|
|
(21), (22) Заявка: 2006107830/28, 15.03.2006
(24) Дата начала отсчета срока действия патента:
15.03.2006
(43) Дата публикации заявки: 20.09.2007
(46) Опубликовано: 20.03.2008
(56) Список документов, цитированных в отчете о поиске:
RU 2052774 C1, 20.01.1996. RU 2040789 C1, 25.07.1995. RU 2097737 C1, 27.11.1997. RU 2210764 C1, 20.08.2003. WO 03006955 A1, 23.01.2003. US 4559810 A, 24.12.1985. US 5365778 A, 22.11.1994. JP 2003270123 A, 25.09.2003.
Адрес для переписки:
394000, г.Воронеж, пр-кт Революции, 19, к.445, ООО “Совтех”
|
(72) Автор(ы):
Битюков Виталий Ксенофонтович (RU), Тихомиров Сергей Германович (RU), Хвостов Анатолий Анатольевич (RU), Хаустов Игорь Анатольевич (RU), Баранкевич Артем Алексеевич (RU), Зайчиков Максим Александрович (RU)
(73) Патентообладатель(и):
Общество с ограниченной ответственностью “Совтех” (RU)
|
(54) СПОСОБ УЛЬТРАЗВУКОВОГО КОНТРОЛЯ ВЯЗКОСТИ ПО МУНИ ПОЛИМЕРОВ
(57) Реферат:
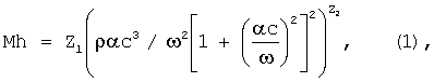
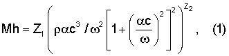
Использование: для ультразвукового контроля вязкости по Муни полимеров. Сущность: заключается в том, что осуществляют излучение импульсов ультразвуковых колебаний излучателем, прием импульсов, прошедших образец, приемником, измерение скорости их распространения и коэффициента затухания ультразвуковых колебаний, при этом в результате параметрической идентификации модели (1) определяют значения коэффициентов Z1 и Z2, индивидуальные для каждой марки полимера, и на основе измеренных параметров ультразвуковых колебаний определяют вязкость по Муни образца полимера по формуле:

где Mh – вязкость по Муни, ед. Муни; – плотность полимера, кг/см3; с – скорость ультразвука, м/с; – коэффициент затухания ультразвука, м-1; – частота УЗК, с-1. Технический результат: возможность определения пласто-эластичной характеристики полимера, такой как вязкость по Муни. 1 табл., 3 ил.
Изобретение относится к области диагностики неразрушающими методами полимеров и может быть использовано для определения вязкости по Муни полимера в шинной промышленности и промышленности синтетического каучука.
Широкое распространение нашел способ определения структуры, упругих свойств или состава материалов по изменению величины затухания ультразвуковых волн, либо по изменению скорости их распространения в исследуемом теле [а.с. СССР 77708]. Этот способ предложен для определения характеристик металлов и неточен при определении свойств и состава полимерных материалов.
Наиболее близким по технической сущности к предлагаемому изобретению является способ определения физико-механических характеристик, включающий излучение импульсов ультразвуковых колебаний (УЗК) излучателем, прием импульсов, прошедших в конструкции, приемником, измерение скорости их распространения в плоскости конструкции и затухания УЗК путем измерения сдвига основных составляющих спектра принятых многократно прошедших по толщине импульсов относительно излученных, по которым, используя ранее полученные уравнения регрессии или тарировочные графики, построенные на их основе, определяют искомые характеристики [а.с. СССР 808930, БИ 8-81 г.].
Недостатком данного способа является то, что этот способ не позволяет определять пластоэластичные характеристики полимера, такие как вязкость по Муни полимера, т.е. имеет узкий диапазон применения.
Технической задачей является расширение сферы применения известного способа [а.с. СССР 77708] за счет использования измеренных скорости и коэффициента затухания ультразвука для определения вязкости по Муни полимеров.
Поставленная задача достигается тем, что в способе ультразвукового контроля вязкости по Муни полимеров, включающем излучение импульсов ультразвуковых колебаний излучателем, прием импульсов, прошедших образец, приемником, измерение скорости их распространения и коэффициента затухания ультразвуковых колебаний; характеризующемся тем, что в результате параметрической идентификации модели (1) определяют значения коэффициентов Z1 и Z2, индивидуальные для каждой марки полимера, и на основе измеренных параметров ультразвуковых колебаний определяют вязкость по Муни образца полимера по формуле:

где Mh – вязкость по Муни, ед. Муни; – плотность, кг/см3; с – скорость звука, м/с; – коэффициент затухания, м-1; – частота ультразвуковых колебаний, с-1.
Сущность ультразвукового метода заключается в том, что скорость и коэффициент затухания УЗК зависят от химического строения, структуры и молекулярной подвижности полимера, которые, в свою очередь, определяют пластоэластичные свойства полимера.
Зависимость эффективной вязкости от акустических параметров (затухание и скорость ультразвука) может быть записана в виде [Михайлов, И.Г. Основы молекулярной акустики [Текст] / И.Г.Михайлов, В.А.Соловьев, Ю.П.Сырников. – М.: Наука, 1964. – 516 с.]:

где – эффективная вязкость, Па·с.
Связь эффективной вязкости с молекулярным весом полимера выражается уравнением Марка-Куна-Хувинка [Малкин А.Я., Куличихин С.Г. Реология в процессах образования и превращения полимеров. / М.: Химия, 1985. – 240 с].

