|
|
(21), (22) Заявка: 2004114210/04, 08.11.2002
(24) Дата начала отсчета срока действия патента:
08.11.2002
(30) Конвенционный приоритет:
09.11.2001 (пп.1-4, 6-41) US 60/348,222 05.08.2002 (п.5) US 60/401,408
(43) Дата публикации заявки: 10.09.2005
(46) Опубликовано: 10.03.2008
(56) Список документов, цитированных в отчете о поиске:
RU 2129561 C1, 27.04.1999. Jacobson, Kenneth A. et al. 1,3-dialkylxanthine derivatives having high potency as antagonists at hyman A2b adenosine receptors. Drug Development Research, US; vol.47, no.1, 1999, p.45-53 (abstracts). WO 95/11681 A1, 04.05.1995. US 4879296 A, 07.11.1989. EP 1084710 A1, 21.03.1999. WO 00/73307 A2, 07.12.2000. US 5532368 A, 02.07.1996.
(85) Дата перевода заявки PCT на национальную фазу:
07.05.2004
(86) Заявка PCT:
US 02/35880 (08.11.2002)
(87) Публикация PCT:
WO 03/042214 (22.05.2003)
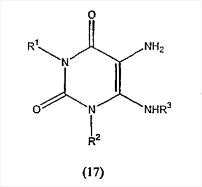
Адрес для переписки:
129010, Москва, ул. Б.Спасская, 25, стр.3, ООО “Юридическая фирма Городисский и Партнеры”, пат.пов. Е.Е.Назиной, рег. № 517
|
(72) Автор(ы):
КАЛЛА Рао (US), ПЕРРИ Тао (US), ЭЛЗЕИН Элфатих (US), ВАРХЕДКАР Вайбхав (US), ЛИ Ксиаофен (US), ИБРАХИМ Прабха (US), ПАЛЛЕ Венката (IN), КСИАО Денгминг (US), ЗАБЛОСКИ Джефф (US)
(73) Патентообладатель(и):
Си Ви ТЕРАПЬЮТИКС, ИНК. (US)
|
(54) АНТАГОНИСТЫ РЕЦЕПТОРА АДЕНОЗИНА A2B, ФАРМАЦЕВТИЧЕСКАЯ КОМПОЗИЦИЯ НА ИХ ОСНОВЕ И СПОСОБ ИХ ПОЛУЧЕНИЯ
(57) Реферат:
Данное изобретение относится к антагонистам рецептора аденозина А2B и их применению для лечения млекопитающих при различных патологических состояниях, таких как желудочно-кишечные расстройства, иммунологические расстройства, неврологические расстройства и сердечно-сосудистые заболевания, обусловленные как гиперпролиферацией клеток, так и апоптозом, и тому подобных. Также изобретение относится к способам получения таких соединений и к содержащим их фармацевтическим композициям. Целью данного изобретения является применение соединений общих формул I и II для получения фармацевтической композиции, обладающей антагонистической активностью в отношении рецептора аденозина А2B

где значения радикалов указаны в описании. 4 н. и 37 з.п. ф-лы.
Приоритет заявляется на основании предварительной заявки на выдачу патента США с регистрационным № 60/348222, поданной 9 ноября 2001 г., и предварительной заявки на выдачу патента США с регистрационным № 60/401408, поданной 5 августа 2002 г., полное описание которых включено в данную заявку в виде ссылки.
Область изобретения
Данное изобретение относится к антагонистам рецептора аденозина A2B и их применению для лечения млекопитающих при различных патологических состояниях, таких как желудочно-кишечные расстройства, иммунологические расстройства, неврологические расстройства и сердечно-сосудистые заболевания, обусловленные как гиперпролиферацией клеток, так и апоптозом, и тому подобных. Изобретение также относится к способам получения таких соединений и к содержащим их фармацевтическим композициям.
Предпосылки создания изобретения
Аденозин является встречающимся в природе нуклеозидом, который оказывает свое биологическое действие посредством взаимодействия с семейством рецепторов аденозина, называемых A1, A2A, A2B и A3, каждый из которых модулирует важные физиологические процессы. Например, рецепторы аденозина A2A модулируют вазодилатацию коронарных сосудов, рецепторы A2B вовлечены в активацию тучных клеток, астму, вазодилатацию, регуляцию роста клеток, функционирование кишечника и модулирование нейросекреции (см. Adenosine A2B Receptors as Therapeutic Targets, Drug Dev. Res. 45: 198; Feoktistov et al., Trends Pharmacol. Sci. 19: 148-153), и рецепторы аденозина A3 модулируют процессы пролиферации клеток.
Рецепторы аденозина A2B распространены повсеместно и регулируют множество биологических активностей. Например, аденозин связывается с рецепторами A2B на эндотелиальных клетках, стимулируя при этом ангиогенез. Аденозин также регулирует рост популяций гладкомышечных клеток в кровеносных сосудах. Аденозин стимулирует рецепторы A2B на тучных клетках, модулируя таким образом реакции гиперчувствительности типа I. Аденозин также стимулирует секреторную активность желудка при связывании с A2B в кишечнике.
Несмотря на то, что многие из указанных биологических эффектов аденозина необходимы для поддержания нормального гомеостаза ткани, при некоторых физиологических изменениях требуется модулирование его действия. Например, связывание рецепторов A2B стимулирует ангиогенез в результате стимуляции роста эндотелиальных клеток. Такая активность необходима при заживлении ран, но гиперпролиферация эндотелиальных клеток способствует диабетической ретинопатии. Также нежелательное разрастание кровеносных сосудов происходит при неоплазии. Следовательно, ингибирование связывания аденозина с рецепторами A2B в эндотелии будет ослаблять или предотвращать гиперваскуляризацию, предотвращая таким образом ретинопатию и ингибируя образование опухолей.
Рецепторы A2B обнаружены в ободочной кишке в базолатеральных доменах эпителиальных клеток кишечника и, когда на них влияет соответствующий лиганд, они действуют, увеличивая секрецию хлорида, соответственно вызывая диарею, которая является обычным и потенциально летальным осложнением при инфекционных заболеваниях, таких как холера и тиф. Следовательно, антагонисты A2B можно использовать для блокирования секреции хлоридов в кишечнике и, таким образом, они применимы при лечении воспалительных расстройств желудочно-кишечного тракта, включая диарею.
Нечувствительность к инсулину обостряет диабет и ожирение. Чувствительность к инсулину снижается при взаимодействии аденозина с рецепторами A2B. Таким образом, блокирование рецепторов аденозина A2B у больных диабетом или ожирением может помочь пациентам с указанными нарушениями.
Другое неблагоприятное биологическое влияние аденозина, действующего на рецептор A2B, заключается в сверхстимуляции церебрального IL-6, цитокина, связанного с деменциями и болезнью Альцгеймера. Таким образом, ингибирование связывания аденозина с рецепторами A2B может ослаблять такие неврологические расстройства, которые вызваны IL-6.
Расстройства, связанные с гиперчувствительностью типа I, такие как астма, сенная лихорадка и атопическая экзема, стимулируются связыванием с A2B-рецепторами тучных клеток. Следовательно, блокирование указанных рецепторов аденозина может приносить терапевтическую пользу при таких расстройствах.
Существует несколько соединений, используемых в настоящее время для лечения астмы. Например, теофиллин является эффективным противоастматическим средством, даже несмотря на то, что он является плохим антагонистом рецептора аденозина. Однако необходимы значительные уровни для того, чтобы он был эффективным. Кроме того, теофиллин обладает существенными побочными эффектами, большинство из которых обусловлено его действием на ЦНС, отсутствием целебного воздействия при астме и тем фактом, что он неспецифически блокирует все подтипы рецепторов аденозина.
Кроме того, терапия аденозином, таким как аденозин, вводимый путем ингаляции (или аденозинмонофосфат), провоцирует бронхоконстрикция у астматиков, но не в популяции здоровых людей. Известно, что в данный процесс вовлечена активация тучных клеток, так как в ходе процесса высвобождаются медиаторы тучных клеток, включая гистамин, PGD2- -гексозаминидазу и триптазу, и поскольку процесс можно блокировать специфичными блокаторами гистамина H1 и кромолин-натрием. Таким образом, имеется существенное отличие пути взаимодействия аденозина с тучными клетками у астматиков, и, следовательно, антагонисты A2B, в частности, применимы для модулирования функции тучных клеток или активации клеток легкого человека.
Таким образом, требуется получить соединения, которые являются эффективными антагонистами A2B, полностью или частично избирательными в отношении рецептора A2B, применимые для лечения различных патологических состояний, связанных с модулированием рецептора A2B, например, злокачественной опухоли, астмы и диареи.
КРАТКОЕ ИЗЛОЖЕНИЕ СУЩНОСТИ ИЗОБРЕТЕНИЯ
Целью данного изобретения является получение антагонистов рецептора A2B. Таким образом, в первом аспекте изобретение относится к соединениям формулы I и формулы II:
 |
| Формула I |
Формула II |
где:
R1 и R2 независимо выбраны из водорода, необязательно замещенного алкила или группы -D-E, в которой D означает ковалентную связь или алкилен и E означает необязательно замещенную алкоксигруппу, необязательно замещенный циклоалкил, необязательно замещенный арил, необязательно замещенный гетероарил, необязательно замещенный гетероциклил, необязательно замещенный алкенил или необязательно замещенный алкинил, при условии, что, когда D является ковалентной связью, E не может быть алкоксигруппой;
R3 означает водород, необязательно замещенный алкил или необязательно замещенный циклоалкил;
X означает необязательно замещенный арилен или необязательно замещенный гетероарилен;
Y является ковалентной связью или алкиленом, в котором один атом углерода может быть необязательно заменен -O-, -S- или -NH- и необязательно замещен гидроксильной группой, алкоксигруппой, необязательно замещенной аминогруппой или -COR, где R означает гидроксильную группу, алкоксигруппу или аминогруппу;
при условии, что когда необязательно замещающая группа является гидроксильной группой или аминогруппой, она не может располагаться рядом с гетероатомом; и
Z означает необязательно замещенный моноциклический арил или необязательно замещенный моноциклический гетероарил; или
Z означает водород в том случае, когда X является необязательно замещенным гетероариленом, а Y является ковалентной связью;
при условии, что когда X является необязательно замещенным ариленом, Z является необязательно замещенным моноциклическим гетероарилом.
Второй аспект данного изобретения относится к фармацевтическим композициям, содержащим терапевтически эффективное количество соединения формулы I или формулы II или их смеси и, по меньшей мере, один фармацевтически приемлемый эксципиент.
Третий аспект данного изобретения относится к способу применения соединений формулы I и формулы II для лечения заболевания или состояния млекопитающего, которое можно успешно лечить с помощью антагониста рецептора A2B, включающему введение нуждающемуся в этом млекопитающему терапевтически эффективной дозы соединения формулы I или формулы II или их смеси.
Такие заболевания включают, но не ограничены указанным, по меньшей мере, одно из следующих заболеваний: астму, воспалительные расстройства желудочно-кишечного тракта, включая диарею, сердечно-сосудистые заболевания, такие как атеросклероз, неврологические расстройства, такие как старческая деменция, болезнь Альцгеймера и болезнь Паркинсона и заболевания, связанные с ангиогенезом, например, диабетическую ретинопатию и злокачественную опухоль.
Четвертый аспект данного изобретения относится к способам получения соединений формулы I и формулы II.
Одной предпочтительной группой соединений формул I и II являются соединения, в которых R1 и R2 независимо являются водородом, необязательно замещенным низшим алкилом или группой -D-E, где D означает ковалентную связь или алкилен, а E означает необязательно замещенный фенил, необязательно замещенный циклоалкил, необязательно замещенный алкенил или необязательно замещенный алкинил, особенно соединения, в которых R3 является водородом.
В указанной группе первый предпочтительный класс соединений включает соединения, в которых R1 и R2 независимо означают низший алкил, необязательно замещенный циклоалкилом, предпочтительно н-попил, и X является необязательно замещенным фениленом. В указанном классе предпочтительным подклассом соединений являются соединения, в которых Y является алкиленом, включая алкилен, в котором атом углерода заменен атомом кислорода, предпочтительно -O-CH2-, особенно, где кислород является точкой присоединения к фенилену. В данном подклассе предпочтительно Z представляет собой необязательно замещенный оксадиазол, в частности, необязательно замещенный [1,2,4]оксадиазол-3-ил, особенно [1,2,4]оксадиазол-3-ил, замещенный необязательно замещенным фенилом.
Второй предпочтительный класс соединений включает соединения, в которых X является необязательно замещенным 1,4-пиразоленом. В указанном классе предпочтительным подклассом соединений являются соединения, в которых Y является алкиленом, особенно низшим алкиленом, и Z означает водород, необязательно замещенный фенил или необязательно замещенный оксадиазол. В данном подклассе один предпочтительный вариант включает соединения, в которых R1 представляет собой низший алкил, необязательно замещенный циклоалкилом, и R2 является водородом. Более предпочтительный вариант включает такие соединения, в которых Y является -(CH2)- или -CH(CH3)- и Z означает необязательно замещенный фенил. Другой предпочтительный вариант включает такие соединения, в которых Y является -(CH2)- или -CH(CH3)- и Z означает необязательно замещенный оксадиазол, в частности 3,5-[1,2,4]оксадиазол. В данном подклассе также предпочтительными являются такие соединения, в которых R1 и R2 независимо представляют собой низший алкил, необязательно замещенный циклоалкилом, особенно н-пропил. Более предпочтительными являются такие соединения, в которых Y является ковалентной связью, -(CH2)- или -CH(CH3)- и Z означает водород или необязательно замещенный фенил, в частности, где Y является ковалентной связью, а Z представляет собой водород.
В настоящее время предпочтительными соединениями являются:
1-пропил-8-(1-{[3-(трифторметил)фенил]метил}пиразол-4-ил)-1,3,7-тригидропурин-2,6-дион;
1-пропил-8-[1-бензилпиразол-4-ил]-1,3,7-тригидропурин-2,6-дион;
1-бутил-8-(1-{[3-фторфенил]метил}пиразол-4-ил)-1,3,7-тригидропурин-2,6-дион;
1-пропил-8-[1-(фенилэтил)пиразол-4-ил]-1,3,7-тригидропурин-2,6-дион;
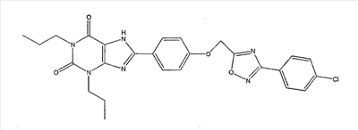
8-(1-{[5-(4-хлорфенил)(1,2,4-оксадиазол-3-ил)]метил}пиразол-4-ил)-1-пропил-1,3,7-тригидропурин-2,6-дион;
8-(1-{[5-(4-хлорфенил)(1,2,4-оксадиазол-3-ил)]метил}пиразол-4-ил)-1-бутил-1,3,7-тригидропурин-2,6-дион;
1,3-дипропил-8-пиразол-4-ил-1,3,7-тригидропурин-2,6-дион;
1-метил-3-втор-бутил-8-пиразол-4-ил-1,3,7-тригидропурин-2,6-дион;
1-циклопропилметил-3-метил-8-{1-[(3-трифторметилфенил)метил]пиразол-4-ил}-1,3,7-тригидропурин-2,6-дион;
1,3-диметил-8-{1-[(3-фторфенил)метил]пиразол-4-ил}-1,3,7-тригидропурин-2,6-дион;
3-метил-1-пропил-8-{1-[(3-трифторметилфенил)метил]пиразол-4-ил}-1,3,7-тригидропурин-2,6-дион;
3-этил-1-пропил-8-{1-[(3-трифторметилфенил)метил]пиразол-4-ил}-1,3,7-тригидропурин-2,6-дион;
1,3-дипропил-8-(1-{[3-(трифторметил)фенил]метил}пиразол-4-ил)-1,3,7-тригидропурин-2,6-дион;
1,3-дипропил-8-{1-[(3-фторфенил)метил]пиразол-4-ил}-1,3,7-тригидропурин-2,6-дион;
1-этил-3-метил-8-{1-[(3-фторфенил)метил]пиразол-4-ил}-1,3,7-тригидропурин-2,6-дион;
1,3-дипропил-8-{1-[(2-метоксифенил)метил]пиразол-4-ил}-1,3,7-тригидропурин-2,6-дион;
1,3-дипропил-8-(1-{[3-(трифторметил)фенил]этил}пиразол-4-ил)-1,3,7-тригидропурин-2,6-дион;
1,3-дипропил-8-{1-[(4-карбоксифенил)метил]пиразол-4-ил}-1,3,7-тригидропурин-2,6-дион;
2-[4-(2,6-диоксо-1,3-дипропил(1,3,7-тригидропурин-8-ил))пиразолил]-2-фенилуксусная кислота;
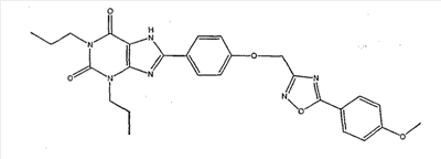
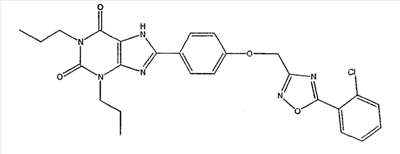
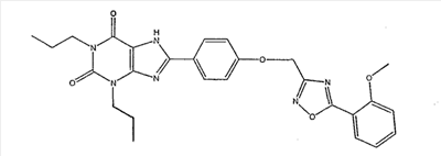
8-{4-[5-(2-метоксифенил)-[1,2,4]оксадиазол-3-илметокси]фенил}-1,3-дипропил-1,3,7-тригидропурин-2,6-дион;
8-{4-[5-(3-метоксифенил)-[1,2,4]оксадиазол-3-илметокси]фенил}-1,3-дипропил-1,3,7-тригидропурин-2,6-дион; и
8-{4-[5-(4-фторфенил)-[1,2,4]оксадиазол-3-илметокси]фенил}-1,3-дипропил-1,3,7-тригидропурин-2,6-дион.
Определения и общие параметры
В используемом в данном описании смысле, в общем, подразумевается, что следующие слова и фразы имеют значения, указанные ниже, за исключением того значения, которое указано особо в контексте, в котором они используются.
Термин “алкил” относится к монорадикалу (с одной свободной связью) разветвленной или неразветвленной насыщенной углеводородной цепи, содержащей 1, 2, 3, 4, 5, 6, 7, 8, 9, 10, 11, 12, 13, 14, 15, 16, 17, 18, 19 или 20 атомов углерода. Примерами указанного термина являются такие группы, как метил, этил, н-пропил, изопропил, н-бутил, изобутил, трет-бутил, н-гексил, н-децил, тетрадецил и тому подобное.
Термин “замещенный алкил” относится к:
1) алкильной группе, которая определена выше, имеющей 1, 2, 3, 4 или 5 заместителей, предпочтительно от 1 до 3 заместителей, выбранных из группы, состоящей из алкенила, алкинила, алкоксигруппы, циклоалкила, циклоалкенила, ацила, ациламиногруппы, ацилоксигруппы, аминогруппы, аминокарбонила, алкоксикарбониламиногруппы, азидогруппы, цианогруппы, галогена, гидроксильной группы, кетогруппы, тиокарбонила, карбоксильной группы, карбоксиалкила, арилтиогруппы, гетероарилтиогруппы, гетероциклилтиогруппы, тиола, алкилтиогруппы, арила, арилоксигруппы, гетероарила, аминосульфонила, аминокарбониламиногруппы, гетероарилоксигруппы, гетероциклила, гетероциклооксигруппы, гидроксиаминогруппы, алкоксиаминогруппы, нитрогруппы, -SO-алкила, -SO-арила, -SO-гетероарила, -SO2-алкила, -SO2-арила и -SO2-гетероарила. Если не ограничено особо рамками определения, все заместители необязательно могут быть дополнительно замещены 1, 2 или 3 заместителями, выбранными из алкила, карбоксильной группы, карбоксиалкила, аминокарбонила, гидроксильной группы, алкоксигруппы, галогена, CF3, аминогруппы, замещенной аминогруппы, цианогруппы и -S(O)nR, где R означает алкил, арил или гетероарил и n равно 0, 1 или 2; или
2) алкильной группе, которая определена выше, цепь в которой прерывается 1-10 атомами, независимо выбранными из кислорода, серы и NRa-, где Ra выбран из водорода, алкила, циклоалкила, алкенила, циклоалкенила, алкинила, арила, гетероарила и гетероциклила. Все заместители необязательно могут быть дополнительно замещены алкилом, алкоксигруппой, галогеном, CF3, аминогруппой, замещенной аминогруппой, цианогруппой или -S(O)nR, где R означает алкил, арил или гетероарил и n равно 0, 1 или 2; или
3) алкильной группе, которая определена выше, которая имеет 1, 2, 3, 4 или 5 заместителей, определенных выше, а также прерывается 1-10 определенными выше атомами.
Термин “низший алкил” относится к монорадикалу разветвленной или неразветвленной насыщенной углеводородной цепи, имеющей 1, 2, 3, 4, 5 или 6 атомов углерода. Указанный термин иллюстрируется такими группами, как метил, этил, н-попил, изопропил, н-бутил, изобутил, трет-бутил, н-гексил и тому подобное.
Термин “замещенный низший алкил” относится к низшему алкилу, который определен выше, имеющему от 1 до 5 заместителей, предпочтительно 1, 2 или 3 заместителя, которые определены для замещенного алкила, или к низшей алкильной группе, которая определена выше, которая прерывается 1, 2, 3, 4 или 5 атомами, определенными для замещенного алкила, или к низшей алкильной группе, которая определена выше, которая имеет 1, 2, 3, 4 или 5 заместителей, определенных выше, а также прерывается 1, 2, 3, 4 или 5 определенными выше атомами.
Термин “алкилен” относится к бирадикалу разветвленной или неразветвленной насыщенной углеводородной цепи, содержащей 1, 2, 3, 4, 5, 6, 7, 8, 9, 10, 11, 12, 13, 14, 15, 16, 17, 18, 19 или 20 атомов углерода, предпочтительно 1-10 атомов углерода, более предпочтительно 1, 2, 3, 4, 5 или 6 атомов углерода. Данный термин иллюстрируется такими группами, как метилен (-CH2-), этилен (-CH2CH2-), изомеры пропилена (например, -CH2CH2CH2– и -CH(CH3)CH2-) и тому подобное.
Термин “низший алкилен” относится к бирадикалу разветвленной или неразветвленной насыщенной углеводородной цепи, предпочтительно содержащей 1, 2, 3, 4, 5 или 6 атомов углерода.
Термин “замещенный алкилен” относится к:
(1) группе алкилена, которая определена выше, имеющей 1, 2, 3, 4 или 5 заместителей, выбранных из группы, состоящей из алкила, алкенила, алкинила, алкоксигруппы, циклоалкила, циклоалкенила, ацила, ациламиногруппы, ацилоксигруппы, аминогруппы, аминокарбонила, алкоксикарбониламиногруппы, азидогруппы, цианогруппы, галогена, гидроксильной группы, кетогруппы, тиокарбонила, карбоксильной группы, карбоксиалкила, арилтиогруппы, гетероарилтиогруппы, гетероциклилтиогруппы, тиола, алкилтиогруппы, арила, арилоксигруппы, гетероарила, аминосульфонила, аминокарбониламиногруппы, гетероарилоксигруппы, гетероциклила, гетероциклооксигруппы, гидроксиаминогруппы, алкоксиаминогруппы, нитрогруппы, -SO-алкила, -SO-арила, -SO-гетероарила, -SO2-алкила, -SO2-арила и -SO2-гетероарила. Если не ограничено особо определением, все заместители необязательно могут быть дополнительно замещены 1, 2 или 3 заместителями, выбранными из алкила, карбоксильной группы, карбоксиалкила, аминокарбонила, гидроксильной группы, алкоксигруппы, галогена, CF3, аминогруппы, замещенной аминогруппы, цианогруппы и -S(O)nR, где R означает алкил, арил или гетероарил и n равно 0, 1 или 2; или
(2) группе алкилена, которая определена выше, которая прерывается 1-20 атомами, независимо выбранными из кислорода, серы и NRa-, где Ra выбран из водорода, необязательно замещенного алкила, циклоалкила, циклоалкенила, арила, гетероарила и гетероциклила, или является группами, выбранными из карбонила, карбоксиэфирной группы, карбоксиамида и сульфонила; или
(3) группе алкилена, которая определена выше, которая имеет 1, 2, 3, 4 или 5 заместителей, определенных выше, а также прерывается 1-20 атомами, определенными выше. Примерами замещенных алкиленов являются хлорметилен (-CH(Cl)-), аминоэтилен (-CH(NH2)CH2-), метиламиноэтилен (-CH(NHMe)CH2-), изомеры 2-карбоксипропилена (-CH2CH(CO2H)CH2-), этоксиэтил (-CH2CH2O-CH2CH2-), этилметиламиноэтил (-CH2CH2N(CH3)CH2CH2-), 1-этокси-2-(2-этоксиэтокси)этан (-CH2CH2O-CH2CH2-OCH2CH2-OCH2CH2-) и тому подобное.
Термин “аралкил” относится к арильной группе, ковалентно связанной с группой алкилена, где арил и алкилен имеют значения, определенные в данном описании. “Необязательно замещенный аралкил” относится к необязательно замещенной арильной группе, ковалентно связанной с необязательно замещенной группой алкилена. Примерами таких аралкильных групп являются бензил, фенилэтил, 3-(4-метоксифенил)пропил и тому подобное.
Термин “алкоксигруппа” относится к группе R-O-, где R означает необязательно замещенный алкил или необязательно замещенный циклоалкил или R является группой -Y-Z, в которой Y является необязательно замещенным алкиленом и Z является необязательно замещенным алкенилом, необязательно замещенным алкинилом или необязательно замещенным циклоалкенилом, где алкил, алкенил, алкинил, циклоалкил и циклоалкенил имеют значения, определенные в данном описании. Предпочтительной алкоксигруппой является необязательно замещенный алкил-O- и включает в качестве примера метокси-, этокси-, н-пропокси-, изопропокси-, н-бутокси-, трет-бутокси-, втор-бутокси-, н-пентокси-, н-гексокси-, 1,2-диметилбутокси-, трифторметоксигруппы и тому подобное.
Термин “алкилтиогруппа” относится к группе R-S-, где R означает группу, определенную для алкоксигруппы.
Термин “алкенил” относится к монорадикалу разветвленной или неразветвленной ненасыщенной углеводородной группы, предпочтительно содержащей от 2 до 20 атомов углерода, более предпочтительно от 2 до 10 атомов углерода и еще более предпочтительно от 2 до 6 атомов углерода и имеющей 1-6, предпочтительно 1 двойную связь (винил). Предпочтительные алкенильные группы включают этенил или винил (-CH=CH2), 1-пропилен или аллил (-CH2CH=CH2), изопропилен (-C(CH3)=CH2), бицикло[2.2.1]гептен и тому подобное. В том случае, когда алкенил связан с азотом, двойная связь не может быть в альфа-положении по отношению к азоту.
Термин “низший алкенил” относится к алкенилу, который определен выше, содержащему от 2 до 6 атомов углерода.
Термин “замещенный алкенил” относится к алкенильной группе, которая определена выше, имеющей 1, 2, 3, 4 или 5 заместителей и предпочтительно 1, 2 или 3 заместителя, выбранных из группы, состоящей из алкила, алкенила, алкинила, алкоксигруппы, циклоалкила, циклоалкенила, ацила, ациламиногруппы, ацилоксигруппы, аминогруппы, аминокарбонила, алкоксикарбониламиногруппы, азидогруппы, цианогруппы, галогена, гидроксильной группы, кетогруппы, тиокарбонила, карбоксильной группы, карбоксиалкила, арилтиогруппы, гетероарилтиогруппы, гетероциклилтиогруппы, тиола, алкилтиогруппы, арила, арилоксигруппы, гетероарила, аминосульфонила, аминокарбониламиногруппы, гетероарилоксигруппы, гетероциклила, гетероциклооксигруппы, гидроксиаминогруппы, алкоксиаминогруппы, нитрогруппы, -SO-алкила, -SO-арила, -SO-гетероарила, -SO2-алкила, -SO2-арила и -SO2-гетероарила. Если не ограничено особо определением, все заместители необязательно могут быть дополнительно замещены 1, 2 или 3 заместителями, выбранными из алкила, карбоксильной группы, карбоксиалкила, аминокарбонила, гидроксильной группы, алкоксигруппы, галогена, CF3, аминогруппы, замещенной аминогруппы, цианогруппы и -S(O)nR, где R означает алкил, арил или гетероарил и n равно 0, 1 или 2.
Термин “алкинил” относится к монорадикалу ненасыщенного углеводорода, предпочтительно содержащего от 2 до 20 атомов углерода, более предпочтительно от 2 до 10 атомов углерода и еще более предпочтительно от 2 до 6 атомов углерода и имеющего, по меньшей мере, 1 и, предпочтительно, 1-6 положений ненасыщенности ацетилена (тройной связи). Предпочтительные алкинильные группы включают этинил, (-CCH), пропаргил (или проп-1-ин-3-ил, -CH2CCH) и тому подобное. В том случае, когда алкинил связан с азотом, тройная связь не может быть в альфа-положении по отношению к азоту.
Термин “замещенный алкинил” относится к алкинильной группе, которая определена, имеющей 1, 2, 3, 4 или 5 заместителей и предпочтительно 1, 2 или 3 заместителя, выбранных из группы, состоящей из алкила, алкенила, алкинила, алкоксигруппы, циклоалкила, циклоалкенила, ацила, ациламиногруппы, ацилоксигруппы, аминогруппы, аминокарбонила, алкоксикарбониламиногруппы, азидогруппы, цианогруппы, галогена, гидроксильной группы, кетогруппы, тиокарбонила, карбоксильной группы, карбоксиалкила, арилтиогруппы, гетероарилтиогруппы, гетероциклилтиогруппы, тиола, алкилтиогруппы, арила, арилоксигруппы, гетероарила, аминосульфонила, аминокарбониламиногруппы, гетероарилоксигруппы, гетероциклила, гетероциклооксигруппы, гидроксиаминогруппы, алкоксиаминогруппы, нитрогруппы, -SO-алкила, -SO-арила, -SO-гетероарила, -SO2-алкила, -SO2-арила и -SO2-гетероарила. Если не ограничено особо определением, все заместители необязательно могут быть дополнительно замещены 1, 2 или 3 заместителями, выбранными из алкила, карбоксильной группы, карбоксиалкила, аминокарбонила, гидроксильной группы, алкоксигруппы, галогена, CF3, аминогруппы, замещенной аминогруппы, цианогруппы и -S(O)nR, где R означает алкил, арил или гетероарил и n равно 0, 1 или 2.
Термин “аминокарбонил” относится к группе -C(O)NRR, где каждый R независимо означает водород, алкил, арил, гетероарил, гетероциклил или где обе R-группы связаны с образованием гетероциклической группы (например, морфолиногруппы). Если не ограничено особо определением, все заместители необязательно могут быть дополнительно замещены 1-3 заместителями, выбранными из алкила, карбоксильной группы, карбоксиалкила, аминокарбонила, гидроксильной группы, алкоксигруппы, галогена, CF3, аминогруппы, замещенной аминогруппы, цианогруппы и -S(O)nR, где R означает алкил, арил или гетероарил и n равно 0, 1 или 2.
Термин “ациламиногруппа” относится к группе -NRC(O)R, где каждый R независимо означает водород, алкил, арил, гетероарил или гетероциклил. Если не ограничено особо определением, все заместители необязательно могут быть дополнительно замещены 1-3 заместителями, выбранными из алкила, карбоксильной группы, карбоксиалкила, аминокарбонила, гидроксильной группы, алкоксигруппы, галогена, CF3, аминогруппы, замещенной аминогруппы, цианогруппы и -S(O)nR, где R означает алкил, арил или гетероарил и n равно 0, 1 или 2.
Термин “ацилоксигруппа” относится к группам -O(O)C-алкил, -O(O)C-циклоалкил, -O(O)C-арил, -O(O)C-гетероарил и -O(O)C-гетероциклил. Если не ограничено особо определением, все заместители необязательно могут быть замещены алкилом, карбоксильной группой, карбоксиалкилом, аминокарбонилом, гидроксильной группой, алкоксигруппой, галогеном, CF3, аминогруппой, замещенной аминогруппой, цианогруппой или -S(O)nR, где R означает алкил, арил или гетероарил и n равно 0, 1 или 2.
Термин “арил” относится к ароматической карбоциклической группе из 6-20 атомов углерода, имеющей один цикл (например, фенил) или множество циклов (например, бифенил) или множество конденсированных (слитых) циклов (например, нафтил или антрил). Предпочтительные арилы включают фенил, нафтил и тому подобное.
Термин “арилен” относится к бирадикалу арильной группы, которая определена выше. Указанный термин иллюстрируется такими группами как 1,4-фенилен, 1,3-фенилен, 1,2-фенилен, 1,4′-бифенилен и тому подобное.
Если не ограничено особо определением заместителя арила или арилена, такие арильные или ариленовые группы необязательно могут быть замещены 1-5 заместителями, предпочтительно 1-3 заместителями, выбранными из группы, состоящей из алкила, алкенила, алкинила, алкоксигруппы, циклоалкила, циклоалкенила, ацила, ациламиногруппы, ацилоксигруппы, аминогруппы, аминокарбонила, алкоксикарбониламиногруппы, азидогруппы, цианогруппы, галогена, гидроксильной группы, кетогруппы, тиокарбонила, карбоксильной группы, карбоксиалкила, арилтиогруппы, гетероарилтиогруппы, гетероциклилтиогруппы, тиола, алкилтиогруппы, арила, арилоксигруппы, гетероарила, аминосульфонила, аминокарбониламиногруппы, гетероарилоксигруппы, гетероциклила, гетероциклооксигруппы, гидроксиаминогруппы, алкоксиаминогруппы, нитрогруппы, -SO-алкила, -SO-арила, -SO-гетероарила, -SO2-алкила, -SO2-арила и -SO2-гетероарила. Если не ограничено особо определением, все заместители необязательно могут быть дополнительно замещены 1-3 заместителями, выбранными из алкила, карбоксильной группы, карбоксиалкила, аминокарбонила, гидроксильной группы, алкоксигруппы, галогена, CF3, аминогруппы, замещенной аминогруппы, цианогруппы и -S(O)nR, где R означает алкил, арил или гетероарил и n равно 0, 1 или 2.
Термин “арилоксигруппа” относится к группе арил-O-, где арильная группа имеет значение, определенное выше, и включает необязательно замещенные арильные группы, которые также определены выше. Термин “арилтиогруппа” относится к группе R-S-, где R имеет значение, определенное для арила.
Термин “аминогруппа” относится к группе -NH2.
Термин “замещенная аминогруппа” относится к группе -NRR, где каждый R независимо выбран из группы, состоящей из водорода, алкила, циклоалкила, карбоксиалкила (например, бензилоксикарбонила), арила, гетероарила и гетероциклила, при условии, что обе группы R не являются водородом, или группы -Y-Z, в которой Y является необязательно замещенным алкиленом, а Z является алкенилом, циклоалкенилом или алкинилом. Если не ограничено особо определением, все заместители необязательно могут быть дополнительно замещены 1-3 заместителями, выбранными из алкила, карбоксильной группы, карбоксиалкила, аминокарбонила, гидроксильной группы, алкоксигруппы, галогена, CF3, аминогруппы, замещенной аминогруппы, цианогруппы и -S(O)nR, где R означает алкил, арил или гетероарил и n равно 0, 1 или 2.
Термин “карбоксиалкил” относится к группам -C(O)O-алкил, -C(O)O-циклоалкил, где алкил и циклоалкил имеют значение, определенное в данном описании, и необязательно могут быть дополнительно замещены алкилом, алкенилом, алкинилом, алкоксигруппой, галогеном, CF3, аминогруппой, замещенной аминогруппой, цианогруппой или -S(O)nR, где R означает алкил, арил или гетероарил и n равно 0, 1 или 2.
Термин “циклоалкил” относится к карбоциклическим группам из 3-20 атомов углерода, имеющим одно циклическое кольцо или множество конденсированных колец. Такие циклоалкильные группы включают, в качестве примера, однокольцевые структуры, такие как циклопропил, циклобутил, циклопентил, циклооктил и тому подобное, или структуры из множества колец, такие как адамантанил, бицикло[2.2.1]гептан,
1,3,3-триметилбицикло[2.2.1]гепт-2-ил,
(2,3,3-триметилбицикло[2.2.1]гепт-2-ил), или карбоциклические группы, с которыми конденсирована арильная группа, например индан и тому подобное.
Термин “замещенный циклоалкил” относится к циклоалкильным группам, имеющим 1, 2, 3, 4 или 5 заместителей и предпочтительно 1, 2 или 3 заместителя, выбранных из группы, состоящей из алкила, алкенила, алкинила, алкоксигруппы, циклоалкила, циклоалкенила, ацила, ациламиногруппы, ацилоксигруппы, аминогруппы, аминокарбонила, алкоксикарбониламиногруппы, азидогруппы, цианогруппы, галогена, гидроксильной группы, кетогруппы, тиокарбонила, карбоксильной группы, карбоксиалкила, арилтиогруппы, гетероарилтиогруппы, гетероциклилтиогруппы, тиола, алкилтиогруппы, арила, арилоксигруппы, гетероарила, аминосульфонила, аминокарбониламиногруппы, гетероарилоксигруппы, гетероциклила, гетероциклооксигруппы, гидроксиаминогруппы, алкоксиаминогруппы, нитрогруппы, -SO-алкила, -SO-арила, -SO-гетероарила, -SO2-алкила, -SO2-арила и -SO2-гетероарила. Если не ограничено особо определением, все заместители необязательно могут быть дополнительно замещены 1, 2 или 3 заместителями, выбранными из алкила, карбоксильной группы, карбоксиалкила, аминокарбонила, гидроксильной группы, алкоксигруппы, галогена, CF3, аминогруппы, замещенной аминогруппы, цианогруппы и -S(O)nR, где R означает алкил, арил или гетероарил и n равно 0, 1 или 2.
Термин “галоген” или “гало-” относится к фтору, брому, хлору и йоду.
Термин “ацил” означает группу -C(O)R, в которой R является водородом, необязательно замещенным алкилом, необязательно замещенным циклоалкилом, необязательно замещенным гетероциклилом, необязательно замещенным арилом и необязательно замещенным гетероарилом.
Термин “гетероарил” относится к ароматической циклической группе (например, полностью ненасыщенной), содержащей 1, 2, 3, 4, 5, 6, 7, 8, 9, 10, 11, 12, 13, 14 или 15 атомов углерода и 1, 2, 3 или 4 гетероатома, выбранных из кислорода, азота и серы, по меньшей мере, в одном цикле. Такие гетероарильные группы могут иметь один цикл (например, пиридил или фурил) или множество конденсированных циклов (например, индолизинил, бензотиазолил или бензотиенил). Примеры гетероарилов включают, но не ограничены указанным, [1,2,4]оксадиазол, [1,3,4]оксадиазол, [1,2,4]тиадиазол, [1,3,4]тиадиазол, пиррол, имидазол, пиразол, пиридин, пиразин, пиримидин, пиридазин, индолизин, изоиндол, индол, индазол, пурин, хинолизин, изохинолин, хинолин, фталазин, нафтилпиридин, хиноксалин, хиназолин, циннолин, птеридин, карбазол, карболин, фенантридин, акридин, фенантролин, изотиазол, феназин, изоксазол, феноксазин, фенотиазин, имидазолидин, имидазолин и тому подобное, а также N-алкокси-азотсодержащие гетероарильные соединения.
Термин “гетероарилен” относится к бирадикалу гетероарильной группы, которая определена выше. Указанный термин иллюстрируется такими группами, как 2,5-имидазолен, 3,5-[1,2,4]оксадиазолен, 2,4-оксазолен, 1,4-пиразолен и тому подобное. Например, 1,4-пиразолен представляет собой:

