Патент на изобретение №2318825
|
||||||||||||||||||||||||||||||||||||||||||||||||||||||||||||||||||||||||||||||||||||||||||||||||||||||||||||||||||||||||||||||||||||||||
(54) ПРОИЗВОДНЫЕ КСАНТИНА В КАЧЕСТВЕ АНТАГОНИСТОВ A2B АДЕНОЗИНОВОГО РЕЦЕПТОРА
(57) Реферат:
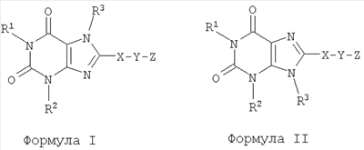
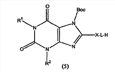
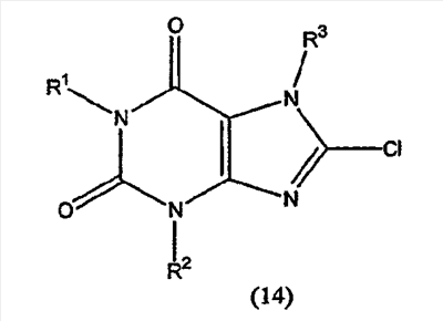
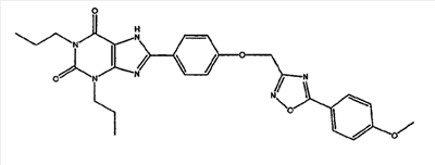
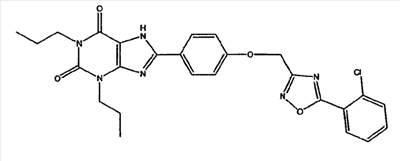
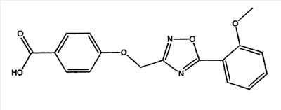
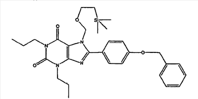
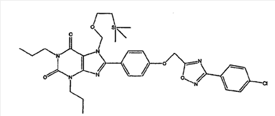
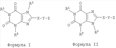
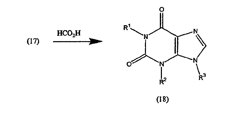
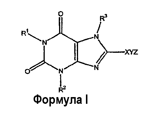
Изобретение относится к соединению формулы I или формулы II: в которых R1 и R2 независимо выбирают из водорода, необязательно замещенного алкила или группы -D-E, в которой D представляет собой ковалентную связь или алкилен и Е представляет собой необязательно замещенный алкокси, необязательно замещенный циклоалкил, необязательно замещенный арил, необязательно замещенный гетероарил, необязательно замещенный гетероциклил, необязательно замещенный алкенил или необязательно замещенный алкинил, при условии, что если D представляет собой ковалентную связь, Е не может представлять собой алкокси; R3 представляет собой водород, необязательно замещенный алкил или необязательно замещенный циклоалкил; Х представляет собой необязательно замещенный арилен или гетероарилен; Y представляет собой ковалентную связь или алкилен, в котором один атом углерода может быть необязательно замещен на -O-, -S- или -NH-, и необязательно замещенный гидрокси, алкокси, необязательно замещенный амино, или -COR, в которой R представляет собой гидрокси, алкокси или амино; при условии, что если необязательный заместитель представляет собой гидрокси или амино, он не может быть смежным с гетероатомом; и Z представляет собой водород, необязательно замещенный моноциклический арил или необязательно замещенный моноциклический гетероарил; при условии, что Z представляет собой водород только при условии, что Y представляет собой ковалентную связь и Х представляет собой необязательно замещенный 1,4-пиразолен; и при условии, что если Х представляет собой необязательно замещенный арилен, Z представляет собой необязательно замещенный моноциклический гетероарил. Также описывается способ лечения болезненного состояния путем ингибирования аденозинового рецептора, описываемого как А2B, на основе соединений формулы I или формулы II. Технический результат – получены новые соединения, обладающие полезными биологическими свойствами. 2 н. и 30 з.п. ф-лы.
Настоящее изобретение относится к антагонистам А2В аденозинового рецептора и к их использованию для лечения млекопитающих при разнообразных болезненных состояниях, таких как желудочно-кишечные расстройства, иммунологические нарушения, неврологические нарушения, и сердечно-сосудистые заболевания, обусловленные одновременно клеточной гиперпролиферацией и апоптозисом, и т.п. Изобретение также относится к способам получения таких соединений и к фармацевтическим композициям, содержащим указанные соединения. Аденозин представляет собой природный нуклеозид, который оказывает свое биологическое воздействие за счет взаимодействия с семейством аденозиновых рецепторов, известных как А1, А2А, А2В и А3, все из которых модулируют важные физиологические процессы. Например, А2А аденозиновые рецепторы модулируют коронарную вазодилатацию, А2В рецепторы участвуют в активации тучных клеток, астме, вазодилатации, регуляции роста клеток, функции кишечника и модуляции нейросекреции (см. Adenosine A2B Receptors as Therapeutic Targets, Drug Dev Res 45:198; Feoktistov et al., Trends Pharmacol Sci. 19:148-153), и А3 аденозиновые рецепторы модулируют процессы клеточной пролиферации. Аденозиновые А2В рецепторы распространены повсеместно и регулируют множественные биологические активности. Например, аденозин связывается с А2В рецепторами клеток эндотелия, таким образом стимулируя ангиогенез. Аденозин также регулирует рост популяций гладких мышечных клеток в кровеносных сосудах. Аденозин стимулирует А2В рецепторы в тучных клетках, таким образом модулируя реакции гиперчувствительности типа I. Аденозин также стимулирует секреторную активность в желудке за счет лигирования с А2В рецепторами в кишечнике. Несмотря на то что многие из этих биологических эффектов аденозина необходимы для поддержания нормального гомеостаза тканей, при определенных физиологических изменениях является желательным модулировать его действия. Например, связывание А2В рецепторов стимулирует ангиогенез за счет способствования росту клеток эндотелия. Такая активность необходима при заживлении ран, но гиперпролиферация клеток эндотелия способствует диабетической ретинопатии. Также нежелательный рост кровеносных сосудов имеет место при неоплазии. Таким образом, ингибирование связывания аденозина с А2В рецепторами в эндотелии будет ослаблять или предотвращать гиперваскуляцию, таким образом предотвращая ретинопатию и ингибируя образование опухоли. А2В рецепторы находятся в кишке в базально-латеральных отделах эпителиальных клеток кишечника и, действуя в соответствии с соответствующим лигандом, приводят к увеличению секреции хлорида, таким образом вызывая диарею, которая представляет собой обычное и потенциально летальное осложнение инфекционных заболеваний, таких как холера и тиф. Антагонисты А2В могут, таким образом, быть использованы для блокады кишечной секреции хлорида, и, таким образом, они пригодны для лечения воспалительных расстройств желудочно-кишечного тракта, включая диарею. Нечувствительность к инсулину приводит к обострению диабетов и к ожирению. Чувствительность к инсулину уменьшается за счет взаимодействия аденозина с А2В рецепторами. Таким образом, блокада аденозиновых А2В рецепторов индивидуумов с диабетами или с ожирением оказало бы положительное влияние на пациентов с этими заболеваниями. Также было показано, что А2В-антагонисты вызывают понижение уровней глюкозы в крови и, таким образом, были бы в особенности пригодными при лечении пациентов с диабетом II типа. Другой неблагоприятный биологический эффект аденозина, действующего на А2В рецепторы, состоит в сверхраздражении церебрального IL-6, цитокина, связанного со слабоумием и болезнью Альцгеймера. Ингибирование связывания аденозина с А2В рецепторами, таким образом, смягчало бы эти неврологические нарушения, которые вызваны IL-6. Связывание А2В рецепторов тучных клеток стимулирует аллергические нарушения типа I, такие как астму, сенную лихорадку и атопическую экзему. Таким образом, блокирование этих аденозиновых рецепторов обеспечивало бы терапевтическое положительное воздействие по отношению к таким заболеваниям. Существует несколько соединений, в настоящее время используемых при лечении астмы. Например, теофилин представляет собой эффективный антиастматический агент, даже несмотря на то, что он представляет собой слабый антагонист аденозинового рецептора. Однако для его эффективности требуется его высокое содержание в плазме. Дополнительно, теофилин обладает значительными побочными эффектами, большая часть которых обусловлена его действием на ЦНС (CNS), что не обеспечивает положительного влияния при астме, и тем фактом, что он неспецифически блокирует все подтипы аденозиновых рецепторов. Дополнительно, лечение аденозином, таким как вдыхаемый аденозин (или аденозин монофосфат), вызывает бронхостеноз у астматиков, но не у здорового населения. Известно, что это явление включает активацию тучных клеток таким образом, что он высвобождает медиаторы тучных клеток, включая гистамин, PGD2- Таким образом, желательно обеспечить соединения, которые являются сильными антагонистами А2В (т.е. соединения, которые ингибируют А2В аденозиновый рецептор), полностью или частично селективные по отношению к А2В рецептору, пригодные для лечения различных болезненных состояний, относящихся к модуляции А2В рецептора, например рака, астмы и диареи. Целью настоящего изобретения является предоставление антагонистов А2В рецепторов. Таким образом, в первом аспекте изобретение относится к соединениям формулы I или формулы II: в которых: R1 и R2 независимо выбирают из водорода, необязательно замещенного алкила или группы -D-E, в которой D представляет собой ковалентную связь или алкилен и Е представляет собой необязательно замещенный алкокси, необязательно замещенный циклоалкил, необязательно замещенный арил, необязательно замещенный гетероарил, необязательно замещенный гетероциклил, необязательно замещенный алкенил или необязательно замещенный алкинил, при условии, что если D представляет собой ковалентную связь, Е не может представлять собой алкокси; R3 представляет собой водород, необязательно замещенный алкил или необязательно замещенный циклоалкил; Х представляет собой необязательно замещенный арилен или необязательно замещенный гетероарилен; Y представляет собой ковалентную связь или алкилен, в котором один атом углерода может быть необязательно замещен на -О-, -S- или -NH-, и необязательно замещенный гидрокси, алкокси, необязательно замещенный амино, или -COR, в которой R представляет собой гидрокси, алкокси или амино; при условии, что если необязательный заместитель представляет собой гидрокси или амино, он не может быть смежным с гетероатомом; и Z представляет собой необязательно замещенный моноциклический арил или необязательно замещенный моноциклический гетероарил; или Z представляет собой водород, если Х представляет собой необязательно замещенный гетероарилен и Y представляет собой ковалентную связь; при условии, что если Х представляет собой необязательно замещенный арилен, Z представляет собой необязательно замещенный моноциклический гетероарил. Второй аспект настоящего изобретения относится к фармацевтическим рецептурам, включающим терапевтически эффективное количество соединения формулы I, или формулы II, или их смеси и по крайней мере один фармацевтически приемлемый эксципиент. Третий аспект настоящего изобретения относится к способу использования соединений формулы I и формулы II при лечении заболеваний или болезненных состояний у млекопитающих, которые подлежат лечению антагонистами А2В рецепторов (т.е. ингибированию аденозиновых рецепторов, описываемых как А2В), включающем введение нуждающемуся в этом млекопитающему терапевтически эффективной дозы соединения формулы I или формулы II или их смеси. Такие заболевания включают, но не ограничиваются перечисленным, по крайней мере астму, воспалительные расстройства желудочно-кишечного тракта, включая диарею, сердечно-сосудистые заболевания, такие как атеросклероз, неврологические заболевания, такие как старческое слабоумие, болезнь Альцгеймера и болезнь Паркинсона, и заболевания, связанные с ангиогенезом, например диабетическая ретинопатия и рак. В четвертом аспекте настоящее изобретение относится к способам получения соединений формулы I и формулы II. Одна предпочтительная группа соединений формулы I и II представляет собой такие соединения, в которых R1 и R2 независимо представляют собой водород, необязательно замещенный низший алкил или группу -D-E, в которой D представляет собой ковалентную связь или алкилен и Е представляет собой необязательно замещенный фенил, необязательно замещенный циклоалкил, необязательно замещенный алкенил или необязательно замещенный алкинил, в особенности такие, в которых R3 представляет собой водород. В данной группе первый предпочтительный класс соединений включает соединения, в которых R1 и R2 независимо представляют собой низший алкил, необязательно замещенный циклоалкилом, предпочтительно н-пропил, и Х представляет собой необязательно замещенный фенилен. В этом классе предпочтительный подкласс соединений представляет собой такие соединения, в которых Y представляет собой алкилен, включая алкилен, в котором атом углерода замещен на кислород, предпочтительно -О-СН2-, более предпочтительно в которых кислород представляет собой место присоединения к фенилену. В этом подклассе предпочтительно, чтобы Z представлял собой необязательно замещенный оксадиазол, в частности необязательно замещенный [1,2,4]-оксадиазол-3-ил, в особенности [1,2,4]-оксадиазол-3-ил, замещенный необязательно замещенным фенилом или необязательно замещенным пиридилом. Второй предпочтительный класс соединений включает такие соединения, в которых Х представляет собой необязательно замещенный 1,4-пиразолен. В этом классе предпочтительным подклассом соединений являются соединения, в которых Y представляет собой ковалентную связь или алкилен, в особенности низший алкилен, и Z представляет собой водород, необязательно замещенный фенил, необязательно замещенный пиридил или необязательно замещенный оксадиазол. В этом подклассе один предпочтительный вариант осуществления включает соединения, в которых R1 представляет собой низший алкил, необязательно замещенный циклоалкилом, и R2 представляет собой водород. Более предпочтительный вариант осуществления включает те соединения, в которых Y представляет собой -(СН2)- или -СН(СН3)- и Z представляет собой необязательно замещенный фенил, или Y представляет собой -(СН2)- или -СН(СН3)- и Z представляет собой необязательно замещенный оксадиазол, в особенности 3,5-[1,2,4]-оксадиазол, или Y представляет собой -(СН2)- или -СН(СН3)- и Z представляет собой необязательно замещенный пиридил. В этом подклассе также предпочтительными являются такие соединения, в которых R1 и R2 независимо представляют собой низший алкил, необязательно замещенный циклоалкилом, предпочтительно н-пропил. Более предпочтительными являются те соединения, в которых Y представляет собой ковалентную связь, -(СН2)- или -СН(СН3)- и Z представляет собой водород, необязательно замещенный фенил или необязательно замещенный пиридил, в особенности, если Y представляет собой ковалентную связь и Z представляет собой водород. В настоящее время предпочтительными соединениями являются: 1-пропил-8-(1-{[3-(трифторметил)фенил]метил}пиразол-4-ил)-1,3,7-тригидропурин-2,6-дион; 1-пропил-8-[1-бензилпиразол-4-ил]-1,3,7-тригидропурин-2,6-дион; 1-бутил-8-(1-{[3-фторфенил]метил}пиразол-4-ил)-1,3,7-тригидропурин-2,6-дион; 1-пропил-8-[1-(фенилэтил)пиразол-4-ил]-1,3,7-тригидропурин-2,6-дион; 8-(1-{[5-(4-хлорфенил)(1,2,4-оксадиазол-3-ил)]метил}пиразол-4-ил)-1-пропил-1,3,7-тригидропурин-2,6-дион; 8-(1-{[5-(4-хлорфенил)(1,2,4-оксадиазол-3-ил)]метил}пиразол-4-ил)-1-бутил-1,3,7-тригидропурин-2,6-дион; 1,3-дипропил-8-пиразол-4-ил-1,3,7-тригидропурин-2,6-дион; 1-метил-3-втор-бутил-8-пиразол-4-ил-1,3,7-тригидропурин-2,6-дион; 1-циклопропилметил-3-метил-8-{1-[(3-трифторметилфенил)метил]пиразол-4-ил}-1,3,7-тригидропурин-2,6-дион; 1,3-диметил-8-{1-[(3-фторфенил)метил]пиразол-4-ил}-1,3,7-тригидропурин-2,6-дион; 3-метил-1-пропил-8-{1-[(3-трифторметилфенил)метил]пиразол-4-ил}-1,3,7-тригидропурин-2,6-дион; 3-этил-1-пропил-8-{1-[(3-трифторметилфенил)метил]пиразол-4-ил}-1,3,7-тригидропурин-2,6-дион; 1,3-дипропил-8-(1-{[3-(трифторметил)фенил]метил}пиразол-4-ил)-1,3,7-тригидропурин-2,6-дион; 1,3-дипропил-8-{1-[(3-фторфенил)метил]пиразол-4-ил}-1,3,7-тригидропурин-2,6-дион; 1-этил-3-метил-8-{1-[(3-фторфенил)метил]пиразол-4-ил}-1,3,7-тригидропурин-2,6-дион; 1,3-дипропил-8-{1-[(2-метоксифенил)метил]пиразол-4-ил}-1,3,7-тригидропурин-2,6-дион; 1,3-дипропил-8-(1-{[3-(трифторметил)фенил]этил}пиразол-4-ил)-1,3,7-тригидропурин-2,6-дион; 1,3-дипропил-8-{1-[(4-карбоксифенил)метил]пиразол-4-ил}-1,3,7-тригидропурин-2,6-дион; 2-[4-(2,6-диоксо-1,3-дипропил(1,3,7-тригидропурин-8-ил))пиразолил]-2-фенилуксусная кислота; 8-{4-[5-(2-метоксифенил)-[1,2,4]оксадиазол-3-илметокси]фенил}-1,3-дипропил-1,3,7-тригидропурин-2,6-дион; 8-{4-[5-(3-метоксифенил)-[1,2,4]оксадиазол-3-илметокси]фенил}-1,3-дипропил-1,3,7-тригидропурин-2,6-дион; 8-{4-[5-(4-фторфенил)-[1,2,4]оксадиазол-3-илметокси]фенил}-1,3-дипропил-1,3,7-тригидропурин-2,6-дион; 1-(циклопропилметил)-8-[1-(2-пиридилметил)пиразол-4-ил]-1,3,7-тригидропурин-2,6-дион; 1-н-бутил-8-[1-(6-трифторметилпиридин-3-илметил)пиразол-4-ил]-1,3,7-тригидропурин-2,6-дион; 8-(1-{[3-(4-хлорфенил)(1,2,4-оксадиазол-5-ил)]метил}пиразол-4-ил)-1,3-дипропил-1,3,7-тригидропурин-2,6-дион; 1,3-дипропил-8-[1-({5-[4-(трифторметил)фенил]изоксазол-3-ил}метил)пиразол-4-ил]-1,3,7-тригидропурин-2,6-дион; 1,3-дипропил-8-[1-(2-пиридилметил)пиразол-4-ил]-1,3,7-тригидропурин-2,6-дион; 3-{[4-(2,6-диоксо-1,3-дипропил-1,3,7-тригидропурин-8-ил)пиразолил]метил}бензойная кислота; 1,3-дипропил-8-(1-{[6-(трифторметил)(3-пиридил)]метил}пиразол-4-ил]-1,3,7-тригидропурин-2,6-дион; 1,3-дипропил-8-{1-[(3-[1H-1,2,3,4-тетразол-5-ил)фенил)метил]пиразол-4-ил}-1,3,7-тригидропурин-2,6-дион; 6-{[4-(2,6-диоксо-1,3-дипропил-1,3,7-тригидропурин-8-ил)пиразолил]метил}пиридин-2-карбоновая кислота; 3-этил-1-пропил-8-[1-(2-пиридилметил)пиразол-4-ил]-1,3,7-тригидропурин-2,6-дион; 8-(1-{[5-(4-хлорфенил)изоксазол-3-ил]метил}пиразол-4-ил)-3-этил-1-пропил-1,3,7-тригидропурин-2,6-дион; 8-(1-{[3-(4-хлорфенил)(1,2,4-оксадиазол-5-ил)]метил}пиразол-4-ил)-3-этил-1-пропил-1,3,7-тригидропурин-2,6-дион; 3-этил-1-пропил-8-(1-{[6-(трифторметил)(3-пиридил)]метил}пиразол-4-ил)-1,3,7-тригидропурин-2,6-дион; 1-(циклопропилметил)-3-этил-8-(1-{[6-(трифторметил)(3-пиридил)]метил}пиразол-4-ил)-1,3,7-тригидропурин-2,6-дион; и 3-этил-1-(2-метилпропил)-8-(1-{[6-(трифторметил)(3-пиридил)]метил}пиразол-4-ил)-1,3,7-тригидропурин-2,6-дион. Определения и основные параметры Использованные в настоящем описании последующие слова и фразы обычно предназначены в таком смысле, как изложено ниже, исключая тот случай, когда используемый контекст оговорен специально. Термин «алкил» относится к монорадикальной разветвленной или неразветвленной насыщенной углеводородной цепи, имеющей 1, 2, 3, 4, 5, 6, 7, 8, 9, 10, 11, 12, 13, 14, 15, 16, 17, 18, 19 или 20 атомов углерода. Примерами этого термина являются группы, такие как метил, этил, н-пропил, изопропил, н-бутил, изобутил, трет-бутил, н-гексил, н-децил, тетрадецил и т.п. Термин «замещенный алкил» относится к: 1) алкильной группе, как определено выше, имеющей 1, 2, 3, 4 или 5 заместителей, предпочтительно от 1 до 3 заместителей, выбранных из группы, состоящей из алкенила, алкинила, алкокси, циклоалкила, циклоалкенила, ацила, ациламино, ацилокси, амино, аминокарбонила, алкоксикарбониламино, азидо, циано, галогена, гидрокси, кето, тиокарбонила, карбокси, карбоксиалкила, арилтио, гетероарилтио, гетероциклилтио, тиола, алкилтио, арила, арилокси, гетероарила, аминосульфонила, аминокарбониламино, гетероарилокси, гетероциклила, гетероциклоокси, гидроксиамина, алкоксиамино, нитро, -SO-алкила, -SO-арила, -SO-гетероарила, -SO2-алкила, -SO2-арила и -SO2-гетероарила. Если специально не ограничено определением, все заместители могут не обязательно быть дополнительно замещенными 1, 2 или 3 заместителями, выбранными из алкила, карбокси, карбоксиалкила, аминокарбонила, гидрокси, алкокси, галогена, CF3, амино, замещенного амино, циано и -S(O)nR, в котором R представляет собой алкил, арил или гетероарил и n представляет собой 0, 1 или 2; или 2) алкильной группе, как определено выше, которая прерывается 1-10 атомами, независимо выбранными из кислорода, серы и NRa-, в котором Ra выбирают из водорода, алкила, циклоалкила, алкенила, циклоалкенила, алкинила, арила, гетероарила и гетероциклила. Все заместители могут быть необязательно дополнительно замещенными алкилом, алкокси, галогеном, CF3, амино, замещенным амино, циано или -S(O)nR, в котором R представляет собой алкил, арил или гетероарил и n представляет собой 0, 1 или 2; или 3) алкильной группе, как определено выше, одновременно имеющей 1, 2, 3, 4 или 5 заместителей, как определено выше, и также прерванной 1-10 атомами, как определено выше. Термин «низший алкил» относится к монорадикальной разветвленной или неразветвленной насыщенной углеводородной цепи, имеющей 1, 2, 3, 4, 5 или 6 атомов углерода. Примерами этого термина являются группы, такие как метил, этил, н-пропил, изопропил, н-бутил, изобутил, трет-бутил, н-гексил и т.п. Термин «замещенный низший алкил» относится к низшему алкилу, как определено выше, имеющему от 1 до 5 заместителей, предпочтительно 1, 2 или 3 заместителя, как определено для замещенного алкила, или к низшей алкильной группе, как определено выше, которая прерывается 1, 2, 3, 4 или 5 атомами, как определено для замещенного алкила, или к низшей алкильной группе, как определено выше, которая одновременно имеет 1, 2, 3, 4 или 5 заместителей, как определено выше, и также прервана 1, 2, 3, 4 или 5 атомами, как определено выше. Термин «алкилен» относится к дирадикалу разветвленной или неразветвленной насыщенной углеводородной цепи, имеющей 1, 2, 3, 4, 5, 6, 7, 8, 9, 10, 11, 12, 13, 14, 15, 16, 17, 18, 19 или 20 атомов углерода, предпочтительно 1-10 атомов углерода, более предпочтительно 1, 2, 3, 4, 5 или 6 атомов углерода. Примерами этого термина являются группы, такие как метилен (-СН2-), этилен (-СН2СН2-), изомеры пропилена (например, -СН2СН2СН2– и -СН(СН3)СН2-) и т.п. Термин «низший алкилен» относится к дирадикалу разветвленной или неразветвленной насыщенной углеводородной цепи, предпочтительно имеющей 1, 2, 3, 4, 5 или 6 атомов углерода. Термин «замещенный алкилен» относится к: 1) алкиленовой группе, как определено выше, имеющей 1, 2, 3, 4 или 5 заместителей, выбранных из группы, состоящей из алкила, алкенила, алкинила, алкокси, циклоалкила, циклоалкенила, ацила, ациламино, ацилокси, амино, аминокарбонила, алкоксикарбониламино, азидо, циано, галогена, гидрокси, кето, тиокарбонила, карбокси, карбоксиалкила, арилтио, гетероарилтио, гетероциклилтио, тиола, алкилтио, арила, арилокси, гетероарила, аминосульфонила, аминокарбониламино, гетероарилокси, гетероциклила, гетероциклоокси, гидроксиамина, алкоксиамино, нитро, -SO-алкила, -SO-арила, -SO-гетероарила, -SO2-алкила, -SO2-арила и -SO2-гетероарила. Если специально не ограничено определением, все заместители могут необязательно быть дополнительно замещенными 1, 2 или 3 заместителями, выбранными из алкила, карбокси, карбоксиалкила, аминокарбонила, гидрокси, алкокси, галогена, CF3, амино, замещенного амино, циано и -S(O)nR, в котором R представляет собой алкил, арил или гетероарил и n представляет собой 0, 1 или 2; или 2) алкенильной группе, как определено выше, которая прерывается 1-20 атомами, независимо выбранными из кислорода, серы и NRa-, в котором Ra выбирают из водорода, необязательно замещенного алкила, циклоалкила, циклоалкенила, арила, гетероарила и гетероциклила или группы, выбранной из карбонила, карбоксиэфира, карбоксиамида и сульфонила; или 3) алкенильной группе, как определено выше, одновременно имеющей 1, 2, 3, 4 или 5 заместителей, как определено выше, и также прерванной 1-20 атомами, как определено выше. Примерами замещенных алкиленов являются хлорметилен (-CH(Cl)-), аминоэтилен (-CH(NH2)CH2-), метиламиноэтилен (-CH(NHMe)CH2-), изомеры 2-карбоксипропилена (-CH2CH(CO2Н)СН2-), этоксиэтил (-CH2CH2О-СН2СН2-), этилметиламиноэтил (-CH2CH2N(СН3)СН2CH2-), 1-этокси-2-(2-этокси-этокси)этан (-CH2CH2О-CH2CH2-OCH2CH2-OCH2CH2-) и т.п. Термин «арилалкил» относится к арильной группе, ковалентно связанной с алкиленовой группой, в которой арил и алкилен представляют собой такие, как определено здесь. «Необязательно замещенный арилалкил» относится к необязательно замещенной арильной группе, ковалентно связанной с необязательно замещенной алкиленовой группой. Примерами таких арилалкильных групп являются бензил, фенилэтил, 3-(4-метоксифенил)пропил и т.п. Термин «алкокси» относится к группе R-O-, в которой R представляет собой необязательно замещенный алкил или необязательно замещенный циклоалкил, или R представляет собой группу -Y-Z, в которой Y представляет собой необязательно замещенный алкилен и Z представляет собой необязательно замещенный алкенил, необязательно замещенный алкинил или необязательно замещенный циклоалкенил, где алкил, алкенил, алкинил, циклоалкил и циклоалкенил представляют собой такие, как определено здесь. Предпочтительные алкокси группы представляют собой необязательно замещенные алкил-О- и включают в качестве примера метокси, этокси, н-пропокси, изо-пропокси, н-бутокси, трет-бутокси, втор-бутокси, н-пентокси, н-гексокси, 1,2-диметилбутокси, 3-фторметокси и т.