Патент на изобретение №2318813
|
||||||||||||||||||||||||||
(54) СПОСОБЫ ПОЛУЧЕНИЯ ОПТИЧЕСКИ ЧИСТЫХ (S)-(+) И/ИЛИ (R)-(-)-ИЗОМЕРОВ 10, 11-ДИГИДРО-10-ГИДРОКСИ-5H-ДИБЕНЗ[b,f]АЗЕПИН-5-КАРБОКСАМИДА, ИХ СООТВЕТСТВУЮЩИХ 10-АЦЕТОКСИПРОИЗВОДНЫХ И НОВЫЕ ПРОМЕЖУТОЧНЫЕ СОЕДИНЕНИЯ
(57) Реферат:
Описываются способ получения с высоким выходом (S)-(+)- и/или (R)-(-)-10,11-дигидро-10-гидрокси-5Н-дибенз[b,f]азепин-5-карбоксамида путем разделения соответствующего рацемического соединения с помощью ангидрида винной кислоты, способы получения соответствующих 10-ацетоксипроизводных и новые соединения формул. где R означают C1-6алкил. 10 н. и 6 з.п.ф-лы.
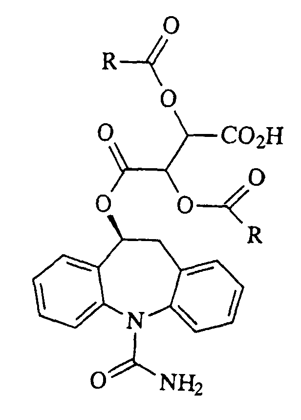
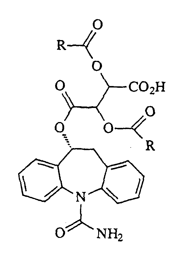
Данное изобретение относится к способу получения (S)-(+)- и (R)-(-)-изомеров 10,11-дигидро-10-гидрокси-5Н-дибенз[b,f]азепин-5-карбоксамида. В последние годы отмечают, что в фармацевтической промышленности значительно изменились взгляды на роль хиральных соединений. Ранее многие вещества, содержащие асимметрические центры, выпускались на рынок лекарств в виде рацемических смесей. Позже стали беспокоиться о безопасности таких рацемических лекарственных препаратов и/или их эффективности, что убедило промышленность проводить исследования лекарств, состоящих из одного стереоизомера, и разрабатывать такие лекарства. Эта озабоченность основана на понимании того, что лекарства в виде рацемических смесей можно рассматривать как лекарства, чистота которых составляет 50%, так как один изомер рацемической смеси часто является фармакологически инертным или значительно менее активным, чем другой изомер; более того, один из изомеров может обладать другим видом активности или быть причиной нежелательных побочных эффектов. Изомерные соединения могут претерпевать различные метаболические превращения, которые дополнительно осложняют фармакокинетические проблемы. Поэтому учреждения, регулирующие введение лекарств в практику, становятся все более осторожными и часто требуют предоставления краткой информации о свойствах и поведении индивидуальных изомеров. Особенно интересным примером в этом отношении является окскарбазепин (OXC), который является 10-кетоаналогом карбамазепина (CBZ). Эти два соединения очень похожи по структуре, и в настоящее время их используют для лечения эпилепсии. Окскарбазепин был создан как препарат, позволяющий избежать окислительной метаболической трансформации, происходящей в случае CBZ, и утверждают, что OXC является лекарством, которое лучше переносится больными (Grant, S.M. et al., Drugs, 43, 873-888 (1992)). Однако окскарбазепин претерпевает быстрый и полный метаболизм in vivo, превращаясь в рацемическое 10-гидроксипроизводное