|
|
(21), (22) Заявка: 2004134559/04, 16.05.2003
(24) Дата начала отсчета срока действия патента:
16.05.2003
(30) Конвенционный приоритет:
21.05.2002 (пп.1-34) US 10/153328
(43) Дата публикации заявки: 10.07.2005
(46) Опубликовано: 10.03.2008
(56) Список документов, цитированных в отчете о поиске:
WO 0236162 А, 10.05.2002. WO 0100586 А, 04.01.2001. BARRIOS SOSA А С ET AL, JOURNAL OF ORGANIC CHEMISTRY, vol. 67, no. 13, pages 4498-4500, 10.05.2002. RU 2107062 С1, 20.03.1998.
(85) Дата перевода заявки PCT на национальную фазу:
21.12.2004
(86) Заявка PCT:
US 03/15441 (16.05.2003)
(87) Публикация PCT:
WO 03/099795 (04.12.2003)
Адрес для переписки:
191002, Санкт-Петербург, а/я 5, ООО “Ляпунов и партнеры”, пат.пов. Ю.В.Кузнецовой
|
(72) Автор(ы):
ЧОУ Кен (US), ХЕЙДЕЛБАУ Тодд (US), ДЖИЛ Даниэл В. (US), ГАРСТ Майкл Е. (US), УИЛЕР Ларри А. (US), НГАЙЕН Фонг Х. (US), ГОМЕЗ Дарио Г. (US)
(73) Патентообладатель(и):
АЛЛЕРГАН, ИНК. (US)
|
(54) 4-ЗАМЕЩЕННЫЕ ИМИДАЗОЛ-2-ТИОНЫ И ИМИДАЗОЛ-2-ОНЫ В КАЧЕСТВЕ АГОНИСТОВ АЛЬФА2B– И АЛЬФА2C– АДРЕНЕРГИЧЕСКИХ РЕЦЕПТОРОВ
(57) Реферат:
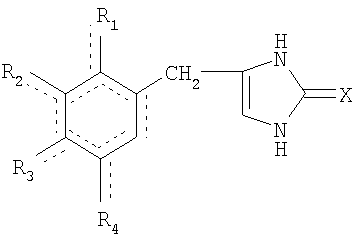
Изобретение относится к соединениям формулы

где переменная Y в кольце является необязательной и представляет собой гетероатом, выбранный из N, О и S, при условии, что атом N является трехвалентным, а атомы О или S – двухвалентными; k – целое число от 0 до 1; n – целое число, равное 0, 1 или 2; р – целое число, равное 0, 1 или 2; Х означает О или S; пунктирные линии представляют собой связь или ее отсутствие при условии, что в кольце имеется только одна двойная связь, а две примыкающие пунктирные линии связью не являются; R1, R2, R3 и R4 независимо представляют собой Н, фенил, где указанная фенильная группа необязательно независимо замещена одним, двумя или тремя заместителями – C1-6-алкилом, SO3Н, N3, галогеном, CN, NO2, NH2, C1-6-алкокси, C1-6-тиоалкокси, C1-6-алкиламиногруппой, C1-6-диалкиламиногруппой, С2-6-алкинилом, С2-C6-алкенилом; 5- или 6-членный гетероарил, содержащий от 1 до 3 гетероатомов, выбранных из О, S и N, где указанные гетероарильные группы необязательно независимо замещены одним, двумя или тремя заместителями – C1-6-алкилом, SO3Н, N3, галогеном, CN, NO2, NH2, C1-6-алкокси, C1-6-тиоалкокси, C1-6-алкиламиногруппой, C1-6-диалкиламиногруппой, С2-6-алкинилом, С2-6-алкенилом, или указанные группы R1, R2, R3 и R4 независимо представляют собой алкил, содержащий от 1 до 4 атомов угдерода, циклоалкил, содержащий от 3 до 5 атомов углерода, CH2CN, CH2SR5, CH2NR6R6, COR5, CH2OR5, OR6, SR6, NR6R6, алкенил, содержащий от 1 до 4 атомов углерода, алкинил, содержащий от 1 до 4 атомов углерода, циклоалкил, содержащий от 3 до 6 атомов углерода, фтор, хлор, бром, иод, CF3 или CN, атом кислорода, соединенный двойной связью с углеродом кольца, при условии, что примыкающая пунктирная линия внутри кольца означает отсутствие связи; R5 означает Н, OR7, алкил, содержащий от 1 до 4 атомов углерода, CF3, циклоалкил, содержащий от 3 до 6 атомов углерода, фенил, фенил, замещенный одной или двумя алкильными группами, содержащими от 1 до 4 атомов углерода, фтором, хлором, бромом, иодом или CF3, либо R5 представляет собой 5- или 6-членный гетероарил, содержащий от 1 до 3 гетероатомов, выбранных из О, S и N, и 5- или 6-членный гетероарил, содержащий от 1 до 3 гетероатомов, выбранных из О, S и N, замещенный одной или