где A означает точку связывания.
Если особо не ограничено определением заместителя гетероарила или гетероарилена, такие гетероарильные или гетероариленовые группы необязательно могут быть замещены 1-5 заместителями, предпочтительно 1-3 заместителями, выбранными из группы, состоящей из алкила, алкенила, алкинила, алкоксигруппы, циклоалкила, циклоалкенила, ацила, ациламиногруппы, ацилоксигруппы, аминогруппы, аминокарбонила, алкоксикарбониламиногруппы, азидогруппы, цианогруппы, галогена, гидроксильной группы, кетогруппы, тиокарбонила, карбоксильной группы, карбоксиалкила, арилтиогруппы, гетероарилтиогруппы, гетероциклилтиогруппы, тиола, алкилтиогруппы, арила, арилоксигруппы, гетероарила, аминосульфонила, аминокарбониламиногруппы, гетероарилоксигруппы, гетероциклила, гетероциклооксигруппы, гидроксиаминогруппы, алкоксиаминогруппы, нитрогруппы, -SO-алкила, -SO-арила, -SO-гетероарила, -SO2-алкила, -SO2-арила и -SO2-гетероарила. Если особо не ограничено определением, все заместители необязательно могут быть дополнительно замещены 1-3 заместителями, выбранными из алкила, карбоксильной группы, карбоксиалкила, аминокарбонила, гидроксильной группы, алкоксигруппы, галогена, CF3, аминогруппы, замещенной аминогруппы, цианогруппы и -S(O)nR, где R означает алкил, арил или гетероарил и n равно 0, 1 или 2.
Термин “гетероаралкил” относится к гетероарильной группе, ковалентно связанной с группой алкилена, где гетероарил и алкилен имеют значение, определенное в данном описании. “Необязательно замещенный гетероаралкил” относится к необязательно замещенной гетероарильной группе, ковалентно связанной с необязательно замещенной группой алкилена. Примерами таких гетероаралкильных групп являются 3-пиридилметил, хинолин-8-илэтил, 4-метокситиазол-2-илпропил и тому подобное.
Термин “гетероарилоксигруппа” относится к группе гетероарил-O-.
Термин “гетероциклил” относится к монорадикалу (с одной свободной связью) насыщенной или частично ненасыщенной группе, имеющей один цикл или множество конденсированных циклов, содержащей от 1 до 40 атомов углерода и от 1 до 10 гетероатомов, предпочтительно 1, 2, 3 или 4 гетероатома, выбранных из азота, серы, фосфора и/или кислорода в цикле. Гетероциклические группы могут иметь один цикл или множество конденсированных циклов и включают тетрагидрофуранил, морфолино-, пиперидинил, пиперазино-, дигидропиридиногруппу и тому подобное.
Если особо не ограничено определением заместителя гетероциклической группы, такие гетероциклические группы необязательно могут быть замещены 1, 2, 3, 4 или 5 и предпочтительно 1, 2 или 3 заместителями, выбранными из группы, состоящей из алкила, алкенила, алкинила, алкоксигруппы, циклоалкила, циклоалкенила, ацила, ациламиногруппы, ацилоксигруппы, аминогруппы, аминокарбонила, алкоксикарбониламиногруппы, азидогруппы, цианогруппы, галогена, гидроксильной группы, кетогруппы, тиокарбонила, карбоксильной группы, карбоксиалкила, арилтиогруппы, гетероарилтиогруппы, гетероциклилтиогруппы, тиола, алкилтиогруппы, арила, арилоксигруппы, гетероарила, аминосульфонила, аминокарбониламиногруппы, гетероарилоксигруппы, гетероциклила, гетероциклооксигруппы, гидроксиаминогруппы, алкоксиаминогруппы, нитрогруппы, -SO-алкила, -SO-арила, -SO-гетероарила, -SO2-алкила, -SO2-арила и -SO2-гетероарила. Если особо не ограничено определением, все заместители необязательно могут быть дополнительно замещены 1-3 заместителями, выбранными из алкила, карбоксильной группы, карбоксиалкила, аминокарбонила, гидроксильной группы, алкоксигруппы, галогена, CF3, аминогруппы, замещенной аминогруппы, цианогруппы и -S(O)nR, где R означает алкил, арил или гетероарил и n равно 0, 1 или 2.
Термин “тиол” относится к группе -SH.
Термин “замещенная алкилтиогруппа” относится к группе -S-замещенный алкил.
Термин “гетероарилтиол” относится к группе -S-гетероарил, где гетероарильная группа имеет значение, определенное выше, включая необязательно замещенные гетероарильные группы, которые также определены выше.
Термин “сульфоксид” относится к группе -S(O)R, в которой R означает алкил, арил или гетероарил. “Замещенный сульфоксид” относится к группе -S(O)R, в которой R означает замещенный алкил, замещенный арил или замещенный гетероарил, которые определены в данном описании.
Термин “сульфон” относится к группе -S(O)2R, в которой R означает алкил, арил или гетероарил. “Замещенный сульфон” относится к группе -S(O)2R, в которой R означает замещенный алкил, замещенный арил или замещенный гетероарил, которые определены в данном описании.
Термин “кетогруппа” относится к группе -C(O)-. Термин “тиокарбонил” относится к группе -C(S)-. Термин “карбоксильная группа” относится к группе -C(O)-OH.
“Необязательный” или “необязательно” означает, что описанное далее событие или обстоятельство, может иметь место или не иметь место, и что описание включает случаи, когда указанное событие или обстоятельство имеет место, и случаи, когда его нет.
Подразумевается, что термин “соединение формулы I и формулы II” охватывает соединения согласно изобретению, которые заявлены, и фармацевтически приемлемые соли, фармацевтически приемлемые сложные эфиры, пролекарства, гидраты и полиморфы указанных соединений. Кроме того, соединения согласно изобретению могут иметь один или несколько асимметрических центров и могут быть получены в виде рацемической смеси или в виде отдельных энантиомеров или диастереоизомеров. Количество стереоизомеров, имеющихся у любого данного соединения формулы I, зависит от количества имеющихся асимметрических центров (имеется 2n возможных стереоизомеров, где n означает количество асимметрических центров). Отдельные стереоизомеры можно получить разделением рацемической или нерацемической смеси промежуточного продукта на какой-либо подходящей стадии синтеза или разделением соединения формулы I обычными способами. Отдельные стереоизомеры (включая отдельные энантиомеры и диастереоизомеры), а также рацемические и нерацемические смеси стереоизомеров входят в объем данного изобретения, при этом подразумевается, что все они изображены структурами, приведенными в данном описании, если не оговорено особо.
“Изомеры” представляют собой различные соединения, которые имеют одну и ту же молекулярную формулу.
“Стереоизомеры” являются изомерами, которые отличаются только тем, каким образом атомы расположены в пространстве.
“Энантиомеры” представляют собой пару стереоизомеров, которые являются несовмещаемыми при наложении зеркальными изображениями друг друга. Смесь 1:1 пары энантиомеров является “рацемической” смесью. Термин “±” используют в подходящем случае для обозначения рацемической смеси.
“Диастереоизомеры” являются стереоизомерами, которые имеют, по меньшей мере, два асимметричных атома, но которые не являются зеркальными изображениями друг друга.
Абсолютная стереохимия определяется согласно системе R-S Канна-Ингольда-Прелога. Когда соединение является чистым энантиомером, стереохимию каждого хирального атома углерода можно охарактеризовать либо как R, либо как S. Разделенные соединения, абсолютная конфигурация которых не известна, обозначают (+) или (-), в зависимости от направления (право- или левовращающий), в котором они вращают плоскость поляризации света с длиной волны линии D натрия.
Термин “терапевтически эффективное количество” относится к такому количеству соединения формулы I, которое достаточно для эффективного лечения, которое определено ниже, при введении млекопитающему, нуждающемуся в таком лечении. Терапевтически эффективное количество будет варьировать в зависимости от субъекта и состояния заболевания, которое необходимо лечить, массы и возраста субъекта, тяжести состояния заболевания, способа введения и тому подобного, которые легко может определить специалист в данной области.
Термин “лечение” или “процесс лечения” означает любое лечение заболевания у млекопитающего, включая:
(i) профилактику заболевания, то есть предотвращение развития клинических симптомов заболевания;
(ii) подавление заболевания, то есть задержку развития клинических симптомов; и/или
(iii) ослабление заболевания, то есть обеспечение регрессии клинических симптомов.
Во многих случаях соединения согласно данному изобретению способны образовывать соли с кислотой и/или основанием благодаря наличию амино- и/или карбоксильных групп или подобных им групп. Термин “фармацевтически приемлемая соль” относится к солям, которые сохраняют биологическую эффективность и свойства соединений формулы I и которые не являются биологически или иным образом нежелательными. Фармацевтически приемлемые основно-аддитивные соли можно получить из неорганических и органических оснований. Соли, полученные из неорганических оснований, включают, но только в качестве примера, соли натрия, калия, лития, аммония, кальция и магния. Соли, полученные из органических оснований, включают, но не ограничены указанным, соли первичных, вторичных и третичных аминов, такие как алкиламины, диалкиламины, триалкиламины, замещенные алкиламины, ди(замещенный алкил)амины, три(замещенный алкил)амины, алкениламины, диалкениламины, триалкениламины, замещенные алкениламины, ди(замещенный алкенил)амины, три(замещенный алкенил)амины, циклоалкиламины, ди(циклоалкил)амины, три(циклоалкил)амины, замещенные циклоалкиламины, дизамещенные циклоалкиламины, тризамещенные циклоалкиламины, циклоалкениламины, ди(циклоалкенил)амины, три(циклоалкенил)амины, замещенные циклоалкениламины, дизамещенные циклоалкениламины, тризамещенные циклоалкениламины, ариламины, диариламины, триариламины, гетероариламины, дигетероариламины, тригетероариламины, гетероциклические амины, дигетероциклические амины, тригетероциклические амины, смешанные ди- и триамины, в которых, по меньшей мере, два из заместителей на амине отличаются и выбраны из группы, состоящей из алкила, замещенного алкила, алкенила, замещенного алкенила, циклоалкила, замещенного циклоалкила, циклоалкенила, замещенного циклоалкенила, арила, гетероарила, гетероциклила и тому подобного. Также включены амины, в которых два или три заместителя вместе с азотом аминогруппы образуют гетероциклическую или гетероарильную группу.
Конкретные примеры подходящих аминов включают, но только в качестве примера, изопропиламин, триметиламин, диэтиламин, три(изопропил)амин, три(н-пропил)амин, этаноламин, 2-диметиламиноэтанол, трометамин, лизин, аргинин, гистидин, кофеин, прокаин, гидрабамин, холин, бетаин, этилендиамин, глюкозамин, N-алкилглюкамины, теобромин, пурины, пиперазин, пиперидин, морфолин, N-этилпиперидин и тому подобное.
Фармацевтически приемлемые кислотно-аддитивные соли можно получить из неорганических и органических кислот. Соли, полученные из неорганических кислот, включают соли хлористоводородной кислоты, бромистоводородной кислоты, серной кислоты, азотной кислоты, фосфорной кислоты и тому подобные. Соли, полученные из органических кислот, включают соли уксусной кислоты, пропионовой кислоты, гликолевой кислоты, пировиноградной кислоты, щавелевой кислоты, яблочной кислоты, малоновой кислоты, янтарной кислоты, малеиновой кислоты, фумаровой кислоты, винной кислоты, лимонной кислоты, бензойной кислоты, коричной кислоты, миндальной кислоты, метансульфоновой кислоты, этансульфоновой кислоты, пара-толуолсульфоновой кислоты, салициловой кислоты и тому подобные.
В используемом в данном описании смысле “фармацевтически приемлемый носитель” включает любой и все растворители, дисперсионные среды, покрытия, антибактериальные и противогрибковые средства, агенты для изотоничности и замедления абсорбции и тому подобные. Применение таких сред и агентов для фармацевтически активных веществ хорошо известно в данной области. За исключением случаев, когда какая-либо обычная среда или агент не совместимы с активным ингредиентом, предполагается их применение в терапевтической композиции. В композиции могут быть включены дополнительные активные ингредиенты.
Номенклатура
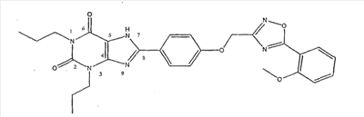
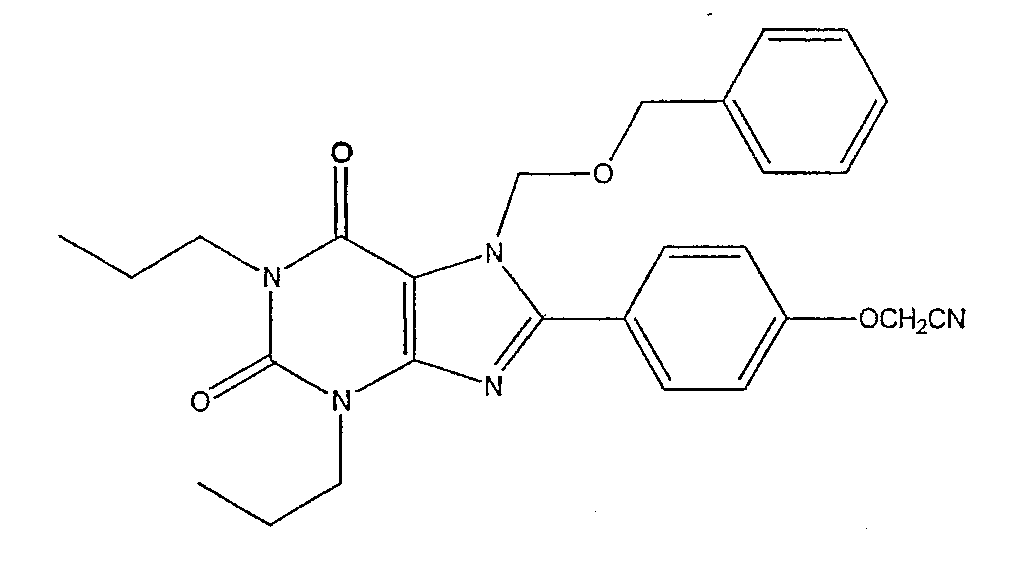
Наименование и нумерация соединений согласно изобретению иллюстрируется на типичном соединении формулы I, в котором R1 является н-пропилом, R2 является н-пропилом, R3 является водородом, X является фениленом, Y является -O-(CH2) и Z представляет собой 5-(2-метоксифенил)-[1,2,4]оксадиазол-3-ил,

которое называется:
8-{4-[5-(2-метоксифенил)-[1,2,4]оксадиазол-3-илметокси]фенил}-1,3-дипропил-1,3,7-тригидропурин-2,6-дион.
Параметры реакций синтеза
Термин “растворитель”, “инертный органический растворитель” или “инертный растворитель” означают растворитель, инертный в условиях реакции, которые описываются в связи с этим [включая, например, бензол, толуол, ацетонитрил, тетрагидрофуран (“ТГФ”), диметилформамид (“ДМФА”), хлороформ, метиленхлорид (или дихлорметан), диэтиловый эфир, метанол, пиридин и тому подобное]. Если не указано обратное, растворители, используемые в реакциях согласно данному изобретению, являются инертными органическими растворителями.
Термин “q.s.” означает добавление количества, достаточного для достижения указанной функции, например, для доведения раствора до требуемого объема (т.е. 100%).
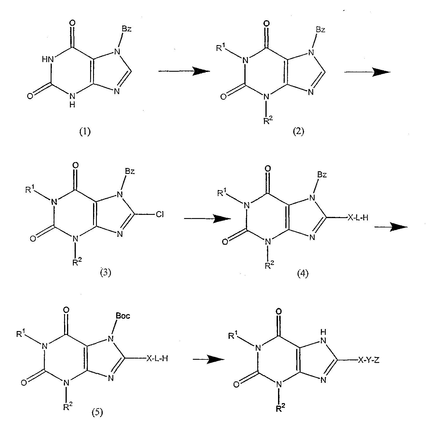
Синтез соединений формулы I
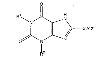
Соединения формулы I, где R1 и R2 представляют собой одну и ту же группу, R3 означает водород и Y включает атом кислорода, серы или азота, можно получить, как показано на схеме реакции I.
СХЕМА РЕАКЦИИ 1

