Патент на изобретение №2318841
|
|||||||||||||||||||||||||||||||||||||||||||||||||||||||||||||||||||||||||||||||||||||||||||||||||||||||||||||||||||||||||||||||
(54) КРИСТАЛЛИЧЕСКИЕ
(57) Реферат:
Изобретение относится к области химии полимеров, а именно к применению соединений общей формулы (I) в качестве инициатора зародышеобразования
Настоящее изобретение относится к композиции, содержащей кристаллическую полипропиленовую смолу и одно или более производных тримезиновой кислоты, действующих в качестве зародышеобразующего агента для образования Известно, что кристаллический полипропилен может существовать в виде В обычных условиях обработки В патенте US-B-6235823 описано использование соединений диамида в качестве агентов зародышеобразования В патентах ЕР-А-865914 и ЕР-А-865911 описаны полиолефиновые пленки. Композиции смолы на основе полибутена-1 описаны в патенте ЕР-А-776933, а пористые ориентированные изделия из полипропиленовой смолы описаны в патенте ЕР-А-632095. Настоящее изобретение прежде всего относится к композиции, содержащей (1) кристаллическую полипропиленовую смолу и (2) один или более инициаторов зародышеобразования
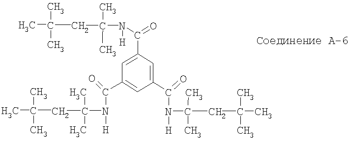
где R1, R2 и R3 независимо друг от друга означают С1-С20алкил, С2-С20алкил, замещенный группами из ряда C1-С10алкиламино, ди(С1-С10алкил)амино, C1-С10алкилокси или гидрокси; С3-С20алкенил, С5-С12циклоалкил, С5-С12циклоалкил, замещенный 1, 2 или 3 группами C1-С10алкил; циклогексилметил; циклогексилметил, замещенный 1, 2 или 3 группами C1-С10алкил; С5-С9циклоалкенил, С5-С9циклоалкенил, замещенный 1, 2 или 3 группами C1-С10алкил; фенил, замещенный 1, 2 или 3 радикалами, выбранными из группы, включающей C1-С10алкил, C1-С10алкилокси, гидрокси, галоген, тригалогенметил, тригалогенметокси, бензоил, фениламино, ациламино и фенилазо, С7-С9фенилалкил, С7-С9фенилалкил, в котором фенильное кольцо замещено 1, 2 или 3 радикалами, выбранными из группы, включающей C1-С10алкил, C1-С10алкилокси и гидрокси; нафтил, нафтил, замещенный группами C1-С10алкил; адамантил или 5 – 6-членную гетероциклическую группу, причем содержание содержание где P P P P Р Р Содержание кристаллической По данным рентгеновского рассеяния в больших углах установлено, что содержание кристаллической Предпочтительный вариант настоящего изобретения относится к композиции, в которой кристаллы to где tкр означает температуру рекристаллизации полипропиленовой смолы (компонент (1)) в отсутствие агента зародышеобразования от (tкр-120°С) до (tкр+35°С) от(tкр-100°C) до (tкр+35°C) от (tкр-80°С) до (tкр+35°С) от (tкр-60°С) до (tкр+35°С) от (tкр-40°С) до (tкр+35°С) от (tкр-20°С) до (tкр+35°С) от tкр до (tкр+35°С) от (tкр-150°С) до (tкр-100°С) от (tкр-120°С) до (tкр-80°С) от (tкр-120°С) до (tкр-60°С) от (tкр-120°С) до (tкр-40°С) от (tкр-120°С) до (tкр-20°С) от (tкр-120°) до tкр от (tкр-90°С) до (tкр-80°С) от (tкр-90°С) до (tкр-60°С) от (tкр-90°С) до (tкр-40°С) от (tкр-90°С) до (tкр-20°С) от (tкр-90°) до tкр Предпочтительные температуры отверждения и/или отжига to составляют от (tкр-80°С) до (tкр-60°С) от (tкр-80°С) до (tкр-40°С) от (tкр-80°С) до (tкр-20°С) Прежде всего предпочтительные температуры отверждения и/или отжига to составляют от (tкр-120°C) до (tкр-100°C) от (tкр-110°C) до (tкр-80°C) от (tкр-110°C) до (tкр-90°C) от (tкр-80°С) до (tкр-60°С) от (tкр-40°С) до (tкр-20°С) от (tкр-60°С) до (tкр-40°С) от (tкр-20°С) до (tкр+10°С) от tкр до (tкр+35°С) tкр Интерес представляют также следующие температуры: от (tкр-70°С) до (tкр+20°С) от (tкр-60°С) до (tкр+10°С) Примеры С1-С20алкильной группы включают метил, этил, пропил, изопропил, н-бутил, втор-бутил, изобутил, трет-бутил, 2-этилбутил, н-пентил, изопентил, 1-метилпентил, 1,3-диметилбутил, н-гексил, 1-метилгексил, н-гептил, изогептил, 1,1,3,3-тетраметилбутил, 1-метилгептил, 3-метилгептил, н-октил, 2-этилгексил, 1,1,3-триметилгексил, 1,1,3,3-тетраметилпентил, нонил, децил, ундецил, 1-метилундецил, додецил, 1,1,3,3,5,5-гексаметилгексил, тридецил, тетрадецил, пентадецил, гексадецил, гептадецил, октадецил и эйкозил. Предпочтительные примеры включают бутил, октил и октадецил. Примеры С2-С20алкильной группы, замещенной группами C1-С10алкиламино, ди(С1-С10алкил)амино, C1-С10алкилокси или гидрокси, включают 3-метиламинопропил, 2-диметиламиноэтил, 2-диэтиламиноэтил, 3-диметиламинопропил, 3-диэтиламинопропил, 2-метоксиэтил, 2-этоксиэтил, 2-метоксипропил, 3-метоксипропил, 2-этоксипропил, 3-изопропоксипропил и гидроксиэтил. Предпочтительные примеры включают 3-диметиламинопропил, 3-метоксипропил и 2-метоксиэтил. Примеры С3-С20алкенильной группы включают аллил, 2-металлил, бутенил, пентенил, гексенил и олеил. Атом углерода в положении 1 предпочтительно является насыщенным. Прежде всего предпочтительные примеры включают аллил и олеил. Примеры С5-С12циклоалкильной группы включают циклопентил, циклогексил, циклогептил, циклооктил и циклододецил. Предпочтительные примеры включают циклогексил, циклогептил, циклооктил и циклододецил. Предпочтительные примеры С5-С12циклоалкильной группы, замещенной 1, 2 или 3 группами C1-С10алкил, включают 3-метилциклогексил и 2,3-диметилциклогексил. Пример циклогексилметильной группы, замещенной 1, 2 или 3 группами C1-С10алкил, включает 1-циклогексилэтил. Пример С5-С9циклоалкенильной группы включает циклогексенил. Пример С5-С9циклоалкенильной группы, замещенной 1, 2 или 3 группами C1-С10алкил, включает метилциклогексенил. Примеры фенильной группы, замещенной 1, 2 или 3 радикалами, выбранными из группы, включающей C1-С10алкил, C1-С10алкилокси, гидрокси, галоген, тригалогенметил, тригалогенметокси, бензоил, фениламино, ациламино и фенилазо, включают 4-метилфенил, 2-этилфенил, 4-этилфенил, 4-изопропилфенил, 4-трет-бутилфенил, 4-втор-бутилфенил, 4-изобутилфенил, 3,5-диметилфенил, 3,4-диметилфенил, 2,4-диметилфенил, 2,6-диэтилфенил, 2-этил-6-метилфенил, 2,6-диизопропилфенил, 4-метоксифенил, 4-этоксифенил, 4-гидроксифенил, 4-фторфенил, 3,5-дифторфенил, 2-хлорфенил, 3-хлорфенил, 3-хлор-6-метилфенил, 3,5-ди(трифторметил)фенил, 4-трифторметоксифенил, 2-бензоилфенил, 4-фениламинофенил, 4-ацетамидофенил и 4-(фенилазо)фенил. Предпочтительный пример включает 3,4-диметилфенил. Примеры С7-С9фенилалкильной группы включают бензил и 2-фенилэтил, предпочтительно бензил. Примеры С7-С9фенилалкильной группы, в которой фенильное кольцо замещено 1, 2 или 3 радикалами, выбранными из группы, включающей C1-С10алкил, C1-С10алкокси и гидрокси, включают метилбензил, диметилбензил, триметилбензил, трет-бутилбензил, метоксибензил и 3,5-ди-трет-бутил-4-гидроксибензил. Пример нафтильной группы, замещенной C1-С10алкильной группой, включает метилнафтил. Примеры 5- 6-членной гетероциклической группы включают 2-пиколил, (2-фурил)метил, (2-тетрагидрофурил)метил, 2-пиримидил, 6-метил-2-пиридил, 1,2,4-триазол-3-ил и 2-(1-пиперазинил)этил. Содержание кристаллов Ниже приведены примеры пригодного содержания кристаллической Согласно предпочтительному варианту настоящего изобретения полипропиленовая смола характеризуется матовостью более 62%, предпочтительно более 70 или 80%; при этом величину матовости измеряют на пластине толщиной 1,1-1,2 мм, предпочтительно полученной литьевым формованием. Величина матовости обычно находится в диапазоне от 65 до 99%, предпочтительно от 70 до 99%, от 75 до 99% или наиболее предпочтительно от 80 до 99%. Матовость определяют по методике ASTM D 1003. Матовость определяют как процент пропускания света, проходящего через образец (пластину), причем пучок света отклоняется от исходного пучка в среднем на величину более 2,5°. Прозрачность оценивают при величине угла менее 2,5°. Образец должен представлять собой практически параллельные поверхности, не содержащие пыли, жира, царапин и пятен, а также заметных внутренних пустот и частиц. Согласно предпочтительному варианту настоящего изобретения компонент (1) является гомополимером полипропилена. Термин “гомополимер полипропилена” означает также длинноцепной разветвленный полипропилен. Полипропилен можно получить различными способами. Примеры получения полипропилена приведены ниже. Каталитическая полимеризация в присутствии катализатора, который обычно содержит один или более металлов группы IVb, Vb, VIb или VIII периодической таблицы. Такие металлы обычно образуют В соответствии с другим предпочтительным вариантом компонент (1) представляет собой статистический, чередующийся или блоксополимер полипропилена, содержащий один или более сомономеров, который выбирают из группы, включающей этилен, С4-С20– Термин “сополимер полипропилена” означает также длинноцепной разветвленный полипропиленовый сополимер. Примеры пригодных С4-С20– Примеры пригодных С4-С20алкандиенов включают гексадиен и октадиен. Примеры пригодных С5-С12циклоалкандиенов включают циклопентадиен, циклогексадиен и циклооктадиен. Примеры пригодных производных норборнена включают 5-этилиден-2-норборнен (ЭНБ), дициклопентадиен (ДЦП) и метилен-дометиленгексагидронафталин (МДН). Содержание пропилена в сополимере пропилена и этилена составляет, например, от 50 до 99,9 мас.%, предпочтительно от 80 до 99,9 мас.%, прежде всего от 90 до 99,9 мас.