Патент на изобретение №2320169
|
|||||||||||||||||||||||||||||||||||||||||||||||||||||||||||||||||||||||||||||||||||||||||||||||||||||||||||||||||||||||||||||||||||||||||||||||||||||||||||||||||||||||||||||||||||||||||||||||||||||||||||||||||||||||||||||||||||||||||||||||||||||||||||||||||||||||||||||||||||||||||||||||||||||||||||||||||||||||||||||||||||||||||||||||||||||||||||||||||||||||||||||||||||||||||||||||||||||||||||||||||||||||||||||||||||||||||||||||||||||||||||||||||||||||||||||||||||||||||||||||||||||||||||||||||||||||||||||||||||||||||||||||||||||||||||||||||||||||||||||||||||||||||||||||||||||||||||||||||||||||||||||||||||||||||||||||||||||||||||||||||||||||||||||||||||||||||||||||||||||||||||||||||||||||||||||||||||||||||||||||||||||||||||||||||||||||||||||||||||||||||||||||||||||||||||||||||||||||||||||||||||||||||||||||||||||||||||||||||||||||||||||||||||||||||||||||||||||||||||||||||||||||||||||||||||||||||||||||||||||||||||||||||||||||||||||||||||||||||||||||||||||||||||||||||||||||||||||||||||||||
(54) СЕЛЕКТИВНО-ГЕРБИЦИДНОЕ СРЕДСТВО
(57) Реферат:
Описывается селективно-гербицидное средство, содержащее эффективное количество комбинации активных веществ, включающей (а) замещенный циклический кетоенол формулы (I), в которой X, Z, W и Y и группы СКЕ имеют указанные в описании значения, и (b) соединение, улучшающее совместимость с культурными растениями из группы соединений: клоквинтосет-мексил и мефенпир-диэтил, причем на 1 мас. часть компонента (а) приходится от 0,05 до 10 мас. частей компонента (b). 3 з.п. ф-лы, 61 табл.
Данное изобретение относится к новым селективным гербицидным комбинациям активных веществ, которые содержат замещенные циклические кетоенолы с одной стороны и, по крайней мере, одно соединение, улучшающее совместимость с культурными растениями, с другой стороны, и которые с особенно хорошим успехом могут применяться для селективной борьбы с сорняками в различных культурах полезных растений. Известны обладающие гербицидным действием незамещенные бициклические производные 3-арилпирролидин-2,4-диона (европейские заявки на патент ЕР-А-355599, ЕР-А-415211 и японская заявка на патент JP 12-053670), а также замещенные моноциклические производные 3-арил-пирролидин-2,4-диона (европейские заявки на патент ЕР-А-377893 и ЕР-А-442077). Кроме того, известны полициклические производные 3-арилпирролидин-2,4-диона (европейская заявка на патент ЕР-А-442073), а также производные 1Н-арилпирролидиндиона (европейские заявки на патент ЕР-А-456063, ЕР-А-521334, ЕР-А-596298, ЕР-А-613884, ЕР-А-613885, ЕР-А-0668267, международные заявки на патент WO 94/01997, WO 95/26954, WO 95/20572, WO 96/25395, WO 96/35664, WO 97/01535, WO 97/02243, WO 97/36868, WO 97/43275, WO 98/05638, WO 98/06721, WO 98/25928, WO 99/16748, WO 99/24437, WO 99/43649, WO 99/48869, WO 99/55673, WO 01/17972 и WO 01/23354). Кроме того, производные 3-арил- Замещенные в фенильном кольце производные фенилпирона с гербицидными свойствами описаны в европейской заявке на патент ЕР-А-588137, международных заявках на патент WO 96/25395, WO 96/35664, WO 97/01535, WO 97/02243, WO 97/16436, WO 97/19941, WO 97/36868, WO 98/05638, WO 99/43649, WO 99/48869, WO 99/55673 и WO 01/17972. Известно, что определенные замещенные 2-арилциклопентандионы обладают гербицидными свойствами (смотри, например, патенты США US-4283348; 4338122; 4436666; 4526723; 4551547; 4632698; международные заявки на патент WO 96/01798; WO 96/03366, WO 97/14667, а также WO 98/39281, WO 99/43649, WO 99/48869, WO 99/55673 и WO 01/17972). Также известно, что определенные замещенные 2-арилциклогександионы обладают гербицидными и акарицидными свойствами (патенты США US-4175135, 4209432, 4256657, 4256658, 4256659, 4257858, 4283348, 4303669, 4351666, 4409153, 4436666, 4526723, 4613617, 4659372, немецкую заявку на патент DE-A 2813341, а также Wheeler, T.N., J. Org. Chem. 44, 4906 (1979), международные заявки на патент WO 99/43649, WO 99/48869, WO 99/55673 и WO 01/17972). Однако действие данных соединений и/или их совместимость с культурными растениями не во всех случаях является полностью удовлетворительным. Теперь неожиданно найдено, что определенные замещенные циклические кетоенолы при совместном применении с описанными далее соединениями, улучшающими совместимость с культурными растениями (защитными веществами/антидотами), исключительно хорошо снижают повреждения культурных растений и особенно предпочтительно могут применяться в качестве широко эффективных комбинационных препаратов для селективной борьбы с нежелательными растениями в культурах полезных растений, как, например, в зерновых культурах, а также и в кукурузе, сое и рисе. Объектом данного изобретения является селективное гербицидное средство, содержащее эффективное количество комбинации активных веществ, включающей (а) по крайней мере, один замещенный, циклический кетоенол формулы (I)
в которой Х означает галоген, алкил, алкенил, алкинил, алкокси, алкенилокси, алкилтио, алкилсульфинил, алкилсульфонил, галогеналкил, галогеналкокси, галогеналкенилокси, нитро или циано, Z означает водород или, соответственно, при необходимости, замещенный алкенил, алкинил, арил или гетарил, W и Y независимо друг от друга означают водород, галоген, алкил, алкокси, алкенилокси, галогеналкил, галогеналкокси, галогеналкенилокси, нитро или циано, при условии, что в случае, если Y означает 4-метил, то W и Х не означают одновременно этил, или W не означает метокси или дифторметокси, если Х означает этил, СКЕ означает одну из групп где А означает водород; соответственно, при необходимости, галогеном замещенный алкил, алкенил, алкоксиалкил, алкилтиоалкил; насыщенный или ненасыщенный, при необходимости, замещенный циклоалкил, в котором, при необходимости, по крайней мере, один кольцевой атом замещен гетероатомом; или арил, арилалкил или гетарил, замещенный, соответственно, при необходимости, галогеном, алкилом, галогеналкилом, алкокси, галогеналкокси, циано или нитро, В означает водород, алкил или алкоксиалкил, или А и В вместе с атомом углерода, с которым они связаны, означают насыщенный или ненасыщенный, незамещенный или замещенный цикл, содержащий, при необходимости, по крайней мере, один гетероатом, D означает водород; или замещенный, при необходимости, остаток из ряда алкила, алкенила, алкинила, алкоксиалкила, насыщенного или ненасыщенного циклоалкила, в котором, при необходимости, один или несколько членов кольца замещены гетероатомами, арилалкил, арил, гетарилалкил или гетарил, или А и D вместе с атомами, с которыми они связаны, означают насыщенный или ненасыщенный и в частях А и D незамещенный или замещенный цикл, содержащий, при необходимости, по крайней мере, один гетероатом, или А и Q1 вместе означают алкандиил или алкендиил, замещенный, соответственно, при необходимости, гидрокси или, соответственно, при необходимости, замещенным алкилом, алкокси, алкилтио, циклоалкилом, бензилокси или арилом, или Q1 означает водород или алкил, Q2, Q4, Q5 и Q6 независимо друг от друга означают водород или алкил, Q3 означает водород, алкил, алкоксиалкил, алкилтиоалкил; при необходимости, замещенный циклоалкил (где, при необходимости, одна группа метилена замещена кислородом или серой); или, при необходимости, замещенный фенил, или Q3 и Q4 вместе с атомом углерода, с которым они связаны, означают насыщенный или ненасыщенный, незамещенный или замещенный цикл, содержащий, при необходимости, по крайней мере, один гетероатом, G означает водород (а) или одну из групп где E означает эквивалент иона металла или ион аммония, L означает кислород или серу, М означает кислород или серу, R1 означает алкил, алкенил, алкоксиалкил, алкилтиоалкил, полиалкоксиалкил, замещенный, соответственно, при необходимости, галогеном; или замещенный, при необходимости, галогеном, алкилом или алкокси циклоалкил, который может быть прерван, по крайней мере, одним гетероатомом; соответственно, при необходимости, замещенный фенил, фенилалкил, гетарил, феноксиалкил или гетарилоксиалкил, R2 означает алкил, алкенил, алкоксиалкил, полиалкоксиалкил, замещенный, соответственно, при необходимости, галогеном; или замещенный, соответственно, при необходимости, циклоалкил, фенил или бензил, R3, R4 и R5 независимо друг от друга означают алкил, алкокси, алкиламино, диалкиламино, алкилтио, алкенилтио, циклоалкилтио, замещенный, соответственно, при необходимости, галогеном; и замещенный, соответственно, при необходимости, фенил, бензил, фенокси или фенилтио, R6 и R7 независимо друг от друга означают водород; алкил, циклоалкил, алкенил, алкокси, алкоксиалкил, замещенный, соответственно, при необходимости, галогеном; замещенный, при необходимости, фенил; замещенный, при необходимости, бензил; или вместе с атомом азота, с которым они связаны, означают цикл, прерванный, при необходимости, кислородом или серой, включая все возможные таутомерные формы соединений общей формулы (I) и возможные соли или аддукты кислот или оснований соединений общей формулы (I), и (b) по крайней мере, одно соединение, улучшающее совместимость с культурными растениями, из следующей группы соединений: 4-дихлорацетил-1-окса-4-аза-спиро[4.5]-декан (AD-67, MOH-4660), 1-дихлорацетил-гексагидро-3,3,8а-триметилпиррол[1,2-а]-пиримидин-6(2Н)-он (дициклонон, BAS-145138), 4-дихлорацетил-3,4-дигидро-3-метил-2Н-1,4-бензоксазин (беноксакор), 1-метил-гексиловый эфир 5-хлор-хинолин-8-окси-уксусной кислоты (клоквинтосет-мексил – также смотри используемые соединения в европейских заявках на патент ЕР-А-86750, ЕР-А-94349, ЕР-А-191736, ЕР-А-492366), 3-(2-хлор-бензил)-1-(1-метил-1-фенил-этил)-мочевина (кумилурон), и/или одно из следующих, определенных в общих формулах, соединений общей формулы (IIa)
или общей формулы (IIb)
или формулы (IIc)
причем n означает число между 0 и 5, А1 означает одну из приведенных ниже дивалентных гетероциклических групп, А2 означает алкандиил с 1 или 2 атомами углерода, замещенный, при необходимости, алкилом с 1-4 атомами углерода и/или алкокси-карбонилом с 1-4 атомами углерода, R8 означает гидрокси, меркапто, амино, алкокси с 1-6 атомами углерода, алкилтио с 1-6 атомами углерода, алкиламино с 1-6 атомами углерода или ди-алкил-амино с 1-4 атомами углерода в части алкила, R9 означает гидрокси, меркапто, амино, алкокси с 1-6 атомами углерода, алкилтио с 1-6 атомами углерода, алкиламино с 1-6 атомами углерода или ди-алкил-амино с 1-4 атомами углерода в части алкила, R10 означает алкил с 1-4 атомами углерода, замещенный соответственно, при необходимости, фтором, хлором и/или бромом, R11 означает водород; алкил с 1-6 атомами углерода, алкенил с 2-6 атомами углерода или алкинил с 2-6 атомами углерода, алкоксиалкил с 1-4 атомами углерода в частях алкокси и алкила, диоксоланил-алкил с 1-4 атомами углерода в части алкила, фурил, фурилалкил с 1-4 атомами углерода в части алкила, тиенил, тиазолил, пиперидинил, замещенный соответственно, при необходимости, фтором, хлором и/или бромом; или фенил, замещенный, при необходимости, фтором, хлором и/или бромом или алкилом с 1-4 атомами углерода, R12 означает водород; алкил с 1-6 атомами углерода, алкенил с 2-6 атомами углерода или алкинил с 2-6 атомами углерода, алкоксиалкил с 1-4 атомами углерода в частях алкокси и алкила, диоксоланилалкил с 1-4 атомами углерода в части алкила, фурил, фурилалкил с 1-4 атомами углерода в части алкила, тиенил, тиазолил, пиперидинил, замещенный, соответственно, при необходимости, фтором, хлором и/или бромом; или фенил, замещенный, при необходимости, фтором, хлором и/или бромом или алкилом с 1-4 атомами углерода; или вместе с R11 означает алкандиил с 3-6 атомами углерода или окса-алкандиил с 2-5 атомами углерода, замещенный, соответственно, при необходимости, алкилом с 1-4 атомами углерода, фенилом, фурилом, анеллированным бензольным кольцом или двумя заместителями, которые вместе с атомом углерода, с которым они связаны, образуют 5- или 6-членный карбоцикл, R13 означает водород, циано, галоген; или алкил с 1-4 атомами углерода, циклоалкил с 3-6 атомами углерода или фенил, замещенный, соответственно, при необходимости, фтором, хлором и/или бромом, R14 означает водород; алкил с 1-6 