|
|
(21), (22) Заявка: 2006111951/04, 12.04.2006
(24) Дата начала отсчета срока действия патента:
12.04.2006
(46) Опубликовано: 10.03.2008
(56) Список документов, цитированных в отчете о поиске:
СА 109:144847:LURA RICHARD et al., Biochemistry, 1988, 27(20), 7671-7. CA 127:176409:NEFZI ADEL et al., Tetrahedron Letters, 1997, 38(28), 4943-4946. CA 142:56262:ACRITOPOULOU-ZANZE IRINI et al. Tetrahedron Letters, 2004, 45(46), 8439-8441. WO 00/78747 A1, 28.12.2000. WO 05/097162 A2, 20.10.2005. WO 03/053443 A1, 03.07.2003. US 2005159602 A1, 21.07.2005. RU 20031255936 A1, 20.03.2005.
Адрес для переписки:
141401, Московская обл., г. Химки, ул.Рабочая, 2-а, корп.1, ЦВТ “ХимРар”, Н.М.Шмаковой
|
(72) Автор(ы):
Иващенко Александр Васильевич (US), Ильин Алексей Петрович (RU), Кисель Владимир Михайлович (UA), Трифиленков Андрей Сергеевич (RU), Цырульников Сергей Александрович (RU), Шкирандо Александр Михайлович (RU), Чуракова Марина Васильевна (RU), Ломакина Ирина Олеговна (RU), Потапов Виктор Владимирович (RU), Замалетдинова Анастасия Ильясовна (RU), Ткаченко Сергей Евгеньевич (RU), Кравченко Дмитрий Владимирович (RU), Хват Александр Викторович (US), Окунь Илья Матусович (US), Киселев Александр Сергеевич (US)
(73) Патентообладатель(и):
Общество с ограниченной ответственностью “Исследовательский Институт Химического Разнообразия” (RU)
|
(54) АЗАГЕТЕРОЦИКЛЫ, КОМБИНАТОРНАЯ БИБЛИОТЕКА, ФОКУСИРОВАННАЯ БИБЛИОТЕКА, ФАРМАЦЕВТИЧЕСКАЯ КОМПОЗИЦИЯ И СПОСОБ ПОЛУЧЕНИЯ (ВАРИАНТЫ)
(57) Реферат:
Изобретение относится к новым азагетероциклам общей формулы 1, обладающим ингибирующим действием активности тирнозинкиназы, которые могут быть использованы для лечения различных заболеваний, опосредованных активностью данных рецепторов. Дано соединение общей формулы 1

где W представляет собой азагетероцикл, включающий 6-13 атомов, необязательно аннелированный, по крайней мере, с одним С5-С7 карбоциклом и/или возможно аннелированным гетероциклом с 4-10-атомами в кольце, и включающим, по крайней мере, один из гетероатомов, выбранный из группы О, S или N; R1 a представляет собой заместитель аминогруппы, исключая водород, такой как возможно замещенный C1-С6 алкил, возможно замещенный арил или возможно замещенный 5-10-членный гетероциклил, включающий, по крайней мере, один из гетероатомов, выбранных из группы О, S или N; Rb представляют собой карбамоильную группу -C(O)NHRa, в которой Ra представляет собой заместитель аминогруппы, исключая водород, такой как возможно замещенный алкил, возможно замещенный арил, возможно замещенный 5-10-членный гетероциклил, включающий, по крайней мере, один из гетероатомов, выбранных из группы О, S или N; Rc представляют собой заместитель циклической системы, такой как возможно замещенный C1-С6 алкил, возможно замещенный арил или возможно замещенный 5-6-членный гетероциклил, включающий, по крайней мере, один из гетероатомов, выбранных из группы О, S или N, или Rb и Rc вместе образуют амино-циано-метиленовую группу [(=C(NH2)CN]; или их фармацевтически приемлемые соли. Изобретение также относится к способам получения соединений (вариантам), фармацевтической композиции и комбинаторной и фокусированным библиотекам. 20 н. и 15 з.п. ф-лы, 13 табл.
Текст описания приведен в факсимильном виде.                                                                                                                                                                                                                                                     
Формула изобретения
1. Азагетероциклы общей формулы 1

где W представляет собой азагетероцикл, включающий 6-13 атомов, необязательно аннелированный, по крайней мере, с одним C5-C7 карбоциклом и/или возможно аннелированным гетероциклом с 4-10 атомами в кольце, и включающим, по крайней мере, один из гетероатомов, выбранный из группы О, S или N;
R1 a представляет собой заместитель аминогруппы, исключая водород, такой как, возможно замещенный C1-С6 алкил, возможно замещенный арил или возможно замещенный 5-10-членный гетероциклил, включающий, по крайней мере, один из гетероатомов, выбранных из группы О, S или N; Rb представляют собой карбамоильную группу -C(O)NHRa, в которой Ra представляет собой заместитель аминогруппы, исключая водород, такой как возможно замещенный алкил, возможно замещенный арил, возможно замещенный 5-10-членный гетероциклил, включающий, по крайней мере, один из гетероатомов, выбранных из группы О, S или N; Rc представляют собой заместитель циклической системы, такой как возможно замещенный C1-С6 алкил, возможно замещенный арил или возможно замещенный 5-6-членный гетероциклил, включающий, по крайней мере, один из гетероатомов, выбранных из группы О, S или N, или Rb и Rc вместе образуют амино-циано-метиленовую группу [(=C(NH2)CN]; или их фармацевтически приемлемые соли, включающие темплейты Т-1.1-Т-1.41; Т-2.1-Т.2.4; Т-3.1, Т-3.2:
    
    
    
    
     
     
    
     
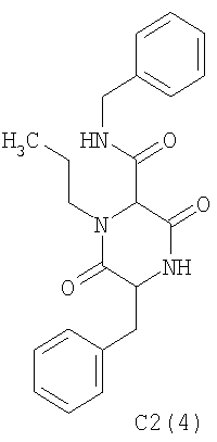
в которых пунктирная линия с сопровождающей ее сплошной линией ( ) представляет одинарную или двойную связь, и исключая азагетероциклы, включающие фрагменты В(1-29), азагетероциклы С1(1-6) и С2(1-17)
    