%. Содержание пропилена в пропиленовом сополимере, в котором сомономером является С9-С20 Содержание пропилена в пропиленовом сополимере, в котором сомономером является С4-С8 Другие примеры компонента (1) включают сополимер пропилена и изобутилена, сополимер пропилена и бутадиена, сополимер пропилена и циклоолефина, тройные сополимеры пропилена, этилена и диена, такие как гексадиен, дициклопентадиен или этилиден-норборнен, сополимеры пропилена и 1-олефина, в которых 1-олефин образуется in situ, и сополимеры пропилена и монооксида углерода. В другом предпочтительном варианте настоящего изобретения компонент (1) означает термопластичный полиолефин (ТПО). Термопластичный полиолефин (ТПО) включает прежде всего эластомеры, которые обладают свойствами каучуков и которые получены на основе полиолефинов. Такие полимеры включают сополимеры этилена и пропилена (ЭП) или тройные сополимеры этилена, пропилена и несопряженного диена (ЭПД) и т.п. Настоящее изобретение также относится к композициям, которые, кроме того, включают полимер (3), прежде всего синтетический полимер, предпочтительно ЭПД или ЭП, при условии, что компонент (3) отличается от компонента (1). Примеры пригодных полимеров включают следующие. 1. Полимеры моноолефинов и диолефинов, например полиизобутилен, полибут-1-ен, поли-4-метилпент-1-ен, поливинилциклогексан, полиизопрен или полибутадиен, а также полимеры циклоолефинов, например, циклопентен или норборнен, полиэтилен (который необязательно является сшитым полимером), например полиэтилен высокой плотности (ПЭВП), полиэтилен высокой плотности с высокой молекулярной массой (ПЭВП-ВМ), полиэтилен высокой плотности со сверхвысокой молекулярной массой (ПЭВП-СВМ), полиэтилен средней плотности (ПЭСП), полиэтилен низкой плотности (ПЭНП), линейный полиэтилен низкой плотности (ЛПЭНП), (VLDPE, ULDPE). В основном, полиолефины, то есть полимеры моноолефинов, описанные в предыдущем абзаце, предпочтительно полиэтилен и полипропилен, получают различными методами, перечисленными ниже: а) радикальная полимеризация (обычно при высоком давлении и повышенной температуре), б) полимеризация на катализаторах, обычно на основе одного или более металлов групп IVb, Vb, VIb или VIII периодической таблицы. Такие комплексы металлов обычно содержат один или более лигандов, обычно оксиды, галогениды, алкоголяты, сложные эфиры, простые эфиры, амины, алкилы, алкенилы и/или арилы, образующие 2. Смеси полимеров, указанные в пункте 1), например смеси полипропилена с полиизобутиленом, полипропилена с полиэтиленом (например, ПП/ПЭВП, ПП/ПЭНП) и смеси различных типов полиэтилена (например, ПЭНП/ПЭВП). 3. Сополимеры моноолефинов и диолефинов друг с другом или с другими винильными мономерами, например сополимеры этилена и пропилена, линейного полиэтилена низкой продольной плотности (ЛПЭНП) и их смеси с полиэтиленом низкой плотност (ПЭНП), сополимеры пропилена и бут-1-ена, сополимеры пропилена и изобутилена, сополимеры этилена и бут-1-ена, сополимеры этилена и гексена, сополимеры этилена и метилпентена, сополимеры этилена и гептена, сополимеры этилена и октена, сополимеры этилена и винилциклогексана, сополимеры этилена и циклоолефина (например, этилена и норборнена, например, полимер СОС), сополимеры этилена и 1-олефинов, в которых 1-олефин образуется in situ, сополимеры пропилена и бутадиена, сополимеры изобутилена и изопрена, сополимеры этилена и винилциклогексена, сополимеры этилена и алкилакрилата, сополимеры этилена и алкилметакрилата, сополимеры этилена и винилацетата или сополимеры этилена и акриловой кислоты и их соли (иономеры), а также тройные сополимеры этилена, пропилена и диена, такого как гексадиен, дициклопентадиен или этилиден-норборнен, и смеси таких сополимеров друг с другом и с полимерами, указанными выше в пункте 1), например, сополимеры полипропилена и этилен-пропилена, сополимеры ПЭНП и этилен-винилацетата (ЭВА), сополимеры ПЭНП и этилен-акриловой кислоты (ЭАК), ЛПЭНП и ЭВА, ЛПЭНП и ЭАК, а также чередующиеся или статистические сополимеры полиалкилена и монооксида углерода и их смеси с другими полимерами, например полиамидами. 4. Углеводородные смолы (например, C5-C9), включая их гидрированные производные (например, вещества для повышения клейкости) и смеси полиалкиленов и крахмала. Гомополимеры и сополимеры, указанные в пунктах 1)-4), характеризуются любой стереохимической структурой, включая синдиотактическую, изотактическую, полуизотактическую или атактическую, предпочтительными являются атактические полимеры, а также стереоблочные полимеры. 5. Полистирол, поли (пара-метилстирол), поли ( 6. Ароматические гомополимеры и сополимеры на основе виниловых ароматических мономеров, включая стирол, 6а. Сополимеры, включая упомянутые выше виниловые ароматические мономеры и сомономеры, которые выбирают из группы, включающей этилен, пропилен, диены, нитрилы, кислоты, малеиновые ангидриды, имиды малеиновой кислоты, винилацетат и винилхлорид или акриловые производные и их смеси, например стирол/бутадиен, стирол/акрилонитрил, стирол/этилен (интерполимеры), стирол/алкилметакрилат, стирол/бутадиен/алкилакрилат, стирол/бутадиен/алкилметакрилат, стирол/малеиновый ангидрид, стирол/акрилонитрил/метилакрилат, смеси сополимеров стирола с высокой ударной прочностью и другого полимера, например полиакрилата, полимера на основе диена или тройного сополимера этилена, пропилена и диена, и блоксополимеров на основе стирола, таких как сополимеры стирол-бутадиен-стирол, стирол-изопрен-стирол, стирол-этилен-бутилен-стирол или стирол-этилен-пропилен-стирол. 6б. Гидрированные ароматические полимеры, полученные при гидрировании полимеров, указанных в пункте 6), прежде всего включая полициклогексилэтилен (ПЦГЭ), полученный при гидрировании атактического полистирола, так называемого поливинилциклогексана (ПВЦГ). 6в. Гидрированные ароматические полимеры, полученные при гидрировании полимеров, указанных в пункте 6а). Гомополимеры и сополимеры характеризуются любой стереохимической структурой, включая синдиотактическую, изотактическую, полуизотактическую или атактическую, предпочтительными являются атактические полимеры, а также стереоблочные полимеры. 7. Привитые сополимеры виниловых ароматических мономеров, таких как стирол или 8. Галогенсодержащие полимеры, такие как полихлоропрен, хлорированные каучуки, хлорированные и бромированные сополимеры изобутилена и изопрена (галогенбутилкаучук), хлорированный или сульфохлорированный полиэтилен, сополимеры этилена и хлорированного этилена, гомо- и сополимеры эпихлоргидрина, прежде всего полимеры галогенсодержащих виниловых соединений, например поливинилхлорид, поливинилиденхлорид, поливинилфторид, поливинилиденфторид, а также их сополимеры, такие как сополимеры винилхлорида и винилиденхлорида, винилхлорида и винилацетата или сополимеры винилиденхлорида и винилацетата. 9. Полимеры, полученные на основе 10. Сополимеры и мономеры, указанные в пункте 9), друг с другом или с другими ненасыщенными мономерами, например сополимеры акрилонитрила и бутадиена, сополимеры акрилонитрила и алкилакрилата, сополимеры акрилонитрила и алкоксиалкилакрилата или сополимеры акрилонитрила и винилгалогенида или тройные сополимеры акрилонитрила, алкилметакрилата и бутадиена. 11. Полимеры на основе ненасыщенных спиртов и аминов или ацилпроизводных или их ацеталей, например, поливиниловый спирт, поливинилацетат, поливинилстеарат, поливинилбензоат, поливинилмалеат, поливинилбутираль, полиаллилфталат или полиаллилмеламин, а также их сополимеры с олефинами, указанными выше в пункте 1). 12. Гомополимеры и сополимеры циклических простых эфиров, такие как полиалкиленгликоли, полиэтиленоксид, полипропиленоксид или их сополимеры с бис-глицидиловыми эфирами. 13. Полиацетали, такие как полиоксиметилен, и полиоксиметилены, содержащие этиленоксид в качестве сомономера, полиацетали, модифицированные термопластичными полиуретанами, акрилаты или МБС. 14. Полифениленоксиды и полифениленсульфиды и смеси полифениленоксидов с полимерами на основе стирола или полиамида. 15. Полиуретаны, с одной стороны, на основе простых полиэфиров, сложных полиэфиров или полибутадиенов, содержащих концевые гидроксильные группы, а с другой стороны, алифатических или ароматических полиизоцианатов, а также их предшественников. 16. Полиамиды и сополиамиды на основе диаминов и дикарбоновых кислот и/или на основе аминокарбоновых кислот или соответствующих лактамов, например полиамида 4, полиамида 6, полиамида 6/6, 6/10, 6/9, 6/12, 4/6, 12/12, полиамида 11, полиамида 12, ароматических полиамидов на основе мета-ксилолдиамина и адипиновой кислоты; полиамиды на основе гексаметилендиамина и изофталевой или/и терфталевой кислоты и полимеры, полученные в отсутствие или в присутствии эластомера в качестве модификатора, например поли-2,4,4,-триметилгексаметилентерфталимид или поли-мета-фениленизофталамид, а также на основе блоксополимеров упомянутых выше полиамидов и полиолефинов, сополимеров олефина, иономеров или химически связанных или привитых эластомеров, или сополимеров простых полиэфиров, например, полиэтиленгликоля, полипропиленгликоля или политетраметиленгликоля, а также полиамиды или сополиамиды, модифицированные ЭПД или АБС, и полиамиды, конденсированные во время обработки в системе инжекционного формования полиамидов (RIM). 17. Полимочевины, полиимиды, полиамидоимиды, (простой полиэфир)имид, (сложный полиэфир)имиды, полигидантоины и полибензимидазолы. 