Формула I, где R3 означает водород
где Bz означает бензил, Boc означает трет-бутилоксикарбонил и L означает -O-, -S- или -NH-.
Следует обратить внимание, что когда R3 является водородом, формулы I и II представляют одно и тоже соединение, как следствие таутомерии.
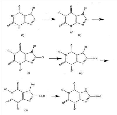
Стадия 1 – Получение соединения формулы (2)
Соединение формулы (1), которое защищено в положении N-7, коммерчески доступно или может быть получено способами, хорошо известными в данной области (смотри, например, Synthetic Communications, 20 (16), 2459-2467 (1990)). Соединение формулы (1) подвергают взаимодействию, по меньшей мере, с двумя эквивалентами соединения формулы R1LG, где LG является удаляемой группой, предпочтительно хлором, бромом или йодом, в присутствии сильного основания, например гидрида натрия. Реакцию проводят в полярном растворителе, например ДМФА, сначала при температуре примерно равной комнатной температуре, с последующим взаимодействием при температуре примерно 30-100°C, например, около 70°C примерно в течение 6-24 часов. Когда реакция в основном завершается, продукт формулы (2) выделяют обычными способами, например, удалением растворителя при пониженном давлении с последующей хроматографией остатка на силикагеле.
Следует отметить, что указанная реакция дает только соединения формулы (2), в которых R1 и R2 представляют собой одну и ту же группу. Способ получения соединений формулы (2), в которых R1 и R2 различны, показан ниже на схеме реакции III.
Другой синтез необходим для получения соединений формулы (2), в которых R1 и/или R2 являются арильными или гетероарильными группами, и синтез показан на схеме реакции III.
Стадия 2 – Получение соединения формулы (3)
Затем соединение формулы (2) галогенируют в положении 8, получая соединение формулы (3), посредством взаимодействия с галогенирующим агентом, например N-хлорсукцинимидом, получая 8-хлорзамещенное соединение формулы (3). В общем, соединение формулы (2) растворяют в инертном растворителе, например тетрагидрофуране, и добавляют N-бромсукцинимид (или N-хлорсукцинимид). Реакцию проводят при температуре примерно 0-30°C, например, примерно при комнатной температуре, например, в течение 1-10 часов, например, около 4 часов. Когда реакция в основном завершается, продукт формулы (3) выделяют обычными способами и перекристаллизовывают.
Стадия 3 – Получение соединения формулы (4)
Затем соединение формулы (3) превращают в соединение формулы (4) в результате взаимодействия с соответствующим образом замещенным производным бороновой кислоты в присутствии комплекса палладия(0). Например, когда X является необязательно замещенным фенилом, соединение формулы (3) подвергают взаимодействию с необязательно замещенной фенилбороновой кислотой. Реакцию проводят в инертном растворителе, например, смеси толуол/этанол, в присутствии водного раствора карбоната натрия и тетракис(трифенилфосфин)палладия(0) примерно при температуре образования флегмы (кипения с обратным холодильником), примерно в течение 24 часов. Когда реакция в основном завершается, продукт формулы (4) выделяют обычными способами, например, удалением растворителя при пониженном давлении с последующей хроматографией остатка на силикагеле.
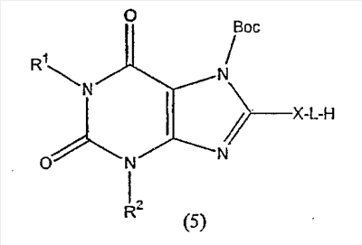
Стадия 4 – Получение соединения формулы (5)
a) Затем защитную бензильную группу соединения формулы (4) заменяют Boc, получая соединение формулы (5). В общем, соединение формулы (4) растворяют в инертном растворителе, например, метаноле, и добавляют катализатор гидрирования. Реакционную смесь перемешивают в атмосфере водорода при температуре около 0-30°C, например, примерно при комнатной температуре, примерно в течение 8-24 часов, например, около 18 часов. Когда реакция в основном завершается, катализатор удаляют фильтрованием и продукт выделяют обычными способами.
b) Затем продукт растворяют в инертном растворителе, например метаноле, к которому был добавлен избыток ди-трет-бутилдикарбоната и пространственно затрудненное основание, например этилдиизопропиламин. Смесь кипятят с обратным холодильником примерно в течение 8-24 часов, например, около 18 часов. Когда реакция в основном завершается, катализатор удаляют фильтрованием, и соединение формулы (5) выделяют обычными способами, например, удалением растворителя при пониженном давлении с последующей хроматографией остатка на силикагеле.
Стадия 5 – Получение соединения формулы I, где R3 является водородом
Затем соединение формулы (5) превращают в соединение формулы I в результате взаимодействия с соединением формулы Z-Y-LG, где Z и Y имеют значения, определенные выше, и LG является удаляемой группой, предпочтительно галогеном, более предпочтительно хлором (одновременно удаляют защитную Boc-группу). Реакцию проводят в присутствии сильного основания, например гидрида натрия, в инертном полярном растворителе, предпочтительно ДМФА, при температуре около 0-30°C, предпочтительно примерно при комнатной температуре в течение примерно 8-24 часов, предпочтительно около 16 часов. Защитную Boc-группу также удаляют в результате указанной последовательности реакций. Когда реакция в основном завершается, продукт формулы I, где R3 означает водород, выделяют обычными способами, например хроматографией на силикагеле.
Стадия 5 – Получение соединения формулы I, где R3 является группой, отличной от водорода
Соединение формулы I, в котором R3 является водородом, можно превратить в соединение формулы I, в котором R3 не является водородом, в результате взаимодействия с соединением формулы R3-LG, где LG означает удаляемую группу, предпочтительно йод или бром. Реакцию проводят в присутствии мягкого основания, например карбоната калия, в инертном полярном растворителе, предпочтительно ДМФА, при температуре около 30-100°C, предпочтительно около 70°C в течение примерно 8-24 часов, предпочтительно примерно 16 часов. Когда реакция в основном завершается, продукт формулы I, где R3 является группой, отличной от водорода, выделяют обычными способами, например хроматографией на силикагеле.
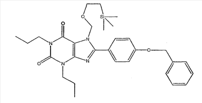
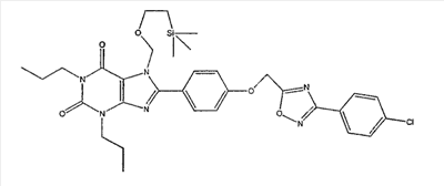
Альтернативно, бензильную защитную группу формулы (4) можно заменить триметилсилил-этоксиметильной защитной группой (вместо Boc-группы), последующее удаление которой можно осуществить при более мягких условиях реакции. В общем, продукт со стадии 4a растворяют в инертном растворителе, предпочтительно в безводном ДМФА (100 мл) и подвергают взаимодействию с триметилсилил-этоксиметилхлоридом в присутствии основания, предпочтительно карбоната калия. Реакцию проводят при температуре около 50-90°C, предпочтительно около 70°C в течение примерно 1-6 дней, предпочтительно около 72 часов. Когда реакция в основном завершается, катализатор удаляют фильтрованием и продукт выделяют обычными способами, предпочтительно флэш-хроматографией.
Затем продукт подвергают взаимодействию с Z-Y-LG, где Z и Y имеют значения, определенные выше, и LG означает удаляемую группу, как показано на стадии 5 выше. Триметилсилил-этоксиметильную защитную группу удаляют из полученного в результате промежуточного соединения обработкой кислотой в протонном растворителе, предпочтительно хлористоводородной кислотой в этаноле, получая соединение формулы I.
Альтернативно, бензильную группу исходного вещества формулы (1) можно заменить на Boc перед галогенированием на стадии 2. Таким образом, нет необходимости изменять защитную группу бензил на Boc, как указано выше, на стадии 4.
Альтернативный способ получения соединения формулы I, где R3 является водородом, Z является необязательно замещенным 1,2,4-оксадиазолом и предпочтительно Y является кислородом, показан на схеме реакции II.
СХЕМА РЕАКЦИИ II

Формула I, где R3 означает водород,
Y означает кислород и Z означает
необязательно замещенный 1,2,4-оксадиазол
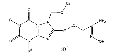
Стадия 1 – Получение соединения формулы (7)
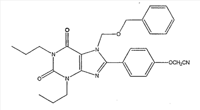
Соединение формулы (6) получают способом, подобным способу, показанному выше для соединения (4). Его защитные группы удаляют обработкой водородом в присутствии катализатора, предпочтительно Pd на угле. Полученное таким образом гидроксисоединение повергают взаимодействию с трет-бутилдиметилсилилхлоридом в присутствии имидазола, получая трет-бутилдиметилсилилокси-производное. Указанное соединение подвергают взаимодействию с гидридом натрия и полученный таким образом анион подвергают взаимодействию с бензилоксиметилхлоридом, получая соединение, которое защищено в положении N-7 бензилоксиметилом. Затем трет-бутилдиметилсилильную защитную группу удаляют обычными способами, например обработкой фторидом тетрабутиламмония, и полученное в результате гидроксисоединение подвергают взаимодействию с йодацетонитрилом или хлорацетонитрилом в присутствии сильного основания, например, трет-бутоксида калия. Реакцию проводят в инертном растворителе, предпочтительно тетрагидрофуране, примерно при комнатной температуре в течение около 6-24 часов. Когда реакция в основном завершается, продукт формулы (7) выделяют обычными способами, например, удалением растворителя при пониженном давлении с последующей хроматографией остатка на силикагеле.
Стадия 2 – Получение соединения формулы (8)
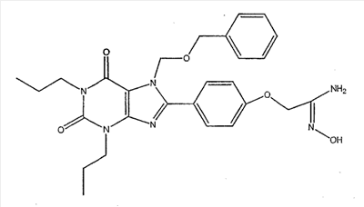
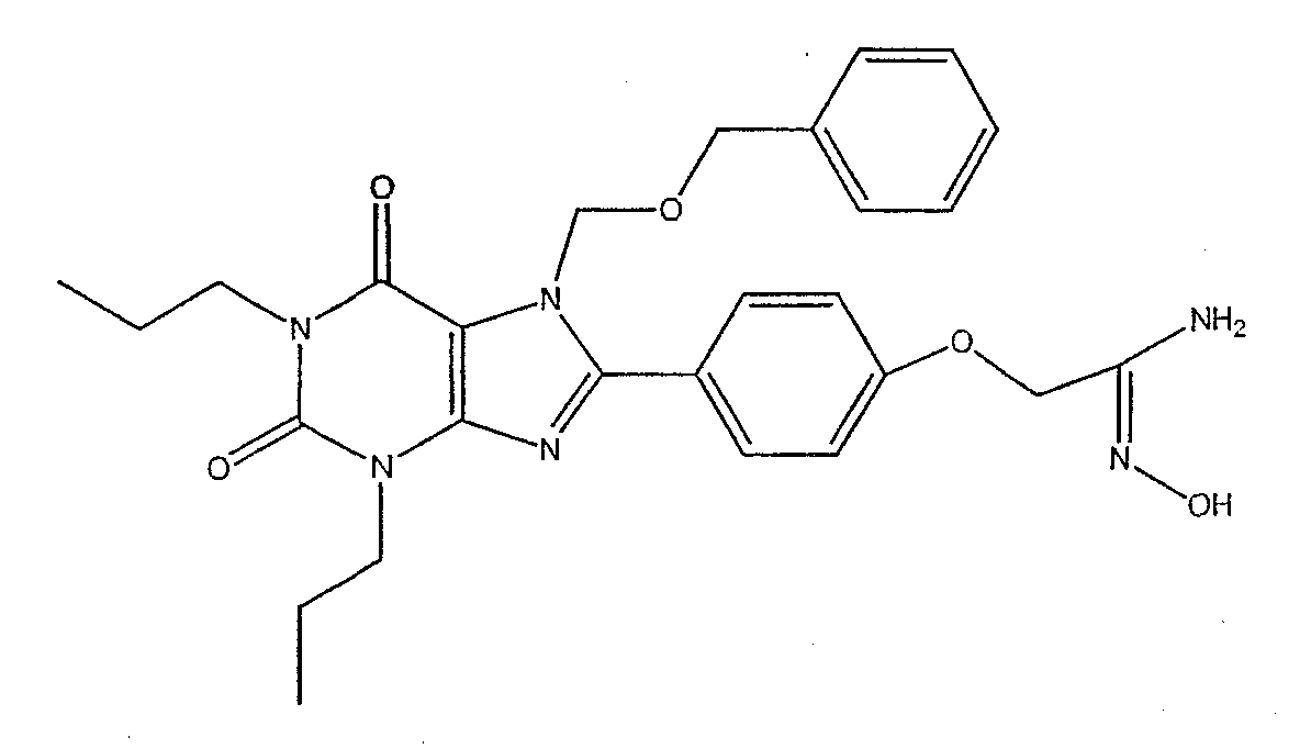
Затем соединение формулы (7) подвергают взаимодействию с гидрохлоридом гидроксиламина. В общем, соединение формулы (7) растворяют в инертном растворителе, например этаноле, и добавляют гидрохлорид гидроксиламина вместе с эквивалентным количеством сильного основания, например этоксида натрия. Реакцию проводят при температуре около 0-30°C, например, примерно при комнатной температуре в течение примерно 6-24 часов. Когда реакция в основном завершается, продукт формулы (8) выделяют обычными способами, например, удалением растворителя при пониженном давлении с последующей хроматографией остатка на силикагеле.
Стадия 3 – Получение соединения формулы I
Затем соединение формулы (8) подвергают циклизации до необязательно замещенного 1,2,4-оксадиазола формулы I в результате взаимодействия с соответствующим образом замещенным хлорангидридом кислоты формулы RC(O)Cl, в которой R означает необязательное замещение, которое приводит к 5-замещению оксадиазольного цикла. В общем, соединение формулы (8) растворяют в инертном растворителе, например диоксане, и добавляют карбонат калия и хлорангидрид кислоты. Смеси дают возможность взаимодействовать примерно в течение 10 минут при температуре около 0-30°C, предпочтительно, примерно при комнатной температуре. Когда реакция в основном завершается, промежуточное соединение выделяют обычным способом и растворяют в кипящем при высокой температуре инертном растворителе, например, ксилоле. Смесь подвергают взаимодействию в течение примерно 6-24 часов при температуре около 100-160°C, предпочтительно, примерно при 145°C. Продукт формулы I выделяют обычными способами, например, удалением растворителя при пониженном давлении с последующей хроматографией остатка на силикагеле.
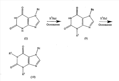
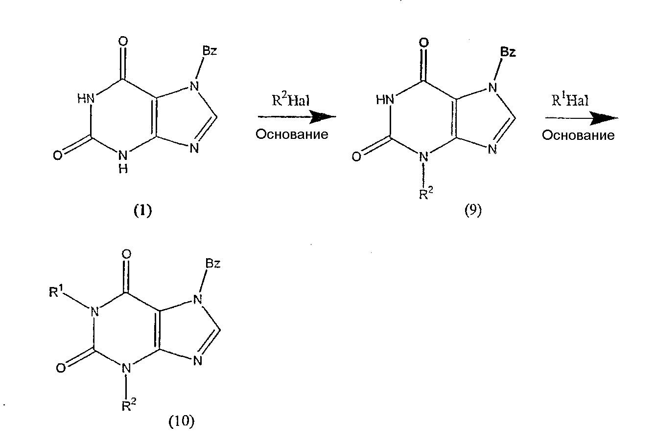
Способ получения соединений формулы I, в которых R1 и R2 отличаются друг от друга, показан на схеме реакции III.
СХЕМА РЕАКЦИИ III

где R1 и R2 имеют значения, определенные выше, Bz означает бензил и Hal означает хлор, бром или йод.
В общем, способ осуществляют как описано в Synthetic Communications, 20 (16), 2459-2467 (1990). Схема реакции основывается на том, что хорошо известно, что ксантины взаимодействуют с алкилирующими агентами в следующем порядке N3 > N7 > N1. В случае защищенного N7, как в соединении формулы (1), реакция с соединением формулы R2LG, где LG означает удаляемую группу, предпочтительно хлор, бром или йод, с небольшим избытком R2LG таким же образом, как показано выше для получения соединения формулы (2), дает соединение формулы (9). Дальнейшее взаимодействие (9) с соединением формулы R1LG дает соединение формулы (10), в котором R1 и R2 различны.
Способ получения соединений формулы (2), в которых R2 является водородом или алкилом и R1 является арилом или гетероарилом, показан на схеме реакции IV.
СХЕМА РЕАКЦИИ IV

Соединения формулы (2), в которых R1 является арилом или гетероарилом, можно получить, как описано в Synthesis, 1995, с.855-858. В общем, соединение формулы (11), полученное способами, хорошо известными в данной области, подвергают взаимодействию с соответствующим образом замещенным изоцианатом формулы R1NCO, получая соединение формулы (12), которое подвергают циклизации в основных условиях, например обработкой этоксидом натрия, получая соединение формулы (2), в котором R1 является арилом или гетероарилом и R2 является водородом. Указанный способ также можно использовать для получения соединений, в которых R1 является алкилом и т.д.
Соединение формулы (2), в которой R2 означает водород, затем можно дополнительно подвергнуть взаимодействию с алкилгалогенидом формулы R2hal таким же образом, как показано на схеме реакции I, получая соединение формулы (2), в котором R1 является арилом или гетероарилом и R2 является алкилом.
Соединения формулы (2), в которых R1 и R2 оба представляют собой арил или гетероарил, получают как показано в Chem. Ber., GE; 111; 1978; 982-995.
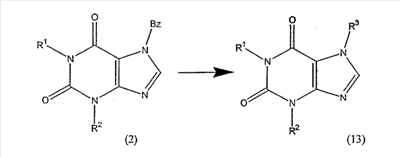
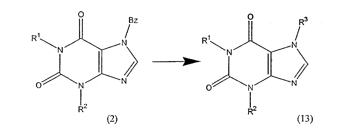
Способ получения соединений формулы I, в которых R3 не является водородом, показан на схеме реакции V.
СХЕМА РЕАКЦИИ V

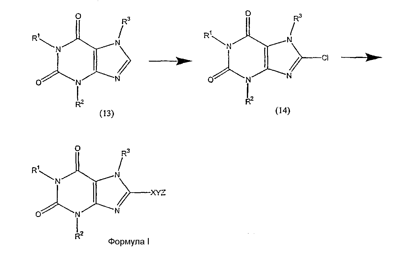
Получение соединения формулы (13)
Бензильную защитную группу соединения формулы (2) удаляют гидрированием, как описано на схеме реакции I, стадия 4. Затем полученное в результате соединение подвергают взаимодействию с соединением формулы R3LG, где LG означает удаляемую группу, предпочтительно хлор, бром или йод, в присутствии основания, например карбоната калия. Реакцию проводят в полярном растворителе, например ДМФА, сначала при температуре примерно равной комнатной температуре с последующей реакцией при температуре около 30-100°C, например, около 70°C в течение 6-24 часов. Когда реакция в основном завершается, продукт формулы (13) выделяют обычными способами, например, удалением растворителя при пониженном давлении с последующей хроматографией остатка на силикагеле.
Реакция более подробно описана в J. Med. Chem., 1999, 42, 2527-2534.
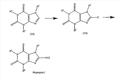
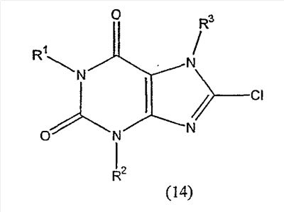
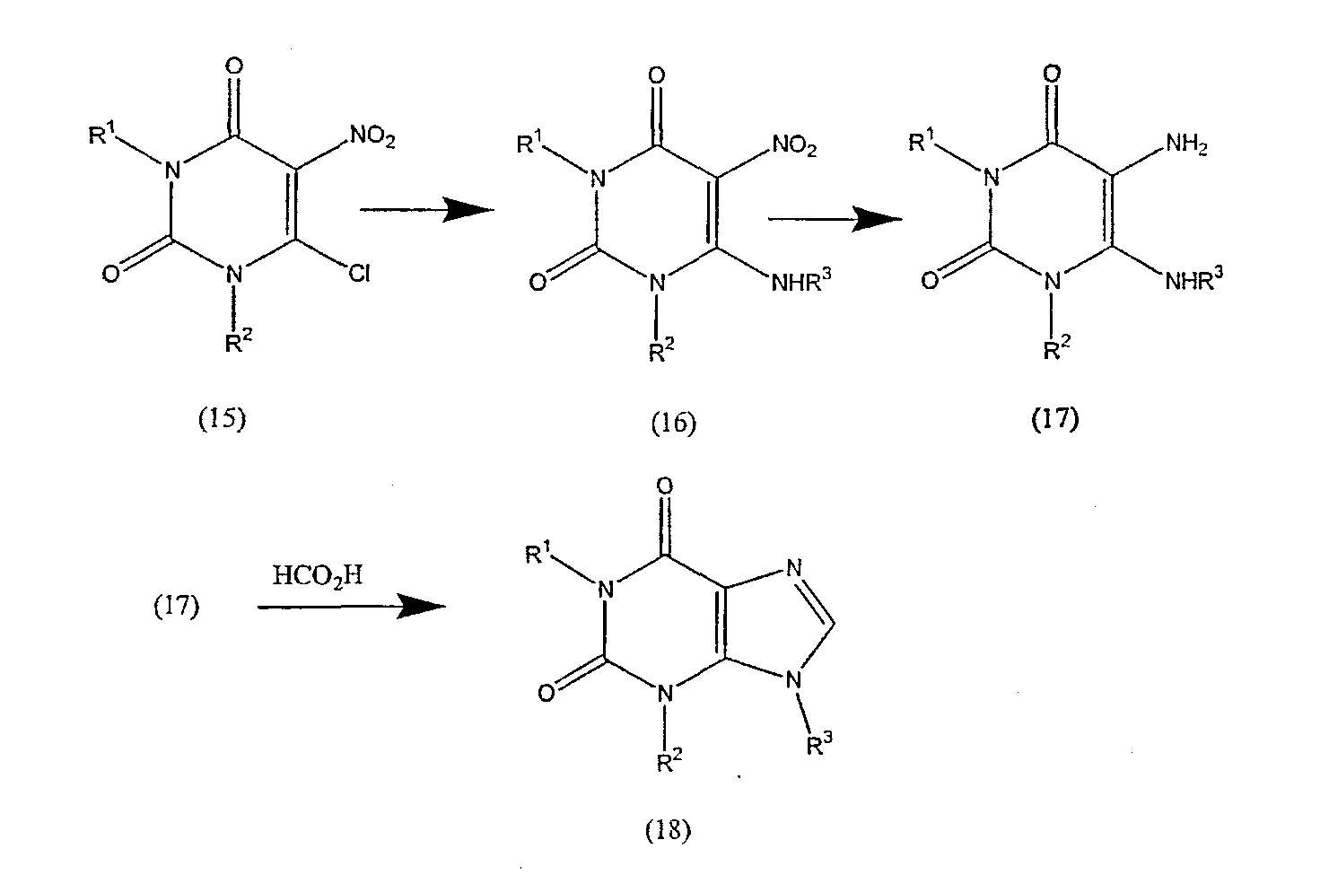
Альтернативный способ получения соединений формулы I показан на схеме реакции VI. Связывание 8-хлорсодержащего производного формулы (14) с соединением формулы (HO)2B-X-Y-Z является подходящим способом для получения соединений формулы I, не содержащих гетероатома в цепи.
СХЕМА РЕАКЦИИ VI

ПОЛУЧЕНИЕ СОЕДИНЕНИЯ ФОРМУЛЫ II
Получение соединения формулы II осуществляют таким же способом, как показано выше на схеме реакции I, II и III, начиная с соединения формулы (18), получение которого показано на схеме реакции VII.
СХЕМА РЕАКЦИИ VII

Сходные последовательности реакций заявлены в патенте США № 5631260, полное описание которого включено в данную заявку в виде ссылки.
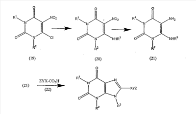
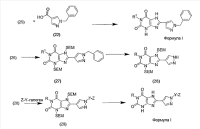
Следует отметить, что, если вместо муравьиной кислоты использовать RCO2H (или RCOCl), то получится соединение формулы (18), которое замещено в положении 8 группой R. Таким образом, если RCO2H эквивалентно ZYXCO2H (соединение формулы (22)), можно осуществить альтернативный синтез соединения формулы II, как показано на схеме реакции VIII.
СХЕМА РЕАКЦИИ VIII

Формула II
Следует отметить, что если R3 является водородом, получают соединение формулы I или II.
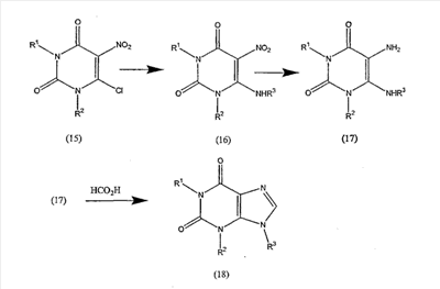
Соединение формулы (19) коммерчески доступно или его можно получить способами, хорошо известными в данной области. Его превращают в соединение формулы II (или соединение формулы I, когда R3 является водородом), как описано в патенте США № 5446046, полное описание которого включено в данную заявку в виде ссылки.
Подобную реакцию можно осуществлять, исходя из нитрозамино-производного формулы (23).

Восстановление соединения формулы (23) с использованием катализатора на основе водорода оксида платины дает соответствующее диаминосоединение (21), в котором R3 является водородом. Альтернативно, соединение формулы (23) может быть сначала замещено R3, как описано на схеме реакции VII выше, чтобы получить соответствующее диаминосоединение формулы (21), в котором R3 представлено другой группой, отличной от водорода.
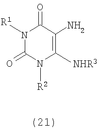
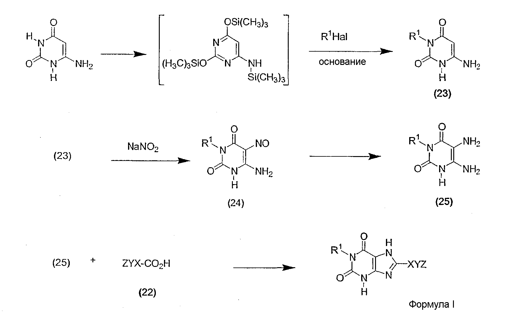
Альтернативно, соединение формулы (23) можно превратить в соединение формулы I, в котором R2 является водородом и R1 является другой группой, отличной от водорода, как показано на схеме реакции IX.
СХЕМА РЕАКЦИИ IX

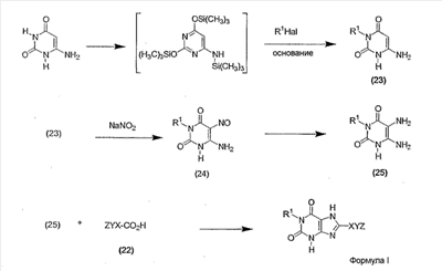
Стадия 1 – Получение соединения формулы (23)
Коммерчески доступное соединение 6-аминоурацил сначала силилируют, например, при взаимодействии с гексаметилдисилазаном в качестве растворителя в присутствии катализатора, например, сульфата аммония. Реакцию проводят при температуре, примерно равной температуре образования флегмы в течение примерно 1-10 часов. Когда реакция в основном завершается, полученное таким образом силилированное соединение выделяют обычным способом и затем подвергают взаимодействию с соединением формулы R1Hal, где R1 имеет значение, определенное выше, предпочтительно, в отсутствии растворителя. Реакцию проводят примерно при температуре образования флегмы в течение периода времени, примерно составляющего от 12 часов до 7 дней. Когда реакция в основном завершается, продукт формулы (23) выделяют обычными способами.
Стадия 2 – Получение соединения формулы (24)
Затем соединение формулы (23) растворяют в водном растворе кислоты, например, в водном растворе уксусной кислоты, и подвергают реакции с нитритом натрия. Реакцию проводят при температуре около 20-50°C, предпочтительно около 30°C, в течение примерно 30 минут. Когда реакция в основном завершается, продукт формулы (24) выделяют обычными способами, например, фильтрованием.
Стадия 3 – Получение соединения формулы (25)
Затем соединение формулы (24) восстанавливают до диаминопроизводного. В общем, соединение формулы (24) растворяют в водном аммиаке и затем добавляют восстанавливающий агент, например, гидросульфит натрия. Реакцию проводят при температуре около 70°C. Когда реакция в основном завершается, продукт формулы (25) выделяют обычными способами, например, фильтрованием охлажденной реакционной смеси.
Стадия 4 – Получение соединения формулы I
Затем соединение формулы (25) подвергают взаимодействию с карбоновой кислотой формулы Z-Y-X-CO2H в присутствии карбодиимида, например гидрохлорида 1-(3-диметиламинопропил)-3-этилкарбодиимида. Реакцию проводят при температуре около 20-30°C в течение примерно 12-48 часов. Продукт выделяют обычными способами, например, фильтрованием, и подвергают взаимодействию с избытком гексаметилдисилазана в присутствии сульфата аммония, в течение примерно 2 дней при кипячении с обратным холодильником. Когда реакция в основном завершается, продукт формулы I выделяют обычными способами, например, фильтрованием охлажденной реакционной смеси.
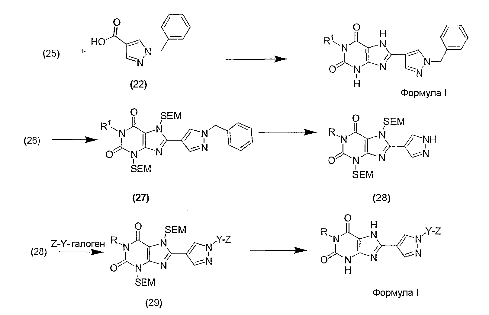
Конкретный пример получения, показанного на схеме реакции IX, где X является необязательно замещенным 1,4-пиразоленом, показан на схеме реакции X.
СХЕМА РЕАКЦИИ X

где SEM означает 2,2-(триметилсилил)этоксиметил и галоген представляет собой хлор, бром или йод.
Указанная реакция более подробно описана в следующих примерах.
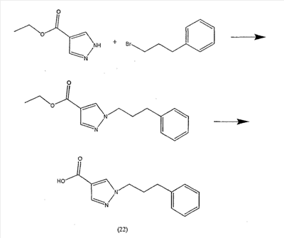
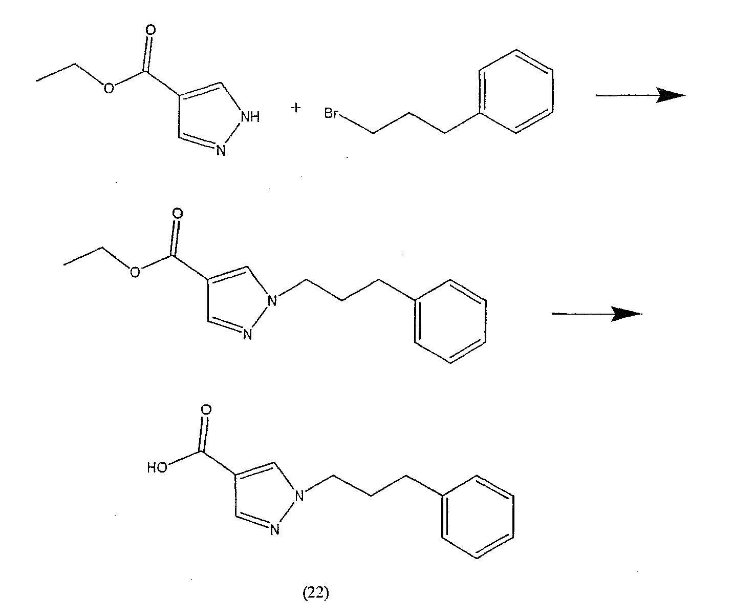
Пример синтеза соединения формулы (22) показан на схеме реакции XI:
СХЕМА РЕАКЦИИ XI

Реакцию проводят, как показано в примере 9. Затем пиразольный продукт формулы (22) подвергают взаимодействию с соединением формулы (21) или (25), как описано выше и в примере 9, получая соединение формулы II (и формулы I, если R3 является водородом):