   
   
   
   

   
  
   
   
   
   
   
2. Соединения по п.1, представляющие собой замещенные азагетероциклы общей формулы 1.1-1.5
  
 
где пунктирная линия с сопровождающей ее сплошной линией ( ) представляет одинарную или двойную связь; R1 a, Rb и Rc имеют вышеуказанное значение; R2 a представляет собой заместитель аминогруппы, такой как атом водорода, возможно замещенный C1-С6 алкил, каждый из R1 d и R2 d, R3 d и R4 d независимо друг от друга представляют заместитель циклической системы, выбранный из водорода, возможно замещенного C1-С6 алкила, возможно замещенного арила, или
R1 d и R2 a для соединений 1.1, 1.2 и 1.3 и R2 d и R2 a для соединений 1.4 и 1.5 могут образовывать вместе с атомами, с которыми они связаны, возможно замещенный 4-10-членный азагетероцикл, возможно содержащий дополнительно гетероатомы, выбранные из азота, кислорода или серы, и возможно конденсированный с бензольным кольцом или с другим 5-6-членным гетероциклом, в котором гетероатомы выбраны из азота, кислорода или серы, а
R3 d и R2 d для соединений 1.3, R1 d и R2 d для соединений 1.4 и 1.5 и R4 d и R3 d для соединений 1.5 вместе с атомами, с которыми они связаны, могут образовывать возможно замещенный алифатический цикл, содержащий 4-12 атомов углерода, возможно замещенный моно- или конденсированный биароматический цикл или возможно замещенный 5-6-членный гетероцикл, в котором гетероатомы выбраны из азота, кислорода или серы, и который может быть конденсирован с другим возможно замещенным 5-6-членным гетероциклом, содержащим в качестве гетероатомов азот, кислород или серу, или
Rc и R2 d для соединений 1.2, или Rc и R3 d для соединений 1.3 и 1.4, или Rc и R4 d для соединений 1.5 вместе с атомами, с которыми они связаны, могут образовывать возможно замещенный алифатический цикл, содержащий 4-12 атомов углерода или возможно замещенный 5-6-членный гетероцикл, в котором гетероатомы выбраны из азота, кислорода или серы, и который может быть конденсирован с другим возможно замещенным 5-6-членным гетероциклом, содержащим в качестве гетероатомов азот, кислород или серу.
3. Соединения по п.1, представляющие собой замещенные диазепины общей формулы 1.6

где пунктирная линия с сопровождающей ее сплошной линией ( ) представляет одинарную или двойную связь, R1 a, R2 a, Rb и Rc имеют вышеуказанное значение, каждый из R1 d, R2 d и R3 d независимо друг от друга представляют заместитель циклической системы, выбранный из водорода, возможно замещенного C1-C6 алкила, возможно замещенного арила, или
R3 d и R2 d вместе с атомами, с которыми они связаны, могут образовывать возможно замещенный моно- или конденсированный биароматический цикл, возможно замещенный 5-6-членный гетероцикл, в котором гетероатомы выбраны из азота, кислорода или серы, и который может быть конденсирован с другим возможно замещенным 5-6-членным гетероциклом, содержащим в качестве гетероатомов азот, кислород или серу, или возможно замещенный алифатический цикл, содержащий 4-12 атомов углерода, а
R1 d и R2 a могут образовывать вместе с атомами, с которыми они связаны, возможно замещенный 4-6-членный азагетероцикл, возможно содержащий дополнительно гетероатомы, выбранные из азота, кислорода или серы, и возможно конденсированный с возможно замещенным бензольным кольцом или с другим возможно замещенным 5-6-членным гетероциклом, в котором гетероатомы выбраны из азота, кислорода или серы.
4. Соединения по п.3, представляющие собой 3-оксо-2,3,4,5-тетрагидро-1Н-бензо[е][1,4]диазепины, общей формулы 1.6.1

где R1 a, R2 a, Rb, Rc и R1 d имеют вышеуказанное для 1.6 значение; Rn d представляет собой один или два заместителя циклической системы, выбранных из водорода, возможно замещенного C1-C6-алкила, нитро, галогена, амино, C1-С6 ациламино, арилсульфонил-амино, ариламинокарбониламино, возможно замещенного 5-6-членного азагетероциклила.
5. Соединения по п.3 или 4, представляющие собой 3-оксо-2,3,4,5-тетрагидро-1Н-бензо[е][1,4]диазепины, включающие темплейт общей формулы 1.6.1.1-1.6.1.16
   
   
   
   
где Rb и Rc имеют вышеуказанное значение.
6. Соединения по п.1, представляющие собой 7-оксоазепаны общей формулы 1.7

где пунктирная линия с сопровождающей ее сплошной линией ( ) представляет одинарную или двойную связь; R1 a, Rb и Rc имеют вышеуказанное значение; R1 d и R2 d вместе с атомами, с которыми они связаны, и R3 d и R4 d вместе с атомами, с которыми они связаны, образуют соответственно возможно замещенный ароматический цикл или возможно замещенный 5-6-членный азагетероцикл, возможно содержащий дополнительно гетероатомы, выбранные из азота, кислорода или серы, и возможно конденсированный с бензольным кольцом или с другим 5-6-членным гетероциклом, в котором гетероатомы выбраны из азота, кислорода или серы, или возможно замещенный алифатический цикл, содержащий 4-12 атомов углерода.
7. Соединения по п.6, представляющие собой аннелированные 7-оксоазепаны, включающие темплейт общей формулы 1.7.1-1.7.74
     
     
     
     
     
     
     
     
     
     
     
     
где Rb и Rc имеют вышеуказанное значение.
8. Соединения по п.1, представляющие собой замещенные азагетероциклы общей формулы 1.8-1.15
   