18. Сложные полиэфиры на основе дикарбоновых кислот и диолов и/или оксикарбоновых кислот или соответствующих лактонов, например полиэтилентерфталат, полибутилентерфталат, поли-1,4-диметилолциклогексантерфталат, полиалкиленнафталаты (ПАН) и полигидроксибензоаты, а также блоксополимеры простых и сложных эфиров на основе простых полиэфиров, содержащих концевые гидроксильные группы, и также сложные полиэфиры, модифицированные поликарбонатами или МБС. 19. Поликарбонаты и (сложный полиэфир)карбонаты. 20. Поликетоны. 21. Полисульфоны, (простой полиэфир)сульфоны и (простой полиэфир)кетоны. 22. Сшитые полимеры, с одной стороны, на основе альдегидов и фенолов, и с другой стороны, мочевин и меламинов, такие как фенолформальдегидные смолы, мочевиноформальдегидные смолы и меламинформальдегидные смолы. 23. Высыхающие и невысыхающие алкидные смолы. 24. Ненасыщенные полиэфирные смолы на основе сополимеров сложных полиэфиров насыщенных и ненасыщенных дикарбоновых кислот и многоатомных спиртов и винильных соединений в качестве сшивающих агентов, а также галогенсодержащих низкогорючих модификаторов. 25. Сшиваемые акриловые смолы на основе замещенных акрилатов, например эпоксиакрилатов, уретанакрилатов или (сложный полиэфир)акрилатов. 26. Алкидные смолы, полиэфирные смолы и акрилатные смолы, сшитые с использованием меламиновых смол, полиуретановых смол, изоцианатов, изоциануратов, полиизоцианатов или эпоксидных смол. 27. Сшитые эпоксидные смолы на основе алифатических, циклоалифатических, гетероциклических или ароматических глицидилпроизводных, например продукты на основе простых эфиров диглицидилбисфенола А и бисфенола F, сшитые с использованием обычных отвердителей, таких как ангидриды или амины, в присутствии или отсутствие ускорителей полимеризации. 28. Природные полимеры, такие как целлюлоза, каучук, желатин и их химически модифицированные гомологи, например ацетаты целлюлозы, пропионаты целлюлозы и бутираты целлюлозы, или простые эфиры целлюлозы, такие как метилцеллюлоза, а также канифоли и их производные. 29. Смеси упомянутых выше полимеров, например ПП/ЭПД, полиамид/ЭПД или АБС, ПВХ/ЭВА, ПВХ/АБС, ПВХ/МБС, ПХ/АБС, ПВТФ/АБС, ПХ/АСА, ПХ/ПБТ, ПВХ/ХПЭ, ПВХ/акрилаты, ПОМ/термопластичный ПУ, ПХ/ термопластичный ПУ, ПОМ/акрилат, ПОМ/МБС, ППО/ударопрочный ПС, ППО/ПА 6.6 и сополимеры, ПА/ПЭВП, ПА/ПП, ПА/ППО, ПБТ/ПХ/АБС или ПБТ/ПЭТ/ПХ. 30. Водные эмульсии природных или синтетических каучуков, например, натуральный каучуковый латекс или латексы на основе карбоксилированных сополимеров стирола и бутадиена. Предпочтительные примеры смеси компонентов (1) и (3) включают смеси полипропилена с сополимерами пропилена и этилена, сополимерами пропилена и бутилена, полиэтиленом, например ПЭВП или ПЭНП, полибутена, полиизобутилена, поли-4-метилпентена или чередующиеся или статистические сополимеры полиалкилена и монооксида углерода. Предпочтительный вариант настоящего изобретения включает соединения, в которых R1, R2 и R3 независимо друг от друга означают C1-С20алкил, С3-С20алкил, замещенный группами С1-С4алкиламино, ди(С1-С4алкил)амино, С1-С4алкилокси или гидрокси; С3-С20алкенил, С5-С12циклоалкил, С5-С12циклоалкил, замещенный 1, 2 или 3 группами С1-С4алкил, циклогексилметил; циклогексилметил, замещенный 1, 2 или 3 группами С1-С4алкил; фенил, замещенный 1, 2 или 3 радикалами, выбранными из группы, включающей С1-С4алкил, С1-С4алкилокси или гидрокси; бензил, бензил, замещенный в фенильном кольце 1, 2 или 3 радикалами, выбранными из группы, включающей С1-С4алкил, С1-С4алкокси и гидрокси; нафтил или нафтил, замещенный группой С1-С4алкил. В другом предпочтительном варианте настоящего изобретения R1, R2 и R3 независимо друг от друга означают С1-С20алкил, С2-С6алкил, замещенный группами С1-С4алкиламино, ди(С1-С4алкил)амино или С1-С4алкилокси; С5-С12циклоалкил, С5-С12циклоалкил, замещенный 1, 2 или 3 группами С1-С4алкил; циклогексилметил, циклогексилметил, замещенный 1, 2 или 3 группами С1-С4алкил; фенил, замещенный 1, 2 или 3 группами С1-С4алкил; бензил, бензил, замещенный в фенильном кольце 1, 2 или 3 группами С1-С4алкил, или нафтил. В наиболее предпочтительном варианте настоящего изобретения R1, R2 и R3 независимо друг от друга означают бутил, октил или октадецил, 3-диметиламинопропил, 3-метоксипропил или 2-метоксиэтил, циклогексил, циклогептил, циклооктил или циклододецил, 3-метилциклогексил или 2,3-диметилциклогексил, 1-циклогексилэтил, 3,4-диметилфенил, бензил или нафтил. R1, R2 и R3 предпочтительно являются одинаковыми и предпочтительно означают 2,3-диметилциклогексил, трет-октил или циклооктил. Количество инициатора зародышеобразования Таким образом, при добавлении чрезвычайно малых количеств инициатора зародышеобразования Количество компонента (3) в композиции по настоящему изобретению предпочтительно составляет от 1 до 90%, например от 2 до 80% или от 5 до 50%, в расчете на массу компонента (1). В еще одном варианте описан способ получения полипропиленовой смолы, содержание кристаллической содержание кристаллической где P В другом варианте описано использование соединения формулы (I) в качестве агента зародышеобразования Композиции на основе смолы по настоящему изобретению можно получить по стандартным методикам, известным специалистам в данной области техники, например, смешиванием, таким как перемешивание определенных компонентов в стандартном смесителе, например, при смешивании сухих веществ, или распылением раствора, или плавлением, или при смешивании смеси в одно- или двухшнековом экструдере, и т.п. Агент зародышеобразования К композициям на основе смолы по настоящему изобретению можно добавлять дополнительные материалы в интервале концентраций, которые не оказывают отрицательного действия на положительные свойства продукта по настоящему изобретению. Такие материалы могут включать стабилизаторы, антиоксиданты, антибактериальные агенты, поглотители УФ-излучения термостабилизаторы, светостабилизаторы, нейтрализаторы, антистатики, антиадгезивы, агенты для дезактивации тяжелых металлов, огнезащитные составы, замасливатели, пероксиды, гидроталькиты, пенообразующие агенты, эластомеры, технологические добавки, дополнительные агенты зародышеобразования, армирующие добавки, пластификаторы, т.п. и их смеси. Ниже перечислены примеры таких стандартных добавок. 1. Антиоксиданты 1.1. Алкилированные монофенолы, например 2,6-ди-трет-бутил-4-метилфенол, 2-трет-бутил-4,6-диметилфенол, 2,6-ди-трет-бутил-4-этилфенол, 2,6-ди-трет-бутил-4-н-бутилфенол, 2,6-ди-трет-бутил-4-изобутилфенол, 2,6-дициклопентил-4-метилфенол, 2-( 1.2. Алкилтиометилфенолы, например 2,4-диоктилтиометил-6-трет-бутилфенол, 2,4-диоктилтиометил-6-метилфенол, 2,4-диоктилтиометил-6-этилфенол, 2,6-дидодецилтиометил-4-нонилфенол. 1.3. Гидрохиноны и алкилированные гидрохиноны, например 2,6-ди-трет-бутил-4-метоксифенол, 2,5-ди-трет-бутилгидрохинон, 2,5-ди-трет-амилгидрохинон, 2,6-дифенил-4-октадецилоксифенол, 2,6-ди-трет-бутилгидрохинон, 2,5-ди-трет-бутил-4-гидроксианизол, 3,5-ди-трет-бутил-4-гидроксианизол, 3,5-ди-трет-бутил-4-гидроксифенилстеарат, бис-(3,5-ди-трет-бутил-4-гидроксифенил)адипат. 1.4. Токоферолы, например 1.5. Гидроксилированные простые эфиры тиодифенила, например 2,2′-тио-бис-(6-трет-бутил-4-метилфенол), 2,2′-тио-бис-(4-октилфенол), 4,4′-тио-бис-(6-трет-бутил-3-метилфенол), 4,4′-тио-бис-(6-трет-бутил-2-метилфенол), 4,4′-тио-бис-(3,6-ди-втор-амилфенол), 4,4′-тио-бис-(2,6-диметил-4-гидроксифенил)дисульфид. 1.6. Алкилиденбисфенолы, например 2,2′-метилен-бис-(6-трет-бутил-4-метилфенол), 2,2′-метилен-бис-(6-трет-бутил-4-этилфенол), 2,2′-метилен-бис-[4-метил-6-( 1.7. О-, N- и S-Бензилпроизводные, например 3,5,3′,5′-тетра-трет-бутил-4,4′-дигидроксидибензиловый эфир, октадецил-4-гидрокси-3,5-диметилбензилмеркаптоацетат, тридецил-4-гидрокси-3,5-ди-трет-бутилбензилмеркаптоацетат, трис-(3,5-ди-трет-бутил-4-гидроксибензил)амин, бис-(4-трет-бутил-3-гидрокси-2,6-диметилбензил)дитиотерфталат, бис-(3,5-ди-трет-бутил-4-гидроксибензил)сульфид, изооктил-3,5-ди-трет-бутил-4-гидроксибензилмеркаптоацетат. 1.8. Гидроксибензилированные малонаты, например диоктадецил-2,2-бис-(3,5-ди-трет-бутил-2-гидроксибензил)малонат, диоктадецил-2-(3-трет-бутил-4-гидрокси-5-метилбензил)малонат, дидодецилмеркаптоэтил-2,2-бис-(3,5-ди-трет-бутил-4-гидроксибензил)малонат, бис-[4-(1,1,3,3-тетраметилбутил)фенил]-2,2-бис-(3,5-ди-трет-бутил-4-гидроксибензил)малонат. 1.9. Ароматические гидроксибензилпроизводные, например 1,3,5-трис-(3,5-ди-трет-бутил-4-гидроксибензил)-2,4,6-триметилбензол, 1,4-бис-(3,5-ди-трет-бутил-4-гидроксибензил)-2,3,5,6-тетраметилбензол, 2,4,6-трис-(3,5-ди-трет-бутил-4-гидроксибензил)фенол. 1.10. Соединения триазина, например 2,4-бис-(октилмеркапто)-6-(3,5-ди-трет-бутил-4-гидроксианилино)-1,3,5-триазин, 2-октилмеркапто-4,6-бис-(3,5-ди-трет-бутил-4-гидроксианилино)-1,3,5-триазин, 2-октилмеркапто-4,6-бис-(3,5-ди-трет-бутил-4-гидроксифенокси)-1,3,5-триазин, 2,4,6-трис-(3,5-ди-трет-бутил-4-гидроксифенокси)-1,2,3-триазин, 1,3,5-трис-(3,5-ди-трет-бутил-4-гидроксибензил)изоцианурат, 1,3,5-трис-(4-трет-бутил-3-гидрокси-2,6-диметилбензил)изоцианурат, 2,4,6-трис-(3,5-ди-трет-бутил-4-гидроксифенилэтил)-1,3,5-триазин, 1,3,5-трис-(3,5-ди-трет-бутил-4-гидроксифенилпропионил)гексагидро-1,3,5-триазин, 1,3,5-трис-(3,5-дициклогексил-4-гидроксибензил)изоцианурат. 