|
|
(21), (22) Заявка: 2005126961/13, 02.05.2003
(24) Дата начала отсчета срока действия патента:
02.05.2003
(30) Конвенционный приоритет:
27.01.2003 (пп.1-44) GB 0301869.4
(43) Дата публикации заявки: 10.05.2006
(46) Опубликовано: 27.03.2008
(56) Список документов, цитированных в отчете о поиске:
US 6472006 B1, 29.10.2002. EP 0403030 A, 19.12.1990. US 3388085 A, 11.06.1968. EP 1051903 A, 15.11.2000. WO 0114466 A, 01.03.2001. EP 0679337 A, 02.11.1995. US 3000748 A, 19.09.1961. US 4585658 A, 29.04.1986. US 4576646 A, 18.03.1986.
(85) Дата перевода заявки PCT на национальную фазу:
29.08.2005
(86) Заявка PCT:
IB 03/02500 (02.05.2003)
(87) Публикация PCT:
WO 2004/066760 (12.08.2004)
Адрес для переписки:
101000, Москва, М.Златоустинский пер., 10, кв.15, пат.пов. И.А.Веселицкой, рег. № 11
|
(72) Автор(ы):
НАЙЛЬСЕН Йенс Могенс (DK), ХЕЭГ Ларс (DK)
(73) Патентообладатель(и):
ДАНИСКО А/С (DK)
|
(54) ПИЩЕВОЙ ПРОДУКТ И СПОСОБ ЕГО ПОЛУЧЕНИЯ
(57) Реферат:
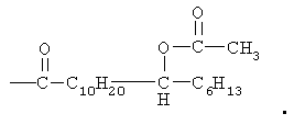
Пищевой продукт включает первый пищевой материал и второй пищевой материал, в котором на первый пищевой материал нанесено покрытие из композиции, включающей: i) воск в количестве от 2 до 50 мас.% в пересчете на композицию, ii) соединение в количестве от 50 до 98 мас.% в пересчете на композицию, обладающее формулой
,
в которой t обозначает целое число, в которой каждый из R1, R2 и R3 независимо выбраны из группы, включающей ацильную группу и атом водорода, в которой по меньшей мере один из R1, R2 и R3 обозначает Н или короткую ацильную группу, содержащую от 2 до 6 атомов углерода, в которой по крайней мере один из R1, R2 и R3 обозначает длинную ацильную группу, включающую насыщенную цепь, содержащую от 10 до 20 атомов углерода, такой, что композиция предотвращает или уменьшает перемещение воды из одного пищевого материала в другой. В результате качество, стабильность и органолептические характеристики пищевых продуктов не ухудшаются. 2 н. и 42 з.п. ф-лы, 2 ил.
Настоящее изобретение относится к соединению. В частности, настоящее изобретение относится к композиции, которая может выступать в качестве барьера для воды и влаги, в особенности при использовании в качестве покрытия пищевых продуктов.
В соответствии с обсуждением, проведенным в US 6472006, для многих пищевых продуктов необходимо поддерживать постоянную влажность, если необходимо, чтобы продукт обладал оптимальными органолептическими характеристиками, качеством и вкусом. Перемещение влаги в готовых пищевых продуктах может значительно ухудшить качество, стабильность и органолептические характеристики. Кроме того, многие ухудшающие качество химические и ферментативные реакции протекают со скоростями, частично зависящими от влажности пищевых продуктов. Чрезмерно высокие скорости таких реакций могут способствовать неблагоприятным изменениям вкуса, цвета, текстуры и питательной ценности пищевых продуктов.
В многокомпонентных продуктах, особенно в обладающих компонентами с разной влажностью и активностью воды (например, в расфасованных сыре и крекерах или в расфасованных бубликах и сырном креме), влага может перемещаться между соседними компонентами, меняя свойства компонента и его органолептические характеристики. Наряду с ухудшением качества готовых пищевых продуктов перемещение влаги может помешать изготовлению и распространению пищевых продуктов. Так, например, сыр в содержащих сыр крекерах может высохнуть и одновременно крекеры могут потерять хрусткость.
Один способ предотвращения перемещения влаги в пищевых продуктах включает нанесение на одну или большее количество поверхностей пищевого продукта съедобного влагозащитного барьера. Такие барьеры должны обладать низкой влагопроницаемостью, чтобы предотвратить перемещение воды между участками с различной активностью воды. Кроме того, барьер должен полностью закрывать поверхность пищевого продукта, включая трещины, и хорошо прилипать к поверхности пищевого продукта. Влагозащитный барьер должен быть достаточно прочным, мягким и эластичным, чтобы образовывать сплошную поверхность, которая не будет растрескиваться при обращении и в то же время будет легко разрываться во время потребления. Кроме того, органолептические характеристики вкуса, послеквкусия и разжевывания барьерной пленки должны быть незаметными, так чтобы потребитель не замечал барьера при потреблении пищевого продукта. Наконец, влагозащитный барьер должен быть легким в изготовлении и легким в применении.
Поскольку липиды, такие как, например, масла, жиры и воски, состоят из липофильных, или нерастворимых в воде молекул, способных образовывать водонепроницаемую структуру, исследовано их применение во влагонепроницаемых пленках. В отношение маслянистых веществ (т.е. жиров, масел, сложных полиэфиров сахарозы и т.п.) и/или других пленкообразующих липидов, считают, что барьер неэффективен, если только не используются нежелательно толстые покрытия. При использовании в качестве влагонепроницаемых барьеров восковые барьеры обладают тем недостатком, что они склонны трескаться при обращении или при изменениях температуры. В данной области техники предлагали использовать восковые барьеры, например, Greener et al., 34-38, Lipid Technology, March-April 1992. Однако эти раскрытые ранее смеси также склонны растрескиваться, как и чистые воска, такие как пчелиный воск.
Настоящее изобретение облегчает решение задач предшествующего уровня техники.
Объекты настоящего изобретения определены в прилагаемой формуле изобретения.
В одном варианте выполнения настоящее изобретение относится к композиции, включающей i) воск в количестве от 10 до 40 мас.% в пересчете на композицию, ii) соединение в количестве от 60 до 90 мас.% в пересчете на композицию, обладающее формулой

в которой t обозначает целое число, в которой все R1, R2 и R3 независимо выбраны из группы, включающей ацильную группу и атом водорода, в которой не менее чем один из R1, R2 и R3 обозначает Н или ацильную группу (короткую ацильную группу), содержащую от 2 до 6 атомов углерода, в которой не менее чем один из R1, R2 и R3 обозначает необязательно обладающую разветвленной цепью ацильную группу (длинную ацильную группу), включающую насыщенную цепь, содержащую от 10 до 20 атомов углерода и необязательно гидрофильную боковую группу.
В одном варианте выполнения настоящее изобретение относится к пищевым продуктам с покрытием, включающим (а) пищевой продукт-основу, (б) покрытие, включающее композицию, определенную в настоящем изобретении.
В одном варианте выполнения настоящее изобретение относится к способу получения пищевых продуктов с покрытием, включающему нанесение на пищевой продукт покрытия из композиции, определенной в настоящем изобретении.
В одном варианте выполнения настоящее изобретение относится к способу получения композиции для покрытия, способ включает стадию введения во взаимодействие i) воска в количестве от 2 до 50 мас.% в пересчете на композицию; и ii) соединения в количестве от 50 до 98 мас.% в пересчете на композицию, обладающего формулой

в которой t обозначает целое число, в которой все R1, R2 и R3 независимо выбраны из группы, включающей ацильную группу и атом водорода, в которой не менее чем один из R1, R2 и R3 обозначает Н или ацильную группу (короткую ацильную группу), содержащую от 2 до 6 атомов углерода, в которой не менее чем один из R1, R2 и R3 обозначает необязательно обладающую разветвленной цепью ацильную группу (длинную ацильную группу), включающую насыщенную цепь, содержащую от 10 до 20 атомов углерода и необязательно гидрофильную боковую группу.
В одном варианте выполнения настоящее изобретение относится к набору, включающему i) воск; и
ii) соединение, обладающее формулой

в которой t обозначает целое число, в которой все R1, R2 и R3 независимо выбраны из группы, включающей ацильную группу и атом водорода, в которой не менее чем один из R1, R2 и R3 обозначает Н или ацильную группу (короткую ацильную группу), содержащую от 2 до 6 атомов углерода, в которой не менее чем один из R1, R2 и R3 обозначает необязательно обладающую разветвленной цепью ацильную группу (длинную ацильную группу), включающую насыщенную цепь, содержащую от 10 до 20 атомов углерода и необязательно гидрофильную боковую группу; где набор составлен так, чтобы он содержал воск в количестве, составляющем от 2 до 50 мас.% в пересчете на композицию, и соединение в количестве, составляющем от 50 до 98 мас.% в пересчете на композицию.
В одном варианте выполнения настоящее изобретение относится применению композиции для предотвращения и/или уменьшения перемещения воды в материал или из него, в котором композиция включает i) воск в количестве от 2 до 50 мас.% в пересчете на композицию; и ii) соединение в количестве от 50 до 98 мас.% в пересчете на композицию, обладающее формулой