окскарбазепина, которое получило название “MHD” (см. (±)-MHD, Schutz, H. et al., Xenobiotika, 16(8), 769-778 (1986)) и, следовательно, представляет собой, по-видимому, ахиральное лекарство, которое в результате метаболической трансформации дает смесь двух фармакологически активных энантиомеров. Описаны синтез и повышенная противосудорожная активность (S)-(-)-10-ацетокси-10,11-дигидро-5Н-дибенз[b,f]азепин-5-карбоксамида (BIA 2-093), и (R)-(+)-10-ацетокси-10,11-дигидро-5Н-дибенз[b,f]азепин-5-карбоксамида (BIA 2-059); оба лекарства, состоящие из одного стереоизомера, специально разработаны для того, чтобы не допустить образования рацемических смесей активных метаболитов (Benes, J. et al., U.A. Patent № 5753646; Benes, J. et al., J. Med. Chem., 42, 2582-2587 (1999)). Ключевая стадия синтеза соединений (BIA 2-093) и (BIA 2-059) включает разделение рацемического 10,11-дигидро-10-гидрокси-5Н-дибенз[b,f]азепин-5-карбоксамида ((±)-MHD) на его индивидуальные оптически чистые стереоизомеры (S)-(+)-10,11-дигидро-10-гидрокси-5Н-дибенз[b,f]азепин-5-карбоксамид ((S)-(+)-MHD) и (R)-(-)-10,11-дигидро-10-гидрокси-5Н-дибенз[b,f]азепин-5-карбоксамид ((R)-(-)-MHD), которые являются основными промежуточными соединениями. Оба стереоизомера MHD являются известными соединениями и обычно используются в качестве стандартов при изучении метаболизма окскарбазепина. Разделение рацемического спирта ранее было описано в химической литературе (Benes, J. et al., J. Med. Chem., 42, 2582-2587 (1999); Volosov A., et al., Epilepsia 41(9), 1107-1111 (2000)). Эти способы разделения включают образование диастереоизомерных сложноэфирных производных ментоксиуксусной кислоты и (±)-MHD, эти диастереоизомерные сложные эфиры можно разделить путем дробной кристаллизации, используя их различную растворимость, а последующий гидролиз эфиров дает чистые индивидуальные стереоизомеры (S)-(+)-MHD и (R)-(-)-MHD. Однако этот способ использовали для получения только небольших количеств каждого из стереоизомеров и, кроме того, ему свойственны определенные недостатки, которые препятствуют его использованию в полузаводских масштабах и далее в промышленном производстве. Необходимые оптически чистые реагенты для разделения – (+)- и (-)-изомеры ментоксиуксусной кислоты чрезвычайно дороги, и достаточно большие количества этих соединений не являются легкодоступными из коммерческих источников. Можно было бы рассмотреть их получение из более дешевых, легкодоступных оптически чистых (+) или (-)-ментолов, но этот процесс является трудоемким, длительным и потенциально опасным. Кроме того, требуется “активация” этих ментоксиуксусных кислот для их реакции с (±)-MHD и образования ключевых промежуточных соединений – диастереоизомерных