атомами углерода, циклоалкил с 3-6 атомами углерода или три-алкил-силил с 1-4 атомами углерода в части алкила, замещенный, при необходимости, гидрокси, циано, галогеном или алкокси с 1-4 атомами углерода, R15 означает водород, циано, галоген; или алкил с 1-4 атомами углерода, циклоалкил с 3-6 атомами углерода или фенил, замещенный, соответственно, при необходимости, фтором, хлором и/или бромом, X1 означает нитро, циано, галоген, алкил с 1-4 атомами углерода, галогеналкил с 1-4 атомами углерода, алкокси с 1-4 атомами углерода или галогеналкокси с 1-4 атомами углерода, X2 означает водород, циано, нитро, галоген, алкил с 1-4 атомами углерода, галогеналкил с 1-4 атомами углерода, алкокси с 1-4 атомами углерода или галогеналкокси с 1-4 атомами углерода, X3 означает водород, циано, нитро, галоген, алкил с 1-4 атомами углерода, галогеналкил с 1-4 атомами углерода, алкокси с 1-4 атомами углерода или галогеналкокси с 1-4 атомами углерода, и/или одно из определенных в общих формулах следующих соединений общей формулы (IId) или общей формулы (IIe) причем n означает число между 0 и 5, R16 означает водород или алкил с 1-4 атомами углерода, R17 означает водород или алкил с 1-4 атомами углерода, R18 означает водород; алкил с 1-6 атомами углерода, алкокси с 1-6 атомами углерода, алкилтио с 1-6 атомами углерода, алкиламино с 1-6 атомами углерода или ди-алкил-амино с 1-4 атомами углерода в части алкила, замещенный, соответственно, при необходимости, циано, галогеном или алкокси с 1-4 атомами углерода; или циклоалкил с 3-6 атомами углерода, циклоалкилокси с 3-6 атомами углерода, циклоалкилтио с 3-6 атомами углерода или циклоалкиламино с 3-6 атомами углерода, замещенный, соответственно, при необходимости, циано, галогеном или алкилом с 1-4 атомами углерода, R19 означает водород; алкил с 1-6 атомами углерода, замещенный, при необходимости, циано, гидрокси, галогеном или алкокси с 1-4 атомами углерода; алкенил с 3-6 атомами углерода или алкинил с 3-6 атомами углерода, замещенный, соответственно, при необходимости, циано или галогеном; или циклоалкил с 3-6 атомами углерода, замещенный, при необходимости, циано, галогеном или алкилом с 1-4 атомами углерода, R20 означает водород; алкил с 1-6 атомами углерода, замещенный, при необходимости, циано, гидрокси, галогеном или алкокси с 1-4 атомами углерода; алкенил с 3-6 атомами углерода или алкинил с 3-6 атомами углерода, замещенный, соответственно, при необходимости, циано или галогеном; или циклоалкил с 3-6 атомами углерода, замещенный, при необходимости, циано, галогеном или алкилом с 1-4 атомами углерода; или фенил, замещенный, при необходимости, нитро, циано, галогеном, алкилом с 1-4 атомами углерода, галогеналкилом с 1-4 атомами углерода, алкокси с 1-4 атомами углерода или галогеналкокси с 1-4 атомами углерода; или вместе с R19 означает алкандиил с 2-6 атомами углерода или оксаалкандиил с 2-5 атомами углерода, замещенный, соответственно, при необходимости, алкилом с 1-4 атомами углерода, X4 означает нитро, циано, карбокси, карбамоил, формил, сульфамоил, гидрокси, амино, галоген, алкил с 1-4 атомами углерода, галогеналкил с 1-4 атомами углерода, алкокси с 1-4 атомами углерода или галоген-алкокси с 1-4 атомами углерода, и X5 означает нитро, циано, карбокси, карбамоил, формил, сульфамоил, гидрокси, амино, галоген, алкил с 1-4 атомами углерода, галогеналкил с 1-4 атомами углерода, алкокси с 1-4 атомами углерода или галогеналкокси с 1-4 атомами углерода. В определениях углеводородные цепи, как в алкиле или алкандииле, также в соединении с гетероатомами, как в алкокси, являются соответственно неразветвленными или разветвленными. Соединения формулы (I), также в зависимости от вида заместителей, могут представлять геометрические и/или оптические изомеры или смеси изомеров в различной препаративной форме, которые, при необходимости, могут разделяться обычным способом. Как чистые изомеры, так и смеси изомеров, а также их применение и их содержащие средства являются объектом предложенного изобретения. Однако в дальнейшем для краткости всегда говорят о соединениях формулы (I), хотя подразумевают как чистые соединения, так и, при необходимости, смеси с различными частями изомерных соединений. При включении значений (1)-(6) группы СКЕ появляются следующие основные структуры (I-1)-(I-6): где А, В, D, G, Q1, Q2, Q3, Q4, Q5, Q6, W, X, Y и Z имеют указанные выше значения. Если СКЕ означает группу (1), то при включении различных значений (а), (b), (с), (d), (e), (f) и (g) группы G появляются следующие основные структуры (I-1-а)-(I-1-g):
где А, В, D, Е, L, М, W, X, Y, Z, R1, R2, R3, R4, R5, R6 и R7 имеют указанные выше значения. Если СКЕ означает группу (2), то при включении различных значений (а), (b), (с), (d), (e), (f) и (g) группы G появляются следующие основные структуры (I-2-a)-(I-2-g):
где А, В, Е, L, М, W, X, Y, Z, R1, R2, R3, R4, R5, R6 и R7 имеют указанные выше значения. Если СКЕ означает группу (3), то при включении различных значений (а), (b), (с), (d), (e), (f) и (g) группы G появляются следующие основные структуры (I-3-a)-(I-3-g)
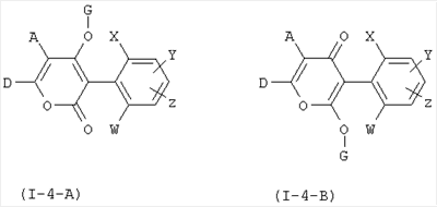
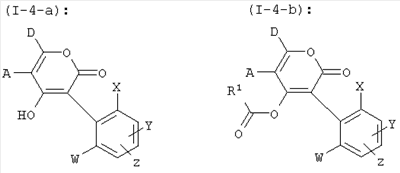
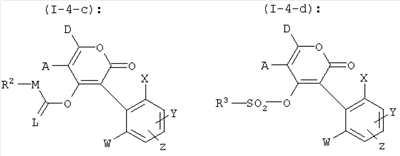
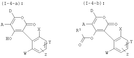
где А, В, Е, L, М, W, X, Y, Z, R1, R2, R3, R4, R5, R6 и R7 имеют указанные выше значения. Соединения формулы (I-4) в зависимости от положения заместителей G могут существовать в двух изомерных формах формул (I-4-А) и (I-4-В), что демонстрирует заштрихованная линия в формуле (I-4). Соединения формул (I-4-А) и (I-4-В) могут быть представлены как в виде смеси, так и в форме своих чистых изомеров. Смеси соединений формул (I-4-А) и (I-4-В) можно разделить, при необходимости, известным способом с помощью физических методов, например хроматографического метода. Для лучшей наглядности в дальнейшем приводят соответственно только один из возможных изомеров. Это не исключает того, что соединения, при необходимости, могут иметь форму изомерных смесей или, соответственно, другие изомерные формы. Если СКЕ означает группу (4), то при включении различных значений (а), (b), (с), (d), (e), (f) и (g) группы G появляются следующие основные структуры (I-4-а)-(I-4-g)
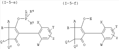
где A, D, Е, L, M, W, X, Y, Z, R1, R2, R3, R4, R5, R6 и R7 имеют указанные выше значения. Соединения формулы (I-5) в зависимости от положения заместителей G могут существовать в двух изомерных формах формул (I-5-А) и (I-5-В), что демонстрирует заштрихованная линия в формуле (I-5). Соединения формул (I-5-А) и (I-5-B) могут быть представлены как в виде смеси, так и в форме своих чистых изомеров. Смеси соединений формул (I-5-А) и (I-5-B) можно разделить, при необходимости, с помощью физических методов, например хроматографического метода. Для лучшей наглядности в дальнейшем приводят, соответственно, только один из возможных изомеров. Это не исключает того, что соединения, при необходимости, могут иметь форму изомерных смесей или, соответственно, другие изомерные формы. При включении различных значений (а), (b), (с), (d), (e), (f) и (g) группы G появляются следующие основные структуры (I-5-а)-(I-5-g):
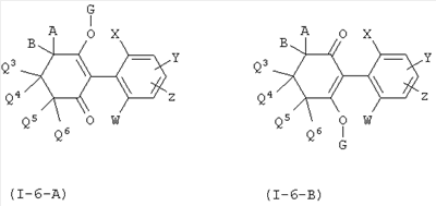
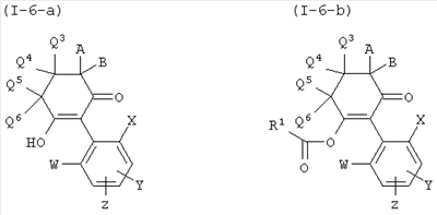
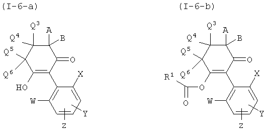
где А, В, Q1, Q2, Е, L, M, W, X, Y, Z, R1, R2, R3, R4, R5, R6 и R7 имеют указанные выше значения. Соединения формулы (I-6) в зависимости от положения заместителей G могут существовать в двух изомерных формах формул (I-6-А) или (I-6-В), что демонстрирует заштрихованная линия в формуле (I-6): Соединения формул (I-6-А) или (I-6-В) могут быть представлены как в виде смеси, так и в форме своих чистых изомеров. Смеси соединений формул (I-6-А) и (I-6-В) можно разделить, при необходимости, с помощью физических методов, например хроматографического метода. Для лучшей наглядности в дальнейшем приводят, соответственно, только один из возможных изомеров. Это не исключает того, что соединения, при необходимости, могут иметь форму изомерных смесей или, соответственно, другие изомерные формы. При включении различных значений (а), (b), (с), (d), (e), (f) и (g) группы G появляются следующие основные структуры (I-6-а)-(I-6-g):
где А, В, Е, L, M, Q3, Q4, Q5, Q6, W, X, Y, Z, R1, R2, R3, R4, R5, R6 и R7 имеют указанные выше значения. Предложенные согласно изобретению замещенные, циклические кетоенолы гербицидного средства определены, в общем, в формуле (I). Предпочтительные заместители или области остатков, указанных в выше- или нижеуказанных формулах, приводят далее: Х предпочтительно означает галоген, алкил с 1-6 атомами углерода, алкенил с 2-6 атомами углерода, галогеналкил с 1-6 атомами углерода, алкокси с 1-6 атомами углерода, алкенилокси с 3-6 атомами углерода, галогеналкокси с 1-6 атомами углерода, галогеналкенилокси с 3-6 атомами углерода, нитро или циано. Z предпочтительно означает водород, алкенил с 2-6 атомами углерода, алкинил с 2-6 атомами углерода или один из остатков
где V1 означает водород, галоген, алкил с 1-12 атомами углерода, алкокси с 1-6 атомами углерода, алкилтио с 1-6 атомами углерода, алкилсульфинил с 1-6 атомами углерода, алкилсульфонил с 1-6 атомами углерода, галогеналкил с 1-4 атомами углерода, галогеналкокси с 1-4 атомами углерода, нитро или циано, V2 и V3 независимо друг от друга означают водород, галоген, алкил с 1-6 атомами углерода, алкокси с 1-6 атомами углерода, галогеналкил с 1-4 атомами углерода или галогеналкокси с 1-4 атомами углерода. W и Y предпочтительно независимо друг от друга означают водород, галоген, алкил с 1-6 атомами углерода, галогеналкил с 1-6 атомами углерода, алкокси с 1-6 атомами углерода, галогеналкокси с 1-6 атомами углерода, нитро или циано, при условии, что в случае, если Y означает 4-метил, W и Х не означают одновременно этил, или W не означает метокси или дифторметокси, если Х означает этил. СКЕ предпочтительно означает одну из групп А предпочтительно означает водород; или алкил с 1-12 атомами углерода, алкенил с 3-8 атомами углерода, алкоксиалкил с 1-10 атомами в части алкокси и 1-8 атомами углерода в части алкила, алкилтиоалкил с 1-10 атомами в части алкилтио и 1-6 атомами углерода в части алкила; замещенный, при необходимости, галогеном, алкилом с 1-6 атомами углерода или алкокси с 1-6 атомами углерода циклоалкил с 3-8 атомами углерода, в котором, при необходимости, один или два не непосредственно соседних члена кольца замещены кислородом и/или серой; или фенил или фенилалкил с 1-6 атомами углерода в части алкила, замещенный, соответственно, при необходимости, галогеном, алкилом с 1-6 атомами углерода, галогеналкилом с 1-6 атомами углерода, алкокси с 1-6 атомами углерода, галогеналкокси с 1-6 атомами углерода, циано или нитро. В предпочтительно означает водород, алкил с 1-12 атомами углерода или алкоксиалкил с 1-8 атомами углерода в части алкокси и 1-6 атомами углерода в части алкила, или А, В и атом углерода, с которым они связаны, означают предпочтительно насыщенный циклоалкил с 3-10 атомами углерода или ненасыщенный циклоалкил с 5-10 атомами углерода, где, при необходимости, один член кольца замещен кислородом или серой, и которые, при необходимости, один или два раза замещены алкилом с 1-8 атомами углерода, циклоалкилом с 3-10 атомами углерода, галогеналкилом с 1-8 атомами углерода, алкокси с 1-8 атомами углерода, алкилтио с 1-8 атомами углерода, галогеном или фенилом, или А, В и атом углерода, с которым они связаны, означают предпочтительно циклоалкил с 3-6 атомами углерода, который замещен, при необходимости, один или два не непосредственно соседние атомы кислорода и/или серы, при необходимости, замещенной алкилом с 1-4 атомами углерода группой алкилендиила, или группой алкилендиоксила, или группой алкилендитиоила, которая вместе с атомом углерода, с которым она связана, образует следующее 5-8-членное кольцо, или А, В и атом углерода, с которым они связаны, означают предпочтительно циклоалкил с 3-8 атомами углерода или циклоалкенил с 5-8 атомами углерода, в котором два заместителя вместе с атомами углерода, с которыми они связаны, означают замещенный, соответственно, при