Получение соединения формулы I, в котором R1 является водородом и R2 является другой группой, отличной от водорода, из соединения формулы (23) показано на схеме реакции XII.
СХЕМА РЕАКЦИИ XII

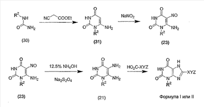
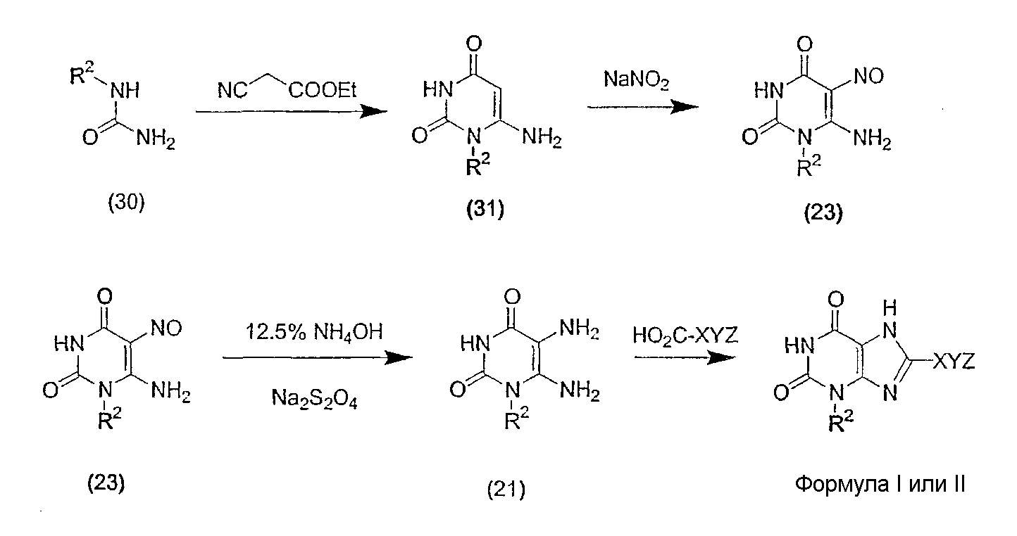
Стадия 1 – Получение соединения формулы (31)
Соединение формулы (30) либо коммерчески доступно, либо его получают способами, хорошо известными в данной области. Его подвергают взаимодействию с этилцианоацетатом в протонном растворителе, например, этаноле, в присутствии сильного основания, например, этоксида натрия. Реакцию проводят примерно при температуре образования флегмы в течение периода времени примерно от 4 до 24 часов. Когда реакция в основном завершается, полученное таким образом соединение формулы (31) выделяют обычными способами.
Стадия 2 – Получение соединения формулы (23)
Затем соединение формулы (31) смешивают с нитритом натрия в водном растворителе, например диметилформамиде и воде, и подвергают взаимодействию с сильной кислотой, например, хлористоводородной кислотой, получая нитрозосоединение формулы (23). Реакцию проводят при температуре примерно от 50°C до 100°C в течение примерно 1 часа. Когда реакция в основном завершается, продукт формулы (23) выделяют обычными способами.
Стадия 3 – Получение соединения формулы (21)
Затем соединение формулы (23) восстанавливают до диаминопроизводного. В общем, соединение формулы (23) растворяют в водном аммиаке и затем добавляют восстанавливающий агент, например, гидросульфит натрия. Реакцию проводят при температуре около 70°C. Когда реакция в основном завершается, продукт формулы (21) выделяют обычными способами, например, фильтрованием охлажденной реакционной смеси.
Стадия 4 – Получение соединения формулы I
Затем соединение формулы (21) подвергают взаимодействию с карбоновой кислотой формулы Z-Y-X-CO2H таким же способом, как описано для схемы реакции IX, стадия 4, получая соединение формулы I.
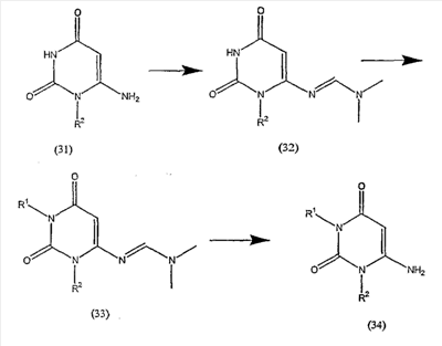
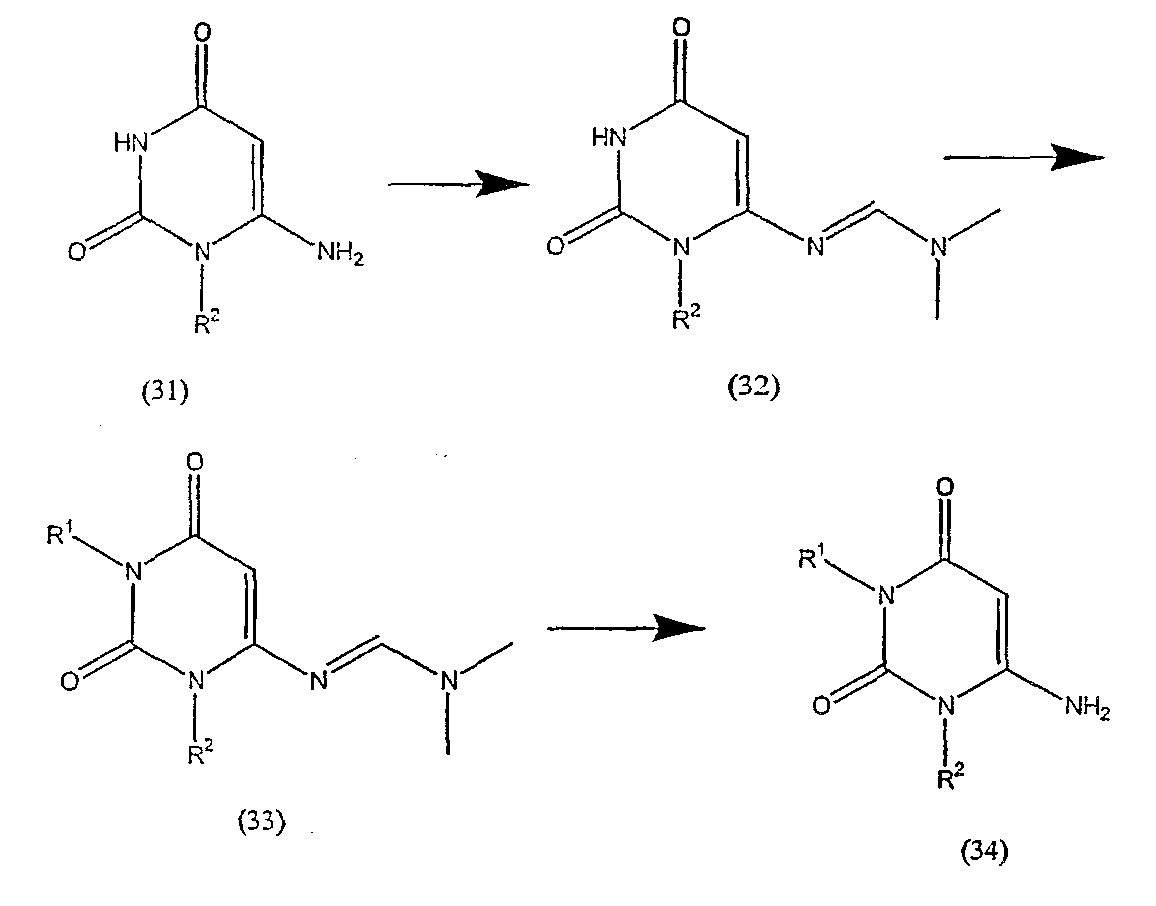
Соединение формулы (31) можно использовать в альтернативном синтезе, чтобы получить соединение формулы I, в котором R1 является водородом и R2 является другой группой, отличной от водорода, или оба R1 и R2 представляют собой другие группы, отличные от водорода и являются одинаковыми или разными, как показано на схеме реакции XIII.
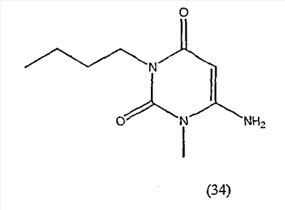
СХЕМА РЕАКЦИИ XIII

Стадии 1 и 2
Соединение формулы (31), полученное как показано выше, подвергают взаимодействию с диметилацеталем N,N-диметилформамида в полярном растворителе, например, N,N-диметилформамидом. Реакцию проводят примерно при 40°C в течение примерно 1 часа. Когда реакция в основном завершается, полученное таким образом соединение формулы (32) подвергают взаимодействию с соединением формулы R1Hal, где Hal означает хлор, бром или йод, в присутствии основания, например, карбоната калия. Реакцию проводят примерно при 80°C в течение примерно 4-24 часов. Когда реакция в основном завершается, продукт формулы (33) выделяют обычными способами, например, выпариванием растворителей при пониженном давлении, и остаток используют в следующей реакции без дополнительной очистки.
Стадия 2
Соединение формулы (33) подвергают взаимодействию с водным аммиаком в полярном растворителе, например, суспендируют в метаноле. Реакцию проводят примерно при комнатной температуре в течение примерно 1-3 дней. Когда реакция в основном завершается, продукт формулы (33) выделяют обычными способами, например, выпариванием растворителей при пониженном давлении, и растиранием остатка в воде.
Затем соединение формулы (34) превращают в соединение формулы I таким же способом, как показано выше для получения соединения формулы (23) на схеме реакции IX.
ПРЕДПОЧТИТЕЛЬНЫЕ СПОСОБЫ И ЗАКЛЮЧИТЕЛЬНЫЕ СТАДИИ
Соединения согласно данному изобретению можно получить согласно следующим заключительным стадиям:
1. Контактирование соединения формулы:

в которой R1, R2 и X имеют значения, которые определены при изложении сущности изобретения, L означает -O-, -S- или -NH- и Boc означает трет-бутилоксикарбонил;
с соединением формулы Z-Y-LG, в которой Z и Y имеют значения, определенные при изложении сущности изобретения, а LG означает удаляемую группу.
2. Контактирование соединения формулы:

Формула I, где R3 является водородом
в которой R1, R2 и X, Y и Z имеют значения, которые определены при изложении сущности изобретения,
с соединением формулы R3-LG, где R3 имеет значение, определенное при изложении сущности изобретения, а LG означает удаляемую группу.
3. Контактирование соединения формулы:

в которой R1, R2 и X имеют значения, которые определены при изложении сущности изобретения,
с хлорангидридом кислоты формулы RC(O)Cl, в котором R представляет собой необязательное замещение, которое приводит к 5-замещению оксадиазольного цикла, получая соединение формулы I, в котором Y является кислородом, а Z является необязательно замещенным 1,2,4-оксадиазолом.
4. Контактирование соединения формулы:

в которой R1, R2 и R3 имеют значения, которые определены при изложении сущности изобретения,
с соединением формулы (HO)2B-X-Y-Z, в которой X, Y и Z имеют значения, определенные при изложении сущности изобретения.
5. Контактирование соединения формулы:

в которой R1, R2 и R3 имеют значения, которые определены при изложении сущности изобретения,
с соединением формулы ZYXCO2H (соединение формулы (22)), в которой X, Y и Z имеют значения, определенные при изложении сущности изобретения.
Применимость, тестирование и введение
Общая применимость
Соединения формулы I и II эффективны при лечении состояний, которые возникают в ответ на введение антагонистов рецептора аденозина A2B. Такие состояния включают, но не ограничены указанным, по меньшей мере, одно из следующих состояний: диарею, атеросклероз, рестеноз, диабетическую ретинопатию, злокачественную опухоль, старческую деменцию, болезнь Альцгеймера, болезнь Паркинсона, травматическое повреждение головного мозга и реакции гиперчувствительности типа I, включая астму, атопическую экзему и сенную лихорадку.
Тестирование
Тестирование активности проводили, как описано в патентах и заявках на выдачу патентов, ссылки на которые приведены выше, и как в примерах ниже и способами, известными специалистам в данной области.
Фармацевтические композиции
Соединения формулы I обычно вводят в форме фармацевтических композиций. Поэтому, в данном изобретении предлагаются фармацевтические композиции, которые в качестве активного ингредиента содержат одно или несколько соединений формулы I или их фармацевтически приемлемую соль или сложный эфир и один или несколько фармацевтически приемлемых эксципиентов, носителей, включая инертные твердые разбавители и наполнители, разбавителей, включая стерильный водный раствор и различные органические растворители, усилителей проницаемости, солюбилизаторов и адъювантов. Соединения формулы I можно вводить отдельно или в комбинации с другими терапевтическими средствами. Такие композиции готовят способом, хорошо известным в области фармации (смотри, например, Remington’s Pharmaceutical Sciences, Mace Publishing Co., Philadelphia, PA 17th Ed. (1985) и “Modern Pharmaceutics”, Marcel Dekker, Inc. 3rd Ed. (G. S. Banker and C. T. Rhodes, Eds.).
Введение
Соединения формулы I можно вводить либо в виде однократной, либо в виде многократных доз любыми приемлемыми способами введения средств, имеющих сходное применение, например, как описано в патентах и заявках на выдачу патентов, включенных в виде ссылки, включая ректальный, буккальный, интраназальный и трансдермальный пути, с помощью внутриартериальной инъекции, внутривенно, внутрибрюшинно, парентерально, внутримышечно, подкожно, перорально, местно, в виде средства для ингаляции или в виде пропитанного или покрытого устройства, такого как, например, стент, или вводимый в артерию цилиндрический полимер.
Одним из способов введения является парентеральное введение, в частности, путем инъекции. Формы, в которые новые композиции согласно данному изобретению могут быть включены для введения посредством инъекции, включают водные или масляные суспензии или эмульсии с кунжутным маслом, кукурузным маслом, хлопковым маслом или арахисовым маслом, а также эликсиры, с маннитом, декстрозой, или стерильный водный раствор и формы со сходными фармацевтическими наполнителями. Водные растворы в физиологическом растворе соли также обычно используют для инъекции, но они менее предпочтительны в контексте данного изобретения. Также можно использовать этанол, глицерин, пропиленгликоль, жидкий полиэтиленгликоль и тому подобное (и подходящие их смеси), производные циклодекстрина и растительные масла. Надлежащую текучесть можно, например, поддерживать благодаря использованию покрытия, такого, как лецитин, за счет поддерживания требуемого размера частиц в случае дисперсии или посредством использования поверхностно-активных веществ. Предохранение от действия микроорганизмов можно осуществить с помощью различных антибактериальных и противогрибковых агентов, например, парабенов, хлорбутанола, фенола, сорбиновой кислоты, тимеросала и тому подобного.
Стерильные инъекционные растворы готовят введением соединения формулы I в требуемом количестве в соответствующий растворитель при необходимости с различными другими ингредиентами, которые перечислены выше, с последующей стерилизацией фильтрованием. Обычно дисперсии готовят введением различных стерилизованных активных ингредиентов в стерильный наполнитель, который содержит основную дисперсионную среду и требуемые другие ингредиенты из тех, которые перечислены выше. В случае стерильных порошков для получения стерильных инъекционных растворов предпочтительными способами приготовления являются методы вакуумной сушки и сушки вымораживанием, которые дают порошок активного ингредиента плюс любой дополнительный нужный ингредиент из его предварительно стерильно профильтрованного раствора.
Пероральное введение представляет собой другой путь введения соединений формулы I. Введение может быть с помощью капсулы или таблеток с кишечно-растворимым покрытием или тому подобного. При приготовлении фармацевтических композиций, которые содержат, по меньшей мере, одно соединение формулы I, активный ингредиент обычно разбавляют эксципиентом и/или заключают в такой носитель, который может быть в форме капсулы, саше, бумажного или другого контейнера. В том случае, когда эксципиент служит в качестве разбавителя, он может быть твердым, полутвердым или жидким веществом (которые указаны выше), которое действует как наполнитель, носитель или среда для активного ингредиента. Таким образом, композиции могут быть в форме таблеток, пилюль, порошков, лепешек, саше, облаток, эликсиров, суспензий, эмульсий, растворов, сиропов, аэрозолей (в виде твердого вещества или в жидкой среде), мазей, содержащих, например, до 10% мас. активного соединения, мягких и твердых желатиновых капсул, стерильных инъекционных растворов и стерильных упакованных порошков.
Некоторые примеры подходящих эксципиентов включают лактозу, декстрозу, сахарозу, сорбит, маннит, крахмалы, аравийскую камедь, фосфат кальция, альгинаты, камедь трагаканта, желатин, силикат кальция, микрокристаллическую целлюлозу, поливинилпирролидон, целлюлозу, стерильную воду, сироп и метилцеллюлозу. Препараты дополнительно могут содержать: смазывающие вещества, такие как тальк, стеарат магния и минеральное масло; увлажнители; эмульгирующие и суспендирующие агенты; консерванты, такие как метил- и пропилгидроксибензоаты; подсластители и корригенты.
Композиции согласно изобретению можно приготовить так, чтобы обеспечить быстрое, длительное и замедленное высвобождение активного ингредиента после введения пациенту, используя способы, известные в данной области. Системы доставки для контролируемого высвобождения лекарственного средства для перорального введения включают системы осмотических насосов и растворяемые системы, содержащие покрытые полимером емкости или препараты лекарственного средства в полимерном матриксе. Примеры систем контролируемого высвобождения приведены в патентах США № 3845770, 4326525, 4902514 и 5616345. В других препаратах для применения в способах согласно данному изобретению используют устройства для трансдермальной доставки (“пластыри”). Такие трансдермальные пластыри можно использовать для того, чтобы обеспечить непрерывную или прерывистую инфузию соединений согласно данному изобретению в контролируемых количествах. Создание и применение трансдермальных пластырей для доставки фармацевтических средств хорошо известно в данной области. Смотри, например, патенты США № 5023252, 4992445 и 5001139. Такие пластыри можно создавать для непрерывной, импульсной доставки или доставки фармацевтических средств “по требованию”.
Композиции предпочтительно готовят в виде дозированной (стандартной) лекарственной формы. Термин “дозированная лекарственная форма” относится к физически дискретным единицам, подходящим в качестве однократных доз для человека и других млекопитающих, при этом каждая единица содержит заранее определенное количество активного вещества, рассчитанное для получения требуемого терапевтического эффекта, вместе с подходящим фармацевтическим эксципиентом (например, таблетка, капсула, ампула). Соединения формулы I эффективны в широком диапазоне доз и обычно их вводят в фармацевтически эффективном количестве. Предпочтительно для перорального введения каждая единица дозирования содержит от 10 мг до 2 г соединения формулы I, более предпочтительно от 10 до 700 мг, и для парентерального введения предпочтительно от 10 до 700 мг соединения формулы I, более предпочтительно примерно 50-200 мг. Однако, будет понятно, что реально вводимое количество соединения формулы I, будет определять лечащий врач в свете соответствующих обстоятельств, включая состояние, которое необходимо лечить, выбранный путь введения, конкретное вводимое соединение и его относительную активность, возраст, массу и реакцию отдельного пациента, тяжесть симптомов у пациента и тому подобное.
Для приготовления твердых композиций, таких как таблетки, главный активный ингредиент смешивают с фармацевтическим эксципиентом, чтобы образовать твердую предварительно приготовленную композицию, содержащую гомогенную смесь соединения согласно данному изобретению. Когда указывают, что данные предварительно приготовленные композиции являются гомогенными, это означает, что активный ингредиент равномерно распределен в композиции, так, чтобы композицию можно было легко разделить на одинаково эффективные дозированные лекарственные формы, такие как таблетки, пилюли и капсулы.
Таблетки или пилюли согласно данному изобретению могут быть покрыты или приготовлены другим образом, чтобы получить дозированную форму, обеспечивающую преимущество пролонгированного действия или защищающую от кислых условий в желудке. Например, таблетка или пилюля может содержать внутренний компонент дозы и внешний компонент дозы, при этом последний имеет форму оболочки вокруг первого компонента. Два компонента могут быть разделены кишечнорастворимым слоем, который служит для того, чтобы препятствовать распаду в желудке и позволять внутреннему компоненту проходить интактным в двенадцатиперстную кишку или высвобождаться замедленно. Для таких кишечнорастворимых слоев или покрытий можно использовать множество материалов, такие материалы включают ряд полимерных кислот и смесей полимерных кислот с такими материалами, как шеллак, цетиловый спирт и ацетат целлюлозы.
Композиции для ингаляции или инсуффляции включают растворы и суспензии в фармацевтически приемлемых водных, или органических растворителях, или их смесях, и порошки. Жидкие или твердые композиции могут содержать подходящие фармацевтически приемлемые эксципиенты, которые описаны выше. Предпочтительно композиции вводят перорально или назально респираторным путем для местного или системного действия. Композиции в предпочтительно фармацевтически приемлемых растворителях можно распылять с использованием инертных газов. Распыляемые растворы можно вдыхать непосредственно из устройства для распыления или устройство для распыления может быть соединено с колпачком дыхательной маски или дыхательным аппаратом прерывистого положительного давления. Композиции в виде раствора, суспензии или порошка можно вводить предпочтительно перорально или назально из устройств, которые доставляют препарат соответствующим образом.
Следующие примеры включены для того, чтобы продемонстрировать предпочтительные варианты изобретения. Специалистам в данной области будет понятно, что методики, описанные в примерах, которые следуют далее, представляют собой методики, которые, как обнаружено автором изобретения, хорошо работают на практике в случае данного изобретения, и таким образом можно считать, что они составляют предпочтительные способы для практического применения изобретения. Однако в свете данного описания специалисты в данной области должны понимать, что можно осуществить множество изменений в конкретных вариантах, которые описаны, и все еще получить подобный или сходный результат не отходя от сути и объема изобретения.
ПРИМЕР 1
Получение соединения формулы (2)
А. Получение соединения формулы (2), где R1 и R2 оба являются н-пропилом

К раствору 7-бензил-1,3,7-тригидропурин-2,6-диона (6,4 г; 26,4 ммоль), соединения формулы (1) в N,N-диметилформамиде (200 мл) при комнатной температуре добавляли гидрид натрия (2,6 г; 66 ммоль). Смесь перемешивали в течение 20 минут, затем добавляли йодпропан (6,5 мл; 66 ммоль) и перемешивали при комнатной температуре в течение 3 часов. Затем смесь нагревали до 70°C и перемешивали в течение ночи. Растворитель удаляли при пониженном давлении, растворяли в дихлорметане и пропускали через слой силикагеля, промывая смесью 1:1 гексан/этилацетат. Растворитель удаляли при пониженном давлении, получая неочищенный 7-бензил-1,3-дипропил-1,3,7-тригидропурин-2,6-дион (8,5 г; выход 98%), который использовали в следующей реакции без дополнительной очистки.
B. Получение соединения формулы (2), варьируя R1 и R2
Подобным образом, следуя способу 1(A), описанному выше, но заменяя йодпропан другими галогенидами, получают следующие соединения формулы (3):
7-бензил-1,3-диметил-1,3,7-тригидропурин-2,6-дион;
7-бензил-1,3-диэтил-1,3,7-тригидропурин-2,6-дион;
7-бензил-1,3-ди(метоксиэтил)-1,3,7-тригидропурин-2,6-дион;
7-бензил-1,3-ди-н-бутил-1,3,7-тригидропурин-2,6-дион;
7-бензил-1,3-диизобутил-1,3,7-тригидропурин-2,6-дион;
1,3,7-трибензил-1,3,7-тригидропурин-2,6-дион;
7-бензил-1,3-ди(фенилэтил)-1,3,7-тригидропурин-2,6-дион;
7-бензил-1,3-дициклобутил-1,3,7-тригидропурин-2,6-дион;
7-бензил-1,3-ди(пирид-4-илметил)-1,3,7-тригидропурин-2,6-дион;
7-бензил-1,3-ди(фуран-3-илметил)-1,3,7-тригидропурин-2,6-дион;
7-бензил-1,3-ди(4-метоксибензил)-1,3,7-тригидропурин-2,6-дион;
7-бензил-1,3-ди(4-трифторметилбензил)-1,3,7-тригидропурин-2,6-дион; и
7-бензил-1,3-ди(3-фторбензил)-1,3,7-тригидропурин-2,6-дион.
ПРИМЕР 2
Получение соединения формулы (3)
A. Получение соединения формулы (3), где R1 и R2 оба являются н-пропилом

7-Бензил-1,3-дипропил-1,3,7-тригидропурин-2,6-дион, соединение формулы (2), (2,0 г; 6,1 ммоль) и N-хлорсукцинимид (1,0 г; 7,4 ммоль) объединяли в 100 мл тетрагидрофурана и перемешивали при комнатной температуре в течение 4 часов. Растворитель удаляли при пониженном давлении и остаток растворяли в этилацетате. Раствор промывали водой, затем насыщенным раствором соли и сушили над сульфатом магния. Растворитель удаляли в вакууме, получая соединение формулы (3), где R1 и R2 оба являются н-пропилом, 7-бензил-8-хлор-1,3-дипропил-1,3,7-тригидропурин-2,6-дион, которое перекристаллизовывали из смеси этилацетат/гексан (1:50).
B. Получение соединения формулы (3), варьируя R1 и R2
Подобным образом, следуя способу 2A, указанному выше, но заменяя 7-бензил-1,3-дипропил-1,3,7-тригидропурин-2,6-дион другими соединениями формулы (2), получают следующие соединения формулы (3):
7-бензил-8-хлор-1,3-диметил-1,3,7-тригидропурин-2,6-дион;
7-бензил-8-хлор-1,3-диэтил-1,3,7-тригидропурин-2,6-дион;
7-бензил-8-хлор-1,3-ди(метоксиэтил)-1,3,7-тригидропурин-2,6-дион;
7-бензил-8-хлор-1,3-ди-н-бутил-1,3,7-тригидропурин-2,6-дион;
7-бензил-8-хлор-1,3-диизобутил-1,3,7-тригидропурин-2,6-дион;
8-хлор-1,3,7-трибензил-1,3,7-тригидропурин-2,6-дион;
7-бензил-8-хлор-1,3-ди(фенилэтил)-1,3,7-тригидропурин-2,6-дион;
7-бензил-8-хлор-1,3-дициклобутил-1,3,7-тригидропурин-2,6-дион;
7-бензил-8-хлор-1,3-ди(пирид-4-илметил)-1,3,7-тригидропурин-2,6-дион;
7-бензил-8-хлор-1,3-ди(фуран-3-илметил)-1,3,7-тригидропурин-2,6-дион;
7-бензил-8-хлор-1,3-ди(4-метоксибензил)-1,3,7-тригидропурин-2,6-дион;
7-бензил-8-хлор-1,3-ди(4-трифторметилбензил)-1,3,7-тригидропурин-2,6-дион; и
7-бензил-8-хлор-1,3-ди(3-фторбензил)-1,3,7-тригидропурин-2,6-дион.
C. Получение соединения формулы (3), варьируя R1 и R2
Подобным образом, следуя способу 2A, описанному выше, но заменяя 7-бензил-1,3-дипропил-1,3,7-тригидропурин-2,6-дион другими соединениями формулы (2), получают любое соединение формулы (3).
ПРИМЕР 3
Получение соединения формулы (4)
A. Получение соединения формулы (4), где R1 и R2 оба являются н-пропилом, X означает фенил и L означает -O-

7-Бензил-8-хлор-1,3-дипропил-1,3,7-тригидропурин-2,6-дион, соединение формулы (3), где R1 и R2 оба являются н-пропилом (5,0 г; 14 ммоль), и 4-гидроксифенилбороновую кислоту (2,0 г; 14 ммоль) растворяли в 100 мл смеси толуол/этанол (4:1) и перемешивали при кипячении с обратным холодильником в течение 16 часов. Растворитель удаляли при пониженном давлении и остаток хроматографировали на колонке с силикагелем, элюируя смесью этилацетат:гексан (1:4), получая соединение формулы (4), в котором R1 и R2 оба являются н-пропилом, X означает фенил и L означает -O-, (7-бензил-8-(4-гидроксифенил)-1,3-дипропил-1,3,7-тригидропурин-2,6-дион) в виде бледно-желтого твердого вещества.
B. Получение соединения формулы (4), варьируя R1, R2, X и L
Подобным образом, следуя способу 3A, описанному выше, заменяя 7-бензил-8-хлор-1,3-дипропил-1,3,7-тригидропурин-2,6-дион другими соединениями формулы (3), получают следующие соединения формулы (4):
7-бензил-8-(4-гидроксифенил)-1,3-диметил-1,3,7-тригидропурин-2,6-дион;
7-бензил-8-(4-гидроксифенил)-1,3-диэтил-1,3,7-тригидропурин-2,6-дион;
7-бензил-8-(4-гидроксифенил)-1,3-ди(метоксиэтил)-1,3,7-тригидропурин-2,6-дион;
7-бензил-8-(3-метокси-4-гидроксифенил)-1,3-ди-н-бутил-1,3,7-тригидропурин-2,6-дион;
7-бензил-8-(3-гидроксипирид-2-ил)-1,3-диизобутил-1,3,7-тригидропурин-2,6-дион;
8-(2-фтор-3-гидроксифенил)-1,3,7-трибензил-1,3,7-тригидропурин-2,6-дион;
7-бензил-8-(2-трифторметил-4-гидроксифенил)-1,3-ди(фенилэтил)-1,3,7-тригидропурин-2,6-дион;
7-бензил-8-(5-гидроксибензотиазол-2-ил)-1,3-дициклобутил-1,3,7-тригидропурин-2,6-дион;
7-бензил-8-(4-гидроксифенил)-1,3-ди(пирид-4-илметил)-1,3,7-тригидропурин-2,6-дион;
7-бензил-8-(4-гидроксифенил)-1,3-ди(фуран-3-илметил)-1,3,7-тригидропурин-2,6-дион;
7-бензил-8-(4-гидроксифенил)-1,3-ди(4-метоксибензил)-1,3,7-тригидропурин-2,6-дион;
7-бензил-8-(4-гидроксифенил)-1,3-ди(4-трифторметилбензил)-1,3,7-тригидропурин-2,6-дион; и
7-бензил-8-(4-гидроксифенил)-1,3-ди(3-фторбензил)-1,3,7-тригидропурин-2,6-дион.
C. Получение соединения формулы (4), варьируя R1, R2, X и L
Подобным образом, следуя способу 3A, описанному выше, но заменяя 7-бензил-8-хлор-1,3-дипропил-1,3,7-тригидропурин-2,6-дион другими соединениями формулы (3), получают любое соединение формулы (4).
ПРИМЕР 4
Получение соединения формулы (5)
A. Получение соединения формулы (5), где R1 и R2 оба являются н-пропилом, X означает фенил и L означает -O-