п. Термин «алкилтио» относится к группе R-S-, в которой R представляет собой такой, как определено для алкокси. Термин «алкенил» относится к монорадикалу разветвленной или неразветвленной ненасыщенной углеводородной группы, предпочтительно имеющей от 2 до 20 атомов углерода, более предпочтительно от 2 до 10 атомов углерода и еще более предпочтительно от 2 до 6 атомов углерода, и имеющей 1-6, предпочтительно 1 двойную связь (винил). Предпочтительные алкенильные группы включают этенил или винил (-СН=СН2), 1-пропилен или аллил (-СН2-СН=СН2), изопропилен (-С-(СН3)=СН2), бицикло[2.2.1]гептен и т.п. В том случае, если алкенил присоединен к азоту, двойная связь не может быть в альфа-положении по отношению к азоту. Термин «низший алкенил» относится к алкенилу, как определено выше, имеющему от 2 до 6 атомов углерода. Термин «замещенный алкенил» относится к алкенильной группе, как определено выше, имеющей 1, 2, 3, 4 или 5 заместителей, и предпочтительно 1, 2 или 3 заместителя, выбранных из группы, состоящей из алкила, алкенила, алкинила, алкокси, циклоалкила, циклоалкенила, ацила, ациламино, ацилокси, амино, аминокарбонила, алкоксикарбониламино, азидо, циано, галогена, гидрокси, кето, тиокарбонила, карбокси, карбоксиалкила, арилтио, гетероарилтио, гетероциклилтио, тиола, алкилтио, арила, арилокси, гетероарила, аминосульфонила, аминокарбониламино, гетероарилокси, гетероциклила, гетероциклоокси, гидроксиамина, алкоксиамино, нитро, -SO-алкила, -SO-арила, -SO-гетероарила, -SO2-алкила, -SO2-арила и -SO2-гетероарила. Если специально не ограничено определением, все заместители могут не обязательно быть дополнительно замещенными 1, 2 или 3 заместителями, выбранными из алкила, карбокси, карбоксиалкила, аминокарбонила, гидрокси, алкокси, галогена, CF3, амино, замещенного амино, циано и -S(O)nR, в котором R представляет собой алкил, арил или гетероарил и n представляет собой 0, 1 или 2. Термин «алкинил» относится к монорадикалу ненасыщеного углеводорода, предпочтительно имеющего от 2 до 20 атомов углерода, более предпочтительно от 2 до 10 атомов углерода и еще более предпочтительно от 2 до 6 атомов углерода, и имеющего по крайней мере 1 и предпочтительно от 1 до 6 мест ацетиленовой (тройная связь) ненасыщенности. Предпочтительные алкинильные группы включают этинил (-С Термин «замещенный алкинил» относится к алкинильной группе, как определено выше, имеющей 1, 2, 3, 4 или 5 заместителей, и предпочтительно 1, 2 или 3 заместителя, выбранных из группы, состоящей из алкила, алкенила, алкинила, алкокси, циклоалкила, циклоалкенила, ацила, ациламино, ацилокси, амино, аминокарбонила, алкоксикарбониламино, азидо, циано, галогена, гидрокси, кето, тиокарбонила, карбокси, карбоксиалкила, арилтио, гетероарилтио, гетероциклилтио, тиола, алкилтио, арила, арилокси, гетероарила, аминосульфонила, аминокарбониламино, гетероарилокси, гетероциклила, гетероциклоокси, гидроксиамина, алкоксиамино, нитро, -SO-алкила, -SO-арила, -SO-гетероарила, -SO2-алкила, -SO2-арила и -SO2-гетероарила. Если специально не ограничено определением, все заместители могут не обязательно быть дополнительно замещенными 1, 2 или 3 заместителями, выбранными из алкила, карбокси, карбоксиалкила, аминокарбонила, гидрокси, алкокси, галогена, CF3, амино, замещенного амино, циано и -S(O)nR, в котором R представляет собой алкил, арил или гетероарил и n представляет собой 0, 1 или 2. Термин «аминокарбонил» относится к группе -C(O)NRR, в которой каждый R независимо представляет собой водород, алкил, арил, гетероарил, гетероциклил или в которой обе R-группы объединяются с образованием гетероциклической группы (например, морфолино). Если специально не ограничено определением, все заместители могут необязательно быть дополнительно замещенными 1-3 заместителями, выбранными из алкила, карбокси, карбоксиалкила, аминокарбонила, гидрокси, алкокси, галогена, CF3, амино, замещенного амино, циано и -S(O)nR, в котором R представляет собой алкил, арил или гетероарил и n представляет собой 0, 1 или 2. Термин «ациламино» относится к группе -NRC(O)R, в которой каждый R независимо представляет собой водород, алкил, арил, гетероарил или гетероциклил. Если специально не ограничено определением, все заместители могут необязательно быть дополнительно замещенными 1-3 заместителями, выбранными из алкила, карбокси, карбоксиалкила, аминокарбонила, гидрокси, алкокси, галогена, CF3, амино, замещенного амино, циано и -S(O)nR, в котором R представляет собой алкил, арил или гетероарил и n представляет собой 0, 1 или 2. Термин «ацилокси» относится к группам -O(O)C-алкил, -O(O)C-циклоалкил, -O(O)C-арил, -O(O)C-гетероарил и -O(O)C-гетероциклил. Если специально не ограничено определением, все заместители могут необязательно быть дополнительно замещенными алкилом, карбокси, карбоксиалкилом, аминокарбонилом, гидрокси, алкокси, галогеном, CF3, амино, замещенным амино, циано или -S(O)nR, в котором R представляет собой алкил, арил или гетероарил и n представляет собой 0, 1 или 2. Термин «арил» относится к ароматической карбоциклической группе с от 6 до 20 атомами углерода, имеющей один цикл (например, фенил), или несколько циклов (например, бифенил), или несколько конденсированных (слитых) циклов (например, нафтил или антрацил). Предпочтительные арилы включают фенил, нафтил и т.п. Термин «арилен» относится к дирадикалу арильной группы, как определено выше. Примерами этого термина являются группы, такие как 1,4-фенилен, 1,3-фенилен, 1,2-фенилен, 1,4′-бифенилен и т.п. Если специально не ограничено определением для арильного или ариленового заместителя, такие арильные или ариленовые группы могут быть необязательно замещенными от 1 до 5 заместителями, предпочтительно 1-3 заместителями, выбранными из группы, состоящей из алкила, алкенила, алкинила, алкокси, циклоалкила, циклоалкенила, ацила, ациламино, ацилокси, амино, аминокарбонила, алкоксикарбониламино, азидо, циано, галогена, гидрокси, кето, тиокарбонила, карбокси, карбоксиалкила, арилтио, гетероарилтио, гетероциклилтио, тиола, алкилтио, арила, арилокси, гетероарила, аминосульфонила, аминокарбониламино, гетероарилокси, гетероциклила, гетероциклоокси, гидроксиамина, алкоксиамино, нитро, -SO-алкила, -SO-арила, -SO-гетероарила, -SO2-алкила, -SO2-арила и -SO2-гетероарила. Если специально не ограничено определением, все заместители могут необязательно быть дополнительно замещенными 1-3 заместителями, выбранными из алкила, карбокси, карбоксиалкила, аминокарбонила, гидрокси, алкокси, галогена, CF3, амино, замещенного амино, циано и -S(O)nR, в котором R представляет собой алкил, арил или гетероарил и n представляет собой 0, 1 или 2. Термин «арилокси» относится к группам арил-О-, в которых арильная группа такая, как определено выше, и включает необязательно замещенные арильные группы, как определено выше. Термин «арилтио» относится к группе R-S-, в которой R такой, как определено для арила. Термин «амино» относится к группе -NH2. Термин «замещенный амино» относится к группе -NRR, в которой каждый R независимо выбран из группы, состоящей из водорода, алкила, циклоалкила, карбоксиалкила (например, бензилоксикарбонил) арила, гетероарила и гетероциклила, обеспечивая, чтобы обе R группы не представляли собой водород или группы -Y-Z, в которой Y представляет собой необязательно замещенный алкилен и Z представляет собой алкенил, циклоалкенил или алкинил. Если специально не ограничено определением, все заместители могут необязательно быть дополнительно замещенными 1-3 заместителями, выбранными из алкила, карбокси, карбоксиалкила, аминокарбонила, гидрокси, алкокси, галогена, CF3, амино, замещенного амино, циано и -S(O)nR, в котором R представляет собой алкил, арил или гетероарил и n представляет собой 0, 1 или 2. Термин «карбоксиалкил» относится к группам -С(O)О-алкил или -С(O)О-циклоалкил, в которых алкил и циклоалкил представляют собой такие, как определено здесь, и могут быть необязательно дополнительно замещенными алкилом, алкенилом, алкинилом, алкокси, галогеном, CF3, амино, замещенным амино, циано или -S(O)nR, в котором R представляет собой алкил, арил или гетероарил и n представляет собой 0, 1 или 2. Термин «циклоалкил» относится к карбоциклическим группам от 3 до 20 атомов углерода, имеющим одно циклическое кольцо или несколько конденсированных колец. Такие циклоалкильные группы включают, с точки зрения примеров, структуры с одним циклом, такие как циклопропил, циклобутил, циклопентил, циклооктил и т.п., или структуры с несколькими циклами, такие как адамантанил, бицикло[2.2.1]гептан, 1,3,3-триметилбицикло[2.2.1]гепт-2-ил, (2,3,3-триметилбицикло[2.2.1]гепт-2-ил), или карбоциклические группы, с которыми сливается арильная группа, например индан и т.п. Термин «замещенный циклоалкил» относится к циклоалкильным группам, имеющим 1, 2, 3, 4 или 5 заместителей, и предпочтительно 1, 2 или 3 заместителя, выбранных из группы, состоящей из алкила, алкенила, алкинила, алкокси, циклоалкила, циклоалкенила, ацила, ациламино, ацилокси, амино, аминокарбонила, алкоксикарбониламино, азидо, циано, галогена, гидрокси, кето, тиокарбонила, карбокси, карбоксиалкила, арилтио, гетероарилтио, гетероциклилтио, тиола, алкилтио, арила, арилокси, гетероарила, аминосульфонила, аминокарбониламино, гетероарилокси, гетероциклила, гетероциклоокси, гидроксиамино, алкоксиамино, нитро, -SO-алкила, -SO-арила, -SO-гетероарила, -SO2-алкила, -SO2-арила и -SO2-гетероарила. Если специально не ограничено определением, все заместители могут необязательно быть дополнительно замещенными 1, 2 или 3 заместителями, выбранными из алкила, карбокси, карбоксиалкила, аминокарбонила, гидрокси, алкокси, галогена, CF3, амино, замещенного амино, циано и -S(O)nR, в котором R представляет собой алкил, арил или гетероарил и n представляет собой 0, 1 или 2. Термин «галоген» относится к фтору, брому, хлору или йоду. Термин «ацил» обозначает группу -C(O)R, в которой R представляет собой водород, необязательно замещенный алкил, необязательно замещенный циклоалкил, необязательно замещенный гетероциклил, необязательно замещенный арил и необязательно замещенный гетероарил. Термин «гетероарил» относится к ароматической циклической группе (т.е. полностью ненасыщенной), имеющей 1, 2, 3, 4, 5, 6, 7, 8, 9, 10, 11, 12, 13, 14 или 15 атомов углерода и 1, 2, 3 или 4 гетероатома, выбранных из кислорода, азота и серы, по крайней мере в одном из циклов. Такие гетероарильные группы могут содержать один цикл (например, пиридил или фурил) или несколько конденсированных циклов (например, индолизинил, бензотиазолил или бензотиенил). Примеры гетероарилов включают, но не ограничиваются перечисленным, [1,2,4]оксадиазол, [1,3,4]оксадиазол, [1,2,4]тиадиазол, [1,3,4]тиадиазол, пиррол, имидазол, пиразол, пиридин, пиразин, пиримидин, пиридазин, индолизин, изоиндол, индол, индазол, пурин, хинолизин, изохинолин, хинолин, фталазин, нафтилпиридин, хиноксалин, хиназолин, циннолин, птеридин, карбазол, карболин, фенантридин, акридин, фенантролин, изотиазол, феназин, изоксазол, феноксазин, фенотиазин, имидазолидин, имидазолин и т.п., а также N-оксиды и N-алкокси производные азотосодержащих гетероарильных соединений, например производные пиридин-N-оксида. Термин «гетероарилен» относится к дирадикалу или гетероарильной группе, как определено выше. Примеры этого термина включают группы, такие как 2,5-имидазолен, 3,5-[1,2,4]оксадиазолен, 2,4-оксазолен, 1,4-пиразолен и т.п. Например, 1,4-пиразолен представляет собой: в котором А представляет собой места присоединения. Если специально не ограничено определением для гетероарильного или гетероариленового заместителя, такие гетероарильные или гетероариленовые группы могут быть необязательно замещенными от 1 до 5 заместителями, предпочтительно от 1 до 3 заместителями, выбранными из группы, состоящей из алкила, алкенила, алкинила, алкокси, циклоалкила, циклоалкенила, ацила, ациламино, ацилокси, амино, аминокарбонила, алкоксикарбониламино, азидо, циано, галогена, гидрокси, кето, тиокарбонила, карбокси, карбоксиалкила, арилтио, гетероарилтио, гетероциклилтио, тиола, алкилтио, арила, арилокси, гетероарила, аминосульфонила, аминокарбониламино, гетероарилокси, гетероциклила, гетероциклоокси, гидроксиамина, алкоксиамино, нитро, -SO-алкила, -SO-арила, -SO-гетероарила, -SO2-алкила, -SO2-арила и -SO2-гетероарила. Если специально не ограничено определением, все заместители могут не обязательно быть дополнительно замещенными 1-3 заместителями, выбранными из алкила, карбокси, карбоксиалкила, аминокарбонила, гидрокси, алкокси, галогена, CF3, амино, замещенного амино, циано и -S(O)nR, в котором R представляет собой алкил, арил или гетероарил и n представляет собой 0, 1 или 2. Термин «гетероаралкил» относится к гетероарильной группе, ковалентно связанной с алкиленовой группой, где гетероарил и алкилен такие, как определено здесь. «Необязательно замещенный гетероаралкил» относится к необязательно замещенной гетероарильной группе, ковалентно связанной с необязательно замещенной алкиленовой группой. Примерами таких гетероаралкильных групп являются 3-пиридилметил, хинолин-8-илэтил, 4-метокситиазол-2-илпропил и т.п. Термин «гетероарилокси» относится к группе гетероарил-О-. Термин «гетероциклил» относится к монорадикальной насыщенной или частично ненасыщенной группе, имеющей один цикл или несколько конденсированных циклов, имеющих от 1 до 40 атомов углерода и от 1 до 10 гетероатомов, предпочтительно 1, 2, 3 или 4 гетероатома, выбранных из азота, серы, фосфора и/или кислорода, в цикле. Гетероциклические группы могут содержать один цикл или несколько конденсированных циклов и включают тетрагидрофуранил, морфолино, пиперидинил, пиперазино, дигидропиридино и т.п. Если специально не ограничено определением для гетероциклического заместителя, такая гетероциклическая группа может быть необязательно замещенной 1, 2, 3, 4 или 5 и предпочтительно 1, 2 или 3 заместителями, выбранными из группы, состоящей из алкила, алкенила, алкинила, алкокси, циклоалкила, циклоалкенила, ацила, ациламино, ацилокси, амино, аминокарбонила, алкоксикарбониламино, азидо, циано, галогена, гидрокси, кето, тиокарбонила, карбокси, карбоксиалкила, арилтио, гетероарилтио, гетероциклилтио, тиола, алкилтио, арила, арилокси, гетероарила, аминосульфонила, аминокарбониламино, гетероарилокси, гетероциклила, гетероциклоокси, гидроксиамина, алкоксиамино, нитро, -SO-алкила, -SO-арила, -SO-гетероарила, -SO2-алкила, -SO2-арила и -SO2-гетероарила. Если специально не ограничено определением, все заместители могут необязательно быть дополнительно замещенными 1-3 заместителями, выбранными из алкила, карбокси, карбоксиалкила, аминокарбонила, гидрокси, алкокси, галогена, CF3, амино, замещенного амино, циано и -S(O)nR, в котором R представляет собой алкил, арил или гетероарил и n представляет собой 0, 1 или 2. Термин «тиол» относится к группе -SH. Термин «замещенный алкилтио» относится к группе -S-замещенный алкил. Термин «гетероарилтиол» относится к группе -S-гетероарил, в которой гетероарильная группа представляет собой такую, как определено выше, включая необязательно замещенные гетероарильные группы, как определено выше. Термин «сульфоксид» относится к группе -S(O)R, в которой R представляет собой алкил, арил или гетероарил. «Замещенный сульфоксид» относится к группе -S(O)R, в которой R представляет собой замещенный алкил, замещенный арил или замещенный гетероарил, как определено здесь. Термин «сульфон» относится к группе -S(O)2R, в которой R представляет собой алкил, арил или гетероарил. «Замещенный сульфон» относится к группе -S(O)2R, в которой R представляет собой замещенный алкил, замещенный арил или замещенный гетероарил, как определено здесь. Термин «кето» относится к группе -С(О)-. Термин «тиокарбонил» относится к группе -C(S)-. Термин «карбокси» относится к группе -С(О)-ОН. «Необязательный» или «необязательно» означает, что описываемое далее явление или обстоятельство может происходить или может не происходить, и что описание включает отдельные примеры, в которых указанное явление или обстоятельство происходит, и примеры, в которых оно не происходит. Термин «соединение формулы I и формулы II» предназначено охватывать соединения по изобретению, как описано, и фармацевтически приемлемые соли, фармацевтически приемлемые сложные эфиры, пролекарства, гидраты и полиморфы таких соединений. Дополнительно, соединения по изобретению могут иметь один или несколько ассиметрических центров и могут быть получены в виде рацемической смеси или отдельных энантиомеров или диастереоизомеров. Число стереоизомеров, представленных в любом взятом соединении формулы I, зависит от числа имеющихся ассиметрических центров (возможно существование 2n стереоизомеров, где n представляет собой число ассиметрических центров). Индивидуальные стереоизомеры могут быть получены разделением рацемической или нерацемической смеси интермедиатов на некоторой приемлемой стадии синтеза или повторным растворением соединения формулы I традиционными способами. Отдельные стереоизомеры (включая отдельные энантиомеры и диастереоизомеры), как и рацемические, и нерацемические смеси стереоизомеров, которые также включены в объем настоящего изобретения, все должны быть обозначены структурами в этой спецификации, если не оговорено специально. «Изомеры» представляют собой различные соединения, которые имеют одну и ту же молекулярную формулу. «Стереоизомеры» представляют собой изомеры, которые отличаются только расположением атомов в пространстве. «Энантиомеры» представляют собой пару стереоизомеров, которые являются не накладывающимися друг на друга зеркальными отображениями друг друга. Смесь 1:1 пары энантиомеров представляет собой «рацемическую» смесь. Термин «(±)» в соответствующих местах используется для обозначения рацемической смеси. «Диастереоизомеры» представляют собой стереоизомеры, которые имеют по крайней мере два асимметрических атома, но которые не являются зеркальными отображениями друг друга. Абсолютную стереохимию определяют согласно системе R-S Кана-Ингольда-Прелога. Если соединение представляет собой чистый энантиомер, стереохимия каждого хирального углерода может быть определена как R или S. Разделенные соединения, абсолютная конфигурация которых неизвестна, обозначают (+) или (-), в зависимости от направления (право- или левовращающий), в котором они вращают плоскость поляризованного света с длиной волны D-линии натрия. Термин «терапевтически эффективное количество» относится к количеству соединения формулы I, которое достаточно для эффективного лечения, как определено выше, при введении млекопитающему, которое нуждается в таком лечении. Терапевтически эффективное количество будет изменяться в зависимости от объекта и состояния заболевания, которое подвергают лечению, веса и возраста объекта, серьезности патологического состояния, типа введения и т.п., что легко может быть определено специалистом в данной области, не обладающим особыми навыками. Термин «лечение» или «проведение курса лечения» означает любое лечение заболевания у млекопитающего, включающее: (i) предотвращение заболевания, которое состоит в предотвращении проявления клинических симптомов заболевания; (ii) ингибирование течения заболевания, которое представляет собой остановку развития клинических симптомов; и/или (iii) облегчение заболевания, которое представляет собой индуцирование регрессии клинических симптомов. Во многих случаях соединения по настоящему изобретению способны образовывать кислотные и/или основные соли, благодаря наличию аминной и/или карбоксильной групп или сходных с ними групп. Термин «фармацевтически приемлемая соль» относится к солям, которые сохраняют биологическую эффективность и свойства соединений формулы I и которые не являются нежелательными с биологической или других точек зрения. Фармацевтически приемлемые основные аддитивные соли могут быть получены из неорганических или органических оснований. Соли, полученные из неорганических оснований, включают, исключительно в качестве примера, натриевые, калиевые, литиевые, аммониевые, кальциевые и магниевые соли. Соли, полученные из органических оснований, включают, но не ограничиваются, солями первичных, вторичных и третичных аминов, таких как алкиламины, диалкиламины, триалкиламины, замещенные алкиламины, ди(замещенный алкил)амины, три(замещенный алкил)амины, алкениламины, диалкениламины, триалкениламины, замещенные алкениламины, ди(замещенный алкенил)амины, три(замещенный алкенил)амины, циклоалкиламины, ди(циклоалкил)амины, три(циклоалкил)амины, замещенные циклоалкиламины, дизамещенные циклоалкиламины, тризамещенные циклоалкиламины, циклоалкениламины, ди(циклоалкенил)амины, три(циклоалкенил)амины, замещенные циклоалкениламины, дизамещенные циклоалкениламины, тризамещенные циклоалкениламины, ариламины, диариламины, триариламины, гетероариламины, дигетероариламины, тригетероариламины, гетероциклиламины, дигетероциклиламины, тригетероциклиламины, смешанные ди- и триамины, в которых по крайней мере два из заместителей у амина различаются и выбраны из группы, состоящей из алкила, замещенного алкила, алкенила, замещенного алкенила, циклоалкила, замещенного циклоалкила, циклоалкенила, замещенного циклоалкенила, арила, гетероарила, гетероциклила и т.п. Также включены амины, у которых два или три заместителя вместе с азотом амина образуют гетероциклическую или гетероарильную группу. Конкретные примеры пригодных аминов включают, исключительно в качестве примера, изопропиламин, триметиламин, диэтиламин, три(изо-пропил) амин, три(н-пропил) амин, этаноламин, 2-диметиламиноэтанол, трометамин, лизин, аргинин, гистидин, кофеин, новокаин, гидрабамин, холин, бетаин, этилендиамин, глюкозамин, N-алкилглюкамин, тиобромин, пурины, пиперазин, пиперидин, морфолин, N-этилпиперидин и т.п. Фармацевтически приемлемые кислотно-аддитивные соли могут быть получены из неорганических и органических кислот. Соли, получаемые из неорганических кислот, включают соли соляной кислоты, бромистоводородной кислоты, серной кислоты, азотной кислоты, фосфорной кислоты и т.п. Соли, полученные из органических кислот, включают соли уксусной кислоты, пропионовой кислоты, гликолевой кислоты, пировиноградной кислоты, щавелевой кислоты, яблочной кислоты, малоновой кислоты, янтарной кислоты, малеиновой кислоты, фумаровой кислоты, винной кислоты, лимонной кислоты, бензойной кислоты, коричной кислоты, миндальной кислоты, метансульфоновой кислоты, этансульфоновой кислоты, п-толуолсульфоновой кислоты, салициловой кислоты и т.п. Как используется здесь, «фармацевтически приемлемый носитель» включает любой из всех растворителей, дисперсионных сред, покрытий, антибактериальных и противогрибковых агентов, изотонических и агентов, задерживающих абсорбцию и т.п. Использование такой среды и агентов для фармацевтически активных веществ хорошо известно в данной области техники. За исключением любых традиционных сред, которые несовместимы с активным ингредиентом, предполагается их использование в терапевтических композициях. Также в композиции могут вводиться дополнительные активные ингредиенты. Номенклатура Название и нумерация соединений по изобретению проиллюстрированы репрезентативным соединением формулы I, в котором R1 представляет собой н-пропил, R2 представляет собой н-пропил, R3 представляет собой водород, Х представляет собой фенилен, Y представляет собой -О-(СН2) и Z представляет собой 5-(2-метоксифенил)-[1,2,4]-оксадиазол-3-ил которое имеет название: 8-{4-[5-(2-метоксифенил)-[1,2,4]-оксадиазол-3-илметокси]фенил}-1,3-дипропил-1,3,7-тригидропурин-2,6-дион. Синтетические параметры реакции Термины «растворитель», «инертный органический растворитель» или «инертный растворитель» означают растворитель, инертный при условиях реакции, описанных в сочетании с ним [включающий, например, бензол, толуол, ацетонитрил, тетрагидрофуран («ТГФ»), диметилформамид («ДМФА»), хлороформ, хлористый метилен (или дихлорметан), диэтиловый простой эфир, метанол, пиридин и т.