в которой t обозначает целое число, в которой все R1, R2 и R3 независимо выбраны из группы, включающей ацильную группу и атом водорода, в которой не менее чем один из R1, R2 и R3 обозначает Н или ацильную группу (короткую ацильную группу), содержащую от 2 до 6 атомов углерода, в которой не менее чем один из R1, R2 и R3 обозначает необязательно обладающую разветвленной цепью ацильную группу (длинную ацильную группу), включающую насыщенную цепь, содержащую от 10 до 20 атомов углерода и необязательно гидрофильную боковую группу.
НЕКОТОРЫЕ ПРЕИМУЩЕСТВА
Согласно изобретению мы обнаружили, что в результате смешивания воска в количестве от 10 до 40 мас.% с описанным выше соединением, например, сложным эфиром уксусной кислоты GRINDSTEDRTM АСЕТЕМ, выпускающимся фирмой Danisco A/S, находящейся по адресу: Brabrand, Denmark, можно наблюдать превосходные характеристики влагонепроницаемости. Предполагается, что при смешивании с воском указанное выше соединение действует как пластификатор. Воск является исключительно эффективным для предотвращения перемещения воды, если восковая пленка или покрытие является однородным и неразрушенным. Однако типичные воски являются очень хрупкими и в них легко образуются трещины и точечные отверстия, что приводит к потере барьерной способности. Согласно изобретению мы обнаружили, что прибавление до 90% определенного выше соединения чрезвычайно улучшает текстуру воска без изменения его превосходной способности препятствовать перемещению воды.
Как будет описано ниже в разделе примеров, измерение коэффициента проницаемости (значения Р) показывает, что чистый воск, такой как пчелиный воск, обладает значением Р, меньшим 15 при 5°С, а чистый сложный эфир уксусной кислоты GRINDSTEDRTM АСЕТЕМ – значением, равным примерно 750. Смесь 80% сложного эфира уксусной кислоты GRINDSTEDRTM АСЕТЕМ с 20% пчелиного воска обладает значением Р, равным 27 (единица измерения = мг·мкм/м2·мм рт.ст.·мин).
ПРЕДПОЧТИТЕЛЬНЫЕ ВАРИАНТЫ ВЫПОЛНЕНИЯ ИЗОБРЕТЕНИЯ
ВОСК
В одном предпочтительном варианте выполнения воск выбран из группы, включающей пчелиный воск, канделильский воск, карнаубский воск, воск хохобы, воск жировых тканей кита, парафиновый воск, минеральный воск и микрокристаллический воск.
В одном весьма предпочтительном варианте выполнения воск представляет собой пчелиный воск.
Воск может быть дезодорирован и/или рафинирован.
СОЕДИНЕНИЕ
В одном предпочтительном варианте выполнения t равно от 1 до 10.
В одном предпочтительном варианте выполнения t равно от 1 до 5.
В одном предпочтительном варианте выполнения t равно 1 или 2.
В одном предпочтительном варианте выполнения соединение обладает формулой

В одном предпочтительном варианте выполнения не менее чем один из R1, R2 и R3 обозначает ацильную группу (короткую ацильную группу), содержащую от 2 до 6 атомов углерода.
Предпочтительно, чтобы 2 из R1, R2 и R3 являлись короткими ацильными группами, описанными выше, а оставшийся из R1, R2 и R3 являлся длинной ацильной группой, описанной выше. В этом варианте выполнения соединение может обладать формулой

В одном предпочтительном варианте выполнения не менее чем один из R1, R2 и R3 обозначает Н и не менее, чем один из R1, R2 и R3 обозначает ацильную группу (длинную ацильную группу), включающую насыщенную цепь, содержащую от 10 до 20 атомов углерода.
В предпочтительном варианте выполнения настоящего изобретения цепь длинной ацильной группы представляет собой цепь, содержащую от 14 до 20 атомов углерода, предпочтительно, если цепь длинной ацильной группы представляет собой цепь, содержащую от 16 до 20 атомов углерода.
В предпочтительном варианте выполнения настоящего изобретения цепь длинной ацильной группы представляет собой насыщенную цепь, содержащую от 14 до 20 атомов углерода. В более предпочтительном варианте выполнения цепь длинной ацильной группы представляет собой насыщенную цепь, содержащую от 16 до 20 атомов углерода.
В предпочтительном варианте выполнения настоящего изобретения короткая ацильная группа представляет собой ацильную группу, содержащую от 2 до 5 атомов углерода. В более предпочтительном варианте выполнения короткая ацильная группа представляет собой ацильную группу, содержащую 2 атомов углерода. Короткая ацильная группа предпочтительно обладает формулой

В некоторых вариантах выполнения предпочтительно, чтобы короткие ацильные группы содержались в максимальном количестве по сравнению с полным количеством глицерина и его сложных эфиров, содержащихся в композиции. Предпочтительно, чтобы короткие ацильные группы содержались в количестве, в среднем составляющем не более 2 моль/моль глицерина и его сложных эфиров, содержащихся в композиции.
В некоторых вариантах выполнения предпочтительно, чтобы длинные ацильные группы содержались в минимальном количестве по сравнению с полным количеством глицерина и его сложных эфиров, содержащихся в композиции. Предпочтительно, чтобы длинные ацильные группы содержались в количестве, в среднем составляющем не менее 0,4 моль, предпочтительно – от 0,9 до 2 моль, более предпочтительно – от 0,9 до 1 моль/моль глицерина и его сложных эфиров, содержащихся в композиции.
Также может быть предпочтительно, чтобы большая часть глицерина, содержащегося в композиции, была полностью ацилирована. Соответственно, в предпочтительном варианте выполнения полное количество ацильных групп в среднем составляет 0,8 до 3,0 моль/моль глицерина и его сложных эфиров.
НЕРАЗВЕТВЛЕННАЯ
В предпочтительном варианте выполнения настоящего изобретения не менее чем один из R1, R2 и R3 обозначает неразветвленную ацильную группу.
В предпочтительном варианте выполнения настоящего изобретения не менее чем один из R1, R2 и R3 обозначает ацильную группу с разветвленной цепью (длинную ацильную группу), включающую насыщенную цепь, содержащую от 10 до 20 атомов углерода.
В предпочтительном варианте выполнения настоящего изобретения длинная ацильная группа или каждая такая группа является неразветвленной.
В предпочтительном варианте выполнения настоящего изобретения все R1, R2 и R3 независимо выбраны из группы, включающей ацильную группу и атом водорода, в которой не менее чем один из R1, R2 и R3 обозначает Н или ацильную группу (короткую ацильную группу), содержащую от 2 до 6 атомов углерода, в которой не менее, чем один из R1, R2 и R3 обозначает неразветвленную ацильную группу (длинную ацильную группу), включающую насыщенную цепь, содержащую от 10 до 20 атомов углерода.
РАЗВЕТВЛЕННАЯ
В одном варианте выполнения настоящего изобретения не менее чем один из R1, R2 и R3 обозначает ацильную группу с разветвленной цепью (длинную ацильную группу).
В одном варианте выполнения настоящего изобретения не менее чем один из R1, R2 и R3 обозначает ацильную группу с разветвленной цепью (длинную ацильную группу), включающую насыщенную цепь, содержащую от 10 до 20 атомов углерода, и гидрофильную боковую группу.
В одном варианте выполнения настоящего изобретения не менее чем один из R1, R2 и R3 обозначает ацильную группу с разветвленной цепью (длинную ацильную группу), включающую насыщенную цепь, содержащую от 10 до 20 атомов углерода, и гидрофильную боковую группу.
В одном варианте выполнения все R1, R2 и R3 независимо выбраны из группы, включающей ацильную группу и атом водорода, в которой не менее чем один из R1, R2 и R3 обозначает ацильную группу (короткую ацильную группу), содержащую от 2 до 6 атомов углерода, в которой не менее чем один из R1, R2 и R3 обозначает необязательно обладающую разветвленной цепью ацильную группу (длинную ацильную группу), включающую насыщенную цепь, содержащую от 10 до 20 атомов углерода и необязательно гидрофильную боковую группу.
В WO 01/14466 описана термопластичная полимерная композиция, содержащая соединение, обладающее формулой