необходимости, алкилом с 1-6 атомами углерода, алкокси с 1-6 атомами углерода или галогеном алкандиил с 2-6 атомами углерода, алкендиил с 2-6 атомами углерода или алкандиендиил с 4-6 атомами углерода, где, при необходимости, одна группа метилена замещена кислородом или серой. D означает предпочтительно водород; алкил с 1-12 атомами углерода, алкенил с 3-8 атомами углерода, алкинил с 3-8 атомами углерода, алкоксиалкил с 1-10 атомами углерода в части алкокси и 2-8 атомами углерода в части алкила, замещенный, соответственно, при необходимости, галогеном; замещенный, при необходимости, галогеном, алкилом с 1-4 атомами углерода, алкокси с 1-4 атомами углерода или галогеналкилом с 1-4 атомами углерода циклоалкил с 3-8 атомами углерода, в котором, при необходимости, один член кольца замещен кислородом или серой; или фенил или фенилалкил с 1-6 атомами углерода в части алкила, замещенный, соответственно, при необходимости, галогеном, алкилом с 1-6 атомами углерода, галогеналкилом с 1-6 атомами углерода, алкокси с 1-6 атомами углерода, галогеналкокси с 1-6 атомами углерода, циано или нитро. А и D вместе предпочтительно означают, соответственно, при необходимости, замещенный алкандиил с 3-6 атомами углерода или алкендиил с 3-6 атомами углерода, где, при необходимости, группа метилена замещена группой карбонила, кислородом или серой, и причем заместителями, соответственно, являются: галоген, гидрокси, меркапто; или алкил с 1-10 атомами углерода или алкокси с 1-6 атомами углерода, замещенный, соответственно, при необходимости, галогеном; или другая группа алкандиила с 3-6 атомами углерода, группа алкендиила с 3-6 атомами углерода или группа бутадиенила, которые, при необходимости, замещены алкилом с 1-6 атомами углерода или в которых, при необходимости, два соседние заместителя с атомами углерода, с которыми они связаны, образуют следующий насыщенный или ненасыщенный цикл с 5 или 6 кольцевыми атомами (в случае соединения формулы (I-1) А и D тогда вместе с атомами, с которыми они связаны, означают, например, далее нижеуказанные группы AD-1 – AD-10), который может содержать кислород или серу. А и Q1 вместе предпочтительно означают алкандиил с 3-6 атомами углерода или алкендиил с 4-6 атомами углерода, который, кроме того, прерван группой алкандиила с 1-2 атомами углерода или атомом кислорода и который замещен, соответственно, при необходимости, один или два раза, одинаково или различно галогеном, соответственно, при необходимости, от одного до трех раз, одинаково или различно галогеном, замещенным алкилом с 1-10 атомами углерода, алкоксилом с 1-6 атомами углерода, алкилтио с 1-6 атомами углерода, циклоалкилом с 3-7 атомами углерода, или, соответственно, при необходимости, от одного до трех раз, одинаково или различно галогеном, алкилом с 1-6 атомами углерода или алкокси с 1-6 атомами углерода замещенным бензилокси или фенилом, или Q1 предпочтительно означает водород или алкил с 1-4 атомами углерода. Q2, Q4, Q5 и Q6 независимо друг от друга предпочтительно означают водород или алкил с 1-4 атомами углерода. Q3 предпочтительно означает водород, алкил с 1-6 атомами углерода, алкоксиалкил с 1-6 атомами углерода в части алкокси и 1-2 атомами углерода в части алкила, алкилтиоалкил с 1-6 атомами углерода в части алкилтио и 1-2 атомами углерода в части алкила; замещенный, при необходимости, галогеном, алкилом с 1-4 атомами углерода или алкокси с 1-4 атомами углерода циклоалкил с 3-8 атомами углерода, где, при необходимости, одна группа метилена замещена кислородом или серой; или фенил, замещенный, при необходимости, галогеном, алкилом с 1-4 атомами углерода, алкокси с 1-4 атомами углерода, галогеналкилом с 1-2 атомами углерода, галогеналкокси с 1-2 атомами углерода, циано или нитро, или Q3 и Q4 предпочтительно вместе с атомом углерода, с которым они связаны, означают кольцо с 3-7 атомами углерода, которое замещено, при необходимости, алкилом с 1-4 атомами углерода, алкокси с 1-4 атомами углерода или галогеналкилом с 1-2 атомами углерода и в котором, при необходимости, один член кольца замещен кислородом или серой. G предпочтительно означает водород (а) или одну из групп в которой Е означает эквивалент иона металла или ион аммония, L означает кислород или серу и М означает кислород или серу. R1 предпочтительно означает алкил с 1-20 атомами углерода, алкенил с 2-20 атомами углерода, алкоксиалкил с 1-8 атомами углерода в частях алкокси и алкила, алкилтиоалкил с 1-8 атомами углерода в частях алкилтио и алкила, полиалкоксиалкил с 1-8 атомами углерода в частях алкокси и алкила, замещенный, соответственно, при необходимости, галогеном; или циклоалкил с 3-8 атомами углерода, который замещен, при необходимости, галогеном, алкилом с 1-6 атомами углерода или алкокси с 1-6 атомами углерода и в котором, при необходимости, один или несколько (предпочтительно не более чем два) не непосредственно соседних членов кольца замещены кислородом и/или серой, фенил, замещенный, при необходимости, галогеном, циано, нитро, алкилом с 1-6 атомами углерода, алкокси с 1-6 атомами углерода, галогеналкилом с 1-6 атомами углерода, галогеналкокси с 1-6 атомами углерода, алкилтио с 1-6 атомами углерода или алкилсульфонилом с 1-6 атомами углерода, фенилалкил с 1-6 атомами углерода в части алкила, замещенный, при необходимости, галогеном, нитро, циано, алкилом с 1-6 атомами углерода, алкокси с 1-6 атомами углерода, галогеналкилом с 1-6 атомами углерода или галогеналкокси с 1-6 атомами углерода, 5- или 6-членный гетарил (например, пиразолил, тиазолил, пиридил, пиримидил, фуранил или тиенил), замещенный, при необходимости, галогеном или алкилом с 1-6 атомами углерода, феноксиалкил с 1-6 атомами углерода в части алкила, замещенный, при необходимости, галогеном или алкилом с 1-6 атомами углерода, или 5- или 6-членный гетарилоксиалкил с 1-6 атомами углерода в части алкила (например, пиридилоксиалкил с 1-6 атомами углерода в части алкила, пиримидилоксиалкил с 1-6 атомами углерода в части алкила или тиазолилоксиалкил с 1-6 атомами углерода в части алкила), замещенный, при необходимости, галогеном, амино или алкилом с 1-6 атомами углерода. R2 предпочтительно означает алкил с 1-20 атомами углерода, алкенил с 2-20 атомами углерода, алкоксиалкил с 1-8 атомами углерода в части алкокси и 2-8 атомами углерода в части алкила, полиалкоксиалкил с 1-8 атомами углерода в части алкокси и 2-8 атомами углерода в части алкила, замещенный, соответственно, при необходимости, галогеном, циклоалкил с 3-8 атомами углерода, замещенный, при необходимости, галогеном, алкилом с 1-6 атомами углерода или алкокси с 1-6 атомами углерода, или фенил или бензил, замещенный, соответственно, при необходимости, галогеном, циано, нитро, алкилом с 1-6 атомами углерода, алкокси с 1-6 атомами углерода, галогеналкилом с 1-6 атомами углерода или галогеналкокси с 1-6 атомами углерода. R3 предпочтительно означает алкил с 1-8 атомами углерода, замещенный, при необходимости, галогеном; или фенил или бензил, замещенный, соответственно, при необходимости, галогеном, алкилом с 1-6 атомами углерода, алкокси с 1-6 атомами углерода, галогеналкилом с 1-4 атомами углерода, галогеналкокси с 1-4 атомами углерода, циано или нитро. R4 и R5 предпочтительно означают независимо друг от друга алкил с 1-8 атомами углерода, алкокси с 1-8 атомами углерода, алкиламино с 1-8 атомами углерода, диалкиламино с 1-8 атомами углерода в части алкила, алкилтио с 1-8 атомами углерода, алкенилтио с 2-8 атомами углерода, циклоалкилтио с 3-7 атомами углерода, замещенный, соответственно, при необходимости, галогеном; или фенил, фенокси или фенилтио, замещенный, соответственно, при необходимости, галогеном, нитро, циано, алкокси с 1-4 атомами углерода, галогеналкокси с 1-4 атомами углерода, алкилтио с 1-4 атомами углерода, галогеналкилтио с 1-4 атомами углерода, алкилом с 1-4 атомами углерода или галогеналкилом с 1-4 атомами углерода. R6 и R7 предпочтительно означают независимо друг от друга водород; алкил с 1-8 атомами углерода, циклоалкил с 3-8 атомами углерода, алкокси с 1-8 атомами углерода, алкенил с 3-8 атомами углерода, алкоксиалкил с 1-8 атомами углерода в частях алкокси и алкила, замещенный, соответственно, при необходимости галогеном; фенил, замещенный, при необходимости, галогеном, галогеналкилом с 1-8 атомами углерода, алкилом с 1-8 атомами углерода или алкокси с 1-8 атомами углерода; бензил, замещенный, при необходимости, галогеном, алкилом с 1-8 атомами углерода, галогеналкилом с 1-8 атомами углерода или алкокси с 1-8 атомами углерода; или вместе означают замещенный, при необходимости, алкилом с 1-4 атомами углерода остаток алкилена с 3-6 атомами углерода, в котором, при необходимости, один атом углерода замещен кислородом или серой. В указанных в качестве предпочтительных определениях остатков галоген означает фтор, хлор, бром и йод, в частности фтор, хлор и бром. Х особенно предпочтительно означает фтор, хлор, бром, алкил с 1-4 атомами углерода, алкенил с 2-4 атомами углерода, алкокси с 1-4 атомами углерода, трифторметил, трифторметокси, трифторэтокси или циано. Z особенно предпочтительно означает водород, алкенил с 2-4 атомами углерода, алкинил с 2-4 атомами углерода или остаток
V1 особенно предпочтительно означает водород, фтор, хлор, бром, алкил с 1-6 атомами углерода, алкокси с 1-4 атомами углерода, галогеналкил с 1-2 атомами углерода, галогеналкокси с 1-2 атомами углерода, нитро или циано. V2 особенно предпочтительно означает водород, фтор, хлор, бром, алкил с 1-4 атомами углерода, алкокси с 1-4 атомами углерода, галогеналкил с 1-2 атомами углерода или галогеналкокси с 1-2 атомами углерода. W и Y особенно предпочтительно независимо друг от друга означают водород, фтор, хлор, бром, алкил с 1-4 атомами углерода, галогеналкил с 1-4 атомами углерода, алкокси с 1-4 атомами углерода или галогеналкокси с 1-4 атомами углерода, при условии, что в случае, если Y означает 4-метил, W и Х не означают одновременно этил, или W не означает метокси или дифторметокси, если Х означает этил, и при условии, что Х не означает алкенил, если Z не означает водород. СКЕ особенно предпочтительно означает одну из групп А особенно предпочтительно означает водород; алкил с 1-6 атомами углерода или алкоксиалкил с 1-4 атомами углерода в частях алкокси и алкила, замещенный, соответственно, при необходимости, фтором или хлором; или циклоалкил с 3-7 атомами углерода, замещенный, при необходимости, фтором, хлором, алкилом с 1-4 атомами углерода или алкокси с 1-4 атомами углерода. В особенно предпочтительно означает водород или алкил с 1-6 атомами углерода, или А, В и атом углерода, с которым они связаны, особенно предпочтительно означают насыщенный циклоалкил с 3-7 атомами углерода или ненасыщенный циклоалкил с 5-7 атомами углерода, где один член кольца, при необходимости, замещен кислородом или серой, и который, при необходимости, один раз замещен алкилом с 1-6 атомами углерода, галогеналкилом с 1-3 атомами углерода или алкокси с 1-6 атомами углерода, или А, В и атом углерода, с которым они связаны, особенно предпочтительно означают циклоалкил с 5-6 атомами углерода, который замещен, при необходимости, один или два не непосредственно соседние атомы кислорода или серы, замещенной, при необходимости, метилом или этилом, группой алкилендиила или группой алкилендиоксила, или группой алкилендитиола, которая с атомом углерода, с которым она связана, образует следующее 5- или 6-членное кольцо, или А, В и атом углерода, с которым они связаны, особенно предпочтительно означают циклоалкил с 3-6 атомами углерода или циклоалкенил с 5-6 атомами углерода, в которых два заместителя вместе с атомами углерода, с которыми они связаны, означают замещенный, соответственно, при необходимости, алкилом с 1-5 атомами углерода, алкокси с 1-5 атомами углерода, фтором, хлором или бромом, алкандиил с 2-4 атомами углерода, алкендиил с 2-4 атомами углерода, где, при необходимости, группа метилена замещена кислородом или серой; или бутадиендиил. D особенно предпочтительно означает водород; алкил с 1-6 атомами углерода, алкенил с 3-6 атомами углерода, алкоксиалкил с 1-4 атомами углерода в части алкокси и 2-3 атомами углерода в части алкила, замещенный, соответственно, при необходимости, фтором или хлором; замещенный, при необходимости, алкилом с 1-4 атомами углерода, алкокси с 1-4 атомами углерода или галогеналкилом с 1-2 атомами углерода циклоалкил с 3-7 атомами углерода, в котором, при необходимости, одна группа метилена замещена кислородом или серой; или (однако не в случае соединений формулы (I-1)) означает фенил, пиридил или бензил, замещенный, соответственно, при необходимости, фтором, хлором, бромом, алкилом с 1-4 атомами углерода, галогеналкилом с 1-4 атомами углерода, алкокси с 1-4 атомами углерода или галогеналкокси с 1-4 атомами углерода, или А и D особенно предпочтительно вместе означают, при необходимости, замещенный алкандиил с 3-5 атомами углерода, в котором одна группа метилена может быть замещена кислородом или серой, причем заместителем является алкил с 1-4 атомами углерода, или А и D вместе с атомами, с которыми они связаны, означают (в случае соединений формулы (I-1)) одну из групп AD-1 – AD-10:
А и Q1 вместе особенно предпочтительно означают алкандиил с 3-4 атомами углерода или алкендиил с 3-4 атомами углерода, замещенный, соответственно, при необходимости, один или два раза, одинаково или различно алкилом с 1-4 атомами углерода или алкокси с 1-4 атомами углерода, или Q1 особенно предпочтительно означает водород. Q2 особенно предпочтительно означает водород. Q4, Q5 и Q6 независимо друг от друга особенно предпочтительно означают водород или алкил с 1-2 атомами углерода. Q3 особенно предпочтительно означает водород, алкил с 1-4 атомами углерода, алкоксиалкил с 1-4 атомами углерода в части алкокси и 1-2 атомами углерода в части алкила, алкилтиоалкил с 1-4 атомами углерода в части алкилтио и 1-2 атомами углерода в части алкила; или замещенный, при необходимости, метилом или метокси циклоалкил с 3-6 атомами углерода, где, при необходимости, одна группа метилена замещена кислородом или серой, или Q3 и Q4 особенно предпочтительно вместе с атомом углерода, с которым они связаны, означают замещенное, при необходимости, алкилом с 1-4 атомами углерода или алкокси с 1-4 атомами углерода насыщенное кольцо с 5-6 атомами углерода, в котором, при необходимости, один член кольца замещен кислородом или серой. G особенно предпочтительно означает водород (а) или одну из групп в которых Е означает эквивалент иона металла или ион аммония, L означает кислород или серу и М означает кислород или серу. R1 особенно предпочтительно означает алкил с 1-16 атомами углерода, алкенил с 2-16 атомами углерода, алкоксиалкил с 1-6 атомами углерода в части алкокси и 1-4 атомами углерода в части алкила, алкилтиоалкил с 1-6 атомами углерода в частях алкилтио и алкила, замещенный соответственно, при необходимости, фтором или хлором; или циклоалкил с 3-7 атомами углерода, который замещен, при необходимости, фтором, хлором, алкилом с 1-4 атомами углерода или алкокси с 1-4 атомами углерода и в котором, при необходимости, один или два не непосредственно соседних члена кольца замещены кислородом и/или серой, фенил, замещенный, при необходимости, фтором, хлором, бромом, циано, нитро, алкилом с 1-4 атомами углерода, алкокси с 1-4 атомами углерода, галогеналкилом с 1-3 атомами углерода или галогеналкокси с 1-3 атомами углерода, R2 особенно предпочтительно означает алкил с 1-16 атомами углерода, алкенил с 2-16 атомами углерода или алкоксиалкил с 1-6 атомами углерода в части алкокси и 2-6 атомами углерода в части алкила, замещенный, соответственно, при необходимости, фтором, циклоалкил с 3-7 атомами углерода, замещенный, при необходимости, фтором, хлором, алкилом с 1-4 атомами углерода или алкокси с 1-4 атомами углерода, фенил или бензил, замещенный, соответственно, при необходимости, фтором, хлором, бромом, циано, нитро, алкилом с 1-4 атомами углерода, алкокси с 1-3 атомами углерода, галогеналкилом с 1-3 атомами углерода или галогеналкокси с 1-3 атомами углерода. R3 особенно предпочтительно означает алкил с 1-6 атомами углерода, замещенный, при необходимости, фтором; или фенил, замещенный, при необходимости, фтором, хлором, бромом, алкилом с 1-4 атомами углерода, алкокси с 1-4 атомами углерода, галогеналкил с 1-3 атомами углерода, галогеналкокси с 1-3 атомами углерода, циано или нитро. R4 особенно предпочтительно означает алкил с 1-6 атомами углерода, алкокси с 1-6 атомами углерода, алкиламино с 1-6 атомами углерода, диалкиламино с 1-6 атомами углерода в части алкила, алкилтио с 1-6 атомами углерода, алкенилтио с 3-4 атомами углерода, циклоалкилтио с 3-6 атомами углерода; или фенил, фенокси или фенилтио, замещенный, соответственно, при необходимости, фтором, хлором, бромом, нитро, циано, алкокси с 1-3 атомами углерода, галогеналкокси с 1-3 атомами углерода, алкилтио с 1-3 атомами углерода, галогеналкилтио с 1-3 атомами углерода, алкилом с 1-3 атомами углерода или галогеналкилом с 1-3 атомами углерода. R5 особенно предпочтительно означает алкокси с 1-6 атомами углерода или алкилтио с 1-6 атомами углерода. R6 особенно предпочтительно означает водород, алкил с 1-6 атомами углерода, циклоалкил с 3-6 атомами углерода, алкокси с 1-6 атомами углерода, алкенил с 3-6 атомами углерода, алкоксиалкил с 1-6 атомами углерода в части алкокси и 1-4 атомами углерода в части алкила; фенил, замещенный, при необходимости, фтором, хлором, бромом, галогеналкилом с 1-3 атомами углерода, алкилом с 1-4 атомами углерода или алкокси с 1-4 атомами углерода; бензил, замещенный, при необходимости, фтором, хлором, бромом, алкилом с 1-4 атомами углерода, галогеналкилом с 1-3 атомами углерода или алкокси с 1-4 атомами углерода. R7 предпочтительно означает алкил с 1-6 атомами углерода, алкенил с 3-6 атомами углерода или алкоксиалкил с 1-6 атомами углерода в части алкокси и 1-4 атомами углерода в части алкила. R6 и R7 вместе особенно предпочтительно означают замещенный, при необходимости, метилом или этилом остаток алкила с 4-5 атомами углерода, в котором, при необходимости, одна группа метилена замещена кислородом или серой. В указанных в качестве особенно предпочтительных определениях остатков галоген означает фтор, хлор, бром и йод, в частности фтор, хлор и бром. Х совершено предпочтительно означает хлор, бром, метил, этил, пропил, винил, этинил, метокси, этокси, трифторметил, дифторметокси, трифторметокси или циано. Z совершенно предпочтительно означает водород, винил, этинил или остаток
V1 совершенно предпочтительно означает водород, фтор, хлор, бром, метил, этил, н-пропил, изо-пропил, н-бутил, изо-бутил, трет-бутил, метокси, этокси, н-пропокси, изо-пропокси, трифторметил, трифторметокси, трифторэтокси или циано. V2 совершенно предпочтительно означает водород, фтор, хлор, метил, этил, н-пропил, изо-пропил, метокси, этокси, трифторметил или трифторметокси. W и Y совершенно предпочтительно независимо друг от друга означают водород, фтор, хлор, бром, метил, этил, н-пропил, метокси или этокси при условии, что в случае, если Y означает 4-метил, W и Х не означают одновременно этил, или W не означает метокси или дифторметокси, если Х означает этил, и при условии, что Х не означает винил или этинил, если Z не означает водород. СКЕ совершенно предпочтительно означает одну из групп А совершенно предпочтительно означает водород; алкил с 1-4 атомами углерода или алкоксиалкил с 1-2 атомами углерода в частях алкокси и алкила, замещенный, соответственно, при необходимости, от одного до трех раз фтором; циклоалкил с 3-6 атомами углерода, замещенный, при необходимости, один раз фтором, метилом, этилом или метокси. В совершенно предпочтительно означает водород, метил или этил, или А, В и атом углерода, с которым они связаны, совершенно предпочтительно означают насыщенный циклоалкил с 5-6 атомами углерода, в котором, при необходимости, один член кольца замещен кислородом или серой и который, при необходимости, один раз замещен метилом, этилом, пропилом, изопропилом, трифторметилом, метокси, этокси, пропокси, бутокси или изобутокси, или А, В и атом углерода, с которым они связаны, совершенно предпочтительно означают циклоалкил с 5-6 атомами углерода, который замещен группой алкилендиокси, содержащей два не непосредственно соседних атома кислорода, D совершенно предпочтительно означает водород; замещенный, соответственно, при необходимости, фтором или хлором алкил с 1-4 атомами углерода, алкенил с 3-4 атомами углерода, алкоксиалкил с 1-2 атомами углерода в части алкокси и 2-3 атомами углерода в части алкила или циклоалкил с 3-6 атомами углерода, в котором, при необходимости, одна группа метилена замещена кислородом или серой; или (однако не в случае соединений формулы (I-1)) означает фенил или пиридил, замещенный, соответственно, при необходимости, один раз фтором, хлором, бромом, метилом, этилом, н-пропилом, изо-пропилом, метокси, этокси, трифторметилом или трифторметокси, или А и D совершенно предпочтительно вместе означают, при необходимости, замещенный алкандиил с 3-4 атомами углерода, в котором, при необходимости, один атом углерода замещен кислородом или серой и который, при необходимости, замещен метилом, или А и D вместе с атомами, с которыми они связаны, означают (в случае соединений формулы (I-1)) группу:
А и Q1 совершенно предпочтительно вместе означают алкандиил с 3-4 атомами углерода, замещенный, при необходимости, один или два раза метилом или метокси, или Q1 совершенно предпочтительно означает водород. Q2 совершенно предпочтительно означает водород. Q4, Q5 и Q6 независимо друг от друга совершенно предпочтительно означают водород или метил. Q3 совершенно предпочтительно означает водород, метил, этил или циклоалкил с 3-6 атомами углерода, или Q3 и Q4 совершенно предпочтительно вместе с атомом углерода, с которым они связаны, означает насыщенное кольцо с 5-6 атомами углерода, которое замещено, при необходимости, метилом или метокси и в котором, при необходимости, один член кольца замещен кислородом или серой. G совершенно предпочтительно означает водород (а) или одну из групп в которой Е означает эквивалент иона металла или ион аммония, L означает кислород и М означает кислород или серу. R1 совершенно предпочтительно означает алкил с 1-10 атомами углерода, алкенил с 2-10 атомами углерода, алкоксиалкил с 1-4 атомами углерода в части алкокси и 1-2 атомами углерода в части алкила, алкилтиоалкил с 1-4 атомами углерода в части алкилтио и 1-2 атомами углерода в части алкила, замещенный, соответственно, при необходимости, от одного до трех раз фтором или хлором; или циклоалкил с 3-6 атомами углерода, замещенный, при необходимости, от одного до трех раз фтором, хлором, метилом, этилом или метокси, фенил, замещенный, при необходимости, один раз или два раза фтором, хлором, бромом, циано, нитро, метилом, метокси, трифторметилом или трифторметокси, R2 совершенно предпочтительно означает алкил с 1-10 атомами углерода, алкенил с 2-10 атомами углерода или алкоксиалкил с 1-4 атомами углерода в части алкокси и 2-4 атомами углерода в части алкила, замещенный, соответственно, при необходимости, от одного до трех раз фтором, или циклоалкил с 3-6 атомами углерода, замещенный, при необходимости, один раз фтором, метилом или метокси, или фенил или бензил, замещенный, соответственно, при необходимости один раз или два раза фтором, хлором, циано, нитро, метилом, метокси, трифторметилом или трифторметокси. R3 совершенно предпочтительно означает метил, этил, н-пропил, изо-пропил, замещенный, соответственно, при необходимости, от одного до трех раз фтором; или фенил, замещенный, при необходимости, один раз фтором, хлором, бромом, метилом, трет-бутилом, метокси, трифторметилом, трифторметокси, циано или нитро. R4 совершенно предпочтительно означает алкил с 1-4 атомами углерода, алкокси с 1-4 атомами углерода, алкиламино с 1-4 атомами углерода, диалкиламино с 1-4 атомами углерода в части алкила, алкилтио с 1-4 атомами углерода; или фенил, фенокси или фенилтио, замещенный, соответственно, при необходимости, один раз фтором, хлором, бромом, нитро, циано, алкокси с 1-2 атомами углерода, фторалкокси с 1-2 атомами углерода, алкилтио с 1-2 атомами углерода, фторалкилтио с 1-2 атомами углерода или алкилом с 1-3 атомами углерода. R5 совершенно предпочтительно