Соединение формулы (4), где R1 и R2 оба являются н-пропилом, X означает фенил и L означает -O- (7-бензил-8-(4-гидроксифенил)-1,3-дипропил-1,3,7-тригидропурин-2,6-дион) (613 мг), растворяли в метаноле (50 мл), добавляли каталитическое количество гидроксида палладия и смесь перемешивали в атмосфере водорода при комнатной температуре в течение ночи. Смесь фильтровали, промывая катализатор метанолом, и растворитель выпаривали из фильтрата при пониженном давлении, получая 8-(4-гидроксифенил)-1,3-дипропил-1,3,7-тригидропурин.
Полученный продукт растворяли в метаноле, добавляли ди-трет-бутилдикарбонат (0,7 г; 3,2 ммоль) и N,N-ди-изопропилэтиламин (1 мл) и смесь кипятили с обратным холодильником в течение ночи. Растворитель удаляли при пониженном давлении и остаток хроматографировали на колонке с силикагелем, получая соединение формулы (5), 7-трет-бутоксикарбонил-8-(4-гидроксифенил)-1,3-дипропил-1,3,7-тригидропурин-2,6-дион.
B. Получение соединения формулы (5), варьируя R1, R2, X и L
Подобным образом, следуя способу 4A, описанному выше, заменяя 7-бензил-8-(4-гидроксифенил)-1,3-дипропил-1,3,7-тригидропурин-2,6-дион другими соединениями формулы (4), получают следующие соединения формулы (5):
7-трет-бутоксикарбонил-8-(4-гидроксифенил)-1,3-диметил-1,3,7-тригидропурин-2,6-дион;
7-трет-бутоксикарбонил-8-(4-гидроксифенил)-1,3-диэтил-1,3,7-тригидропурин-2,6-дион;
7-трет-бутоксикарбонил-8-(4-гидроксифенил)-1,3-ди(метоксиэтил)-1,3,7-тригидропурин-2,6-дион;
7-трет-бутоксикарбонил-8-(3-метокси-4-гидроксифенил)-1,3-ди-н-бутил-1,3,7-тригидропурин-2,6-дион;
7-трет-бутоксикарбонил-8-(3-гидроксипирид-2-ил)-1,3-диизобутил-1,3,7-тригидропурин-2,6-дион;
7-трет-бутоксикарбонил-8-(2-фтор-3-гидроксифенил)-1,3-дибензил-1,3,7-тригидропурин-2,6-дион;
7-трет-бутоксикарбонил-8-(2-трифторметил-4-гидроксифенил)-1,3-ди(фенилэтил)-1,3,7-тригидропурин-2,6-дион;
7-трет-бутоксикарбонил-8-(5-гидроксибензотиазол-2-ил)-1,3-дициклобутил-1,3,7-тригидропурин-2,6-дион;
7-трет-бутоксикарбонил-8-(4-гидроксифенил)-1,3-ди(пирид-4-илметил)-1,3,7-тригидропурин-2,6-дион;
7-трет-бутоксикарбонил-8-(4-гидроксифенил)-1,3-ди(фуран-3-илметил)-1,3,7-тригидропурин-2,6-дион;
7-трет-бутоксикарбонил-8-(4-гидроксифенил)-1,3-ди(4-метоксибензил)-1,3,7-тригидропурин-2,6-дион;
7-трет-бутоксикарбонил-8-(4-гидроксифенил)-1,3-ди(4-трифторметилбензил)-1,3,7-тригидропурин-2,6-дион; и
7-трет-бутоксикарбонил-8-(4-гидроксифенил)-1,3-ди(3-фторбензил)-1,3,7-тригидропурин-2,6-дион.
C. Получение соединения формулы (5), варьируя R1, R3 и X
Подобным образом, следуя способу 4A, описанному выше, но заменяя 7-бензил-8-(4-гидроксифенил)-1,3-дипропил-1,3,7-тригидропурин-2,6-дион другими соединениями формулы (3), получают любое соединение формулы (5).
ПРИМЕР 5
Получение соединения формулы I
A. Получение соединения формулы I, где R1 и R2 являются н-пропилом, X означает фенил, Y означает -O-CH2– и Z означает 5-(4-метоксифенил)-[1,2,4]оксадиазол-3-ил

Смесь 7-трет-бутоксикарбонил-8-(4-гидроксифенил)-1,3-дипропил-1,3,7-тригидропурин-2,6-диона, соединения формулы (5) (50 мг; 0,117 ммоль), 3-хлорметил-5-(4-метоксифенил)-[1,2,4]оксадиазола (26 мг; 0,117 ммоль) и гидрида натрия (10 мг; 0,234 ммоль) в N,N-диметилформамиде перемешивали при комнатной температуре в течение 24 часов. Растворитель удаляли при пониженном давлении и остаток очищали препаративной тонкослойной хроматографией, получая 8-{4-[5-(4-метоксифенил)-[1,2,4]оксадиазол-3-илметокси]фенил}-1,3-дипропил-1,3,7-тригидропурин-2,6-дион.
B. Получение соединения формулы I, где R1 и R2 являются н-пропилом, варьируя X, Y и Z
Подобным образом, следуя способу 5A, описанному выше, но необязательно заменяя 7-трет-бутоксикарбонил-8-(4-гидроксифенил)-1,3-дипропил-1,3,7-тригидропурин-2,6-дион другими соединениями формулы (5) и необязательно заменяя 3-хлорметил-5-(4-метоксифенил)-[1,2,4]оксадиазол другими соединения формулы Cl-Y-Z, получали следующие соединения формулы I:
8-{4-[5-(2-метоксифенил)-[1,2,4]оксадиазол-3-илметокси]фенил}-1,3-дипропил-1,3,7- тригидропурин-2,6-дион;
8-{4-[5-(3-метоксифенил)-[1,2,4]оксадиазол-3-илметокси]фенил}-1,3-дипропил-1,3,7-тригидропурин-2,6-дион;
8-{4-[5-(4-фторфенил)-[1,2,4]оксадиазол-3-илметокси]фенил}-1,3-дипропил-1,3,7-тригидропурин-2,6-дион;
8-{4-[5-(4-(трифторметил)фенил)-[1,2,4]оксадиазол-3-илметокси]фенил}-1,3-дипропил-1,3,7-тригидропурин-2,6-дион; и
8-{4-[5-(4-трифторметилфенил)-[1,2,4]оксадиазол-3-илметокси]фенил}-1,3-дипропил-1,3,7-тригидропурин-2,6-дион.
C. Получение соединения формулы I, варьируя R1, R2, X, Y и Z
Подобным образом, следуя способу 5A, описанному выше, но необязательно заменяя 7-трет-бутоксикарбонил-8-(4-гидроксифенил)-1,3-дипропил-1,3,7-тригидропурин-2,6-дион другими соединениями формулы (5) и необязательно заменяя 3-хлорметил-5-(4-метоксифенил)-[1,2,4]оксадиазол другими соединениями формулы YZ, получают следующие соединения формулы I:
8-{4-[5-(4-метоксифенил)-[1,2,4]оксадиазол-3-илметокси]фенил}-1,3-диметил-1,3,7-тригидропурин-2,6-дион;
8-{4-[5-(4-метоксифенил)-[1,2,4]оксадиазол-3-илметокси]фенил}-1,3-диэтил-1,3,7-тригидропурин-2,6-дион;
8-{4-[5-(4-метоксифенил)-[1,2,4]оксадиазол-3-илметокси]фенил}-1,3-ди(метоксиэтил)-1,3,7-тригидропурин-2,6-дион;
8-{4-[5-(4-метоксифенил)-[1,2,4]оксадиазол-3-илметокси]фенил}-1,3-ди-н-бутил-1,3,7-тригидропурин-2,6-дион;
8-{4-[5-(4-метоксифенил)-[1,2,4]оксадиазол-3-илметокси]фенил}-1,3-диизобутил-1,3,7-тригидропурин-2,6-дион;
8-{4-[5-(2-фтор-3-гидроксифенил)-[1,2,4]оксадиазол-3-илметокси]фенил}-1,3-дибензил-1,3,7-тригидропурин-2,6-дион;
8-{4-[5-(2-трифторметил-4-гидроксифенил)-[1,2,4]оксадиазол-3-илметокси]фенил}-1,3-ди(фенилэтил)-1,3,7-тригидропурин-2,6-дион;
8-{4-[5-(4-трифторметил-3-гидроксифенил)-[1,2,4]оксадиазол-3-илметокси]фенил}-1,3-дициклобутил-1,3,7-тригидропурин-2,6-дион;
8-{4-[5-(4-гидроксифенил)-[1,2,4]оксадиазол-3-илметокси]фенил}-1,3-ди(пирид-4-илметил)-1,3,7-тригидропурин-2,6-дион;
8-{4-[5-(4-гидроксифенил)-[1,2,4]оксадиазол-3-илметокси]фенил}-1,3-ди(фуран-3-илэтил)-1,3,7-тригидропурин-2,6-дион;
8-{4-[5-(4-метоксифенил)имидазол-2-илметокси]фенил}-1,3-дипропил-1,3,7-тригидропурин-2,6-дион;
8-{4-[5-(4-метоксифенил)оксазол-2-илметокси]фенил}-1,3-дипропил-1,3,7-тригидропурин-2,6-дион;
8-{4-[5-(4-метоксифенил)тиазол-2-илметокси]фенил}-1,3-дипропил-1,3,7-тригидропурин-2,6-дион;
8-{4-[5-(4-метоксифенил)-1,3,5-триазин-2-илметокси]фенил}-1,3-дипропил-1,3,7-тригидропурин-2,6-дион;
8-{4-[5-(4-метоксифенил)пиримидин-2-илметокси]фенил}-1,3-дипропил-1,3,7-тригидропурин-2,6-дион;
8-{4-[5-(4-метоксифенил)-[1,2,4]оксадиазол-3-илэтокси]фенил}-1,3-дипропил-1,3,7-тригидропурин-2,6-дион;
8-{4-[5-(4-метоксифенил)-[1,2,4]оксадиазол-3-илпропокси]фенил}-1,3-дипропил-1,3,7-тригидропурин-2,6-дион;
8-{4-[5-(4-фторфенил)-[1,2,4]оксадиазол-3-илметокси]фенил}-1,3-дипропил-1,3,7-тригидропурин-2,6-дион;
8-{4-[5-(4-трифторметилфенил)-[1,2,4]оксадиазол-3-илметокси]фенил}-1,3-дипропил-1,3,7-тригидропурин-2,6-дион;
8-{4-[5-(3,4-диметоксифенил)-[1,2,4]оксадиазол-3-илметокси]фенил}-1,3-дипропил-1,3,7-тригидропурин-2,6-дион; и
8-{5-[5-(4-метоксифенил)-[1,2,4]оксадиазол-3-илэтокси]пиридин-2-ил}-1,3-дипропил-1,3,7-тригидропурин-2,6-дион.
D. Получение соединения формулы I, варьируя R1, R2, X, Y и Z
Подобным образом, следуя способу 5A, описанному выше, но необязательно заменяя 7-трет-бутоксикарбонил-8-(4-гидроксифенил)-1,3-дипропил-1,3,7-тригидропурин-2,6-дион другими соединениями формулы (5) и необязательно заменяя 3-хлорметил-5-(4-метоксифенил)-[1,2,4]оксадиазол другими соединениями формулы YZ, можно получить любое соединение формулы I.
ПРИМЕР 6
Получение соединения формулы (7)
A. Получение соединения формулы (7), где R1 и R2 являются н-пропилом и X является 1,4-фениленом

a) Раствор 7-бензил-8-(4-бензилоксифенил)-1,3-дипропил-1,3,7-тригидропурин-2,6-диона (4,39 г; 8,17 ммоль) (полученного способом, аналогичным получению соединения формулы (5)) в смеси метиленхлорид-метанол (1:1)(100 мл) перемешивали в атмосфере водорода с каталитическим количеством 10% Pd(OH)2/C при комнатной температуре в течение ночи. Катализатор отфильтровали, промывали смесью дихлорметан/метанол и фильтрат упаривали при пониженном давлении, получая твердое вещество, которое промывали метиленхлоридом, получая чистый продукт, 8-(4-гидроксифенил)-1,3-дипропил-1,3,7-тригидропурин-2,6-дион.
b) Смесь 8-(4-гидроксифенил)-1,3-дипропил-1,3,7-тригидропурин-2,6-диона (2,2 г; 6,7 ммоль), трет-бутилдиметилсилилхлорида (2,0 г; 13,4 ммоль) и имидазола (0,91 г; 13,4 ммоль) в тетрагидрофуране (50 мл) перемешивали в течение ночи при комнатной температуре, затем кипятили с обратным холодильником в течение 10 часов. Растворитель удаляли при пониженном давлении и остаток растворяли в дихлорметане и пропускали через слой силикагеля, который затем промывали этилацетатом. Фильтрат концентрировали при пониженном давлении, получая 8-[(4-трет-бутилдиметилсилилокси)фенил]-1,3-дипропил-1,3,7-тригидропурин-2,6-дион.
c) К раствору 8-[(4-трет-бутилдиметилсилилокси)фенил]-1,3-дипропил-1,3,7-тригидропурин-2,6-диона (13,7 г; 31 ммоль) в тетрагидрофуране (200 мл) добавляли гидрид натрия (1,6 г; 40 ммоль) и смесь перемешивали в течение 30 минут при комнатной температуре. Затем добавляли бензилоксиметилхлорид (4,9 г; 31 ммоль) и смесь перемешивали в течение 1 часа при комнатной температуре. Затем растворитель удаляли при пониженном давлении и остаток растворяли в метиленхлориде. Полученный раствор промывали насыщенным раствором соли и растворитель удаляли при пониженном давлении. Остаток хроматографировали на силикагеле, элюируя этилацетатом, получая 7-бензилоксиметил-8-[(4-трет-бутилдиметилсилилокси)фенил]-1,3-дипропил-1,3,7-тригидропурин-2,6-дион в виде жидкого вещества.
d) К раствору 7-бензилоксиметил-8-[(4-трет-бутилдиметилсилилокси)фенил]-1,3-дипропил-1,3,7-тригидропурин-2,6-диона (10,5 г; 18,7 ммоль) в тетрагидрофуране (200 мл) добавляли фторид тетра(трет-бутил)аммония (3 г) и смесь перемешивали в течение 2 часов при комнатной температуре. Продукт пропускали через слой силикагеля, который промывали этилацетатом. Фильтрат упаривали при пониженном давлении и остаток промывали дихлорметаном, получая 7-бензилоксиметил-8- (4-гидроксифенил)-1,3-дипропил-1,3,7-тригидропурин-2,6-дион в виде белого твердого вещества.
e) К раствору 7-бензилоксиметил-8-(4-гидроксифенил)-1,3-дипропил-1,3,7-тригидропурин-2,6-диона (1 г; 2,2 ммоль) в тетрагидрофуране (20 мл) добавляли трет-бутоксид калия (0,28 г; 2,4 ммоль) и смесь перемешивали в течение 30 минут при комнатной температуре. Затем добавляли йодацетонитрил (0,38 г; 2,23 ммоль) и смесь перемешивали в течение 16 часов при комнатной температуре. Растворитель удаляли при пониженном давлении и остаток растворяли в этилацетате и пропускали через слой силикагеля, получая 7-бензилоксиметил-8-(4-цианометоксифенил)-1,3-дипропил-1,3,7-тригидропурин-2,6-дион, соединение формулы (7).
B. Получение соединения формулы (7), варьируя R1 и R2
Подобным образом, следуя способу 6A, описанному выше, но заменяя 7-бензил-8-(4-бензилоксифенил)-1,3-дипропил-1,3,7-тригидропурин-2,6-дион другими подобными соединениями, получают другие соединения формулы (7).
ПРИМЕР 7
Получение соединения формулы (8)
A. Получение соединения формулы (8), где R1 и R2 являются н-пропилом и X является 1,4-фениленом

Раствор 7-бензилоксиметил-8-(4-цианометоксифенил)-1,3-дипропил-1,3,7-тригидропурин-2,6-диона (1,15 г; 2,36 ммоль) в этаноле (50 мл) перемешивали с этоксидом натрия (0,25 г; 3,54 ммоль) и гидрохлоридом гидроксиламина (0,15 г; 3,54 ммоль) при комнатной температуре в течение ночи. Растворитель удаляли при пониженном давлении, остаток растворяли в смеси дихлорметан/метанол (50:1) и раствор пропускали через слой силикагеля. Фильтрат упаривали при пониженном давлении, получая 8-[4-(2-амино-2-(гидроксиимино)этокси)фенил]-7-[(фенилметокси)метил]-1,3-дипропил-1,3,7-тригидропурин-2,6-дион.
B. Получение соединения формулы (8), варьируя R1 и R2
Подобным образом, следуя способу 7A, описанному выше, но заменяя 7-бензилоксиметил-8-(4-цианометоксифенил)-1,3-дипропил-1,3,7-тригидропурин-2,6-дион другими подобными соединениями, получают другие соединения формулы (8).
ПРИМЕР 8
Получение соединения формулы I
A. Получение соединения формулы I, где R1 и R2 являются н-пропилом, R3 означает водород, X означает 1,4-фенилен, Y означает -O(CH2)- и Z означает 5-(2-хлорфенил)-[1,2,4]оксадиазол-3-ил

К раствору 7-бензилоксиметил-8-[4-(амино(гидроксиимино)метокси)фенил]-1,3-дипропил-1,3,7-тригидропурин-2,6-диона (50 мг) в диоксане (3 мл) добавляли карбонат калия (0,5 г), затем 2-хлорбензоилхлорид. Смесь перемешивали при комнатной температуре в течение 10 минут, затем твердые вещества отфильтровывали. Фильтрат упаривали при пониженном давлении и остаток растворяли в ксилене. Раствор нагревали до 145°C в течение ночи, затем растворитель удаляли при пониженном давлении и остаток хроматографировали на силикагеле, элюируя этилацетатом, получая 8-{4-[5-(2-хлорфенил)-[1,2,4]оксадиазол-3-илметокси]фенил}-1,3-дипропил-1,3-дигидропурин-2,6-дион.
B. Получение соединения формулы I, где R1 и R2 являются н-пропилом, варьируя X, Y и Z
Подобным образом, следуя способу 8A, описанному выше, но необязательно заменяя 7-бензилоксиметил-8-[4-(амино(гидроксиимино)метокси)фенил]-1,3-дипропил-1,3,7-тригидропурин-2,6-дион другими соединениями формулы (8) и необязательно заменяя другими соединениями формулы RC(O)Cl, получали следующие соединения формулы I:
8-(4-{[5-(3-метилфенил)(1,2,4-оксадиазол-3-ил)]метокси}фенил)-1,3-дипропил-1,3,7-тригидропурин-2,6-дион;
8-(4-{[5-(2-фторфенил)(1,2,4-оксадиазол-3-ил)]метокси}фенил)-1,3-дипропил-1,3,7-тригидропурин-2,6-дион;
8-(4-{[5-(2-метилфенил)(1,2,4-оксадиазол-3-ил)]метокси}фенил)-1,3-дипропил-1,3,7-тригидропурин-2,6-дион;
8-(4-{[5-(3-метоксифенил)(1,2,4-оксадиазол-3-ил)]метокси}фенил)-1,3-дипропил-1,3,7-тригидропурин-2,6-дион;
метил-4-(3-{[4-(2,6-диоксо-1,3-дипропил-1,3,7-тригидропурин-8-ил)фенокси]метил}-1,2,4-оксадиазол-5-ил)бензоат;
1,3-дипропил-8-[4-({5-[2-(трифторметокси)фенил](1,2,4-оксадиазол-3-ил)}метокси)фенил]-1,3,7-тригидропурин-2,6-дион;
8-(4-{[5-(2-бромфенил)(1,2,4-оксадиазол-3-ил)]метокси}фенил)-1,3-дипропил-1,3,7-тригидропурин-2,6-дион; и
8-(4-{[5-(2,4-диметоксифенил)(1,2,4-оксадиазол-3-ил)]метокси}фенил)-1,3-дипропил-1,3,7-тригидропурин-2,6-дион.
ПРИМЕР 9
Получение соединения формулы I
A. Получение соединения формулы I, где R1 и R2 являются н-пропилом, X означает 1,4-пиразолен, R3 означает водород, Y означает пропилен и Z означает фенил

a) Получение соединения формулы (22), в которой Z означает 1,4-пиразолен, Y означает пропилен и X означает фенил
a) К раствору этил-4-пиразолкарбоксилата (3,57 ммоль) в ацетоне (30 мл) добавляли карбонат калия (35,7 ммоль) и 1-бром-3-фенилпропан (3,57 ммоль). Суспензию кипятили с обратным холодильником в течение ночи, после этого растворитель удаляли при пониженном давлении. Остаток распределяли между этилацетатом и водой, органический слой сушили над сульфатом магния, фильтровали и фильтрат упаривали при пониженном давлении, получая масло, которое очищали препаративной ТСХ, получая этил-1-(3-фенилпропил)пиразол-4-карбоксилат.
b) Затем сложный эфир растворяли в метаноле (30 мл) и добавляли гидроксид калия (1,5 г). Смесь кипятили с обратным холодильником в течение 5 часов в атмосфере азота, затем растворитель удаляли при пониженном давлении. Остаток распределяли между метиленхлоридом и водой. Водный слой отделяли и подкисляли до pH 1-2, используя 6 н. хлористоводородную кислоту, затем экстрагировали этилацетатом. Объединенные органические слои сушили над сульфатом магния и растворитель удаляли при пониженном давлении, получая 1-(3-фенилпропил)пиразол-4-карбоновую кислоту.
c) К раствору 1-(3-фенилпропил)пиразол-4-карбоновой кислоты (300 мг; 1,30 ммоль) в N,N-диметилформамиде (7 мл) добавляли гидрохлорид 1-[3-(диметиламино)пропил]-3-этилкарбодиимида (300 мг). Суспензию перемешивали при комнатной температуре до тех пор, пока не растворялось все твердое вещество, затем добавляли 5,6-диамино-1,3-дипропил-1,3-дигидропиримидин-2,4-дион (450 мг) и реакционную смесь перемешивали при комнатной температуре в течение ночи. Затем добавляли 2 н. гидроксид натрия (10 мл) и суспензию нагревали при 120°C в течение 2 часов. Реакционную смесь охлаждали в ледяной воде и подкисляли до pH 2-3. Смесь распределяли между водой и этилацетатом и слой этилацетата и твердое вещество промывали водой и растворитель удаляли при пониженном давлении. Остаток растирали в эфире, получая чистый продукт, 8-[1-(3-фенилпропил)пиразол-4-ил]-1,3-дипропил-1,3,7-тригидропурин-2,6-дион.
B. Получение соединения формулы I, где R1 и R2 являются н-пропилом, варьируя X, Y и Z
Подобным образом, следуя способу 9A, описанному выше, но заменяя 1-бром-3-фенилпропан бензилбромидом, получали следующее соединение формулы I:
8-(1-бензилпиразол-4-ил)-1,3-дипропил-1,3,7-тригидропурин-2,6-дион.
Подобным образом получали 8-{1-[(3,5-диметилизоксазол-4-ил)метил]пиразол-4-ил}-1,3-дипропил-1,3,7-тригидропурин-2,6-дион и 8-[1-(3-циклогексилпропил)пиразол-4-ил]-1,3-дипропил-1,3,7-тригидропурин-2,6-дион.
ПРИМЕР 10
Получение соединения формулы I
A. Получение соединения формулы I, где R1 и R2 являются н-пропилом, X означает 1,4-пиразолен, R3 означает 2-гидроксиэтил, Y означает метилен и Z означает фенил

К раствору 8-(1-бензилпиразол-4-ил)-1,3-дипропил-1,3,7-тригидропурин-2,6-диона (0,51 ммоль) в N,N-диметилформамиде (2 мл) добавляли карбонат калия (5,1 ммоль) и 2-бромэтанол (5,1 ммоль). Суспензию нагревали при 70°C в течение ночи, растворитель удаляли при пониженном давлении и остаток очищали препаративной ТСХ, получая чистый 7-(2-гидроксиэтил)-8-(1-бензилпиразол-4-ил)-1,3-дипропил-1,3,7-тригидропурин-2,6-дион.
B. Получение соединения формулы I, где R1 и R2 являются н-пропилом, варьируя X, Y и Z
Подобным образом, следуя способу 10A, описанному выше, но, заменяя 2-бромэтанол другими соединениями формулы R3LG, получали следующие соединения формулы I:
7-аллил-8-(1-бензилпиразол-4-ил)-1,3-дипропил-1,3,7-тригидропурин-2,6-дион;
7-(метилэтил)-8-{4-[5-(2-метоксифенил)-[1,2,4]оксадиазол-3-илметокси]фенил}-1,3-дипропил-1,3,7-тригидропурин-2,6-дион;
7-(2-метоксиэтил)-8-{4-[5-(2-метоксифенил)-[1,2,4]оксадиазол-3-илметокси]фенил}-1,3-дипропил-1,3,7-тригидропурин-2,6-дион;
7-метил-8-{4-[5-(2-метоксифенил)-[1,2,4]оксадиазол-3-илметокси]фенил}-1,3-дипропил-1,3,7-тригидропурин-2,6-дион; и
7-(проп-2-енил)-8-{4-[5-(2-метоксифенил)-[1,2,4]оксадиазол-3-илметокси]фенил}-1,3-дипропил-1,3,7-тригидропурин-2,6-дион.
ПРИМЕР 11
Получение соединения формулы (22)
A. Получение соединения формулы HO-C(O)-XYZ, в котором X является фенилом, Y означает -O-CH2– и Z означает 5-(2-метоксифенил)-[1,2,4]оксадиазол-3-ил

a) Раствор метил-4-гидроксибензоата (3,04 г; 20 ммоль) и 3-хлорметил-5-(2-метоксифенил)-[1,2,4]оксадиазола (4,48 г; 20 ммоль) в ацетоне (200 мл) кипятили с обратным холодильником в течение ночи. Смесь фильтровали, растворитель удаляли из фильтрата и остаток растворяли в этилацетате. К полученному раствору добавляли метанол, чтобы осадить продукт, метил-4-{2-[5-(2-метоксифенил)-1,2,4-оксадиазол-3-ил]метокси}бензоат.
b) Раствор метил-4-{2-[5-(2-метоксифенил)-1,2,4-оксадиазол-3-ил]метокси}бензоата (5,0 г) и гидроксида калия (10 г) в метаноле (200 мл) кипятили с обратным холодильником в течение 4,5 часов. Растворитель удаляли при пониженном давлении и остаток распределяли между метиленхлоридом и водой. Водный слой подкисляли, используя 6 н. хлористоводородную кислоту, до pH 3 и осадок экстрагировали в этилацетате. Растворитель удаляли при пониженном давлении, получая 4-{2-[5-(2-метоксифенил)-1,2,4-оксадиазол-3-ил]метокси}бензойную кислоту.
B. Получение соединения формулы HO-C(O)-XYZ, варьируя X, Y и Z
Подобным образом, следуя способу 11A, описанному выше, но, заменяя 3-хлорметил-5-(2-метоксифенил)-[1,2,4]оксадиазол другими 3-хлорметил-5-замещенными [1,2,4]оксадиазолами получали следующие соединения формулы HO-C(O)-XYZ I:
4-{2-[5-(3-фторфенил)-1,2,4-оксадиазол-3-ил]метокси}бензойную кислоту;
4-{2-[(5-циклопентил)-1,2,4-оксадиазол-3-ил]метокси}бензойную кислоту; и
4-{2-[(5-циклогексил)-1,2,4-оксадиазол-3-ил]метокси}бензойную кислоту.
ПРИМЕР 12
Получение соединения формулы I
A. Получение соединения формулы I, где R1 и R2 являются н-пропилом, R3 означает водород, X означает 1,4-фенилен, Y означает -O(CH2)- и Z означает 5-(2-метоксифенил)-[1,2,4]оксадиазол-3-ил