двумя алкильными группами, содержащими от 1 до 4 атомов углерода, фтором, хлором, бромом, иодом или CF3; R6 означает Н, алкил, содержащий от 1 до 4 атомов углерода, аллил, циклоалкил, содержащий от 3 до 6 атомов углерода, фенил, фенил, замещенный одной или двумя алкильными группами, содержащими от 1 до 4 атомов углерода, фтором, хлором, бромом, иодом или CF3, либо R6 представляет собой 5- или 6-членный гетероарил, содержащий от 1 до 3 гетероатомов, выбранных из О, S и N, либо 5- или 6-членный гетероарил, содержащий от 1 до 3 гетероатомов, выбранных из О, S и N, замещенный одной или двумя алкильными группами, содержащими от 1 до 4 атомов углерода, фтором, хлором, бромом, иодом или CF3; R7 означает Н, алкил, содержащий от 1 до 4 атомов углерода, аллил, циклоалкил, содержащий от 3 до 6 атомов углерода, фенил, фенил, замещенный одной или двумя алкильными группами, содержащими от 1 до 4 атомов углерода, фтором, хлором, бромом, иодом или CF3; R1 и R2 или R2 и R3, или R3 и R4 вместе могут образовывать кольцо с соответствующими атомами углерода, к которым они присоединены; фрагменты, представленные заместителями R1 и R2 или R2 и R3, или R3 и R4 имеют формулы (i), (ii), (iii), (iv) или (v)





где m – целое число от 0 до 3; R8 независимо представляет собой Н, алкил, содержащий от 1 до 6 атомов углерода, алкенил, содержащий от 2 до 6 атомов углерода, алкинил, содержащий от 2 до 6 атомов углерода, SO3Н, N3, CN, NO2, F, Cl, Br, I, CF3, COR9, CH2OR9, OR10; SR10, C1–6-алкиламиногруппу или C1–6-диалкиламиногруппу, R9 означает Н, алкил, содержащий от 1 до 6 атомов углерода, или OR10, и R10 независимо представляет собой Н или алкил, содержащий от 1 до 6 атомов углерода. Изобретение также относится к соединениям формулы
и ,
и к способу активации альфа2B– или альфа2C-адренергических рецепторов. Технический результат – получение новых биологически активных соединений, обладающих активностью в качестве агонистов альфа-2В и альфа-2С-адренергических рецепторов. 4 н. и 30 з.п. ф-лы, 5 табл.
Текст описания приведен в факсимильном виде.                                                                                                                                                      
Формула изобретения
1. Соединения формулы

где переменная Y в кольце является необязательной и представляет собой гетероатом, выбранный из N, О и S, при условии, что атом N является трехвалентным, а атомы О или S – двухвалентными;
k – целое число от 0 до 1;
n – целое число, равное 0, 1 или 2;
p – целое число, равное 0, 1 или 2;
Х означает О или S;
пунктирные линии представляют собой связь или ее отсутствие, при условии, что в кольце имеется только одна двойная связь, а две примыкающие пунктирные линии связью не являются;
R1, R2, R3 и R4 независимо представляют собой Н, фенил, где указанная фенильная группа необязательно независимо замещена одним, двумя или тремя заместителями – C1-6-алкилом, SO3Н, N3, галогеном, CN, NO2, NH2, C1-6-алкокси, С1-6-тиоалкокси, C1-6-алкиламиногруппой, C1-6-диалкиламиногруппой, С2-6-алкинилом, С2-6-алкенилом; 5- или 6-членный гетероарил, содержащий от 1 до 3 гетероатомов, выбранных из О, S и N, где указанные гетероарильные группы необязательно независимо замещены одним, двумя или тремя заместителями – С1-6-алкилом, SO3Н, N3, галогеном, CN, NO2, NH2, С1-6-алкокси, С1-6-тиоалкокси, C1-6-алкиламиногруппой, С1-6-диалкиламиногруппой, С2-6-алкинилом, С2-6-алкенилом,