означает алкокси с 1-3 атомами углерода или алкилтио с 1-3 атомами углерода. R6 совершенно предпочтительно означает водород; алкил с 1-4 атомами углерода, циклоалкил с 3-6 атомами углерода, алкокси с 1-4 атомами углерода, алкенил с 3-4 атомами углерода, алкоксиалкил с 1-4 атомами углерода в частях алкокси и алкила; фенил, замещенный, при необходимости, один раз или два раза фтором, хлором, бромом, трифторметилом, метилом или метокси; бензил, замещенный, при необходимости, один раз фтором, хлором, бромом, метилом, трифторметилом или метокси. R7 совершенно предпочтительно означает алкил с 1-4 атомами углерода, алкенил с 3-4 атомами углерода или алкоксиалкил с 1-4 атомами углерода в части алкокси и 1-2 атомами углерода в части алкила. R6 и R7 совершенно предпочтительно вместе означают остаток алкилена с 5-6 атомами углерода, в котором, при необходимости, одна группа метилена замещена кислородом или серой. Преимущественно предпочтительными являются соединения, у которых Z означает водород и Y находится в пара-положении к группе СКЕ или у которых Z означает группу в пара- или мета-положении к группе СКЕ. Отмечают соединения, у которых Y означает 4-алкил (в частности, 4-метил). Вышеуказанные общие или в предпочтительных областях приведенные определения или пояснения остатков могут любым образом комбинироваться между собой, а также между соответствующими областями и предпочтительными областями. Согласно изобретению предпочтительными являются соединения формулы (I), в которой представлена комбинация вышеуказанных предпочтительных (преимущественных) значений. Согласно изобретению особенно предпочтительными являются соединения формулы (I), в которой представлена комбинация вышеуказанных особенно предпочтительных значений. Согласно изобретению совершенно предпочтительными являются соединения формулы (I), в которой представлена комбинация вышеуказанных совершенно предпочтительных значений. Насыщенные или ненасыщенные остатки углеводородов, такие как алкил или алкенил, также в соединении с гетероатомами, как, например, в алкокси, насколько возможно, являются, соответственно, неразветвленными или разветвленными. При необходимости, замещенные остатки могут быть, поскольку не указано иначе, однократно или многократно замещены, причем при многократных замещениях заместители могут быть одинаковыми или различными. Далее называют следующие предпочтительные определения остатков в части арила соединений формулы (I). Соединения формулы (I) с этими определениями остатков образуют предпочтительные подгруппы соединений формулы (I). В таких подгруппах: W предпочтительно означает алкил с 1-6 атомами углерода или алкокси с 1-6 атомами углерода, Х предпочтительно означает галоген, алкил с 1-6 атомами углерода, алкокси с 1-6 атомами углерода, галогеналкил с 1-4 атомами углерода, галогеналкокси с 1-4 атомами углерода или циано, Y предпочтительно в положении 4 означает водород, галоген, циано или галогеналкил с 1-4 атомами углерода, Z предпочтительно означает водород. W также предпочтительно означает водород, галоген или алкил с 1-6 атомами углерода, X также предпочтительно означает галоген, алкил с 1-6 атомами углерода, алкокси с 1-6 атомами углерода, галогеналкил с 1-4 атомами углерода, галогеналкокси с 1-4 атомами углерода или циано, Y также предпочтительно в положении 4 означает остаток Z также предпочтительно означает водород, V1 также предпочтительно означает галоген, алкил с 1-12 атомами углерода, алкокси с 1-6 атомами углерода, галогеналкил с 1-4 атомами углерода или галогеналкокси с 1-4 атомами углерода, V2 также предпочтительно означает водород, галоген, алкил с 1-6 атомами углерода, алкокси с 1-6 атомами углерода или галогеналкил с 1-4 атомами углерода, V1 и V2 вместе также предпочтительно означают алкандиил с 3-4 атомами углерода, который, при необходимости, может быть замещен галогеном и/или алкилом с 1-2 атомами углерода и который, при необходимости может быть прерван одним или двумя атомами кислорода. W также предпочтительно означает водород или алкил с 1-6 атомами углерода, X также предпочтительно означает галоген, алкил с 1-6 атомами углерода, алкокси с 1-6 атомами углерода, галогеналкил с 1-4 атомами углерода, галогеналкокси с 1-4 атомами углерода или циано или Y также предпочтительно в положении 5 означает остаток Z также предпочтительно в положении 4 означает водород, алкил с 1-6 атомами углерода или галоген, V1 также предпочтительно означает галоген, алкил с 1-12 атомами углерода, алкокси с 1-6 атомами углерода, галогеналкил с 1-4 атомами углерода или галогеналкокси с 1-4 атомами углерода, V2 также предпочтительно означает водород, галоген, алкил с 1-6 атомами углерода, алкокси с 1-6 атомами углерода или галогеналкил с 1-4 атомами углерода, V1 и V2 вместе также предпочтительно означают алкандиил с 3-4 атомами углерода, который, при необходимости, может быть замещен галогеном и алкилом с 1-2 атомами углерода и который, при необходимости, может быть прерван одним или двумя атомами кислорода. W, кроме того, предпочтительно означает водород, метил, пропил, изо-пропил или галоген, Х, кроме того, предпочтительно означает галоген, алкил с 1-6 атомами углерода, алкокси с 1 атомом углерода, галогеналкил с 1-4 атомами углерода, галогеналкокси с 1-4 атомами углерода или циано, Y, кроме того, предпочтительно в положении 3 или 5 означает водород, галоген или алкил с 1-6 атомами углерода, Z, кроме того, предпочтительно в положении 4 означает водород, галоген, алкил с 1 атомом углерода, галогеналкил с 1-4 атомами углерода, циано или галогеналкокси с 1-4 атомами углерода. Далее в подгруппах: W особенно предпочтительно означает алкил с 1-4 атомами углерода или алкокси с 1-4 атомами углерода, Х особенно предпочтительно означает хлор, бром, алкил с 1-4 атомами углерода, алкокси с 1-4 атомами углерода, галогеналкил с 1-2 атомами углерода, галогеналкокси с 1-2 атомами углерода или циано, Y особенно предпочтительно в положении 4 означает водород, хлор, бром, циано или трифторметил. Z особенно предпочтительно означает водород. W также особенно предпочтительно означает водород, хлор, бром или алкил с 1-4 атомами углерода, Х также особенно предпочтительно означает хлор, бром, алкил с 1-4 атомами углерода, алкокси с 1-4 атомами углерода, галогеналкил с 1-2 атомами углерода, галогеналкокси с 1-2 атомами углерода или циано, Y также особенно предпочтительно в положении 4 означает остаток
Z также особенно предпочтительно означает водород, V1 также особенно предпочтительно означает фтор, хлор, алкил с 1-4 атомами углерода, алкокси с 1-4 атомами углерода, галогеналкил с 1-2 атомами углерода или галогеналкокси с 1-4 атомами углерода, V2 также особенно предпочтительно означает водород, фтор, хлор, алкил с 1-4 атомами углерода, алкокси с 1-4 атомами углерода или галогеналкил с 1-2 атомами углерода, V1 и V2 вместе также особенно предпочтительно означают -О-СН2-О- и -O-CF2-O-. W также особенно предпочтительно означает водород или алкил с 1-4 атомами углерода, Х также особенно предпочтительно означает хлор, алкил с 1-4 атомами углерода или галогеналкил с 1-2 атомами углерода, Y также особенно предпочтительно в положении 5 означает остаток
Z также особенно предпочтительно в положении 4 означает водород, алкил с 1-4 атомами углерода или хлор. V1 также особенно предпочтительно означает фтор, хлор, алкил с 1-4 атомами углерода, алкокси с 1-4 атомами углерода, галогеналкил с 1-2 атомами углерода или галогеналкокси с 1-2 атомами углерода, V2 также особенно предпочтительно означает водород, фтор, хлор, алкил с 1-4 атомами углерода, алкокси с 1-4 атомами углерода или галогеналкил с 1-2 атомами углерода, V1 и V2 вместе также особенно предпочтительно означают -О-СН2-О- и -O-CF2-O-. W, кроме того, особенно предпочтительно означает водород, метил, хлор или бром, Х, кроме того, особенно предпочтительно означает хлор, бром, алкил с 1-4 атомами углерода, алкокси с 1-4 атомами углерода, галогеналкил с 1-2 атомами углерода, галогеналкокси с 1-2 атомами углерода или циано, Y, кроме того, особенно предпочтительно в положении 3 или 5 означает водород, хлор, бром или алкил с 1-4 атомами углерода, Z, кроме того, предпочтительно в положении 4 означает водород, хлор, бром, алкил с 1-4 атомами углерода, галогеналкил с 1-2 атомами углерода, циано или галогеналкокси с 1-2 атомами углерода. Также в подгруппах: W совершенно предпочтительно означает этил или метокси, X совершенно предпочтительно означает хлор, бром, метил, этил, пропил, метокси, трифторметил, дифторметокси, трифторэтокси или циано, Y также совершенно предпочтительно в положении 4 означает водород, хлор или бром, Z совершенно предпочтительно означает водород. W также совершенно предпочтительно означает водород, хлор, бром или метил, Х также совершенно предпочтительно означает хлор, бром, метил, этил, пропил, метокси, трифторметил, дифторметокси или циано, Y также совершенно предпочтительно в положении 4 означает остаток
Z также совершенно предпочтительно означает водород, V1 также совершенно предпочтительно означает фтор, хлор, метил, метокси, трифторметил или трифторметокси, V2 также совершенно предпочтительно означает водород, фтор, хлор, метил, метокси или трифторметил. W также совершенно предпочтительно означает водород или метил, Х также совершенно предпочтительно означает хлор, метил или трифторметил, Y также совершенно предпочтительно в положении 5 означает остаток
Z также совершенно предпочтительно в положении 4 означает водород или метил, V1 также совершенно предпочтительно означает фтор, хлор, метил, метокси, трифторметил или трифторметокси, V2 также совершенно предпочтительно означает водород, фтор, хлор, метил, метокси или трифторметил. W, кроме того, совершенно предпочтительно означает водород, метил, хлор или бром, X, кроме того, совершенно предпочтительно означает хлор, бром, метил, метокси, трифторметил, дифторметокси, трифторэтокси или циано, Y, кроме того, совершенно предпочтительно в положении 3 или 5 означает водород, хлор, бром или метил, Z, кроме того, совершенно предпочтительно в положении 4 означает водород, хлор, бром, метил, трифторметил или трифторметокси. Также в подгруппах: W, в частности, предпочтительно означает этил или метокси, Х, в частности, предпочтительно означает хлор, бром, метил, этил, пропил, метокси, трифторметил, дифторметокси или циано, Y, в частности, предпочтительно в положении 4 означает водород, хлор или бром, Z, в частности, предпочтительно в положении 5 означает водород. Также в подгруппах: W также, в частности, предпочтительно означает водород, хлор, бром или метил, Х также, в частности, предпочтительно означает хлор, бром, метил, этил, пропил, метокси, трифторметил, дифторметокси или циано, Y также, в частности, предпочтительно в положении 4 означает остаток
Z также, в частности, предпочтительно означает водород, V1 также, в частности, предпочтительно означает фтор, хлор, метил, метокси, трифторметил или трифторметокси, V2 также, в частности, предпочтительно означает водород, фтор, хлор, метил, метокси или трифторметил. W также, в частности, предпочтительно означает водород или метил, Х также, в частности, предпочтительно означает хлор или метил, Y также, в частности, предпочтительно в положении 5 означает остаток
Z также, в частности, предпочтительно в положении 4 означает водород или метил, V1 также, в частности, предпочтительно означает фтор, хлор, метил, метокси, трифторметил или трифторметокси, V2 также, в частности, предпочтительно означает водород, фтор, хлор, метил, метокси или трифторметил. Также в подгруппах: W, кроме того, в частности, предпочтительно означает водород, метил, хлор или бром, Х, кроме того, в частности, предпочтительно означает хлор, бром, метил, метокси, трифторметил, дифторметокси или циано. Y, кроме того, в частности, предпочтительно в положении 3 или 5 означает водород, хлор, бром или метил, Z, кроме того, в частности, предпочтительно в положении 4 означает водород, хлор, бром, метил, трифторметил или трифторметокси. В частности, кроме соединений, приведенных в примерах, называют следующие соединения формулы (I-1-а):
Таблица 1: W=СН3, Х=СН3, Y=4-CH3, Z=Н.