   
где пунктирная линия с сопровождающей ее сплошной линией ( ) представляет одинарную или двойную связь, R1 a, Rb и Rc имеют вышеуказанное значение; R2 a представляет собой заместитель аминогруппы, такой как атом водорода, возможно замещенный C1-С6 алкил, каждый из R1 d, R2 d, R3 d, R4 d и R5 d независимо друг от друга представляют заместитель циклической системы, выбранный из водорода, возможно замещенного C1-С6 алкила, возможно замещенного арила, или
R1 d и R2 a, для соединений 1.8, 1.9, R2 a и R2 d для соединений 1.10, 1.11, R2 a и R3 d для соединений 1.12 и 1.13, R2 a и R4 d для соединений 1.14, 1.15 могут образовывать вместе с атомами, с которыми они связаны, возможно замещенный 4-6-членный азагетероцикл, возможно содержащий дополнительно гетероатомы, выбранные из азота, кислорода или серы, и возможно конденсированный с возможно замещенным бензольным кольцом или с другим возможно замещенным 5-6-членным гетероциклом, в котором гетероатомы выбраны из азота, кислорода или серы, а
R1 d и R2 d для соединений 1.9, 1.12, 1.13, 1.14, 1.15, R2 d и R3 d для соединений 1.11, 1.14, 1.15, R4 d и R3 d для соединений 1.13, R4 d и R5 d для соединений 1.15 вместе с атомами, с которыми они связаны, могут образовывать возможно замещенный алифатический цикл, включающий 4-12 атомов углерода, возможно замещенный моно- или конденсированный биароматический цикл или возможно замещенный 5-6-членный гетероцикл, в котором гетероатомы выбраны из азота, кислорода или серы, и который может быть конденсирован с другим возможно замещенным 5-6-членным гетероциклом, содержащим в качестве гетероатомов азот, кислород или серу.
9. Соединения по п.1, представляющие собой замещенные азагетероциклы общей формулы 1.16 -1.18
  
где пунктирная линия с сопровождающей ее сплошной линией ( ) представляет одинарную или двойную связь, R1 a, R2 a, Rb и Rc имеют вышеуказанное значение; R3 a представляет собой заместитель аминогруппы, выбранный из группы водород, возможно замещенный алкил, возможно замещенный циклоалкил, возможно замещенный арил; R1 d, R2 d, R3 d и R4 d независимо друг от друга представляют собой заместители циклической системы, выбранные из водорода, возможно замещенного C1-С6 алкила, возможно замещенного арила, или для соединений 1.16 R2 d и R3 a вместе с атомами, с которыми они связаны, могут образовывать через R2 d и R3 a возможно замещенный азагетероцикл; или для соединений 1.17 независимо R3 d и R3 a вместе с атомами, с которыми они связаны, могут образовывать через R3 d и R3 a возможно замещенный 4-6-членный азагетероцикл, a R1 d и R2 d вместе с атомами, с которыми они связаны, могут образовывать через R1 d и R2 d возможно замещенный ароматический цикл, 5-6-членный возможно замещенный гетероцикл, включающий, по крайней мере, один из гетероатомов, выбранных из группы О, S или N, или алифатический цикл, включающий от 4 до 12 атомов углерода; или для соединений 1.18 независимо R1 d и R2 d вместе с атомами, с которыми они связаны, могут образовывать через R1 d и R2 d возможно замещенный ароматический цикл, возможно замещенный 5-6-членный гетероцикл, включающий, по крайней мере, один из гетероатомов выбранных из группы О, S или N, или возможно замещенный алифатический цикл, включающий от 4 до 12 атомов углерода, а R3 a и R3 d вместе с атомами, с которыми они связаны, могут образовывать через R3 a и R3 d возможно замещенный 4-6-членный азагетероцикл, a R3 d и R4 d вместе с атомами, с которыми они связаны, могут образовывать через R3 d и R4 d возможно замещенный ароматический цикл, возможно замещенный 5-6-членный гетероцикл, включающий, по крайней мере, один из гетероатомов, выбранных из группы О, S или N, или возможно замещенный алифатический цикл, включающий от 4 до 12 атомов углерода.
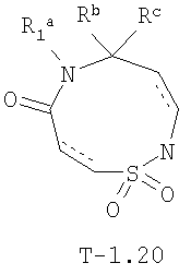
10. Соединения по п.1, представляющие собой замещенные азагетероциклы общей формулы 1.19 или 1.20
 
где пунктирная линия с сопровождающей ее сплошной линией ( ) представляет одинарную или двойную связь, R1 a, R2 a, Rb и Rc имеют вышеуказанное значение; R1 d, R2 d, R3 d и R4 d независимо друг от друга представляют собой заместитель циклической системы, выбранный из водорода, возможно замещенного C1-C6 алкила или для соединений 1.19 независимо R1 d и R2 d вместе с атомами, с которыми они связаны, могут образовывать через R1 d и R2 d возможно замещенный ароматический цикл, возможно замещенный 5-6-членный гетероцикл, включающий, по крайней мере, один из гетероатомов, выбранных из группы О, S или N, или возможно замещенный алифатический цикл, включающий от 4 до 12 атомов углерода, a R2 a и R3 d вместе с атомами, с которыми они связаны, могут образовывать через R2 a и R3 d возможно замещенный 4-6-членный азагетероцикл; или для соединений 1.20 независимо R1 d и R2 d вместе с атомами, с которыми они связаны, могут образовывать через R1 d и R2 d возможно замещенный ароматический цикл, возможно замещенный 5-6-членный гетероцикл, включающий, по крайней мере, один из гетероатомов, выбранных из группы О, S или N, или возможно замещенный алифатический цикл, включающий от 4 до 12 атомов углерода, R2 a и R3 d вместе с атомами, с которыми они связаны, могут образовывать через R2 a и R3 d возможно замещенный 4-6-членный азагетероцикл, а R3 d и R4 d вместе с атомами, с которыми они связаны, могут образовывать через R3 d и R4 d возможно замещенный ароматический цикл, возможно замещенный 5-6-членный гетероцикл, включающий, по крайней мере, один из гетероатомов, выбранных из группы О, S или N, или возможно замещенный алифатический цикл, включающий от 4 до 12 атомов углерода.
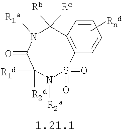
11. Соединения по п.10, представляющие собой замещенные азагетероциклы общей формулы 1.19.1 или 1.20.1
 