в которой R1, R2 и R3 независимо выбраны из группы, включающей ацильную группу и атом водорода, в которой не менее чем один из R1, R2 и R3 обозначает ацильную группу (короткую ацильную группу), содержащую от 2 до 6 атомов углерода, в которой не менее чем один из R1, R2 и R3 обозначает ацильную группу с разветвленной цепью (длинную ацильную группу), включающую насыщенную цепь, содержащую от 10 до 20 атомов углерода, и гидрофильную боковую группу. Соединение, предлагаемое в настоящем изобретении, может быть таким, как описано в WO 01/14466, или может быть получено в соответствии с описанием, приведенным в WO 01/14466.
Гидрофильная боковая группа может быть группой, выбранной из группы, включающей ацил и его производные. Предпочтительные производные включают группы формулы -O-ацил.
Гидрофильная боковая группа может быть группой формулы

в которой p равно от 0 до 4 или от 0 до 3.
Длинная ацильная группа может обладать формулой

в которой n равно от 10 до 20 и m равно 2n и в которой p равно от 0 до 4 или от 0 до 3.
В одном варианте выполнения n равно от 16 до 20, от 16 до 18 или 17.
Группа CnHm может быть углеводородной группой с линейной цепью.
В одном варианте выполнения длинная ацильная группа является группой формулы

в которой x равно от 7 до 10, например, x равно 10 и у равно 2х и в которой p равно от 0 до 4 или от 0 до 3, например, p равно 0.
Группа CxHy может быть углеводородной группой с линейной цепью.
Длинная ацильная группа может быть группой формулы

Короткая ацильная группа и гидрофильная боковая группа могут содержать одинаковое количество атомов углерода. Гидрофильная боковая группа может быть группой формулы

и короткая ацильная группа может обладать формулой

в которой p=q и равно от 0 до 4 или от 0 до 3.
СПОСОБ
Соединение, предлагаемое в настоящем изобретении, можно получить взаимной этерификацией глицерина и одного или большего количества натуральных масел, включая натуральные масла и отвержденные натуральные масла, с последующим ацилированием. Таким образом, соединение, предлагаемое в настоящем изобретении, может являться продуктом двухстадийного способа, включающего (i) взаимную этерификацию глицерина и масла, выбранного из группы, включающей касторовое масло, включая отвержденное касторовое масло, неотвержденное касторовое масло и их смеси, и (ii) ацилирование.
Типичные виды масла-сырья для описанного выше способа включает полностью гидрированные, частично гидрированные и негидрированные масла и жиры, включая пальмовое масло, соевое масло, рапсовое масло, рапсовое масло с большим содержанием эруковой кислоты, подсолнечное масло, сафлоровое масло, кукурузное масло, хлопковое масло, лярд, твердый животный жир, пальмоядровое масло, кокосовое масло, арахисовое масло, касторовое масло и их фракции.
Соединение, предлагаемое в настоящем изобретении, можно получить из одной или большего количества соответствующих жирных кислот вместо масла или жира, содержащего одну или большее количество жирных кислот. Жирные кислоты, пригодные для применения при получении соединений, включают лауриновую кислоту, пальмитиновую кислоту, стеариновую кислоту, олеиновую кислоту, линолевую кислоту, линоленовую кислоту, бегеновую кислоту, эруковую кислоту, элаидиновую кислоту и гидроксикислоты, такие как 12-гидроксиолеиновую кислоту и 12-гидроксистеариновую кислоту.
В способе, предлагаемом в настоящем изобретении, можно применять, например, касторовое масло или отвержденное касторовое масло. Соединение, предлагаемое в настоящем изобретении, можно получить из отвержденного касторового масла. Типичное содержание жирных кислот в касторовом масле и отвержденном касторовом масле приведено ниже
| Касторовое масло |
Содержание [%] |
Отвержденное касторовое масло |
| Жирная кислота |
Жирная кислота |
Содержание [%] |
| Пальмитиновая (С16) |
1,0 |
Пальмитиновая (С16) |
1,3 |
| Стеариновая (С18) |
1,1 |
Стеариновая (С18) |
9,3 |
| Олеиновая (С18:1) |
3,8 |
Олеиновая (С18:1) |
0.9 |
| Линолевая (С18:2) |
4,4 |
Линолевая (С18:2) |
0,2 |
| Линоленовая (С18:3) |
0,5 |
Арахидиновая (С20) |
0,7 |
| Гадолеиновая (С20:1) |
0,5 |
Рицинолеиновая (С18:1-ОН) |
84,9 |
| Рицинолеиновая (С18:1-ОН) |
87,4 |
|
|
Обозначения в скобках имеют вид Схх:у, где хх обозначает количество атомов углерода в жирной кислоте и у обозначает количество двойных связей. Твердая рицинолеиновая кислота (также известная под названием 12-гидроксистеариновой кислоты) содержит гидроксигруппу (ОН) у 12-го атома углерода.
Особенно предпочтительные соединения, предлагаемые в настоящем изобретении, указаны ниже со ссылкой на следующую формулу:

Соединения от 1 до 42 основаны на дистиллированных моноглицеридах. Особенно предпочтительными являются соединения от 1 до 12. Соединения от 43 до 70 основаны на диглицеридах. В каждом из приведенных ниже соединений цепь может быть насыщенной, цис-ненасыщенной или транс-ненасыщенной. Особенно предпочтительно, чтобы цепи были насыщенными.
| Соединение |
Длина цепи (включая группу С=O) |
| R1 |
R2 |
R3 |
| 1 |
18 |
2 |
2 |
| 2 |
18 |
Н |
2 |
| 3 |
18 |
2 |
Н |
| 4 |
2 |
18 |
2 |
| 5 |
Н |
18 |
2 |
| 6 |
2 |
18 |
Н |
| 7 |
16 |
2 |
2 |
| 8 |
16 |
Н |
2 |
| 9 |
16 |
2 |
Н |
| 10 |
2 |
16 |
2 |
| 11 |
Н |
16 |
2 |
| 12 |
2 |
16 |
Н |
| 13 |
14 |
2 |
2 |
| 14 |
14 |
Н |
2 |
| 15 |
14 |
2 |
Н |
| 16 |
2 |
14 |
2 |
| 17 |
Н |
14 |
2 |
| 18 |
2 |
14 |
Н |
| 19 |
12 |
2 |
2 |
| 20 |
12 |
Н |
2 |
| 21 |
12 |
2 |
Н |
| 22 |
2 |
12 |
2 |
| 23 |
Н |
12 |
2 |
| 24 |
2 |
12 |
Н |
| 25 |
10 |
2 |
2 |
| 26 |
10 |
Н |
2 |
| 27 |
10 |
2 |
Н |
| 28 |
2 |
10 |
2 |
| 29 |
Н |
10 |
2 |
| 30 |
2 |
10 |
Н |
| 31 |
8 |
2 |
2 |
| 32 |
8 |
Н |
2 |
| 33 |
8 |
2 |
Н |
| 34 |
2 |
8 |
2 |
| 35 |
Н |
8 |
2 |
| 36 |
2 |
8 |
Н |
| 37 |
22 |
2 |
2 |
| 38 |
22 |
Н |
2 |
| 39 |
22 |
2 |
Н |
| 40 |
2 |
22 |
2 |
| 41 |
Н |
22 |
2 |
| 42 |
2 |
22 |
Н |
| 43 |
18 |
18 |
2 |
| 44 |
18 |
18 |
Н |
| 45 |
18 |
2 |
18 |
| 46 |
18 |
Н |
18 |
| 47 |
16 |
16 |
2 |
| 48 |
16 |
16 |
Н |
| 49 |
16 |
2 |
16 |
| 50 |
16 |
Н |
16 |
| 51 |
14 |
14 |
2 |
| 52 |
14 |
14 |
Н |
| 53 |
14 |
2 |
14 |
| 54 |
14 |
Н |
14 |
| 55 |
12 |
12 |
2 |
| 56 |
12 |
12 |
Н |
| 57 |
12 |
2 |
12 |
| 58 |
12 |
Н |
12 |
| 59 |
10 |
10 |
2 |
| 60 |
10 |
10 |
Н |
| 61 |
10 |
2 |
10 |
| 62 |
10 |
Н |
10 |
| 63 |
8 |
8 |
2 |
| 64 |
8 |
8 |
Н |
| 65 |
8 |
2 |
8 |
| 66 |
8 |
Н |
8 |
| 67 |
22 |
22 |
2 |
| 68 |
22 |
22 |
Н |
| 69 |
22 |
2 |
22 |
| 70 |
22 |
Н |
22 |
КОМПОЗИЦИЯ
В предпочтительном варианте выполнения настоящего изобретения воск содержится в количестве, составляющем от 2 до 40 мас.% в пересчете на композицию, предпочтительно – в количестве, составляющем от 5 до 40 мас.% в пересчете на композицию, предпочтительно – в количестве, составляющем от 10 до 40 мас.% в пересчете на композицию, предпочтительно – в количестве, составляющем от 10 до 30 мас.% в пересчете на композицию, предпочтительно – в количестве, составляющем от 15 до 25 мас.% в пересчете на композицию, более предпочтительно – в количестве, составляющем примерно 20 мас.% в пересчете на композицию.
В одном предпочтительном варианте выполнения настоящего изобретения воск содержится в количестве, составляющем от 5 до 50 мас.% в пересчете на композицию, предпочтительно – в количестве, составляющем от 10 до 50 мас.% в пересчете на композицию.
В предпочтительном варианте выполнения настоящего изобретения соединение, определенное в настоящем изобретении, содержится в количестве, составляющем от 60 до 98 мас.% в пересчете на композицию, предпочтительно – в количестве, составляющем от 60 до 95 мас.% в пересчете на композицию, предпочтительно – в количестве, составляющем от 60 до 90 мас.% в пересчете на композицию, предпочтительно – в количестве, составляющем от 70 до 90 мас.% в пересчете на композицию, предпочтительно – в количестве, составляющем от 75 до 85 мас.% в пересчете на композицию, более предпочтительно – в количестве, составляющем примерно 80 мас.% в пересчете на композицию.
В одном предпочтительном варианте выполнения настоящего изобретения соединение содержится в количестве, составляющем от 50 до 95 мас.% в пересчете на композицию, предпочтительно – в количестве, составляющем от 50 до 90 мас.% в пересчете на композицию.
Композиция, предлагаемая в настоящем изобретении, в дополнение к воску и соединению, описанному в настоящем изобретении, может содержать один или большее количество компонентов. Эти дополнительные компоненты обычно называются вспомогательными веществами. В предпочтительном варианте выполнения настоящего изобретения композиция дополнительно включает вещество, выбранное из группы, включающей ионогенные эмульгаторы и сложные эфиры сорбита. Предпочтительное вспомогательное вещество выбрано из группы, включающей сложные эфиры лимонной кислоты, диацетилированные моноглицеридные сложные эфиры виннокаменной кислоты, сложные эфиры сорбита и лецитин.
Согласно изобретению мы неожиданно обнаружили, что, если композиция, предлагаемая в настоящем изобретении, содержит вспомогательное вещество, выбранное из группы, включающей ионогенные эмульгаторы и сложные эфиры сорбита (такие как сложные эфиры лимонной кислоты, диацетилированные моноглицеридные сложные эфиры виннокаменной кислоты, сложные эфиры сорбита и лецитин), то необязательно, чтобы воск содержался в количестве, составляющем от 10 до 40 мас.%, соединение содержалось в количестве, составляющем от 60 до 90 мас.%. Эластичность композиции, содержащей вспомогательное вещество, когда ее применяют в качестве покрытия, в широком диапазоне содержания воска и соединения может быть достаточной для обеспечения необходимых барьерных характеристик и при отсутствии отверстий и трещин в барьере. Таким образом, в другом варианте выполнения настоящее изобретение относится к композиции, включающей i) воск, ii) соединение, обладающее формулой