или указанные группы R1, R2, R3 и R4 независимо представляют собой алкил, содержащий от 1 до 4 атомов угдерода, циклоалкил, содержащий от 3 до 5 атомов углерода, CH2CN, CH2SR5, CH2NR6R6, COR5, CH2OR5, OR6, SR6, NR6R6, алкенил, содержащий от 1 до 4 атомов углерода, алкинил, содержащий от 1 до 4 атомов углерода, циклоалкил, содержащий от 3 до 6 атомов углерода, фтор, хлор, бром, иод, CF3 или CN, атом кислорода, соединенный двойной связью с углеродом кольца, при условии, что примыкающая пунктирная линия внутри кольца означает отсутствие связи;
R5 означает Н, OR7, алкил, содержащий от 1 до 4 атомов углерода, CF3, циклоалкил, содержащий от 3 до 6 атомов углерода, фенил, фенил, замещенный одной или двумя алкильными группами, содержащими от 1 до 4 атомов углерода, фтором, хлором, бромом, иодом или CF3, либо R5 представляет собой 5- или 6-членный гетероарил, содержащий от 1 до 3 гетероатомов, выбранных из О, S и N, и 5- или 6-членный гетероарил, содержащий от 1 до 3 гетероатомов, выбранных из О, S и N, замещенный одной или двумя алкильными группами, содержащими от 1 до 4 атомов углерода, фтором, хлором, бромом, иодом или CF3;
R6 означает Н, алкил, содержащий от 1 до 4 атомов углерода, аллил, циклоалкил, содержащий от 3 до 6 атомов углерода, фенил, фенил, замещенный одной или двумя алкильными группами, содержащими от 1 до 4 атомов углерода, фтором, хлором, бромом, иодом или CF3, либо R6 представляет собой 5- или 6-членный гетероарил, содержащий от 1 до 3 гетероатомов, выбранных из О, S и N, либо 5- или 6-членный гетероарил, содержащий от 1 до 3 гетероатомов, выбранных из О, S и N, замещенный одной или двумя алкильными группами, содержащими от 1 до 4 атомов углерода, фтором, хлором, бромом, иодом или CF3;
R7 означает Н, алкил, содержащий от 1 до 4 атомов углерода, аллил, циклоалкил, содержащий от 3 до 6 атомов углерода, фенил, фенил, замещенный одной или двумя алкильными группами, содержащими от 1 до 4 атомов углерода, фтором, хлором, бромом, иодом или CF3;
R1 и R2, или R2 и R3, или R3 и R4 вместе могут образовывать кольцо с соответствующими атомами углерода, к которым они присоединены; фрагменты, представленные заместителями R1 и R2, или R2 и R3, или R3 и R4 имеют формулы (i), (ii), (iii), (iv) или (v)





где m – целое число от 0 до 3;
R8 независимо представляет собой Н, алкил, содержащий от 1 до 6 атомов углерода, алкенил, содержащий от 2 до 6 атомов углерода, алкинил, содержащий от 2 до 6 атомов углерода, SO3Н, N3, CN, NO2, F, Cl, Br, I, CF3, COR9, СН2OR9, OR10; SR10, C1-6-алкиламиногруппу или C1-6-диалкиламиногруппу,
R9 означает Н, алкил, содержащий от 1 до 6 атомов углерода, или OR10, и
R10 независимо представляет собой Н или алкил, содержащий от 1 до 6 атомов углерода,
причем если соединение является 2-(2-тиоксо-2,3-дигидро-1Н-имдазол-4-илметил)-3,4-дигидро-2Н-нафтален-1-оном, то оно представляет собой (-)S или (+)R изомер.
2. Соединение по п.1, где р равно единице.
3. Соединение по п.1, где р равно нулю.
4. Соединение по п.1, где [С(R10)]р означает СН2.
5. Соединение по п.1, где n равно нулю.
6. Соединение по п.1, где n равно единице.
7. Соединение по п.1, где n равно двум.
8. Соединение по п.1, где R1, R2, R3 и R4 независимо представляют собой водород, алкил, содержащий от 1 до 4 атомов углерода, оксогруппу, этинил, CH2CN, Cl, Br или циклопропил.