1.11. Бензилфосфонаты, например диметил-2,5-ди-трет-бутил-4-гидроксибензилфосфонат, диэтил-3,5-ди-трет-бутил-4-гидроксибензилфосфонат, диоктадецил-3,5-ди-трет-бутил-4-гидроксибензилфосфонат, диоктадецил-5-трет-бутил-4-гидрокси-З-метилбензилфосфонат, кальциевая соль моноэтилового эфира 3,5-ди-трет-бутил-4-гидроксибензилфосфоновой кислоты. 1.12. Ациламинофенолы, например 4-гидроксилауроиланилид, 4-гидроксистеароиланилид, октиловый эфир N-(3,5-ди-трет-бутил-4-гидроксифенил)карбаминовой кислоты. 1.13. Сложные эфиры 1.14. Сложные эфиры 1.15. Сложные эфиры 1.16. Сложные эфиры 3,5-ди-трет-бутил-4-гидроксифенилуксусной кислоты и моно- или многоатомных спиртов, например, таких как метанол, этанол, октанол, октадеканол, 1,6-гександиол, 1,9-нонандиол, этиленгликоль, 1,2-пропандиол, неопентилгликоль, тиодиэтиленгликоль, диэтиленгликоль, триэтиленгликоль, пентаэритрит, трис-(гидроксиэтил)изоцианурат, N,N’-бис-(гидроксиэтил)оксамид, 3-тиаундеканол, 3-тиапентадеканол, триметилгександиол, триметилолпропан, 4-гидроксиметил-1-фосфа-2,6,7-триоксабицикло[2.2.2]октан. 1.17. Амиды 1.18. Аскорбиновая кислота (витамин С). 1.19. Антиоксиданты на основе аминов, например N,N’-диизопропил-пара-фенилендиамин, N,N’-ди-втор-бутил-пара-фенилендиамин, N,N’-бис-(1,4-диметилфенил)-пара-фенилендиамин, N,N’-бис-(1-этил-3-метилпентил)-пара-фенилендиамин, N,N’-бис-(1-метилгептил)-пара-фенилендиамин, N,N’-дициклогексил-пара-фенилендиамин, N,N’-дифенил-пара-фенилендиамин, N,N’-бис-(2-нафтил)-пара-фенилендиамин, N-изопропил-N’-фенил-пара-фенилендиамин, N-(1,3-диметилбутил)-N’-фенил-пара-фенилендиамин, N-(1-метилгептил)-N’-фенил-пара-фенилендиамин, N-циклогексил-N’-фенил-пара-фенилендиамин, 4-(пара-толуолсульфамоил)дифениламин, N,N’-диметил-N,N’-ди-втор-бутил-пара-фенилендиамин, дифениламин, N-аллилдифениламин, 4-изопропоксидифениламин, N-фенил-1-нафтиламин, N-(4-трет-октилфенил)-1-нафтиламин, N-фенил-2-нафтиламин, октилированный дифениламин, например пара,пара’-ди-трет-октилдифениламин, 4-н-бутиламинофенол, 4-бутириламинофенол, 4-нонаноиламинофенол, 4-додеканоиламинофенол, 4-октадеканоиламинофенол, бис-(4-метоксифенил)амин, 2,6-ди-трет-бутил-4-диметиламинометилфенол, 2,4′-диаминодифенилметан, 4,4′-диаминодифенилметан, N,N,N’N’-тетраметил-4,4′-диаминодифенилметан, 1,2-бис-[(2-метилфенил)амино]этан, 1,2-бис-(фениламино)пропан, (орто-толил)бигуанид, бис-[4-(1′,3′-диметилбутил)фенил]амин, трет-октилированный N-фенил-1-нафтиламин, смесь моно- и диалкилированных трет-бутил/трет-октилдифениламинов, смесь моно- и диалкилированных нонилдифениламинов, смесь моно- и диалкилированных додецилдифениламинов, смесь моно- и диалкилированных изопропил/изогексилдифениламинов, смесь моно- и диалкилированных трет-бутилдифениламинов, 2,3-дигидро-3,3-диметил-4Н-1,4-бензотиазин, фенотиазин, смесь моно- и диалкилированных трет-бутил/трет-октилфенотиазинов, смесь моно- и диалкилированных трет-октилфенотиазинов, N-аллилфенотиазин, N,N,N’,N’ -тетрафенил-1,4-диаминобут-2-ен, N,N-бис-(2,2,6,6-тетраметилпиперид-4-ил)гексаметилендиамин, бис-(2,2,6,6-тетраметилпиперид-4-ил)себацат, 2,2,6,6-тетраметилпиперидин-4-он, 2,2,6,6-тетраметилпиперидин-4-ол. 2. УФ-поглотители и светостабилизаторы 2.1. 2-(2′-Гидроксифенил)бензотриазолы, например 2-(2′-гидрокси-5′-метилфенил)бензотриазол, 2-(3′,5′-ди-трет-бутил-2′-гидроксифенил)бензотриазол, 2-(5′-трет-бутил-2′-гидроксифенил)бензотриазол, 2-(2′-гидрокси-5′-(1,1,3,3-тетраметилбутил)фенил)бензотриазол, 2-(3′,5′-ди-трет-бутил-2′-гидроксифенил)-5-хлорбензотриазол, 2-(3′-трет-бутил-2′-гидрокси- 5′-метилфенил)-5-хлорбензотриазол, 2-(3′-втор-бутил-5′-трет-бутил-2′-гидроксифенил)бензотриазол, 2-(2′-гидрокси-4′-октилоксифенил)бензотриазол, 2-(3′,5′-ди-трет-амил-2′-гидроксифенил)бензотриазол, 2-(3′,5′-бис-( 2.2. 2-Гидроксибензофеноны, например 4-гидрокси-, 4-метокси-, 4-октилокси-, 4-децилокси-, 4-додецилокси-, 4-бензилокси-, 4,2′,4′-тригидрокси- и 2′-гидрокси-4,4′-диметоксипроизводные. 2.3. Эфиры замещенных и незамещенных бензойных кислот, например 4-трет-бутилфенилсалицилат, фенилсалицилат, октилфенилсалицилат, дибензоилрезорцин, бис-(4-трет-бутилбензоил)резорцин, бензоилрезорцин, 2,4-трет-бутилфениловый эфир 3,5-ди-трет-бутил-4-гидроксибензойной кислоты, гексадециловый эфир 3,5-ди-трет-бутил-4-гидроксибензойной кислоты, октадециловый эфир 3,5-ди-трет-бутил-4-гидроксибензойной кислоты, 2-метил-4,6-ди-трет-бутилфениловый эфир 3,5-ди-трет-бутил-4-гидроксибензойной кислоты. 2.4. Акрилаты, например этиловый эфир 2.5. Соединения никеля, например комплексы никеля и 2,2′-тио-бис-[4-(1,1,3,3-тетраметилбутил)фенола], такие как комплекс 1:1 или 1:2, содержащие или не содержащие дополнительные лиганды, такие как н-бутиламин, триэтаноламин или N-циклогексилдиэтаноламин; дибутилдитиокарбамат никеля, соли никеля и моноалкиловых эфиров, например метилового или этилового эфира 4-гидрокси-3,5-ди-трет-бутилбензилфосфоновой кислоты, комплексы никеля и кетоксимов, например 2-гидрокси-4-метилфенилундецилкетоксима, комплексы никеля и 1-фенол-4-лауроил-5-гидроксипиразола, содержащие или не содержащие дополнительных лигандов. 2.6. Амины с заторможенной конфигурацией, например бис-(2,2,6,6-тетраметил-4-пиперидил)себацат, бис-(2,2,6,6-тетраметил-4-пиперидил)сукцинат, бис-(1,2,2,6,6-пентаметил-4-пиперидил)себацат, бис-(1-октилокси-2,2,6,6-тетраметил-4-пиперидил)себацат, бис-(1,2,2,6,6-пентаметил-4-пиперидиловый эфир) н-бутил-3,5-ди-трет-бутил-4-гидроксибензилмалоновой кислоты, продукт конденсации 1-(2-гидроксиэтил)-2,2,6,6-тетраметил-4-гидроксипиперидина и янтарной кислоты, линейные или циклические продукты конденсации N,N’-бис-(2,2,6,6-тетраметил-4-пиперидил)гексаметилендиамина и 4-трет-октиламино-2,6-дихлор-1,3,5-триазина, трис-(2,2,6,6-тетраметил-4-пиперидил)нитрилотриацетат, тетракис-(2,2,6,6-тетраметил-4-пиперидил)-1,2,3,4-бутантетракарбоксилат, 1,1′-(1,2-этандиил)-бис-(3,3,5,5-тетраметилпиперазинон), 4-бензоил-2,2,6,6-тетраметилпиперидин, 4-стеарилокси-2,2,6,6-тетраметилпиперидин, бис-(1,2,2,6,6-пентаметилпиперидил)-2-н-бутил-2-(2-гидрокси-3,5-ди-трет-бутилбензил)малонат, 3-н-октил-7,7,9,9-тетраметил-1,3,8-триазаспиро[4.5]декан-2,4-дион, бис-(1-октилокси-2,2,6,6-тетраметилпиперидил)себацат, бис-(1-октилокси-2,2,6,6-тетраметилпиперидил)сукцинат, линейные или циклические продукты конденсации N,N’-бис-(2,2,6,6-тетраметил-4-пиперидил)гексаметилендиамина и 4-морфолино-2,6-дихлор-1,3,5-триазина, продукт конденсации 2-хлор-4,6-бис-(4-н-бутиламино-2,2,6,6-тетраметилпиперидил)-1,3,5-триазина и 1,2-бис-(3-аминопропиламино)этана, продукт конденсации 2-хлор-4,6-ди(4-н-бутиламино-1,2,2,6,6-пентаметилпиперидил)-1,3,5-триазина и 1,2-бис-(3-аминопропиламино)этана, 8-ацетил-3-додецил-7,7,9,9-тетраметил-1,3,8-триазаспиро[4.5]декан-2,4-дион, 3-додецил-1-(2,2,6,6-тетраметил-4-пиперидил)пирролидин-2,5-дион, 3-додецил-1-(1,2,2,6,6-пентаметил-4-пиперидил)пирролидин-2,5-дион, смесь 4-гексадецилокси- и 4-стеарилокси-2,2,6,6-тетраметилпиперидина, продукт конденсации N,N’-бис-(2,2,6,6-тетраметил-4-пиперидил)гексаметилендиамина и 4-циклогексиламино-2,6-дихлор-1,3,5-триазина, продукт конденсации 1,2-бис-(3-аминопропиламино)этана и 2,4,6-трихлор-1,3,5-триазина, а также 4-бутиламино-2,2,6,6-тетраметилпиперидин (CAS Reg. No [136504-96-6]); продукт конденсации 1,6-гександиамина и 2,4,6-трихлор-1,3,5-триазина, а также N,N-дибутиламина и 4-бутиламино-2,2,6,6-тетраметилпиперидина (CAS Reg. No [192268-64-7]); N-(2,2,6,6-тетраметил-4-пиперидил)-н-додецилсукцинимид, N-(1,2,2,6,6-пентаметил-4-пиперидил)-н-додецилсукцинимид, 2-ундецил-7,7,9,9-тетраметил-1-окса-3,8-диаза-4-оксоспиро[4.5]декан, продукт реакции 7,7,9,9-тетраметил-2-циклоундецил-1-окса-3,8-диаза-4-оксоспиро[4.5]декана и эпихлоргидрина, 1,1-бис-(1,2,2,6,6-пентаметил-4-пиперидилоксикарбонил)-2-(4-метоксифенил)этен, N,N’-бис-формил-N,N’-бис-(2,2,6,6-тетраметил-4-пиперидил)гексаметилендиамин, продукт конденсации диэфир 4-метоксиметиленмалоновой кислоты и 1,2,2,6,6-пентаметил-4-гидроксипиперидина, поли[метилпропил-3-окси-4-(2,2,6,6-тетраметил-4-пиперидил)]силоксан, продукт реакции сополимера на основе ангидрида 2.7. Оксамиды, например 4,4′-диоктилоксиоксанилид, 2,2′-диэтоксиоксанилид, 2,2′-диоктилокси-5,5′-ди-трет-бутоксанилид, 2,2′-дидодецилокси-5,5′-ди-трет-бутоксанилид, 2-этокси-2′-этилоксанилид, N,N’-бис-(3-диметиламинопропил)оксамид, 2-этокси-5-трет-бутил-2′-этоксанилид и их смеси с 2-этокси-2′-этил-5,4′-ди-трет-бутоксанилидом, смеси орто- и пара-метокси-дизамещенных оксанилидов и смеси орто- и пара-этокси-дизамещенных оксанилидов. 2.8. 2-(2-Гидроксифенил)-1,3,5-триазины, например 2,4,6-трис-(2-гидрокси-4-октилоксифенил)-1,3,5-триазин, 2-(2-гидрокси-4-октилоксифенил)-4,6-бис-(2,4-диметилфенил)-1,3,5-триазин, 2-(2,4-дигидроксифенил)-4,6-бис-(2,4-диметилфенил)-1,3,5-триазин, 2,4-бис-(2-гидрокси-4-пропилоксифенил)-6-(2,4-диметилфенил)-1,3,5-триазин, 2-(2-гидрокси-4-октилоксифенил)-4,6-бис-(4-метилфенил)-1,3,5-триазин, 2-(2-гидрокси-4-додецилоксифенил)-4,6-бис-(2,4-диметилфенил)-1,3,5-триазин, 2-(2-гидрокси-4-тридецилоксифенил)-4,6-бис-(2,4-диметилфенил)-1,3,5-триазин, 2-[2-гидрокси-4-(2-гидрокси-3-бутилоксипропокси)фенил]-4,6-бис-(2,4-диметил)-1,3,5-триазин, 2-[2-гидрокси-4-(2-гидрокси-3-октилоксипропилокси)фенил]-4,6-бис-(2,4-диметил)-1,3,5-триазин, 2-[4-(додецилокси/тридецилокси-2-гидроксипропокси)-2-гидроксифенил]-4,6-бис-(2,4-диметилфенил)-1,3,5-триазин, 2-[2-гидрокси-4-(2-гидрокси-3-додецилоксипропокси)фенил]-4,6-бис-(2,4-диметилфенил)-1,3,5-триазин, 2-(2-гидрокси-4-гексилокси)фенил-4,6-дифенил-1,3,5-триазин, 2-(2-гидрокси-4-метоксифенил)-4,6-дифенил-1,3,5-триазин, 2,4,6-трис-[2-гидрокси-4-(3-бутокси-2-гидроксипропокси)фенил]-1,3,5-триазин, 2-(2-гидроксифенил)-4-(4-метоксифенил)-6-фенил-1,3,5-триазин, 2-{2-гидрокси-4-[3-(2-этилгексил-1-окси)-2-гидроксипропилокси]фенил}-4,6-бис-(2,4-диметилфенил)-1,3,5-триазин. 