где пунктирная линия с сопровождающей ее сплошной линией ( ) представляет одинарную или двойную связь, R1 a, R2 a, Rb, Rc, R3 d и R4 d имеют вышеуказанное для 1.19 и 1.20 значение, Rn d представляет собой один или два заместителя циклической системы, выбранные из водорода, возможно замещенного С1-С4-алкила.
12. Соединения по п.1, представляющие собой замещенные азагетероциклы общей формулы 1.21 или 1.22
 
где пунктирная линия с сопровождающей ее сплошной линией ( ) представляет одинарную или двойную связь, R1 a, R2 a, Rb и Rc имеют вышеуказанное значение; R1 d, R2 d, R3 d и R4 d независимо друг от друга представляют собой заместитель циклической системы, выбранный из водорода, возможно замещенного C1-С6-алкила, или для соединений 1.21 независимо R1 d и R2 d вместе с атомом, с которым они связаны, могут образовывать через R1 d и R2 d возможно замещенный С3-С6-циклоалкил, R2 a и R2 d вместе с атомами, с которыми они связаны, могут образовывать через R2 a и R2 d возможно замещенный 5-6-членный азагетероцикл, возможно содержащий дополнительные гетероатомы, выбранные из азота, кислорода или серы, a R3 d и R4 d вместе с атомами, с которыми они связаны, могут образовывать через R3 d и R4 d возможно замещенный 5-6-членный азагетероцикл; или для соединений 1.22 независимо R1 d и R2 d вместе с атомами, с которьми они связаны, могут образовывать через R1 d и R2 d возможно замещенный ароматический цикл, возможно замещенный 5-6-членный гетероцикл, включающий, по крайней мере, один из гетероатомов выбранных из группы О, S или N, или возможно замещенный алифатический цикл, включающий от 4 до 12 атомов углерода; R2 a и R2 d вместе с атомами, с которыми они связаны, могут образовывать через R2 a и R2 d возможно замещенный 5-6-членный азагетероцикл, возможно содержащий дополнительный гетероатом, выбранный из азота, кислорода или серы, а R3 d и R4 d вместе с атомами, с которыми они связаны, могут образовывать через R3 d и R4 d возможно замещенный ароматический цикл, возможно замещенный 5-6-членный гетероцикл, включающий, по крайней мере, один из гетероатомов, выбранных из группы О, S или N, или возможно замещенный алифатический цикл, включающий от 4 до 12 атомов углерода.
13. Соединения по п.12, представляющие собой замещенные азагетероциклы общей формулы 1.21.1 или 1.22.1
 
где пунктирная линия с сопровождающей ее сплошной линией ( ) представляет одинарную или двойную связь, R1 a, R2 a, Rb, Rc, R1 d и R2 d имеют вышеуказанное для 1.21 и 1.22 значение, Rn d представляет собой один или два заместителя циклической системы, выбранные из водорода или возможно замещенного C1-С6-алкила.
14. Соединения по п.1, представляющие собой замещенные азагетероциклы общей формулы 1.23-1.33
   
   
  
где А представляет собой атом С, О, S или NR2 a; пунктирная линия с сопровождающей ее сплошной линией ( ) представляет одинарную или двойную связь; R1 a, Rb и Rc имеют вышеуказанное значение; R2 a представляет собой заместитель аминогруппы, такой как атом водорода, возможно замещенный C1-С6 алкил, каждый из R1 d, R2 d, R3 d, R4 d, R5 d и R6 d независимо друг от друга представляют заместитель циклической системы, выбранный из водорода, возможно замещенного C1-C6 алкила, возможно замещенного арила, или для соединений 1.23 и 1.27 R1 d и R2 d вместе с атомом, с которым они связаны, могут образовывать через R1 d и R2 d возможно замещенный С5-С6 циклоалкил; для соединений 1.23, 1.25, 1.27, 1.28, 1.30, 1.31, 1.33 R3 d и R4 d вместе с атомами, с которыми они связаны, могут образовывать через R3 d и R4 d возможно замещенный ароматический цикл, возможно замещенный 5-6-членный гетероцикл, включающий, по крайней мере, один из гетероатомов, выбранных из группы О, S или N, или возможно замещенный алифатический цикл, включающий от 4 до 12 атомов углерода, а для соединений 1.23, 1.24, 1.25, 1.26 Rc и R4 d вместе с атомами, с которыми они связаны, могут образовывать через Rc и R4 d возможно замещенный циклоалкил или возможно замещенный 5-6-членный гетероцикл; или для соединений 1.24, 1.25, 1.26, 1.28, 1.29, 1.30, 1.31, 1.32, 1.33 независимо R1 d и R2 d вместе с атомами, с которыми они связаны, могут образовывать через R1 d и R2 d возможно замещенный ароматический цикл, возможно замещенный 5-6-членный гетероцикл, включающий, по крайней мере, один из гетероатомов, выбранных из группы О, S или N, или возможно замещенный алифатический цикл, включающий от 4 до 12 атомов углерода; для соединений 1.24 R3 d и R4 d вместе с атомом, с которым они связаны, могут образовывать через R3 d и R4 d возможно замещенный С5-С6 циклоалкил, a Rc и R4 d вместе с атомами, с которыми они связаны, могут образовывать через Rc и R4 d возможно замещенный С5-С6 циклоалкил; или для соединений 1.26 R2 d и R3 d вместе с атомами, с которыми они связаны, могут образовывать соответственно через R2 d и R3 d возможно замещенный ароматический цикл, возможно замещенный 5-6-членный гетероцикл, включающий, по крайней мере, один из гетероатомов, выбранных из группы О, S или N, или возможно замещенный алифатический цикл, включающий от 4 до 12 атомов углерода; для соединений 1.27, 1.29, 1.30, 1.31 и 1.32 R4 d и R5 d вместе с атомами, с которыми они связаны, могут образовывать через R4 d и R5 d возможно замещенный циклоалкил; для соединений 1.26,1.27, 1.29, 1.30 Rc и R5 d вместе с атомами, с которыми они связаны, могут образовывать через Rc и R5 d возможно замещенный С5-С6 циклоалкил; для соединений 1.28 R5 d и R6 d вместе с атомом, с которым они связаны, могут образовывать через R5 d и R6 d возможно замещенный С5-С6 циклоалкил, a Rc и R6 d вместе с атомами, с которыми они связаны, могут образовывать через Rc и R6 d возможно замещенный С5-С6 циклоалкил; для соединений 1.31, 1.32, 1.33 R5 d и R6 d вместе с атомами, с которыми они связаны, могут образовывать через R5 d и R6 d возможно замещенный ароматический цикл, возможно замещенный 5-6-членный гетероцикл, включающий, по крайней мере, один из гетероатомов, выбранных из группы О, S или N, или возможно замещенный алифатический цикл, включающий от 4 до 12 атомов углерода, a Rc и R6 d вместе с атомами, с которыми они связаны, могут образовывать через Rc и R6 d возможно замещенный С5-С6 циклоалкил или возможно замещенный 5-6-членный гетероцикл, включающий, по крайней мере, один из гетероатомов, выбранных из группы О, S или N; или для соединений 1.32, 1.33 R2 d и R3 d вместе с атомами, с которьми они связаны, могут образовывать через R2 d и R3 d возможно замещенный ароматический цикл, возможно замещенный 5-6-членный гетероцикл, включающий, по крайней мере, один из гетероатомов, выбранных из группы О, S или N, или возможно замещенный алифатический цикл, включающий от 4 до 12 атомов углерода.
15. Соединения по п.1, представляющие собой замещенные азагетероциклы общей формулы 1.37-1.40
   