п.]. Если специально не оговорено, растворители, используемые в реакциях по настоящему изобретению, представляют собой инертные органические растворители, и реакции проводят в атмосфере инертного газа, предпочтительно азота. Термин «достаточное количество (q.s.)» обозначает добавление количества, достаточного до достижения заданной функции состояния, например довести раствор до заданного объема (т.е. 100%). Синтез соединений формулы I Соединения формулы I, в которых R1 и R2 являются одинаковыми, R3 представляет собой водород и Y включает атом кислорода, серы или азота, могут быть получены по схеме реакции I. Следует отметить, что если R3 представляет собой водород, формула I и II представляют собой одно и то же соединение, как следствие таутомерии. Стадия 1. Получение соединения формулы (2). Соединение формулы (1), которое защищено по N-7-положению, является коммерчески доступным или может быть получено способами, хорошо известными в данной области техники (см., например, Synthetic Communications, 20(16) 2459-2467 (1990)). Соединение формулы (1) вводят в реакцию с по крайней мере 2 эквивалентами соединения формулы R1-LG, в котором LG представляет собой уходящую группу, предпочтительно хлор, бром или йод, в присутствии сильного основания, например гидрида натрия. Реакцию проводят в полярном растворителе, например ДМФА, вначале при примерно комнатной температуре с последующей реакцией при температуре примерно 30-100°С, например примерно 70°С, в течение примерно 6-24 часов. Когда реакция в значительной степени завершена, продукт формулы (2) выделяют обычными способами, например, удалением растворителя при пониженном давлении, с последующей хроматографией остатка на силикагеле. Следует отметить, что эта реакция обеспечивает исключительно соединения формулы (2), в которых R1 и R2 являются одинаковыми. Способ получения соединений формулы (2), в которых R1 и R2 различаются, показан на схеме реакции III, ниже. Другой отличающийся синтез необходим для получения соединений формулы (2), в которых R1 и/или R2 представляют собой арильную или гетероарильную группы, и он показан на схеме реакции III. Стадия 2. Получение соединения формулы (3). Соединение формулы (2) затем галогенируют по 8-положению с получением соединения формулы (3) путем реакции с галогенирующим агентом, например N-хлорсукцинимидом, с получением 8-хлор соединения формулы (3). В общем случае соединение формулы (2) растворяют в инертном растворителе, например тетрагидрофуране, и добавляют N-бромсукцинимид (или N-хлорсукцинимид). Реакцию проводят при температуре примерно 0-30°С, например примерно комнатной температуре, в течение примерно 1-10 часов, например примерно 4 часов. Когда реакция в значительной степени завершена, продукт формулы (3) выделяют обычными способами и перекристаллизовывают. Стадия 3. Получение соединения формулы (4). Соединение формулы (3) затем превращают в соединение формулы (4) реакцией с подходящим образом замещенным производным бороновой кислоты в присутствии комплекса палладия (0). Например, если Х представляет собой необязательно замещенный фенил, соединение формулы (3) вводят в реакцию с необязательно замещенной фенилбороновой кислотой. Реакцию проводят в инертном растворителе, например смеси толуол/этанол, в присутствии водного раствора карбоната натрия и тетракис(трифенилфосфин)-палладия (0), при примерно температуре флегмы в течение примерно 24 часов. Когда реакция в значительной степени завершена, продукт формулы (4) выделяют обычными способами, например, удалением растворителя при пониженном давлении с последующей хроматографией остатка на силикагеле. Стадия 4. Получение соединения формулы (5) а) Бензильную защитную группу соединения формулы (4) затем замещают на Вос с получением соединения формулы (5). В общем случае, соединение формулы (4) растворяют в инертном растворителе, например метаноле, и добавляют катализатор гидрогенизации. Реакцию перемешивают в атмосфере водорода при температуре примерно 0-30°С, например при примерно комнатной температуре, в течение примерно 8-24 часов, например примерно 18 часов. Когда реакция в значительной степени завершена, катализатор удаляют фильтрацией и продукт выделяют обычными способами. b) Затем продукт растворяют в инертном растворителе, например в метаноле, к которому добавляли избыток ди-трет-бутилдикарбоната и стерически затрудненное основание, например этилдиизопропиламин. Смесь кипятят с обратным холодильником в течение примерно 8-24 часов, например примерно 18 часов. Когда реакция в значительной степени завершена, катализатор удаляют фильтрацией и соединение формулы (5) изолируют обычными способами, например, удалением растворителя при пониженном давлении с последующей хроматографией остатка на силикагеле. Стадия 5. Получение соединения формулы I, в которой R3 представляет собой водород Соединение формулы (5) затем превращают в соединение формулы I реакцией с соединением формулы Z-Y-LG, в которой Z и Y представляют собой такие, как определено выше, и LG представляет собой уходящую группу, предпочтительно галоген, более предпочтительно хлор (одновременно удаляют Вос защитную группу). Реакцию проводят в присутствии сильного основания, например гидрида натрия, в инертном полярном растворителе, предпочтительно ДМФА, при температуре примерно 0-30°С, предпочтительно при примерно комнатной температуре, в течение примерно 8-24 часов, предпочтительно примерно 16 часов. ВОС защитную группу также удаляют в этой реакционной последовательности. Когда реакция в значительной степени завершена, продукт формулы I, в которой R3 представляет собой водород, выделяют обычными способами, например, хроматографией на силикагеле. Стадия 5. Получение соединения формулы I, в которой R3 является отличным от водорода Соединение формулы I, в котором R3 представляет собой водород, может быть превращено в соединение формулы I, в котором R3 не представляет собой водород, реакцией с соединением формулы R3-LG, в котором LG представляет собой уходящую группу, предпочтительно иод или бром. Реакцию проводят в присутствии основания средней силы, например карбоната калия, в инертном полярном растворителе, предпочтительно ДМФА, при температуре примерно 30-100°С, предпочтительно примерно 70°С, в течение примерно 8-24 часов, предпочтительно примерно 16 часов. Когда реакция в значительной степени завершена, продукт формулы I, в которой R3 не представляет собой водород, выделяют обычными способами, например, хроматографией на силикагеле. В качестве альтернативы, бензильная защитная группа в соединении формулы (4) может быть заменена на триметилсилил-этоксиметил защитную группу (вместо ВОС группы), последующее удаление которой может быть осуществлено при умеренных реакционных условиях. В общем случае, продукт из стадии 4а растворяют в инертном растворителе, предпочтительно в безводном ДМФА (100 мл), и вводят в реакцию с триметилсилил-этоксиметил хлоридом в присутствии основания, предпочтительно карбоната калия. Реакцию проводят при температуре примерно 50-90°С, предпочтительно примерно 70°С, в течение примерно 1-6 дней, предпочтительно примерно 72 часа. Когда реакция в значительной степени завершена, катализатор удаляют фильтрацией и продукт выделяют обычными способами, предпочтительно флэш-хроматографией. Продукт затем вводят в реакцию с Z-Y-LG, в которой Z и Y представляют собой такие, как определено выше, и LG представляет собой уходящую группу, как показано в стадии 5 выше. Триметилсилил-этоксиметил защитную группу удаляют из полученного промежуточного соединения обработкой кислотой в протоносодержащем растворителе, предпочтительно соляной кислоте в этаноле, с получением соединения формулы I. В качестве альтернативы, бензильная группа в исходном материале формулы (I) может быть замещена на ВОС перед стадией галогенирования 2. Таким образом, нет необходимости заменять защитную группу с бензила на ВОС, как описано выше в стадии 4. Альтернативный способ получения соединений формулы I, в которой R3 представляет собой водород, Z представляет собой необязательно замещенный 1,2,4-оксадиазол и предпочтительно Y представляет собой кислород, показан на схеме реакции II. Стадия 1. Получение соединения формулы (7) Соединение формулы (6) получают способом, сходным с тем, который показан выше для соединения (4). С него снимают защиту обработкой водородом в присутствии катализатора, предпочтительно Pd на углероде. Таким образом, полученное гидроксисоединение вводят в реакцию с трет-бутилдиметилсилилхлоридом в присутствии имидазола для получения трет-бутилдиметилсилилокси производного. Это соединение вводят в реакцию с гидридом натрия и таким образом полученный анион вводят в реакцию с бензилоксиметил хлоридом с получением соединения, которое защищено по N-7 положению бензилоксиметилом. Трет-бутилдиметилсилильную защитную группу затем удаляют обычными способами, например, обработкой тетрабутиламмоний фторидом, и полученное гидрокси соединение вводят в реакцию с йодоацетонитрилом или хлороацетонитрилом в присутствии сильного основания, например трет-бутоксида калия. Реакцию проводят в инертном растворителе, предпочтительно тетрагидрофуране, при примерно комнатной температуре в течение 6-24 часов. Когда реакция в значительной степени завершена, продукт формулы (7) выделяют традиционными способами, например, удалением растворителя при пониженном давлении, с последующей хроматографией остатка на силикагеле. Стадия 2. Получение соединения формулы (8) Соединение формулы (7) затем вводят в реакцию с гидроксиламинхлоридом. В общем случае, соединение формулы (7) растворят в инертном растворителе, например этаноле, и добавляют гидроксиламинхлорид вместе с эквивалентным количеством сильного основания, например этоксида натрия. Реакцию проводят при температуре примерно 0-30°С, например при примерно комнатной температуре, в течение примерно 6-24 часов. Когда реакция в значительной степени завершена, продукт формулы (8) выделяют обычными способами, например, удалением растворителя при пониженном давлении, с последующей хроматографией остатка на силикагеле. Стадия 3. Получение соединения формулы I Соединение формулы (8) затем циклизуют с необязательно замещенным 1,2,4-оксадиазолом формулы I реакцией с подходящим образом замещенным хлоридом кислоты формулы RC(O)Cl, в которой R представляет собой необязательный заместитель, что приводит к наличию заместителя в 5-положении оксадиазольного цикла. В общем случае, соединение формулы (8) растворяют в инертном растворителе, например диоксане, и добавляют карбонат калия и хлорид кислоты. Смесь вводят в реакцию в течение примерно 10 минут при температуре примерно 0-30°С, предпочтительно при примерно комнатной температуре. Когда реакция в значительной степени завершена, интермедиат выделяют традиционными способами и растворяют в высококипящем инертном растворителе, например ксилоле. Смесь вводят в реакцию в течение примерно 6-24 часов при температуре примерно 100-160°С, предпочтительно примерно 145°С. Продукт формулы I выделяют традиционными способами, например, удалением растворителя при пониженном давлении, с последующей хроматографией остатка на силикагеле. Способ получения соединений формулы I, в которой R1 и R2 различаются, показан на схеме реакции III. в которой R1 и R2 представляют собой такие же, как описано выше, Bz представляет собой бензил и Hal представляет собой хлор, бром или йод. В общем случае способ проводят, как описано в Synthetic Communications, 20(16), 2459-2467 (1990). Реакционная схема имеет преимущество, состоящее в том, что хорошо известно, что ксантины вступают в реакцию с алкилирующими агентами в следующем порядке N3>N7>N1. В том случае, если N7 защищена, как в соединении формулы (1), реакция с соединением формулы R2LG, где LG представляет собой уходящую группу, предпочтительно хлор, бром или йод, с небольшим избытком R2LG таким же образом, как показано выше, для получения соединения формулы (2), приводит к соединению формулы (9). Последующая реакция (9) с соединением формулы R1LG обеспечивает соединение формулы (10), в котором R1 и R2 различаются. Способ получения соединений формулы (2), в которых R2 представляет собой водород или алкил и R1 представляет собой арил или гетероарил, показан на схеме реакции IV. Соединения формулы (2), в которых R1 представляет собой арил или гетероарил, могут быть получены, как описано в Synthesis, 1995, pp.855-858. В общем случае соединение формулы (11), полученное при использовании способов, хорошо известных в данной области техники, вводят в реакции с подходящим образом замещенным изоцианатом формулы R1NCO для получения соединения формулы (12), которое циклизуют при основных условиях, например, обработкой этоксидом натрия для получения соединения формулы (2), в котором R1 представляет собой арил или гетероарил и R2 представляет собой водород. Этот способ также может быть использован для получения соединений, в которых R1 представляет собой алкил и т.д. Соединение формулы (2), в котором R2 представляет собой водород, может быть дополнительно введено в реакцию с алкилгалогенидом формулы R2Hal таким же способом, как показано на схеме реакции I, с получением соединения формулы (2), в котором R1 представляет собой арил или гетероарил и R2 представляет собой алкил. Соединения формулы (2), в которых R1 и R2 оба представляют собой арил или гетероарил, получают, как показано в Chem. Ber., GE; 111; 1978; 982-995. Способ получения соединения формулы I, в котором R3 не представляет собой водород, показан на схеме реакции V. Получение соединения формулы (13) Бензильную защитную группу в соединении формулы (2) удаляют гидрогенированием, как описано в схеме реакции I, стадия 4. Полученное соединение затем вводят в реакцию с соединением формулы R3LG, в котором LG представляет собой уходящую группу, предпочтительно хлор, бром или йод, в присутствии основания, например карбоната калия. Реакцию проводят в полярном растворителе, например ДМФА, вначале при примерно комнатной температуре, с последующей реакцией при температуре примерно 30-100°С, например примерно 70°С, в течение примерно 6-24 часов. Когда реакция в значительной степени завершена, продукт формулы (13), выделяют обычными способами, например, удалением растворителя при пониженном давлении, с последующей хроматографией остатка на силикагеле. Реакция более подробно описана в J. Med. Chem., 1999, 42, 2527-2534. Альтернативный способ получения соединений формулы I показан на схеме реакции VI. Сочетание 8-хлорпроизводного формулы (14) с соединением формулы (HO)2B-X-Y-Z представляет собой стандартный способ получения соединений формулы I без гетероатомов в цепи. Получение соединения формулы II Получение соединения формулы II проводят таким же способом, как показано выше, на схеме реакции I, II и III, используя в качестве исходного соединение формулы (18), получение которого показано на схеме реакции VII. Сходная последовательность реакций описана в патенте США № 5631260, полное описание которого включено здесь в качестве ссылки. Следует отметить, что если RCO2H (или RCOCl) используется вместо муравьиной кислоты, будет получено соединение формулы (18), которое замещено в 8-положении на R. Таким образом, если RCO2H эквивалентно ZYXCO2H (соединение формулы (22)), может быть осуществлен альтернативный синтез соединения формулы II, как показано на схеме реакции VIII. Следует отметить, что если R3 представляет собой водород, может быть получено соединение формулы I или II. Соединение формулы (19) коммерчески доступно или его получают способами, известными в данной области техники. Его превращают в соединение формулы II (или соединение формулы I, если R3 представляет собой водород), как описано в патенте США №№ 5446046, полное описание которого включено здесь в качестве ссылки. Соединение формулы (21), в котором R3 представляет собой водород, может быть приобретено из коммерческого источника, например 5,6-диамино-1,3-дипропилурацил, или получено при использовании способов, хорошо известных в данной области техники. Сходную реакцию можно проводить при использовании в качестве исходного соединения нитрозоаминового производного формулы (24). Восстановление соединения формулы (24) водород/катализатор оксид платины обеспечивает соответствующее диамино соединение (21), в котором R3 представляет водород. В качестве альтернативы, соединение формулы (24) может быть в начале замещено R3, как описано выше в схеме реакции VII, с получением соответствующего диамино соединения формулы (21), в котором R3 не является водородом. В качестве альтернативы, соединение формулы (24), в котором R2 представляет собой водород и R1 не является водородом, может быть превращено в соединение формулы I, в котором R2 представляет собой водород и R1 отличается от водорода, как показано на схеме реакции IX. Стадия 1. Получение соединения формулы (23) Коммерчески доступное соединение 6-аминоурацил вначале силилируют, например, по реакции с гексаметилдисилазаном в качестве растворителя в присутствии катализатора, например сульфата аммония. Реакцию проводят при примерно температуре флегмы в течение примерно 1-10 часов. Когда реакция в значительной степени завершена силилированное соединение, полученное таким образом, выделяют обычными способами и затем вводят в реакцию с соединением формулы R1Hal, в котором R1 представляет собой такой же, как описано выше, но не водород, предпочтительно в отсутствие растворителя. Реакцию проводят при примерно температуре флегмы, в течение примерно от 12 часов до 7 дней. Когда реакция в значительной степени завершена, продукт формулы (23) выделяют обычными способами. Стадия 2. Получение соединения формулы (24) Соединение формулы (23) затем растворяют в водном растворе кислоты, например водном растворе уксусной кислоты, и вводят в реакцию с нитритом натрия. Реакцию проводят при температуре примерно 20-50°С, предпочтительно примерно 30°С, более чем примерно 30 минут. Когда реакция в значительной степени завершена, продукт формулы (24) выделяют обычными способами, например фильтрацией. Стадия 3. Получение соединения формулы (25) Соединение формулы (24) затем восстанавливают до диамино производного. В общем случае соединение формулы (24) растворяют в водном растворе аммиака и затем добавляют восстанавливающий агент, например гидросульфат натрия. Реакцию проводят при температуре примерно 70°С. Когда реакция в значительной степени завершена, продукт формулы (25) выделяют обычными способами, например, фильтрацией охлажденной реакционной смеси. Стадия 4. Получение соединения формулы I Соединение формулы (25) затем вводят в реакцию с карбоновой кислотой формулы Z-Y-X-CO2H в присутствии карбодиимида, например, 1-(3-диметиламинопропил)-3-этилкарбодиимид гидрохлорида. Реакцию проводят при температуре примерно 20-30°С, в течение примерно 12-48 часов. Продукт выделяют стандартным способом, например, фильтрацией и вводят в реакцию с избытком гексаметилдисилазана в присутствии аммоний сульфата в течение 2 дней при кипячении с обратным холодильником. Когда реакция в значительной степени завершена, продукт формулы I выделяют традиционными способами, например, фильтрацией охлажденной реакционной смеси. Конкретный пример получения, показанный на схеме реакции IX, в котором Х представляет собой необязательно замещенный 1,4-пиразолен, показан на схеме реакции Х. в которой SEM представляет собой 2,2-(триметилсилил)этоксиметил и halo представляет собой хлор, бром или йод. Следует отметить, что соединение формулы (26) отвечает соединению Формулы I, в котором R2 и R3 представляют собой водород, Х представляет собой 1-пиразол-4-ил, Y представляет собой метилен и Z представляет собой фенил. Эта реакция более подробно описана в следующих примерах. Такая же реакционная схема может быть использована для получения соединения формулы I, в которой 1 и 3 положения замещены (т.е. R1 и R2 не являются водородом), при использовании в качестве исходного соединения формулы (21), в которой R3 представляет собой водород, и вводя его в реакцию с соединением формулы (22), см. выше. Пример синтеза соединения формулы (22) показан на схеме реакции XI: Например, если Z-Y-Br представляет собой 3-фенилпропилбромид, тогда продукт (22) представляет собой 1-(3-фенилпропил)пиразол-4-карбоновую кислоту. Если Z-Y-Br представляет собой (1-оксипиридин-3-ил)метилбромид, тогда продукт (22) представляет собой 1-(1-оксипиридин-3-илметил)пиразол-4-карбоновую кислоту. Реакцию проводят, как показано в примере 9. Пиразольный продукт формулы (22) затем вводят в реакцию с соединением формулы (21) или (25), как описано выше, и в примере 9, для получения соединения формулы II (и формулы I, если R3 представляет собой водород). Например: Получение соединения формулы I, в котором R1 представляет собой водород и R2 отличается от водорода из соединения формулы (24), показано на схеме реакции XII. Стадия 1. Получение соединения формулы (31) Соединение формулы (30) или является коммерчески доступным, или может быть получено способами, хорошо известными в данной области техники. Его вводят в реакцию с этилцианоацетатом в протоносодержащем растворителе, например этаноле, в присутствии сильного основания, например этоксида натрия. Реакцию проводят при примерно температуре флегмы в течение примерно от 4 до примерно 24 часов. Когда реакция в значительной степени завершена, полученное таким образом соединение (31) выделяют обычными способами. Стадия 2. Получение соединения формулы (24) Соединение формулы (31) затем смешивают с нитритом натрия в водном растворителе, например диметилформамиде и воде, и вводят в реакцию с сильной кислотой, например соляной, для получения нитрозосоединения формулы (24). Реакцию проводят при температуре от примерно 50°С до примерно 100°С в течение примерно 1 часа. Когда реакция в значительной степени завершена, продукт формулы (24) выделяют обычными способами. Стадия 3. Получение соединения формулы (21) Соединение формулы (24) затем восстанавливают до диаминопроизводного. В общем случае соединение формулы (24) растворяют в водном растворе аммиака и затем добавляют восстановитель, например гидросульфит натрия. Реакцию проводят при температуре примерно 70°С. Когда реакция в значительной степени завершена, продукт формулы (21) выделяют обычными способами, например, фильтрацией охлажденной реакционной смеси. Стадия 4. Получение соединения формулы I Соединение формулы (21) затем вводят в реакцию с карбоновой кислотой формулы Z-Y-X-CO2H таким же способом, как описано в схеме реакции IX, стадия 4, для получения соединения формулы I. Соединение формулы (31) может быть использовано в альтернативном синтезе для получения соединения формулы I, в котором R1 представляет собой водород и R2 не является водородом, или оба R1 и R2 отличаются от водорода и являются одинаковыми или различными, как показано на схеме реакции XIII. Стадии 1 и 2 Соединение формулы (31), полученное, как описано выше, вводят в реакцию с диметилацеталем N,N-диметилформамида в полярном растворителе, например N,N-диметилформамиде. Реакцию проводят при примерно 40°С в течение примерно 1 часа. Когда реакция в значительной степени завершена, полученное таким образом соединение формулы (32) вводят в реакцию с соединением формулы R1-Hal, где Hal представляет собой хлор, бром или йод, в присутствии основания, например карбоната калия. Реакцию проводят при примерно 80°С в течение примерно 4-24 часов. Когда реакция в значительной степени завершена, продукт формулы (33) выделяют обычными способами, например, упариванием растворителей при пониженном давлении, и остаток используют в следующей реакции без дополнительной очистки. Стадия 2 Соединение формулы (33) вводят в реакцию с водным раствором аммиака в полярном растворителе, например, суспендированном в метаноле. Реакцию проводят при примерно комнатной температуре в течение примерно 1-3 дней. Когда реакция в значительной степени завершена, продукт формулы (33) выделяют обычными способами, например, испарением растворителей при пониженном давлении и остаток растирают с водой. Соединение формулы (34) затем превращают в соединение формулы I таким же способом, как показано выше для получения соединения формулы (23) в схеме реакции IX. Предпочтительные способы и заключительные стадии Соединения по изобретению могут быть получены согласно следующим заключительным стадиям: 1. Введение в реакцию соединения формулы: в котором R1, R2 и Х представляют собой такие же, как определено в сущности изобретения, L представляет собой -O-, -S- или -NH- и Вос представляет собой трет-бутилоксикарбонил; с соединением формулы Z-Y-LG, в котором Z и Y представляют собой такие же, как определено в сущности изобретения, и LG представляет собой уходящую группу. 