Смесь 4-{2-[5-(2-метоксифенил)-1,2,4-оксадиазол-3-ил]метокси}бензойной кислоты (3,0 г), 5,6-диамино-1,3-дипропил-1,3-дигидропиримидин-2,4-диона (3,2 г) и гидрохлорида 1-[3-(диметиламино)пропил]-3-этилкарбодиимида (3,0 г) в N,N-диметилформамиде (50 мл) перемешивали в течение ночи при комнатной температуре. Растворитель удаляли при пониженном давлении и остаток сушили в вакууме в течение 1 часа. К полученному продукту добавляли 150 мл 2 н. гидроксида натрия и смесь нагревали при 120°C в течение 2 часов. Смесь охлаждали до 0°C и подкисляли, используя 6 н. хлористоводородную кислоту, до pH 2-3. Смесь распределяли между водой и этилацетатом и слой этилацетата отделяли вместе с некоторым количеством твердого продукта. Полученную смесь промывали водой, растворитель удаляли из органического слоя до объема примерно 20 мл. Полученное таким образом твердое вещество отфильтровывали, промывали этилацетатом и один раз смесью этилацетат/метанол (1:1). Твердое вещество сушили в вакууме, получая 8-{4-[5-(2-метоксифенил)-[1,2,4]оксадиазол-3-илметокси]фенил}-1,3-дипропил-1,3,7-тригидропурин-2,6-дион, соединение формулы I.
B. Получение соединения формулы I, где R1 и R2 являются н-пропилом, варьируя X Y и Z
Подобным образом, следуя способу 12A, описанному выше, но необязательно заменяя 4-{2-[5-(2-метоксифенил)-1,2,4-оксадиазол-3-ил]метокси}бензойную кислоту другими соединениями формулы (22) и необязательно заменяя 5,6-диамино-1,3-дипропил-1,3-дигидропиримидин-2,4-дион другими соединениями формулы, получали следующие соединения формулы I:
8-{4-[(3,5-диметилизоксазол-4-ил)метокси]фенил}-1,3-дипропил-1,3,7-тригидропурин-2,6-дион;
8-{4-[(2-феноксиэтокси)фенил[1,2,4]оксадиазол-3-илметокси]фенил}-1,3-дипропил-1,3,7-тригидропурин-2,6-дион;
8-{4-[5-(4-фторфенил)-[1,2,4]оксадиазол-3-илметокси]фенил}-1,3-дипропил-1,3,7-тригидропурин-2,6-дион;
8-{4-[5-(3-циклогексил)-[1,2,4]оксадиазол-3-илметокси]фенил}-1,3-дипропил-1,3,7-тригидропурин-2,6-дион;
8-{4-[5-(3-циклопентил)-[1,2,4]оксадиазол-3-илметокси]фенил}-1,3-дипропил-1,3,7-тригидропурин-2,6-дион;
8-{4-[3-(3-хлорфенил)-[1,2,4]оксадиазол-5-илметокси]фенил}-1,3-дипропил-1,3,7-тригидропурин-2,6-дион;
8-{4-[3-(4-бифенил)-[1,2,4]оксадиазол-5-илметокси]фенил}-1,3-дипропил-1,3,7-тригидропурин-2,6-дион;
8-{4-[3-(4-изопропилфенил)-[1,2,4]оксадиазол-5-илметокси]фенил}-1,3-дипропил-1,3,7-тригидропурин-2,6-дион;
8-{4-[3-(4-трет-бутилфенил)-[1,2,4]оксадиазол-5-илметокси]фенил}-1,3-дипропил-1,3,7-тригидропурин-2,6-дион;
8-{4-[5-(4-йодпиразол-1-ил)этокси]фенил}-1,3-дипропил-1,3,7-тригидропурин-2,6-дион;
8-{4-[5-(4-хлорфенил)-[1,2,4]оксадиазол-3-илметокси]фенил}-1,3-дипропил-1,3,7-тригидропурин-2,6-дион;
8-{4-[3-(4-метилфенил)-[1,2,4]-оксадиазол-5-илметокси]фенил}-1,3-дипропил-1,3,7-тригидропурин-2,6-дион; и
8-{4-[3,5-диметил[1,2,4]оксадиазол-5-илметокси]фенил}-1,3-дипропил-1,3,7-тригидропурин-2,6-дион.
ПРИМЕР 13
Получение соединения формулы I
A. Получение соединения формулы I, где R1 и R2 являются н-пропилом, R3 означает водород, X означает 1,4-фенилен, Y означает -O(CH2)- и Z означает 5-(2-метоксифенил)-[1,2,4]оксадиазол-3-ил

a) К раствору 8-[4-(фенилметокси)фенил]-1,3-дипропил-1,3,7-тригидропурин-2,6-диона (3,8 г; 9,08 ммоль) в безводном диметилформамиде (100 мл) добавляли карбонат калия (6,27 г; 45,4 ммоль), затем 2-(триметилсилил)этоксиметилхлорид (3,21 мл; 18 моль) и смесь перемешивали при 70°C в течение 72 часов. Растворитель удаляли при пониженном давлении и остаток очищали флэш-хроматографией на колонке, элюируя смесью 30% EtOAc/гексаны, получая 3,7 г 7-[(2-триметилсилил)этоксиметил]-8-[4-(фенилметокси)фенил]-1,3-дипропил-1,3,7-тригидропурин-2,6-диона.
b)

7-[(2-триметилсилил)этоксиметил]-8-[4-(фенилметокси)фенил]-1,3-дипропил-1,3,7-тригидропурин-2,6-дион (1,74 г; 3,17 ммоль) растворяли в метаноле (100 мл) и к раствору добавляли катализатор Пирлменна (1,0 г). Полученную в результате суспензию перемешивали при комнатной температуре при положительном давлении водорода в течение 16 часов. Суспензию фильтровали через целит, несколько раз промывали смесью 50:50 метиленхлорид:метанол и фильтрат выпаривали, получая 7-[(2-триметилсилил)этоксиметил]-8-[4-гидроксифенил]-1,3-дипропил-1,3,7-тригидропурин-2,6-дион (1,2 г) в виде белого твердого вещества.
c)

7-[(2-триметилсилил)этоксиметил]-8-[4-гидроксифенил]-1,3-дипропил-1,3,7-тригидропурин-2,6-дион (50 мг; 0,1 ммоль) растворяли в ацетоне (2,5 мл), к которому добавляли карбонат калия (0,5 г) и затем 5-хлорметил-3-[(4-хлор)фенил]оксадиазол (25 мг; 0,1 ммоль), и смесь перемешивали при 60°C в течение 16 часов. Растворитель удаляли при пониженном давлении и выпаривали, и остаток подвергали препаративной тонкослойной хроматографии, элюируя смесью 30% EtOAc/гексаны, получая 7-(2-триметилсилил)этоксиметил-8-(4-{[3-(4-хлорфенил)(1,2,4-оксадиазол-5-ил)]метокси}фенил)-1,3-дипропил-1,3,7-тригидропурин-2,6-дион (50 мг).
d)

7-(2-триметилсилил)этоксиметил-8-(4-{[3-(4-хлорфенил)(1,2,4-оксадиазол-5-ил)]метокси}фенил)-1,3-дипропил-1,3,7-тригидропурин-2,6-дион растворяли в этаноле (2 мл), к раствору добавляли 1M HCl (0,5 мл). Смесь кипятили с обратным холодильником в течение 2 часов. Полученный в результате белый остаток собирали, выпаривая растворитель при пониженном давлении и промывая остаток этанолом (3 x 2 мл), получая чистый 8-(4-{[3-(4-хлорфенил)(1,2,4-оксадиазол-5-ил)]метокси}фенил)-1,3-дипропил-1,3,7-тригидропурин-2,6-дион.
B. Получение соединения формулы I, где R1 и R2 являются н-пропилом, варьируя X, Y и Z
Подобным образом, следуя способу 13A, описанному выше, но заменяя 5-хлорметил-3-[(4-хлор)фенил]оксадиазол сходными соединениями, получали следующие соединения формулы I:
8-(4-{[5-(4-хлорфенил)(1,2,4-оксадиазол-3-ил)]метокси}фенил)-1,3-дипропил-1,3,7-тригидропурин-2,6-дион;
8-(4-{[3-(4-метилфенил)(1,2,4-оксадиазол-5-ил)]метокси}фенил)-1,3-дипропил-1,3,7-тригидропурин-2,6-дион;
8-{4-[2-(4-йодпиразолил)этокси]фенил}-1,3-дипропил-1,3,7-тригидропурин-2,6-дион;
8-{4-[2-(4-метилпиразолил)этокси]фенил}-1,3-дипропил-1,3,7-тригидропурин-2,6-дион;
8-{4-[(5-метилизоксазол-3-ил)метокси]фенил}-1,3-дипропил-1,3,7-тригидропурин-2,6-дион;
8-(1-{[5-(2-метоксифенил)(1,2,4-оксадиазол-3-ил)]метил}пиразол-4-ил)-1,3-дипропил-1,3,7-тригидропурин-2,6-дион;
N-(2,6-диметилфенил)-2-[4-(2,6-диоксо-1,3-дипропил(1,3,7-тригидропурин-8-ил))пиразолил]ацетамид;
8-(1-{[3-(4-метилфенил)(1,2,4-оксадиазол-5-ил)]метил}пиразол-4-ил)-1,3-дипропил-1,3,7-тригидропурин-2,6-дион;
8-{1-[2-(1,3-диоксоизоиндолин-2-ил)этил]пиразол-4-ил}-1,3-дипропил-1,3,7-тригидропурин-2,6-дион;
2-[4-(2,6-диоксо-1,3-дипропил(1,3,7-тригидропурин-8-ил))пиразолил]-N-(2-хлорфенил)ацетамид;
2-[4-(2,6-диоксо-1,3-дипропил(1,3,7-тригидропурин-8-ил))пиразолил]-N-фенилацетамид;
1,3-дипропил-8-пиразол-4-ил-1,3,7-тригидропурин-2,6-дион;
метил-4-(3-{[4-(2,6-диоксо-1,3-дипропил-1,3,7-тригидропурин-8-ил)фенокси]метил}-1,2,4-оксадиазол-5-ил)бензоат;
1,3-дипропил-8-[4-({5-[2-(трифторметокси)фенил](1,2,4-оксадиазол-3-ил)}метокси)фенил]-1,3,7-тригидропурин-2,6-дион;
8-(4-{[5-(2-бромфенил)(1,2,4-оксадиазол-3-ил)]метокси}фенил)-1,3-дипропил-1,3,7-тригидропурин-2,6-дион;
8-(4-{[5-(2,4-диметоксифенил)(1,2,4-оксадиазол-3-ил)]метокси}фенил)-1,3-дипропил-1,3,7-тригидропурин-2,6-дион;
8-{4-[(5-метилизоксазол-3-ил)метокси]фенил}-1,3-дипропил-1,3,7-тригидропурин-2,6-дион;
8-{1-[(2-метилфенил)метил]пиразол-4-ил}-1,3-дипропил-1,3,7-тригидропурин-2,6-дион;
8-{1-[(3-метилфенил)метил]пиразол-4-ил}-1,3-дипропил-1,3,7-тригидропурин-2,6-дион;
1,3-дипропил-8-(1-{[2-(трифторметил)фенил]метил}пиразол-4-ил)-1,3,7-тригидропурин-2,6-дион;
8-{1-[(4-метилфенил)метил]пиразол-4-ил}-1,3-дипропил-1,3,7-тригидропурин-2,6-дион;
8-{1-[(2-метоксифенил)метил]пиразол-4-ил}-1,3-дипропил-1,3,7-тригидропурин-2,6-дион;
8-{1-[(2-фторфенил)метил]пиразол-4-ил}-1,3-дипропил-1,3,7-тригидропурин-2,6-дион;
8-{1-[(3-метоксифенил)метил]пиразол-4-ил}-1,3-дипропил-1,3,7-тригидропурин-2,6-дион;
8-{1-[(3-фторфенил)метил]пиразол-4-ил}-1,3-дипропил-1,3,7-тригидропурин-2,6-дион;
8-{1-[(3-хлорфенил)метил]пиразол-4-ил}-1,3-дипропил-1,3,7-тригидропурин-2,6-дион;
1,3-дипропил-8-(1-{[3-(трифторметил)фенил]метил}пиразол-4-ил)-1,3,7-тригидропурин-2,6-дион;
8-{1-[(2-хлорфенил)метил]пиразол-4-ил}-1,3-дипропил-1,3,7-тригидропурин-2,6-дион;
1,3-дипропил-8-(1-{[4-(трифторметил)фенил]метил}пиразол-4-ил)-1,3,7-тригидропурин-2,6-дион;
8-{1-[(4-хлорфенил)метил]пиразол-4-ил}-1,3-дипропил-1,3,7-тригидропурин-2,6-дион;
8-{1-[(4-фторфенил)метил]пиразол-4-ил}-1,3-дипропил-1,3,7-тригидропурин-2,6-дион; и
8-{1-[(4-фторфенил)метил]пиразол-4-ил}-1,3-дипропил-1,3,7-тригидропурин-2,6-дион.
ПРИМЕР 14
Получение соединения формулы (23)
A. Получение соединения формулы (23), в котором R1 является н-бутилом

Смесь 6-аминоурацила (5 г; 10 ммоль), гексаметилдисилазана (40 мл) и сульфата аммония (260 мг; 1,97 ммоль) кипятили с обратным холодильником в течение 4 часов. Избыток HMDS удаляли при пониженном давлении, получая триметилсилилированное производное 6-аминоурацила.
Продукт объединяли с 1-йодбутаном (10 мл) и нагревали на масляной бане при 130°C в течение 3 дней. Затем реакционную смесь охлаждали до 0°C и добавляли насыщенный водный раствор бикарбоната натрия. Полученный в результате осадок отфильтровывали, промывали водой, получая 6-амино-3-бутил-1,3-дигидропиримидин-2,4-дион, соединение формулы (23), которое использовали в следующей реакции без дополнительной очистки.
B. Получение других соединений формулы (23)
Подобным образом, следуя способу 14A, описанному выше, но, заменяя 1-йодбутан другими галогенидами формулы R1Hal, получали следующие соединения формулы (23):
6-амино-3-этил-1,3-дигидропиримидин-2,4-дион;
6-амино-3-н-пропил-1,3-дигидропиримидин-2,4-дион;
6-амино-3-циклопропилметил-1,3-дигидропиримидин-2,4-дион;
6-амино-3-(2-метилпропил)-1,3-дигидропиримидин-2,4-дион;
6-амино-3-бензил-1,3-дигидропиримидин-2,4-дион; и
6-амино-3-этинил-1,3-дигидропиримидин-2,4-дион.
C. Получение других соединений формулы (23)
Подобным образом, следуя способу 14A, описанному выше, но, заменяя 1-йодбутан другими галогенидами формулы R1Hal, получают следующие соединения формулы (23):
6-амино-3-метил-1,3-дигидропиримидин-2,4-дион;
6-амино-3-изопропил-1,3-дигидропиримидин-2,4-дион;
6-амино-3-н-пентил-1,3-дигидропиримидин-2,4-дион;
6-амино-3-пропилпентил-1,3-дигидропиримидин-2,4-дион;
6-амино-3-(2-фенилэтил)-1,3-дигидропиримидин-2,4-дион;
6-амино-3-(2-метоксиэтил)-1,3-дигидропиримидин-2,4-дион;
6-амино-3-(3-гидроксипропил)-1,3-дигидропиримидин-2,4-дион;
6-амино-3-(4-фторбутил)-1,3-дигидропиримидин-2,4-дион;
6-амино-3-(2-этилкарбоксиэтил)-1,3-дигидропиримидин-2,4-дион;
6-амино-3-этенил-1,3-дигидропиримидин-2,4-дион;
6-амино-3-циклопентил-1,3-дигидропиримидин-2,4-дион;
6-амино-3-(3-гидроксициклопентил)-1,3-дигидропиримидин-2,4-дион;
6-амино-3-циклогексил-1,3-дигидропиримидин-2,4-дион;
6-амино-3-циклопропилметил-1,3-дигидропиримидин-2,4-дион;
6-амино-3-фенил-1,3-дигидропиримидин-2,4-дион;
6-амино-3-(пирид-3-ил)-1,3-дигидропиримидин-2,4-дион;
6-амино-3-(пирид-3-илметил)-1,3-дигидропиримидин-2,4-дион;
6-амино-3-(тетрагидрофуран-3-ил)-1,3-дигидропиримидин-2,4-дион; и
6-амино-3-(пиперидин-4-ил)-1,3-дигидропиримидин-2,4-дион.
D. Получение других соединений формулы (23)
Подобным образом, следуя способу 14A, описанному выше, но, заменяя 1-йодбутан другими галогенидами формулы R1Hal, получают другие соединения формулы (23).
ПРИМЕР 15
Получение соединения формулы (24)
A. Получение соединения формулы (24), в котором R1 является н-бутилом

Смесь 6-амино-3-бутил-1,3-дигидропиримидин-2,4-диона (4,0 г; 21,8 ммоль) и водного раствора уксусной кислоты (120 мл) нагревали при 70°C вплоть до полного растворения и раствор охлаждали до 30°C. Небольшими порциями при перемешивании добавляли нитрит натрия (3 г), образуя оранжевый осадок. Реакционную смесь охлаждали до 0°C и осадок отфильтровывали, промывали водой и сушили при пониженном давлении, получая 5-нитрозо-6-амино-3-бутил-1,3-дигидропиримидин-2,4-дион, который использовали в следующей реакции без дополнительной очистки.
B. Получение других соединений формулы (24)
Подобным образом, следуя способу 15A, описанному выше, но, заменяя 6-амино-3-бутил-1,3-дигидропиримидин-2,4-дион другими соединениями формулы (23), получали следующие соединения формулы (24):
5-нитрозо-6-амино-3-этил-1,3-дигидропиримидин-2,4-дион;
5-нитрозо-6-амино-3-н-пропил-1,3-дигидропиримидин-2,4-дион;
5-нитрозо-6-амино-3-циклопропилметил-1,3-дигидропиримидин-2,4-дион;
5-нитрозо-6-амино-3-(2-метилпропил)-1,3-дигидропиримидин-2,4-дион;
5-нитрозо-6-амино-3-бензил-1,3-дигидропиримидин-2,4-дион; и
5-нитрозо-6-амино-3-этинил-1,3-дигидропиримидин-2,4-дион.
C. Получение других соединений формулы (24)
Подобным образом, следуя способу 15A, описанному выше, но, заменяя 6-амино-3-бутил-1,3-дигидропиримидин-2,4-дион другими галогенидами формулы (23), получают следующие соединения формулы (24):
5-нитрозо-6-амино-3-метил-1,3-дигидропиримидин-2,4-дион;
5-нитрозо-6-амино-3-изопропил-1,3-дигидропиримидин-2,4-дион;
5-нитрозо-6-амино-3-н-пентил-1,3-дигидропиримидин-2,4-дион;
5-нитрозо-6-амино-3-пропилпентил-1,3-дигидропиримидин-2,4-дион;
5-нитрозо-6-амино-3-(2-фенилэтил)-1,3-дигидропиримидин-2,4-дион;
5-нитрозо-6-амино-3-(2-метоксиэтил)-1,3-дигидропиримидин-2,4-дион;
5-нитрозо-6-амино-3-(3-гидроксипропил)-1,3-дигидропиримидин-2,4-дион;
5-нитрозо-6-амино-3-(4-фторбутил)-1,3-дигидропиримидин-2,4-дион;
5-нитрозо-6-амино-3-(2-этилкарбоксиэтил)-1,3-дигидропиримидин-2,4-дион;
5-нитрозо-6-амино-3-этенил-1,3-дигидропиримидин-2,4-дион;
5-нитрозо-6-амино-3-циклопентил-1,3-дигидропиримидин-2,4-дион;
5-нитрозо-6-амино-3-(3-гидроксициклопентил)-1,3-дигидропиримидин-2,4-дион;
5-нитрозо-6-амино-3-циклогексил-1,3-дигидропиримидин-2,4-дион;
5-нитрозо-6-амино-3-циклопропилметил-1,3-дигидропиримидин-2,4-дион;
5-нитрозо-6-амино-3-фенил-1,3-дигидропиримидин-2,4-дион;
5-нитрозо-6-амино-3-(пирид-3-ил)-1,3-дигидропиримидин-2,4-дион;
5-нитрозо-6-амино-3-(пирид-3-илметил)-1,3-дигидропиримидин-2,4-дион;
5-нитрозо-6-амино-3-(тетрагидрофуран-3-ил)-1,3-дигидропиримидин-2,4-дион; и
5-нитрозо-6-амино-3-(пиперидин-4-ил)-1,3-дигидропиримидин-2,4-дион.
D. Получение других соединений формулы (24)
Подобным образом, следуя способу 15A, описанному выше, но, заменяя 6-амино-3-бутил-1,3-дигидропиримидин-2,4-дион другими галогенидами формулы (23), получают другие соединения формулы (24).
ПРИМЕР 16
Получение соединения формулы (25)
A. Получение соединения формулы (25), в котором R1 является н-бутилом

Смесь 5-нитрозо-6-амино-3-бутил-1,3-дигидропиримидин-2,4-диона (2,1 г; 10 ммоль) и водного аммиака (50 мл) нагревали при 70°C вплоть до полного растворения. Затем небольшими порциями добавляли гидросульфит натрия (7 г) вплоть до того, как раствор становился прозрачным и бесцветным. Реакционную смесь выпаривали при пониженном давлении до появления кристаллов и затем охлаждали до 0°C. Осадок отфильтровывали, промывали холодной водой, получая 5,6-диамино-3-бутил-1,3-дигидропиримидин-2,4-дион, соединение формулы (25), которое использовали в следующей реакции без дополнительной очистки.
B. Получение других соединений формулы (25)
Подобным образом, следуя способу 16A, описанному выше, но, заменяя 5-нитрозо-6-амино-3-бутил-1,3-дигидропиримидин-2,4-дион другими соединениями формулы (24), получали следующие соединения формулы (25):
5,6-диамино-3-этил-1,3-дигидропиримидин-2,4-дион;
5,6-диамино-3-н-пропил-1,3-дигидропиримидин-2,4-дион;
5,6-диамино-3-циклопропилметил-1,3-дигидропиримидин-2,4-дион;
5,6-диамино-3-(2-метилпропил)-1,3-дигидропиримидин-2,4-дион;
5,6-диамино-3-бензил-1,3-дигидропиримидин-2,4-дион; и
5,6-диамино-3-этинил-1,3-дигидропиримидин-2,4-дион.
C. Получение других соединений формулы (25)
Подобным образом, следуя способу 16A, описанному выше, но, заменяя 5-нитрозо-6-амино-3-бутил-1,3-дигидропиримидин-2,4-дион другими соединениями формулы (24), получают следующие соединения формулы (25):
5,6-диамино-3-метил-1,3-дигидропиримидин-2,4-дион;
5,6-диамино-3-изопропил-1,3-дигидропиримидин-2,4-дион;
5,6-диамино-3-н-пентил-1,3-дигидропиримидин-2,4-дион;
5,6-диамино-3-пропилпентил-1,3-дигидропиримидин-2,4-дион;
5,6-диамино-3-(2-фенилэтил)-1,3-дигидропиримидин-2,4-дион;
5,6-диамино-3-(2-метоксиэтил)-1,3-дигидропиримидин-2,4-дион;
5,6-диамино-3-(3-гидроксипропил)-1,3-дигидропиримидин-2,4-дион;
5,6-диамино-3-(4-фторбутил)-1,3-дигидропиримидин-2,4-дион;
5,6-диамино-3-(2-этилкарбоксиэтил)-1,3-дигидропиримидин-2,4-дион;
5,6-диамино-3-этенил-1,3-дигидропиримидин-2,4-дион;
5,6-диамино-3-циклопентил-1,3-дигидропиримидин-2,4-дион;
5,6-диамино-3-(3-гидроксициклопентил)-1,3-дигидропиримидин-2,4-дион;
5,6-диамино-3-циклогексил-1,3-дигидропиримидин-2,4-дион;
5,6-диамино-3-циклопропилметил-1,3-дигидропиримидин-2,4-дион;
5,6-диамино-3-фенил-1,3-дигидропиримидин-2,4-дион;
5,6-диамино-3-(пирид-3-ил)-1,3-дигидропиримидин-2,4-дион;
5,6-диамино-3-(пирид-3-илметил)-1,3-дигидропиримидин-2,4-дион;
5,6-диамино-3-(тетрагидрофуран-3-ил)-1,3-дигидропиримидин-2,4-дион; и
5-нитрозо-6-амино-3-(пиперидин-4-ил)-1,3-дигидропиримидин-2,4-дион.
D. Получение других соединений формулы (25)
Подобным образом, следуя способу 16A, описанному выше, но, заменяя 5-нитрозо-6-амино-3-бутил-1,3-дигидропиримидин-2,4-дион другими соединениями формулы (24), получают другие соединения формулы (25).
ПРИМЕР 17
Получение соединения формулы I
A. Получение соединения формулы I, где R1 означает н-бутил, R2 означает водород, R3 означает водород, X означает 1,4-пиразолен, Y означает метилен и Z означает фенил

Формула I
К смеси 5,6-диамино-3-бутил-1,3-дигидропиримидин-2,4-диона (1,2 г; 6 ммоль) и 1-бензилпиразол-4-карбоновой кислоты (1,2 г; 6 ммоль) в метаноле (30 мл) добавляли гидрохлорид 1-(3-диметиламинопропил)-3-этилкарбодиимида (1,16 г; 6 ммоль). Осаждалось ярко-желтое твердое вещество. Смесь перемешивали в течение ночи при комнатной температуре и твердое вещество отфильтровывали, промывали метанолом и сушили при пониженном давлении. Продукт объединяли с гексаметилдисилазаном (50 мл) и сульфатом аммония (18 мг) и нагревали при 130°C в течение 48 часов. Затем растворитель удаляли при пониженном давлении и остаток растирали в смеси метанол:вода (1:1), получая 1-бутил-8-[1-бензилпиразол-4-ил]-1,3,7-тригидропурин-2,6-дион, соединение формулы I.
B. Получение других соединений формулы I
Подобным образом, следуя способу 17A, описанному выше, но, заменяя 5,6-диамино-3-бутил-1,3-дигидропиримидин-2,4-дион другими соединениями формулы (25), получали следующие соединения формулы I:
1-бутил-8-[1-бензилпиразол-4-ил]-1,3,7-тригидропурин-2,6-дион;
1-бутил-8-(пиразол-4-ил)-1,3,7-тригидропурин-2,6-дион;
1-пропил-8-[1-бензилпиразол-4-ил]-1,3,7-тригидропурин-2,6-дион;
1-бутил-8-(1-{[3-(трифторметил)фенил]метил}пиразол-4-ил)-1,3,7-тригидропурин-2,6-дион;
1-бутил-8-(1-{[3-фторфенил]метил}пиразол-4-ил)-1,3,7-тригидропурин-2,6-дион;
1-бутил-8-[1-(фенилэтил)пиразол-4-ил]-1,3,7-тригидропурин-2,6-дион;
1-(2-метилпропил)-8-[1-бензилпиразол-4-ил]-1,3,7-тригидропурин-2,6-дион;
1-пропил-8-(1-{[3-фторфенил]метил}пиразол-4-ил)-1,3,7-тригидропурин-2,6-дион;
1-пропил-8-(1-{[3-(трифторметил)фенил]метил}пиразол-4-ил)-1,3,7-тригидропурин-2,6-дион;
1-пропил-8-[1-(фенилэтил)пиразол-4-ил]-1,3,7-тригидропурин-2,6-дион;
8-(1-{[5-(4-хлорфенил)(1,2,4-оксадиазол-3-ил)]метил}пиразол-4-ил)-1-пропил-1,3,7-тригидропурин-2,6-дион;
1-пропил-8-(пиразол-4-ил)-1,3,7-тригидропурин-2,6-дион;
1-этил-8-[1-бензилпиразол-4-ил]-1,3,7-тригидропурин-2,6-дион;
8-(1-{[5-(4-хлорфенил)(1,2,4-оксадиазол-3-ил)]метил}пиразол-4-ил)-1-бутил-1,3,7-тригидропурин-2,6-дион;
1-этил-8-(пиразол-4-ил)-1,3,7-тригидропурин-2,6-дион;
1-циклопропилметил-8-[1-бензилпиразол-4-ил]-1,3,7-тригидропурин-2,6-дион;
1-(2-метилпропил)-8-(пиразол-4-ил)-1,3,7-тригидропурин-2,6-дион;
1-этинил-8-пиразол-4-ил-1,3,7-тригидропурин-2,6-дион;
1-этинил-8-[1-бензилпиразол-4-ил]-1,3,7-тригидропурин-2,6-дион;
1-бензил-8-(пиразол-4-ил)-1,3,7-тригидропурин-2,6-дион;
1-бензил-8-[1-бензилпиразол-4-ил]-1,3,7-тригидропурин-2,6-дион;
1-(2-метилпропил)-8-(1-{[3-фторфенил]метил}пиразол-4-ил)-1,3,7-тригидропурин-2,6-дион;
1-(2-метилпропил)-8-(1-{[3-трифторметилфенил]метил}пиразол-4-ил)-1,3,7-тригидропурин-2,6-дион;
8-[1-бензилпиразол-4-ил]-1,3,7-тригидропурин-2,6-дион;
C. Получение других соединений формулы I
Подобным образом, следуя способу 17A, описанному выше, но, необязательно заменяя 5,6-диамино-3-бутил-1,3-дигидропиримидин-2,4-дион другими соединениями формулы (25) и необязательно заменяя 1-бензилпиразол-4-карбоновую кислоту другими соединениями формулы (22), получают следующие соединения формулы I:
1-метил-8-(1-{[3-(трифторметил)фенил]метил}пиразол-4-ил)-1,3,7-тригидропурин-2,6-дион;
1-изопропил-8-(1-{[3-фторфенил]метил}пиразол-4-ил)-1,3,7-тригидропурин-2,6-дион;
1-н-пентил-8-(1-{[3-хлорфенил]метил}пиразол-4-ил)-1,3,7-тригидропурин-2,6-дион;
1-(3-пропилпентил)-8-(1-{[3-фторфенил]метил}пиразол-4-ил)-1,3,7-тригидропурин-2,6-дион;
1-(2-фенилэтил)-8-[1-{бензил}пиразол-4-ил]-1,3,7-тригидропурин-2,6-дион;
1-(2-метоксиэтил)-8-(1-{[3-(трифторметил)фенил]метил}пиразол-4-ил)-1,3,7-тригидропурин-2,6-дион;
1-(3-гидроксипропил)-8-(1-{[3-фторфенил]метил}пиразол-4-ил)-1,3,7-тригидропурин-2,6-дион;
1-(4-фторбутил)-8-(1-{[3-фторфенил]метил}пиразол-4-ил)-1,3,7-тригидропурин-2,6-дион;
1-(2-этилкарбоксиэтил)-8-(1-{[3-фторфенил]метил}пиразол-4-ил)-1,3,7-тригидропурин-2,6-дион;
1-этенил-8-(1-{[3-фторфенил]метил}пиразол-4-ил)-1,3,7-тригидропурин-2,6-дион;
1-циклопентил-8-(1-{[3-фторфенил]метил}пиразол-4-ил)-1,3,7-тригидропурин-2,6-дион;
1-(3-гидроксициклопентил)-8-(1-{[3-фторфенил]метил}пиразол-4-ил)-1,3,7-тригидропурин-2,6-дион;
1-циклогексил-8-(1-{[3-фторфенил]метил}пиразол-4-ил)-1,3,7-тригидропурин-2,6-дион;
1-циклопропилметил-8-(1-{[3-фторфенил]метил}пиразол-4-ил)-1,3,7-тригидропурин-2,6-дион;
1-фенил-8-(1-{[3-фторфенил]метил}пиразол-4-ил)-1,3,7-тригидропурин-2,6-дион;
1-(пирид-3-ил)-8-(1-{[3-фторфенил]метил}пиразол-4-ил)-1,3,7-тригидропурин-2,6-дион;
1-(пирид-3-илметил)-8-(1-{[3-фторфенил]метил}пиразол-4-ил)-1,3,7-тригидропурин-2,6-дион;
1-(тетрагидрофуран-3-ил)-8-(1-{[3-фторфенил]метил}пиразол-4-ил)-1,3,7-тригидропурин-2,6-дион; и
1-(пиперидин-4-ил)-8-(1-{[3-фторфенил]метил}пиразол-4-ил)-1,3,7-тригидропурин-2,6-дион.
D. Получение других соединений формулы I
Подобным образом, следуя способу 17A, описанному выше, но, необязательно заменяя 5,6-диамино-3-бутил-1,3-дигидропиримидин-2,4-дион другими соединениями формулы (25) и необязательно заменяя 1-бензилпиразол-4-карбоновую кислоту другими соединениями формулы (22), получают другие соединения формулы I.
ПРИМЕР 18
Получение соединения формулы (31)
A. Получение соединения формулы (31), в котором R2 является бензилом