где пунктирная линия с сопровождающей ее сплошной линией ( ) представляет одинарную или двойную связь, R1 a, R2 a, Rb и Rc имеют вышеуказанное значение; R4 a представляет собой заместитель аминогруппы, выбранный из возможно замещенного C1-С6 алкила; каждый из R1 d, R2 d, R4 d и R5 d независимо друг от друга представляют собой заместитель циклической системы, выбранный из водорода, возможно замещенного C1-C6 алкила, возможно замещенного арила, или для соединений 1.37 R1 d и R2 d вместе с атомом, с которым они связаны, могут образовывать через R1 d и R2 d возможно замещенный С5-С6 циклоалкил, R2 a и R4 a вместе с атомами, с которыми они связаны, могут образовывать через R2 a и R4 a возможно замещенный 5-6-членный азагетероцикл, a Rc и R4 d вместе с атомами, с которыми они связаны, могут образовывать через Rc и R4 d возможно замещенный С5-С6 циклоалкил или возможно замещенный 5-6-членный гетероцикл, включающий, по крайней мере, один из гетероатомов, выбранных из группы О, S или N; или для соединений 1.38 независимо R1 d и R2 d вместе с атомом, с которым они связаны, могут образовывать через R1 d и R2 d возможно замещенный С5-С6 циклоалкил или возможно замещенный 5-6-членный гетероцикл, включающий, по крайней мере, один из гетероатомов, выбранных из группы О, S или N, R2 a и R4 a вместе с атомом, с которым они связаны, могут образовывать через R2 a и R4 a возможно замещенный азагетероцикл, a Rc и R4 d вместе с атомами, с которыми они связаны, могут образовывать через Rc и R4 d возможно замещенный C5-6циклоалкил или возможно замещенный 5-6-членный гетероцикл, включающий, по крайней мере, один из гетероатомов, выбранных из группы О, S или N; или для соединений 1.39 независимо R1 d и R2 d вместе с атомом, с которым они связаны, могут образовывать через R1 d и R2 d возможно замещенный С5-6 циклоалкил или возможно замещенный 5-6-членный гетероцикл, включающий, по крайней мере, один из гетероатомов, выбранных из группы О, S или N, R2 a и R4 a вместе с атомами, с которыми они связаны, могут образовывать через R2 a и R4 a возможно замещенный 5-6-членный азагетероцикл, независимо R4 d и R5 d вместе с атомами, с которыми они связаны, могут образовывать через R4 d и R5 d возможно замещенный ароматический цикл, возможно аннелированный возможно замещенный 5-6-членный гетероцикл, включающий, по крайней мере, один из гетероатомов, выбранных из группы О, S или N, или возможно замещенный алифатический цикл, включающий от 4 до 12 атомов углерода, a Rc и R5 d вместе с атомами, с которыми они связаны, могут образовывать через Rc и R5 d возможно замещенный C5-6циклоалкил или возможно замещенный 5-6-членный гетероцикл, включающий, по крайней мере, один из гетероатомов, выбранных из группы О, S или N; или для соединений 1.40 независимо R1 d и R2 d вместе с атомом, с которым они связаны, могут образовывать через R1 d и R2 d возможно замещенный циклоалкил или возможно замещенный гетероцикл, R2 a и R4 a вместе с атомом, с которым они связаны, могут образовывать через R2 a и R4 a возможно замещенный 5-6-членный азагетероцикл, R4 d и R5 d вместе с атомами, с которыми они связаны, могут образовывать через R4 d и R5 d возможно замещенный ароматический цикл, возможно замещенный 5-6-членный гетероцикл, включающий, по крайней мере, один из гетероатомов, выбранных из группы О, S или N, или возможно замещенный алифатический цикл, включающий от 4 до 12 атомов углерода, a Rc и R5 d вместе с атомами, с которыми они связаны, могут образовывать через Rc и R5 d возможно замещенный циклоалкил или возможно замещенный 5-6-членный гетероцикл, включающий, по крайней мере, один из гетероатомов, выбранных из группы О, S или N.
16. Азагетероциклы общей формулы 2.1-2.4 и их фармацевтически приемлемые кислотно-аддитивные соли
   