Таблица 2: А, В и D такие, как указаны в таблице 1 W=СН3; Х=СН3; Y=4-Cl; Z=Н. Таблица 3: А, В и D такие, как указаны в таблице 1 W=СН3; Х=СН3; Y=4-Br; Z=Н. Таблица 4: А, В и D такие, как указаны в таблице 1 W=С2Н5; Х=СН3; Y=4-Cl; Z=Н. Таблица 5: А, В и D такие, как указаны в таблице 1 W=С2Н5; Х=СН3; Y=4-Br; Z=Н. Таблица 6: А, В и D такие, как указаны в таблице 1 W=С2Н5; Х=С2Н5; Y=4-Cl; Z=Н. Таблица 7: А, В и D такие, как указаны в таблице 1 W=С2Н5; Х=С2Н5; Y=4-Br; Z=Н. Таблица 8: А, В и D такие, как указаны в таблице 1 W=СН3; Х=Cl; Y=4-Cl; Z=Н. Таблица 9: А, В и D такие, как указаны в таблице 1 W=СН3; Х=Br; Y=4-Br; Z=Н. Таблица 10: А, В и D такие, как указаны в таблице 1 W=СН3; Х=Cl; Y=4-Br; Z=Н. Таблица 11: А, В и D такие, как указаны в таблице 1 W=СН3; Х=Br; Y=4-Cl; Z=Н. Таблица 12: А. В и D такие, как указаны в таблице 1 W=С2Н5; Х=Cl; Y=4-Cl; Z=Н. Таблица 13: А, В и D такие, как указаны в таблице 1 W=С3Н5; Х=Br; Y=4-Br; Z=Н. Таблица 14: А, В и D такие, как указаны в таблице 1 W=С2Н5; Х=Cl; Y=4-Br; Z=Н. Таблица 15: А, В и D такие, как указаны в таблице 1 W=C2H5; X=Br; Y=4-Cl; Z=H. Таблица 16: А. В и D такие, как указаны в таблице 1 W=СН3; Х=СН3; Y=Н; Z=4-(4-Cl-С6Н4). Таблица 17: А, В и D такие, как указаны в таблице 1 W=СН3; Х=Cl; Y=Н; Z=4-(4-Cl-С6Н4). Таблица 18: А, В и D такие, как указаны в таблице 1 W=C2H5; Х=СН3; Y=Н; Z=4-(4-Cl-С6Н4). Таблица 19: А, В и D такие, как указаны в таблице 1 W=C2H5; Х=Cl; Y=Н; Z=4-(4-Cl-С6Н4). Таблица 20: А, В и D такие, как указаны в таблице 1 W=C2H5; Х=С2Н5; Y=Н; Z=4-(4-Cl-С6Н4). Таблица 21: А, В и D такие, как указаны в таблице 1 W=Н; Х=СН3; Y=Н; Z=5-(4-Cl-С6Н4). Таблица 22: А, В и D такие, как указаны в таблице 1 W=Н; Х=СН3; Y=4-СН3; Z=5-(4-Cl-С6Н4). В частности, кроме соединений, приведенных в примерах получения, называют следующие соединения формулы (I-2-a):
Таблица 23: W=СН3, X=СН3, Y=4-СН3, Z=Н
Таблица 24: А и В такие, как указаны в таблице 23 W=СН3; Х=СН3; Y=4-Cl; Z=Н. Таблица 25: А и В такие, как указаны в таблице 23 W=СН3; Х=СН3; Y=4-Br; Z=Н. Таблица 26: А и В такие, как указаны в таблице 23 W=С2Н5; Х=СН3; Y=4-Cl; Z=Н. Таблица 27: А и В такие, как указаны в таблице 23 W=С2Н5; Х=СН3; Y=4-Br; Z=Н. Таблица 28: А и В такие, как указаны в таблице 23 W=С2Н5; Х=С2Н5; Y=4-Cl; Z=Н. Таблица 29: А и В такие, как указаны в таблице 23 W=С2Н5; Х=С2Н5; Y=4-Br; Z=Н. Таблица 30: А и В такие, как указаны в таблице 23 W=СН3; Х=СН3; Y=Н; Z=4-(4-Cl-С6Н4). Таблица 31: А и В такие, как указаны в таблице 23 W=СН3; Х=С2Н5; Y=Н; Z=4-(4-Cl-С6Н4). Таблица 32: А и В такие, как указаны в таблице 23 W=C2H5; Х=С2Н5; Y=Н; Z=4-(4-Cl-С6Н4). Таблица 33: А и В такие, как указаны в таблице 23 W=Cl; Х=СН3; Y=Н; Z=4-(4-Cl-С6Н4). Таблица 34: А и В такие, как указаны в таблице 23 W=Cl; Х=С2Н5; Y=Н; Z=4-(4-Cl-С6Н4). Таблица 35: А и В такие, как указаны в таблице 23 W=Н; Х=СН3; Y=Н; Z=5-(4-Cl-С6Н4). Таблица 36: А и В такие, как указаны в таблице 23 W=Н; Х=СН3; Y=4-СН3; Z=5-(4-Cl-С6Н4). Описанные в таблицах 1-36 комбинации W, X, Y и Z также представляют предпочтительные комбинации остатков в соединениях формулы (I). Предпочтительные значения групп, приведенных выше в связи с соединениями, улучшающими совместимость с культурными растениями («гербициды и защитные вещества») формул (IIa), (IIb), (IIc), (IId) и (IIe) определяют далее. n предпочтительно означает числа 0, 1, 2, 3 или 4. А1 означает одну из приведенных ниже дивалентных гетероциклических групп А2 предпочтительно означает метилен или этилен, замещенный, соответственно, при необходимости, метилом, этилом, метокси-карбонилом или этокси-карбонилом. R8 предпочтительно означает гидрокси, меркапто, амино, метокси, этокси, н- или изо-пропокси, н-, изо-, втор- или трет-бутокси, метилтио, этилтио, н- или изо-пропилтио, н-, изо-, втор- или трет-бутилтио, метиламино, этиламино, н- или изо-пропиламино, н-, изо-, втор- или трет-бутиламино, диметиламино или диэтиламино. R9 предпочтительно означает гидрокси, меркапто, амино, метокси, этокси, н- или изо-пропокси, н-, изо-, втор- или трет-бутокси, метилтио, этилтио, н- или изо-пропилтио, н-, изо-, втор- или трет-бутилтио, метиламино, этиламино, н- или изо-пропиламино, н-, изо-, втор- или трет-бутиламино, диметиламино или диэтиламино. R10 предпочтительно означает метил, этил, н- или изо-пропил, замещенный, соответственно, при необходимости, фтором, хлором и/или бромом. R11 предпочтительно означает водород; метил, этил, н- или изо-пропил, н-, изо-, втор- или трет-бутил, пропенил, бутенил, пропинил или бутинил, метоксиметил, этоксиметил, метоксиэтил, этоксиэтил, диоксоланилметил, фурил, фурилметил, тиенил, тиазолил, пиперидинил, замещенный, соответственно, при необходимости, фтором и/или хлором; или фенил, замещенный, при необходимости, фтором, хлором, метилом, этилом, н- или изо-пропилом, н-, изо-, втор- или трет-бутилом. R12 предпочтительно означает водород; метил, этил, н- или изо-пропил, н-, изо-, втор- или трет-бутил, пропенил, бутенил, пропинил или бутинил, метоксиметил, этоксиметил, метоксиэтил, этоксиэтил, диоксоланилметил, фурил, фурилметил, тиенил, тиазолил, пиперидинил, замещенный, соответственно, при необходимости, фтором и/или хлором; или фенил, замещенный, при необходимости, фтором, хлором, метилом, этилом, н- или изо-пропилом, н-, изо-, втор- или трет-бутилом; или вместе с R11 означает один из остатков -СН2-О-СН2-СН2– и -СН2-СН2-О-СН2-СН2-, которые, при необходимости, замещены метилом, этилом, фурилом, фенилом, анеллированым бензольным кольцом или двумя заместителями, которые вместе с атомом углерода, с которым они связаны, образуют 5- или 6-членный карбоцикл. R13 предпочтительно означает водород, циано, фтор, хлор, бром; или метил, этил, н- или изо-пропил, циклопропил, циклобутил, циклопентил, циклогексил или фенил, замещенный, соответственно, при необходимости, фтором, хлором и/или бромом. R14 предпочтительно означает водород; метил, этил, н- или изо-пропил, н-, изо-, втор- или трет-бутил, замещенный, при необходимости, гидрокси, циано, фтором, хлором, метокси, этокси, н- или изо-пропокси. R15 предпочтительно означает водород, циано, фтор, хлор, бром; или метил, этил, н- или изо-пропил, н-, изо-, втор- или трет-бутил, циклопропил, циклобутил, циклопентил, циклогексил или фенил, замещенный, соответственно, при необходимости, фтором, хлором и/или бромом. X1 предпочтительно означает нитро, циано, фтор, хлор, бром, метил, этил, н- или изо-пропил, н-, изо-, втор- или трет-бутил, дифторметил, дихлорметил, трифторметил, трихлорметил, хлордифторметил, фтордихлорметил, метокси, этокси, н- или изо-пропокси, дифторметокси или трифторметокси. X2 предпочтительно означает водород, нитро, циано, фтор, хлор, бром, метил, этил, н- или изо-пропил, н-, изо-, втор- или трет-бутил, дифторметил, дихлорметил, трифторметил, трихлорметил, хлордифторметил, фтордихлорметил, метокси, этокси, н- или изо-пропокси, дифторметокси или трифторметокси. X3 предпочтительно означает водород, нитро, циано, фтор, хлор, бром, метил, этил, н- или изо-пропил, н-, изо-, втор- или трет-бутил, дифторметил, дихлорметил, трифторметил, трихлорметил, хлордифторметил, фтордихлорметил, метокси, этокси, н- или изо-пропокси, дифторметокси или трифторметокси. R16 предпочтительно означает водород, метил, этил, н- или изо-пропил. R17 предпочтительно означает водород, метил, этил, н- или изо-пропил. R18 предпочтительно означает водород; метил, этил, н- или изо-пропил, н-, изо-, втор- или трет-бутил, метокси, этокси, н- или изо-пропокси, н-, изо-, втор- или трет-бутокси, метилтио, этилтио, н- или изо-пропилтио, н-, изо-, втор- или трет-бутилтио, метиламино, этиламино, н- или изо-пропиламино, н-, изо-, втор- или трет-бутиламино, диметиламино или диэтиламино, замещенный, соответственно, при необходимости, циано, фтором, хлором, метокси, этокси, н- или изо-пропокси; или циклопропил, циклобутил, циклопентил, циклогексил, циклопропилокси, циклобутилокси, циклопентилокси, циклогексилокси, циклопропилтио, циклобутилтио, циклопентилтио, циклогексилтио, циклопропиламино, циклобутиламино, циклопентиламино или циклогексиламино, замещенный, соответственно, при необходимости, циано, фтором, хлором, бромом, метилом, этилом, н- или изо-пропилом. R19 предпочтительно означает водород; метил, этил, н- или изо-пропил, н-, изо- или втор-бутил, замещенный, соответственно, при необходимости, циано, гидрокси, фтором, хлором, метокси, этокси, н- или изо-пропокси; пропенил, бутенил, пропинил или бутинил, замещенный, соответственно, при необходимости, циано, фтором, хлором или бромом; или циклопропил, циклобутил, циклопентил или циклогексил, замещенный, соответственно, при необходимости, циано, фтором, хлором, бромом, метилом, этилом, н- или изо-пропилом. R20 предпочтительно означает водород; метил, этил, н- или изо-пропил, н-, изо- или втор-бутил, замещенный, соответственно, при необходимости, циано, гидрокси, фтором, хлором, метокси, этокси, н- или изо-пропокси; пропенил, бутенил, пропинил или бутинил, замещенный, соответственно, при необходимости, циано, фтором, хлором или бромом; циклопропил, циклобутил, циклопентил или циклогексил, замещенный, соответственно, при необходимости, циано, фтором, хлором, бромом, метилом, этилом, н- или изо-пропилом; или фенил, замещенный, при необходимости, нитро, циано, фтором, хлором, бромом, метилом, этилом, н- или изо-пропилом, н-, изо-, втор- или трет-бутилом, трифторметилом, метокси, этокси, н- или изо-пропокси, дифторметокси или трифторметокси; или вместе с R19 означает бутан-1,4-диил (триметилен), пентан-1,5-диил, 1-окса-бутан-1,4-диил или 3-окса-пентан-1,5-диил, замещенный, соответственно, при необходимости, метилом или этилом. X4 предпочтительно означает нитро, циано, карбокси, карбамоил, формил, сульфамоил, гидрокси, амино, фтор, хлор, бром, метил, этил, н- или изо-пропил, н-, изо-, втор- или трет-бутил, трифторметил, метокси, этокси, н- или изо-пропокси, дифторметокси или трифторметокси. X5 предпочтительно означает нитро, циано, карбокси, карбамоил, формил, сульфамоил, гидрокси, амино, фтор, хлор, бром, метил, этил, н- или изо-пропил, н-, изо-, втор- или трет-бутил, трифторметил, метокси, этокси, н- или изо-пропокси, дифторметокси или трифторметокси. Примеры соединений формулы (IIa) совершенно предпочтительных в качестве предложенных согласно изобретению гербицидов и защитных веществ приводят в следующей таблице. Таблица 37: примеры соединений формулы (IIa)
В следующей таблице 38 приводят примеры совершенно предпочтительных в качестве предложенных согласно изобретению гербицидов и защитных веществ соединений формулы (IIb).