2. Введение в реакцию соединения формулы: в котором R1, R2 и Х, Y и Z представляют собой такие, как определено в сущности изобретения; с соединением формулы R3-LG, в котором R3 представляет собой такое же, как определено в сущности изобретения и LG представляет собой уходящую группу. 3. Введение в реакцию соединения формулы: в котором R1, R2 и Х представляют собой такие, как определено в сущности изобретения; с хлоридом кислоты формулы RC(O)Cl, в котором R представляет собой необязательный заместитель, что приводит к замещению оксадиазольного кольца в 5-положении, с получением соединения формулы I, в котором Y представляет собой кислород и Z представляет собой необязательно замещенный 1,2,4-оксадиазол. 4. Введение в реакцию соединения формулы: в котором R1, R2 и R3 представляют собой такие, как определено в сущности изобретения: с соединением формулы (HO)2B-X-Y-Z, в котором X, Y и Z представляют собой такие, как определено в сущности изобретения. 5. Введение в реакцию соединения формулы: в котором R1, R2 и R3 представляют собой такие, как определено в сущности изобретения; с соединением формулы ZYXCO2H (соединение формулы (22)), в котором X, Y и Z представляют собой такие, как определено в сущности изобретения. Использование, испытание и введение Главные использования Соединения формулы I и II эффективны при лечении состояний, которые реагируют на введение антагонистов А2В рецепторов аденозина. Такие заболевания включают, но не ограничиваются перечисленным, по крайней мере диарею, атеросклероз, рестеноз, диабеты, в особенности диабеты типа II, дистрофию желтого пятна, диабетическую ретинопатию, рак, старческое слабоумие, болезнь Альцгеймера, болезнь Паркинсона, травматические повреждения мозга и реакции гиперчувствительности типа I, включающие астму, атопическую экзему и сенную лихорадку. Испытание Испытание активности проводят, как описано в тех патентах и заявках на патент, процитированных выше, и в примерах ниже, способами, очевидными для специалиста в данной области. Фармацевтические композиции Соединения формулы I обычно вводят в форме фармацевтических композиций. Это изобретение, таким образом, обеспечивает фармацевтические композиции, которые содержат как активный ингредиент одно или несколько соединений формулы I, или его фармацевтически приемлемую соль, или его сложный эфир, и один или несколько фармацевтически приемлемых эксципиентов, носителей, включая инертные твердые разбавители и наполнители, разбавители, включая стерильный водный раствор и различные органические растворители, улучшители проницаемости, солюбилизаторы и вспомогательные вещества. Соединения формулы I можно вводить или сами по себе, или в комбинации с другими терапевтическими агентами. Такие композиции получают способом, хорошо известным в области фармацевтической технологии (см., например, Remington’s Pharmaceutics Sciences, Mace Publishing Co; Philadelphia, PA 17th Ed. (1985) и «Modern Pharmaceutics», Marcel Dekker, Inc. 3rd Ed. (G.S.Banker & C.T.Rhodes, Eds.). Введение Соединения формулы I можно вводить или в виде одной или множества доз любым из приемлемых видов введения агентов, имеющих сходные применения, например, как описано в тех патентах и заявках на патент, которые включены здесь в качестве ссылки, включая ректальный, защечный, интраназальный и чрезкожный пути, при помощи внутриартериальной инъекции, внутривенно, внутрибрюшинно, парентерально, внутримышечно, подкожно, перорально, местно, в виде ингаляции или посредством пропитанного или покрытого устройства, такого как, например, эндопротез сосуда или помещенный в артерию цилиндрический полимер. Один из способов введения представляет собой парентеральный, в особенности при помощи инъекции. Формы, в которых новые композиции по настоящему изобретению могут быть включены для введения инъекцией, включают водные или масляные суспензии или эмульсии с кунжутным маслом, кукурузным маслом, хлопковым маслом или арахисовым маслом, а также эликсиры, маннитольный, декстрозный или стерильный водный раствор и сходные фармацевтические носители. Также для инъекций обычно используют солевые водные растворы, но они менее предпочтительны в контексте настоящего изобретения. Также могут быть использованы этанол, глицерин, пропиленгликоль, жидкий полиэтиленгликоль и т.п. (и их пригодные смеси), производные циклодекстрина и растительные масла. Подходящую текучесть можно поддерживать, например, при использовании покрытия, такого как лецитин, путем поддержания подходящего размера частиц в случае дисперсии и путем использования поверхностно-активных соединений. Предотвращение действия микроорганизмов может быть осуществлено за счет различных антибактериальных и антигрибковых агентов, например парабенов, хлорбутанола, фенола, сорбитовой кислоты, тимеросала и т.п. Стерильные растворы для инъекций получают включением соединения формулы I в требуемом количестве в подходящий растворитель с различными другими ингредиентами, как изложено выше, с последующей стерилизацией фильтрацией, как требуется. В общем случае, дисперсии получают включением различных стерилизованных активных ингредиентов в стерильный носитель, который включает основную дисперсионную среду и требуемые другие ингредиенты, из тех, что были перечислены выше. В случае стерильных порошков для получения стерильных растворов для инъекций предпочтительными способами получения являются способы вакуумной сушки и лиофилизации, которые приводят к получению порошка активного ингредиента с любым дополнительным заданным ингредиентом из предшествующего ему стерильного фильтрованного раствора. Пероральное введение представляет собой другой путь введения соединения формулы I. Введение может быть посредством капсулы или таблеток с кишечно-растворимым покрытием и т.п. При получении фармацевтических композиций, которые включают по крайней мере одно соединение формулы I, активный ингредиент обычно разбавляют эксципиентом и/или заключают в такой носитель, который может быть в форме капсулы, саше, бумаги или другого контейнера. В том случае, если эксципиент служит в качестве разбавителя, он может быть твердым, полутвердым или жидким материалом, как описано выше, который служит в качестве наполнителя, носителя или среды для активного ингредиента. Таким образом, композиции могут быть в форме таблеток, пилюль, порошков, лепешек, саше, облаток, эликсиров, суспензий, эмульсий, растворов, сиропов, аэрозолей (в виде твердого вещества или в жидкой среде), мазей, содержащих, например, вплоть до 10% масс. активного соединения, мягких и жестких желатиновых капсул, стерильных растворов для инъекций и стерильных упакованных порошков. Некоторые примеры пригодных эксципиентов включают лактозу, декстрозу, сахарозу, сорбит, маннит, крахмалы, аравийскую камедь, фосфат кальция, альгинаты, трагаканты, желатин, силикат кальция, микрокристаллическую целлюлозу, поливинилпироллидон, целлюлозу, стерильную воду, сироп и метилцеллюлозу. Составы могут дополнительно включать: смазывающие агенты, такие как тальк, стеарат магния и минеральное масло; увлажняющие агенты; эмульгирующие и суспендирующие агенты; консерванты, такие как метил- и пропилгидроксибензоаты; подсластители и ароматизаторы. Композиции по изобретению могут быть составлены так, чтобы обеспечить быстрое, продолжительное или замедленное высвобождение активного ингредиента после введения пациенту при использовании способов, известных в данной области техники. Системы доставки с контролируемым высвобождением лекарства для перорального введения включают системы осмотических насосов и систем растворения, содержащих резервуары с полимерным покрытием и составы с лекарственно-полимерной матрицей. Примеры систем контролируемого высвобождения представлены в патентах США №№ 3845770; 4326525; 4902514 и 5616345. Другой состав для использования в способах по настоящему изобретению используют устройства трансдермальной доставки («пластыри»). Такие трансдермальные пластыри можно использовать для обеспечения прерывистой или непрерывной инфузии соединений по настоящему изобретению в контролируемых количествах. Создание и использование трансдермальных пластырей для доставки фармацевтических агентов хорошо известно в данной области техники. См., например, патенты США №№ 5023252, 4992445 и 5001139. Такие пластыри могут быть созданы для непрерывной, пульсирующей доставки или доставки фармацевтических агентов по требованию. Композиции предпочтительно составляют в виде стандартной лекарственной формы. Термин «стандартная лекарственная форма» относится к физически дискретным единицам, пригодным в качестве единичных доз для человеческих объектов и других млекопитающих, каждая доза содержит предварительно определенное количество активного вещества, рассчитанного для обеспечения желаемого терапевтического действия, совместно с пригодным терапевтическим эксципиентом (например, таблетка, капсула, ампула). Соединения формулы I являются эффективными в широком диапазоне доз, и их обычно вводят в фармацевтически эффективном количестве. Предпочтительно для перорального введения каждая доза содержит от 10 мг до 2 г соединения формулы I, более предпочтительно от 10 до 700 мг, и для парентерального введения предпочтительно от 10 до 700 мг соединения формулы I, более предпочтительно примерно 50-200 мг. Однако будет понятно, что количество действительно вводимого соединения формулы I будет определено врачом, в свете имеющих значение обстоятельств, включая заболевание, которое подвергают лечению, выбранный путь введения, фактическое вводимое соединение и его относительная активность, возраст, вес и реакцию отдельного пациента, серьезность симптомов пациента и т.п. Для приготовления твердых композиций, таких как таблетки, принципиальный активный ингредиент смешивают с фармацевтическим эксципиентом в виде твердой предварительно составленной композиции, содержащей гомогенную смесь соединения по настоящему изобретению. Ссылка на эти предварительно составленные соединения как гомогенные означает, что активный ингредиент равномерно диспергирован по всей композиции таким образом, что композицию можно легко разделить на одинаково эффективные стандартные лекарственные формы, такие как таблетки, пилюли и капсулы. Таблетки или пилюли по настоящему изобретению могут быть с покрытием или компаундированными другим образом, обеспечивая лекарственные формы, предоставляющие преимущество продолжительного действия или защиты от кислых условий желудка. Например, таблетка или пилюля может включать внутренний дозируемый и внешний дозируемый компонент, при этом последний из них является формой оболочки первого. Два таких компонента могут быть разделены внутренним, растворяющимся в кишечнике слоем, который служит для защиты от разрушения в желудке и позволяет внутреннему компоненту проходить ненарушенным в двенадцатиперстную кишку или быть выделенным с задержкой. Для таких растворяющихся в кишечнике слоев или покрытий могут быть использованы различные материалы, такие материалы включают большое число полимерных кислот и смесей полимерных кислот с такими материалами как шеллак, цетиловый спирт и ацетат целлюлозы. Композиции для ингаляций или инсуфляции включают растворы и суспензии в фармацевтически приемлемых водных или органических растворителях или их смесях и порошки. Жидкие или твердые композиции могут содержать фармацевтически приемлемые эксципиенты, такие как описано выше. Предпочтительно композиции вводят через оральный или назальный дыхательный путь для местного или системного воздействия. Композиции в предпочтительно фармацевтически приемлемых растворителях могут распыляться при использовании инертных газов. Распыленные растворы могут быть ингалированы непосредственно из распыляющего устройства, или распыляющее устройство может быть присоединено к распыляющей маске или дыхательному аппарату пульсирующего принудительного давления. Композиции в виде раствора, суспензии или порошковой композиции могут вводиться, предпочтительно перорально или назально, из устройств, которые доставляют составы подходящим образом. Следующие примеры включены, чтобы продемонстрировать предпочтительные варианты осуществления изобретения. Специалисту в данной области техники следует принимать во внимание, что технологические способы, описанные в примерах, которые следуют представленным технологическим способам, открыты изобретателем для удовлетворительного функционирования при выполнении настоящего изобретения и, таким образом, могут рассматриваться как представляющие предпочтительные способы для его проведения. Однако специалистам в данной области техники следует понимать, что в свете настоящего описания могут быть произведены многочисленные изменения в конкретных описанных вариантах осуществления, с получением таких же или сходных результатов, не отступая от объема и области применения изобретения. Пример 1 Получение соединения формулы (2) Получение соединения формулы (2), в котором R1 и R2 оба представляют собой н-пропил К раствору 7-бензил-1,3,7-тригидропурин-2,6-диона (6,4 г, 26,4 ммоль), соединение формулы (1), в N,N-диметилформамиде (200 мл) при комнатной температуре добавляли гидрид натрия (2,6 г, 66 ммоль). Смесь перемешивали в течение 20 минут, затем добавляли йодопропан (6,5 мл, 66 ммоль) и перемешивали при комнатной температуре в течение 3 часов. Смесь затем нагревали до 70°С и перемешивали в течение ночи. Растворитель удаляли при пониженном давлении, растворяли в дихлорметане и пропускали через силикогелевый затвор, промывали смесью 1:1 гексан/этилацетат. Растворитель затем удаляли при пониженном давлении, с получением неочищенного 7-бензил-1,3-дипропил-1,3,7-тригидропурин-2,6-диона (8,5 г, выход 98%), который использовали в следующей реакции без дополнительной очистки. В. Получение соединения формулы (2), варьируя R1 и R2 Сходным образом, следуя способу 1А выше, но заменяя йодопропан другими галогенидами, получены следующие соединения формулы (3): 7-бензил-1,3-диметил-1,3,7-тригидропурин-2,6-дион; 7-бензил-1,3-диэтил-1,3,7-тригидропурин-2,6-дион; 7-бензил-1,3-ди(метоксиэтил)-1,3,7-тригидропурин-2,6-дион; 7-бензил-1,3-ди-н-бутил-1,3,7-тригидропурин-2,6-дион; 7-бензил-1,3-диизобутил-1,3,7-тригидропурин-2,6-дион; 1,3,7-трибензил-1,3,7-тригидропурин-2,6-дион; 7-бензил-1,3-ди(фенилэтил)-1,3,7-тригидропурин-2,6-дион; 7-бензил-1,3-дициклобутил-1,3,7-тригидропурин-2,6-дион; 7-бензил-1,3-ди(пирид-4-илметил)-1,3,7-тригидропурин-2,6-дион; 7-бензил-1,3-ди(фуран-3-илметил)-1,3,7-тригидропурин-2,6-дион; 7-бензил-1,3-ди(4-метоксибензил)-1,3,7-тригидропурин-2,6-дион; 7-бензил-1,3-ди(4-трифторметилбензил)-1,3,7-тригидропурин-2,6-дион; и 7-бензил-1,3-ди(3-фторбензил)-1,3,7-тригидропурин-2,6-дион. Пример 2 Получение соединения формулы (3) А. Получение соединения формулы (3), в котором R1 и R2 оба представляют собой н-пропил 7-бензил-1,3-дипропил-1,3,7-тригидропурин-2,6-дион, соединение формулы (2), (2,0 г, 6,1 ммоль) и N-хлорсукцинимида (1,0 г, 7,4 ммоль) объединяли в 100 мл тетрагидрофурана и перемешивали при комнатной температуре в течение 4 часов. Растворитель удаляли при пониженном давлении и остаток растворяли в этилацетате. Раствор промывали водой, затем насыщенным солевым раствором и сушили над сульфатом магния. Растворитель удаляли под вакуумом, для получения соединения формулы (3), в котором R1 и R2 оба представляют собой н-пропил, 7-бензил-8-хлор-1,3-дипропил-1,3,7-тригидропурин-2,6-диона, который перекристализовывали из смеси этилацетат/гексана (1:50). В. Получение соединения формулы (3), варьируя R1 и R2 Сходным образом, следуя способу 2А выше, но заменяя 7-бензил-1,3-дипропил-1,3,7-тригидропурин-2,6-дион другими соединениями формулы (2), получены следующие соединения формулы (3): 7-бензил-8-хлор-1,3-диметил-1,3,7-тригидропурин-2,6-дион; 7-бензил-8-хлор-1,3-диэтил-1,3,7-тригидропурин-2,6-дион; 7-бензил-8-хлор-1,3-ди(метоксиэтил)-1,3,7-тригидропурин-2,6-дион; 7-бензил-8-хлор-1,3-ди-н-бутил-1,3,7-тригидропурин-2,6-дион; 7-бензил-8-хлор-1,3-диизобутил-1,3,7-тригидропурин-2,6-дион; 8-хлор-1,3,7-трибензил-1,3,7-тригидропурин-2,6-дион; 7-бензил-8-хлор-1,3-ди(фенилэтил)-1,3,7-тригидропурин-2,6-дион; 7-бензил-8-хлор-1,3-дициклобутил-1,3,7-тригидропурин-2,6-дион; 7-бензил-8-хлор-1,3-ди(пирид-4-илметил)-1,3,7-тригидропурин-2,6-дион; 7-бензил-8-хлор-1,3-ди(фуран-3-илметил)-1,3,7-тригидропурин-2,6-дион; 7-бензил-8-хлор-1,3-ди(4-метоксибензил)-1,3,7-тригидропурин-2,6-дион; 7-бензил-8-хлор-1,3-ди(4-трифторметилбензил)-1,3,7-тригидропурин-2,6-дион; и 7-бензил-8-хлор-1,3-ди(3-фторбензил)-1,3,7-тригидропурин-2,6-дион. С. Получение соединения формулы (3), варьируя R1 и R2 Сходным образом, следуя способу 2А выше, но заменяя 7-бензил-1,3-дипропил-1,3,7-тригидропурин-2,6-дион другими соединениями формулы (2), получено любое соединение формулы (3). Пример 3 Получение соединения формулы (4) А. Получение соединения формулы (4), в котором R1 и R2 оба представляют собой н-пропил, Х представляет собой фенил и L представляет собой -О- 7-бензил-8-хлор-1,3-дипропил-1,3,7-тригидропурин-2,6-дион, соединение формулы (3), в котором R1 и R2 оба представляют собой н-пропил (5,0 г, 14 ммоль), и 4-гидроксифенил-бороновую кислоту (2,0 г, 14 ммоль) растворяли в 100 мл смеси толуол/этанол (4:1) и перемешивали при кипячении с обратным холодильником в течение 16 часов. Растворитель удаляли при пониженном давлении и остаток хроматографировали через силикагелевую колонку, при элюировании смесью этилацетат:гексан (1:4) с получением соединения формулы (4), в котором R1 и R2 оба представляют собой н-пропил, Х представляет собой фенил и L представляет собой -О-(7-бензил-8-(4-гидроксифенил)-1,3-дипропил-1,3,7-тригидропурин-2,6-дион), в виде бледно-желтого твердого вещества. В. Получение соединения формулы (4), варьируя R1, R2, Х и L Сходным образом, следуя способу 3А выше, но заменяя 7-бензил-8-хлор-1,3-дипропил-1,3,7-тригидропурин-2,6-дион другими соединениями формулы (3), получены следующие соединения формулы (4): 7-бензил-8-(4-гидроксифенил)-1,3-диметил-1,3,7-тригидропурин-2,6-дион; 7-бензил-8-(4-гидроксифенил)-1,3-диэтил-1,3,7-тригидропурин-2,6-дион; 7-бензил-8-(4-гидроксифенил)-1,3-ди(метоксиэтил)-1,3,7-тригидропурин-2,6-дион; 7-бензил-8-(3-метокси-4-гидроксифенил)-1,3-ди-н-бутил-1,3,7-тригидропурин-2,6-дион; 7-бензил-8-(3-гидроксипирид-2-ил)-1,3-диизобутил-1,3,7-тригидропурин-2,6-дион; 8-(2-фтор-3-гидроксифенил)-1,3,7-трибензил-1,3,7-тригидропурин-2,6-дион; 7-бензил-8-(2-трифторметил-4-гидроксифенил)-1,3-ди(фенилэтил)-1,3,7-тригидропурин-2,6-дион; 7-бензил-8-(5-гидроксибензотиазол-2-ил)-1,3-дициклобутил-1,3,7-тригидропурин-2,6-дион; 7-бензил-8-(4-гидроксифенил)-1,3-ди(пирид-4-илметил)-1,3,7-тригидропурин-2,6-дион; 7-бензил-8-(4-гидроксифенил)-1,3-ди(фуран-3-илметил)-1,3,7-тригидропурин-2,6-дион; 7-бензил-8-(4-гидроксифенил)-1,3-ди(4-метоксибензил)-1,3,7-тригидропурин-2,6-дион; 7-бензил-8-(4-гидроксифенил)-1,3-ди(4-трифторметилбензил)-1,3,7-тригидропурин-2,6-дион; и 7-бензил-8-(4-гидроксифенил)-1,3-ди(3-фторбензил)-1,3,7-тригидропурин-2,6-дион. С. Получение соединения формулы (4), варьируя R1, R2, Х и L Сходным образом, следуя способу 3А выше, но заменяя 7-бензил-8-хлор-1,3-дипропил-1,3,7-тригидропурин-2,6-дион другими соединениями формулы (3), получено любое соединение формулы (4). Пример 4 Получение соединения формулы (5) А. Получение соединения формулы (5), в котором R1 и R2 оба представляют собой н-пропил, Х представляет собой фенил и L представляет собой -О- Соединение формулы (4), в котором R1 и R2 оба представляют собой н-пропил, Х представляет собой фенил и L представляет собой -О-(7-бензил-8-(4-гидроксифенил)-1,3-дипропил-1,3,7-тригидропурин-2,6-дион) (613 мг) растворяли в метаноле (50 мл), добавляли каталитическое количество гидроксида палладия и смесь перемешивали в атмосфере водорода при комнатной температуре в течение ночи. Смесь фильтровали, промывали катализатор метанолом и растворитель испаряли из фильтрата при пониженном давлении с получением 8-(4-гидроксифенил)-1,3-дипропил-1,3,7-тригидропурина. Этот продукт растворяли в метаноле, добавляли ди-трет-бутилдикарбонат (0,7 г, 3,2 ммоль) и N,N-ди-изопропилэтиламин (1 мл) и смесь кипятили с обратным холодильником в течение ночи. Растворитель удаляли при пониженном давлении и остаток хроматографировали через силикагелевую колонку с получением соединения формулы (5), 7-трет-бутоксикарбонил-8-(4-гидроксифенил)-1,3-дипропил-1,3,7-тригидропурин-2,6-диона. В. Получение соединения формулы (5), варьируя R1, R2, Х и L Сходным образом, следуя способу 4А выше, но заменяя 7-бензил-8-(4-гидроксифенил)-1,3-дипропил-1,3,7-тригидропурин-2,6-дион другими соединениями формулы (4), получены следующие соединения формулы (5): 7-трет-бутоксикарбонил-8-(4-гидроксифенил)-1,3-диметил-1,3,7-тригидропурин-2,6-дион; 7-трет-бутоксикарбонил-8-(4-гидроксифенил)-1,3-диэтил-1,3,7-тригидропурин-2,6-дион; 7-трет-бутоксикарбонил-8-(4-гидроксифенил)-1,3-ди(метоксиэтил)-1,3,7-тригидропурин-2,6-дион; 7-трет-бутоксикарбонил-8-(3-метокси-4-гидроксифенил)-1,3-ди-н-бутил-1,3,7-тригидропурин-2,6-дион; 7-трет-бутоксикарбонил-8-(3-гидроксипирид-2-ил)-1,3-диизобутил-1,3,7-тригидропурин-2,6-дион; 7-трет-бутоксикарбонил-8-(2-фтор-3-гидроксифенил)-1,3-дибензил-1,3,7-тригидропурин-2,6-дион; 7-трет-бутоксикарбонил-8-(2-трифторметил-4-гидроксифенил)-1,3-ди(фенилэтил)-1,3,7-тригидропурин-2,6-дион; 7-трет-бутоксикарбонил-8-(5-гидроксибензотиазол-2-ил)-1,3-дициклобутил-1,3,7-тригидропурин-2,6-дион; 7-трет-бутоксикарбонил-8-(4-гидроксифенил)-1,3-ди(пирид-4-илметил)-1,3,7-тригидропурин-2,6-дион; 7-трет-бутоксикарбонил-8-(4-гидроксифенил)-1,3-ди(фуран-3-илметил)-1,3,7-тригидропурин-2,6-дион; 7-трет-бутоксикарбонил-8-(4-гидроксифенил)-1,3-ди(4-метоксибензил)-1,3,7-тригидропурин-2,6-дион; 7-трет-бутоксикарбонил-8-(4-гидроксифенил)-1,3-ди(4-трифторметилбензил)-1,3,7-тригидропурин-2,6-дион; и 7-трет-бутоксикарбонил-8-(4-гидроксифенил)-1,3-ди(3-фторбензил)-1,3,7-тригидропурин-2,6-дион. С. Получение соединения формулы (5), варьируя R1, R3 и Х Сходным образом, следуя способу 4А выше, но заменяя 7-бензил-8-(4-гидроксифенил)-1,3-дипропил-1,3,7-тригидропурин-2,6-дион другими соединениями формулы (3), получено любое соединение формулы (5). Пример 5 Получение соединения формулы I А. Получение соединения формулы I, в котором R1 и R2 оба представляют собой н-пропил, Х представляет собой фенил, Y представляет собой -О-CH2 и Z представляет собой 5-(4-метоксифенил)-[1,2,4]оксадиазол-3-ил Смесь 7-трет-бутоксикарбонил-8-(4-гидроксифенил)-1,3-дипропил-1,3,7-тригидропурин-2,6-диона, соединения формулы (5), (50 мг, 0,117 ммоль), 3-хлорметил-5-(4-метоксифенил)-[1,2,4]оксадиазола (26 мг, 0,117 ммоль) и гидрида натрия (10 мг, 0,234 ммоль) в N,N-диметилформамиде перемешивали при комнатной температуре в течение 24 часов. Растворитель удаляли при пониженном давлении и остаток очищали препаративной тонкослойной хроматографией с получением 8-{4-[5-(4-метоксифенил)-[1,2,4]оксадиазол-3-илметокси]фенил}-1,3-дипропил-1,3,7-тригидропурин-2,6-диона. В. Получение соединения формулы I, в котором R1 и R2 представляют собой н-пропил, варьируя Х, Y и Z Сходным образом, следуя способу 5А выше, но необязательно заменяя 7-трет-бутоксикарбонил-8-(4-гидроксифенил)-1,3-дипропил-1,3,7-тригидропурин-2,6-дион другими соединениями формулы (5) и необязательно заменяя 3-хлорметил-5-(4-метоксифенил)-[1,2,4]оксадиазол другими соединениями формулы Cl-Y-Z, были получены следующие соединения формулы