где R1 a представляет собой заместитель аминогруппы, предпочтительно возможно замещенный C1-С6 алкил, возможно замещенный арил или возможно замещенный 5-6-членный гетероциклил, включающий, по крайней мере, один из гетероатомов, выбранных из группы О, S или N; R2 a и R3 a независимо друг от друга представляют собой заместители аминогруппы, выбранные из группы водород, возможно замещенный алкил, возможно замещенный арил; R1 d, R2 d, R3 d, R4 d, R5 d, R6 d, R7 d и R8 d независимо друг от друга представляют собой заместитель циклической системы, выбранный из водорода, возможно замещенного C1-С6 алкила, возможно замещенного арила или возможно замещенного 5-6-членного гетероциклила, включающего, по крайней мере, один из гетероатомов, выбранных из группы О, S или N, или возможно замещенного С3-6 циклоалкила; или R1 d и R2 d вместе с атомом углерода, с которым они связаны, могут образовывать через R1 d и R2 d возможно замещенный С3-6 циклоалкил; или для соединений 2.1 и 2.2 R3 d, R4 d, R5 d, R6 d вместе с атомами, с которыми они связаны, могут образовывать через R4 d и R5 d возможно замещенный ароматический цикл или возможно замещенный 5-6-членный гетероцикл, включающий, по крайней мере, один из гетероатомов, выбранных из группы О, S или N, или возможно замещенный алифатический цикл, включающий от 4 до 12 атомов углерода; или R2 a вместе с атомом, с которыми он связан, и R3 d и R4 d вместе с атомами, с которыми они связаны, образуют через R2 a и R3 d и R4 d возможно замещенный 5-6-членный азагетероцикл; или R3 a вместе с атомом, с которыми он связан, и R5 d и R6 d вместе с атомами, с которыми они связаны, образуют через R3 a и R5 d и R6 d возможно замещенный 5-6-членный азагетероцикл; или R2 a вместе с атомом, с которым он связан, и R3 d, R4 d, R5 d и R6 d вместе с атомами, с которыми они связаны, образуют через R2 a, R4 d и R5 d возможно замещенный 5-6-членный азагетероцикл; или R3 a вместе с атомом, с которым он связан, и R3 d, R4 d, R5 d и R6 d вместе с атомами, с которыми они связаны, образуют через R3 a, R4 d или через R5 d и R6 d возможно замещенный 5-6-членный азагетероцикл; или для соединений 2.3 и 2.4 R3 d, R4 d, R5 d и R6 d вместе с атомами, с которыми они связаны, образуют через R4 d и R5 d возможно замещенный ароматический цикл, возможно замещенный 5-6-членный гетероцикл, включающий, по крайней мере, один из гетероатомов, выбранных из группы О, S или N, или возможно замещенный алифатический цикл, включающий от 4 до 12 атомов углерода; или R5 d, R6 d, R7 d и R8 d вместе с атомами, с которыми они связаны, образуют через R7 d и R5 d возможно замещенный ароматический цикл, возможно замещенный 5-6-членный азагетероцикл, включающий, по крайней мере, один из гетероатомов, выбранных из группы О, S или N, или возможно замещенный алифатический цикл, включающий от 4 до 12 атомов углерода, исключая пиперазин Е

17. Азагетероциклы общей формулы 3.1 или 3.2
 
где для соединений 3.1 R1 a и R2 a независимо друг от друга представляют собой заместитель аминогруппы, выбранный из возможно замещенного C1-6алкила, возможно замещенного циклоалкила, возможно замещенного арила; R1 d представляет собой арил; R2 d представляет собой атом водорода или C1-С6 алкил, или R1 d и R2 d вместе с атомом, с которым они связаны, образуют через R1 d и R2 d циклоалкил или 5-6-членный гетероциклил; R3 d и R4 d независимо друг от друга представляют собой заместитель циклической системы, выбранный из C1-С6 алкила, или R3 d и R4 d вместе с атомом углерода, с которым они связаны, образуют через R3 d и R4 d циклоалкил или возможно замещенный 5-6-членный азагетероцикл; для соединений 3.2 R1 a представляет собой заместитель аминогруппы; R1 d представляет собой арил или гетероциклил; R2 d представляет собой атом водорода или C1-С6 алкил, или R1 d и R2 d вместе с атомом, с которым они связаны, образуют через R1 d и R2 d C5-C6 циклоалкил или 5-6-членный гетероцикл; R2 a вместе с атомом, с которым он связан, и R3 d вместе с атомом, с которым он связан, образуют через R2 a и R3 d 5-6-членный азагетероцикл, исключая пиперазиндионы общей формулы D

где R1 a=Н, СН3; R2 a = необязательно замещенный алкил; R1 d – арил или необязательно замещенный алкил; R2 d и R3 d = необязательно замещенный алкил или R2 d и R3 d вместе с атомом углерода, с которым они соединены, образуют через R2 d и R3 d циклопропан.
18. Соединения по п.17, представляющие собой азагетероциклы, включающие фрагмент формулы 3.1.1-3.1.7
   
  
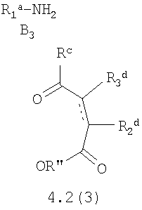
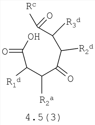
19. Способ получения азагетероциклов общей формулы 1.1-1.5 по п.2 взаимодействием бифункционального реагента общей формулы 4.5(1-5), выбранного из группы, указанной ниже, либо необязательно N-защищенной аминокислоты общей формулы 4.1(1-3), выбранной из группы, указанной ниже, и эфира оксо-карбоновой кислоты общей формулы 4.2(1-3), выбранного из группы, указанной ниже, с изонитрилом общей формулы В2 и первичным амином общей формулы В3 в среде органического растворителя, при этом, в случае получения соединений, в которых Rb и Rc вместе представляют собой аминоцианометилен =C(NHR3 a)CN, реакции ведут в присутствии кислотного катализатора
     
    
где R’ представляет собой водород или (СН3)3СОС(О);
R” представляет собой алкил или арил;
R1 a, R2 a, R3 a, Rc, R1 d, R2 d, R3 d и R4 d имеют значения, указанное выше для соединений общей формулы 1.1-1.5.
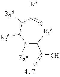
20. Способ получения азогетероциклов общей формулы 1.6 по п.3 взаимодействием в среде органического растворителя изонитрила общей формулы В2, первичного амина общей формулы В3 и бифункционального реагента общей формулы 4.7, либо необязательно N-защищенной аминокислоты общей формулы 4.1 и галогенкарбонильных соединений общей формулы 4.6 с последующей циклизацией образующихся аддуктов, причем для получения соединений общей формулы 1.6, в которых Rb и Rc вместе представляют собой аминоцианометилен =C(NHR3 a)CN, реакции проводят в присутствии кислотного катализатора
    