В следующей таблице 39 приводят примеры совершенно предпочтительных в качестве предложенных согласно изобретению гербицидов и защитных веществ соединений формулы (IIc).
В следующей таблице 40 приводят примеры совершенно предпочтительных в качестве предложенных согласно изобретению гербицидов и защитных веществ соединений формулы (IId).
В следующей таблице 41 приводят примеры совершенно предпочтительных в качестве предложенных согласно изобретению гербицидов и защитных веществ соединений формулы (IIe).
В качестве соединения, улучшающего совместимость с культурными растениями [компонента (b)], особенно предпочтительны клоквинтосет-мексил, фенхлоразол-этил, изоксадифен-этил, мефенпир-диэтил, фурилазол, фенклорим, кумилурон, димрон, димепиперат и соединение IIe-11, причем особенно отмечают клоквинтосет-мексил и мефенпир-диэтил. В следующей таблице 42 приводят примеры предложенных согласно изобретению селективных гербицидных комбинаций из, соответственно, одного активного вещества формулы (I) и, соответственно, одного из вышеопределенных защитных веществ.
Теперь неожиданно найдено, что вышеопределенные комбинации активных веществ из замещенных циклических кетоенолов общей формулы (I) и защитных веществ (антидотов) из вышеуказанной группы (b) демонстрируют особенно высокую гербицидную эффективность при очень хорошей совместимости с полезными растениями и могут применяться для селективной борьбы с сорняками в различных культурах, в частности в зерновых культурах (прежде всего, пшенице), а также в сое, картофеле, кукурузе и рисе. При этом в качестве неожиданности рассматривается, что из множества известных защитных веществ или антидотов, которые способны антагонизировать вредное действие гербицидов на культурные растения, подходящими являются именно вышеприведенные соединения группы (b), практически полностью устраняющие вредное действие замещенных циклических кетоенолов на культурные растения, причем без ухудшения гербицидной эффективности относительно сорняков. При этом отмечают особенно выгодное действие особенно и наиболее предпочтительных комбинационных компонентов из группы (b), в частности, относительно бережного отношения к зерновым злакам, таким как, например, пшеница, ячмень и рожь, а также кукуруза и рис, в качестве культурных растений. Предложенные согласно изобретению комбинации активных веществ могут применяться, например, в следующих растениях: Двудольные сорняки видов: Sinapis (горчица), Lepidium (клоповник), Galium (подмаренник), Stellaria (звездчатка), Matricaria (матрикария), Anthemis (пупавка), Galinsoga (галинзога), Chenopodium (марь), Urtica (крапива), Senecio (крестовник), Amaranthus (амарант), Portulaca (портулак), Xanthium (дурнишник), Convolvulus (вьюнок), Ipomoea (ипомея), Polygonum (горец), Sesbania (сесбания), Ambrosia (амброзия), Cirsium (бодяк), Carduus (чертополох), Sonchus (осот), Solanum (паслен), Rorippa (жерушник), Rotala (ротала), Lindernia (линдерния), Lamium (яснотка), Veronica (вероника), Abutilon (абутилон), Emex (эмекс), Datura (дурман), Viola (фиалка), Galeopsis (пикульник), Papaver (мак), Centaurea (василек), Trifolium (клевер), Ranunculus (лютик), Taraxacum (одуванчик). Двудольные культурные растения видов: Gossypium (хлопчатник), Glycine (соя), Beta (свекла), Daucus (морковь), Phaseolus (фасоль), Pisum (горох), Solanum (паслен), Linum (лен), Ipomoea (ипомея), Vicia (вика), Nicotiana (табак), Lycopersicon (томат), Arachis (арахис), Brassica (капуста), Lactuca (латук), Cucumis (огурец), Cuburbita (тыква), Helianthus (подсолнечник). Однодольные сорняки видов: Echinochloa (ежовник), Setaria (щетинник), Panicum (просо), Digitaria (росичка), Phleum (тимофеевка), Роа (мятлик), Festuca (овсяница), Eleusine (элевсина), Brachiaria (брахиярия), Lolium (плевел), Bromus (костер), Avena (овес), Cyperus (сыть), Sorghum (сорго), Agropyron (житняк), Cynodon (свинорой), Monochoria (монохория), Fimbristylis (фимбристилис), Sagittaria (стрелолист), Eleocharis (болотница), Scirpus (камыш), Paspalum (гречка), Ischaemum, Sphenoclea, Dactyloctenium, Agrostis (полевица), Alopecurus (лисохвост), Арега (метлица). Однодольные культурные растения видов: Oryza (рис), Zea (кукуруза), Triticum (тритикале), Hordeum (ячмень), Avena (овес), Secale (рожь), Sorghum (сорго), Panicum (просо), Saccharum (сахарный тростник), Ananas (ананас), Asparagus (спаржа), Allium (лук). Однако применение предложенных согласно изобретению комбинаций активных веществ ни в коем случае не ограничивается данными видами, а равным образом распространяется на другие растения. Согласно изобретению могут быть обработаны все растения и части растений. Причем под растениями понимают все растения и популяции растений, такие как желательные и нежелательные дикорастущие или культурные растения (включая культурные растения естественного происхождения). Культурными растениями могут являться растения, получение которых возможно условными методами разведения и оптимизации или биотехнологическими и генотехнологическими методами, или комбинациями таких методов, включая трансгенные растения и сорта растений, защищенные или не защищенные охранными документами. Под частями растений понимают все поверхностные и подземные части и органы растений, такие как побеги, листья, цветки и корни, причем в качестве примеров приводят листья, иглы, стебли, стволы, цветы, плодовые тела, плоды и семена, а также корни, клубни и корневища. Частями растений также является растениеводческая продукция, а также вегетативные и генеративные материалы размножения, например черенки, клубни, корневища, горизонтальные отводки и семена. Предложенную согласно изобретению обработку растений и частей растений активными веществами проводят непосредственно или воздействием на их окружающую среду, среду обитания или закрытое хранилище обычными методами обработки, например окунанием, опрыскиванием, испарением, распылением, рассеиванием, намазыванием, а при обработке материалов размножения, в частности при обработке семян, также однослойным или многослойным окутыванием. Предпочтительный эффект совместимости с культурными растениями предложенных согласно изобретению комбинаций активных веществ особенно ярко выражен при определенных соотношениях концентрации. Однако массовые соотношения активных веществ в комбинациях могут варьироваться в относительно широких пределах. В общем, на 1 мас. часть активного вещества формулы (I) приходится от 0,001 до 1000 мас. частей, предпочтительно от 0,01 до 100 мас. частей, особенно предпочтительно от 0,05 до 10 мас. частей и наиболее предпочтительно от 0,07 до 1,5 мас. частей солей одного из вышеназванных под (b) соединений, улучшающих совместимость с культурными растениями (антидотов/защитных веществ). Активные вещества или комбинации активных веществ можно переводить в обычные препаративные формы, такие как растворы, эмульсии, смачивающиеся порошки, суспензии, порошки, опыляющие средства, пасты, растворимые порошки, грануляты, концентраты эмульсии и суспензии, природные и синтетические вещества, пропитанные активным веществом, а также микрокапсулированные в полимерных капсулах формы. Такие препаративные формы получают известным способом, например, смешиванием активных веществ с разбавителями, например, жидкими растворителями, и/или твердыми носителями, при необходимости, с использованием поверхностно-активных веществ, например эмульгаторов и/или диспергаторов, и/или пенообразователей. Если в качестве разбавителя используют воду, то в качестве вспомогательных растворителей также можно использовать, например, органические растворители. В качестве жидких растворителей используют ароматические соединения, например, такие как ксилол, толуол, или алкилнафталин, хлорированные ароматические соединения и хлорированные алифатические углеводороды, такие как хлорбензол, хлорзтилен или метиленхлорид, алифатические углеводороды, такие как циклогексан или парафины, например, нефтяные фракции, минеральные и растительные масла, спирты, такие как бутанол или гликоль, а также их простые и сложные эфиры, кетоны, такие как ацетон, метилэтилкетон, метилизобутилкетон или циклогексанон, сильно полярные растворители, такие как диметилформамид и диметилсульфоксид, а также воду. В качестве твердых носителей используют, например, соли аммония и природные пылевидные кремнеземы, такие как каолины, глинозем, тальк, мел, кварц, аттапульгит, монтмориллонит или диатомовая земля, и синтетические пылевидные кремнеземы, такие как высокодисперсная кремневая кислота, оксид алюминия и силикаты; в качестве носителей для гранулятов используют, например, дробленные и фракционированные природные горные породы, такие как кальцит, мрамор, пемза, сепиолит, доломит, а также искусственные грануляты из неорганических и органических порошкообразных веществ, а также грануляты из органических материалов, например, таких как древесные опилки, скорлупа кокосовых орехов, кукурузные початки и стебли табака; в качестве эмульгаторов и/или пенообразоватей используют, например, неионогенные и анионные эмульгаторы, такие как сложные эфиры полиоксиэтилированных жирных кислот, простые эфиры полиоксиэтилированных жирных спиртов, например, простой алкиларилполигликолевый эфир, алкилсульфонат, алкилсульфат, арилсульфонат, а также гидролизаты белков; в качестве диспергаторов используют, например, отработанный лигнинсульфатный щелок и метилцеллюлозу. Препаративные формы могут содержать связывающие агенты, такие как карбоксиметилцеллюлоза, натуральные и синтетические порошкообразные, зернистые и латексообразные полимеры, такие как гуммиарабик, поливиниловый спирт, поливинилацетат, а также природные фосфолипиды, например кефалин и лецитин, и синтетические фосфолипиды. Другими добавками могут быть минеральные и растительные масла. Возможно использование красителей, таких как неорганические пигменты, например оксид железа, оксид титана, берлинская лазурь, и органические красители, например ализариновые красители, азокрасители и металлфталоцианиновые красители и микроэлементы в качестве питательных веществ, как соли железа, марганца, бора, меди, кобальта, молибдена и цинка. Препаративные формы содержат в общем между 0,1 и 95% мас., предпочтительно между 0,5 и 90% мас., активных веществ, включая защитные активные вещества. Предложенные согласно изобретению комбинации активных веществ, в общем, могут применяться в виде готовых препаративных форм. Однако активные