I: 8-{4-[5-(2-метоксифенил)-[1,2,4]оксадиазол-3-илметокси]фенил}-1,3-дипропил-1,3,7-тригидропурин-2,6-дион; 8-{4-[5-(3-метоксифенил)-[1,2,4]оксадиазол-3-илметокси]фенил}-1,3-дипропил-1,3,7-тригидропурин-2,6-дион; 8-{4-[5-(4-фторфенил)-[1,2,4]оксадиазол-3-илметокси]фенил}-1,3-дипропил-1,3,7-тригидропурин-2,6-дион; 8-{4-[5-(4-(трифторметил)фенил)-[1,2,4]оксадиазол-3-илметокси]фенил}-1,3-дипропил-1,3,7-тригидропурин-2,6-дион; и 8-{4-[5-(4-трифторметилфенил)-[1,2,4]оксадиазол-3-илметокси]фенил}-1,3-дипропил-1,3,7-тригидропурин-2,6-дион. С. Получение соединения формулы I, варьируя R1, R2, Х, Y и Z Сходным образом, следуя способу 5А выше, но необязательно заменяя 7-трет-бутоксикарбонил-8-(4-гидроксифенил)-1,3-дипропил-1,3,7-тригидропурин-2,6-дион другими соединениями формулы (5) и необязательно заменяя 3-хлорметил-5-(4-метоксифенил)-[1,2,4]оксадиазол другими соединениями формулы YZ, получены следующие соединения формулы I: 8-{4-[5-(4-метоксифенил)-[1,2,4]оксадиазол-3-илметокси]фенил}-1,3-диметил-1,3,7-тригидропурин-2,6-дион; 8-{4-[5-(4-метоксифенил)-[1,2,4]оксадиазол-3-илметокси]фенил}-1,3-диэтил-1,3,7-тригидропурин-2,6-дион; 8-{4-[5-(4-метоксифенил)-[1,2,4]оксадиазол-3-илметокси]фенил}-1,3-ди(метоксиэтил)-1,3,7-тригидропурин-2,6-дион; 8-{4-[5-(4-метоксифенил)-[1,2,4]оксадиазол-3-илметокси]фенил}-1,3-ди-н-бутил-1,3,7-тригидропурин-2,6-дион; 8-{4-[5-(4-метоксифенил)-[1,2,4]оксадиазол-3-илметокси]фенил}-1,3-диизобутил-1,3,7-тригидропурин-2,6-дион; 8-{4-[5-(2-фтор-3-гидроксифенил)-[1,2,4]оксадиазол-3-илметокси]фенил}-1,3-дибензил-1,3,7-тригидропурин-2,6-дион; 8-{4-[5-(2-трифторметил-4-гидроксифенил)-[1,2,4]оксадиазол-3-илметокси]фенил}-1,3-ди-(фенилэтил)-1,3,7-тригидропурин-2,6-дион; 8-{4-[5-(4-трифторметил-3-гидроксифенил)-[1,2,4]оксадиазол-3-илметокси]фенил}-1,3-дициклобутил-1,3,7-тригидропурин-2,6-дион; 8-{4-[5-(4-гидроксифенил)-[1,2,4]оксадиазол-3-илметокси]фенил}-1,3-ди-(пирид-4-илметил)-1,3,7-тригидропурин-2,6-дион; 8-{4-[5-(4-гидроксифенил)-[1,2,4]оксадиазол-3-илметокси]фенил}-1,3-ди-(фуран-3-илэтил)-1,3,7-тригидропурин-2,6-дион; 8-{4-[5-(4-метоксифенил)имидазол-2-илметокси]фенил}-1,3-дипропил-1,3,7-тригидропурин-2,6-дион; 8-{4-[5-(4-метоксифенил)оксазол-2-илметокси]фенил}-1,3-дипропил-1,3,7-тригидропурин-2,6-дион; 8-{4-[5-(4-метоксифенил)тиазол-2-илметокси]фенил}-1,3-дипропил-1,3,7-тригидропурин-2,6-дион; 8-{4-[5-(4-метоксифенил)-1,3,5-триазин-2-илметокси]фенил}-1,3-дипропил-1,3,7-тригидропурин-2,6-дион; 8-{4-[5-(4-метоксифенил)пиримидин-2-илметокси]фенил}-1,3-дипропил-1,3,7-тригидропурин-2,6-дион; 8-{4-[5-(4-метоксифенил)-[1,2,4]оксадиазол-3-илэтокси]фенил}-1,3-дипропил-1,3,7-тригидропурин-2,6-дион; 8-{4-[5-(4-метоксифенил)-[1,2,4]оксадиазол-3-илпропокси]фенил}-1,3-дипропил-1,3,7-тригидропурин-2,6-дион; 8-{4-[5-(4-фторфенил)-[1,2,4]оксадиазол-3-илметокси]фенил}-1,3-дипропил-1,3,7-тригидропурин-2,6-дион; 8-{4-[5-(4-трифторметилфенил)-[1,2,4]оксадиазол-3-илметокси]фенил}-1,3-дипропил-1,3,7-тригидропурин-2,6-дион; 8-{4-[5-(3,4-диметоксифенил)-[1,2,4]оксадиазол-3-илметокси]фенил}-1,3-дипропил-1,3,7-тригидропурин-2,6-дион; и 8-{5-[5-(4-метоксифенил)-[1,2,4]оксадиазол-3-илэтокси]пиридин-2-ил}-1,3-дипропил-1,3,7-тригидропурин-2,6-дион. D. Получение соединения формулы I, варьируя R1, R2, Х, Y и Z Сходным образом, следуя способу 5А выше, но необязательно заменяя 7-трет-бутоксикарбонил-8-(4-гидроксифенил)-1,3-дипропил-1,3,7-тригидропурин-2,6-дион другими соединениями формулы (5) и необязательно заменяя 3-хлорметил-5-(4-метоксифенил)-[1,2,4]оксадиазол другими соединениями формулы YZ, может быть получено любое соединение формулы I. Пример 6 Получение соединения формулы (7) А. Получение соединения формулы (7), в котором R1 и R2 представляют собой н-пропил и Х представляет собой 1,4-фенилен а) Раствор 7-бензил-8-(4-бензилоксифенил)-1,3-дипропил-1,3,7-тригидропурин-2,6-диона (4,39 г, 8,17 ммоль) (полученный способом, аналогичным получению соединения формулы (5)) в смеси метиленхлорид-метанол (1:1) (100 мл) перемешивали в атмосфере водорода с каталитическим количеством 10% Pd(OH)2/С при комнатной температуре в течение ночи. Катализатор отфильтровывали, промывали смесью дихлорметан/метанол и фильтрат выпаривали при пониженном давлении с получением твердого вещества, которое промывали метиленхлоридом с получением чистого продукта, 8-(4-гидроксифенил)-1,3-дипропил-1,3,7-тригидропурин-2,6-диона. b) Смесь 8-(4-гидроксифенил)-1,3-дипропил-1,3,7-тригидропурин-2,6-диона (2,2 г, 6,7 ммоль), трет-бутилдиметилсилилхлорида (2,0 г, 13,4 ммоль) и имидазола (0,91 г, 13,4 ммоль) в тетрагидрофуране (50 мл) перемешивали в течение ночи при комнатной температуре, затем кипятили с обратным холодильником в течение 10 часов. Растворитель удаляли при пониженном давлении и остаток растворяли в метиленхлориде и пропускали через силикагелевый затвор, который затем промывали этилацетатом. Фильтрат концентрировали при пониженном давлении с получением 8-[(4-трет-бутилдиметилсилилокси)фенил]-1,3-дипропил-1,3,7-тригидропурин-2,6-диона. с) К раствору 8-[(4-трет-бутилдиметилсилилокси)фенил]-1,3-дипропил-1,3,7-тригидропурин-2,6-диона (13,7 г, 31 ммоль) в тетрагидрофуране (200 мл) добавляли гидрид натрия (1,6 г, 40 ммоль) и смесь перемешивали в течение 30 минут при комнатной температуре. Затем добавляли бензилоксиметилхлорид (4,9 г, 31 ммоль) и смесь перемешивали в течение 1 часа при комнатной температуре. Затем растворитель удаляли при пониженном давлении и остаток растворяли в метиленхлориде. Этот раствор промывали насыщенным солевым раствором и растворитель удаляли при пониженном давлении. Остаток хроматографировали на силикагеле, при элюировании этилацетатом, с получением 7-бензилоксиметил-8-[(4-трет-бутилдиметилсилилокси)фенил]-1,3-дипропил-1,3,7-тригидропурин-2,6-диона в виде жидкости. d) К раствору 7-бензилоксиметил-8-[(4-трет-бутилдиметилсилилокси)фенил]-1,3-дипропил-1,3,7-тригидропурин-2,6-диона (10,5 г, 18,7 ммоль) в тетрагидрофуране (200 мл) добавляли тетра(трет-бутил)аммонийфторид (3 г) и смесь перемешивали в течение 2 часов при комнатной температуре. Продукт пропускали через силикагелевый затвор, который промывали этилацетатом. Фильтрат испаряли при пониженном давлении и остаток промывали дихлорметаном с получением 7-бензилоксиметил-8-(4-гидроксифенил)-1,3-дипропил-1,3,7-тригидропурин-2,6-диона в виде белого твердого вещества. е) К раствору 7-бензилоксиметил-8-(4-гидроксифенил)-1,3-дипропил-1,3,7-тригидропурин-2,6-диона (1 г, 2,2 ммоль) в тетрагидрофуране (20 мл) добавляли трет-бутоксид калия (0,28 г, 2,4 ммоль) и смесь перемешивали в течение 30 минут при комнатной температуре. Затем к смеси добавляли йодоацетонитрил (0,38 г, 2,23 ммоль) и смесь перемешивали в течение 16 часов при комнатной температуре. Растворитель удаляли при пониженном давлении и остаток растворяли в этилацетате и пропускали через силикагелевый затвор с получением 7-бензилоксиметил-8-(4-цианометоксифенил)-1,3-дипропил-1,3,7-тригидропурин-2,6-диона, соединения формулы (7). В. Получение соединения формулы (7), с различными R1 и R2 Сходным образом, следуя способу 6А выше, но заменяя 7-бензил-8-(4-бензилоксифенил)-1,3-дипропил-1,3,7-тригидропурин-2,6-дион другими сходными соединениями, получают другие соединения формулы (7). Пример 7 Получение соединения формулы (8) А. Получение соединения формулы (8), в котором R1 и R2 представляют собой н-пропил и Х представляет собой 1,4-фенилен Раствор 7-бензилоксиметил-8-(4-цианометоксифенил)-1,3-дипропил-1,3,7-тригидропурин-2,6-диона (1,15 г, 2,36 ммоль) в этаноле (50 мл) перемешивали с этоксидом натрия (0,25 г, 3,54 ммоль) и гидрохлоридом гидроксиламина (0,15 г, 3,54 ммоль) при комнатной температуре в течение ночи. Растворитель удаляли при пониженном давлении. Остаток растворяли в смеси дихлорметан/метанол (50:1) и раствор пропускали через силикагелевый затвор. Фильтрат испаряли при пониженном давлении с получением 8-[4-(2-амино-2-(гидроксиимино)этокси)фенил]-7-[(фенилметокси)метил]-1,3-дипропил-1,3,7-тригидропурин-2,6-диона. В. Получение соединения формулы (8), с различными R1 и R2 Сходным образом, следуя процедуре 7А выше, но заменяя 7-бензилоксиметил-8-(4-цианометоксифенил)-1,3-дипропил-1,3,7-тригидропурин-2,6-дион другими сходными соединениями, получают другие соединения формулы (8). Пример 8 Получение соединения формулы I А. Получение соединения формулы I, в котором R1 и R2 представляют собой н-пропил, R3 представляет собой водород, Х представляет собой 1,4-фенилен, Y представляет собой -О(СН2)- и Z представляет собой 5-(2-хлорфенил)-[1,2,4]оксадиазол-3-ил К раствору 7-бензилоксиметил-8-[4-(амино(гидроксиимино)-метокси)фенил]-1,3-дипропил-1,3,7-тригидропурин-2,6-диона (50 мг) в диоксане (3 мл) добавляли карбонат калия (0,5 г) с последующим добавлением 2-хлорбензоил хлорида. Смесь перемешивали при комнатной температуре в течение 10 минут, затем твердые вещества отфильтровывали. Фильтрат испаряли при пониженном давлении и остаток растворяли в ксилоле. Раствор нагревали до 145°С в течение ночи, затем растворитель удаляли при пониженном давлении и остаток подвергали хроматографии на силикагеле, при элюировании этилацетатом с получением 8-{4-[5-(2-хлорфенил)-[1,2,4]оксидиазол-3-илметокси]фенил}-1,3-дипропил-1,3-дигидропурин-2,6-диона. B. Получение соединения формулы I, в котором R1 и R2 представляют собой н-пропил, изменяя Х, Y и Z Сходным образом, следуя способу 8А выше, но заменяя 7-бензилоксиметил-8-[4-(амино(гидроксиимино)метокси)фенил]-1,3-дипропил-1,3,7-тригидропурин-2,6-дион другими соединениями формулы (8) и необязательно заменяя RC(O)Cl другими соединениями формулы RC(O)Cl, могут быть получены следующие соединения формулы I: 8-(4-{[5-(3-метилфенил)(1,2,4-оксадиазол-3-ил)]метокси}фенил)-1,3-дипропил-1,3,7-тригидропурин-2,6-дион; 8-(4-{[5-(2-фторфенил)(1,2,4-оксадиазол-3-ил)]метокси}фенил)-1,3-дипропил-1,3,7-тригидропурин-2,6-дион; 8-(4-{[5-(2-метилфенил)(1,2,4-оксадиазол-3-ил)]метокси}фенил)-1,3-дипропил-1,3,7-тригидропурин-2,6-дион; 8-(4-{[5-(3-метоксифенил)(1,2,4-оксадиазол-3-ил)]метокси}фенил)-1,3-дипропил-1,3,7-тригидропурин-2,6-дион; метил 4-(3-{[4-(2,6-диоксо-1,3-дипропил-1,3,7-тригидропурин-8-ил)фенокси]метил}-1,2,4-оксадиазол-5-ил)бензоат; 1,3-дипропил-8-[4-({5-[2-(трифторметокси)фенил](1,2,4-оксадиазол-3-ил)}метокси)фенил]-1,3,7-тригидропурин-2,6-дион; 8-(4-{[5-(2-бромфенил)(1,2,4-оксадиазол-3-ил)]метокси}фенил)-1,3-дипропил-1,3,7-тригидропурин-2,6-дион; и 8-(4-{[5-(2,4-диметоксифенил)(1,2,4-оксадиазол-3-ил)]метокси}фенил)-1,3-дипропил-1,3,7-тригидропурин-2,6-дион. С. Сходным образом, следуя способу 8А выше, но заменяя 7-бензилоксиметил-8-[4-(амино(гидроксиимино)метокси)фенил]-1,3-дипропил-1,3,7-тригидропурин-2,6-дион другими соединениями формулы (8) и необязательно заменяя RC(O)Cl другими соединениями формулы RC(O)Cl, были получены другие соединения формулы I, например: 8-[1-(1-оксипиридин-3-илметил)-1Н-пиразол-4-ил]-1,3-дипропил-3,7-дигидропурин-2,6-дион; 1,3-дипропил-8-[1-(1-оксипирид-4-илметил)пиразол-4-ил]-1,3,7-тригидропурин-2,6-дион; и 1,3-дипропил-8-[1-(1-оксипирид-3-илметил)пиразол-4-ил]-1,3,7-тригидропурин-2,6-дион. Пример 9А Получение соединения формулы I, в котором R1 и R2 одинаковые А. Получение соединения формулы I, в котором R1 и R2 представляют собой н-пропил, Х представляет собой 1,4-пиразолин, R3 представляет собой водород, Y представляет собой пропилен и Z представляет собой фенил а) К раствору этил-4-пиразолкарбоксилата (3,57 ммоль) в ацетоне (30 мл) добавляли карбонат калия (35,7 ммоль) и 1-бром-3-фенилпропан (3,57 ммоль). Суспензию кипятили с обратным холодильником в течение ночи, после чего растворитель удаляли при пониженном давлении. Остаток разделяли между этилацетатом и водой, органический слой сушили над сульфатом магния, фильтровали и фильтрат испаряли при пониженном давлении с получением масла, которое очищали препаративной ТСХ с получением этил 1-(3-фенилпропил)пиразол-4-карбоксилата. b) Сложный эфир затем растворяли в метаноле (30 мл) и добавляли гидроксид калия (1,5 г). Смесь кипятили с обратным холодильником в атмосфере азота в течение 5 часов, затем растворитель удаляли при пониженном давлении. Остаток разделяли между хлористым метиленом и водой. Водный слой отделяли и подкисляли до рН 1-2 6 н. соляной кислотой, затем экстрагировали этилацетатом. Комбинированные органические слои сушили над сульфатом магния и растворитель удаляли при пониженном давлении с получением 1-(3-фенилпропил)пиразол-4-карбоновой кислоты. с) К раствору 1-(3-фенилпропил)пиразол-4-карбоновой кислоты (300 мг, 1,30 ммоль) в N,N-диметилформамиде (7 мл) добавляли 1-[3-(диметиламино)пропил]-3-этилкарбодиимидгидрохлорид (300 мг). Суспензию перемешивали при комнатной температуре, пока все твердые вещества не растворялись, затем добавляли 5,6-диамино-1,3-дипропил-1,3-дигидропиримидин-2,4-дион (450 мг) и реакционную смесь перемешивали при комнатной температуре в течение ночи. Затем добавляли 2 н. гидроксида натрия (10 мл) и суспензию нагревали до 120°С в течение 2 часов. Реакционную смесь охлаждали в ледяной воде и подкисляли до рН 2-3. Смесь разделяли между водой и этилацетатом и этилацетатный слой и любой твердый материал промывали водой и растворитель удаляли при пониженном давлении. Остаток растирали в эфире с получением чистого продукта, 8-[1-(3-фенилпропил)пиразол-4-ил)]-1,3-дипропил-1,3,7-тригидропурин-2,6-диона. Пример 9B Альтернативное получение соединения формулы I, в котором R1 и R2 одинаковые А. Получение соединения формулы I, в котором R1 и R2 представляют собой н-пропил, Х представляет собой 1,4-пиразолен, R3 представляет собой водород, Y представляет собой метилен и Z представляет собой фенил а) К раствору 1-бензилпиразол-4-карбоновой кислоты (4 г, 19,8 ммоль) в N,N-диметилформамиде (80 мл) добавляли 1-[3-(диметиламино)пропил]-3-этилкарбодиимид гидрохлорид (4 г). Суспензию перемешивали при комнатной температуре в течение 15 минут, затем добавляли 5,6-диамино-1,3-дипропил-1,3-дигидропиримидин-2,4-дион (5,37 мг) и реакционную смесь перемешивали при комнатной температуре в течение ночи. Диметилформамид удаляли при пониженном давлении и добавляли 2 н. гидроксида натрия (60 мл) и суспензию нагревали до 120°С в течение 2 часов. Реакционную смесь охлаждали в ледяной воде и подкисляли до рН 1-2. Смесь разделяли между водой и этилацетатом и этилацетатный слой и сопутствующее твердое вещество промывали несколько раз водой и растворитель удаляли при пониженном давлении. Остаток растирали в эфире с получением 8-[1-бензилпиразол-4-ил]-1,3-дипропил-1,3,7-тригидропурин-2,6-диона. b) 8-[1-бензилпиразол-4-ил]-1,3-дипропил-1,3,7-тригидропурин-2,6-дион (3,88 г) растворяли в диметилформамиде (30 мл) и добавляли карбонат калия (0,642 г), с последующим добавлением 2-(триметилсилил)этоксиметилхлорида (SEM хлорид, 0,768 г). Суспензию перемешивали при комнатной температуре в течение ночи, в течение данного времени добавляли дополнительные 0,4 эквивалента карбоната калия и хлорида SEM и смесь перемешивали в течение дополнительных 3 часов. Твердое вещество фильтровали и растворитель испаряли из фильтрата при пониженном давлении. Остаток хроматографировали на силикагелевой колонке при элюировании смесью 20% этилацетат/гексаны с получением 7-[(3,3-диметил-3-силабутокси)метил]-8-[1-бензилпиразол-4-ил]-1,3-дипропил-1,3,7-тригидропурин-2,6-диона. с) К раствору 7-[(3,3-диметил-3-силабутокси)метил]-8-[1-бензилпиразол-4-ил]-1,3-дипропил-1,3,7-тригидропурин-2,6-диона (3 г) в этаноле (100 мл) добавляли циклогексен (50 мл) и гидроксид палладия (3 г). Смесь кипятили с обратным холодильником в течение 4 дней и затем катализатор фильтровали и растворитель удаляли из фильтрата при пониженном давлении. Остаток подвергали хроматографии на силикагелевой колонке, при элюировании смесью 30% этилацетат/гексаны, с получением 7-[(3,3-диметил-3-силабутокси)метил]-1,3-дипропил-8-пиразол-4-ил-1,3,7-тригидропурин-2,6-диона. d) К раствору 7-[(3,3-диметил-3-силабутокси)метил]-1,3-дипропил-8-пиразол-4-ил-1,3,7-тригидропурин-2,6-диона (50 мг) в диметилформамиде (2 мл) добавляли бромэтилбензол (0,16 мл) и карбонат калия (159 мг). Смесь перемешивали при комнатной температуре в течение ночи и отфильтровывали твердое вещество. Растворитель удаляли из фильтрата при пониженном давлении и остаток хроматографировали препаративной тонкослойной хроматографией, при элюировании смесью 30% этилацетат/гексаны, с получением 7-[(3,3-диметил-3-силабутокси)метил]-8-[1-(2-фенилэтил)пиразол-4-ил]-1,3-дипропил-1,3,7-тригидропурин-2,6-диона. е) Раствор 7-[(3,3-диметил-3-силабутокси)метил]-8-[1-(2-фенилэтил)пиразол-4-ил]-1,3-дипропил-1,3,7-тригидропурин-2,6-диона (53 мг) смеси этанол/соляная кислота (1 М, 2 мл) кипятили с обратным холодильником в течение 2 часов. Растворитель удаляли из продукта при пониженном давлении и остаток промывали эфиром с получением 8-[1-(2-фенилэтил)пиразол-4-ил]-1,3-дипропил-1,3,7-тригидропурин-2,6-диона. В. Получение соединения формулы I, в котором R1 и R2 представляют собой такие же, с изменяющимися Х, Y и Z Сходным образом, следуя способу 9А и/или 9B выше были получены следующие соединения формулы I: 8-(1-бензилпиразол-4-ил)-1,3-дипропил-1,3,7-тригидропурин-2,6-дион; 8-{1-[(3,5-диметилизоксазол-4-ил)метил]пиразол-4-ил}-1,3-дипропил-1,3,7-тригидропурин-2,6-дион; 8-[1-(3-циклогексилпропил)пиразол-4-ил]-1,3-дипропил-1,3,7-тригидропурин-2,6-дион; 8-(1-{[5-(2-метоксифенил)(1,2,4-оксадиазол-3-ил)]метил}пиразол-4-ил)-1,3-дипропил-1,3,7-тригидропурин-2,6-дион; 8-[1-(2-феноксиэтил)пиразол-4-ил]-1,3-дипропил-1,3,7-тригидропурин-2,6-дион; 8-(1-{[5-(4-хлорфенил)(1,2,4-оксадиазол-3-ил)]метил}пиразол-4-ил)-1,3-дипропил-1,3,7-тригидропурин-2,6-дион; N-(2,6-диметилфенил)-2-[4-(2,6-диоксо-1,3-дипропил(1,3,7-тригидропурин-8-ил))пиразолил]ацетамид; 8-(1-{[3-(4-метилфенил)(1,2,4-оксадиазол-5-ил)]метил}пиразол-4-ил)-1,3-дипропил-1,3,7-тригидропурин-2,6-дион; 8-{1-[2-(1,3-диоксобензо[с]азолин-2-ил)этил]пиразол-4-ил}-1,3-дипропил-1,3,7-тригидропурин-2,6-дион; 2-[4-(2,6-диоксо-1,3-дипропил(1,3,7-тригидропурин-8-ил))пиразолил]-N-(2-хлорфенил)ацетамид; 2-[4-(2,6-диоксо-1,3-дипропил(1,3,7-тригидропурин-8-ил))пиразолил]-N-фенилацетамид; 8-{1-[(2-метилфенил)метил]пиразол-4-ил}-1,3-дипропил-1,3,7-тригидропурин-2,6-дион; 8-{1-[(3-метилфенил)метил]пиразол-4-ил}-1,3-дипропил-1,3,7-тригидропурин-2,6-дион; 1,3-дипропил-8-(1-{[2-(трифторметил)фенил]метил}пиразол-4-ил)-1,3,7-тригидропурин-2,6-дион; 8-{1-[(4-метилфенил)метил]пиразол-4-ил}-1,3-дипропил-1,3,7-тригидропурин-2,6-дион; 8-{1-[(2-фторфенил)метил]пиразол-4-ил}-1,3-дипропил-1,3,7-тригидропурин-2,6-дион; 8-{1-[(3-метоксифенил)метил]пиразол-4-ил}-1,3-дипропил-1,3,7-тригидропурин-2,6-дион; 8-{1-[(3-хлорфенил)метил]пиразол-4-ил}-1,3-дипропил-1,3,7-тригидропурин-2,6-дион; 8-{1-[(2-хлорфенил)метил]пиразол-4-ил}-1,3-дипропил-1,3,7-тригидропурин-2,6-дион; 1,3-дипропил-8-(1-{[4-(трифторметил)фенил]метил}пиразол-4-ил)-1,3,7-тригидропурин-2,6-дион; 8-{1-[(4-хлорфенил)метил]пиразол-4-ил}-1,3-дипропил-1,3,7-тригидропурин-2,6-дион; 8-{1-[(4-фторфенил)метил]пиразол-4-ил}-1,3-дипропил-1,3,7-тригидропурин-2,6-дион; 8-{1-[(4-метоксифенил)метил]пиразол-4-ил}-1,3-дипропил-1,3,7-тригидропурин-2,6-дион; 2-[4-(2,6-диоксо-1,3-дипропил-1,3,7-тригидропурин-8-ил)пиразолил]уксусная кислота; 8-[1-(2-гидроксиэтил)пиразол-4-ил]-1,3-дипропил-1,3,7-тригидропурин-2,6-дион; 2-[4-(2,6-диоксо-1,3-дипропил(1,3,7-тригидропурин-8-ил))пиразолил]-2-фенилуксусная кислота; 2-[4-(2,6-диоксо-1,3-дипропил(1,3,7-тригидропурин-8-ил))пиразолил]-2-(4-фторфенил)уксусная кислота; 2-[4-(2,6-диоксо-1,3-дипропил-1,3,7-тригидропурин-8-ил)пиразолил]пропионовая кислота; 8-[1-(фенилэтил)пиразол-4-ил]-1,3-дипропил-1,3,7-тригидропурин-2,6-дион; 8-[1-(4-хлорфенил)-5-(трифторметил)пиразол-4-ил]-1,3-дипропил-1,3,7-тригидропурин-2,6-дион; 8-[1-фенил-5-(трифторметил)пиразол-4-ил]-1,3-дипропил-1,3,7-тригидропурин-2,6-дион; 8-(1-фенил-5-пропилпиразол-4-ил)-1,3-дипропил-1,3,7-тригидропурин-2,6-дион; 8-(5-метил-1-фенилпиразол-4-ил)-1,3-дипропил-1,3,7-тригидропурин-2,6-дион; этил 2-[4-(2,6-диоксо-1,3-дипропил(1,3,7-тригидропурин-8-ил))пиразолил]-2-фенилацетат; 1,3-диметил-8-(1-{[3-(трифторметил)фенил]метил}пиразол-4-ил)-1,3,7-тригидропурин-2,6-дион; 1,3-дипропил-8-{1-[(3-фторфенил)метил]пиразол-4-ил}-1,3,7-тригидропурин-2,6-дион; 1,3-дипропил-8-[1-фенилпиразол-4-ил]-1,3,7-тригидропурин-2,6-дион; 1,3-дипропил-8-[1,3-диметилпиразол-4-ил]-1,3,7-тригидропурин-2,6-дион; 1,3-дипропил-8-[1-этил-3-метилпиразол-4-ил]-1,3,7-тригидропурин-2,6-дион; 1,3-дибутил-8-[1-бензилпиразол-4-ил]-1,3,7-тригидропурин-2,6-дион; 1,3-дибутил-8-пиразол-4-ил-1,3,7-тригидропурин-2,6-дион; 1,3-дипропил-8-пиразол-4-ил-1,3,7-тригидропурин-2,6-дион; 1,3-диметил-8-[1-бензилпиразол-4-ил]-1,3,7-тригидропурин-2,6-дион; 1,3-диэтил-8-[1-бензилпиразол-4-ил]-1,3,7-тригидропурин-2,6-дион; 1,3-дипропил-8-{1-[(2-метоксифенил)метил]пиразол-4-ил}-1,3,7-тригидропурин-2,6-дион; 1,3-ди(втор-бутил)-8-[1-бензилпиразол-4-ил]-1,3,7-тригидропурин-2,6-дион; 1,3-ди(втор-бутил)-8-{1-[(3-трифторметилфенил)метил]пиразол-4-ил}-1,3,7-тригидропурин-2,6-дион; 1,3-ди(втор-бутил)-8-{1-[(3-фторфенил)метил]пиразол-4-ил}-1,3,7-тригидропурин-2,6-дион; 1,3-диметил-8-{1-[(3-фторфенил)метил]пиразол-4-ил}-1,3,7-тригидропурин-2,6-дион; 1,3-дипропил-8-{1-[(2,5-дихлорфенил)метил]пиразол-4-ил}-1,3,7-тригидропурин-2,6-дион; 1,3-диэтил-8-{1-[(3-фторфенил)метил]пиразол-4-ил}-1,3,7-тригидропурин-2,6-дион; 1,3-диэтил-8-{1-[(3-трифторметилфенил)метил]пиразол-4-ил}-1,3,7-тригидропурин-2,6-дион; 1,3-дипропил-8-{1-[(4-карбоксифенил)метил]пиразол-4-ил}-1,3,7-тригидропурин-2,6-дион; 1,3-дипропил-8-(1-{[3-(трифторметил)фенил]метил}пиразол-4-ил)-1,3,7-тригидропурин-2,6-дион; 1,3-дипропил-8-(1-{[3-(трифторметил)фенил]этил}пиразол-4-ил)-1,3,7-тригидропурин-2,6-дион; и 2-[4-(2,6-диоксо-1,3-дипропил(1,3,7-тригидропурин-8-ил))пиразолил]-2-фенилуксусная кислота; 1,3-диэтил-8-(пиразол-4-ил)-1,3,7-тригидропурин-2,6-дион; 8-(1-{[3-(4-хлорфенил)(1,2,4-оксадиазол-5-ил)]метил}пиразол-4-ил)-1,3-дипропил-1,3,7-тригидропурин-2,6-дион; 8-{1-[(5-фенил(1,2,4-оксадиазол-3-ил))метил]пиразол-4-ил}-1,3-дипропил-1,3,7-тригидропурин-2,6-дион; 1,3-дипропил-8-[1-({5-[4-(трифторметил)фенил](1,2,4-оксадиазол-3-ил)}метил)пиразол-4-ил]-1,3,7-тригидропурин-2,6-дион; 8-{1-[(5-фенилизоксазол-3-ил)метил]пиразол-4-ил}-1,3-дипропил-1,3,7-тригидропурин-2,6-дион; 8-(1-{[5-(2-хлорфенил)изоксазол-3-ил]метил}пиразол-4-ил)-1,3-дипропил-1,3,7-тригидропурин-2,6-дион; 8-(1-{[5-(4-хлорфенил)изоксазол-3-ил]метил}пиразол-4-ил)-1,3-дипропил-1,3,7-тригидропурин-2,6-дион; 8-(1-{[5-(3,4-дихлорфенил)изоксазол-3-ил]метил}пиразол-4-ил)-1,3-дипропил-1,3,7-тригидропурин-2,6-дион; 1,3-дипропил-8-[1-({5-[4-(трифторметил)фенил]изоксазол-3-ил}метил)пиразол-4-ил]-1,3,7-тригидропурин-2,6-дион; 8-{1-[(6-хлор-2-фторфенил)метил]пиразол-4-ил}-1,3-дипропил-1,3,7-тригидропурин-2,6-дион; 8-{1-[(2,3-дифторфенил)метил]пиразол-4-ил}-1,3-дипропил-1,3,7-тригидропурин-2,6-дион; 8-{1-[(2,4-дифторфенил)метил]пиразол-4-ил}-1,3-дипропил-1,3,7-тригидропурин-2,6-дион; 8-{1-[(2,6-дифторфенил)метил]пиразол-4-ил}-1,3-дипропил-1,3,7-тригидропурин-2,6-дион; 8-{1-[(3,4-дифторфенил)метил]пиразол-4-ил}-1,3-дипропил-1,3,7-тригидропурин-2,6-дион; 8-(1-{[4-фтор-3-(трифторметил)фенил]метил}пиразол-4-ил)-1,3-дипропил-1,3,7-тригидропурин-2,6-дион; 8-(1-{[4-хлор-3-(трифторметил)фенил]метил}пиразол-4-ил)-1,3-дипропил-1,3,7-тригидропурин-2,6-дион; 1,3-дипропил-8-(1-{[3-(трифторметил)фенил]этил}пиразол-4-ил)-1,3,7-тригидропурин-2,6-дион; 8-(1-{[3-хлор-2-фтор-5-(трифторметил)фенил]метил}пиразол-4-ил)-1,3-дипропил-1,3,7-тригидропурин-2,6-дион; 8-(1-{[4-метокси-3-(трифторметил)фенил]метил}пиразол-4-ил)-1,3-дипропил-1,3,7-тригидропурин-2,6-дион; 8-(1-{[3,5-бис(трифторметил)фенил]метил}пиразол-4-ил)-1,3-дипропил-1,3,7-тригидропурин-2,6-дион; 8-{1-[(3-фенилизоксазол-5-ил)метил]пиразол-4-ил}-1,3-дипропил-1,3,7-тригидропурин-2,6-дион; 1,3-дипропил-8-[1-(2-пиридилметил)пиразол-4-ил]-1,3,7-тригидропурин-2,6-дион; 1,3-дипропил-8-[1-({2-[4-(трифторметил)фенил](1,3-оксазол-4-ил)}метил)пиразол-4-ил]-1,3,7-тригидропурин-2,6-дион; 