в которой t обозначает целое число, в которой все R1, R2 и R3 независимо выбраны из группы, включающей ацильную группу и атом водорода, в которой не менее чем один из R1, R2 и R3 обозначает Н или ацильную группу (короткую ацильную группу), содержащую от 2 до 6 атомов углерода, в которой не менее чем один из R1, R2 и R3 обозначает необязательно обладающую разветвленной цепью ацильную группу (длинную ацильную группу), включающую насыщенную цепь, содержащую от 10 до 20 атомов углерода и необязательно гидрофильную боковую группу, и iii) вспомогательное вещество, выбранное из группы, включающей ионогенные эмульгаторы и сложные эфиры сорбита (такие как эмульгатор, выбранный из группы, включающей сложные эфиры лимонной кислоты, диацетилированные моноглицеридные сложные эфиры виннокаменной кислоты, сложные эфиры сорбита и лецитин).
В предпочтительном варианте выполнения настоящего изобретения вспомогательное вещество содержится в количестве, составляющем от 0,1 до 1,0 мас.% в пересчете на композицию, предпочтительно – в количестве, составляющем от 0,25 до 0,75 мас.% в пересчете на композицию, более предпочтительно – в количестве, составляющем от 0,4 до 0,6 мас.% в пересчете на композицию, более предпочтительно – содержится в количестве, составляющем примерно 0,5 мас.% в пересчете на композицию.
Композицию можно получить по любой подходящей технологии. Специалист в данной области техники должен быть способен предоставить подходящие технологии для получения композиции, предлагаемой в настоящем изобретении.
В одном предпочтительном варианте выполнения настоящее изобретение осуществляется путем нагревания соединения (такого как АСЕТЕМ) до температуры, большей его температуры плавления, но меньшей температуры плавления воска, и введения соединения во взаимодействие с воском. Затем композицию можно нанести на пищевой продукт или дать ей охладиться.
Таким образом, другой вариант выполнения настоящего изобретения относится к способу получения композиции, включающей i) воск и ii) соединение, обладающее формулой

в которой t обозначает целое число; в которой все R1, R2 и R3 независимо выбраны из группы, включающей ацильную группу и атом водорода; в которой не менее чем один из R1, R2 и R3 обозначает Н или ацильную группу (короткую ацильную группу), содержащую от 2 до 6 атомов углерода; в которой не менее чем один из R1, R2 и R3 обозначает необязательно обладающую разветвленной цепью ацильную группу (длинную ацильную группу), включающую насыщенную цепь, содержащую от 10 до 20 атомов углерода и необязательно гидрофильную боковую группу;
способ включает стадии
(а) нагревания соединения до температуры, большей его температуры плавления, но меньшей температуры плавления воска, и
(б) введения соединения во взаимодействие с воском.
Предпочтительно, чтобы воск содержался в количестве, составляющем от 2 до 50 мас.% в пересчете на композицию
Предпочтительно, чтобы соединение содержалось в количестве, составляющем от 50 до 98 мас.% в пересчете на композицию
В одном варианте выполнения композицию, полученную по указанному выше способу, можно подвергнуть размолу или микроразмолу. Однако, поскольку при кристаллизации композиции образуются мелкие кристаллы воска, размол или микроразмол не является необходимым.
В другом варианте выполнения композицию, предлагаемую в настоящем изобретении (независимо от способа ее получения), можно нагреть до температуры, большей температуры плавления соединения (такого как АСЕТЕМ), но меньшей температуры плавления воска, и затем нанести на пищевой продукт.
Если композицию получают путем нагревания или композицию нагревают до температуры, большей температуры плавления соединения (такого как АСЕТЕМ), но меньшей температуры плавления воска, она образует вязкую жидкую систему. Вязкая жидкая система способна впитывать и удерживать жидкое соединение внутри вязкой жидкой системы и тем самым предотвратить перемещение жидкой составной части в пищевой продукт, на который она наносится. Таким образом, композиция становится применимой в качестве термостабильной барьерной системы, в которой барьер можно нанести или наплавить на холодное или до средней степени остывшее пищевое изделие, на котором барьер закристаллизуется. При последующем нагревании барьерная система останется на пищевом изделии и не будет стекать с пищевого продукта или впитываться в него. В этих вариантах выполнения барьерная система может быть термостабильной вплоть до температуры, равной примерно 75-80°С, если выбрать высокоплавкие типы восков.
Согласно изобретению мы обнаружили, что композиция, предлагаемая в настоящем изобретении, если она получена указанным выше способом, обеспечивает не обычный, а высокоэффективный термостабильный барьер. “Термостабильная” означает барьерную систему, которую можно нагревать до повышенной температуры без потери функциональности во время последующего охлаждения. В частности, композиция, предлагаемая в настоящем изобретении, создает барьерную систему, которая остается в таком виде, в котором она была нанесена на пищевой продукт, без отекания с пищевого компонента и без впитывания в него при повышенной температуре. Предполагается, что это обусловлено сохранением внутренней структуры при повышенной температуре, что препятствует течению композиции/барьерной системы. Прочность этой внутренней структуры можно измерить как предел текучести. Как можно видеть из примеров 18А и 18В, при повышенной температуре внутреннюю структуру барьерной системы можно изменять и регулировать для получения барьерной системы, которую, в зависимости от состава барьерной системы, можно загустить до консистенции в диапазоне от жидкой пасты до густой пасты.
Термостабильность композиции/барьерной системы позволяет применять ее при изготовлении пищевых изделий, которые во время изготовления пищевых продуктов нагреваются или выпекаются и которым необходим барьер для перемещения воды. Термостабильность композиции/барьерной системы делает возможным нанесение барьера до проведения выпекания.
ПИЩЕВОЙ ПРОДУКТ
Как описано выше, в одном варианте выполнения настоящее изобретение относится к пищевым продуктам с покрытием, включающим (а) пищевой продукт-основу, (б) покрытие, включающее композицию, определенную в настоящем изобретении.
Пищевой продукт может быть выбран из группы, включающей кондитерские изделия, включая кондитерские изделия из сахара, шоколад, конфеты, такие как неглазированные конфеты с лакрицей и желе на водной основе, жевательную резинку, орехи; молочные продукты, включая сыр, взбитые десерты и мороженое; хлебобулочные изделия, замороженные или свежие и включающие хлеб, пиццу, бисквиты, крекеры, пирожные, пирожки; мясные продукты, включая колбасы, рыбу, ветчину, свинину и говядину, такие как куски свинины или говядины для жарения; свежие фрукты и сухофрукты; и закуски.
В одном предпочтительном варианте выполнения пищевой продукт включает один или большее количество материалов, по меньшей мере на один из которых нанесено покрытие из композиции, предлагаемой в настоящем изобретении. Это является особым преимуществом, поскольку в таких случаях применения часто требуется смешать различные пищевые материалы, обладающие различной влажностью. Композиция, предлагаемая в настоящем изобретении, может предотвращать или уменьшать перемещение воды из одного пищевого материала в другой, что может привести к ухудшению качества пищевого продукта.
Пищевой продукт может содержать более одного слоя покрытия на данной поверхности, например, два слоя покрытия. Множество слоев покрытия может включать множество слоев покрытия, состоящих из композиции, предлагаемой в настоящем изобретении, или может включать слои, состоящие из композиции, предлагаемой в настоящем изобретении, совместно с одним или большим количеством слоев, не образованных из композиции, предлагаемой в настоящем изобретении.
В предпочтительном варианте выполнения на пищевой продукт сначала может быть нанесено покрытие из соединения, определенного в настоящем изобретении, а затем нанесено покрытие из композиции, определенной в настоящем изобретении. Таким образом, настоящее изобретение может привести к пищевому продукту, включающему (а) пищевой продукт-основу и первый материал покрытия, где первым материалом покрытия является соединение, определенное в настоящем изобретении, (б) второй материал покрытия, нанесенный на первый материал покрытия и включающий композицию, определенную в настоящем изобретении.
Согласно изобретению мы неожиданно обнаружили, что, если на пищевой продукт нанесено покрытие из системы, включающей не менее двух слоев, таких как описанные выше, то необязательно, чтобы воск содержался в количестве, составляющем от 10 до 40 мас.%, и соединение содержалось в количестве, составляющем от 60 до 90 мас.%. Эластичность композиции, когда ее применяют в качестве покрытия, в широком диапазоне содержания воска и соединения может быть достаточной для обеспечения необходимых барьерных характеристик и при отсутствии отверстий и трещин в барьере. Предполагается, что это обусловлено эластичностью первого материала покрытия, который уменьшает перемещение пищевого продукта-основы относительно второго материала покрытия. Следовательно, уменьшаются силы, действующие на второй материал покрытия. Таким образом, в другом варианте выполнения настоящее изобретение относится к пищевым продуктам с покрытием, включающим
(а) пищевой продукт-основу и первый материал покрытия, где первым материалом покрытия является соединение, обладающее формулой