где R1 a, R2 a, R3 a, Rc, R1 d, R2 d и R3 d имеют значение, указанное выше для азагетероциклов общей формулы 1.6; R’ представляет собой водород или (СН3)3СОС(О).
21. Способ получения азепанов общей формулы 1.7 по п.6 взаимодействием бифункционального реагента общей формулы 4.8, изонитрила общей формулы В2 и первичного амина общей формулы В3 в среде органического растворителя, причем для получения соединений общей формулы 1.7, в которых Rb и Rc вместе представляют собой аминоцианометилен C(NHR3 a)CN, реакции проводят в присутствии кислотного катализатора

где R1 a, R3 a, Rc, R1 d, R2 d, R3 d и R4 d имеют значение, указанное выше для азагетероциклов общей формулы 1.7.
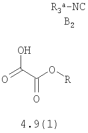
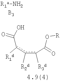
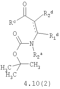
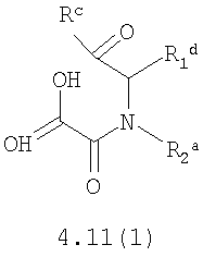
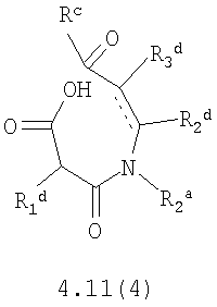
22. Способ получения азагетероциклов общей формулы 1.8-1.15 по п.8 взаимодействием изонитрила общей формулы B2, первичного амина общей формулы В3 в среде органического растворителя и моноэфира дикарбоновой кислоты общей формулы 4.9(1-4) и необязательно защищенного амино-карбонильного соединения общей формулы 4.10(1-3) с последующей циклизацией образующихся аддуктов или бифункционального реагента общей формулы 4.11(1-8), причем для получения соединений общей формулы 1.8-1.15, в которых Rb и Rc вместе представляют собой аминоцианометилен C(NHR3 a)CN, реакции проводят в присутствии кислотного катализатора
   
  
   
   
где R1 a, R2 a, R3 a, Rc, R1 d, R2 d, R3 d, R4 d и R5 d имеют значение, указанное выше для азагетероциклов общей формулы 1.8-1.15.
23. Способ получения азогетероциклов общей формулы 1.16-1.18 по п.9 взаимодействием в среде органического растворителя изонитрила общей формулы В2, первичного амина общей формулы В3 и бифункционального реагента общей формулы 4.12(1-3), причем для получения соединений общей формулы 1.16-1.18, в которых Rb и Rc вместе представляют собой аминоцианометилен C(NHR3 a)CN, реакции проводят в присутствии кислотного катализатора
   
где R1 a, R2 a, R3 a, Rc, R1 d, R2 d, R3 d и R4 d имеют значение, указанное выше для азагетероциклов общей формулы 1.16-1.18.
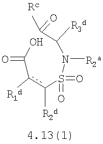
24. Способ получения азогетероциклов общей формулы 1.19, 1.20 по п.10 взаимодействием в среде органического растворителя изонитрила общей формулы В2, первичного амина общей формулы В3 и бифункционального реагента общей формулы 4.13(1,2), причем для получения соединений общей формулы 1.19, 1.20, в которых Rb и Rc вместе представляют собой аминоцианометилен C(NHR3 a)CN, реакции проводят в присутствии кислотного катализатора
   
где R1 a, R2 a, R3 a, Rc, R1 d, R2 d, R3 d и R4 d имеют значение, указанное выше для азагетероциклов общей формулы 1.19,1.20.
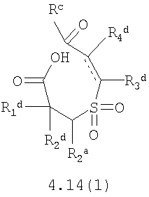
25. Способ получения азогетероциклов общей формулы 1.21, 1.22 по п.12 взаимодействием в среде органического растворителя изонитрила общей формулы В2, первичного амина общей формулы В3 и бифункционального реагента общей формулы 4.14(1,2), причем для получения соединений общей формулы 1.21, 1.22, в которых Rb и Rc вместе представляют собой аминоцианометилен C(NHR3 a)CN, реакции проводят в присутствии кислотного катализатора
   
где R1 a, R2 a, R3 a, Rc, R1 d, R2 d, R3 d и R4 d имеют значение, указанное выше для азагетероциклов общей формулы 1.21, 1.22.
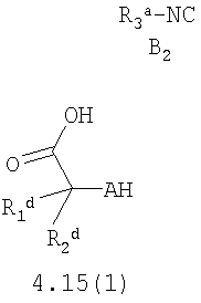
26. Способ получения азагетероциклов общей формулы 1.23-1.33 по п.14 взаимодействием изонитрила общей формулы B2, первичного амина общей формулы В3, замещенной кислоты общей формулы 4.15(1-4) и галоген-карбонильного соединения общей формулы 4.16(1-4) в среде органического растворителя с последующей циклизацией образующихся аддуктов, причем для получения соединений общей формулы 1.23-1.33, в которых Rb и Rc вместе представляют собой аминоцианометилен C(NHR3 a)CN, реакции проводят в присутствии кислотного катализатора
       
где R1 a, R3 a, Rc, R1 d, R2 d, R3 d, R4 d, R5 d, R6 d и А имеют значение, указанное выше для азагетероциклов общей формулы 1.23-1.33.
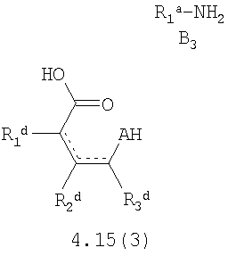
27. Способ получения азагетероциклов общей формулы 1.23-1.33 по п.14 взаимодействием изонитрила общей формулы В2, первичного амина общей формулы В3, соответствующей галогензамещенной кислоты общей формулы 4.17(1-4) и соответствующего замещенного карбонильного соединения общей формулы 4.18(1-4) в среде органического растворителя с последующей циклизацией образующихся аддуктов, причем для получения соединений общей формулы 1.23-1.33, в которых Rb и Rc вместе представляют собой аминоцианометилен C(NHR3 a)CN, реакции проводят в присутствии кислотного катализатора
   