8-(1-{[5-(2,4-дифторфенил)изоксазол-3-ил]метил}пиразол-4-ил)-1,3-дипропил-1,3,7-тригидропурин-2,6-дион; 1,3-дипропил-8-{1-[(2,4,6-трифторфенил)метил]пиразол-4-ил}-1,3,7-тригидропурин-2,6-дион; 8-{1-[(3-хлор-2-фторфенил)метил]пиразол-4-ил}-1,3-дипропил-1,3,7-тригидропурин-2,6-дион; 8-{1-[(2-фтор-3-метилфенил)метил]пиразол-4-ил}-1,3-дипропил-1,3,7-тригидропурин-2,6-дион; 8-(1-{[2-хлор-5-(трифторметил)фенил]метил}пиразол-4-ил)-1,3-дипропил-1,3,7-тригидропурин-2,6-дион; 1,3-дипропил-8-[1-({5-[3-(трифторметил)фенил](1,2,4-оксадиазол-3-ил)}метил)пиразол-4-ил]-1,3,7-тригидропурин-2,6-дион; 1,3-дипропил-8-[1-(4-пиридилметил)пиразол-4-ил]-1,3,7-тригидропурин-2,6-дион; 1,3-дипропил-8-[1-(3-пиридилметил)пиразол-4-ил]-1,3,7-тригидропурин-2,6-дион; 8-[1-((1R)инданил)пиразол-4-ил]-1,3-дипропил-1,3,7-тригидропурин-2,6-дион; 8-[1-((1S)инданил)пиразол-4-ил]-1,3-дипропил-1,3,7-тригидропурин-2,6-дион; метил 3-{[4-(2,6-диоксо-1,3-дипропил-1,3,7-тригидропурин-8-ил)пиразолил]метил}бензоат; 3-{[4-(2,6-диоксо-1,3-дипропил-1,3,7-тригидропурин-8-ил)пиразолил]метил}бензойная кислота; 1,3-дипропил-8-(1-{[6-(трифторметил)(3-пиридил)]метил}пиразол-4-ил)-1,3,7-тригидропурин-2,6-дион; 8-{1-[(6-хлор(3-пиридил))метил]пиразол-4-ил}-1,3-дипропил-1,3,7-тригидропурин-2,6-дион; 1,3-дипропил-8-{1-[(3-(1Н-1,2,3,4-тетразол-5-ил)фенил)метил]пиразол-4-ил}-1,3,7-тригидропурин-2,6-дион; 4-{[4-(2,6-диоксо-1,3-дипропил-1,3,7-тригидропурин-8-ил)-пиразолил]метил}бензол-карбонитрил; 8-{1-[(4-метокси-3,5-диметил(2-пиридил))метил]пиразол-4-ил}-1,3-дипропил-1,3,7-тригидропурин-2,6-дион; 8-{1-[(3,4-диметокси(2-пиридил))метил]пиразол-4-ил}-1,3-дипропил-1,3,7-тригидропурин-2,6-дион; 8-{1-[(5-хлор(2-тиенил))метил]пиразол-4-ил}-1,3-дипропил-1,3,7-тригидропурин-2,6-дион; и 6-{[4-(2,6-диоксо-1,3-дипропил-1,3,7-тригидропурин-8-ил)-пиразолил]метил}пиридин-2-карбоновая кислота. С. Получение соединения формулы I, в котором R1 и R2 такие же, изменяя Х, Y и Z Сходным образом, следуя способу 9А и/или 9В выше, получены другие соединения формулы I: Пример 10 Получение соединения формулы I А. Получение соединения формулы I, в котором R1 и R2 представляют собой н-пропил, Х представляет собой 1,4-пиразолен, R3 представляет собой 2-гидроксиэтил, Y представляет собой метилен и Z представляет собой фенил К раствору 8-(1-бензилпиразол-4-ил)-1,3-дипропил-1,3,7-тригидропурин-2,6-диона (0,51 ммоль) в N,N-диметилформамиде (2 мл) добавляли карбонат калия (5,1 ммоль) и 2-бромэтанол (5,1 ммоль). Суспензию нагревали до 70°С в течение ночи, растворитель удаляли при пониженном давлении и остаток очищали препаративной ТСХ с получением чистого 7-(2-гидроксиэтил)-8-(1-бензилпиразол-4-ил)-1,3-дипропил-1,3,7-тригидропурин-2,6-диона. В. Получение соединения формулы I, в котором R1 и R2 представляют собой н-пропил, изменяя Х, Y и Z Сходным образом, следуя способу 10А выше, но заменяя 2-бромэтанол другими соединениями формулы R3LG, были получены следующие соединения формулы I: 7-аллил-8-(1-бензилпиразол-4-ил)-1,3-дипропил-1,3,7-тригидропурин-2,6-дион; 7-(метилэтил)-8-{4-[5-(2-метоксифенил)-[1,2,4]оксадиазол-3-илметокси]фенил}-1,3-дипропил-1,3,7-тригидропурин-2,6-дион; 7-(2-метоксиэтил)-8-{4-[5-(2-метоксифенил)-[1,2,4]оксадиазол-3-илметокси]фенил}-1,3-дипропил-1,3,7-тригидропурин-2,6-дион; 7-метил-8-{4-[5-(2-метоксифенил)-[1,2,4]оксадиазол-3-илметокси]фенил}-1,3-дипропил-1,3,7-тригидропурин-2,6-дион; и 7-(проп-2-енил)-8-{4-[5-(2-метоксифенил)-[1,2,4]оксадиазол-3-илметокси]фенил}-1,3-дипропил-1,3,7-тригидропурин-2,6-дион. С. Получение соединения формулы I, в котором R1 и R2 представляют собой н-пропил, изменяя Х, Y и Z Сходным образом, следуя способу 10А выше, но заменяя 2-бромэтанол другими соединениями формулы R3LG получены следующие соединения формулы I: Пример 11 Получение соединения формулы (22) А. Получение соединения формулы HO-C(O)-XYZ, в котором Х представляет собой фенил, Y представляет собой -O-CH2– и Z представляет собой 5-(2-метоксифенил)-[1,2,4]оксадиазол-3-ил а) Раствор метил 4-гидроксибензоата (3,04 г, 20 ммоль) и 3-хлорметил-5-(2-метоксифенил)-[1,2,4]оксадиазола (4,48 г, 20 ммоль) в ацетоне (200 мл) кипятили с обратным холодильником в течение ночи. Смесь фильтровали, растворитель удаляли из фильтрата и остаток растворяли в этилацетате. Для осаждения продукта метил 4-{2-[5-(2-метоксифенил)-1,2,4-оксадиазол-3-ил]метокси}бензоата, к этому раствору добавляли метанол. b) Раствор метил 4-{2-[5-(2-метоксифенил)-1,2,4-оксадиазол-3-ил]метокси}бензоата (5,0 г) и гидроксида калия (10 г) в метаноле (200 мл) кипятили с обратным холодильником в течение 4,5 часов. Растворитель удаляли при пониженном давлении и остаток разделяли между хлористым метиленом и водой. Водный слой подкисляли 6 н. соляной кислотой до рН 3 и осадок экстрагировали этилацетатом. Растворитель удаляли при пониженном давлением с получением 4-{2-[5-(2-метоксифенил)-1,2,4-оксадиазол-3-ил]метокси}бензойной кислоты. В. Получение соединения формулы HO-C(O)-XYZ, изменяя Х, Y и Z Сходным образом, следуя способу 11А выше, но заменяя 3-хлорметил-5-(2-метоксифенил)-[1,2,4]оксадиазол другими 3-хлорметил-5-замещенными-[1,2,4]оксадиазолами, были получены следующие соединения формулы HO-C(O)-XYZ I: 4-{2-[5-(3-фторфенил)-1,2,4-оксадиазол-3-ил]метокси}бензойная кислота; 4-{2-[5-циклопентил-1,2,4-оксадиазол-3-ил]метокси}бензойная кислота; и 4-{2-[5-циклогексил-1,2,4-оксадиазол-3-ил]метокси}бензойная кислота. С. Получение соединения формулы HO-C(O)-XYZ, изменяя Х, Y и Z Сходным образом, следуя способу 11А выше, но заменяя 3-хлорметил-5-(2-метоксифенил)-[1,2,4]оксадиазол другими 3-хлорметил-5-замещенными-[1,2,4]оксадиазолами, получены другие соединения формулы HO-C(O)-XYZ I: Пример 12 Получение соединения формулы I А. Получение соединения формулы I, в котором R1 и R2 представляют собой н-пропил, R3 представляет собой водород, Х представляет собой 1,4-фенилен, Y представляет собой -O(CH2)- и Z представляет собой 5-(2-метоксифенил)-[1,2,4]оксадиазол-3-ил Смесь 4-{2-[5-(2-метоксифенил)-1,2,4-оксадиазол-3-ил]-метокси}бензойной кислоты (3,0 г), 5,6-диамино-1,3-дипропил-1,3-дигидропиримидин-2,4-диона (3,2 г) и 1-[3-(диметиламино)пропил]-3-этилкарбодиимид гидрохлодрида (3,0 г) в N,N-диметилформамиде (50 мл) перемешивали в течение ночи при комнатной температуре. Растворитель удаляли при пониженном давлении и остаток сушили под вакуумом в течение 1 часа. К нему добавляли 150 мл 2 н. гидроксида натрия и смесь нагревали до 120°С в течение 2 часов. Смесь охлаждали до 0°С и подкисляли 6 н. соляной кислотой до рН 2-3. Смесь разделяли между водой и этилацетатом и этилацетатный слой отделяли с некоторым количеством твердого продукта. Эту смесь промывали водой, растворитель удаляли из органического слоя до объема примерно 20 мл. Полученное таким образом твердое вещество отфильтровывали, промывали этилацетатом и один раз смесью этилацетат/метанол (1:1). Твердое вещество сушили под вакуумом с получением 8-{4-[5-(2-метоксифенил)-[1,2,4]-оксадиазол-3-илметокси]фенил}-1,3-дипропил-1,3,7-тригидропурин-2,6-диона, соединения формулы I. В. Получение соединения формулы I, в котором R1 и R2 представляют собой н-пропил, изменяя X, Y и Z. Сходным образом, следуя способу 12А выше, но не обязательно заменяя 4-{2-[5-(2-метоксифенил)-1,2,4-оксадиазол-3-ил]-метокси}бензойную кислоту другими соединениями формулы (22) и необязательно заменяя 5,6-диамино-1,3-дипропил-1,3-дигидропиримидин-2,4-дион другими сходными соединениями, были получены следующие соединения формулы I: 8-{4-[(3,5-диметилизоксазол-4-ил)метокси]фенил}-1,3-дипропил-1,3,7-тригидропурин-2,6-дион; 8-{4-[(2-феноксиэтокси)фенил-[1,2,4]-оксадиазол-3-илметокси]фенил}-1,3-дипропил-1,3,7-тригидропурин-2,6-дион; 8-{4-[5-(4-фторфенил)-[1,2,4]-оксадиазол-3-илметокси]фенил}-1,3-дипропил-1,3,7-тригидропурин-2,6-дион; 8-{4-[5-(3-циклогексил)-[1,2,4]-оксадиазол-3-илметокси]фенил}-1,3-дипропил-1,3,7-тригидропурин-2,6-дион; 8-{4-[5-(3-циклопентил)-[1,2,4]-оксадиазол-3-илметокси]фенил}-1,3-дипропил-1,3,7-тригидропурин-2,6-дион; 8-{4-[3-(3-хлорфенил)-[1,2,4]-оксадиазол-5-илметокси]фенил}-1,3-дипропил-1,3,7-тригидропурин-2,6-дион; 8-{4-[3-(4-бифенил)-[1,2,4]-оксадиазол-5-илметокси]фенил}-1,3-дипропил-1,3,7-тригидропурин-2,6-дион; 8-{4-[3-(4-изопропилфенил)-[1,2,4]-оксадиазол-5-илметокси]фенил}-1,3-дипропил-1,3,7-тригидропурин-2,6-дион; 8-{4-[3-(4-трет-бутилфенил)-[1,2,4]-оксадиазол-5-илметокси]фенил}-1,3-дипропил-1,3,7-тригидропурин-2,6-дион; 8-{4-[5-(4-йодпиразол-1-ил)этокси]-фенил}-1,3-дипропил-1,3,7-тригидропурин-2,6-дион; 8-{4-[5-(4-хлорфенил)-[1,2,4]-оксадиазол-3-илметокси]-фенил}-1,3-дипропил-1,3,7-тригидропурин-2,6-дион; 8-{4-[3-(4-метилфенил)-[1,2,4]-оксадиазол-5-илметокси]-фенил}-1,3-дипропил-1,3,7-тригидропурин-2,6-дион; и 8-{4-[3,5-диметил-[1,2,4]-оксадиазол-5-илметокси]-фенил}-1,3-дипропил-1,3,7-тригидропурин-2,6-дион. С. Получение соединения формулы I, в котором R1 и R2 представляют собой н-пропил, изменяя X, Y и Z Сходным образом, следуя способу 12А выше, но не обязательно заменяя 4-{2-[5-(2-метоксифенил)-1,2,4-оксадиазол-3-ил]метокси}бензойную кислоту другими соединениями формулы (22) и необязательно заменяя 5,6-диамино-1,3-дипропил-1,3-дигидропиримидин-2,4-дион другими сходными соединениями, получены другие соединения формулы I. Пример 13 Получение соединения формулы I А. Получение соединения формулы I, в котором R1 и R2 представляют собой н-пропил, R3 представляет собой водород, Х представляет собой 1,4-фенилен, Y представляет собой -O(CH2)- и Z представляет собой 5-(2-метоксифенил)-[1,2,4]оксадиазол-3-ил а) К раствору 8-[4-(фенилметокси)фенил]-1,3-дипропил-1,3,7-тригидропурин-2,6-диона (3,8 г, 9,08 ммоль) в безводном диметилформамиде (100 мл) добавляли карбонат калия (6,27 г, 45,4 ммоль), с последующим добавлением 2-(триметилсилил)этоксиметил хлорида (3,21 мл, 18 ммоль) и смесь перемешивали при 70°С в течение 72 часов. Растворитель удаляли при пониженном давлении и остаток очищали флэш-колоночной хроматографией, при элюировании смесью 30% EtOAc/гексаны с получением 3,7 г 7-[(2-(триметилсилил)этоксиметил]-8-[4-(фенилметокси)фенил]-1,3-дипропил-1,3,7-тригидропурин-2,6-диона. b) 7-[(2-триметилсилил)этоксиметил]-8-[4-(фенилметокси)фенил]-1,3-дипропил-1,3,7-тригидропурин-2,6-дион (1,74 г, 3,17 ммоль) растворяли в метаноле (100 мл) и к раствору добавляли катализатор Перлманна (Pearlmann) (1,0 г). Полученную суспензию перемешивали при комнатной температуре при повышенном давлении водорода в течение 16 часов. Суспензию фильтровали через целит, несколько раз промывали смесью 50:50 хлористый метилен:метанол и фильтрат испаряли с получением 7-[(2-триметилсилил)этоксиметил]-8-[4-гидроксифенил]-1,3-дипропил-1,3,7-тригидропурин-2,6-диона (1,2 г) в виде белого твердого вещества. с) 7-[(2-триметилсилил)этоксиметил]-8-[4-гидроксифенил]-1,3-дипропил-1,3,7-тригидропурин-2,6-дион (50 мг, 0,1 ммоль) растворяли в ацетоне (2,5 мл), к которому добавляли карбонат калия (0,5 г) с последующим добавлением 5-хлорметил-3-[(4-хлор)фенил]оксадиазола (25 мг, 0,1 ммоль) и смесь перемешивали при 60°С в течение 16 часов. Растворитель удаляли при пониженном давлении и испаряли и остаток подвергали препаративной тонкослойной хроматографии при элюировании смесью 30% EtOAc/гексаны с получением 7-(2-(триметилсилил)этоксиметил-8-(4-{[3-(4-хлорфенил)(1,2,4-оксадиазол-5-ил)]метокси}фенил)-1,3-дипропил-1,3,7-тригидропурин-2,6-диона (50 мг). d) 7-(2-(триметилсилил)этоксиметил-8-(4-{[3-(4-хлорфенил)(1,2,4-оксадиазол-5-ил)]метокси}фенил)-1,3-дипропил-1,3,7-тригидропурин-2,6-дион растворяли в этаноле (2 мл), к которому добавляли 1 М HCl (0,5 мл). Смесь кипятили с обратным холодильником в течение 2 часов. Полученный белый твердый остаток собирали испарением растворителя при пониженном давлении и промыванием остатка этанолом (3Ч2 мл) с получением чистого 8-(4-{[3-(4-хлорфенил)(1,2,4-оксадиазол-5-ил)]метокси}фенил)-1,3-дипропил-1,3,7-тригидропурин-2,6-диона. В. Получение соединения формулы I, в котором R1 и R2 представляют собой н-пропил, изменяя X, Y и Z Сходным образом, следуя способу 13А выше, но заменяя 5-хлорметил-3-[(4-хлор)фенил]оксадиазол сходными соединениями, были получены следующие соединения формулы I: 8-(4-{[5-(4-хлорфенил)(1,2,4-оксадиазол-3-ил)]метокси}фенил)-1,3-дипропил-1,3,7-тригидропурин-2,6-дион; 8-(4-{[3-(4-метилфенил)(1,2,4-оксадиазол-5-ил)]метокси}фенил)-1,3-дипропил-1,3,7-тригидропурин-2,6-дион; 8-{4-[2-(4-иодопиразолил)этокси]фенил}-1,3-дипропил-1,3,7-тригидропурин-2,6-дион; 8-{4-[2-(4-метилпиразолил)этокси]фенил}-1,3-дипропил-1,3,7-тригидропурин-2,6-дион; 8-{4-[(5-метилизоксазол-3-ил)метокси]фенил}-1,3-дипропил-1,3,7-тригидропурин-2,6-дион; 8-(1-{[5-(2-метоксифенил)(1,2,4-оксадиазол-3-ил)]метил}пиразол-4-ил)-1,3-дипропил-1,3,7-тригидропурин-2,6-дион; N-(2,6-диметилфенил)-2-[4-(2,6-диоксо-1,3-дипропил(1,3,7-тригидропурин-8-ил))пиразолил]ацетамид; 8-(1-{[3-(4-метилфенил)(1,2,4-оксадиазол-5-ил)]метил}пиразол-4-ил)-1,3-дипропил-1,3,7-тригидропурин-2,6-дион; 8-{1-[2-(1,3-диоксоизоиндолин-2-ил)этил]пиразол-4-ил}-1,3-дипропил-1,3,7-тригидропурин-2,6-дион; 2-[4-(2,6-диоксо-1,3-дипропил(1,3,7-тригидропурин-8-ил))пиразолил]-N-(2-хлорфенил)ацетамид; 2-[4-(2,6-диоксо-1,3-дипропил(1,3,7-тригидропурин-8-ил))пиразолил]-N-фенилацетамид; 1,3-дипропил-8-пиразол-4-ил-1,3,7-тригидропурин-2,6-дион; метил 4-(3-{[4-(2,6-диоксо-1,3-дипропил-1,3,7-тригидропурин-8-ил)фенокси]метил}-1,2,4-оксадиазол-5-ил)бензоат; 1,3-дипропил-8-[4-({5-[2-(трифторметокси)фенил](1,2,4-оксадиазол-3-ил)}метокси)фенил]-1,3,7-тригидропурин-2,6-дион; 8-(4-{[5-(2-бромфенил)(1,2,4-оксадиазол-3-ил)]метокси}фенил)-1,3-дипропил-1,3,7-тригидропурин-2,6-дион; 8-(4-{[5-(2,4-диметоксифенил)(1,2,4-оксадиазол-3-ил)]метокси}фенил)-1,3-дипропил-1,3,7-тригидропурин-2,6-дион; 8-{4-[(5-метилизоксазол-3-ил)метокси]фенил}-1,3-дипропил-1,3,7-тригидропурин-2,6-дион; 8-{1-[(2-метилфенил)метил]пиразол-4-ил}-1,3-дипропил-1,3,7-тригидропурин-2,6-дион; 8-{1-[(3-метилфенил)метил]пиразол-4-ил}-1,3-дипропил-1,3,7-тригидропурин-2,6-дион; 1,3-дипропил-8-(1-{[2-(трифторметил)фенил]метил}пиразол-4-ил)-1,3,7-тригидропурин-2,6-дион; 8-{1-[(4-метилфенил)метил]пиразол-4-ил}-1,3-дипропил-1,3,7-тригидропурин-2,6-дион; 8-{1-[(2-метоксифенил)метил]пиразол-4-ил}-1,3-дипропил-1,3,7-тригидропурин-2,6-дион; 8-{1-[(2-фторфенил)метил]пиразол-4-ил}-1,3-дипропил-1,3,7-тригидропурин-2,6-дион; 8-{1-[(3-метоксифенил)метил]пиразол-4-ил}-1,3-дипропил-1,3,7-тригидропурин-2,6-дион; 8-{1-[(3-фторфенил)метил]пиразол-4-ил}-1,3-дипропил-1,3,7-тригидропурин-2,6-дион; 8-{1-[(3-хлорфенил)метил]пиразол-4-ил}-1,3-дипропил-1,3,7-тригидропурин-2,6-дион; 1,3-дипропил-8-(1-{[3-(трифторметил)фенил]метил}пиразол-4-ил)-1,3,7-тригидропурин-2,6-дион; 8-{1-[(2-хлорфенил)метил]пиразол-4-ил}-1,3-дипропил-1,3,7-тригидропурин-2,6-дион; 1,3-дипропил-8-(1-{[4-(трифторметил)фенил]метил}пиразол-4-ил)-1,3,7-тригидропурин-2,6-дион; 8-{1-[(4-хлорфенил)метил]пиразол-4-ил}-1,3-дипропил-1,3,7-тригидропурин-2,6-дион; 8-{1-[(4-фторфенил)метил]пиразол-4-ил}-1,3-дипропил-1,3,7-тригидропурин-2,6-дион; и 8-{1-[(4-фторфенил)метил]пиразол-4-ил}-1,3-дипропил-1,3,7-тригидропурин-2,6-дион. С. Получение соединения формулы I, в котором R1 и R2 представляют собой н-пропил, изменяя X, Y и Z Сходным образом, следуя способу 13А выше, но заменяя 5-хлорметил-3-[(4-хлор)фенил]оксадиазол сходными соединениями, получены другие следующие соединения формулы I: Пример 14 Получение соединения формулы (23) А. Получение соединения формулы (23), в котором R1 представляет собой н-бутил Смесь 6-аминоурацила (5 г, 10 ммоль), гексаметилдисилазана (40 мл) и сульфата аммония (260 мг, 1,97 ммоль) кипятили с обратным холодильником в течение 4 часов. Избыток HMDS удаляли при пониженном давлении с получением триметилсилилированного производного 6-аминоурацила. Продукт объединяли с 1-йодобутаном (10 мл) и нагревали на масляной бане при 130°С в течение 3 дней. Реакционную смесь затем охлаждали до 0°С и добавляли насыщенный раствор бикарбоната натрия. Полученный осадок отфильтровывали, промывали водой с получением 6-амино-3-бутил-1,3-дигидропиримидин-2,4-диона, соединения формулы (23), который использовали в следующей реакции без дополнительной очистки. В. Получение других соединений формулы (23) Сходным образом, следуя способу 14А выше, но заменяя 1-йодобутан другими галогенидами формулы R1Hal, были получены следующие соединения формулы (23): 6-амино-3-этил-1,3-дигидропиримидин-2,4-дион; 6-амино-3-н-пропил-1,3-дигидропиримидин-2,4-дион; 6-амино-3-циклопропилметил-1,3-дигидропиримидин-2,4-дион; 6-амино-3-(2-метилпропил)-1,3-дигидропиримидин-2,4-дион; 6-амино-3-бензил-1,3-дигидропиримидин-2,4-дион; и 6-амино-3-этинил-1,3-дигидропиримидин-2,4-дион. С. Получение других соединений формулы (23) Сходным образом, следуя способу 14А выше, но заменяя 1-йодбутан другими галогенидами формулы R1Hal, получены следующие соединения формулы (23): 6-амино-3-метил-1,3-дигидропиримидин-2,4-дион; 6-амино-3-изопропил-1,3-дигидропиримидин-2,4-дион; 6-амино-3-н-пентил-1,3-дигидропиримидин-2,4-дион; 6-амино-3-пропилпентил-1,3-дигидропиримидин-2,4-дион; 6-амино-3-(2-фенилэтил)-1,3-дигидропиримидин-2,4-дион; 6-амино-3-(2-метоксиэтил)-1,3-дигидропиримидин-2,4-дион; 6-амино-3-(3-гидроксипропил)-1,3-дигидропиримидин-2,4-дион; 6-амино-3-(4-фторбутил)-1,3-дигидропиримидин-2,4-дион; 6-амино-3-(2-этилкарбоксиэтил)-1,3-дигидропиримидин-2,4-дион; 6-амино-3-этенил-1,3-дигидропиримидин-2,4-дион; 6-амино-3-циклопентил-1,3-дигидропиримидин-2,4-дион; 6-амино-3-(3-гидроксициклопентил)-1,3-дигидропиримидин-2,4-дион; 6-амино-3-циклогексил-1,3-дигидропиримидин-2,4-дион; 6-амино-3-циклопропилметил-1,3-дигидропиримидин-2,4-дион; 6-амино-3-фенил-1,3-дигидропиримидин-2,4-дион; 6-амино-3-(пирид-3-ил)-1,3-дигидропиримидин-2,4-дион; 6-амино-3-(пирид-3-илметил)-1,3-дигидропиримидин-2,4-дион; 6-амино-3-(тетрагидрофуран-3-ил)-1,3-дигидропиримидин-2,4-дион; и 6-амино-3-(пиперидин-4-ил)-1,3-дигидропиримидин-2,4-дион. D. Получение других соединений формулы (23) Сходным образом, следуя способу 14А выше, но заменяя 1-йодбутан другими галогенидами формулы R1Hal, получены другие соединения формулы (23). Пример 15 Получение соединения формулы (24) А. Получение соединения формулы (24), в котором R1 представляет собой н-бутил Смесь 6-амино-3-бутил-1,3-дигидропиримидин-2,4-диона (4,0 г, 21,8 ммоль) и водной уксусной кислоты (120 мл) нагревали до 70°С до полного растворения и раствор охлаждали до 30°С. Нитрит натрия (3 г) добавляли небольшими порциями при перемешивании с образованием оранжевого осадка. Реакционную смесь охлаждали до 0°С и осадок отфильтровывали, промывали водой и сушили при пониженном давлении с получением 5-нитрозо-6-амино-3-бутил-1,3-дигидропиримидин-2,4-диона, который использовали в следующей реакции без дополнительной очистки. В. Получение других соединений формулы (24) Сходным образом, следуя способу 15А выше, но заменяя 6-амино-3-бутил-1,3-дигидропиримидин-2,4-дион другими соединениями формулы (23), были получены следующие соединения формулы (24): 5-нитрозо-6-амино-3-этил-1,3-дигидропиримидин-2,4-дион; 5-нитрозо-6-амино-3-н-пропил-1,3-дигидропиримидин-2,4-дион; 5-нитрозо-6-амино-3-циклопропилметил-1,3-дигидропиримидин-2,4-дион; 5-нитрозо-6-амино-3-(2-метилпропил)-1,3-дигидропиримидин-2,4-дион; 5-нитрозо-6-амино-3-бензил-1,3-дигидропиримидин-2,4-дион; и 5-нитрозо-6-амино-3-этинил-1,3-дигидропиримидин-2,4-дион. С. Получение других соединений формулы (24) Сходным образом, следуя способу 15А выше, но заменяя 6-амино-3-бутил-1,3-дигидропиримидин-2,4-дион другими галогенидами формулы (23), получены другие соединения формулы (24). 5-нитрозо-6-амино-3-метил-1,3-дигидропиримидин-2,4-дион; 5-нитрозо-6-амино-3-изопропил-1,3-дигидропиримидин-2,4-дион; 5-нитрозо-6-амино-3-н-пентил-1,3-дигидропиримидин-2,4-дион; 5-нитрозо-6-амино-3-пропилпентил-1,3-дигидропиримидин-2,4-дион; 5-нитрозо-6-амино-3-(2-фенилэтил)-1,3-дигидропиримидин-2,4-дион; 5-нитрозо-6-амино-3-(2-метоксиэтил)-1,3-дигидропиримидин-2,4-дион; 5-нитрозо-6-амино-3-(3-гидроксипропил)-1,3-дигидропиримидин-2,4-дион; 5-нитрозо-6-амино-3-(4-фторбутил)-1,3-дигидропиримидин-2,4-дион; 5-нитрозо-6-амино-3-(2-этилкарбоксиэтил)-1,3-дигидропиримидин-2,4-дион; 5-нитрозо-6-амино-3-этенил-1,3-дигидропиримидин-2,4-дион; 5-нитрозо-6-амино-3-циклопентил-1,3-дигидропиримидин-2,4-дион; 5-нитрозо-6-амино-3-(3-гидроксициклопентил)-1,3-дигидропиримидин-2,4-дион; 5-нитрозо-6-амино-3-циклогексил-1,3-дигидропиримидин-2,4-дион; 5-нитрозо-6-амино-3-циклопропилметил-1,3-дигидропиримидин-2,4-дион; 5-нитрозо-6-амино-3-фенил-1,3-дигидропиримидин-2,4-дион; 5-нитрозо-6-амино-3-(пирид-3-ил)-1,3-дигидропиримидин-2,4-дион; 5-нитрозо-6-амино-3-(пирид-3-илметил)-1,3-дигидропиримидин-2,4-дион; 5-нитрозо-6-амино-3-(тетрагидрофуран-3-ил)-1,3-дигидропиримидин-2,4-дион; и 5-нитрозо-6-амино-3-(пиперидин-4-ил)-1,3-дигидропиримидин-2,4-дион. D. Получение других соединений формулы (24) Сходным образом, следуя способу 15А выше, но заменяя 6-амино-3-бутил-1,3-дигидропиримидин-2,4-дион другими галогенидами формулы (23), получены другие соединения формулы (24). Пример 16 Получение соединения формулы (25) А. Получение соединения формулы (25), в котором R1 представляют собой н-бутил Смесь 5-нитрозо-6-амино-3-бутил-1,3-дигидропиримидин-2,4-диона (2,1 г, 10 ммоль) и водного раствора аммиака (50 мл) нагревали до 70°С до полного растворения. Затем добавляли гидросульфат натрия (7 г) небольшими порциями, пока раствор не становился прозрачным и бесцветным. Реакционную смесь испаряли при пониженном давлении до появления кристаллов и затем охлаждали до 0°С. Осадок отфильтровывали, промывали холодной водой и получали 5,6-диамино-3-бутил-1,3-дигидропиримидин-2,4-дион, соединение формулы (25), который использовали в следующей реакции без дополнительной очистки. В. Получение других соединений формулы (25) Сходным образом, следуя способу 16А выше, но заменяя 5-нитрозо-6-амино-3-бутил-1,3-дигидропиримидин-2,4-дион другими соединениями формулы (24), были получены следующие соединения формулы (25): 5,6-диамино-3-этил-1,3-дигидропиримидин-2,4-дион; 5,6-диамино-3-н-пропил-1,3-дигидропиримидин-2,4-дион; 5,6-диамино-3-циклопропилметил-1,3-дигидропиримидин-2,4-дион; 5,6-диамино-3-(2-метилпропил)-1,3-дигидропиримидин-2,4-дион; 5,6-диамино-3-бензил-1,3-дигидропиримидин-2,4-дион; и 5,6-диамино-3-этинил-1,3-дигидропиримидин-2,4-дион. С. Получение других соединений формулы (25) Сходным образом, следуя способу 16А выше, но заменяя 5-нитрозо-6-амино-3-бутил-1,3-дигидропиримидин-2,4-дион другими соединениями формулы (24), получены следующие соединения формулы (24): 5,6-диамино-3-метил-1,3-дигидропиримидин-2,4-дион; 5,6-диамино-3-изопропил-1,3-дигидропиримидин-2,4-дион; 5,6-диамино-3-н-пентил-1,3-дигидропиримидин-2,4-дион; 5,6-диамино-3-пропилпентил-1,3-дигидропиримидин-2,4-дион; 5,6-диамино-3-(2-фенилэтил)-1,3-дигидропиримидин-2,4-дион; 5,6-диамино-3-(2-метоксиэтил)-1,3-дигидропиримидин-2,4-дион; 5,6-диамино-3-(3-гидроксипропил)-1,3-дигидропиримидин-2,4-дион; 5,6-диамино-3-(4-фторбутил)-1,3-дигидропиримидин-2,4-дион; 5,6-диамино-3-(2-этилкарбоксиэтил)-1,3-дигидропиримидин-2,4-дион; 5,6-диамино-3-этенил-1,3-дигидропиримидин-2,4-дион; 5,6-диамино-3-циклопентил-1,3-дигидропиримидин-2,4-дион; 5,6-диамино-3-(3-гидроксициклопентил)-1,3-дигидропиримидин-2,4-дион; 5,6-диамино-3-циклогексил-1,3-дигидропиримидин-2,4-дион; 5,6-диамино-3-циклопропилметил-1,3-дигидропиримидин-2,4-дион; 5,6-диамино-3-фенил-1,3-дигидропиримидин-2,4-дион; 5,6-диамино-3-(пирид-3-ил)-1,3-дигидропиримидин-2,4-дион; 5,6-диамино-3-(пирид-3-илметил)-1,3-дигидропиримидин-2,4-дион; 5,6-диамино-3-(тетрагидрофуран-3-ил)-1,3-дигидропиримидин-2,4-дион; и 5,6-нитрозо-6-амино-3-(пиперидин-4-ил)-1,3-дигидропиримидин-2,4-дион. D. Получение других соединений формулы (25) Сходным образом, следуя способу 16А выше, но заменяя 5-нитрозо-6-амино-3-бутил-1,3-дигидропиримидин-2,4-дион другими соединениями формулы (24), получены другие соединения формулы (24), например: 8-[1-(1-окси-пиридин-3-илметил)-1Н-пиразол-4-ил]-1,3-дипропил-3,7-дигидро-пурин-2,6-дион. Пример 17 Получение соединения формулы I А. Получение соединения