3. Деактиваторы металлов, например N,N’-дифенилоксамид, N-салицилаль-N’-салицилоилгидразин, N,N’-бис(салицилоил)гидразин, N,N’-бис-(3,5-ди-трет-бутил-4-гидроксифенилпропионил)гидразин, 3-салицилоиламино-1,2,4-триазол, бис-(бензилиден)оксалилдигидразид, оксанилид, изофталоилдигидразид, себацил-бис-фенилгидразид, N,N’-диацетиладипоилдигидразид, N,N’-бис-(салицилоил)оксалилдигидразид, N,N’-бис-(салицилоил)тиопропионилдигидразид. 4. Фосфиты и фосфониты, например трифенилфосфит, дифенилалкилфосфиты, фенилдиалкилфосфиты, трис(нонилфенил)фосфит, трилаурилфосфит, триоктадецилфосфит, дистеарилпентаэритритдифосфит, трис-(2,4-ди-трет-бутилфенил)фосфит, диизодецилпентаэритритдифосфит, бис-(2,4-ди-трет-бутилфенил)пентаэритритдифосфит, бис-2,4-дикумилфенил)пентаэритритдифосфит, бис-(2,6-ди-трет-бутил-4-метилфенил)пентаэритритдифосфит, диизодецилоксипентаэритритдифосфит, бис-(2,4-ди-трет-бутил-6-метилфенил)пентаэритритдифосфит, бис-(2,4,6-трис-(трет-бутилфенил)пентаэритритдифосфит, тристеарилсорбиттрифосфит, тетракис-(2,4-ди-трет-бутилфенил)-4,4′-бифенилендифосфит, 6-изооктил-2,4,8,10-тетра-трет-бутил-12Н-дибенз[d,g]-1,3,2-диоксафосфоцин, бис-(2,4-ди-трет-бутил-6-метилфенил)метилфосфит, бис-(2,4-ди-трет-бутил-6-метилфенил)этилфосфит, 6-фтор-2,4,8,10-тетра-трет-бутил-12-метилдибенз[d,g]-1,3,2-диоксафосфоцин, 2,2′,2”-нитрило[триэтилтрис-(3,3′,5,5′-тетра-трет-бутил-1,1′-бифенил-2,2′-диил)фосфит], 2-этилгексил(3,3′,5,5′-тетра-трет-бутил-1,1′-бифенил-2,2′-диил)фосфит, 5-бутил-5-этил-2-(2,4,6-три-трет-бутилфенокси)-1,3,2-диоксафосфиран. Прежде всего предпочтительны следующие фосфиты: трис-(2,4-ди-трет-бутилфенил)фосфит (Irgafos 168 фирмы Ciba-Geigy), трис-(нонилфенил)фосфит, 5. Гидроксиламины, например N,N-дибензилгидроксиламин, N,N-диэтилгидроксиламин, N,N-диоктилгидроксиламин, N,N-дилаурилгидроксиламин, N,N-дитетрадецилгидроксиламин, N,N-дигексадецилгидроксиламин, N,N-диоктадецилгидроксиламин, N-гексадецил-N-октадецилгидроксиламин, N-гептадецил-N-октадецилгидроксиламин, N,N-диалкилгидроксиламинопроизводное из гидрогенизированных животных жиров. 6. Нитроны, например N-бензил-альфа-фенилнитрон, N-этил-альфа-метилнитрон, N-октил-альфа-гептилнитрон, N-лаурил-альфа-ундецилнитрон, N-тетрадецил-альфа-тридецилнитрон, N-гексадецил-альфа-пентадецилнитрон, N-октадецил-альфа-гептадецилнитрон, N-гексадецил-альфа-гептадецилнитрон, N-октадецил-альфа-пентадецилнитрон, N-гептадецил-альфа-гептадецилнитрон, N-октадецил-альфа-гексадецилнитрон, нитронпроизводное N,N-диалкилгидроксиламина из гидрогенизированного жирного амина. 7. Тиосинергисты, например дилаурилтиодипропионат или дистеарилтиодипропионат. 8. Акцепторы пероксидов, например сложные эфиры 9. Стабилизаторы полиамидов, например соли меди в комбинации с иодидами и/или соединениями фосфора и солями двухвалентного марганца. 10. Основные ко-стабилизаторы, например меламин, поливинилпирролидон, дициандиамид, триаллилцианурат, производные мочевины, производные гидразина, амины, полиамиды, полиуретаны, соли щелочных металлов и соли щелочно-земельных металлов и высших жирных кислот, например стеарат кальция, стеарат цинка, бегенат магния, стеарат магния, рицинолеат натрия и пальмитат калия, соли сурьмы или цинка и пирокатеховой кислоты. 11. Стандартные инициаторы зародышеобразования, например неорганические вещества, такие как тальк, оксиды металлов, такие как диоксид титана или оксид магния, фосфаты, карбонаты или сульфаты предпочтительно щелочно-земельных металлов; органические вещества, такие как моно- или поликарбоновые кислоты и их соли, например 4-трет-бутилбензойная кислота, адипиновая кислота, дифенилуксусная кислота, сукцинат натрия или бензоат натрия; полимерные соединения, такие как ионные сополимеры (иономеры). Наиболее предпочтительными являются 1,3:2,4-бис(3′,4′-диметилбензилиден)сорбит; 1,3:2,4-ди(пара-метилдибензилиден)сорбит и 1,3:2,4-ди(бензилиден)сорбит. 12. Прочие добавки, например пластификаторы, замасливатели, реологические добавки, катализаторы, агенты для регулировки текучести, оптические блескообразователи, огнестойкие добавки, антистатики и порообразователи. 13. Бензофураноны и индолиноны, например, описанные в патентах US-A-4325863, US-A-4338244, US-A-5175312, US-A-5216052, US-A-5252643, DE-A-4316611, DE-A-4316622, DE-A-4316876, EP-A-0589839 или ЕР-А-0591102, или 3-[4-(2-ацетоксиэтокси)фенил]-5,7-ди-трет-бутилбензофуран-2-он, 5,7-ди-трет-бутил-3-[4-(2-стеароилоксиэтокси)фенил]бензофуран-2-он, 3,3′-бис[5,7-ди-трет-бутил-3-(4-[2-гидроксиэтокси]фенил)бензофуран-2-он], 5,7-ди-трет-бутил-3-(4-этоксифенил)бензофуран-2-он, 3-(4-ацетокси-3,5-диметилфенил)-5,7-ди-трет-бутилбензофуран-2-он, 3-(3,5-диметил-4-пивалоилоксифенил)-5,7-ди-трет-бутилбензофуран-2-он, 3-(3,4-диметилфенил)-5,7-ди-трет-бутилбензофуран-2-он, 3-(2,3-диметилфенил)-5,7-ди-трет-бутилбензофуран-2-он. Массовое соотношение агента(ов) зародышеобразования Полипропиленовая смола на основе компонента (1) предпочтительно содержит один или более технологических стабилизаторов, например, в количестве от 0,001 до 2% в расчете на массу компонента (1). Примеры обработки композиций на основе смолы по настоящему изобретению включают следующие способы: литьевое формование с раздувом, экструзия, выдувное формование, роторное формование, формование в форме (обратная инжекция), формование полых изделий заливкой, совместное литьевое формование, отливка, прямое прессование, штамповка, формование пленок экструзией (экструзия раствора и экструзия с раздувом), формование волокон (тканых и нетканых), вытяжка (одноосное, двухосное), отжиг, глубокая вытяжка, каландрование, механическая обработка, спекание, коэкструзия, покрытие, ламинирование, сшивание (с помощью радиации, пероксидов, силанов), вакуумное осаждение, сварка, склеивание, вулканизация, термоформование, получение рукавных пленок экструзией, экструзия профилированных изделий, экструзия, получение листов экструзией, литье листов, нанесение покрытий методом центрифугирования, полировка ремнем с абразивным покрытием, формование пенопластов, переработка, повторная обработка, нанесение экструзией, легкий крекинг (с помощью пероксида, повышения температуры), формование волокон из расплава с раздувом, нетканый материал, обработка поверхности (коронным разрядом, огнем, плазмой), стерилизация (гамма-излучением, пучком электронов), наружное покрытие гелем, ленточная экструзия, процесс получения листового формовочного материала или пластизольное покрытие. Полученную композицию на основе кристаллической полипропиленовой смолы по настоящему изобретению предпочтительно формуют литьем, прямым прессованием, выдувным формованием, роторным формованием и/или с использованием известных методик формования на обычном оборудовании для формования. Условия формования известны специалистам в данной области техники. Типичные предпочтительные условия формования описаны ниже. Литье: температура смолы от приблизительно 180 до 320°С, предпочтительно от приблизительно 200 до 300°С; температура формования от приблизительно 0 до 120°С, предпочтительно от приблизительно 30 до 80°С. Выдувное формование: температура смолы приблизительно от 180 до 300°С, предпочтительно от приблизительно 200 до 280°С; температура формования от приблизительно 20 до 140°С, предпочтительно от приблизительно 60 до 120°С. Прямое формование: температура расплава смолы от приблизительно 180 до 300°С, предпочтительно от приблизительно 200 до 280°С; температура охлаждения от приблизительно 10 до 125°С, предпочтительно от приблизительно 30 до 100°С. Продукты, полученные формованием и содержащие более высокий процент При необходимости соотношение содержания Композиции на основе смолы по настоящему изобретению можно использовать для изготовления изделий различной формы. Примеры включают следующие: I-1) плавучие средства, детали для морских судов, понтоны, бакены, пластиковые материалы для палуб, причалы, лодки, байдарки, весла и средства для укрепления берегов; I-2) автомобильная промышленность, прежде всего, бамперы, приборные щитки, батареи, облицовка передней и задней панели, формованные детали под кузовом, бардачки, облицовка багажника, облицовка внутри салона, чехлы для пневмоподушек, электронная арматура (осветительные приборы), детали для инструментальных панелей, детали для фар, приборные панели, внешняя облицовка, обивка, автомобильные фары, передние фары, стояночные фары, задние фары, тормозные фары, внутренняя и внешняя отделки, дверные панели, бензобаки, полировки, передние и задние стекла, спинки сидений, внешние панели, изоляционные материалы для проводов, профильные экструдаты для уплотнения, наружняя обшивка, покрытия для стоек, выхлопные системы, топливные