9. Соединение по п.1, где R1 и R2, или R2 и R3, или R3 и R4 образуют 5- или 6-членное углеродное кольцо, которое является ароматическим, насыщенным или частично ненасыщенным.
10. Соединение по п.9, где R8 независимо представляет собой Н, алкил, содержащий от 1 до 4 атомов углерода, OR9, Cl, Br, I, F или CH2OH.
11. Соединение по п.1, где группы R1 и R2, или R2 и R3, или R3 и R4 образуют гетероароматическое кольцо, выбранное из группы, состоящей из пиридила, тиенила, фурила, пирролила и имидазолила.
12. Соединение по п.11, где гетероароматическое кольцо в качестве гетероатома содержит один атом N.
13. Соединение по п.1, где Y означает S или О.
14. Соединение по п.1, где одна из групп R1, R2, R3 или R4 является фенилом или фенилом, независимо замещенным одной, двумя или тремя группами – С1-6-алкилом, SO3Н, N3, галогеном, CN, NO2, NH2, С1-6-алкокси, C1-6-тиоалкокси, C1-6-алкиламиногруппой, C1-6-диалкиламиногруппой, С2-6-алкинилом или С2-6-алкенилом.
15. Соединение по п.14, где фенильная группа замещена одним или двумя заместителями – алкилом, CN, NO2, F или алкокси.
16. Соединение по п.1, где одна из групп R1, R2, R3 или R4 является гетероарилом или гетероарилом, независимо замещенным одним, двумя или тремя заместителями – C1-6-алкилом, SO3Н, N3, галогеном, CN, NO2, NH2, C1-6-алкокси, С1-6-тиоалкокси, C1-6-алкиламиногруппой, C1–6-диалкиламиногруппой, С2-6-алкинилом, С2-6-алкенилом.
17. Соединение по п.16, где гетероарильная группа представляет собой тиенил или хлорзамещенный тиенил.
18. Соединение по п.1, где Х означает S.
19. Соединение по п.1, где Х означает SO.
20. Соединение формулы

где Х означает О или S;
пунктирные линии представляют собой связь или ее отсутствие, при условии что в кольце имеется только одна двойная связь, а две примыкающие пунктирные линии связью не являются;
R1, R2, R3 и R4 независимо представляют собой Н, фенил, который может быть независимо замещен одним, двумя или тремя заместителями – C1-6-алкилом, SO3Н, N3, галогеном, CN, NO2, NH2 C1-6-алкокси, C1-6-тиоалкокси, C1-6-алкиламиногруппой, C1-6-диалкиламиногруппой, С2-6-алкинилом, С2-6-алкенилом; или
указанные группы R1, R2, R3 и R4 независимо представляют собой алкил, содержащий от 1 до 4 атомов угдерода, циклоалкил, содержащий от 3 до 5 атомов углерода, CH2CN, СН2SR5, CH2NR6R6, COR5, СН2OR5, OR6, SR6, NR6R6, алкенил, содержащий от 1 до 4 атомов углерода, алкинил, содержащий от 1 до 4 атомов углерода, циклоалкил, содержащий от 3 до 6 атомов углерода, F, Cl, Br, I, CF3 или CN, атом кислорода, соединенный двойной связью с углеродом кольца, при условии что примыкающая пунктирная линия внутри кольца означает отсутствие связи;
R5 означает Н, OR7, алкил, содержащий от 1 до 4 атомов углерода, CF3, циклоалкил, содержащий от 3 до 6 атомов углерода, фенил, фенил, замещенный одной или двумя алкильными группами, содержащими от 1 до 4 атомов углерода, фтором, хлором, бромом, иодом или CF3;
R6 означает Н, алкил, содержащий от 1 до 4 атомов углерода, аллил, циклоалкил, содержащий от 3 до 6 атомов углерода, фенил, фенил, замещенный одной или двумя алкильными группами, содержащими от 1 до 4 атомов углерода, фтором, хлором, бромом, иодом или CF3, и
R7 означает Н, алкил, содержащий от 1 до 4 атомов углерода, аллил, циклоалкил, содержащий от 3 до 6 атомов углерода, фенил, фенил, замещенный одной или двумя алкильными группами, содержащими от 1 до 4 атомов углерода, фтором, хлором, бромом, иодом или CF3.
21. Соединение по п.20, где Х означает S.
