений, соответствующих структурам III4, III5 и III13. 7. Композиция по п.1, отличающаяся тем, что прямые катионные красители формулы III’ выбирают из соединений, соответствующих следующим структурам III’1 – III’3: ![]() ![]() 8. Композиция по одному из пп.1 – 7, отличающаяся тем, что прямой катионный краситель или прямые катионные красители формул I, II, III или III’ составляют 0,001 – 10 мас.%, в расчете на общую массу композиции. 9. Композиция по п.8, отличающаяся тем, что прямой катионный краситель или прямые катионные красители формул I, II, III или III’ составляют 0,005 – 5 мас.%, в расчете на общую массу композиции. 10. Композиция по одному из пп.1 – 9, отличающаяся тем, что субстантивным полимером целлюлозы является Polyquaternium 24. 11. Композиция по одному из пп.1 – 9, отличающаяся тем, что субстантивным полимером типа сополимера диметилдиаллиламмонийгалогенида с (мет)акриловой кислотой является сополимер диметилдиаллиламмонийхлорида с акриловой кислотой (в массовом соотношении 80:20). 12. Композиция по одному из пп.1 – 9, отличающаяся тем, что субстантивные полимеры типа гомополимера и сополимера метакрилоилоксиэтилтриметиламмоний галогенида выбирают из сшитого гомополимера поли (метакрилоилоксиэтилтриметиламмонийхлорида) в виде 50%-ной дисперсии в минеральном масле, сшитого сополимера акриламида с метакрилоилоксиэтилтриметиламмонийхлоридом (в массовой соотношении 20:80) в виде 50%-ной дисперсии в минеральном масле, сополимера метакрилоилоксиэтилтриметиламмонийметосульфата с метакрилоилоксиэтилдиметилацетиламмонийметосульфатом. 13. Композиция по одному из пп.1 – 9, отличающаяся тем, что субстантивные полимеры типа полимера винилпирролидона с катионными звеньями выбирают из следующих соединений: а) полимеры винилпирролидона, включающие звенья диметиламиноэтилметакрилата; б) полимеры винилпирролидона, включающие звенья метакриламидопропилтриметиламмония; в) полимеры винилпирролидона, включающие звенья метилвинилимидазолия. 14. Композиция по одному из пп.1 и 10 – 13, отличающаяся тем, что субстантивный полимер или субстантивные полимеры (ii) составляют 0,01 – 10 мас. %, в расчете на общую массу композиция. 15. Композиция по п.14, отличающаяся тем, что субстантивный полимер или субстантивные полимеры (ii) составляют 0,1 – 5 мас.%, в расчете на общую массу композиции. 16. Композиция по одному из пп.1 – 15, отличающаяся тем, что подходящая для окраски среда (или основа) образована водой или смесью воды по крайней мере с одним органическим растворителем. 17. Композиция по одному из пп.1 – 16, отличающаяся тем, что она имеет значение pH, составляющее 2 – 11 и предпочтительно 5 – 10. 18. Композиция по одному из пп.1 – 17, отличающаяся тем, что она предназначена для окислительной окраски и содержит одну или несколько окисляющих основ, выбираемых из парафенилендиаминов, бисфенилалкилендиаминов, пара – аминофенолов, орто-аминофенолов и гетероциклических оснований. 19. Композиция по п. 18, отличающаяся тем, что окисляющая основа или окисляющие основы составляют 0,0005 – 12 мас.%, в расчете на общую массу красящей композиции. 20. Композиция по п. 19, отличающаяся тем, что окисляющая основа или окисляющиеся основы составляют 0,005 – 6 мас.%, в расчете на общую массу красящей композиции. 21. Композиция по одному из пп.18 – 20, отличающаяся тем, что она включает один или несколько краскообразующих компонентов, выбираемых из метафенилендиаминов, мета- аминофенолов, метадифенолов и гетероциклических краскообразующих компонентов. 22. Композиция по п.21, отличающаяся тем, что краскообразующий компонент или краскообразующие компоненты составляют 0,0001 – 10 мас.%, в расчете на общую массу красящей композиции. 23. Композиция по п.22, отличающаяся тем, что краскообразующий компонент или краскообразующие компоненты составляют 0,005 – 5 мас.%, в расчете на общую массу красящей композиции. 24. Композиция по одному из пп.1 – 23, отличающаяся тем, что она предназначена для окислительной окраски или прямой осветляющей окраски и включает по крайней мере один окислитель. 25. Способ окраски кератиновых волокон и, в частности, кератиновых волокон человека, таких, как волосы, отличающийся тем, что на волокна наносят по крайней мере одну красящую композицию по одному из пп.1 – 24 на время, достаточное для проявления желательной окраски, после чего волокна ополаскивают, в случае необходимости моют шампунем, снова ополаскивают и высушивают. 26. Способ окраски кератиновых волокон и, в частности, кератиновых волокон человека, таких, как волосы, отличающийся тем, что на волокна наносят по крайней мере одну красящую композицию по одному из пп.1 – 24 на время, достаточное для проявления желательной окраски, без заключительного ополаскивания. 27. Способ окраски кератиновых волокон и, в частности, кератиновых волокон человека, таких, как волосы, отличающийся тем, что он включает предварительный этап, заключающийся в хранении в отдельной форме, с одной стороны, композиции (А1), заключающей, в подходящей для окраски среде, по крайней мере один прямой катионный краситель (i), такой, как указано в предыдущих пунктах, и по крайней мере одну окисляющуюся основу, и, с другой стороны, композиция (Б1), включающей, в подходящей для окраски среде, по крайней мере один окислитель, затем в осуществлении их смешения в момент употребления перед нанесением этой смеси на кератиновые волокна, причем композиция (A1) или композиция (Б1) содержит субстантивный полимер (ii), такой, как указано в предыдущих пунктах. 28. Способ окраски кератиновых волокон человека, таких, как волосы, отличающийся тем, что он включает предварительный этап, заключающийся в хранении в отдельной форме, с одной стороны, композиции (А2), включающей, в подходящей для окраски среде, по крайней мере один прямой катионный краситель (i), такой, как указано в предыдущих пунктах, и, с другой стороны, композиции (Б2), включающей, в подходящей для окраски среде, по крайней мере один окислитель, затем в осуществлении их смешения в момент употребления перед нанесением этой смеси на кератиновые волокна, причем композиция (А2) или композиция (Б2) содержит субстантивный полимер (ii), такой, как указано в предыдущих пунктах. 29. Набор для окраски с несколькими отделениями, отличающийся тем, что первое отделение содержит композицию (А1) или (А2), такую, как указано в п. 27 или 28, и второе отделение содержит композицию (Б1) или (Б2), такую, как указано в п.27, или 28. MM4A – Досрочное прекращение действия патента СССР или патента Российской Федерации на изобретение из-за неуплаты в установленный срок пошлины за поддержание патента в силе
Дата прекращения действия патента: 06.04.2009
Извещение опубликовано: 20.07.2010 БИ: 20/2010
|
||||||||||||||||||||||||||












– гидроксиэтиламино-2-метилфенол – 0,125 г

























