фильтры/наливные отверстия, топливные насосы, топливные резервуары, борт кузова, детали откидного верха, внешние зеркала, внешняя отделка, замки/фиксаторы, передние узлы, стекла, шарниры, запорные системы, багажники на крыше и полки для багажа, прессованные/штампованные детали, уплотнители, защитные устройства от боковых ударов, поглотители шума/изоляторы, люки в крыше автомобиля; I-3) дорожно-транспортные средства, прежде всего, дорожные знаки, устройства для разметки дороги, аксессуары для машин, предупредительные треугольники, аптечки, шлемы, шины; I-4) устройства для самолетов, железнодорожное оборудование, моторизированные машины (автомобили, мотоциклы), включая отделку и меблировку; I-5) устройства для космических аппаратов, прежде всего, ракеты и спутники, например, защитные покрытия для спуска в атмосферу; I-6) устройства для конструкций и интерьера, горного дела, аккустических и звукопоглощающих систем, “островков безопасности” на перекрестках и заградительных насаждений; II-1) устройства, корпуса и покрытия для обычных и электрических/электронных устройств (персональные компьютеры, телефоны, мобильные телефоны, принтеры, телевизоры, аудио- и видеоустройства), горшки для цветов, тарелки для спутниковых антенн для телевизоров и панельные устройства; II-2) покрытия для других материалов, таких как сталь и текстиль; II-3) устройства для электронной промышленности, прежде всего, изоляторы для штепселей, специальные компьютерные штепсели, корпуса для электрических и электронных деталей, печатные платы и материалы для хранения электронных данных, такие как чипы, чековые и кредитные карточки; II-4) электрические приборы, прежде всего, стиральные машины, тумблеры, печи (микроволновые печи), машины для мытья посуды, миксеры и утюги; II-5) покрытия для ламп, например, для уличных фонарей или для абажуров; II-6) материалы для проводов и кабелей (полупроводники, изоляторы и оплетки кабелей); II-7) фольга для конденсаторов, холодильников, нагревателей, кондиционеров, герметизации электронных схем, полупроводников, кофеварок и пылесосов; III-1) технические изделия, такие как зубчатые колеса (приводы), скользящие узлы, прокладки, винты, болты, рукоятки и кнопки; III-2) лопасти несущего винта, вентиляторы и ветряные мельницы, солнечные установки, бассейны, покрытия бассейнов, облицовка бассейнов, облицовка запруд, туалеты, шкафы, перегородки, перекладины, раздвижные стенки, крыши, жалюзи (например, роль-ставни), фитинги, патрубки, втулки и конвейерные ленты; III-3) сантехническое оборудование, прежде всего, душевые кабины, сидения для унитаза, крышки и сточные трубы; III-4) предметы гигиены, прежде всего, памперсы (детские, взрослые), предметы женской гигиены, занавески для душа, расчески, коврики, ванные, переносные туалеты, зубные щетки и “утки” для лежачих больных; III-5) трубы из сшитых и несшитых полимеров для водопроводной воды, канализации и химических реагентов, защитные трубы проводов и кабелей, газовые трубы, трубы для масел и сточных вод, канализационные системы, сливные трубы и дренажные системы; III-6) профилированные изделия любой формы (оконные стекла) и наружные обшивки; III-7) заменители стекла, прежде всего, прессованные пластины, облицовка зданий (монолитные, двойные и многослойные стены), самолеты, школы, прессованные листы, пленки для окон для архитектурной облицовки, поезда, транспортные средства, сантехническое оборудование и детали для оранжерей; III-8) плиты (для стен, досок для резки хлеба), штампованные покрытия (фотобумага, упаковка тетрапак и покрытия для труб), бункеры, заменители дерева, пластики, деревянные композиты, стены, поверхности, мебель, декоративная фольга, покрытия для пола (внутренние и внешние), настилы, трапы и черепица; III-9) впускные и выпускные коллекторы; III-10) материалы и покрытия для цементной, бетонной и композитной промышленности, наружная обшивка и плакирование, перила, стойки перил, покрытия для кухонного оборудования, кровельные материалы, листы для кровли, черепица и брезент; IV-1) пластины (для стен, досок для резки хлеба), поддоны, искусственный газон, внутреннее покрытие для космических кораблей, искусственное покрытие для беговых дорожек (атлетических), искусственный настил для стадионов (атлетических) и изоляционные ленты; IV-2) неразрезной и штапельный тканый текстиль, волокна (ковры/гигиенические изделия/геотекстиль/хирургическая мононить; фильтры; салфетки/занавески (шторы)/медицинское оборудование), объемные волокна (одежда/рабочая одежда), сети, канаты, кабели, веревки, шнуры, нитки, ремни безопасности, ткани, белье, перчатки, обувь, резиновая обувь, белье индивидуального пошива, швейные изделия, купальники, спортивная одежда, зонты (от дождя, солнца), парашюты, дельтапланы, паруса, ткань для зондов и аэростатов, туристические изделия, тенты, надувные матрасы, лежаки, пакеты и сумки; IV-3) мембраны, изоляторы, покрытия и уплотнители для крыш, тоннелей, баков для мусора, водохранилищ, мембраны для кровеных изделий, геомембраны, плавательные бассейны, занавески (шторы)/навесы от солнца, тенты, пологи, обои, материалы для упаковки продуктов (гибкие и твердые), материалы для упаковки медицинских средств (гибкие и твердые), пневмоподушки/ремни безопасности, подлокотники и подголовники, ковры, центральный пульт управления, инструментальные панели, кабины, дверцы, покрытия для пультов, облицовка дверей, оборудование для автоматических линий, внутреннее освещение, внутренние зеркала, стеллажи, покрытие для багажников, сидения, рулевая колонка, руль, ткани и внутренняя отделка багажника; V) пленки (упаковка, полигоны захоронения, ламинирование, сельское хозяйство и садоводство, теплицы, мульчирование, тоннели, силосные башни), упаковка для товаров, плавательные бассейны, мешки для мусора, обои, растягиваемая пленка, рафия, пленка для обессоливания, батареи и разъемы; VI-1) материалы для упаковки пищевых продуктов (гибкие и твердые), материалы типа ВОРР, ВОРЕТ, бутылки; VI-2) системы складирования, такие как коробки (ящики), багажники, контейнеры, бытовая тара, стеллажи, полки, транспортер, коробки с отидной крышкой, пакеты и банки; VI-3) картриджи, шприцы, медицинское оборудование, контейнеры для транспортировки, корзины и баки для мусора, пакеты для мусора, ведра для мусора, бункер для уловленной пыли, облицовка мусорных ведер, баки на колесах, контейнеры общего назначения, баки для воды/сточных вод/реагентов/газа/нефти/бензина/дизельного топлива, облицовка баков, коробки, ящики, упаковки батарей, ванны, медицинские устройства, такие как клапаны, офтальмологические устройства, приборы для диагностики и упаковки фармацевтических блистеров; VII-1) штампованные покрытия (фотобумага, упаковка тетрапак, покрытия труб), кухонные изделия любого типа (например, бытовые приборы, колбы для термосов, вешалки для полонец), соединительные системы, такие как штепсели, провода и кабельные зажимы, молнии, застежки, замки и кнопки; VII-2) сопутствующие изделия, товары для отдыха, такие как спортивные устройства и тренажеры, гимнастические маты, лыжные ботинки, роликовые коньки, лыжи, сноуборды, покрытия для спортивных залов (например, покрытия для теннисных кортов); завинчивающиеся крышки, крышки и пробки для бутылок и банок; VII-3) аксессуары общего назначения, изделия из пенопласта (подушки, аммортизаторы), пенопласт, губчатый материал, кухонные полотенца, маты, садовые кресла, кресла для стадионов, столы, кушетки, игрушки, строительные наборы (доски/фигуры/шарики), игрушечные дома, горки и игрушечные машины; VII-4) материалы для хранения оптических и магнитных данных; VII-5) кухонные принадлежности (для пищевых продуктов, напитков, приготовления еды, хранения продуктов); VII-6) коробки для CD-дисков, кассет, видеокассет, DVD-дисков; любые канцелярские принадлежности (ручки, марки, чернила, мыши, полки, коврики для мыши), бутылки любого объема и содержимого (напитки, моющие средства, косметика, включая духи) и адгезивные ленты; VII-7) обувь (ботинки/подошвы), стельки, защитные гетры, адгезивы, структурные адгезивы, коробки для хранения пищевых продуктов (фруктов, овощей, мяса, рыбы), искусственная бумага, этикетки для бутылок, кушетки, искусственные суставы человека, печатные формы (флексографические), печатные монтажные платы и детали для дисплеев; VII-8) наполненные полимеры (тальк, мел, китайская глина (каолин), волластонит, пигменты, уголь, оксид титана, слюда, нанокомпозиты, доломит, силикаты, стекло, асбест). Таким образом, один вариант настоящего изобретения относится к изделиям определенной формы, прежде всего к пленочным волокнам, профилированным изделиям, трубам, бутылям, резервуарам или контейнерам, содержащим композицию на основе смолы, описанную выше. Предпочтительными являются формованные изделия. Формование предпочтительно осуществляют литьем, выдуванием, прессованием, роторным формованием, формованием полых изделий заливкой или экструзией. Другой вариант относится к одноосно- или двухосно-ориентированным пленкам, которые получают вытяжкой пленки из описанной выше композиции. Еще один из вариант относится к волокну, полученному путем вытяжки волокна из описанной выше композиции. Настоящее изобретение относится также к многослойной системе, в которой один или более слоев