в которой t обозначает целое число, в которой все R1, R2 и R3 независимо выбраны из группы, включающей ацильную группу и атом водорода, в которой не менее чем один из R1, R2 и R3 обозначает Н или ацильную группу (короткую ацильную группу), содержащую от 2 до 6 атомов углерода, в которой не менее чем один из R1, R2 и R3 обозначает необязательно обладающую разветвленной цепью ацильную группу (длинную ацильную группу), включающую насыщенную цепь, содержащую от 10 до 20 атомов углерода и необязательно гидрофильную боковую группу
(б) вторую композицию покрытия, нанесенную на первый материал покрытия,
где вторая композиция покрытия включает i) воск, ii) соединение, обладающее формулой

в которой t обозначает целое число, в которой все R1, R2 и R3 независимо выбраны из группы, включающей ацильную группу и атом водорода, в которой не менее чем один из R1, R2 и R3 обозначает Н или ацильную группу (короткую ацильную группу), содержащую от 2 до 6 атомов углерода, в которой не менее чем один из R1, R2 и R3 обозначает необязательно обладающую разветвленной цепью ацильную группу (длинную ацильную группу), включающую насыщенную цепь, содержащую от 10 до 20 атомов углерода и необязательно гидрофильную боковую группу.
Специалист в данной области техники должен понимать, что композиция, предлагаемая в настоящем изобретении, может быть использована для предотвращения проникновения воды в материал, такой как пищевой продукт, или может быть использована для удерживания воды в материале, таком как пищевой продукт. В одном варианте выполнения настоящего изобретения композицию, предлагаемую в настоящем изобретении, применяют для предотвращения проникновения воды в пищевой продукт, каковым пищевым продуктом является крекер.
В одном альтернативном варианте выполнения объекты настоящего изобретения можно использовать в покрытии или в качестве покрытия для медицинских препаратов, включая фармацевтические препараты и ветеринарные препараты.
Ниже настоящее изобретение будет описано более подробно в приведенных примерах.
ПРИМЕРЫ
Методика
Проницаемость для паров воды
Коэффициенты проницаемости для паров воды измеряли с помощью прибора для анализа сорбции паров SGA-100 Vapour Sorption Analyser, выпускающегося фирмой VTI Corporation, расположенной по адресу: 7650 West 26th Ave., Hialeah, FL 33016 USA. Алюминиевый цилиндр диаметром 2 см частично заполняли деионизованной и деаэрированной водой, оставляя над жидкостью пространство высотой 3-5 мм. Сверху на цилиндр помещали пленку, содержащую барьерную композицию. У цилиндра имелся небольшой фланец, к которому пленку герметично прикрепляли с помощью смазки для высокого вакуума, выпускающейся фирмой Dow Corning GmbH, расположенной по адресу: 65201 Wiesbaden, Germany. Можно использовать водные фазы, не являющиеся чистой водой. Чистая вода обеспечивает активность воды, равную 1 при любой температуре исследования. Применение растворов солей вместо воды снижает активность воды и путем изменения концентрации соли или типа соли в водной фазе можно обеспечить любую необходимую активность воды.
Цилиндр помещали во взвешивающую камеру прибора VTI, температуру и относительную влажность устанавливали в соответствии с условиями исследования и регистрировали потерю массы и проводили ее мониторинг во времени. Температуру исследования можно было менять в диапазоне 5-80°С и относительную влажность можно было устанавливать в диапазоне от 0 до 100%.
Пленку получали путем плавления барьерной композиции при 80°С и тщательного перемешивания всех ингредиентов с образованием однородной системы.
Небольшой (3×5 см) нейлоновый фильтр, не оказывающий сопротивление перемещению воды и испарению воды, помещали сверху на горячее предметное стекло микроскопа, на обоих концах которого находились штырьки. Высоту штырьков можно было менять. Горячую и расплавленную барьерную композицию осторожно наливали на фильтр сверху и на штырьки помещали второе горячее предметное стекло микроскопа и барьерной композиции давали охладиться и закристаллизоваться. После завершения кристаллизации стекла осторожно снимали и пленку переносили на алюминиевый цилиндр и герметично прикрепляли. Нейлоновый фильтр создавал опорную форму для барьерной композиции. Другим способом получения пленки являлось погружение нейлонового фильтра непосредственно в горячую и расплавленную барьерную композицию и ее выдерживание до кристаллизации перед герметичным прикреплением к алюминиевому цилиндру.
Мониторинг потери массы вследствие перемещения воды через пленку и последующего испарения воды продолжали в течение 5-600 мин.
Строили зависимость потери массы от времени, исключая первые 100 мин, которые в начале каждого исследования использовали для адаптации к конкретным условиям проведения измерений.
Определяли наклон полученной линии. Наклон определяется соотношением: (площадь, через которую переносится вода)×(разность давлений паров воды с двух сторон от пленки)×(отношение коэффициента проницаемости к толщине пленки). Толщину пленки после каждого эксперимента измеряли микрометром и использовали среднее значение 4 измерений. Площадь пленки рассчитывали по ее диаметру. Разность давлений паров воды регулировали путем изменения состава водной фазы в алюминиевом цилиндре и путем изменения относительной влажности во взвешивающей камере прибора VTI.
Если в цилиндре находится чистая вода, то пустое пространство над поверхностью воды обладает относительной влажностью, равной 100%. Тогда давление паров воды в пустом пространстве составляет 100% от давления насыщенного пара воды. Изменение относительной влажности во взвешивающей камере прибора VTI приводит к давлению паров воды, составляющему 15% от давления насыщенного пара воды при заданной температуре исследования.
Суммарная движущая сила перемещения воды и испарения из пленки в этом случае составляет 85% от давления насыщенного пара воды при температуре исследования.
От 10 до 15 пленок каждой барьерной композиции получали и анализировали так, как описано выше. Для всех образцов строили зависимость отношения коэффициента проницаемости к толщине пленки от обратного значения толщины пленки. Наклон этой линии равен коэффициенту проницаемости.
Пример 1
Дистиллированный моноглицерид, ацетилированный на 70% композицией жирных кислот, в основном состоящей из стеариновой кислоты и пальмитиновой кислоты, анализировали при 25°С при разности давлений паров воды, равной 20,2 мм рт.ст. Рассчитанный коэффициент проницаемости равен 995 мг·мм/(м2·мм рт.ст.·мин).
Пример 2
Дистиллированный моноглицерид, ацетилированный на 70% композицией жирных кислот, в основном состоящей из стеариновой кислоты и пальмитиновой кислоты, анализировали при 5°С при разности давлений паров воды, равной 5,5 мм рт.ст. Рассчитанный коэффициент проницаемости равен 721 мг·мм/(м2·мм рт.ст.·мин).
Пример 3
Белый пчелиный воск анализировали при 25°С при разности давлений паров воды, равной 20.2 мм рт.ст. Рассчитанный коэффициент проницаемости равен 14 мг·мм/(м2·мм рт.ст.·мин).
Пример 4