Раствор этоксида натрия готовили из натрия (1,53 г; 67 ммоль) и безводного этанола (75 мл). К полученному раствору добавляли бензилмочевину (5,0 г; 33 ммоль) и этилцианоацетат (3,77 г; 33 ммоль). Полученную реакционную смесь перемешивали при кипячении с обратным холодильником в течение 10 часов, охлаждали и осадок отфильтровывали и промывали этанолом. Осадок растворяли в воде и pH доводили до значения между 5 и 6 хлористоводородной кислотой. Твердое вещество отфильтровывали, промывали водой и сушили в вакууме, получая 6-амино-1-бензил-1,3-дигидропиримидин-2,4-дион, соединение формулы (31), которое использовали в следующей реакции без дополнительной очистки.
B. Получение других соединений формулы (31)
Подобным образом, следуя способу 18A, описанному выше, но, заменяя бензилмочевину другими соединениями формулы (30), получали следующие соединения формулы (31):
6-амино-1-метил-1,3-дигидропиримидин-2,4-дион;
6-амино-1-н-пропил-1,3-дигидропиримидин-2,4-дион;
6-амино-1-н-бутил-1,3-дигидропиримидин-2,4-дион; и
6-амино-1-изобутил-1,3-дигидропиримидин-2,4-дион.
C. Получение других соединений формулы (31)
Подобным образом, следуя способу 18A, описанному выше, но, заменяя бензилмочевину другими соединениями формулы (30), получают другие соединения формулы (31):
6-амино-1-метил-1,3-дигидропиримидин-2,4-дион;
6-амино-1-изопропил-1,3-дигидропиримидин-2,4-дион;
6-амино-1-н-пентил-1,3-дигидропиримидин-2,4-дион;
6-амино-1-пропилпентил-1,3-дигидропиримидин-2,4-дион;
6-амино-1-(2-фенилэтил)-1,3-дигидропиримидин-2,4-дион;
6-амино-1-(2-метоксиэтил)-1,3-дигидропиримидин-2,4-дион;
6-амино-1-(3-гидроксипропил)-1,3-дигидропиримидин-2,4-дион;
6-амино-1-(4-фторбутил)-1,3-дигидропиримидин-2,4-дион;
6-амино-1-(2-этилкарбоксиэтил)-1,3-дигидропиримидин-2,4-дион;
6-амино-1-этенил-1,3-дигидропиримидин-2,4-дион;
6-амино-1-циклопентил-1,3-дигидропиримидин-2,4-дион;
6-амино-1-(3-гидроксициклопентил)-1,3-дигидропиримидин-2,4-дион;
6-амино-1-циклогексил-1,3-дигидропиримидин-2,4-дион;
6-амино-1-циклопропилметил-1,3-дигидропиримидин-2,4-дион;
6-амино-1-фенил-1,3-дигидропиримидин-2,4-дион;
6-амино-1-(пирид-3-ил)-1,3-дигидропиримидин-2,4-дион;
6-амино-1-(пирид-3-илметил)-1,3-дигидропиримидин-2,4-дион;
6-амино-1-(тетрагидрофуран-3-ил)-1,3-дигидропиримидин-2,4-дион; и
6-амино-1-(пиперидин-4-ил)-1,3-дигидропиримидин-2,4-дион.
D. Получение других соединений формулы (31)
Подобным образом, следуя способу 18A, описанному выше, но, заменяя бензилмочевину другими соединениями формулы (30), получают другие соединения формулы (31).
ПРИМЕР 19
Получение соединения формулы (23)
A. Получение соединения формулы (23), в котором R2 является бензилом

К раствору 6-амино-1-бензил-1,3-дигидропиримидин-2,4-диона (2,0 г; 9,2 ммоль) в смеси 15 мл N,N-диметилформамида и 5 мл воды при 90°C добавляли нитрит натрия (1,27 г; 69 ммоль). К полученной реакционной смеси добавляли концентрированную хлористоводородную кислоту до того, как окраска переставала усиливаться, и смесь нагревали при 70°C в течение 1 часа. Растворитель удаляли при пониженном давлении, остаток растворяли в воде и добавляли концентрированную хлористоводородную кислоту, чтобы получить pH 4,0. Осадок отфильтровывали, промывали водой и сушили при пониженном давлении, получая 6-амино-5-нитрозо-1-бензил-1,3-дигидропиримидин-2,4-дион, соединение формулы (23).
B. Получение других соединений формулы (23)
Подобным образом, следуя способу 19A, описанному выше, но, заменяя 6-амино-1-бензил-1,3-дигидропиримидин-2,4-дион другими соединениями формулы (31), получали следующие соединения формулы (23):
6-амино-5-нитрозо-1-метил-1,3-дигидропиримидин-2,4-дион;
6-амино-5-нитрозо-1-н-пропил-1,3-дигидропиримидин-2,4-дион;
6-амино-5-нитрозо-1-н-бутил-1,3-дигидропиримидин-2,4-дион; и
6-амино-5-нитрозо-1-изобутил-1,3-дигидропиримидин-2,4-дион.
C. Получение других соединений формулы (23)
Подобным образом, следуя способу 19A, описанному выше, но, заменяя 6-амино-1-бензил-1,3-дигидропиримидин-2,4-дион другими соединениями формулы (31), получают следующие соединения формулы (23):
6-амино-5-нитрозо-1-метил-1,3-дигидропиримидин-2,4-дион;
6-амино-5-нитрозо-1-изопропил-1,3-дигидропиримидин-2,4-дион;
6-амино-5-нитрозо-1-н-пентил-1,3-дигидропиримидин-2,4-дион;
6-амино-5-нитрозо-1-пропилпентил-1,3-дигидропиримидин-2,4-дион;
6-амино-5-нитрозо-1-(2-фенилэтил)-1,3-дигидропиримидин-2,4-дион;
6-амино-5-нитрозо-1-(2-метоксиэтил)-1,3-дигидропиримидин-2,4-дион;
6-амино-5-нитрозо-1-(3-гидроксипропил)-1,3-дигидропиримидин-2,4-дион;
6-амино-5-нитрозо-1-(4-фторбутил)-1,3-дигидропиримидин-2,4-дион;
6-амино-5-нитрозо-1-(2-этилкарбоксиэтил)-1,3-дигидропиримидин-2,4-дион;
6-амино-5-нитрозо-1-этенил-1,3-дигидропиримидин-2,4-дион;
6-амино-5-нитрозо-1-циклопентил-1,3-дигидропиримидин-2,4-дион;
6-амино-5-нитрозо-1-(3-гидроксициклопентил)-1,3-дигидропиримидин-2,4-дион;
6-амино-5-нитрозо-1-циклогексил-1,3-дигидропиримидин-2,4-дион;
6-амино-5-нитрозо-1-циклопропилметил-1,3-дигидропиримидин-2,4-дион;
6-амино-5-нитрозо-1-фенил-1,3-дигидропиримидин-2,4-дион;
6-амино-5-нитрозо-1-(пирид-3-ил)-1,3-дигидропиримидин-2,4-дион;
6-амино-5-нитрозо-1-(пирид-3-илметил)-1,3-дигидропиримидин-2,4-дион;
6-амино-5-нитрозо-1-(тетрагидрофуран-3-ил)-1,3-дигидропиримидин-2,4-дион; и
6-амино-5-нитрозо-1-(пиперидин-4-ил)-1,3-дигидропиримидин-2,4-дион.
D. Получение других соединений формулы (23)
Подобным образом, следуя способу 19A, описанному выше, но, заменяя 6-амино-1-бензил-1,3-дигидропиримидин-2,4-дион другими соединениями формулы (31), получают другие соединения формулы (23).
ПРИМЕР 20
Получение соединения формулы (21)
A. Получение соединения формулы (21), в котором R2 является бензилом

К раствору 6-амино-5-нитрозо-1-бензил-1,3-дигидропиримидин-2,4-диона (1,15 г; 4,7 ммоль) в 12,5% водном аммиаке (40 мл) при 70°C порциями в течение 15 минут добавляли гидросульфит натрия (2,44 г; 14 ммоль). При охлаждении реакционной смеси на бане со льдом продукт выпадал в осадок. Его отфильтровывали, промывали водой и сушили при пониженном давлении, получая 5,6-диамино-1-бензил-1,3-дигидропиримидин-2,4-дион, соединение формулы (21).
B. Получение других соединений формулы (21)
Подобным образом, следуя способу 20A, описанному выше, но, заменяя 6-амино-5-нитрозо-1-бензил-1,3-дигидропиримидин-2,4-дион другими соединениями формулы (23), получали следующие соединения формулы (21):
5,6-диамино-1-метил-1,3-дигидропиримидин-2,4-дион;
5,6-диамино-1-н-пропил-1,3-дигидропиримидин-2,4-дион;
5,6-диамино-1-н-бутил-1,3-дигидропиримидин-2,4-дион; и
5,6-диамино-1-изобутил-1,3-дигидропиримидин-2,4-дион.
C. Получение других соединений формулы (21)
Подобным образом, следуя способу 20A, описанному выше, но, заменяя 6-амино-5-нитрозо-1-бензил-1,3-дигидропиримидин-2,4-дион другими соединениями формулы (23), получают следующие соединения формулы (21):
5,6-диамино-1-метил-1,3-дигидропиримидин-2,4-дион;
5,6-диамино-1-изопропил-1,3-дигидропиримидин-2,4-дион;
5,6-диамино-1-н-пентил-1,3-дигидропиримидин-2,4-дион;
5,6-диамино-1-пропилпентил-1,3-дигидропиримидин-2,4-дион;
5,6-диамино-1-(2-фенилэтил)-1,3-дигидропиримидин-2,4-дион;
5,6-диамино-1-(2-метоксиэтил)-1,3-дигидропиримидин-2,4-дион;
5,6-диамино-1-(3-гидроксипропил)-1,3-дигидропиримидин-2,4-дион;
5,6-диамино-1-(4-фторбутил)-1,3-дигидропиримидин-2,4-дион;
5,6-диамино-1-(2-этилкарбоксиэтил)-1,3-дигидропиримидин-2,4-дион;
5,6-диамино-1-этенил-1,3-дигидропиримидин-2,4-дион;
5,6-диамино-1-циклопентил-1,3-дигидропиримидин-2,4-дион;
5,6-диамино-1-(3-гидроксициклопентил)-1,3-дигидропиримидин-2,4-дион;
5,6-диамино-1-циклогексил-1,3-дигидропиримидин-2,4-дион;
5,6-диамино-1-циклопропилметил-1,3-дигидропиримидин-2,4-дион;
5,6-диамино-1-фенил-1,3-дигидропиримидин-2,4-дион;
5,6-диамино-1-(пирид-3-ил)-1,3-дигидропиримидин-2,4-дион;
5,6-диамино-1-(пирид-3-илметил)-1,3-дигидропиримидин-2,4-дион;
5,6-диамино-1-(тетрагидрофуран-3-ил)-1,3-дигидропиримидин-2,4-дион; и
5,6-диамино-1-(пиперидин-4-ил)-1,3-дигидропиримидин-2,4-дион.
D. Получение других соединений формулы (21)
Подобным образом, следуя способу 20A, описанному выше, но, заменяя 6-амино-5-нитрозо-1-бензил-1,3-дигидропиримидин-2,4-дион другими соединениями формулы (23), получают другие соединения формулы (21).
ПРИМЕР 21
Получение соединения формулы I
A. Получение соединения формулы I, где R1 означает водород, R2 означает бензил, R3 означает водород, X означает 1,4-пиразолен, Y означает метилен и Z означает фенил

Формула I
Раствор 5,6-диамино-1-бензил-1,3-дигидропиримидин-2,4-диона (200 мг; 0,8 ммоль), 1-бензилпиразол-4-карбоновой кислоты (202 мг; 1 ммоль) и гидрохлорида 1-(3-диметиламинопропил)-3-этилкарбодиимида (191 мг; 1 ммоль) растворяли в N,N-дметилформамиде и перемешивали в течение 16 часов. Затем растворитель удаляли при пониженном давлении и остаток растворяли в гексаметилдисилазане (HMDS). К полученному раствору добавляли сульфат аммония и смесь нагревали при 125°C в течение 80 часов. Избыток HMDS удаляли при пониженном давлении и готовили суспензию остатка в смеси 1:1 метанола и воды. Твердое вещество отфильтровывали, промывали смесью 1:1 метанола и воды и сушили при пониженном давлении, получая 3-бензил-8-[1-бензилпиразол-4-ил]-1,3,7-тригидропурин-2,6-дион, соединение формулы I.
B. Получение соединения формулы I, где R1 означает водород, R3 означает водород, X означает 1,4-пиразолен, Y означает метилен и Z означает фенил, R2 варьирует
Подобным образом, следуя способу 21A, описанному выше, но, заменяя 5,6-диамино-1-бензил-1,3-дигидропиримидин-2,4-дион другими соединениями формулы (21), получали следующие соединения формулы I:
3-н-пропил-8-[1-бензилпиразол-4-ил]-1,3,7-тригидропурин-2,6-дион;
3-изобутил-8-[1-бензилпиразол-4-ил]-1,3,7-тригидропурин-2,6-дион;
3-бензил-8-[1-бензилпиразол-4-ил]-1,3,7-тригидропурин-2,6-дион;
3-н-бутил-8-[1-бензилпиразол-4-ил]-1,3,7-тригидропурин-2,6-дион;
3-(2-метилпропил)-8-[1-бензилпиразол-4-ил]-1,3,7-тригидропурин-2,6-дион; и
3-метил-8-[1-бензилпиразол-4-ил]-1,3,7-тригидропурин-2,6-дион.
C. Получение соединения формулы I, где R1 означает водород, R2 варьирует, R3 означает водород, X означает 1,4-пиразолен, Y означает метилен и Z означает фенил
Подобным образом, следуя способу 21A, описанному выше, но, необязательно заменяя 5,6-диамино-1-бензил-1,3-дигидропиримидин-2,4-дион другими соединениями формулы (21) и необязательно заменяя 1-бензилпиразол-4-карбоновую кислоту другими соединениями формулы (22), получают следующие соединения формулы I:
3-метил-8-[1-бензилпиразол-4-ил]-1,3,7-тригидропурин-2,6-дион;
3-изопропил-8-[1-бензилпиразол-4-ил]-1,3,7-тригидропурин-2,6-дион;
3-н-пентил-8-[1-бензилпиразол-4-ил]-1,3,7-тригидропурин-2,6-дион;
3-(1-пропилпентил)-8-[1-бензилпиразол-4-ил]-1,3,7-тригидропурин-2,6-дион;
3-(2-фенилэтил)-8-[1-бензилпиразол-4-ил]-1,3,7-тригидропурин-2,6-дион;
3-(2-метоксиэтил)-8-[1-бензилпиразол-4-ил]-1,3,7-тригидропурин-2,6-дион;
3-(3-гидроксипропил)-8-[1-бензилпиразол-4-ил]-1,3,7-тригидропурин-2,6-дион;
3-(4-фторбутил)-8-[1-бензилпиразол-4-ил]-1,3,7-тригидропурин-2,6-дион;
3-(2-этилкарбоксиэтил)-8-[1-бензилпиразол-4-ил]-1,3,7-тригидропурин-2,6-дион;
3-этенил-8-[1-бензилпиразол-4-ил]-1,3,7-тригидропурин-2,6-дион;
3-циклопентил-8-[1-бензилпиразол-4-ил]-1,3,7-тригидропурин-2,6-дион;
3-(3-гидроксициклопентил)-8-[1-бензилпиразол-4-ил]-1,3,7-тригидропурин-2,6-дион;
3-циклогексил-8-[1-бензилпиразол-4-ил]-1,3,7-тригидропурин-2,6-дион;
3-циклопропилметил-8-[1-бензилпиразол-4-ил]-1,3,7-тригидропурин-2,6-дион;
3-фенил-8-[1-бензилпиразол-4-ил]-1,3,7-тригидропурин-2,6-дион;
3-(пирид-3-ил)-н-пропил-8-[1-бензилпиразол-4-ил]-1,3,7-тригидропурин-2,6-дион;
3-(пирид-3-илметил)-8-[1-бензилпиразол-4-ил]-1,3,7-тригидропурин-2,6-дион;
3-(тетрагидрофуран-3-ил)-8-[1-бензилпиразол-4-ил]-1,3,7-тригидропурин-2,6-дион; и
3-(пиперидин-4-ил)-8-[1-бензилпиразол-4-ил]-1,3,7-тригидропурин-2,6-дион.
D. Получение соединения формулы I, где R1 означает водород, R2 варьирует, R3 означает водород, X означает 1,4-пиразолен, Y означает метилен и Z означает фенил
Подобным образом, следуя способу 21A, описанному выше, но, необязательно заменяя 5,6-диамино-1-бензил-1,3-дигидропиримидин-2,4-дион другими соединениями формулы (21) и необязательно заменяя 1-бензилпиразол-4-карбоновую кислоту другими соединениями формулы (22), получают другие соединения формулы I.
ПРИМЕР 22
Получение соединения формулы (33)
A. Получение соединения формулы (33), в котором R1 является н-бутилом и R2 является метилом

Суспензию 6-амино-1-метилурацила (3,0 г) в безводном диметилацетале N,N-диметилформамида (10 мл) и N,N-диметилацетамиде (50 мл) нагревали при 40°C до исчезновения исходного вещества (60 мин). Затем добавляли карбонат калия (10 г) и н-бутилбромид (7,8 г) и реакционную смесь перемешивали при 80°C в течение 16 часов. Реакционную смесь охлаждали до комнатной температуры, фильтровали, растворители выпаривали и продукт формулы (33), 6-[1-аза-2-(диметиламино)винил]-3-бутил-1-метил-1,3-дигидропиримидин-2,4-дион, как таковой, использовали для следующей реакции.
B. Получение соединений формулы (33), варьируя R1 и R2
Подобным образом, следуя способу 22A, описанному выше, но, необязательно заменяя 6-амино-1-метилурацил другими соединениями формулы (31) и необязательно заменяя н-бутилбромид другими алкилгалогенидами, получали следующие соединения формулы (33):
6-[1-аза-2-(диметиламино)винил]-1,3-дипропил-1,3-дигидропиримидин-2,4-дион;
6-[1-аза-2-(диметиламино)винил]-1,3-дибутил-1,3-дигидропиримидин-2,4-дион;
6-[1-аза-2-(диметиламино)винил]-1,3-диметил-1,3-дигидропиримидин-2,4-дион;
6-[1-аза-2-(диметиламино)винил]-1,3-диэтил-1,3-дигидропиримидин-2,4-дион;
6-[1-аза-2-(диметиламино)винил]-1-метил-1,3-дигидропиримидин-2,4-дион;
6-[1-аза-2-(диметиламино)винил]-1-метил-3-этил-1,3-дигидропиримидин-2,4-дион;
6-[1-аза-2-(диметиламино)винил]-1-метил-3-пропил-1,3-дигидропиримидин-2,4-дион;
6-[1-аза-2-(диметиламино)винил]-1-этил-3-проп-2-инил-1,3-дигидропиримидин-2,4-дион;
6-[1-аза-2-(диметиламино)винил]-1,3-дибутил-1,3-дигидропиримидин-2,4-дион;
6-[1-аза-2-(диметиламино)винил]-1-этил-3-пропил-1,3-дигидропиримидин-2,4-дион;
6-[1-аза-2-(диметиламино)винил]-1-метил-3-бутил-1,3-дигидропиримидин-2,4-дион;
6-[1-аза-2-(диметиламино)винил]-1-метил-3-втор-бутил-1,3-дигидропиримидин-2,4-дион;
6-[1-аза-2-(диметиламино)винил]-1-метил-3-циклопропилметил-1,3-дигидропиримидин-2,4-дион;
6-[1-аза-2-(диметиламино)винил]-1-этил-3-циклопропилметил-1,3-дигидропиримидин-2,4-дион;
6-[1-аза-2-(диметиламино)винил]-1-этил-3-втор-бутил-1,3-дигидропиримидин-2,4-дион; и
6-[1-аза-2-(диметиламино)винил]-1,3-втор-бутил-1,3-дигидропиримидин-2,4-дион.
C. Получение соединений формулы (33), варьируя R1 и R2
Подобным образом, следуя способу 22A, описанному выше, но, необязательно заменяя 6-амино-1-метилурацил другими соединениями формулы (31) и необязательно заменяя н-бутилбромид другими алкилгалогенидами, получают другие соединения формулы (33).
ПРИМЕР 23
Получение соединения формулы (34)
A. Получение соединения формулы (34), в котором R1 является н-бутилом и R2 является метилом

6-[(1E)-1-аза-2-(диметиламино)винил]-3-бутил-1-метил-1,3-дигидропиримидин-2,4-дион (4,0 г), полученный в примере 22A, суспендировали в метаноле. К полученной суспензии добавляли водный раствор гидроксида аммония и реакционную смесь перемешивали при комнатной температуре в течение 48 часов. После того, как исходный продукт больше не выявлялся, растворители удаляли при пониженном давлении, остаток суспендировали в воде и осадок отфильтровывали, промывали водой и сушили при пониженном давлении, получая неочищенный 6-амино-3-бутил-1-метил-1,3-дигидропиримидин-2,4-дион, который использовали в таком виде в следующей реакции.
B. Получение соединений формулы (34), варьируя R1 и R2
Подобным образом, следуя способу 23A, описанному выше, но заменяя 6-[(1E)-1-аза-2-(диметиламино)винил]-3-бутил-1-метил-1,3-дигидропиримидин-2,4-дион другими соединениями формулы (33), получали следующие соединения формулы (34):
6-амино-1,3-дипропил-1,3-дигидропиримидин-2,4-дион;
6-амино-1,3-дибутил-1,3-дигидропиримидин-2,4-дион;
6-амино-1,3-диметил-1,3-дигидропиримидин-2,4-дион;
6-амино-1,3-диэтил-1,3-дигидропиримидин-2,4-дион;
6-амино-1-метил-1,3-дигидропиримидин-2,4-дион;
6-амино-1-метил-3-этил-1,3-дигидропиримидин-2,4-дион;
6-амино-1-метил-3-пропил-1,3-дигидропиримидин-2,4-дион;
6-амино-1-этил-3-(проп-2-инил)-1,3-дигидропиримидин-2,4-дион;
6-амино-1,3-дибутил-1,3-дигидропиримидин-2,4-дион;
6-амино-1-этил-3-пропил-1,3-дигидропиримидин-2,4-дион;
6-амино-1-метил-3-втор-бутил-1,3-дигидропиримидин-2,4-дион;
6-амино-1-метил-3-циклопропилметил-1,3-дигидропиримидин-2,4-дион;
6-амино-1-этил-3-циклопропилметил-1,3-дигидропиримидин-2,4-дион;
6-амино-1-этил-3-втор-бутил-1,3-дигидропиримидин-2,4-дион; и
6-амино-1,3-втор-бутил-1,3-дигидропиримидин-2,4-дион.
C. Получение соединений формулы (34), варьируя R1 и R2
Подобным образом, следуя способу 23A, описанному выше, но заменяя 6-[(1E)-1-аза-2-(диметиламино)винил]-3-бутил-1-метил-1,3-дигидропиримидин-2,4-дион другими соединениями формулы (33), получают другие соединения формулы (34).
ПРИМЕР 24
Получение соединения формулы I
A. Получение соединения формулы I, где R1 означает н-бутил, R2 означает метил, X означает 1,4-пиразолен, Y означает метилен и Z означает 3-фторфенил