содержит описанную выше композицию. Соединения формулы (I) можно получить по известным методикам, например, при взаимодействии соответствующего амина с трихлорангидридом 1,3,5-бензолтрикабоновой кислоты, как описано, например, в стандартных методиках, таких как Houben-Weyl, Methoden der Organishen Chemie под ред. Georg Thieme, Stuttgard, в известных условиях реакции. При проведении таких реакций можно использовать предпочтительные варианты, не описанные в данном контексте. При необходимости исходные вещества можно получать в реакционной смеси без их выделения, при этом они немедленно взаимодействуют с соединениями формулы (I). В примерах А-В описан способ получения указанных соединений. Примеры соответствующих аминов включают следующие: изопропиламин, н-бутиламин, втор-бутиламин, трет-бутиламин, н-пентиламин, 1,1-диметилпропиламин, 1,2-диметилпропиламин, 3-метилбутиламин, н-гексиламин, н-гептиламин, н-октиламин, 2-этилгексиламин, трет-октиламин (1,1,3,3-тетраметилбутиламин), изонониламин, н-додециламин, тридециламин, жирный амин на основе жирных кислот из таллового масла, 2-диметиламиноэтиламин, 2-диэтиламиноэтиламин, 3-диметиламинопропиламин, 3-диэтиламинопропиламин, 3-метиламинопропиламин, 2-метоксиэтиламин, 2-этоксиэтиламин, 2-метоксипропиламин, 2-этоксипропиламин, 3-изопропоксипропиламин, аллиламин, олеиламин, циклопентиламин, циклогексиламин, 2-метилциклогексиламин, циклогексилметиламин, 4-метилфениламин (4-метиланилин), 2-этилфениламин (2-этиланилин), 4-этилфениламин (4-этиланилин), 4-изопропилфениламин (4-изопропиланилин), 4-трет-бутилфениламин (4-трет-бутиланилин), 4-втор-бутилфениламин (4-втор-бутиланилин), 4-изобутилфениламин (4-изобутиланилин), 3,5-диметилфениламин (3,5-диметиланилин), 3,4-диметилфениламин (3,4-диметиланилин), 2,4-диметилфениламин (2,4-диметиланилин), 2,6-диэтилфениламин (2,6-диэтиланилин), 2-этил-6-метилфениламин (2-этил-6-метиланилин), 2,6-диизопропилфениламин (2,6-диизопропиланилин), 4-метоксифениламин (4-метоксианилин), 4-этоксифениламин (4-этоксианилин), 4-гидроксифениламин (4-гидроксианилин), 4-ацетамидофениламин (4-ацетамидоанилин), 3-хлорфениламин (3-хлоранилин), 2-хлорфениламин (2-хлоранилин), 3-хлор-6-метилфениламин, 2-бензоилфениламин (2-бензоиланилин), 4-фениламинофениламин, 4-(фенилазо)фениламин (4-аминоазобензол), бензиламин, 2-фенилэтиламин, 1-нафтиламин, адамантиламин, 2-пиколиламин, (2-фурил)метиламин, (2-тетрагидрофурил)метиламин, 2-пиримидиламин, 6-метил-2-пиридиламин, 1,2,4-триазол-3-иламин и 2-(1-пиперазинил)этиламин. В следующих примерах представлено более подробное описание настоящего изобретения. Если не указано иное, все количества соединений даны в массовых частях и процентах, а все величины температуры приведены в градусах Цельсия (°С). Термин “стандартная обработка ” означает обработку водой, фильтрование осадка, экстрагирование органическим растворителем и/или очистку продукта кристаллизацией и/или хроматографией и/или сублимацией. Пример А Получение соединения формулы К 70 мл сухого N-метилпирролидона (NMP) и 15 мл сухого пиридина в инертной атмосфере добавляли 4,20 г (33 ммоля) 2,3-диметилциклогексиламина (смесь изомеров) и 0,1 г сухого LiCl, а затем охлаждали до 5°С и добавляли 2,39 г (9 ммолей) трихлорангидрида 1,3,5-бензолтрикарбоновой кислоты. Реакционную смесь нагревали до 75°С и перемешивали. Через 2 ч реакционную смесь добавляли к 300 мл ледяной воды и после стандартной обработки (перекристаллизации из N,N-диметилформамида) получали 3,28 г (6,10 ммоля, 67,8% от теории) трис-(2,3-диметилциклогексиламида. tпл. 418°C (при одновременном испарении). 1Н ЯМР (CF3COOD/CDCl3, 1:1): 13С ЯМР (CF3СООО/COCl3, 1:1): ИК (KBr, см-1): 3232, 3065, 2928, 1637, 1550, 1290. МС (70 эВ): m/z 537 (M+, 5%). Пример Б Получение соединения формулы К 70 мл сухого NMP и 15 мл сухого пиридина в инертной атмосфере добавляли 4,20 г (33 ммоля) циклооктиламина и 0,1 г сухого LiCl, а затем охлаждали до 5°С и добавляли 2,39 г (9 ммолей) трихлорангидрида 1,3,5-бензолтрикарбоновой кислоты. Реакционную смесь нагревали до 75°С и перемешивали. Через 2 ч реакционную смесь добавляли к 300 мл ледяной воды и после стандартной обработки (перекристаллизации из N,N-диметилформамида) получали 4,02 г (7,48 ммоля, 83,1% от теории) трис-(2,3-циклооктиламида) 1,3,5-бензолтрикарбоновой кислоты. tпл. 402°С (при одновременном испарении). 1Н ЯМР (CF3COOD/CDCl3, 1:1): 13С ЯМР (CF3COOD/CDCl3, 1:1): ИК (KBr, см-1): 3222, 3059, 2922, 1634, 1556, 1285. МС (70 эВ): m/z 537 (M+, 42%). Пример В Получение соединения формулы К 70 мл сухого NMP и 15 мл сухого пиридина в инертной атмосфере) добавляли 4,26 г (33 ммоля) 1,1,3,3-тетраметилбутиламина (трет-октиламина) и 0,1 г сухого LiCl, а затем охлаждали до 5°С и добавляли 2,39 г (9 ммолей) хлорангидрида 1,3,5-бензолтрикарбоновой кислоты. Реакционную смесь нагревали до 75°С и перемешивали. Через 2 ч реакционную смесь добавляли к 300 мл ледяной воды, осадок отфильтровывали и после стандартной обработки рекристаллизации из метанола) получали 3,40 г (6,25 ммоля, 69,5% от теории) трис-(1,1,3,3-тетраметилбутиламида) 1,3,5-бензолтрикарбоновой кислоты, tпл. 315°С (при одновременном испарении). 1H ЯМР (CF3COOD/CDCl3, 1:1): 13С ЯМР (CF3COOD/CDCl3, 1:1): ИК (KBr, см-1): 3237, 3063, 2955, 1637, 1557, 1228. МС (70 эВ): m/z 543 (М+, 46%). Следующие соединения: А-1 – А-5, А-7 и А-8, полученные, как указано выше, и их тпл. представлены ниже. Температуру плавления определяли на дифференциальном сканирующем калориметре (ДСК) при скорости нагревания 10 К/мин. Предпочтительные примеры соединений формулы (I) включают следующие: соединение А-1: трис(бензиламид) 1,3,5-бензолтрикарбоновой кислоты, tпл. 243°С, соединение А-2: трис(циклогептиламид) 1,3,5-бензолтрикарбоновой кислоты, tпл. 394°C*), соединение А-3: трис(3-метилциклогексиламид) 1,3,5-бензолтрикарбоновой кислоты, tпл. 381°С*), соединение А-4: трис(3,4-диметилфениламид) 1,3,5-бензолтрикарбоновой кислоты, tпл. 340°C**), соединение А-5: трис(циклододециламид) 1,3,5-бензолтрикарбоновой кислоты, tпл. 393°C*), соединение А-6: трис(трет-октиламид) 1,3,5-бензолтрикарбоновой кислоты, tпл. 315°C*), соединение А-7: трис(S(+)-1-циклогексилэтиламид) 1,3,5-бензолтрикарбоновой кислоты, tпл. 397°С*), соединение А-8: трис(R(-)-1-циклогексилэтиламид) 1,3,5-бензолтрикарбоновой кислоты, tпл. 392°С*), соединение А-9: трис(циклооктиламид) 1,3,5-бензолтрикарбоновой кислоты, tпл. 402°C*), соединение А-10: трис(2,3-диметилциклогексиламид) 1,3,5-бензолтрикарбоновой кислоты, tпл. 418°C*), соединение А-11: трис(н-бутиламид) 1,3,5-бензолтрикарбоновой кислоты, tпл. 239°С. *) Плавление с одновременным испарением. **) Плавление с разложением. Общие методики, использованные в примере I, описаны ниже. Методика смешивания К 59,91 г порошкообразного полипропилена (ELF-Atochem (RTM); Appryl 3030BN1 (RTM)) добавляют 90 мг порошкообразной добавки (0,15 мас.%) или порошкообразную смесь добавок (общее содержание 0,15 мас.%) и перемешивают в течение 24 ч переворачиванием в стеклянном контейнере. Обычно 4,5 г смеси помещают при 239°С в мелкомасштабный лабораторный двухшнековый рециркулирующий и вращающийся в одном направлении экструдер, например MicroCompounder фирмы DACA Instruments (RTM), в течение приблизительно 4 мин при скорости вращения шнеков 40 об/мин и получают экструдат при комнатной температуре. Контрольный образец получают при обработке чистого полипропилена аналогичным образом. Дифференциальная сканирующая калориметрия (ДСК) Дифференциальный сканирующий калориметр фирмы Perkin-Elmer (RTM) (модель DSC 7), работающий в атмосфере сухого азота, используют для анализа кристаллизации различных смесей и контрольных образцов по стандартным методикам. Приблизительно от 5 до 10 мг образца помещают в алюминиевые чашки с крышками, нагревают от 130 до 230°С со скоростью 10°С/мин, выдерживают при 230°С в течение 5 мин и затем последовательно охлаждают со скоростью 10°С/мин до 50°С. Данные получают в виде температур кристаллизации, которые представляют собой температуры экзотермических пиков (преобладающие минимумы пиков) на термограммах, которые регистрируют после охлаждения. Литьевое формование выполняют на установке MicroInjector (фирмы DACA Instruments (RTM)). Приблизительно 3,0 г гранулированных волокон помещают в реактор в атмосфере азота при 260°С. После полного расплавления гранул расплав впрыскивают в полированную литейную форму под давлением приблизительно 8 бар. Температура в форме составляет 20°С, диаметр полученных образцов составляет 2,5 см и тощина приблизительно 1,1-1,2 мм. Оптические свойства (пропускание, прозрачность, матовость) Величины пропускания, прозрачности и матовости измеряют с помощью прибора haze-gard plus (фирмы BYK, Gadner (RTM), освещение CIE-C) при комнатной температуре. Указанный прибор удовлетворяет требованиям ASTM D-1003. Величины пропускания, прозрачности и матовости измеряют в течение 12-24 ч после получения образцов литьевым формованием. Определение содержания кристаллической Определение содержания Исследуемый образец помещают в держатель для образцов на середину расстояния между медным источником радиоактивного излучения К содержание где P P Р Р Р Пример I. 0,15 мас.% соединения, указанного в таблице 1, добавляют к полипропиленовой смоле, обработанной и охарактеризованной, как описано выше. Величины пропускания, матовости, прозрачности, температуры перекристаллизации и содержания кристаллической Температура перекристаллизации (Ткр) полипропиленовой смолы, не содержащей агентов зародышеобразования