Дистиллированный моноглицерид, ацетилированный на 70% композицией жирных кислот, в основном состоящей из стеариновой кислоты и пальмитиновой кислоты, брали в количестве, равном 50% и нагревали до 80°С, 50% белого пчелиного воска прибавляли, расплавляли и тщательно смешивали с ацетилированным моноглицеридом путем перемешивания. Пленки получали так, как это описано выше, с использованием предметных стекол микроскопа. Коэффициент проницаемости измеряли и рассчитывали при 5°С и получали значение, равное 20 мг·мм/(м2·мм рт.ст.·мин).
Пример 5
Дистиллированный моноглицерид, ацетилированный более чем на 99% композицией жирных кислот, в основном состоящей из стеариновой кислоты и пальмитиновой кислоты, в соотношении 90-10 смешивали с белым пчелиным воском, как это описано в примере 4, и анализировали при 5°С. Рассчитанный коэффициент проницаемости равен 82 мг·мм/(м2·мм рт.ст.·мин).
Пример 6
Дистиллированные моноглицериды, ацетилированные на 70% композицией жирных кислот, в основном состоящей из стеариновой кислоты и пальмитиновой кислоты, брали в количестве, равном 95%, и смешивали с 5% белого пчелиного воска так, как это описано в примере 4, и анализировали при 5°С. Рассчитанный коэффициент проницаемости равен 115 мг·мм/(м2·мм рт.ст.·мин).
Пример 7
Дистиллированный моноглицерид, ацетилированный на 70% композицией жирных кислот, в основном состоящей из стеариновой кислоты и пальмитиновой кислоты, брали в количестве, равном 90%, и смешивали с 10% белого пчелиного воска так, как это описано в примере 4, и анализировали при 5°С. Рассчитанный коэффициент проницаемости равен 32 мг·мм/(м2·мм рт.ст.·мин).
Пример 8
Продукт, выпускающийся фирмой Loders Croklaan Hogeweg 1, находящейся по адресу: 1521 AZ, Wormerveer, Netherland, Coatbar А, который представляют собой композицию триглицеридов, готовили, как это описано в примере 4, без использования пчелиного воска и анализировали при 5°С. Продукт являлся очень хрупким и в нем легко образовывались трещины и отверстия. Кроме того, он частично плавился при температуре окружающей среды и становился мягким. Рассчитанный коэффициент проницаемости равен 166 мг·мм/(м2·мм рт.ст.·мин).
Текстура
Образцы барьерной композиции расплавляли и тщательно перемешивали при 80°С и выливали в цилиндрические стеклянные стаканы диаметром 6 см и высотой примерно 5 см. Через 3 дня хранения при исследуемой температуре консистентность образцов анализировали с помощью анализатора текстуры Texture Analyser TA-XT2, выпускающегося фирмой Stable Micro Systems, расположенной по адресу: Vienna Court, Lammas ad, Godalmng, Surrey GU7 1YL, UK, снабженного цилиндрическим зондом Р2 диаметром 2 мм, изготовленным из нержавеющей стали. Зонд проникал в образец за один цикл при предварительной скорости, равной 2,0 мм/с, и скорости проникновения, равной 0,5 мм/с. Расстояние установлено равным 10,0 мм и последующая скорость равнялась 2,0 мм/с. Пусковая масса равнялась 3,0 г.
Каждое измерение давало зависимость выраженной в граммах силы, необходимой для проникновения в образец, от времени. Все зависимости обладали одинаковой общей формой с начальным быстрым подъемом и точкой изгиба, в которой наклон зависимости уменьшался.
Измеренную силу, выраженную в граммах, в точке изгиба (далее называемую силой в точке изгиба) использовали для сопоставления образцов. Уменьшение измеренной силы в точке изгиба наблюдалось для более мягких и более эластичных композиций.
Пример 9
Значения силы в точке изгиба для различных барьерных композиций приведены ниже:
| Барьерная композиция |
Сила в точке изгиба, г при 5°С |
Сила в точке изгиба, г при 20°С |
| 100% Ацетилированных моноглицеридов из примера 5 |
165 |
|
| 90% Ацетилированных моноглицеридов из примера 5 + 10% белого пчелиного воска |
500 |
|
| 80% Ацетилированных моноглицеридов из примера 5 + 20% белого пчелиного воска |
1000 |
|
| 100% белого пчелиного воска |
4000 |
2200 |
| 20% Ацетилированного моноглицерида из примера 1 + 80% белого пчелиного воска |
3400 |
|
| 50% Ацетилированного моноглицерида из примера 1 + 50% белого пчелиного воска |
2700 |
|
| 60% Ацетилированного моноглицерида из примера 1 + 40% белого пчелиного воска |
2000 |
|
| 70% Ацетилированного моноглицерида из примера 1 + 30% белого пчелиного воска |
1700 |
|
| 80% Ацетилированного моноглицерида из примера 1 + 20% белого пчелиного воска |
1400 |
700 |
| 90% Ацетилированного моноглицерида из примера 1 + 10% белого пчелиного воска |
900 |
400 |
| 100% Ацетилированного моноглицерида из примера 1 |
340 |
200 |
Содержание твердого жира
Смеси ацетилированных моноглицеридов, перечисленных в примере 5, и белого пчелиного воска в различных пропорциях от чистого пчелиного воска до чистых ацетилированных моноглицеридов кондиционировали в соответствии со стандартной методикой кондиционирования IUPAC 2.150а и СТЖ (содержание твердого жира) измеряли с помощью прибора ЯМР Bruker NMS 120 Minispec NMR Analyser, выпускающегося фирмой Bruker, находящейся по адресу: 762287 Rheinstetten, Germany, при 5°С и 20°С. Обнаружена линейная зависимость между отношением смешивания количества ацетилированных моноглицеридов к количеству белого пчелиного воска и СТЖ без каких-либо признаков эвтектического эффекта, который существенно ухудшает барьерные характеристики по отношению к парам воды. Результаты измерения СТЖ также показали, что в особенности ацетилированные моноглицериды, перечисленные в примере 1, в смеси с белым пчелиным воском при нагревании от 5°С до 20°С теряют лишь примерно 2 процентных пункта полного содержания твердого жира. Таким образом, барьерное вещество является стойким по отношению к колебаниям температуры.
| Барьерная композиция |
СТЖ при 5°С |
СТЖ при 20°С |
| 100% белого пчелиного воска |
93,8 |
90,6 |
| 20% Ацетилированного моноглицерида из примера по 1 + 80% белого пчелиного воска |
94,0 |
89,9 |
| 50% Ацетилированного моноглицерида из примера 1 + 50% белого пчелиного воска |
92,9 |
89,8 |
| 60% Ацетилированного моноглицерида из примера 1 + 40% белого пчелиного воска |
92,5 |
89,5 |
| 70% Ацетилированного моноглицерида из примера 1 + 30% белого пчелиного воска |
92,2 |
89,6 |
| 80% Ацетилированного моноглицерида из примера 1 + 20% белого пчелиного воска |
91,9 |
89,5 |
| 90% Ацетилированного моноглицерида из примера 1 + 10% белого пчелиного воска |
91,5 |
89,3 |
| 100% Ацетилированного моноглицерида из примера 1 |
90,9 |
88,9 |
Применение
Пример 10
Модельную систему получали путем распыления примерно 400 мл на квадратный крекер, а именно сливочный крекер Barber, выпускающийся фирмой The Horizon Biscuit Company Ltd., находящейся по адресу: Pasture Road, Moreton, Merseyside CH46 SE England. Расплавленные при 80°С дозированные горячие барьерные композиции с помощью 4-ступенчатого цикла с обеих сторон распыляли на крекер, находящийся на ленточном конвейере. Перед каждым циклом крекер поворачивали на 90°. До нагревания крекер в течение нескольких секунд предварительно подогревали горячим воздухом, температура которого равнялась 50-60°С. После того, как в течение 1 ч температура крекера доходила до комнатной, сверху на крекер распыляли каррагенановый гель. Гель обладал активностью воды, равной 1, и его получали путем растворения 0,2% CaCl2 и 0,2% KCl в дистиллированной воде и прибавления 3% каррагенана при медленном перемешивании. После нагревания воды до 85-90°С прибавляли 0,1% бензоата Na. После охлаждения до температуры ниже 75°С прибавляли 0,6% раствора лимонной кислоты (50% мас./мас.). Жидкую гелевую фазу выливали в стеклянные стаканы и хранили при 5°С.