22. Соединение формулы

где Х означает О или S;
пунктирные линии представляют собой связь или ее отсутствие, при условии, что в кольце имеется только одна двойная связь, а две примыкающие пунктирные линии связью не являются;
R1, R2, R3 и R4 независимо представляют собой Н, фенил, который может быть независимо замещен одним, двумя или тремя заместителями – C1-6-алкилом, SO3Н, N3, галогеном, CN, NO2, NH2, С1-6-алкокси, C1-6-тиоалкокси, С1-6-алкиламиногруппой, С1-6-диалкиламиногруппой, С2-6-алкинилом, С2-6-алкенилом; или
указанные группы R1, R2, R3 и R4 независимо представляют собой алкил, содержащий от 1 до 4 атомов угдерода, циклоалкил, содержащий от 3 до 5 атомов углерода, CH2CN, CH2SR5, CH2NR6R6, COR5, CH2OR5, OR6, SR6, NR6R6, алкенил, содержащий от 1 до 4 атомов углерода, алкинил, содержащий от 1 до 4 атомов углерода, циклоалкил, содержащий от 3 до 6 атомов углерода, F, Cl, Br, I, CF3 или CN, атом кислорода, соединенный двойной связью с углеродом кольца, при условии, что примыкающая пунктирная линия внутри кольца означает отсутствие связи;
R5 означает Н, OR7, алкил, содержащий от 1 до 4 атомов углерода, CF3, циклоалкил, содержащий от 3 до 6 атомов углерода, фенил, фенил, замещенный одной или двумя алкильными группами, содержащими от 1 до 4 атомов углерода, фтором, хлором, бромом, иодом или CF3;
R6 означает Н, алкил, содержащий от 1 до 4 атомов углерода, аллил, циклоалкил, содержащий от 3 до 6 атомов углерода, фенил, фенил, замещенный одной или двумя алкильными группами, содержащими от 1 до 4 атомов углерода, фтором, хлором, бромом, иодом или CF3, и
R7 означает Н, алкил, содержащий от 1 до 4 атомов углерода, аллил, циклоалкил, содержащий от 3 до 6 атомов углерода, фенил, фенил, замещенный одной или двумя алкильными группами, содержащими от 1 до 4 атомов углерода, фтором, хлором, бромом, иодом или CF3.
23. Соединение по п.22, где Х означает S.
24. Соединение по п.23, имеющее формулу

25. Способ активации альфа2B– или альфа2C-адренергических рецепторов млекопитающих при необходимости такой активации, включающий введение млекопитающему фармацевтической композиции, содержащей терапевтически эффективную дозу соединения по п.1.
26. Способ по п.25, где фармацевтическую композицию вводят млекопитающему для облегчения боли.
27. Способ по п.25, где фармацевтическую композицию вводят млекопитающему для облегчения хронической боли.
28. Способ по п.25, где фармацевтическую композицию вводят млекопитающему для облегчения аллодинии.
29. Способ по п.25, где фармацевтическую композицию вводят перорально.
30. Способ по п.25, где фармацевтическую композицию вводят внутрибрюшинно.
31. Способ по п.25, где млекопитающему вводят композицию для лечения состояния, выбранного из группы, состоящей из хронической боли, висцеральной боли, невропатической боли, корнеальной боли, глаукомы, повышенного внутриглазного давления, ишемических невропатий, нейродегенеративных заболеваний, диареи, заложенности носа, мышечной спастичности, диуреза, синдрома отмены, нейродегенеративных заболеваний, оптической нейропатии, спинальной ишемии, удара, дефицита памяти и когнитивного дефицита, дефицита внимания, психозов, маниакальных расстройств, тревожности, депрессии, гипертензии, застойной сердечной недостаточности, кардиальной ишемии, артрита, спондилита, подагрического артрита, остеоартрита, ювенильного артрита, автоиммунных заболеваний, красной волчанки, хронических желудочно-кишечных воспалений, болезни Кроуна, гастритов, синдрома раздраженной толстой кишки, функциональной диспепсии и неспецифического язвенного колита.
32. Способ по п.31, где млекопитающему вводят композицию для лечения глаукомы.
33. Способ по п.31, где млекопитающему вводят композицию для лечения невропатий или нейродегенеративных заболеваний.
34. Способ по п.31, где млекопитающему вводят композицию для лечения мышечной спастичности.
|
|