Пример II. 2,5 кг полипропиленового порошка (продукт Moplen FL F 20 (RTM) фирмы Montell (RTM)) смешивают до гомогенного состояния в высокоскоростном смесителе с 0,10% трис(2,4-ди-трет-бутилфенил)фосфита, 0,05% пентаэритрит-тетракис-3-(3,5-ди-трет-бутил-4-гидроксифенил)пропионата, 0,10% стеарата кальция и 0,20% соединения А-10. Полученную смесь пропускают через двухшнековый экструдер фирмы Berstorff (RTM) при температуре до 240°С. После пропускания экструдата через водяную баню для охлаждения его гранулируют. Литьевое формование (пример IIa). Пластины размером 90 мм × 85 мм × 2 мм получают формованием из указанных гранул на установке для литьевого формования (Arburg 320 S (RTM)) при температуре до 240°С (температура в форме 50°С). Прессование (примеры IIб-IIе). Пластины размером 140 мм × 240 мм × 2 мм формуют прессованием из гранул. Пример IIб. 55 г гранул формуют при t1=240°С в течение 15 мин на прессе для формования из расплава Suter LP 322 (RTM). Затем формованную композицию на основе полипропиленовой смолы помещают во второй пресс для формования из расплава (Suter LP 322 (RTM)) при температуре t2=60°C. Образцы прессуют при давлении 10 бар и отжигают/кристаллизуют в течение 5 мин. Пример IIв. 55 г гранул формуют при t1=240°C в течение 15 мин на прессе для формования из расплава Suter LP 322 (RTM). Затем формованную композицию на основе полипропиленовой смолы помещают во второй пресс для формования из расплава (Suter LP 322 (RTM)) при температуре t2=80°C. Образцы прессуют при давлении 10 бар и отжигают/кристаллизуют в течение 10 мин. Пример IIг. 55 г гранул формуют при t1=240°C в течение 15 мин на прессе для формования из расплава Suter LP 322 (RTM). Затем формованную композицию на основе полипропиленовой смолы помещают во второй пресс для формования из расплава (Suter LP 322 (RTM)) при температуре t2=100°C. Образцы прессуют при давлении 10 бар и отжигают/кристаллизуют в течение 30 мин. Пример IIд. 55 г гранул формуют при t1=240°C в течение 15 мин на прессе для формования из расплава Suter LP 322 (RTM). Затем формованную композицию на основе полипропиленовой смолы помещают во второй пресс для формования из расплава (Suter LP 322 (RTM)) при температуре t2=110°C. Образцы прессуют при давлении 10 бар и отжигают/кристаллизуют в течение 60 мин. Пример IIе. 55 г гранул формуют при t1=240°C в течение 15 мин на прессе для формования из расплава Suter LP 322 (RTM). Затем формованную композицию на основе полипропиленовой смолы помещают во второй пресс для формования из расплава (Suter LP 322 (RTM)) при температуре t2=120°C. Образцы прессуют при давлении 10 бар и отжигают/кристаллизуют в течение 120 мин. Содержание кристаллической Рентгеновское рассеяние в больших углах Определение содержания ДСК Анализ свойств кристаллической формы в различных смесях и контрольных образцах проводят по стандартным методикам на приборе для ДСК ТА Instruments (RTM) (модель 2920), действующем в атмосфере сухого азота. Приблизительно от 5 до 10 мг образца помещают в алюминиевую чашку, нагревают от температуры окружающей среды до 240°С со скоростью 10 К/мин, выдерживают при 240°С в течение 5 мин и затем последовательно охлаждают со скоростью 10 К/мин до температуры окружающей среды. Данные представлены в виде температур кристаллизации, которые определяют по температуре экзотермических пиков (минимум преобладающего пика) на термограммах, записанных после охлаждения. Температура перекристаллизации (tкр) полипропиленовой смолы (соединение (1)), не содержащей агентов зародышеобразования Температура перекристаллизации (t*) полипропиленовой смолы, содержащей 0,20 мас.% соединения А10, составляет 124,1°С.
Пример III. 5 кг полипропиленового порошкообразного гомополимера (продукт Moplen (RTM) РН 350 (RTN) фирмы Montell (RTM)) смешивают до гомогенного состояния в высокоскоростном смесителе с 0,10% трис(2,4-ди-трет-бутилфенил)фосфита, 0,05% пентаэритритол-тетракис-3-(3,5-ди-трет-бутил-4-гидроксифенил)пропионата, 0,10% стеарата кальция и различными количествами соединения А-10 (0,025, 0,05 или 0,1 мас.% в расчете на массу порошкообразного полипропиленового гомополимера). Полученную смесь пропускают через двухшнековый экструдер фирмы Berstorff (RTM) (диаметр шнека 25 мм, отношение L/D 46) при температуре до 230°С. После пропускания экструдата через водяную баню для охлаждения его гранулируют. Получение пленок литьем из раствора. Пленки, отлитые из раствора, получают с использованием одношнекового экструдера (фирмы Dr.Collin, E 30M), снабженного устройством для отливки пленок (Dr.Collin CR 136/350) при температуре 230°С (экструдер) и 115°С (охлаждающий валок). Толщина пленок, отлитых из раствора, составляет 0,2 мм и 1 мм. Получение двухосно-ориентированных пленок Подготовка образцов: пленки, отлитые из раствора, разрезают на квадраты размером 85 мм × 85 мм. Вытяжку выполняют на двухосном агрегате для вытяжки Bruckner Karo IV при напряжении по Хенки 0,1 с-1. Исходный размер L0 (мм): MD × TD=70×70 (расстояние между зажимами 70 мм). Время предварительного нагревания: 40 с/ 150°С. Температура набора зажимов 95°С.
Формула изобретения
1. Применение соединения формулы (I) в качестве инициатора зародышеобразования
где R1, R2 и R3 идентичны и означают C1-C20алкил, C5-C12циклоалкил, C5-C12циклоалкил, замещенный 1, 2 или 3 группами C1-С10 алкил; циклогексилметил, цклогексилметил, замещенный 1, 2 или 3 группами C1-С10 алкил; фенил, замещенный 1, 2 или 3 группами C1-С10 алкил; или C7-C9 фенилалкил. 2. Применение по п.1, где полипропиленовая смола представляет собой полипропиленовый гомополимер. 3. Применение по п.1, где полипропиленовая смола представляет собой полипропиленовый статистический сополимер, чередующийся или фрагментированный сополимер или блоксополимер, содержащий один или более сомономеров, выбранных из группы, включающей этилен, С4-С20– 4. Применение по п.1, где R1, R2 и R3 идентичны и означают C1-С20алкил, C5-C12циклоалкил, C5-C12циклоалкил, замещенный 1, 2 или 3 группами C1-C4 алкил; циклогексилметил, циклогексилметил, замещенный 1, 2 или 3 группами C1-C4 алкил; фенил, замещенный 1, 2 или 3 группами C1-C4 алкил; или бензил. 5. Применение по п.1, где R1, R2 и R3 идентичны и означают, бутил, октил или октадецил циклогексил, циклогептил, циклооктил или циклододецил, 3-метилциклогексил или 2,3-диметилциклогексил, 1-циклогексилэтил, или 3,4-диметилфенил. 6. Применение по п.1, где R1, R2 и R3 идентичны и означают 2,3-диметилциклогексил, трет-октил или циклооктил. 7. Применение по п.1, где R1, R2 и R3 идентичны. 8. Применение по п.1, где инициатор зародышеобразования содержание где P P 9. Одноосно-ориентированная пленка или двуосно-ориентированная пленка, которую получают вытяжкой пленки, содержащей композицию, включающую (1) кристаллическую полипропиленовую смолу, и (2) 0,0001-5% в расчете на массу кристаллической полипропиленовой смолы, инициатора зародышеобразования 10. Волокно, полученное вытяжкой волокна, содержащего композицию, включающую (1) кристаллическую полипропиленовую смолу, и (2) 0,0001-5% в расчете на массу кристаллической полипропиленовой смолы, инициатора зародышеобразования 11. Многослойная система, в которой один или более слоев содержит композицию, включающую (1) кристаллическую полипропиленовую смолу, и (2) 0,0001-5% в расчете на массу кристаллической полипропиленовой смолы, инициатора зародышеобразования
|
|||||||||||||||||||||||||||||||||||||||||||||||||||||||||||||||||||||||||||||||||||||||||||||||||||||||||||||||||||||||||||||||

-СКЛАДЧАТЫЕ ПОЛИПРОПИЛЕНЫ
-,
– и
-кристаллических форм, а также в форме смектических кристаллов, которые образуются при охлаждении расплава полипропилена. 
tкр+35°C,
– или
-координационные связи с одним или более лигандов, обычно оксидов, галогенидов, алкоголятов, сложных эфиров, простых эфиров, аминов, алкилов, алкенилов и/или арилов. Комплексы таких металлов можно использовать в свободной форме или в виде иммобилизованных на субстратах, обычно на активированном хлориде магния, хлориде титана (III) или оксиде алюминия или кремния. Такие катализаторы могут быть растворимыми или нерастворимыми в полимеризационной среде. Можно использовать катализаторы при полимеризации в отсутствие других добавок или в присутствие активаторов, таких как алкилы металлов, гидриды металлов, алкилгалогениды металлов, алкилоксиды металлов или алкилоксаны металлов, при этом указанные металлы являются элементами группы Ia, IIa и/или IIIa периодической таблицы. Активаторы можно модифицировать с помощью сложноэфирных, эфирных, аминных или силилэфирных групп. Такие системы катализаторов обычно называются катализаторами Phillips, Standard Oil Indiana, Циглера-Натта (Ziegler-Natta), TNZ (DuPont) и металлоценовыми катализаторами или катализаторами с одним активным центром (КОЦ).




=1,54178 Å) и детектором. Образец располагают таким образом, чтобы поток, сформированный щелью, находился на оси прибора. Данное расположение используют для определения содержания кристаллической
=8-30°. Содержание кристаллической
,