Затем соединение формулы (34) превращают в соединение формулы I таким же способом, как показано для превращения соединения формулы (23) в примерах 14, 15, 16 и 17. То есть, проводят реакцию с нитритом натрия до 5-нитрозо-6-аминопроизводного, которое восстанавливают до 5,6-диаминопроизводного, которое, в свою очередь, подвергают взаимодействию с соответствующим образом замещенной карбоновой кислотой формулы Z-Y-X-CO2H, получая соединение формулы I. Таким образом получали следующие соединения:
1-бутил-3-метил-8-{1-[(3-фторфенил)метил]пиразол-4-ил}-1,3,7-тригидропурин-2,6-дион;
1,3-дипропил-8-{1-[(3-фторфенил)метил]пиразол-4-ил}-1,3,7-тригидропурин-2,6-дион;
1,3-дипропил-8-[1-фенилпиразол-4-ил]-1,3,7-тригидропурин-2,6-дион;
1,3-дипропил-8-[1,3-диметилпиразол-4-ил]-1,3,7-тригидропурин-2,6-дион;
1,3-дипропил-8-[1-этил-3-метилпиразол-4-ил]-1,3,7-тригидропурин-2,6-дион;
1,3-дибутил-8-[1-бензилпиразол-4-ил]-1,3,7-тригидропурин-2,6-дион;
1,3-дибутил-8-пиразол-4-ил-1,3,7-тригидропурин-2,6-дион;
1,3-дипропил-8-пиразол-4-ил-1,3,7-тригидропурин-2,6-дион;
1-метил-3-втор-бутил-8-пиразол-4-ил-1,3,7-тригидропурин-2,6-дион;
1,3-диметил-8-[1-бензилпиразол-4-ил]-1,3,7-тригидропурин-2,6-дион;
1,3-диэтил-8-[1-бензилпиразол-4-ил]-1,3,7-тригидропурин-2,6-дион;
3-метил-1-пропил-8-[1-бензилпиразол-4-ил]-1,3,7-тригидропурин-2,6-дион;
3-этил-1-(проп-2-инил)-8-[1-бензилпиразол-4-ил]-1,3,7-тригидропурин-2,6-дион;
3-этил-1-пропил-8-[1-бензилпиразол-4-ил]-1,3,7-тригидропурин-2,6-дион;
1-втор-бутил-3-метил-8-[1-бензилпиразол-4-ил]-1,3,7-тригидропурин-2,6-дион;
1-циклопропилметил-3-метил-8-[1-бензилпиразол-4-ил]-1,3,7-тригидропурин-2,6-дион;
3-этил-1-пропил-8-{1-[(3-трифторметилфенил)метил]пиразол-4-ил}-1,3,7-тригидропурин-2,6-дион;
1,3-дипропил-8-{1-[(2-метоксифенил)метил]пиразол-4-ил}-1,3,7-тригидропурин-2,6-дион;
3-этил-1-пропил-8-(пиразол-4-ил)-1,3,7-тригидропурин-2,6-дион;
1-циклопропилметил-3-этил-8-{1-[(3-трифторметилфенил)метил]пиразол-4-ил}-1,3,7-тригидропурин-2,6-дион;
этил-2-[4-(2,6-диоксо-1,3-дипропил(1,3,7-тригидропурин-8-ил))пиразолил]-2-фенилацетат;
1-циклопропилметил-3-метил-8-{1-[(3-трифторметилфенил)метил]пиразол-4-ил}-1,3,7-тригидропурин-2,6-дион;
3-метил-1-пропил-8-{1-[(3-трифторметилфенил)метил]пиразол-4-ил}-1,3,7-тригидропурин-2,6-дион;
3-метил-1-пропил-8-{1-[(3-фторфенил)метил]пиразол-4-ил}-1,3,7-тригидропурин-2,6-дион;
1-циклопропилметил-3-метил-8-{1-[(3-фторфенил)метил]пиразол-4-ил}-1,3,7-тригидропурин-2,6-дион;
1-циклопропилметил-3-этил-8-пиразол-4-ил-1,3,7-тригидропурин-2,6-дион;
1-втор-бутил-3-этил-8-{1-[(3-фторфенил)метил]пиразол-4-ил}-1,3,7-тригидропурин-2,6-дион;
1-бутил-3-метил-8-[1-бензилпиразол-4-ил]-1,3,7-тригидропурин-2,6-дион;
1-бутил-3-метил-8-(пиразол-4-ил)-1,3,7-тригидропурин-2,6-дион;
1-втор-бутил-3-этил-8-[1-бензилпиразол-4-ил]-1,3,7-тригидропурин-2,6-дион;
1,3-ди(втор-бутил)-8-[1-бензилпиразол-4-ил]-1,3,7-тригидропурин-2,6-дион;
1,3-ди(втор-бутил)-8-{1-[(3-трифторметилфенил)метил]пиразол-4-ил}-1,3,7-тригидропурин-2,6-дион;
1,3-ди(втор-бутил)-8-{1-[(3-фторфенил)метил]пиразол-4-ил}-1,3,7-тригидропурин-2,6-дион;
1-втор-бутил-3-метил-8-(пиразол-4-ил)-1,3,7-тригидропурин-2,6-дион;
1-втор-бутил-3-метил-8-{1-[(3-трифторметилфенил)метил]пиразол-4-ил}-1,3,7-тригидропурин-2,6-дион;
1-втор-бутил-3-метил-8-{1-[(3-фторфенил)метил]пиразол-4-ил}-1,3,7-тригидропурин-2,6-дион;
1,3-диметил-8-{1-[(3-фторфенил)метил]пиразол-4-ил}-1,3,7-тригидропурин-2,6-дион;
1-этил-3-метил-8-{1-[(3-фторфенил)метил]пиразол-4-ил}-1,3,7-тригидропурин-2,6-дион;
1-этил-3-метил-8-{1-[(3-трифторметилфенил)метил]пиразол-4-ил}-1,3,7-тригидропурин-2,6-дион;
1,3-дипропил-8-{1-[(2,5-дихлорфенил)метил]пиразол-4-ил}-1,3,7-тригидропурин-2,6-дион;
1,3-диэтил-8-{1-[(3-фторфенил)метил]пиразол-4-ил}-1,3,7-тригидропурин-2,6-дион;
1,3-диэтил-8-{1-[(3-трифторметилфенил)метил]пиразол-4-ил}-1,3,7-тригидропурин-2,6-дион;
1-втор-бутил-3-этил-8-{1-[(3-фторфенил)метил]пиразол-4-ил}-1,3,7-тригидропурин-2,6-дион;
1,3-дипропил-8-{1-[(4-карбоксифенил)метил]пиразол-4-ил}-1,3,7-тригидропурин-2,6-дион;
1,3-дипропил-8-(1-{[3-(трифторметил)фенил]метил}пиразол-4-ил)-1,3,7-тригидропурин-2,6-дион;
1,3-дипропил-8-(1-{[3-(трифторметил)фенил]этил}пиразол-4-ил)-1,3,7-тригидропурин-2,6-дион;
2-[4-(2,6-диоксо-1,3-дипропил(1,3,7-тригидропурин-8-ил))пиразолил]-2-фенилуксусная кислота;
1,3-диэтил-8-(пиразол-4-ил)-1,3,7-тригидропурин-2,6-дион; и
1-циклопропилметил-3-этил-8-{1-[(3-фторфенил)метил]пиразол-4-ил}-1,3,7-тригидропурин-2,6-дион.
ПРИМЕР 25
Получают твердые желатиновые капсулы, содержащие следующие ингредиенты:
| |
Количество |
| Ингредиент |
(мг/капсулу) |
| Активный ингредиент |
30,0 |
| Крахмал |
305,0 |
| Стеарат магния |
5,0 |
Указанные выше ингредиенты смешивают и ими заполняют твердые желатиновые капсулы.
ПРИМЕР 26
Композицию таблетки готовят, используя ингредиенты, указанные ниже:
| |
Количество |
| Ингредиент |
(мг/таблетку) |
| Активный ингредиент |
25,0 |
| Целлюлоза микрокристаллическая |
200,0 |
| Коллоидный диоксид кремния |
10,0 |
| Стеариновая кислота |
5,0 |
Соединения смешивают и прессуют с образованием таблеток.
ПРИМЕР 27
Готовят препарат для сухого порошкового ингалятора, содержащий следующие компоненты:
| Ингредиент |
Масса % |
| Активный ингредиент |
5 |
| Лактоза |
95 |
Активный ингредиент смешивают с лактозой и смесь вводят в устройство сухого порошкового ингалятора.
ПРИМЕР 28
Таблетки, каждая из которых содержит 30 мг активного ингредиента, готовят следующим образом:
| |
Количество |
| Ингредиент |
(мг/таблетку) |
| Активный ингредиент |
30,0 мг |
| Крахмал |
45,0 мг |
| Микрокристаллическая целлюлоза |
35,0 мг |
| Поливинилпирролидон (в виде 10% раствора в стерильной воде) |
4,0 мг |
| Натрийкарбоксиметилкрахмал |
4,5 мг |
| Стеарат магния |
0,5 мг |
| Тальк |
1,0 мг |
| Итого |
120 мг |
Активный ингредиент, крахмал и целлюлозу пропускают через сито 20 меш, стандарт США, и тщательно смешивают. С полученными в результате порошками смешивают раствор поливинилпирролидона и затем пропускают через сито 16 меш, США. Полученные таким образом гранулы сушат при температуре от 50°C до 60°C и пропускают через сито 16 меш, США. Затем к гранулам добавляют натрийкарбоксиметилкрахмал, стеарат магния и тальк, предварительно пропущенные через сито 30 меш, США, и после смешивания прессуют в таблетировочной машине, получая таблетки, каждая массой 120 мг.
ПРИМЕР 29
Суппозитории, каждый из которых содержит 25 мг активного ингредиента, получают следующим образом:
| Ингредиент |
Количество |
| Активный ингредиент |
25 мг |
| Глицериды насыщенных жирных кислот до |
2,000 мг |
Активный ингредиент пропускают через сито 60 меш, США, и суспендируют в глицеридах насыщенных жирных кислот, предварительно расплавленных с использованием минимально необходимой степени нагрева. Затем смесь вливают в форму для суппозитория с номинальной емкостью 2,0 г и дают возможность остыть.
ПРИМЕР 30
Суспензии, каждая из которых содержит 50 мг активного ингредиента на дозу объемом 5,0 мл, получают следующим образом:
| Ингредиент |
Количество |
| Активный ингредиент |
50,0 мг |
| Ксантановая камедь |
4,0 мг |
| Натрийкарбоксиметилцеллюлоза (11%) |
|
| Микрокристаллическая целлюлоза (89%) |
50,0 мг |
| Сахароза |
1,75 г |
| Бензоат натрия |
100 мг |
| Корригент и краситель |
q.v. |
| Очищенная вода до |
50 мл |
Активный ингредиент, сахарозу и ксантановую камедь смешивают, пропускают через сито 10 меш, США, и затем смешивают с заранее приготовленным раствором микрокристаллической целлюлозы и натрийкарбоксиметилцеллюлозы в воде. Бензоат натрия, корригент и краситель разбавляют некоторым количеством воды и добавляют при перемешивании. Затем добавляют достаточное количество воды до получения требуемого объема.
ПРИМЕР 31
Препарат для подкожного введения готовят следующим образом:
| Ингредиент |
Количество |
| Активный ингредиент |
5,0 мг |
| Кукурузное масло % |
1,0 мл |
ПРИМЕР 32
Готовят инъекционный препарат, имеющий следующую композицию:
| Ингредиенты |
Количество |
| Активный ингредиент |
2,0 мг/мл |
| Маннит, USP |
50,0 мг/мл |
| Глюконовая кислота, USP |
q.s. (pH 5-6) |
| Вода (дистиллированная, стерильная) |
q.s. до 1,0 мл |
| Газ азот |
q.s. |
ПРИМЕР 33
Готовят препарат для местного применения, имеющий следующую композицию:
| Ингредиенты |
Граммы |
| Активный ингредиент |
2,0-10 |
| Спан 60 |
2,0 |
| Твин 60 |
2,0 |
| Минеральное масло |
5,0 |
| Вазелин |
0,10 |
| Метилпарабен |
0,15 |
| Пропилпарабен |
0,05 |
| BHA (бутилированный гидроксианизол) |
0,01 |
| Вода |
q.s. до 100 |
Все указанные выше ингредиенты за исключением воды объединяют и нагревают до 60°C при перемешивании. Затем добавляют достаточное количество воды при 60°C при энергичном перемешивании, чтобы эмульгировать ингредиенты, и затем добавляют воду q.s. до 100 г.
ПРИМЕР 34
Композиция замедленного высвобождения
| Ингредиент |
Диапазон массы (%) |
Предпочтительный диапазон (%) |
Наиболее предпочтительный |
| Активный ингредиент |
50-95 |
70-90 |
75 |
| Микрокристаллическая целлюлоза (наполнитель) |
1-35 |
5-15 |
10,6 |
| Сополимер метакриловой кислоты |
1-35 |
5-12,5 |
10,0 |
| Гидроксид натрия |
0,1-1,0 |
0,2-0,6 |
0,4 |
| Гидроксипропилметилцеллюлоза |
0,5-5,0 |
1-3 |
2,0 |
| Стеарат магния |
0,5-5,0 |
1-3 |
2,0 |
Препараты замедленного высвобождения согласно данному изобретению готовят следующим образом: соединение и зависимое от pH связывающее вещество и любые необязательные эксципиенты тщательно перемешивают (смешивание в сухом виде). Затем перемешанную в сухом виде смесь гранулируют в присутствии водного раствора сильного основания, которое впрыскивают в перемешиваемый порошок. Гранулированный продукт сушат, просеивают, смешивают с необязательными смазывающими веществами (такими, как тальк или стеарат магния) и прессуют в таблетки. Предпочтительными водными растворами сильных оснований являются растворы гидроксидов щелочных металлов, таких как гидроксид натрия или калия, предпочтительно гидроксид натрия, в воде (необязательно содержащие до 25% смешивающихся с водой растворителей, таких как низшие спирты).
Полученные в результате таблетки можно покрывать необязательным образующим пленку агентом для целей идентификации, маскировки вкуса и для того, чтобы облегчить глотание. Агент, образующий пленку, как правило, будет присутствовать в количестве в пределах от 2% до 4% от массы таблетки. Подходящие образующие пленку агенты хорошо известны в данной области и включают гидроксипропилметилцеллюлозу, катионные сополимеры метакрилата (сополимеры диметиламиноэтилметакрилат/метилбутилметакрилат – Eudragit® E – Röhm. Pharma) и тому подобные. Указанные образующие пленку агенты необязательно могут содержать красители, пластификаторы и другие дополнительные ингредиенты.
Прессованные таблетки предпочтительно имеют прочность, достаточную, чтобы выдерживать сжатие 8 кПа. Размер таблеток главным образом будет зависеть от количества соединения в таблетке. Таблетки будут содержать от 300 до 1100 мг соединения в виде свободного основания. Предпочтительно, таблетки будут содержать количества соединения в виде свободного основания в пределах 400-600 мг, 650-850 мг и 900-1100 мг.
Чтобы повлиять на степень растворения контролируют время, в течение которого порошок, содержащий соединение, смешивают во влажном состоянии. Предпочтительно общее время смешивания порошка, т.е. время, в течение которого на порошок воздействуют раствором гидроксида натрия, будет в пределах от 1 до 10 минут и предпочтительно от 2 до 5 минут. После гранулирования частицы извлекают из гранулятора и помещают в сушилку с псевдоожиженным слоем для сушки при примерно 60°C.
ПРИМЕР 35
Анализы рецептора аденозина A2B
Способы
Связывание радиолиганда в случае рецептора аденозина A2B кДНК рецептора аденозина A2B человека стабильно трансфицировали в клетки HEK-293 (называемые клетками HEK-A2B). Монослой клеток HEK-A2B один раз промывали PBS и собирали в буфер, содержащий 10 мМ HEPES (pH 7.4), 10 мМ EDTA и ингибиторы протеаз. Указанные клетки гомогенизировали в гомогенизаторе типа “Политрон” в течение 1 минуты при установке 4 и центрифугировали при 29000 g в течение 15 минут при 4°C. Осадки клеток один раз промывали буфером, содержащим 10 мМ HEPES (pH 7,4), 1 мМ EDTA и ингибиторы протеаз, и снова суспендировали в таком же буфере с добавлением 10% сахарозы. Замороженные аликвоты хранили при -80°C. Анализы конкурентного связывания начинали смешиванием 10 нМ 3H-ZM214385 (Tocris Cookson) с различными концентрациями тестируемых соединений и 50 мкг мембранных белков в буфере TE (50 мМ трис и 1 мМ EDTA) с добавлением 1 единицы/мл аденозиндезаминазы. Анализируемые смеси инкубировали в течение 90 минут, анализы останавливали фильтрованием с использованием собирающего устройства Packard и четыре раза промывали ледяным буфером TM (10 мМ трис, 1 мМ MgCl2, pH 7,4). Неспецифичное связывание определяли в присутствии 10 мкМ ZM214385. Аффинности соединений (т.е. значения Ki) рассчитывали с использованием компьютерной программы GraphPad.
Связывание радиолиганда в случае других рецепторов аденозина. кДНК рецепторов аденозина A1, A2A, A3 человека стабильно трансфицировали либо в клетки CHO, либо в клетки HEK-293 (называемые CHO-A1, HEK-A2A, CHO-A3). Мембраны из указанных клеток готовили с использованием такого же протокола, как описано выше. Анализы конкурентного связывания начинали смешиванием 0,5 нМ 3H-CPX (в случае CHO-A1), 2 нМ 3H-ZM214385 (HEK-A2A) или 0,1 нМ 125I-AB-MECA (CHO-A3) с различными концентрациями тестируемых соединений и соответствующими мембранами в буфере TE (50 мМ трис и 1 мМ EDTA для CHO-A1 и HEK-A2A) или в буфере TEM (50 мМ трис, 1 мМ EDTA и 10 мМ MgCl2 для CHO-A3) с добавлением 1 единицы/мл аденозиндезаминазы. Анализируемые смеси инкубировали в течение 90 минут, анализы останавливали фильтрованием с использованием собирающего устройства Packard и четыре раза промывали ледяным буфером TM (10 мМ трис, 1 мМ MgCl2, pH 7,4). Неспецифичное связывание определяли в присутствии 1 мкМ CPX (CHO-A1), 1 мкМ ZM214385 (HEK-A2A) и 1 мкМ IB-MECA (CHO-A3). Аффинности соединений (т.е. значения Ki) рассчитывали с использованием компьютерной программы GraphPad.
Измерения cAMP. Монослой трансфицированных клеток собирали в PBS, содержащем 5 мМ EDTA. Клетки один раз промывали DMEM и ресуспендировали в DMEM, содержащей 1 единицу/мл аденозиндезаминазы, при плотности 100000-500000 клеток/мл. 100 мкл суспензии клеток смешивали с 25 мкл, содержащими различные агонисты и/или антагонисты, и реакционную смесь выдерживали при 37°C в течение 15 минут. В конце 15 минутного периода добавляли 125 мкл 0,2 н. HCl, чтобы остановить реакцию. Клетки центрифугировали в течение 10 минут при 1000 об/мин. 100 мкл надосадка извлекали и ацетилировали. Концентрации cAMP в надосадках измеряли с использованием прямого анализа cAMP Assay Design.
Рецепторы аденозина A2A и A2B сопряжены с Gs-белками и соответственно агонисты рецептора аденозина A2A (такие как CGS21680) или рецептора аденозина A2B (такие как NECA) увеличивают накопление cAMP, тогда как антагонисты указанных рецепторов препятствуют увеличению накопления cAMP, индуцированному агонистами. Рецепторы аденозина A1 и A3 сопряжены с Gi-белками, и соответственно агонисты рецептора аденозина A1 (такие как CPA) или рецептора аденозина A3 (такие как IB-MECA) ингибируют увеличение накопления cAMP, индуцированного форсколином. Антагонисты рецепторов A1 и A3 предотвращают ингибирование накопления cAMP.
С помощью указанных выше тестов показано, что соединения согласно изобретению являются антагонистами A2B.
Соединения согласно изобретению также тестировали в мышиной модели астмы, используя способы, описанные в патенте США 6387913, соответствующая часть которого включена в данное описание в виде ссылки, и было показано, что они являются эффективными.
Формула изобретения
1. Соединение формулы I или формулы II

в виде свободного основания, фармацевтически приемлемой соли или фармацевтически приемлемого сложного эфира,
где R1 и R2 независимо выбраны из водорода, низшего алкила или группы -D-Е, в которой D означает ковалентную связь или низший алкилен и Е означает низший циклоалкил, фенил или низший алкинил, которые необязательно могут быть замещены галогеном или CF3;
R3 означает водород или низший алкил, необязательно замещенный гидроксилом;
Х означает фенилен или 5-членный гетероарилен, содержащий два атома азота в качестве гетероатомов;
Y является ковалентной связью или низшим алкиленом, в котором один атом углерода может быть необязательно заменен -O-;
Z означает водород; фенил, необязательно замещенный низшей алкоксигруппой или низшим алкилом, которые могут быть дополнительно замещены галогеном; или моноциклический 5-членный гетероарил, содержащий два атома азота и один атом кислорода, который необязательно может быть замещен фенилом или фенилом, замещенным галогеном или низшим алкилом;
при условии, что Z является водородом только, когда Y является ковалентной связью и Х является необязательно замещенным 1,4-пиразоленом, связанным с пуриновым циклом атомом углерода;
и при условии, что когда Х является необязательно замещенным ариленом, Z является необязательно замещенным моноциклическим гетероарилом, отличным от имидазола.
2. Соединение по п.1,
где R3 является водородом;
Х является 5-членным гетероариленом, содержащим два атома азота в качестве гетероатома; и
Y является ковалентной связью или низшим алкиленом.
3. Соединение по п.2, где Х является необязательно замещенным пиразоленом, Y является низшим алкиленом и Z является необязательно замещенным фенилом или необязательно замещенным оксадиазолом.
4. Соединение по п.3, где R1 является низшим алкилом, необязательно замещенным низшим циклоалкилом, и R2 является водородом.
5. Соединение по п.4, где Х является необязательно замещенным 1,4-пиразоленом.
6. Соединение по п.5, где Y является -(СН2)- или -СН(СН3)- и Z означает необязательно замещенный фенил.
7. Соединение по п.6, где R1 является н-пропилом, Х является 1,4-пиразоленом, Y является -(CH2)- и Z является 3-трифторметилфенилом, то есть 1-пропил-8-(1-{[3-(трифторметил)фенил]метил}пиразол-4-ил)-1,3,7-тригидропурин-2,6-дион.
8. Соединение по п.6, где R1 является н-пропилом, Х является 1,4-пиразоленом, Y является -(СН2)- и Z является фенилом, то есть 1-пропил-8-[1-бензилпиразол-4-ил]-1,3,7-тригидропурин-2,6-дион.
9. Соединение по п.6, где R1 является н-бутилом, Х является 1,4-пиразоленом, Y является -(СН2)- и Z является 3-фторфенилом, то есть 1-бутил-8-(1-{[3-фторфенил]метил}пиразол-4-ил)-1,3,7-тригидропурин-2,6-дион.
10. Соединение по п.6, где R1 является н-пропилом, Х является 1,4-пиразоленом, Y является -СН(СН3)- и Z является фенилом, то есть 1-пропил-8-[1-(фенилэтил)пиразол-4-ил]-1,3,7-тригидропурин-2,6-дион.
11. Соединение по п.5, где Y является -(СН2)- или -СН(СН3)- и Z является необязательно замещенным оксадиазолом.
12. Соединение по п.11, где R1 является н-пропилом, Х является 1,4-пиразоленом, Y является -(CH2)- и Z является 5-(4-хлорфенил)-[1,2,4]оксадиазол-3-илом, то есть 8-(1-{[5-(4-хлорфенил)(1,2,4-оксадиазол-3-ил)]метил}пиразол-4-ил)-1-пропил-1,3,7-тригидропурин-2,6-дион.
13. Соединение по п.11, где R1 является н-бутилом, Х является 1,4-пиразоленом, Y является -(СН2)- и Z является 5-(4-хлорфенил)-[1,2,4]оксадиазол-3-илом, то есть 8-(1-{[5-(4-хлорфенил)(1,2,4-оксадиазол-3-ил)]метил}пиразол-4-ил)-1-бутил-1,3,7-тригидропурин-2,6-дион.
14. Соединение по п.2, где R1 и R2 независимо являются низшим алкилом, необязательно замещенным низшим циклоалкилом.
15. Соединение по п.14, где Х является необязательно замещенным пиразоленом.
16. Соединение по п.15, где Х является необязательно замещенным 1,4-пиразоленом, Y является -CH2-, -СН(СН3)- или ковалентной связью и Z является водородом или необязательно замещенным фенилом.
17. Соединение по п.16, где R1 и R2 являются н-пропилом, Y является ковалентной связью и Z является водородом, то есть 1,3-дипропил-8-пиразол-4-ил-1,3,7-тригидропурин-2,6-дион.
18. Соединение по п.16, где R1 является втор-бутилом, R2 является метилом, Y является ковалентной связью и Z является водородом, то есть 1-метил-3-втор-бутил-8-пиразол-4-ил-1,3,7-тригидропурин-2,6-дион.
19. Соединение по п.16, где R1 и R2 независимо являются метилом, н-пропилом или циклопропилметилом, Y является метиленом и Z является 3-трифторметилфенилом.
20. Соединение по п.16, где R1 и R2 независимо являются метилом, н-пропилом или циклопропилметилом, Y является метиленом и Z является 3-фторфенилом.
21. Соединение по п.16, где R1 и R2 являются н-пропилом, Y является -СН(СН3)- и Z является 3-трифторметилфенилом, то есть 1,3-дипропил-8-(1-{[3-(трифторметил)фенил]этил}пиразол-4-ил)-1,3,7-тригидропурин-2,6-дион.
22. Соединение по п.16, где R1 и R2 являются н-пропилом, Y является метиленом и Z является 4-карбоксифенилом, то есть 1,3-дипропил-8-{1-[(4-карбоксифенил)метил]пиразол-4-ил}-1,3,7-тригидропурин-2,6-дион.
23. Соединение по п.16, где R1 и R2 являются н-пропилом, Y является -CH(CO2H)- и Z является фенилом, то есть 2-[4-(2,6-диоксо-1,3-дипропил(1,3,7-тригидропурин-8-ил))пиразолил]-2-фенилуксусная кислота.
24. Соединение по п.1,
где R3 является водородом;
Х является необязательно замещенным фениленом; и
Y является ковалентной связью или низшим алкиленом, в котором один атом углерода может быть необязательно заменен -О-.
25. Соединение по п.24, где R1 и R2 независимо означают низший алкил, необязательно замещенный низшим циклоалкилом.
26. Соединение по п.25, где R1 и R2 являются н-пропилом и Y является -ОСН2-.
27. Соединение по п.26, где Z является необязательно замещенным оксадиазолом.
28. Соединение по п.27, где Z означает 5-(2-метоксифенил)-(1,2,4-оксадиазол-3-ил), то есть 8-{4-[5-(2-метоксифенил)-[1,2,4]оксадиазол-3-илметокси]фенил}-1,3-дипропил-1,3,7-тригидропурин-2,6-дион.
29. Соединение по п.27, где Z означает 5-(3-метоксифенил)-(1,2,4-оксадиазол-3-ил), то есть 8-{4-[5-(3-метоксифенил)-[1,2,4]оксадиазол-3-илметокси]фенил}-1,3-дипропил-1,3,7-тригидропурин-2,6-дион.
30. Соединение по п.27, где Z означает 5-(4-фторфенил)(1,2,4-оксадиазол-3-ил), то есть 8-{4-[5-(4-фторфенил)-[1,2,4]оксадиазол-3-илметокси]фенил}-1,3-дипропил-1,3,7-тригидропурин-2,6-дион.
31. Применение соединения формул

в виде свободного основания, фармацевтически приемлемой соли или фармацевтически приемлемого сложного эфира,
где R1 и R2 независимо выбраны из водорода, низшего алкила или группы -D-Е, в которой D означает ковалентную связь или низший алкилен и Е означает низший циклоалкил, фенил или низший алкинил, который необязательно может быть замещен галогеном или CF3;
R3 означает водород или низший алкил, необязательно замещенный гидроксилом;
Х означает фенилен или 5-членный гетероарилен, содержащий два атома азота в качестве гетероатомов;
Y является ковалентной связью или низшим алкиленом, в котором один атом углерода может быть необязательно заменен -O-;
и Z означает водород; фенил, необязательно замещенный низшей алкоксигруппой или низшим алкилом, которые могут быть дополнительно замещены галогеном; или моноциклический 5-членный гетероарил, содержащий два атома азота и один атом кислорода, который необязательно может быть замещен фенилом или фенилом, замещенным галогеном или низшим алкилом;
и при условии, что когда Х является необязательно замещенным ариленом, Z является необязательно замещенным моноциклическим гетероарилом, для получения фармацевтической композиции, обладающей антагонистической активностью в отношении рецептора аденозина А2B.
32. Фармацевтическая композиция, обладающей антагонистической активностью в отношении рецептора аденозина А2B, содержащая, по меньшей мере, один фармацевтически приемлемый эксципиент и терапевтически эффективное количество соединения по п.1.
33. Способ получения соединения формулы I или формулы II

где R1 и R2 независимо выбраны из водорода, низшего алкила или группы -D-Е, в которой D означает ковалентную связь или низший алкилен и Е означает низший циклоалкил, фенил или низший алкинил, которые необязательно могут быть замещены галогеном или CF3;
R3 означает водород или низший алкил, необязательно замещенный гидроксилом;
Х означает фенилен или 5-членный гетероарилен, содержащий два атома азота в качестве гетероатомов;
Y является ковалентной связью или низшим алкиленом, в котором один атом углерода может быть необязательно заменен -O-;
и Z означает водород; фенил, необязательно замещенный низшей алкоксигруппой или низшим алкилом, которые могут быть дополнительно замещены галогеном; или моноциклический 5-членный гетероарил, содержащий два атома азота и один атом кислорода, который необязательно может быть замещен фенилом или фенилом, замещенным галогеном или низшим алкилом;
при условии, что Z является водородом только, когда Y является ковалентной связью и Х является необязательно замещенным 1,4-пиразоленом, связанным с пуриновым циклом атомом углерода;
и при условии, что когда Х является необязательно замещенным ариленом, Z является необязательно замещенным моноциклическим гетероарилом, отличным от имидазола, включающий контактирование соединения формулы

в котором R1, R2 и R3 имеют значения, определенные выше, с соединением формулы Z-Y-X-CO2H, в котором X, Y и Z имеют значения, определенные выше.
34. Способ по п.33, где R1 является н-бутилом и R2 и R3 означают водород.
35. Способ по п.34, где Х является фенилом, Y является пропиленом и Z является 1,4-пиразоленом

а именно получения 1-[(3-фторфенил)метил]пиразол-4-карбоновой кислоты.
36. Способ по п.35, где реакцию осуществляют в присутствии гидрохлорида 1-(3-диметиламинопропил)-3-этилкарбодиимида в N,N-диметилформамиде.
37. Соединение по п.16, где R1 является н-пропилом, R2 является этилом, Y является -(СН2)- и Z является 3-трифторметилфенилом, то есть 3-этил-1-пропил-8-{1-[(3-трифторметилфенил)метил]пиразол-4-ил}-1,3,7-тригидропурин-2,6-дион.
38. Соединение по п.37, где соединение представляет собой свободное основание.
39. Соединение по п.37, где соединение представляет собой фармацевтически приемлемую кислотно-аддитивную соль.
40. Соединение по п.39, где фармацевтически приемлемой кислотно-аддитивной солью является фосфатная соль.
41. Соединение по п.39, где фармацевтически приемлемой кислотно-аддитивной солью является тозилатная соль.
|
|