сложных эфиров ментоксиуксусной кислоты. Эта активация обычно достигается путем превращения свободных кислот в их хлорангидриды (эти хлорангидриды также являются очень дорогими продуктами при получении из коммерческих источников), при этом появляется дополнительная стадия синтеза, которая требует применения неприятных в работе галогенирующих агентов, таких как, например, тионилхлорид или оксалилхлорид. Или же эту реакцию можно осуществить, используя реагент реакции сочетания, например дициклогексилкарбодиимид. Этот реагент также является дорогим, кроме того, с ним трудно работать из-за его низкой температуры плавления, и имеются данные, что он является потенциальным кожным раздражителем, следовательно, дициклогексилкарбодиимид представляет собой угрозу для здоровья работающих с ним. Часто возникают трудности при полном удалении дициклогексилмочевины, побочного продукта при получении целевого продукта. Другим и очень серьезным ограничением этого метода является относительно низкий выход оптически чистого сложного эфира ментоксиуксусной кислоты, который после кристаллизации выделяют с выходом только немного больше 20% (причем максимальный выход для каждого изомера составляет 50%). Следовательно, на известном уровне техники не существует безопасного экономичного, эффективного (высокопродуктивного) и перспективного для увеличения его масштабов способа получения (S)-(+)-10,11-дигидро-10-гидрокси-5Н-дибенз[b,f]азепин-5-карбоксамида и (R)-(-)-10,11-дигидро-10-гидрокси-5Н-дибенз[b,f]азепин-5-карбоксамида. Цель данного изобретения состоит в создании усовершенствованного способа получения (S)-(+)-10,11-дигидро-10-гидрокси-5Н-дибенз[b,f]азепин-5-карбоксамида и (R)-(-)-10,11-дигидро-10-гидрокси-5Н-дибенз[b,f]азепин-5-карбоксамида. Еще одной целью данного изобретения является создание способа, который лишен недостатков, имеющихся у ранее известных способов. Авторы данного изобретения обнаружили, что можно выделять стереоизомеры (S)-(+)-MHD и (R)-(-)-MHD из рацемической смеси эффективным и высокопродуктивным способом, который включает использование ангидрида соответствующей винной кислоты для разделения стереоизомеров. Конкретно, авторы изобретения нашли, что ангидрид (2R,3R)-ди-О,О’-замещенной винной кислоты можно применять для осаждения диастереоизомерного предшественника (S)-(+)-MHD, а ангидрид (2S,3S)-ди-О,О’-замещенной винной кислоты можно применять для осаждения диастереоизомерного предшественника (R)-(-)-MHD. Согласно одному из аспектов данного изобретения представляется способ получения оптически чистого (S)-(+)-10,11-дигидро-10-гидрокси-5Н-дибенз[b,f]азепин-5-карбоксамида, состоящий из стадий: (1) реакции рацемического (±)-10,11-дигидро-10-гидрокси-5Н-дибенз[b,f]азепин-5-карбоксамида с ангидридом (2R,3R)-ди-O,O’-замещенной винной кислоты, которая дает разделяемую смесь диастереоизомерных сложных моноэфиров 10-О-ди-О,О’-замещенной винной кислоты и (±)-10,11-дигидро-10-гидрокси-5Н-дибенз[b,f]азепин-5-карбоксамида, где ангидрид (2R,3R)-ди-O,О’-замещенной винной кислоты имеет формулу:
(2) осаждения менее растворимого диастереоизомерного сложного моноэфира 10-О-ди-О,О’-замещенной винной кислоты, образованного на стадии (1), путем добавления воды и отделения продукта фильтрованием; и (3) гидролиза менее растворимого диастереоизомерного сложного моноэфира 10-О-ди-О,О’-замещенной винной кислоты, полученного на стадии (2), катализируемого основанием, который дает оптически чистый (S)-(+)-10,11-дигидро-10-гидрокси-5Н-дибенз[b,f]азепин-5-карбоксамид. Согласно еще одному аспекту данного изобретения представляется способ получения оптически чистого (R)-(-)-10,11-дигидро-10-гидрокси-5Н-дибенз[b,f]азепин-5-карбоксамида, состоящий из стадий: (1) реакции рацемического (±)-10,11-дигидро-10-гидрокси-5Н-дибенз[b,f]азепин-5-карбоксамида с ангидридом (2S,3S)-ди-O,О’-замещенной винной кислоты, которая дает разделяемую смесь (1:1) диастереоизомерных сложных моноэфиров 10-О-ди-О,О’-замещенной винной кислоты и (±)-10,11-дигидро-10-гидрокси-5Н-дибенз[b,f]азепин-5-карбоксамида, где ангидрид (2S,3S)-ди-O,О’-замещенной винной кислоты имеет формулу:
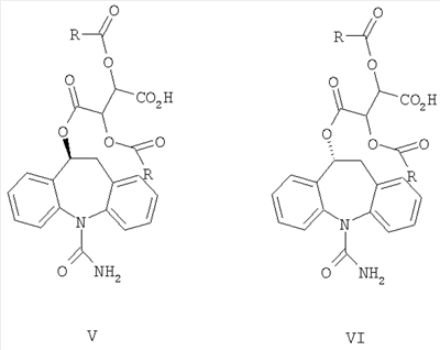
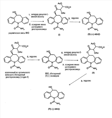
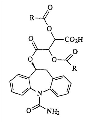
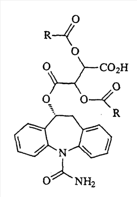
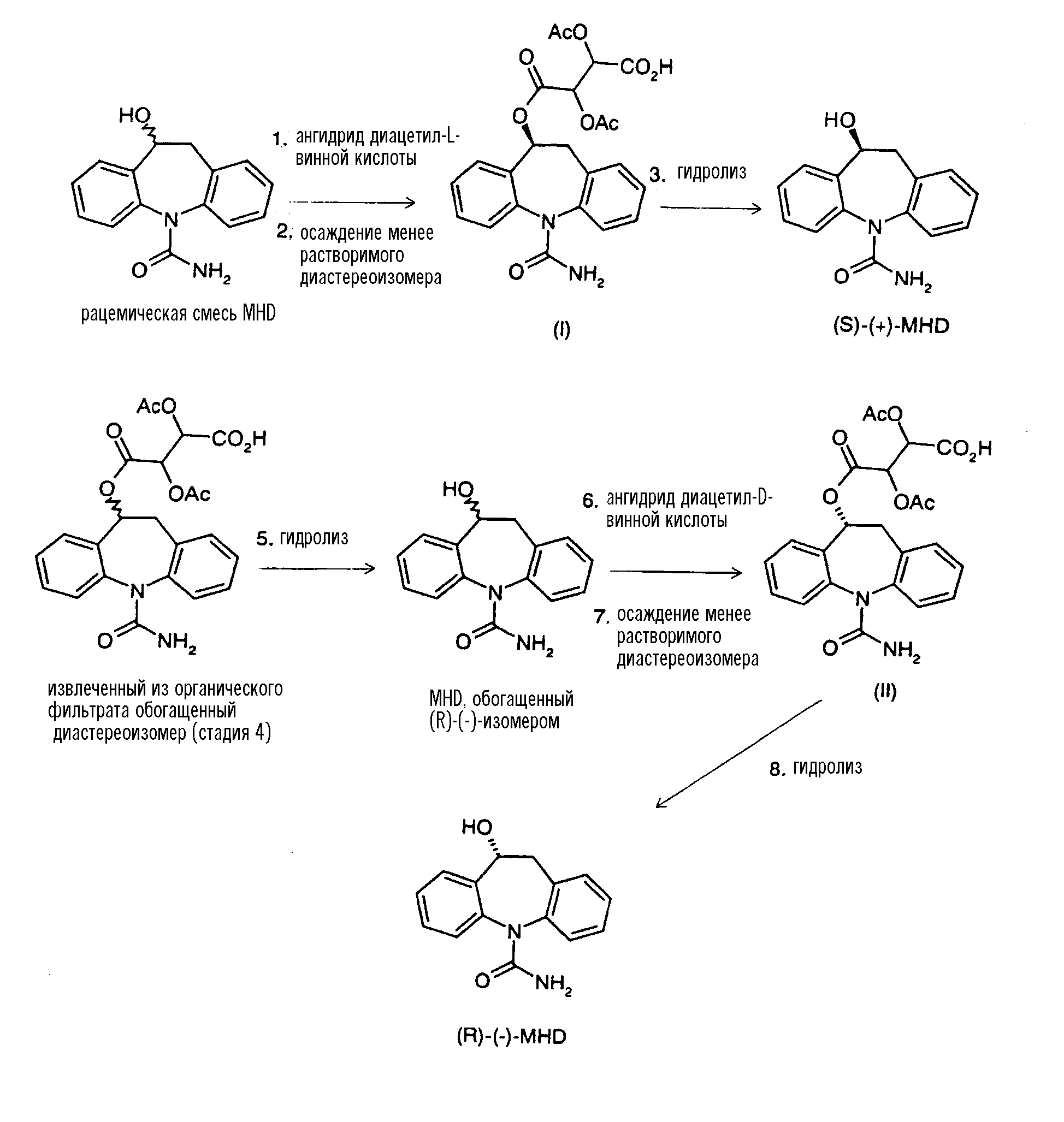
(2) осаждения менее растворимого диастереоизомерного сложного моноэфира 10-О-ди-О,О’-замещенной винной кислоты, полученного на стадии (1), путем добавления воды и отделения продукта фильтрованием; и (3) гидролиза менее растворимого диастереоизомерного сложного моноэфира 10-О-ди-О,О’-замещенной винной кислоты, полученного на стадии (2), катализируемого основанием, который дает оптически чистый (R)-(-)-10,11-дигидро-10-гидрокси-5Н-дибенз[b,f]азепин-5-карбоксамид. Более конкретно, изобретение относится к способу получения (S)-(+)-10,11-дигидро-10-гидрокси-5Н-дибенз[b,f]азепин-5-карбоксамида и (R)-(-)-10,11-дигидро-10-гидрокси-5Н-дибенз[b,f]азепин-5-карбоксамида разделением рацемического (±)-10,11-дигидро-10-гидрокси-5Н-дибенз[b,f]азепин-5-карбоксамида через восемь стадий, показанных ниже (которые следует рассматривать в сочетании с приведенной ниже схемой): (1) взаимодействие рацемического (±)-10,11-дигидро-10-гидрокси-5Н-дибенз[b,f]азепин-5-карбоксамида с ангидридом ди-О,О’-замещенной L-винной кислоты, таким как ангидрид [2R,3R]-ди-O,O’-ацетилвинной кислоты, с получением