формулы I, в котором R1 представляет собой н-бутил, R2 представляет собой водород, R3 представляет собой водород, Х представляет собой 1,4-пиразолен, Y представляет собой метилен и Z представляет собой фенил К смеси 5,6-диамино-3-бутил-1,3-дигидропиримидин-2,4-диона (1,2 г, 6 ммоль) и 1-бензилпиразол-4-карбоновой кислоты (1,2 г, 6 ммоль) в метаноле (30 мл) добавляли 1-(3-диметиламинопропил)-3-этилкарбодиимид гидрохлорид (1,16 г, 6 ммоль). Выпадало ярко-желтое твердое вещество. Смесь перемешивали при комнатной температуре в течение ночи и твердое вещество отфильтровывали, промывали метанолом и сушили при пониженном давлении. Продукт объединяли с гексаметилдисилазаном (50 мл) и сульфатом аммония (18 мг) и нагревали при 130°C в течение 48 часов. Растворитель затем удаляли при пониженном давлении и остаток растирали со смесью метанол/вода (1:1) с получением 1-бутил-8-[1-бензилпиразол-4-ил]-1,3,7-тригидропурин-2,6-диона, соединения формулы I. В. Получение других соединений формулы I Сходным образом, следуя способу 17А выше, но заменяя 5,6-диамино-3-бутил-1,3-дигидропиримидин-2,4-дион другими соединениями формулы (25), были получены следующие соединения формулы I: 1-бутил-8-[1-бензилпиразол-4-ил]-1,3,7-тригидропурин-2,6-дион; 1-бутил-8-(пиразол-4-ил)-1,3,7-тригидропурин-2,6-дион; 1-пропил-8-[1-бензилпиразол-4-ил]-1,3,7-тригидропурин-2,6-дион; 1-бутил-8-(1-{[3-(трифторметил)фенил]метил}пиразол-4-ил)-1,3,7-тригидропурин-2,6-дион; 1-бутил-8-(1-{[3-фторфенил]метил}пиразол-4-ил)-1,3,7-тригидропурин-2,6-дион; 1-бутил-8-[1-(фенилэтил)пиразол-4-ил]-1,3,7-тригидропурин-2,6-дион; 1-(2-метилпропил)-8-[1-бензилпиразол-4-ил]-1,3,7-тригидропурин-2,6-дион; 1-пропил-8-(1-{[3-фторфенил]метил}пиразол-4-ил)-1,3,7-тригидропурин-2,6-дион; 1-пропил-8-(1-{[3-(трифторметил)фенил]метил}пиразол-4-ил)-1,3,7-тригидропурин-2,6-дион; 1-пропил-8-[1-(фенилэтил)пиразол-4-ил]-1,3,7-тригидропурин-2,6-дион; 8-(1-{[5-(4-хлорфенил)(1,2,4-оксадиазол-3-ил)]метил}пиразол-4-ил)-1-пропил-1,3,7-тригидропурин-2,6-дион; 1-пропил-8-(пиразол-4-ил)-1,3,7-тригидропурин-2,6-дион; 1-этил-8-[1-бензилпиразол-4-ил]-1,3,7-тригидропурин-2,6-дион; 8-(1-{[5-(4-хлорфенил)(1,2,4-оксадиазол-3-ил)]метил}пиразол-4-ил)-1-бутил-1,3,7-тригидропурин-2,6-дион; 1-этил-8-(пиразол-4-ил)-1,3,7-тригидропурин-2,6-дион; 1-циклопропилметил-8-[1-бензилпиразол-4-ил]-1,3,7-тригидропурин-2,6-дион; 1-(2-метилпропил)-8-(пиразол-4-ил)-1,3,7-тригидропурин-2,6-дион; 1-этинил-8-пиразол-4-ил-1,3,7-тригидропурин-2,6-дион; 1-этинил-8-[1-бензилпиразол-4-ил]-1,3,7-тригидропурин-2,6-дион); 1-бензил-8-(пиразол-4-ил)-1,3,7-тригидропурин-2,6-дион; 1-бензил-8-[1-бензилпиразол-4-ил]-1,3,7-тригидропурин-2,6-дион; 1-(2-метилпропил)-8-(1-{[3-фторфенил]метил}пиразол-4-ил)-1,3,7-тригидропурин-2,6-дион; 1-(2-метилпропил)-8-(1-{[3-трифторметилфенил]метил}пиразол-4-ил)-1,3,7-тригидропурин-2,6-дион; 8-[1-бензилпиразол-4-ил]-1,3,7-тригидропурин-2,6-дион; 1-этил-8-{1-[(3-фторфенил)метил]пиразол-4-ил}-1,3,7-тригидропурин-2,6-дион; 1-этил-8-(1-{[3-(трифторметил)фенил]метил}пиразол-4-ил)-1,3,7-тригидропурин-2,6-дион; 1-(2-метилпропил)-8-{1-[(5-фенилизоксазол-3-ил)метил]пиразол-4-ил}-1,3,7-тригидропурин-2,6-дион; 1-(2-метилпропил)-8-[1-({5-[4-(трифторметил)фенил](1,2,4-оксадиазол-3-ил)}метил)пиразол-4-ил]-1,3,7-тригидропурин-2,6-дион; 8-{1-[(2,5-дихлорфенил)метил]пиразол-4-ил}-1-пропил-1,3,7-тригидропурин-2,6-дион; 8-{1-[(3,4-дифторфенил)метил]пиразол-4-ил}-1-пропил-1,3,7-тригидропурин-2,6-дион; 3-{[4-(2,6-диоксо-1-пропил-1,3,7-тригидропурин-8-ил)пиразолил]метил}бензойная кислота; 8-(1-{[5-(4-хлорфенил)(1,2,4-оксадиазол-3-ил)]метил}пиразол-4-ил)-1-(циклопропилметил)-1,3,7-тригидропурин-2,6-дион; 1-(циклопропилметил)-8-[1-({5-[4-(трифторметил)фенил](1,2,4-оксадиазол-3-ил)}метил)пиразол-4-ил]-1,3,7-тригидропурин-2,6-дион; 1-(циклопропилметил)-8-[1-(2-пиридилметил)пиразол-4-ил]-1,3,7-тригидропурин-2,6-дион; 1-н-бутил-8-[1-(6-трифторметилпиридин-3-илметил)пиразол-4-ил]-1,3,7-тригидропурин-2,6-дион; 8-(1-{[5-(4-хлорфенил)изоксазол-3-ил]метил}пиразол-4-ил)-1-(циклопропилметил)-1,3,7-тригидропурин-2,6-дион; 1-(циклопропилметил)-8-[1-({5-[4-(трифторметил)фенил]изоксазол-3-ил}метил)пиразол-4-ил]-1,3,7-тригидропурин-2,6-дион; 8-(1-{[2-хлор-5-(трифторметил)фенил]метил}пиразол-4-ил)-1-пропил-1,3,7-тригидропурин-2,6-дион; 8-{1-[(5-фенилизоксазол-3-ил)метил]пиразол-4-ил}-1-пропил-1,3,7-тригидропурин-2,6-дион; 8-(1-{[5-(4-хлорфенил)изоксазол-3-ил]метил}пиразол-4-ил)-1-пропил-1,3,7-тригидропурин-2,6-дион; 1-пропил-8-[1-({5-[4-(трифторметил)фенил](1,2,4-оксадиазол-3-ил)}метил)пиразол-4-ил]-1,3,7-тригидропурин-2,6-дион; и 8-{1-[(5-фенил(1,2,4-оксадиазол-3-ил))метил]пиразол-4-ил}-1-пропил-1,3,7-тригидропурин-2,6-дион. В. Получение других соединений формулы I Сходным образом, следуя способу 17А выше, но необязательно заменяя 5,6-диамино-3-бутил-1,3-дигидропиримидин-2,4-дион другими соединениями формулы (25) и необязательно заменяя 1-бензилпиразол-4-карбоновую кислоту другими соединениями формулы (22), получены следующие соединения формулы I: 1-метил-8-(1-{[3-(трифторметил)фенил]метил}пиразол-4-ил)-1,3,7-тригидропурин-2,6-дион; 1-изопропил-8-(1-{[3-фторфенил]метил}пиразол-4-ил)-1,3,7-тригидропурин-2,6-дион; 1-н-пентил-8-(1-{[3-хлорфенил]метил}пиразол-4-ил)-1,3,7-тригидропурин-2,6-дион; 1-(3-пропилпентил)-8-(1-{[3-фторфенил]метил}пиразол-4-ил)-1,3,7-тригидропурин-2,6-дион; 1-(2-фенилэтил)-8-[1-{бензил}пиразол-4-ил]-1,3,7-тригидропурин-2,6-дион; 1-(2-метоксиэтил)-8-(1-{[3-(трифторметил)фенил]метил}пиразол-4-ил)-1,3,7-тригидропурин-2,6-дион; 1-(3-гидроксипропил)-8-(1-{[3-фторфенил]метил}пиразол-4-ил)-1,3,7-тригидропурин-2,6-дион; 1-(4-фторбутил)-8-(1-{[3-фторфенил]метил}пиразол-4-ил)-1,3,7-тригидропурин-2,6-дион; 1-(2-этилкарбоксиэтил)-8-(1-{[3-фторфенил]метил}пиразол-4-ил)-1,3,7-тригидропурин-2,6-дион; 1-этинил-8-(1-{[3-фторфенил]метил}пиразол-4-ил)-1,3,7-тригидропурин-2,6-дион; 1-циклопентил-8-(1-{[3-фторфенил]метил}пиразол-4-ил)-1,3,7-тригидропурин-2,6-дион; 1-(3-гидроксициклопентил)-8-(1-{[3-фторфенил]метил}пиразол-4-ил)-1,3,7-тригидропурин-2,6-дион; 1-циклогексил-8-(1-{[3-фторфенил]метил}пиразол-4-ил)-1,3,7-тригидропурин-2,6-дион; 1-циклопропилметил-8-(1-{[3-фторфенил]метил}пиразол-4-ил)-1,3,7-тригидропурин-2,6-дион; 1-фенил-8-(1-{[3-фторфенил]метил}пиразол-4-ил)-1,3,7-тригидропурин-2,6-дион; 1-(пирид-3-ил)-8-(1-{[3-фторфенил]метил}пиразол-4-ил)-1,3,7-тригидропурин-2,6-дион; 1-(пирид-3-илметил)-8-(1-{[3-фторфенил]метил}пиразол-4-ил)-1,3,7-тригидропурин-2,6-дион; 1-(тетрагидрофуран-3-ил)-8-(1-{[3-фторфенил]метил}пиразол-4-ил)-1,3,7-тригидропурин-2,6-дион; и 1-(пиперидин-4-ил)-8-(1-{[3-фторфенил]метил}пиразол-4-ил)-1,3,7-тригидропурин-2,6-дион. D. Получение других соединений формулы I Сходным образом, следуя способу 17А выше, но необязательно заменяя 5,6-диамино-3-бутил-1,3-дигидропиримидин-2,4-дион другими соединениями формулы (25) и необязательно заменяя 1-бензилпиразол-4-карбоновую кислоту другими соединениями формулы (22), получены другие соединения формулы I. Пример 18 Получение соединения формулы (31) А. Получение соединения формулы (31), в котором R2 представляет собой бензил Раствор этоксида натрия был получен из натрия (1,53 г, 67 ммоль) и сухого этанола (75 мл). К этому раствору добавляли бензилмочевину (5,0 г, 33 ммоль) и этилцианоацетат (3,77 г, 33 ммоль). Эту реакционную смесь перемешивали при кипячении с обратным холодильником в течение 10 часов, охлаждали и осадок отфильтровывали и промывали этанолом. Осадок растворяли в воде и устанавливали рН соляной кислотой между 5 и 6. Твердый материал отфильтровывали, промывали водой и сушили под вакуумом, с получением 6-амино-1-бензил-1,3-дигидропиримидин-2,4-диона, соединения формулы (31), которое использовали в следующей реакции без дополнительной очистки. В. Получение других соединений формулы (31) Сходным образом, следуя способу 18А выше, но заменяя бензилмочевину другими соединениями формулы (30), были получены следующие соединения формулы (31): 6-амино-1-метил-1,3-дигидропиримидин-2,4-дион; 6-амино-1-н-пропил-1,3-дигидропиримидин-2,4-дион; 6-амино-1-н-бутил-1,3-дигидропиримидин-2,4-дион; и 6-амино-1-изобутил-1,3-дигидропиримидин-2,4-дион. С. Получение других соединений формулы (31) Сходным образом, следуя способу 18А выше, но заменяя бензилмочевину другими соединениями формулы (30), получены другие соединения формулы (31): 6-амино-1-метил-1,3-дигидропиримидин-2,4-дион; 6-амино-1-изопропил-1,3-дигидропиримидин-2,4-дион; 6-амино-1-н-пентил-1,3-дигидропиримидин-2,4-дион; 6-амино-1-пропилпентил-1,3-дигидропиримидин-2,4-дион; 6-амино-1-(2-фенилэтил)-1,3-дигидропиримидин-2,4-дион; 6-амино-1-(2-метоксиэтил)-1,3-дигидропиримидин-2,4-дион; 6-амино-1-(3-гидроксипропил)-1,3-дигидропиримидин-2,4-дион; 6-амино-1-(4-фторбутил)-1,3-дигидропиримидин-2,4-дион; 6-амино-1-(2-этилкарбоксиэтил)-1,3-дигидропиримидин-2,4-дион; 6-амино-1-этенил-1,3-дигидропиримидин-2,4-дион; 6-амино-1-циклопентил-1,3-дигидропиримидин-2,4-дион; 6-амино-1-(3-гидроксициклопентил)-1,3-дигидропиримидин-2,4-дион; 6-амино-1-циклогексил-1,3-дигидропиримидин-2,4-дион; 6-амино-1-циклопропилметил-1,3-дигидропиримидин-2,4-дион; 6-амино-1-фенил-1,3-дигидропиримидин-2,4-дион; 6-амино-1-(пирид-3-ил)-1,3-дигидропиримидин-2,4-дион; 6-амино-1-(пирид-3-илметил)-1,3-дигидропиримидин-2,4-дион; 6-амино-1-(тетрагидрофуран-3-ил)-1,3-дигидропиримидин-2,4-дион; и 6-амино-1-(пиперидин-4-ил)-1,3-дигидропиримидин-2,4-дион. D. Получение других соединений формулы (31) Сходным образом, следуя способу 18А выше, но заменяя бензилмочевину другими соединениями формулы (30), получены другие соединения формулы (31). Пример 19 Получение соединения формулы (24) А. Получение соединения формулы (24), в котором R2 представляет собой бензил К раствору 6-амино-1-бензил-1,3-дигидропиримидин-2,4-диона (2,0 г, 9,2 ммоль) в смеси 15 мл N,N-диметилформамида и 5 мл воды при 90°С добавляли нитрит натрия (1,27 г, 69 ммоль). К этой реакционной смеси добавляли концентрированную соляную кислоту до тех пор, пока ее цвет не переставал меняться, и смесь нагревали до 70°С в течение 1 часа. Растворитель удаляли при пониженном давлении, остаток растворяли в воде и добавляли концентрированную соляную кислоту для получения рН 4,0. Осадок отфильтровывали, промывали водой и сушили при пониженном давлении с получением 6-амино-5-нитрозо-1-бензил-1,3-дигидропиримидин-2,4-диона, соединения формулы (24). В. Получение других соединений формулы (24) Сходным образом, следуя способу 19А выше, но заменяя 6-амино-1-бензил-1,3-дигидропиримидин-2,4-дион другими соединениями формулы (31), были получены следующие соединения формулы (24): 6-амино-5-нитрозо-1-метил-1,3-дигидропиримидин-2,4-дион; 6-амино-5-нитрозо-1-н-пропил-1,3-дигидропиримидин-2,4-дион; 6-амино-5-нитрозо-1-н-бутил-1,3-дигидропиримидин-2,4-дион; и 6-амино-5-нитрозо-1-изобутил-1,3-дигидропиримидин-2,4-дион. С. Получение других соединений формулы (24) Сходным образом, следуя способу 19А выше, но заменяя 6-амино-1-бензил-1,3-дигидропиримидин-2,4-дион другими соединениями формулы (31), получены следующие соединения формулы (24): 6-амино-5-нитрозо-1-метил-1,3-дигидропиримидин-2,4-дион; 6-амино-5-нитрозо-1-изопропил-1,3-дигидропиримидин-2,4-дион; 6-амино-5-нитрозо-1-н-пентил-1,3-дигидропиримидин-2,4-дион; 6-амино-5-нитрозо-1-пропилпентил-1,3-дигидропиримидин-2,4-дион; 6-амино-5-нитрозо-1-(2-фенилэтил)-1,3-дигидропиримидин-2,4-дион; 6-амино-5-нитрозо-1-(2-метоксиэтил)-1,3-дигидропиримидин-2,4-дион; 6-амино-5-нитрозо-1-(3-гидроксипропил)-1,3-дигидропиримидин-2,4-дион; 6-амино-5-нитрозо-1-(4-фторбутил)-1,3-дигидропиримидин-2,4-дион; 6-амино-5-нитрозо-1-(2-этилкарбоксиэтил)-1,3-дигидропиримидин-2,4-дион; 6-амино-5-нитрозо-1-этенил-1,3-дигидропиримидин-2,4-дион; 6-амино-5-нитрозо-1-циклопентил-1,3-дигидропиримидин-2,4-дион; 6-амино-5-нитрозо-1-(3-гидроксициклопентил)-1,3-дигидропиримидин-2,4-дион; 6-амино-5-нитрозо-1-циклогексил-1,3-дигидропиримидин-2,4-дион; 6-амино-5-нитрозо-1-циклопропилметил-1,3-дигидропиримидин-2,4-дион; 6-амино-5-нитрозо-1-фенил-1,3-дигидропиримидин-2,4-дион; 6-амино-5-нитрозо-1-(пирид-3-ил)-1,3-дигидропиримидин-2,4-дион; 6-амино-5-нитрозо-1-(пирид-3-илметил)-1,3-дигидропиримидин-2,4-дион; 6-амино-5-нитрозо-1-(тетрагидрофуран-3-ил)-1,3-дигидропиримидин-2,4-дион; и 6-амино-5-нитрозо-1-(пиперидин-4-ил)-1,3-дигидропиримидин-2,4-дион. D. Получение других соединений формулы (24) Сходным образом, следуя способу 19А выше, но заменяя 6-амино-1-бензил-1,3-дигидропиримидин-2,4-дион другими соединениями формулы (31), получены другие соединения формулы (24). Пример 20 Получение соединения формулы (21) А. Получение соединения формулы (21), в котором R2 представляет собой бензил К раствору 6-амино-5-нитрозо-1-бензил-1,3-дигидропиримидин-2,4-диона (1,15 г, 4,7 ммоль) в 12,5% водном растворе аммиака (40 мл) при 70°С добавляли по частям гидросульфит натрия (2,44 г, 14 ммоль) в течение 15 минут. После охлаждения реакционной смеси на ледяной бане продукт осаждался. Продукт отфильтровывали, промывали водой и сушили при пониженном давлении с получением 5,6-диамино-1-бензил-1,3-дигидропиримидин-2,4-диона, соединения формулы (21). В. Получение других соединений формулы (21) Сходным образом, следуя способу 20А выше, но заменяя 6-амино-5-нитрозо-1-бензил-1,3-дигидропиримидин-2,4-дион другими соединениями формулы (23), были получены следующие соединения формулы (21): 5,6-диамино-1-метил-1,3-дигидропиримидин-2,4-дион; 5,6-диамино-1-н-пропил-1,3-дигидропиримидин-2,4-дион; 5,6-диамино-1-н-бутил-1,3-дигидропиримидин-2,4-дион; и 5,6-диамино-1-изобутил-1,3-дигидропиримидин-2,4-дион. С. Получение других соединений формулы (21) Сходным образом, следуя способу 20А выше, но заменяя 6-амино-5-нитрозо-1-бензил-1,3-дигидропиримидин-2,4-дион другими соединениями формулы (23), получены следующие соединения формулы (21): 5,6-диамино-1-метил-1,3-дигидропиримидин-2,4-дион; 5,6-диамино-1-изопропил-1,3-дигидропиримидин-2,4-дион; 5,6-диамино-1-н-пентил-1,3-дигидропиримидин-2,4-дион; 5,6-диамино-1-пропилпентил-1,3-дигидропиримидин-2,4-дион; 5,6-диамино-1-(2-фенилэтил)-1,3-дигидропиримидин-2,4-дион; 5,6-диамино-1-(2-метоксиэтил)-1,3-дигидропиримидин-2,4-дион; 5,6-диамино-1-(3-гидроксипропил)-1,3-дигидропиримидин-2,4-дион; 5,6-диамино-1-(4-фторбутил)-1,3-дигидропиримидин-2,4-дион; 5,6-диамино-1-(2-этилкарбоксиэтил)-1,3-дигидропиримидин-2,4-дион; 5,6-диамино-1-этенил-1,3-дигидропиримидин-2,4-дион; 5,6-диамино-1-циклопентил-1,3-дигидропиримидин-2,4-дион; 5,6-диамино-1-(3-гидроксициклопентил)-1,3-дигидропиримидин-2,4-дион; 5,6-диамино-1-циклогексил-1,3-дигидропиримидин-2,4-дион; 5,6-диамино-1-циклопропилметил-1,3-дигидропиримидин-2,4-дион; 5,6-диамино-1-фенил-1,3-дигидропиримидин-2,4-дион; 5,6-диамино-1-(пирид-3-ил)-1,3-дигидропиримидин-2,4-дион; 5,6-диамино-1-(пирид-3-илметил)-1,3-дигидропиримидин-2,4-дион; 5,6-диамино-1-(тетрагидрофуран-3-ил)-1,3-дигидропиримидин-2,4-дион; и 5,6-диамино-1-(пиперидин-4-ил)-1,3-дигидропиримидин-2,4-дион. D. Получение других соединений формулы (21) Сходным образом, следуя способу 20А выше, но заменяя 6-амино-5-нитрозо-1-бензил-1,3-дигидропиримидин-2,4-дион другими соединениями формулы (23), получены другие соединения формулы (21). Пример 21 Получение соединения формулы I А. Получение соединения формулы I, в котором R1 представляет собой водород, R2 представляет собой бензил, R3 представляет собой водород, Х представляет собой 1,4-пиразолен, Y представляет собой метилен и Z представляет собой фенил Раствор 5,6-диамино-1-бензил-1,3-дигидропиримидин-2,4-диона (200 мг, 0,8 ммоль), 1-бензилпиразол-4-карбоновой кислоты (202 мг, 1 ммоль) и 1-(3-диметиламинопропил)-3-этилкарбодиимид гидрохлорида (191 мг, 1 ммоль) растворяли в N,N-диметилформамиде и перемешивали в течение 16 часов. Растворитель затем удаляли при пониженном давлении и остаток растворяли в гексаметилдисилазане (HMDS). К этому раствору добавляли сульфат аммония и смесь нагревали до 125°C в течение 80 часов. Избыток HMDS удаляли при пониженном давлении и остаток суспендировали в смеси 1:1 метанол и вода. Твердое вещество отфильтровывали, промывали смесью 1:1 метанол и вода и сушили при пониженном давлении с получением 3-бензил-8-[1-бензилпиразол-4-ил]-1,3,7-тригидропурин-2,6-диона, соединения формулы I. В. Получение соединения формулы I, в котором R1 представляет собой водород, R3 представляет собой водород, Х представляет собой 1,4-пиразолен, Y представляет собой метилен, Z представляет собой фенил, изменяя R2 Сходным образом, следуя способу 21А выше, но заменяя 5,6-диамино-1-бензил-1,3-дигидропиримидин-2,4-дион другими соединениями формулы (21), были получены следующие соединения формулы I: 3-н-пропил-8-[1-бензилпиразол-4-ил]-1,3,7-тригидропурин-2,6-дион; 3-изобутил-8-[1-бензилпиразол-4-ил]-1,3,7-тригидропурин-2,6-дион; 3-бензил-8-[1-бензилпиразол-4-ил]-1,3,7-тригидропурин-2,6-дион; 3-н-бутил-8-[1-бензилпиразол-4-ил]-1,3,7-тригидропурин-2,6-дион; 3-(2-метилпропил)-8-[1-бензилпиразол-4-ил]-1,3,7-тригидропурин-2,6-дион; и 3-метил-8-[1-бензилпиразол-4-ил]-1,3,7-тригидропурин-2,6-дион. С. Получение соединения формулы I, в котором R1 представляет собой водород, изменяя R2, R3 представляет собой водород, Х представляет собой 1,4-пиразолен, Y представляет собой метилен, Z представляет собой фенил Сходным образом, следуя способу 21А выше, но необязательно заменяя 5,6-диамино-1-бензил-1,3-дигидропиримидин-2,4-дион другими соединениями формулы (21) и необязательно заменяя 1-бензилпиразол-4-карбоновую кислоту другими соединениями формулы (22), получены следующие соединения формулы I: 3-метил-8-[1-бензилпиразол-4-ил]-1,3,7-тригидропурин-2,6-дион; 3-изопропил-8-[1-бензилпиразол-4-ил]-1,3,7-тригидропурин-2,6-дион; 3-н-пентил-8-[1-бензилпиразол-4-ил]-1,3,7-тригидропурин-2,6-дион; 3-(1-пропилпентил)-8-[1-бензилпиразол-4-ил]-1,3,7-тригидропурин-2,6-дион; 3-(2-фенилэтил)-8-[1-бензилпиразол-4-ил]-1,3,7-тригидропурин-2,6-дион; 3-(2-метоксиэтил)-8-[1-бензилпиразол-4-ил]-1,3,7-тригидропурин-2,6-дион; 3-(3-гидроксипропил)-8-[1-бензилпиразол-4-ил]-1,3,7-тригидропурин-2,6-дион; 3-(4-фторбутил)-8-[1-бензилпиразол-4-ил]-1,3,7-тригидропурин-2,6-дион; 3-(2-этилкарбоксиэтил)-8-[1-бензилпиразол-4-ил]-1,3,7-тригидропурин-2,6-дион; 3-этенил-8-[1-бензилпиразол-4-ил]-1,3,7-тригидропурин-2,6-дион; 3-циклопентил-8-[1-бензилпиразол-4-ил]-1,3,7-тригидропурин-2,6-дион; 3-(3-гидроксициклопентил)-8-[1-бензилпиразол-4-ил]-1,3,7-тригидропурин-2,6-дион; 3-циклогексил-8-[1-бензилпиразол-4-ил]-1,3,7-тригидропурин-2,6-дион; 3-циклопропилметил-8-[1-бензилпиразол-4-ил]-1,3,7-тригидропурин-2,6-дион; 3-фенил-8-[1-бензилпиразол-4-ил]-1,3,7-тригидропурин-2,6-дион; 3-(пирид-3-ил)н-пропил-8-[1-бензилпиразол-4-ил]-1,3,7-тригидропурин-2,6-дион; 3-(пирид-3-илметил)-8-[1-бензилпиразол-4-ил]-1,3,7-тригидропурин-2,6-дион; 3-(тетрагидрофуран-3-ил)-8-[1-бензилпиразол-4-ил]-1,3,7-тригидропурин-2,6-дион; и 3-(пиперидин-4-ил)-8-[1-бензилпиразол-4-ил]-1,3,7-тригидропурин -2,6-дион. D. Получение соединения формулы I, в котором R1 представляет собой водород, изменяя R2, R3 представляет собой водород, Х представляет собой 1,4-пиразолен, Y представляет собой метилен, Z представляет собой фенил Сходным образом, следуя способу 21А выше, но необязательно заменяя 5,6-диамино-1-бензил-1,3-дигидропиримидин-2,4-дион другими соединениями формулы (21) и необязательно заменяя 1-бензилпиразол-4-карбоновую кислоту другими соединениями формулы (22), получены другие соединения формулы I. Пример 22 Получение соединения формулы (33) А. Получение соединения формулы (33), в котором R1 представляет собой н-бутил и R2 представляет собой метил Суспензию 6-амино-1-метил урацила (3,0 г) в безводном N,N-диметилформамид диметилацетале (10 мл) и N,N-диметилацетамиде (50 мл) нагревали при 40°С до того момента, пока не наблюдалось исчезновение исходного материала (60 мин). Затем добавляли карбонат калия (10 г) и н-бутилбромид (7,8 г) и реакционную смесь перемешивали при 80°С в течение 16 часов. Реакционную смесь охлаждали до комнатной температуры, фильтровали и растворитель испаряли и продукт формулы (33), 6-[1-аза-2-(диметиламино)винил]-3-бутил-1-метил-1,3-дигидропиримидин-2,4-дион, использовали как таковой в следующей реакции. В. Получения соединений формулы (33), изменяя R1 и R2 Сходным образом, следуя способу 22А выше, но необязательно заменяя 6-амино-1-метилурацил другими соединениями формулы (31) и необязательно заменяя н-бутилбромид другими алкил галогенидами, были получены следующие соединения формулы (33): 6-[1-аза-2-(диметиламино)винил]-1-метил-1,3-дигидропиримидин-2,4-дион; 6-[1-аза-2-(диметиламино)винил]-1-метил-3-этил-1,3-дигидропиримидин-2,4-дион; 6-[1-аза-2-(диметиламино)винил]-1-метил-3-пропил-1,3-дигидропиримидин-2,4-дион; 6-[1-аза-2-(диметиламино)винил]-1-этил-3-проп-2-инил-1,3-дигидропиримидин-2,4-дион; 6-[1-аза-2-(диметиламино)винил]-1-этил-3-пропил-1,3-дигидропиримидин-2,4-дион; 6-[1-аза-2-(диметиламино)винил]-1-метил-3-бутил-1,3-дигидропиримидин-2,4-дион; 6-[1-аза-2-(диметиламино)винил]-1-метил-3-втор-бутил-1,3-дигидропиримидин-2,4-дион; 6-[1-аза-2-(диметиламино)винил]-1-метил-3-циклопропилметил-1,3-дигидропиримидин-2,4-дион; 6-[1-аза-2-(диметиламино)винил]-1-этил-3-циклопропилметил-1,3-дигидропиримидин-2,4-дион; 6-[1-аза-2-(диметиламино)винил]-1-этил-3-втор-бутил-1,3-дигидропиримидин-2,4-дион; и 6-[1-аза-2-(диметиламино)винил]-1-этил-3-н-бутил-1,3-дигидропиримидин-2,4-дион. С. Получение соединений формулы (33), изменяя R1 и R2 Сходным образом, следуя способу 22А выше, но необязательно заменяя 6-амино-1-метилурацил другими соединениями формулы (31) и необязательно заменяя н-бутилбромид другими алкил галогенидами, получены другие соединения формулы (33). Пример 23 Получение соединения формулы (34) А. Получение соединения формулы (34), в котором R1 представляет собой н-бутил и R2 представляет собой метил 6-[(1E)-1-аза-2-(диметиламино)винил]-3-бутил-1-метил-1,3-дигидропиримидин-2,4-дион (4,0 г), полученный в примере 22А, суспендировали в метаноле. К этой суспензии добавляли водный гидроксид аммония и реакционную смесь перемешивали при комнатной температуре в течение 48 часов. После того как исходный материал больше не наблюдался, растворитель удаляли при пониженном давлении, остаток суспендировали в воде и осадок отфильтровывали, промывали водой и сушили при пониженном давлении с получением неочищенного 6-амино-3-бутил-1-метил-1,3-дигидропиримидин-2,4-диона, который использовали как таковой в следующей реакции. В. Получение соединений формулы (34), изменяя R1 и R2 Сходным образом, следуя способу 23А выше, но заменяя 6-[(1E)-1-аза-2-(диметиламино)винил]-3-бутил-1-метил-1,3-дигидропиримидин-2,4-дион другими соединениями формулы (33), были получены следующие соединения формулы (34): 6-амино-1-метил-1,3-дигидропиримидин-2,4-дион; 6-амино-1-метил-3-этил-1,3-дигидропиримидин-2,4-дион; 6-амино-1-метил-3-пропил-1,3-дигидропиримидин-2,4-дион; 6-амино-1-этил-3-(проп-2-инил)-1,3-дигидропиримидин-2,4-дион; 6-амино-1-этил-3-пропил-1,3-дигидропиримидин-2,4-дион; 6-амино-1-метил-3-втор-бутил-1,3-дигидропиримидин-2,4-дион; 6-амино-1-метил-3-циклопропилметил-1,3-дигидропиримидин-2,4-дион; 6-амино-1-этил-3-циклопропилметил-1,3-дигидропиримидин-2,4-дион; 6-амино-1-этил-3-втор-бутил-1,3-дигидропиримидин-2,4-дион; и 6-амино-1-этил-3-н-бутил-1,3-дигидропиримидин-2,4-дион. С. Получение соединений формулы (34), изменяя R1 и R2 Сходным образом, следуя способу 23А выше, но заменяя 6-[(1E)-1-аза-2-(диметиламино)винил]-3-бутил-1-метил-1,3-дигидропиримидин-2,4-дион другими соединениями формулы (33), получены другие соединения формулы (34). Пример 24 Получение соединения формулы I А. Получение соединения формулы I, в котором R1 представляет собой н-бутил, R2 представляет собой метил, Х представляет собой 1,4-пиразолен, Y представляет собой метилен и Z представляет собой 3-фторфенил Соединение формулы (34) затем превращали в соединение формулы I таким же способом, как показано для превращения соединения формулы (23) в примерах 14, 15, 16 и 17. Это превращение состояло в реакции с нитритом натрия с получением 5-нитрозо-6-амино производного, которое