Активность воды в крекере составляла 0,2 при 22°С.
Перед нанесением гелей на крекеры сверху все крекеры взвешивали (нулевое значение). Крекеры с нанесенным сверху гелем хранили при 5°С. В течение последующих 10 дней все крекеры ежедневно взвешивали после осторожного удаления геля. Гель не прилипал к крекерам.
Для каждого крекера соответствующее нулевое значение вычитали из массы для каждого дня и привес рассчитывали в виде среднего значения 10 скорректированных на нулевое значение измерений.
Использовали барьерную композицию, описанную в примере 1, и привес [(г воды)/(г крекера)], обусловленный перемещением воды, составлял:
| День 1 |
0,8 г |
| День 2 |
1,5 г |
| День 4 |
2,2 г |
| День 7 |
2,8 г |
| День 14 |
3,5 г |
Крекер, на который не нанесена барьерная система, но который обработан аналогичным образом, привел к следующим результатам
| День 1 |
1,8 г |
| День 2 |
2,2 г |
| День 4 |
3,2 г |
Пример 11
Барьерную композицию, описанную в примере 3, исследовали так, как это описано в примере 10. Получены следующие значения привеса, обусловленного впитыванием воды.
| День 1 |
0,9 г |
| День 2 |
1,6 г |
| День 4 |
2,8 г |
| День 7 |
3,5 г |
| День 10 |
4,1 г |
| День 14 |
4,3 г |
Пример 12
Барьерную систему, описанную в примере 4, исследовали так, как это описано в примере 10, и получены следующие значения привеса, обусловленного перемещением воды:
| День 1 |
0,1 г |
| День 4 |
0,5 г |
| День 7 |
1,4 г |
| День 10 |
2,0 г |
| День 14 |
2,6 г |
Пример 13
Барьерную систему, изготовленную из 20% чистого белого пчелиного воска и 80% моноглицеридов, ацетилированных композицией жирных кислот, в основном состоящей из стеариновой кислоты и пальмитиновой кислоты, наносили на крекеры так, как это описано в примере 10. Привес, обусловленный перемещением воды, составлял
| День 2 |
0,1 г |
| День 4 |
0,2 г |
| День 8 |
0,5 г |
| День 14 |
0,8 г |
Пример 14
Барьерную композицию, описанную в примере 1, наносили слоем толщиной 150 мм так, как это описано в примере 10, а затем на первый слой сверху наносили новый барьерный слой. Вторая барьерная система была аналогична барьерной системе, описанной в примере 13. Привес, обусловленный перемещением воды, составлял
| День 2 |
0,1 г |
| День 4 |
0,2 г |
| День 8 |
0,3 г |
| День 12 |
0,5 г |
| День 16 |
0,6 г |
Пример 15
Барьерную композицию, описанную в примере 1, наносили слоем толщиной 75 мм так, как это описано в примере 10, а затем наносили 150 мм барьерной системы, описанной в примере 13. Сверху на второй барьерный слой наносили новый слой барьерной системы, описанной в примере 1, толщиной 75 мм. Привес, обусловленный перемещением воды, составлял
| День 1 |
0,1 г |
| День 5 |
0,2 г |
| День 12 |
0,4 г |
| День 16 |
0,5 г |
Пример 16
Дистиллированный моноглицерид, ацетилированный на 70% композицией жирных кислот, в основном состоящей из стеариновой кислоты и пальмитиновой кислоты, перемешивали в количество 80% с 20% белого пчелиного воска так, как это описано в примере 4. Барьерную систему наносили на крекеры так, как это описано в примере 10, толщиной 300 мм, но с тем отличием, что нанесенный гель обладал активностью воды, равной 0,62.
Гель получали путем из премикса, содержащего 2% GRINDSTEDRTM PECTIN CF 140В, выпускающегося фирмой DANISCO A/S, находящейся по адресу: Brabrand, Denmark, с 3% сахара и 20% воды. Премикс прибавляли в кипящую смесь, содержащую 66% сиропа из белого сахара 80% SS 28-6 и 25% сахара. Смесь и премикс кипятили до достижения массы, равной 100%, а затем прибавляли лимонную кислоту.
Привес, обусловленный перемещением воды, составлял
| День 1 |
0,01 г |
| День 2 |
0,04 г |
| День 5 |
0,05 г |
| День 8 |
0,11 г |
| День 16 |
0,17 г |
Пример 17
Барьерную композицию, описанную в примере 7 получали с тем изменением, что стандартный соевый лецитин сплавляли с оригинальной барьерной смесью при следующих концентрациях: 0,05%, 0,1%, 0,2% и 0,3%. Текстуру барьерной системы исследовали так, как это описано в разделе “Текстура”, с тем изменением, что регистрировали силу при проникновении 10 мм, а не силу в точке изгиба
| Лецитин |
Сила, г при 10 мм и 5°С |
| 0% |
2488 |
| 0,05% |
2752 |
| 0.10% |
2592 |
| 0,20% |
2406 |
| 0,30% |
2971 |
Пример 18А
Дистиллированные ацетилированные моноглицериды, описанные в примере 4, смешивали с 20% карнаубского воска и расплавляли и перемешивали при 90°С, а затем охлаждали и кристаллизовали при комнатной температуре. После дополнительных 24 ч хранения при комнатной температуре смесь нагревали до 60°С и предел текучести измеряли при 60°С на реометре Reological StressTech с использованием измерительного зонда СС 25 ССЕ. Развертка прилагаемого напряжения ясно показывала предел текучести и последующее разрушение внутренней структуры, когда прилагаемое напряжение были больше предела текучести. График предела текучести приведен на фиг.1 (фиг.А). Предел текучести найден равным 0,1 Па при 60°С.
Пример 18В
Дистиллированные ацетилированные моноглицериды, описанные в примере 18А, смешивали и сплавляли с 30% карнаубского воска при 90°С и обрабатывали аналогично тому, как это выполнено в примере 18А, с тем отличием, что измерение предела текучести проводили при 70°С. График предела текучести приведен на фиг.2 (фиг.В). Т Предел текучести найден равным 0,1 Па.
Примечания – Внутренняя структура барьерной системы в обоих случаях (примеры 18А и 18В) разрушалась при сдвиговом напряжении, равном 0,1 Па. Пока структура является целостной, образец оказывает сопротивление течению и способен выдерживать повышенное напряжение, создаваемое прибором. Это повышенное сопротивление течению измеряется как повышение вязкости. После разрушения структуры измеренная вязкость быстро снижается. Это происходит при 0,1 Па.
Все публикации, указанные в приведенном выше описании, включены в настоящее изобретение в качестве ссылки. Для специалистов в данной области техники должны быть очевидны различные модификации и изменения описанных способов и систем, предлагаемых в настоящем изобретении, не приводящие к отклонению от объема и сущности настоящего изобретения. Хотя настоящее изобретение описано в связи с конкретными предпочтительными вариантами выполнения, следует понимать, что настоящее изобретение, как оно описано в формуле изобретения, не следует неправомерно ограничивать такими конкретными вариантами выполнения. В действительности подразумевается, что различные модификации описанных вариантов выполнения настоящего изобретения, которые очевидны для специалистов в химии или родственных областях, входят в объем прилагаемой формулы изобретения.
Формула изобретения
1. Пищевой продукт, включающий первый пищевой материал и второй пищевой материал, в котором на первый пищевой материал нанесено покрытие из композиции, включающей
i) воск в количестве от 2 до 50 мас.% в пересчете на композицию,
ii) соединение в количестве от 50 до 98 мас.% в пересчете на композицию, обладающее формулой