   
где R1 a, R3 a, Rc, R1 d, R2 d, R3 d, R4 d, R5 d, R6 d и А имеют значение, указанное выше для азагетероциклов общей формулы 1.23-1.33.
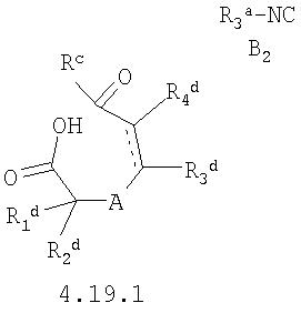
28.Способ получения азагетероциклов общей формулы 1.23-1.33 по п.14 взаимодействием изонитрила общей формулы В2, первичного амина общей формулы В3 и соответствующего бифункционального реагента общей формулы 4.19.1-4.19.11 в среде органического растворителя, причем для получения соединений общей формулы 1.23-1.33, в которых Rb и Rc вместе представляют собой аминоцианометилен C(NHR3 a)CN, реакции проводят в присутствии кислотного катализатора
   
   
  
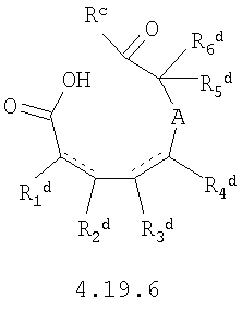
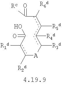
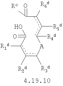
где R1 a, R3 a, Rc, R1 d, R2 d, R3 d, R4 d, R5 d, R6 d и А имеют значение, указанное выше для азагетероциклов общей формулы 1.23-1.33.
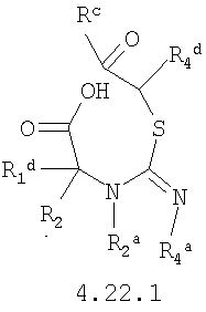
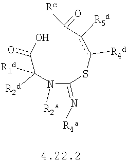
29. Способ получения азагетероциклов общей формулы 1.37, 1.39 по п.15 взаимодействием изонитрила общей формулы В2, первичного амина общей формулы В3, (2,3-дизамещенной-тиоуреидо)-уксусной кислоты общей формулы 4.20 и галоген-карбонильного соединения общей формулы 4.21.1 или 4.21.2 в среде органического растворителя с последующей циклизацией образующихся аддуктов, или бифункционального реагента общей формулы 4.22.1 или 4.22.2 в среде органического растворителя, причем для получения соединений общей формулы 1.37, 1.39, в которых Rb и Rc вместе представляют собой аминоцианометилен C(NHR4 a)CN, реакции проводят в присутствии кислотного катализатора
  
 
где R1 a, R2 a, R3 a, R4 a, Rc, R1 d, R2 d, R3 d, R4 d и R5 d имеют значение, указанное выше для азагетероциклов общей формулы 1.37, 1.39.
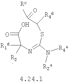
30. Способ получения азагетероциклов общей формулы 1.38, 1.40 по п.15 взаимодействием изонитрила общей формулы В2, первичного амина общей формулы В3 и галоген-карбонильного соединения общей формулы 4.21.1 или 4.21.2 и (3,3-дизамещенной-тиоуреидо)-уксусной кислоты общей формулы 4.23 в среде органического растворителя с последующей циклизацией образующихся аддуктов или бифункционального реагента общей формулы 4.24.1 или 4.24.2, причем для получения соединений общей формулы 1.38, 1.40, в которых Rb и Rc вместе представляют собой аминоцианометилен C(NHR4 a)CN, реакции проводят в присутствии кислотного катализатора
  

где R1 a, R2 a, R3 a, R4 a, Rc, R1 d, R2 d, R3 d, R4 d и R5 d имеют значение, указанное выше для азагетероциклов общей формулы 1.38, 1.40.
31. Способ получения азагетероциклов общей формулы 2.1-2.4 по п.16 взаимодействием карбонильного соединения общей формулы 4.26, изонитрила общей формулы В2 и бифункционального реагента общей формулы 4.27.1 или 4.27.2 в среде органического растворителя
 
 
где R1 a, R2 a, R3 a, R1 d, R2 d, R3 d, R4 d, R5 d, R6 d, R7 d и R8 d имеют значение, указанное выше для азагетероциклов общей формулы 2.1-2.4.
32. Способ получения азагетероциклов общей формулы 3.1, 3.2 по п.17 взаимодействием в среде органического растворителя изонитрила общей формулы B2, первичного амина общей формулы В3, карбонильного соединения общей формулы 4.26 и необязательно N-защищенной аминокислоты общей формулы 4.28
   
где R1 a, R2 a, R3 a, R1 d, R2 d, R3 d и R4 d имеют значение, указанное выше для азагетероциклов общей формулы 3.1, 3.2; R представляет собой атом водорода или (СН3)3СОС(О).
33. Комбинаторная библиотека для определения соединений-лидеров, состоящая из азагетероциклических соединений общей формулы 1 по п.1, и/или азагетероциклических соединений общей формулы 2.1, 2.2, 2.3 и 2.4 по п.16, и/или азагетероциклических соединений общей формулы 3.1 и 3.2 по п.17.
34. Фокусированная библиотека для определения соединений-лидеров, содержащая, по крайней мере, одно азагетероциклическое соединение общей формулы 1 по п.1, и/или азагетероциклическое соединение общей формулы 2.1, 2.2, 2.3 и 2.4 по п.16, и/или азагетероциклическое соединение общей формулы 3.1 и 3.2 по п.17.
35. Фармацевтическая композиция, обладающая антиканцерогенной активностью и предназначенная для получения лекарственных средств для лечения и предупреждения развития различных заболеваний животных и людей в форме таблеток, капсул или инъекций, помещенных в фармацевтически приемлемую упаковку, содержащая в качестве активной субстанции фармацевтически эффективное количество, по крайней мере, одного азагетероциклического соединения общей формулы 1 по п.1, и/или азагетероциклического соединения общей формулы 2.1, 2.2, 2.3 и 2.4 по п.16, и/или азагетероциклического соединения общей формулы 3.1 и 3.2 по п.17, или его фармацевтически приемлемой соли.
|
|