вещества, содержащиеся в комбинациях, при применении также могут быть смешаны в отдельные препаративные формы, то есть применяться в виде смесей в резервуаре. Новые комбинации активных веществ могут применяться как таковые или в виде своих препаративных форм, кроме того, также в смеси с другими известными гербицидами, причем снова возможно применение готовых препаративных форм или смесей в резервуарах. Также возможно смешивание с другими активными веществами, такими как фунгициды, инсектициды, акарициды, нематициды, защитные вещества от поклева птицами, регуляторы роста, питательные вещества и агенты для улучшения структуры почвы. Для определенных целей применения, в частности при послевсходовой обработке, в случае дальнейшей выгоды, в препаративные формы в качестве следующих дополнительных веществ добавляют совместимые с растениями минеральные или растительные масла (например, препарат под торговым названием “Rako Binol”) или соли аммония, такие как, например, сульфат аммония или роданид аммония. Активные вещества могут применяться как таковые, в виде своих препаративных форм или приготовленных из них посредством следующего разбавления форм, например, таких как готовые к использованию растворы, суспензии, эмульсии, порошки, пасты и грануляты. Применение активных веществ проводят обычным способом, например путем полива, разбрызгивания, распыления, рассыпания или опрыскивания. Нормы расхода предложенных согласно изобретению комбинаций активных веществ могут варьироваться в определенных пределах; кроме того, норма расхода зависит от погоды и факторов почвы. В общем, норма расхода находится между 0,005 и 5 кг на га, предпочтительно между 0,01 и 2 кг на га, особенно предпочтительно между 0,05 и 1,0 кг на га. Предложенные согласно изобретению комбинации активных веществ можно вводить перед и после всхода растений, то есть способом довсходовой обработки и послевсходовой обработки. Примеры применения Компоненты активного вещества и защитного вещества растворяют соответственно в нескольких мл (как правило, 2-3 мл) растворителя (как правило, ацетоне или N,N-диметил-формамиде), растворы объединяют и затем, при необходимости, после добавления эмульгатора, разбавляют водой до желаемой концентрации. Как правило, получают водный рабочий раствор с 0,1 % добавки Renex-36. Пример А Исследование после всхода растений Исследуемые растения выращивают в теплице при контролируемых условиях (температура, свет, влажность воздуха). Опрыскивание проводится, когда исследуемые растения достигают высоты 5-15 см. Концентрацию рабочего раствора выбирают таким образом, чтобы соответственно желаемые количества активного вещества находились в 500 л воды/га. После опрыскивания горшки с исследуемыми растениями находятся в тепличной камере до проведения исследования при контролируемых условиях (температура, свет, влажность воздуха). Через три недели после обработки проводят анализ степени повреждения растений в % повреждения по сравнению с развитием необработанных контрольных растений. Обозначения: 0 % = повреждения отсутствуют (как необработанные контрольные растения) 100 % = полное уничтожение/повреждение. Активные вещества, нормы расхода, исследуемые растения и результаты приводят в следующих таблицах. Активные вещества. пример I-1-а-1. пример I-1-a-2 пример I-1-а-3 пример I-1-a-4 мефенпир-диэтил (применяется в качестве 100 ЕС) клоквинтосет-мексил, 99 %-ный
АВ (активное вещество):
АВ (активное вещество):
Формула изобретения
1. Селективно-гербицидное средство, содержащее эффективное количество комбинации активных веществ, включающей (а) замещенный, циклический кетоенол формулы (I)
в которой Х означает алкил с 1 до 6 атомами углерода или алкокси с 1 до 6 атомами углерода, Z означает водород или остаток
где V1 означает галоген или алкил с 1-6 атомами углерода, V2 и V3 независимо друг от друга означают водород, W и Y независимо друг от друга означают галоген или алкил с 1-6 атомами углерода, при условии, что в случае, если Y означает 4-метил, то W и Х не означают одновременно этил, СКЕ означает одну из групп или
где А означает алкил с 1-6 атомами углерода, В означает алкил с 1-6 атомами углерода, или А и В вместе с атомом углерода, с которым они связаны, означают насыщенный циклоалкил с 3 до 7 атомами углерода, где один член кольца, при необходимости, замещен кислородом, и который, при необходимости, один раз замещен алкилом с 1-6 атомами углерода или алкокси с 1-6 атомами углерода, D означает водород, Q1 означает водород, Q2 означает водород, G означает водород (а) или одну из групп где L означает кислород, М означает кислород, R1 означает алкил с 1 до 10 атомами углерода, R2 означает алкил с 1 до 10 атомами углерода, включая все возможные таутомерные формы соединений общей формулы (I) и (b) соединение, улучшающее совместимость культурными растениями, из следующей группы соединений: 1-метил-гексиловый эфир 5-хлор-хинолин-8-окси-уксусной кислоты (клоквинтосет-мексил) и диэтил-1 -(2,4-дихлор-фенил)-4,5-дигидро-5-метил-1Н-пиразол-3,5-дикарбоксилат (мефенпир-диэтил), причем на 1 мас.ч. компонента (а) замещенного, циклического кетоенола формулы (I) приходится от 0,05 до 10 мас.ч. компонента (b) соединения, улучшающего совместимость культурными растениями. 2. Средство по п.1, у которого в формуле (I) Х означает алкил с 1-4 атомами углерода или алкокси с 1-4 атомами углерода, Z означает водород или остаток
где V1 означает хлор или алкил с 1-6 атомами углерода, V2 означает водород, W и Y независимо друг от друга означают галоген или алкил с 1-4 атомами углерода, при условии, что в случае, если Y означает 4-метил, W и Х не означают одновременно этил, СКЕ означает одну из групп или
А означает алкил с 1 -6 атомами углерода, В означает алкил с 1 -6 атомами углерода, или А, В и атом углерода, с которым они связаны, означают насыщенный циклоалкил с 3-7 атомами углерода, где один член кольца, при необходимости, замещен кислородом, и который, при необходимости, один раз замещен алкилом с 1-6 атомами углерода или алкокси с 1-6 атомами углерода, D означает водород, Q1 означает водород, Q2 означает водород, и G означает водород (а) или одну из групп где L означает кислород, М означает кислород, R1 означает алкил с 1-10 атомами углерода, R2 означает алкил с 1-10 атомами углерода. 3. Средство по п.1, у которого в формуле (I) Х означает метил, этил, пропил, метокси или этокси, Z водород, или остаток
где V1 означает хлор, метил, этил, н-пропил, изо-пропил, н-бутил, изо-бутил или трет-бутил, V2 означает водород, W и Y независимо друг от друга означают фтор, хлор, бром, метил, этил, н-пропил, при условии, что в случае, если Y означает 4-метил, W и Х не означают одновременно этил, СКЕ означает одну из групп или
А означает алкил с 1-4 атомами углерода, В означает метил или этил, или А, В и атом углерода, с которым они связаны, означают насыщенный циклоалкил с 5-6 атомами углерода, в котором, при необходимости, один член кольца замещен кислородом, и который, при необходимости, один раз замещен метилом, этилом, пропилом, изо-пропилом, метокси, этокси, пропокси, бутокси или изобутокси, D означает водород, Q1 означает водород, Q2 означает водород, G означает водород (а) или одну из групп где L означает кислород, М означает кислород, R1 означает алкил с 1-10 атомами углерода, R2 означает алкил с 1-10 атомами углерода. 4. Средство по п.З, у которого в формуле (I) Z означает водород и Y находится в пара-положении к группе СКЕ, или у которого Z означает группу
TZ4A – Поправки к описаниям изобретений
Часть описания, где обнаружена ошибка: Текст опис.,страница 32,строка 48
Напечатано: W = C3H5; X = Br;…
Следует читать: W = C2H5; X = Br;…
Номер и год публикации бюллетеня: 9-2008
Извещение опубликовано: 10.12.2008 БИ: 34/2008
TZ4A – Поправки к описаниям изобретений
Часть описания, где обнаружена ошибка: страница 50,строки 32-39
Напечатано: …
Следует читать: …
Номер и год публикации бюллетеня: 9-2008
Извещение опубликовано: 10.12.2008 БИ: 34/2008
|
|||||||||||||||||||||||||||||||||||||||||||||||||||||||||||||||||||||||||||||||||||||||||||||||||||||||||||||||||||||||||||||||||||||||||||||||||||||||||||||||||||||||||||||||||||||||||||||||||||||||||||||||||||||||||||||||||||||||||||||||||||||||||||||||||||||||||||||||||||||||||||||||||||||||||||||||||||||||||||||||||||||||||||||||||||||||||||||||||||||||||||||||||||||||||||||||||||||||||||||||||||||||||||||||||||||||||||||||||||||||||||||||||||||||||||||||||||||||||||||||||||||||||||||||||||||||||||||||||||||||||||||||||||||||||||||||||||||||||||||||||||||||||||||||||||||||||||||||||||||||||||||||||||||||||||||||||||||||||||||||||||||||||||||||||||||||||||||||||||||||||||||||||||||||||||||||||||||||||||||||||||||||||||||||||||||||||||||||||||||||||||||||||||||||||||||||||||||||||||||||||||||||||||||||||||||||||||||||||||||||||||||||||||||||||||||||||||||||||||||||||||||||||||||||||||||||||||||||||||||||||||||||||||||||||||||||||||||||||||||||||||||||||||||||||||||||||||||||||||||||


3-дигидрофуранона с гербицидными свойствами известны из европейских заявок на патент ЕР-А-528156, ЕР-А-0647637, международных заявок на патент WO 95/26345, WO 96/20196, WO 96/25395, WO 96/35664, WO 97/01535, WO 97/02243, WO 97/36868, WO 98/05638, WO 98/25928, WO 99/16748, WO 99/43649, WO 99/48869, WO 99/55673, японской заявки на патент JP 12-239276 и международной заявки на патент WO 01/17972. Также известны производные 3-арил-


-(цианометоксиимино)-фенилацетонитрил (циометринил), 2,4-дихлор-феноксиуксусная кислота (2,4-D), 4-(2,4-дихлор-фенокси)-масляная кислота (2,4-DB), 1-(1-метил-1-фенил-этил)-3-(4-метил-фенил)-мочевина (даимурон, димрон), 3,6-дихлор-2-метокси-бензойная кислота (дикамба), S-1-метил-1-фенил-этиловый эфир пиперидин-1-тиокарбоновой кислоты (димепи-перат), 2,2-дихлор-N-(2-оксо-2-(2-пропениламино)-этил)-N-(2-пропенил)-ацетамид (DKA-24), 2,2-дихлор-N,N-ди-2-пропенил-ацетамид (дихлормид), 4,6-дихлор-2-фенил-пиримидин (фенклорим), этиловый эфир 1-(2,4-дихлор-фенил)-5-трихлорметил-1Н-1,2,4-триазол-3-карбоновой кислоты (фенхлоразол-этил – также смотри используемые соединения в европейских заявках на патент ЕР-А-174562 и ЕР-А-346620), фенилметиловый эфир 2-хлор-4-трифторметил-тиазол-5-карбоновой кислоты (флюразол), 4-хлор-N-(1,3-диоксолан-2-ил-метокси)-




































































































в пара- или мета-положении к группе CKE.
…
…