в которой t обозначает целое число,
в которой каждый из R1, R2 и R3 независимо выбран из группы, включающей ацильную группу и атом водорода,
в которой по крайней мере один из R1, R2 и R3 обозначает Н или короткую ацильную группу, содержащую от 2 до 6 атомов углерода,
в которой по крайней мере один из R1, R2 и R3 обозначает длинную ацильную группу, включающую насыщенную цепь, содержащую от 10 до 20 атомов углерода,
такой, что композиция предотвращает или уменьшает перемещения воды из одного пищевого материала в другой.
2. Пищевой продукт по п.1, в котором воск выбран из группы, включающей пчелиный воск, канделильский воск, карнаубский воск, воск хохобы, воск жировых тканей кита, парафиновый воск, минеральный воск и микрокристаллический воск.
3. Пищевой продукт по п.2, в котором воск представляет собой пчелиный воск.
4. Пищевой продукт по п.1, в котором по крайней мере один из R1, R2 и R3 обозначает короткую ацильную группу, содержащую от 2 до 6 атомов углерода.
5. Пищевой продукт по п.1, в котором по крайней мере один из R1, R2 и R3 обозначает длинную ацильную группу с разветвленной цепью.
6. Пищевой продукт по п.5, в котором по крайней мере один из R1, R2 и R3 обозначает длинную ацильную группу с разветвленной цепью, включающую насыщенную цепь, содержащую от 10 до 20 атомов углерода, и гидрофильную боковую группу.
7. Пищевой продукт по любому из пп.1-4, в которой по крайней мере один из R1, R2 и R3 обозначает неразветвленную ацильную группу.
8. Пищевой продукт по п.7, в котором по крайней мере один из R1, R2 и R3 обозначает длинную ацильную группу с неразветвленной цепью, включающую насыщенную цепь, содержащую от 10 до 20 атомов углерода.
9. Пищевой продукт по п.1, в котором длинная ацильная группа является неразветвленной.
10. Пищевой продукт по п.1, в котором t равно от 1 до 10.
11. Пищевой продукт по п.10, в котором t равно от 1 до 5.
12. Пищевой продукт по п.11, в котором t равно 1 или 2.
13. Пищевой продукт по п.1, в котором соединение обладает формулой
.
14. Пищевой продукт по п.1, в котором по крайней мере один из R1, R2 и R3 обозначает Н и по крайней мере один из R1, R2 и R3 обозначает длинную ацильную группу, включающую насыщенную цепь, содержащую от 10 до 20 атомов углерода.
15. Пищевой продукт по п.1, в котором по крайней мере один из R1, R2 и R3 обозначает короткую ацильную группу, содержащую от 2 до 6 атомов углерода, и по крайней мере один из R1, R2 и R3 обозначает длинную ацильную группу с неразветвленной цепью, включающую насыщенную цепь, содержащую от 10 до 20 атомов углерода.
16. Пищевой продукт по п.15, в котором два из R1, R2 и R3 обозначают короткие ацильные группы, а оставшийся из R1, R2 и R3 обозначает длинную ацильную группу.
17. Пищевой продукт по п.15 или 16, в котором короткая ацильная группа содержится в количестве, в среднем составляющем не более 2 моль/моль глицерина и его сложных эфиров.
18. Пищевой продукт по п.15 или 16, в котором длинная ацильная группа содержится в количестве, в среднем составляющем не менее 0,4 моль, предпочтительно от 0,9 до 2 моль, более предпочтительно от 0,9 до 1 моль/моль глицерина и его сложных эфиров.
19. Пищевой продукт по п.15 или 16, в котором полное количество ацильных групп в среднем составляет от 0,8 до 3,0 моль/моль глицерина и его сложных эфиров.
20. Пищевой продукт по п.1, в котором цепь длинной ацильной группы представляет собой цепь, содержащую от 14 до 20 атомов углерода.
21. Пищевой продукт по п.20, в котором цепь длинной ацильной группы включает цепь, содержащую от 16 до 20 атомов углерода.
22. Пищевой продукт по п.1, в котором короткая ацильная группа представляет собой ацильную группу, содержащую от 2 до 5 атомов углерода.
23. Пищевой продукт по п.22, в котором короткая ацильная группа представляет собой ацильную группу, содержащую 2 атома углерода.
24. Пищевой продукт по п.1, в котором соединение представляет собой ацетилированный продукт взаимной этерификации глицерина и масла, выбранного из группы, включающей полностью гидрированные, частично гидрированные и негидрированные масла и жиры, включая пальмовое масло, соевое масло, рапсовое масло, рапсовое масло с большим содержанием эруковой кислоты, подсолнечное масло, сафлоровое масло, кукурузное масло, хлопковое масло, лярд, твердый животный жир, пальмоядровое масло, кокосовое масло, арахисовое масло, касторовое масло и их фракции.
25. Пищевой продукт по п.1, в котором воск содержится в количестве, составляющем от 2 до 40 мас.% в пересчете на композицию.
26. Пищевой продукт по п.1, в котором воск содержится в количестве, составляющем от 5 до 40 мас.% в пересчете на композицию.
27. Пищевой продукт по п.1, в котором воск содержится в количестве, составляющем от 10 до 40 мас.% в пересчете на композицию.
28. Пищевой продукт по п.1, в котором воск содержится в количестве, составляющем от 10 до 30 мас.% в пересчете на композицию.
29. Пищевой продукт по п.1, в котором воск содержится в количестве, составляющем от 15 до 25 мас.% в пересчете на композицию.
30. Пищевой продукт по п.1, в котором воск содержится в количестве, составляющем примерно 20 мас.% в пересчете на композицию.
31. Пищевой продукт по п.1, в котором соединение содержится в количестве, составляющем от 60 до 98 мас.% в пересчете на композицию.
32. Пищевой продукт по п.1, в котором соединение содержится в количестве, составляющем от 60 до 95 мас.% в пересчете на композицию.
33. Пищевой продукт по п.1, в котором соединение содержится в количестве, составляющем от 60 до 90 мас.% в пересчете на композицию.
34. Пищевой продукт по п.1, в котором соединение содержится в количестве, составляющем от 70 до 90 мас.% в пересчете на композицию.
35. Пищевой продукт по п.1, в котором соединение содержится в количестве, составляющем от 75 до 85 мас.% в пересчете на композицию.
36. Пищевой продукт по п.1, в котором соединение содержится в количестве, составляющем примерно 80 мас.% в пересчете на композицию.
37. Пищевой продукт по п.1, в котором композиция дополнительно включает
(iii) вспомогательное вещество, выбранное из группы, включающей ионогенные эмульгаторы и сложные эфиры сорбита.
38. Пищевой продукт по п.37, в котором вспомогательное вещество выбрано из группы, включающей сложные эфиры лимонной кислоты, диацетилированные моноглицеридные сложные эфиры виннокаменной кислоты, сложные эфиры сорбита и лецитин.
39. Пищевой продукт по п.37 или 38, в котором вспомогательное вещество содержится в количестве, составляющем от 0,1 до 1,0 мас.% в пересчете на композицию.
40. Пищевой продукт по п.39, в котором вспомогательное вещество содержится в количестве, составляющем от 0,25 до 0,75 мас.% в пересчете на композицию.
41. Пищевой продукт по п.39, в котором вспомогательное вещество содержится в количестве, составляющем от 0,4 до 0,6 мас.% в пересчете на композицию.
42. Пищевой продукт по п.39, в котором вспомогательное вещество содержится в количестве, составляющем примерно 0,5 мас.% в пересчете на композицию.
43. Пищевой продукт по п.1, в котором пищевой продукт выбран из группы, включающей кондитерские изделия, включая кондитерские изделия из сахара, шоколад, конфеты, такие как неглазированные конфеты с лакрицей и желе на водной основе, жевательную резинку, орехи; молочные продукты, включая сыр, взбитые десерты и мороженое; хлебобулочные изделия, замороженные или свежие и включающие хлеб, пиццу, бисквиты, крекеры, пирожные, пирожки; мясные продукты, включая колбасы, рыбу, ветчину, свинину и говядину, такие как куски свинины или говядины для жарения; свежие фрукты и сухофрукты; и закуски.
44. Способ получения пищевого продукта, включающий нанесение на пищевой материал покрытия из композиции, определенной в любом из пп.1-42.
РИСУНКИ
|
|