восстанавливали до 5,6-диамино производного, которое, в свою очередь, вводили в реакцию с подходящим образом замещенной карбоновой кислотой формулы Z-Y-X-CO2H с получением соединения формулы I. Таким способом были получены следующие соединения: 1-бутил-3-метил-8-{1-[(3-(фторфенил)метил]пиразол-4-ил}-1,3,7-тригидропурин-2,6-дион; 1-метил-3-втор-бутил-8-пиразол-4-ил-1,3,7-тригидропурин-2,6-дион; 3-метил-1-пропил-8-[1-бензилпиразол-4-ил]-1,3,7-тригидропурин-2,6-дион; 3-этил-1-(проп-2-инил)-8-[1-бензилпиразол-4-ил]-1,3,7-тригидропурин-2,6-дион; 3-этил-1-пропил-8-[1-бензилпиразол-4-ил]-1,3,7-тригидропурин-2,6-дион; 1-втор-бутил-3-метил-8-[1-бензилпиразол-4-ил]-1,3,7-тригидропурин-2,6-дион; 1-циклопропилметил-3-метил-8-[1-бензилпиразол-4-ил]-1,3,7-тригидропурин-2,6-дион; 3-этил-1-пропил-8-{1-[(3-трифторметилфенил)метил]пиразол-4-ил}-1,3,7-тригидропурин-2,6-дион; 3-этил-1-пропил-8-(пиразол-4-ил)-1,3,7-тригидропурин-2,6-дион; 1-циклопропилметил-3-этил-8-{1-[(3-трифторметилфенил)метил]-пиразол-4-ил}-1,3,7-тригидропурин-2,6-дион; этил 2-[4-(2,6-диоксо-1,3-дипропил(1,3,7-тригидропурин-8-ил))пиразолил]-2-фенилацетат; 1-циклопропилметил-3-метил-8-{1-[(3-трифторметилфенил)метил]пиразол-4-ил}-1,3,7-тригидропурин-2,6-дион; 3-метил-1-пропил-8-{1-[(3-трифторметилфенил)метил]пиразол-4-ил}-1,3,7-тригидропурин-2,6-дион; 3-метил-1-пропил-8-{1-[(3-фторфенил)метил]пиразол-4-ил}-1,3,7-тригидропурин-2,6-дион; 1-циклопропилметил-3-метил-8-{1-[(3-фторфенил)метил]пиразол-4-ил}-1,3,7-тригидропурин-2,6-дион; 1-циклопропилметил-3-этил-8-пиразол-4-ил-1,3,7-тригидропурин-2,6-дион; 1-втор-бутил-3-этил-8-{1-[(3-фторфенил)метил]пиразол-4-ил}-1,3,7-тригидропурин-2,6-дион; 1-бутил-3-метил-8-[1-бензилпиразол-4-ил]-1,3,7-тригидропурин-2,6-дион; 1-бутил-3-метил-8-(пиразол-4-ил)-1,3,7-тригидропурин-2,6-дион; 1-втор-бутил-3-этил-8-[1-бензилпиразол-4-ил]-1,3,7-тригидропурин-2,6-дион; 1-втор-бутил-3-метил-8-(пиразол-4-ил)-1,3,7-тригидропурин-2,6-дион; 1-втор-бутил-3-метил-8-{1-[(3-трифторметилфенил)метил]пиразол-4-ил}-1,3,7-тригидропурин-2,6-дион; 1-втор-бутил-3-метил-8-{1-[(3-фторфенил)метил]пиразол-4-ил}-1,3,7-тригидропурин-2,6-дион; 1-этил-3-метил-8-{1-[(3-фторфенил)метил]пиразол-4-ил}-1,3,7-тригидропурин-2,6-дион; 1-этил-3-метил-8-{1-[(3-трифторметилфенил)метил]пиразол-4-ил}-1,3,7-тригидропурин-2,6-дион; 1-втор-бутил-3-этил-8-{1-[(3-фторфенил)метил]пиразол-4-ил}-1,3,7-тригидропурин-2,6-дион; 1-циклопропилметил-3-этил-8-{1-[(3-фторфенил)метил]пиразол-4-ил}-1,3,7-тригидропурин-2,6-дион; 1-бутил-3-метил-8-(1-{[3-(трифторметил)фенил]метил}пиразол-4-ил)-1,3,7-тригидропурин-2,6-дион; 3-этил-1-(2-метилпропил)-8-пиразол-4-ил-1,3,7-тригидропурин-2,6-дион; 1-(циклопропилметил)-3-этил-8-{1-[(3-фторфенил)метил]пиразол-4-ил}-1,3,7-тригидропурин-2,6-дион; 1-этил-3-метил-8-пиразол-4-ил-1,3,7-тригидропурин-2,6-дион; 1-этил-3-метил-8-[1-бензилпиразол-4-ил]-1,3,7-тригидропурин-2,6-дион; 3-этил-1-пропил-8-[1-({5-[4-(трифторметил)фенил](1,2,4-оксадиазол-3-ил)}метил)пиразол-4-ил]-1,3,7-тригидропурин-2,6-дион; 3-этил-1-пропил-8-[1-({5-[4-(трифторметил)фенил]изоксазол-3-ил}метил)пиразол-4-ил]-1,3,7-тригидропурин-2,6-дион; 3-этил-1-пропил-8-[1-(2-пиридилметил)пиразол-4-ил]-1,3,7-тригидропурин-2,6-дион; 8-(1-{[5-(4-хлорфенил)изоксазол-3-ил]метил}пиразол-4-ил)-3-этил-1-пропил-1,3,7-тригидропурин-2,6-дион; 8-(1-{[5-(4-хлорфенил)(1,2,4-оксадиазол-3-ил)]метил}пиразол-4-ил)-3-этил-1-пропил-1,3,7-тригидропурин-2,6-дион; 3-({4-[1-(циклопропилметил)-3-метил-2,6-диоксо-1,3,7-тригидропурин-8-ил]пиразолил}метил)бензолкарбонитрил; 8-(1-{[3-(4-хлорфенил)(1,2,4-оксадиазол-5-ил)]метил}пиразол-4-ил)-3-этил-1-пропил-1,3,7-тригидропурин-2,6-дион; 3-этил-8-{1-[(5-фенилизоксазол-3-ил)метил]пиразол-4-ил}-1-пропил-1,3,7-тригидропурин-2,6-дион; 3-этил-1-пропил-8-(1-{[6-(трифторметил)(3-пиридил)]метил}-пиразол-4-ил)-1,3,7-тригидропурин-2,6-дион; 3-{[4-(3-этил-2,6-диоксо-1-пропил-1,3,7-тригидропурин-8-ил)пиразолил]метил}-бензолкарбонитрил; 3-этил-1-пропил-8-{1-[(3-(1H-1,2,3,4-тетразол-5-ил)фенил)метил]пиразол-4-ил}-1,3,7-тригидропурин-2,6-дион; 3-этил-8-{1-[(6-метил(3-пиридил))метил]пиразол-4-ил}-1-пропил-1,3,7-тригидропурин-2,6-дион; 1-(циклопропилметил)-3-этил-8-(1-{[6-(трифторметил)(3-пиридил)]метил}пиразол-4-ил)-1,3,7-тригидропурин-2,6-дион; 3-этил-1-(2-метилпропил)-8-(1-{[6-(трифторметил)(3-пиридил)]метил}пиразол-4-ил)-1,3,7-тригидропурин-2,6-дион; и 8-[1-(2-(1H-1,2,3,4-тетразол-5-ил)этил)пиразол-4-ил]-1-(циклопропилметил)-3-метил-1,3,7-тригидропурин-2,6-дион. Пример 25 Получены твердые желатиновые капсулы, содержащие следующие ингредиенты:
Указанные выше ингредиенты смешивают и насыпают в твердые желатиновые капсулы. Пример 26 Приготовлен состав таблетки, содержащий следующие ингредиенты:
Компоненты смешивают и прессуют с получением таблеток. Пример 27 Приготовлен состав для ингаляции в форме сухого порошка, содержащий следующие компоненты:
Активный ингредиент смешивают с лактозой и смесь помещают в устройство для ингаляции сухого порошка. Пример 28 Таблетки, каждая из которых содержит 30 мг активного ингредиента, получают следующим образом:
Активный ингредиент, крахмал и целлюлозу пропускают через молекулярное сито № 20 меш США и перемешивают по всему объему. Раствор поливинилпирролидона смешивают с полученными порошками, которые затем пропускают через молекулярное сито № 16 меш США. Таким образом полученные гранулы высушивают в диапазоне от 50°С до 60°С и пропускают через молекулярное сито № 16 меш США. Затем к гранулам добавляют карбоксиметил натрия крахмал, стеарат магния и тальк, предварительно пропущенные через молекулярное сито № 30 меш США, прессуют в таблетировочной машине с получением таблеток, каждая из которых имеет вес 120 мг. Пример 29 Суппозитории, каждый из которых содержит 25 мг активного ингредиента, получают следующим образом:
Активный ингредиент пропускают через молекулярное сито № 60 меш США и суспендируют в глицеридах насыщенных жирных кислот, предварительно расплавленных при использовании минимального необходимого тепла. Смесь затем выливают в форму для суппозитория с номинальной вместимостью 2,0 г и оставляют охлаждаться. Пример 30 Суспензии, каждая из которых содержит 50 мг активного ингредиента на 5,0 мл дозы, получают следующим образом:
Активный ингредиент, сахарозу и ксантановую смолу смешивают, пропускают через молекулярное сито № 10 меш США и затем смешивают с предварительно полученным раствором микрокристаллической целлюлозы и натрийкарбоксиметилцеллюлозы в воде. Бензоат натрия, ароматизатор и краситель разбавляют некоторым количеством воды и добавляют при перемешивании. Затем добавляют достаточное количество воды до получения необходимого объема. Пример 31 Состав для подкожного введения может быть получен следующим образом:
Пример 32 Состав для инъекций получают, как имеющий следующий состав:
Пример 33 Состав для местного применения получают, как имеющий следующий состав:
Все указанные выше ингредиенты за исключением воды объединяют и нагревают до 60°С при перемешивании. Затем добавляют достаточное количество воды при 60°С при интенсивном перемешивании для эмульгирования ингредиентов и затем добавляют достаточное количество воды до 100 г. Пример 34 Композиция продолжительного высвобождения
Композицию продолжительного высвобождения по настоящему изобретению получают следующим образом: соединение и рН-зависимое связующее и любые необязательные эксципиенты тщательно перемешивают (смесь сухих ингредиентов). Смесь сухих ингредиентов затем гранулируют в присутствии водного раствора сильного основания, который распыляют на смешанный порошок. Гранулят сушат, просеивают, смешивают с необязательными смазочными материалами (такими как тальк и стеарат магния) и прессуют в таблетки. Предпочтительные водные растворы сильных оснований представляют собой растворы гидроксидов щелочных металлов, такие как гидроксид натрия или калия, предпочтительно гидроксид натрия, в воде (необязательно содержащей вплоть до 25% смешивающихся с водой растворителей, таких как низшие спирты). Полученные таблетки могут быть покрыты необязательным агентом, образующим пленку для идентификации, в целях маскировки вкуса и для улучшения легкости проглатывания. Агент, образующий пленку, обычно присутствует в количестве в диапазоне от 2% до 4% от массы таблетки. Пригодные агенты, образующие пленку, хорошо известны в данной области техники и включают гидроксипропил метилцеллюлозу, катионные метакрилатные сополимеры (диметиламиноэтилметакрилат/метил-бутилметакрилат сополимеры – Eudragit®E-Röhm. Pharma) и т.п. Эти агенты, образующие пленку, могут необязательно содержать красители, пластификаторы и другие вспомогательные ингредиенты. Прессованные таблетки предпочтительно имеют жесткость, достаточную, чтобы выдержать 8 Kp сжатия. Размер таблетки будет, в первую очередь, зависеть от количества соединения в таблетке. Таблетки будут включать от 300 до 1100 мг основы, не содержащей соединений. Предпочтительно таблетки будут включать количества основы, не содержащей соединений, в диапазонах от 400 до 600 мг, от 650 до 850 мг и от 900 до 1100 мг. Для того, чтобы влиять на скорость растворения, контролируют время, в течение которого порошок, содержащий соединение, набирает влажность. Предпочтительно общее время смешивания порошка, т.е. время, в течение которого порошок обрабатывают раствором гидроксида натрия, будет изменяться в диапазоне от 1 до 10 минут и, предпочтительно, от 2 до 5 минут. После гранулирования частицы удаляют из гранулятора и помещают в сушилку с псевдоожиженным слоем для высушивания при примерно 60°С. Пример 35 Анализы А2В аденозин рецептора Способы Связывание радиолигандов А2В аденозиновым рецептором. кДНК А2В аденозинового рецептора человека стабильно траснфектировали в HEK-293 клетки (обозначаемые как НЕК-А2В клетки). Монослойную культуру НЕК-А2В клеток промывали один раз PBS и собирали в буфер, содержащий 10 мМ HEPES (рН 7,4), 10 мМ ЭДТА (этилендиаминтетраацетат) и ингибиторы протеазы. Эти клетки гомогенизировали в политроне в течение 1 минуты в положении 4 и центрифугировали при 29000 g в течение 15 минут при 4°С. Осадок клеток в пробирке после центрифугирования один раз промывали буфером, содержащим 10 мМ HEPES (рН 7,4), 1 мМ ЭДТА и ингибиторы протеазы, и повторно суспендировали в том же самом буфере с добавлением 10% сахарозы. Замороженные аликвоты оставляли при -80°С. Сравнительные тесты начинали смешиванием 10 нМ 3Н-ZM214385 (Tocris Cookson) с различными концентрациями исследуемых соединений и 50 мкг мембранных протеинов в ТЕ буфере (50 мМ Tris и 1 мМ ЭДТА) дополненным 1 Единица/мл аденозиндезаминазы. Эти анализы инкубировали в течение 90 минут, останавливали фильтрацией при использовании Packard Harvester и промывали четыре раза ледяным ТМ буфером (10 мМ Tris, 1 мМ MgCl2, рН 7,4). Неспецифическое связывание определяли в присутствии 10 мкМ ZM214385. Сродство соединений (т.е. Ki значения) рассчитывали при использовании GraphPad программного обеспечения. Связывание радиолигандов другими аденозиновыми рецепторами. кДНК А2В, А2А, А3 аденозинового рецептора человека стабильно траснфектировали или в СНО или в HEK-293 клетки (обозначаемые как СНО-А1, НЕК-А2А, СНО-А3). Мембраны из этих клеток получали при использовании того же протокола, как и описано выше. Сравнительные тесты начинали смешиванием 0,5 нМ 3Н-СРХ (для СНО-А1) 2нМ 3Н-ZM214385 (НЕК-А2А) или 0,1 нМ 125I-AB-MECA (CHO-A3) с различными концентрациями исследуемых соединений и перспективных мембран в ТЕ буфере (50 мМ Tris и 1 мМ ЭДТА для СНО-А1 и НЕК-А2А) или ТЕМ буфере (50 мМ Tris, 1 мМ ЭДТА и 10 мМ MgCl2 для СНО-А3) дополненным 1 Единица/мл аденозин деаминазы. Анализы инкубировали в течение 90 минут, останавливали фильтрацией при использовании Packard Harvester и промывали четыре раза ледяным ТМ буфером (10мМ Tris, 1 мМ MgCl2, рН 7,4). Неспецифическое связывание определяли в присутствии 1 мкМ СРХ (СНО-А1), 1 мкМ ZM214385 (НЕК-А2А) и 1 мкМ IB-MECA (CHO-A3). Сродство соединений (т.е. Ki значения) рассчитывали при использовании GraphPad программного обеспечения. Измерения цАМФ (циклический аденозинмонофосфат (cAMP)). Монослойную культуру трансфектированных клеток собирали в PBS, содержащий 5 мМ ЭДТА. Клетки промывали один раз DMEM и повторно суспендировали в DMEM, содержащем 1 единицу/мл аденозин диаминазы при плотности 100000-500000 клеток/мл. 100 мкл клеточной суспензии смешивали с 25 мкл, содержащими различные агонисты и/или антагонисты и реакцию поддерживали при 37°С в течение 15 минут. По окончании 15 минут добавляли 125 мкл 0,2 н. HCl для остановки реакции. Клетки центрифугировали в течение 10 минут при 1000 об/мин. 100 мкл надосадочной жидкости удаляли и ацетилировали. Концентрации цАМФ в надосадочных жидкостях измеряли при использовании прямого цАМФ анализа от Assay Design. А2А и А2В аденозиновые рецепторы связаны с Gs белками и таким образом агонисты А2А аденозинового рецептора (такие как CGS21680) или А2В аденозинового рецептора (такие как NECA) увеличивают аккумуляции цАМФ, тогда как антагонисты этих рецепторов препятствуют увеличению аккумуляции цАМФ, вызванной этими агонистами. А1 и А3 аденозиновые рецепторы связаны с Gi белками и таким образом агонисты А1 аденозинового рецептора (такие как СРА) или А3 аденозинового рецептора (такие как IB-MECA) ингибируют увеличение аккумуляции цАМФ, индуцированой форсколином. Антагонисты А1 и А3 рецепторов препятствуют ингибированию аккумуляции цАМФ. На основе представленного выше теста было показано, что соединения по настоящему изобретению представляют собой антагонисты А2В. Соединения по изобретению также исследовали на мышиной модели астмы, при использовании способов, описанных в патенте США № 6387913, значительная часть которого включена здесь в качестве ссылки, и их эффективность была доказана.
Формула изобретения
1. Соединение формулы I или формулы II в которых R1 и R2 независимо выбирают из водорода, необязательно замещенного алкила, или группы -D-E, в которой D представляет собой ковалентную связь или алкилен, и Е представляет собой необязательно замещенный алкокси, необязательно замещенный циклоалкил, необязательно замещенный арил, необязательно замещенный гетероарил, необязательно замещенный гетероциклил, необязательно замещенный алкенил или необязательно замещенный алкинил, при условии, что если D представляет собой ковалентную связь, Е не может представлять собой алкокси; R3 представляет собой водород, необязательно замещенный алкил или необязательно замещенный циклоалкил; Х представляет собой необязательно замещенный арилен или гетероарилен; Y представляет собой ковалентную связь или алкилен, в котором один атом углерода может быть необязательно замещен на -O-, -S- или -NH-, и необязательно замещенный гидрокси, алкокси, необязательно замещенный амино, или -COR, в которой R представляет собой гидрокси, алкокси или амино; при условии, что если необязательный заместитель представляет собой гидрокси или амино, он не может быть смежным с гетероатомом; и Z представляет собой водород, необязательно замещенный моноциклический арил или необязательно замещенный моноциклический гетероарил; при условии, что Z представляет собой водород только при условии, что Y представляет собой ковалентную связь и Х представляет собой необязательно замещенный 1,4-пиразолен; и при условии, что если Х представляет собой необязательно замещенный арилен, Z представляет собой необязательно замещенный моноциклический гетероарил. 2. Соединение по п.1, в котором R1 и R2 независимо представляют собой водород или необязательно замещенный низший алкил, R3 представляет собой водород; Х представляет собой необязательно замещенный гетероарилен; и Y представляет собой ковалентную связь или низший алкилен. 3. Соединение по п.2, в котором Х представляет собой необязательно замещенный пиразолен, Y представляет собой низший алкилен и Z представляет собой необязательно замещенный фенил, необязательно замещенный оксадиазолил, необязательно замещенный изоксазолил или необязательно замещенный пиридил. 4. Соединение по п.3, в котором R1 представляет собой низший алкил, необязательно замещенный циклоалкилом, и R2 представляет собой водород. 5. Соединение по п.4, в котором Х представляет собой необязательно замещенный 1,4-пиразолен. 6. Соединение по п.5, в котором Y представляет собой -CH2– и Z представляет собой необязательно замещенный фенил. 7. Соединение по п.5, в котором Y представляет собой -CH2– и Z представляет собой необязательно замещенный оксадиазолил. 8. Соединение по п.5, в котором Y представляет собой -CH2– и Z представляет собой необязательно замещенный пиридил. 9. Соединение по п.8, в котором R1 представляет собой циклопропилметил, Х представляет собой 1,4-пиразолен, Y представляет собой -CH2– и Z представляет собой 2-пиридил, а именно 1-(циклопропилметил)-8-[1-(2-пиридилметил)пиразол-4-ил]-1,3,7-тригидропурин-2,6-дион. 10. Соединение по п.8, в котором R1 представляет собой н-бутил, Х представляет собой 1,4-пиразолен, Y представляет собой -CH2– и Z представляет собой 3-трифторметилпирид-2-ил, а именно 1-н-бутил-8-[1-(6-трифторметилпиридин-3-илметил)пиразол-4-ил]-1,3,7-тригидропурин-2,6-дион. 11. Соединение по п.3, в котором R1 и R2 независимо представляют собой низший алкил, необязательно замещенный циклоалкилом. 12. Соединение по п.11, в котором Х представляет собой необязательно замещенный пиразолен. 13. Соединение по п.12, в котором Х представляет собой необязательно замещенный 1,4-пиразолен, Y представляет собой -CH2– или -СН(СН3)- и Z представляет собой необязательно замещенный фенил, необязательно замещенный оксадиазолил или необязательно замещенный изоксазолил. 14. Соединение по п.13, в котором R1 и R2 представляют собой н-пропил, Y представляет собой -СН2– и Z представляет собой 3-(4-хлорфенил)[1,2,4]оксадиазол-5-ил, а именно 8-(1-{[3-(4-хлорфенил)(1,2,4-оксадиазол-5-ил)]метил}пиразол-4-ил)-1,3-дипропил-1,3,7-тригидропурин-2,6-дион. 15. Соединение по п.13, в котором R1 и R2 представляют собой н-пропил, Y представляет собой -СН2– и Z представляет собой 5-(4-трифторметилфенил)изоксазол-3-ил, а именно 1,3-дипропил-8-[1-({5-[4-(трифторметил)фенил]изоксазол-3-ил}метил)пиразол-4-ил]-1,3,7-тригидропурин-2,6-дион. 16. Соединение по п.13, в котором R1 и R2 представляют собой н-пропил, Y представляет собой -СН2– и Z представляет собой пирид-2-ил, а именно 1,3-дипропил-8-[1-(2-пиридилметил)пиразол-4-ил]-1,3,7-тригидропурин-2,6-дион. 17. Соединение по п.13, в котором R1 и R2 представляют собой н-пропил, Y представляет собой -СН2– и Z представляет собой 3-карбоксифенил, а именно 3-{[4-(2,6-диоксо-1,3-дипропил-1,3,7-тригидропурин-8-ил)пиразолил]метил}бензойную кислоту. 18. Соединение по п.13, в котором R1 и R2 представляют собой н-пропил, Y представляет собой -СН2– и Z представляет собой 2-трифторметилпирид-3-ил, а именно 1,3-дипропил-8-(1-{[6-(трифторметил)(3-пиридил)]метил}пиразол-4-ил)-1,3,7-тригидропурин-2,6-дион. 19. Соединение по п.13, в котором R1 и R2 представляют собой н-пропил, Y представляет собой -СН2– и Z представляет собой 3-(1,2,3,4-тетразол-5-ил)фенил, а именно 1,3-дипропил-8-{1-[(3-(1Н-1,2,3,4-тетразол-5-ил)фенил)метил]пиразол-4-ил}-1,3,7-тригидропурин-2,6-дион. 20. Соединение по п.13, в котором R1 и R2 представляют собой н-пропил, Y представляет собой -СН2– и Z представляет собой пирид-2-ил-6-карбоновую кислоту, а именно 6-{[4-(2,6-диоксо-1,3-дипропил-1,3,7-тригидропурин-8-ил)пиразолил]метил}пиридин-2-карбоновую кислоту. 21. Соединение по п.13, в котором R1 представляет собой н-пропил, R2 представляет собой этил, Y представляет собой -СН2– и Z представляет собой 2-пиридил, а именно 3-этил-1-пропил-8-[1-(2-пиридилметил)пиразол-4-ил]-1,3,7-тригидропурин-2,6-дион. 22. Соединение по п.13, в котором R1 представляет собой н-пропил, R2 представляет собой этил, Y представляет собой -СН2– и Z представляет собой 5-(4-хлорфенил)изоксазол-3-ил, а именно 8-(1-{[5-(4-хлорфенил)изоксазол-3-ил]метил}пиразол-4-ил)-3-этил-1-пропил-1,3,7-тригидропурин-2,6-дион. 23. Соединение по п.13, в котором R1 представляет собой н-пропил, R2 представляет собой этил, Y представляет собой -CH2– и Z представляет собой 3-(4-хлорфенил)-[1,2,4]оксадиазол-5-ил, а именно 8-(1-{[3-(4-хлорфенил)(1,2,4-оксадиазол-5-ил)]метил}пиразол-4-ил)-3-этил-1-пропил-1,3,7-тригидропурин-2,6-дион. 24. Соединение по п.13, в котором R1 представляет собой н-пропил, R2 представляет собой этил, Y представляет собой -СН2– и Z представляет собой 6-(трифторметил)пирид-3-ил, а именно 3-этил-1-пропил-8-(1-{[6-(трифторметил)(3-пиридил)]метил}пиразол-4-ил)-1,3,7-тригидропурин-2,6-дион. 25. Соединение по п.13, в котором R1 представляет собой циклопропилметил, R2 представляет собой этил, Y представляет собой -СН2– и Z представляет собой 6-(трифторметил)пирид-3-ил, а именно 1-(циклопропилметил)-3-этил-8-(1-{[6-(трифторметил)(3-пиридил)]метил}пиразол-4-ил)-1,3,7-тригидропурин-2,6-дион. 26. Соединение по п.13, в котором R1 представляет собой 2-метилпропил, R2 представляет собой этил, Y представляет собой -СН2– и Z представляет собой 6-(трифторметил)пирид-3-ил, а именно 3-этил-1-(2-метилпропил)-8-(1-{[6-(трифторметил)(3-пиридил)]метил}пиразол-4-ил)-1,3,7-тригидропурин-2,6-дион. 27. Способ лечения болезненного состояния путем ингибирования аденозинового рецептора, описываемого как А2B, включающий введение млекопитающему, которое в этом нуждается, терапевтически эффективной дозы соединения формулы в которых R1 и R2 независимо выбирают из водорода, необязательно замещенного алкила, или группы -D-E, в которой D представляет собой ковалентную связь или алкилен, и Е представляет собой необязательно замещенный алкокси, необязательно замещенный циклоалкил, необязательно замещенный арил, необязательно замещенный гетероарил, необязательно замещенный гетероциклил, необязательно замещенный алкенил или необязательно замещенный алкинил, при условии, что если D представляет собой ковалентную связь, Е не может представлять собой алкокси; R3 представляет собой водород, необязательно замещенный алкил или необязательно замещенный циклоалкил; Х представляет собой необязательно замещенный арилен или гетероарилен; Y представляет собой ковалентную связь или алкилен, в котором один атом углерода может быть необязательно замещен на -O-, -S- или -NH-, и необязательно замещенный гидрокси, алкокси, необязательно замещенный амино, или -COR, в которой R представляет собой гидрокси, алкокси или амино; при условии, что если необязательный заместитель представляет собой гидрокси или амино, он не может быть смежным с гетероатомом; и Z представляет собой водород, необязательно замещенный моноциклический арил или необязательно замещенный моноциклический гетероарил; при условии, что если Х представляет собой необязательно замещенный арилен, Z представляет собой необязательно замещенный моноциклический гетероарил. 28. Способ по п.27, в котором болезненное состояние выбрано из атеросклероза, ангиогенеза, диабетов типа II, диабетической ретинопатии, рака и астмы. 29. Способ по п.27, в котором болезненное состояние представляет собой воспалительное расстройство желудочно-кишечного тракта. 30. Способ по п.29, в котором воспалительное расстройство желудочно-кишечного тракта представляет собой диарею. 31. Способ по п.27, в котором болезненное состояние представляет собой неврологическое заболевание. 32. Способ по п.31, в котором неврологическое заболевание представляет собой старческое слабоумие, болезнь Альцгеймера или болезнь Паркинсона.
|
||||||||||||||||||||||||||||||||||||||||||||||||||||||||||||||||||||||||||||||||||||||||||||||||||||||||||||||||||||||||||||||||||||||||


-гексозаминидазу и триптазу, и по этой причине оно может быть блокировано специфическими гистамин Н1 блокаторами и хромалином натрия. Таким образом, имеется существенное отличие в том, как аденазин взаимодействует с тучными клетками у астматиков и, таким образом, А2В антагонисты в особенности пригодны для модуляции функции тучных клеток или активации клеток человеческого легкого.
СН), пропаргил (или проп-1-ин-3-ил, СН2-С
































