где K1, K2 – константы;
MM – средняя молекулярная масса полимера.

где m1, m2 – константы.
Выражаем ММ из (3), подставляем ее в (4), заменяем на (2), вводим обозначения

и получаем формулу (1) для определения вязкости по Муни полимера на основе измеренных параметров УЗК.
На фиг.1 показана блок-схема, реализующая предлагаемый способ.
На схеме обозначены: 1 – генератор, 2 – излучающий пьезопреобразователь, 3 – исследуемый образец, 4 – приемник, 5 – цифровой осциллограф, 6 – вычислительное устройство.
Способ осуществляется следующим образом. Исследуемый образец 3 помещают между излучателем 2 и приемником 4. С генератора 1 электрический сигнал определенной частоты и длительности подается на излучатель 2, ультразвуковой импульс с которого, пройдя образец 3, попадает в приемник 4 и преобразуется в электрический сигнал с амплитудой, зависящей от свойств образца. Электрические сигналы с генератора 1 и приемника 4 подаются на цифровой осциллограф 5, а затем данные с осциллографа подаются на вычислительное устройство 6. Электронным штангенциркулем измеряется расстояние h между поверхностями излучателя и приемника, равное толщине сжатого образца. После обработки данных осциллографа рассчитываются величины скорости и коэффициента затухания ультразвука и величина вязкости по Муни полимера.
Скорость распространения ультразвука (м/с) вычисляют по формуле [Перепечко, И.И. Акустические методы исследования полимеров [Текст] / И.И.Перепечко. – М.: Химия, 1973. – 296 с.]:

где h – расстояние между поверхностями излучателя и приемника, м;
t – время прохождения импульсов между датчиками, с.
Степень затухания ультразвука определяют по формуле [Перепечко, И.И. Акустические методы исследования полимеров [Текст] / И.И.Перепечко. – М.: Химия, 1973. – 296 с.]:

где Аизл – амплитуда сигнала на источнике излучения, В;
Апр – амплитуда сигнала на приемнике, В,
h – расстояние между поверхностями излучателя и приемника, м.
Параметрическая идентификация коэффициентов Z1 и Z2 модели (1) осуществляется минимизацией критерия

где – значение вязкости по Муни образца, определенное на вискозиметре Муни ВМ-1, ед. Муни;
Mhi – значение вязкости по Муни образца, рассчитанное по формуле (1), ед. Муни;
N – количество образцов каучука одной марки.
Задача нахождения оптимальных по критерию (7) параметров Z1 и Z2 модели (1) решается с использованием метода градиентного спуска. [Бахвалов Н.С. Численные методы. [Текст] / Н.С.Бахвалов, Н.П.Жидков, Г.М.Кобельков. – М.: Лаборатория базовых знаний, 2005 – 632 с.].
Пример. Для образцов марки СКС-30 толщиной 2 мм, прозвучиваемых на частоте 0,6 МГц с амплитудой 28 В, в результате параметрической идентификации модели (1) были получены значения коэффициентов Z1=817,997 и Z2=-2,64. Коэффициент множественной корреляции равен 0,979, средняя абсолютная ошибка 0,657 ед. Муни, средняя относительная ошибка 1,248%, что говорит о тесной корреляционной связи и высокой точности определения вязкости по Муни. Экспериментальные и расчетные зависимости вязкости по Муни от величины коэффициента затухания и скорости ультразвука приведены в таблице 1 и на фиг.2 и 3 соответственно.
В примере параметрическая идентификация осуществлена компьютерной обработкой данных экспериментов, заключающейся в минимизации целевой функции (7) численным методом градиентного спуска.
Таким образом, существует возможность измерения вязкости по Муни полимера ультразвуковым методом с использованием пары ультразвуковых пьезопреобразователей и данных о зависимости вязкости по Муни полимера от скорости и коэффициента затухания ультразвука.
| Таблица 1. |
| № образца |
Вязкость по Муни, ед. Муни |
Коэффициент затухания, м-1 |
Скорость ультразвука, м/с |
| 1 |
8 |
0,1079 |
2083 |
| 2 |
15 |
0,1134 |
1905 |
| 3 |
17 |
0,1187 |
1835 |
| 4 |
17 |
0,1194 |
1818 |
Формула изобретения
Способ ультразвукового контроля вязкости по Муни полимеров, включающий излучение импульсов ультразвуковых колебаний излучателем, прием импульсов, прошедших образец, приемником, измерение скорости их распространения и коэффициента затухания ультразвуковых колебаний, характеризующийся тем, что в результате параметрической идентификации модели (1) определяют значения коэффициентов Z1 и Z2, индивидуальные для каждой марки полимера, и на основе измеренных параметров ультразвуковых колебаний определяют вязкость по Муни образца полимера по формуле

где Mh – вязкость по Муни, ед. Муни; – плотность полимера, кг/см3; с – скорость ультразвука, м/с; – коэффициент затухания ультразвука, м-1; – частота ультразвуковых колебаний, с-1.
РИСУНКИ
MM4A – Досрочное прекращение действия патента СССР или патента Российской Федерации на изобретение из-за неуплаты в установленный срок пошлины за поддержание патента в силе
Дата прекращения действия патента: 16.03.2008
Извещение опубликовано: 27.03.2010 БИ: 09/2010
|
|