смеси (в основном 50:50) диастереоизомерных сложных моноэфиров диацетилвинной кислоты; (2) осаждение менее растворимого диастереоизомерного сложного моноэфира диацетилвинной кислоты (I), образованного на стадии (1) и отделение его фильтрованием;(3) катализируемый основанием гидролиз сложного моноэфира диацетилвинной кислоты, полученного на стадии (2), который дает оптически чистый (S)-(+)-10,11-дигидро-10-гидрокси-5Н-дибенз[b,f]азепин-5-карбоксамид; (4) извлечение из органического фильтрата, полученного на стадии (2), более растворимого диастереоизомерного сложного моноэфира диацетилвинной кислоты; (5) катализируемый основанием гидролиз более растворимого диастереоизомерного сложного моноэфира диацетилвинной кислоты, полученного на стадии (4), который дает 10,11-дигидро-10-гидрокси-5Н-дибенз[b,f]азепин-5-карбоксамид, обогащенный (R)-(-)-изомером; (6) взаимодействие обогащенного (R)-(-)-изомером 10,11-дигидро-10-гидрокси-5Н-дибенз[b,f]азепин-5-карбоксамида со стадии (5) с ангидридом ди-О,О’-замещенной D-винной кислоты, например, с ангидридом (2S,3S)-ди-О,О’-ацетилвинной кислоты с получением смеси диастереоизомерных сложных моноэфиров диацетилвинной кислоты; (7) осаждение менее растворимого диастереоизомерного сложного моноэфира диацетилвинной кислоты (II), образованного на стадии (6), и отделение его фильтрованием; (8) катализируемый основанием гидролиз сложного моноэфира диацетилвинной кислоты, полученного на стадии (7), который дает оптически чистый (R)-(-)-10,11-дигидро-10-гидрокси-5Н-дибенз[b,f]азепин-5-карбоксамид. На стадии (1) используют ангидрид (2R,3R)-ди-O,O’-замещенной винной кислоты, а на стадии (6) – ангидрид (2S,3S)-ди-O,O’-замещенной винной кислоты для получения диастереоизомерных сложных моноэфиров ацилированием (±)-MHD. Возможно изменение последовательности проведения стадий реакции таким образом, чтобы сначала получить (R)-(-)-10,11-дигидро-10-гидрокси-5Н-дибенз[b,f]азепин-5-карбоксамид, а затем (S)-(+)-10,11-дигидро-10-гидрокси-5Н-дибенз[b,f]азепин-5-карбоксамид. В данном изобретении ангидриды -ди-O,O’-замещенных винных кислот имеют следующую структурную формулу: где оба заместителя R одинаковы и представляют собой либо С1-С6 алкил (наиболее предпочтительно – метил), либо фенил. Авторы предпочитают, когда ангидрид винной кислоты является либо ангидридом (2R,3R)-ди-O,O’-ацетилвинной кислоты и его антиподом – ангидридом (2S,3S)-ди-O,O’-ацетилвинной кислоты, либо ангидридом (2R,3R)-ди-O,O’-бензоилвинной кислоты и его антиподом – ангидридом (2S,3S)-ди-O,O’-бензоилвинной кислоты. Эти ангидриды винных кислот являются известными соединениями и легко могут быть получены из винной кислоты, например, реакцией дешевой и легкодоступной L-(+)-винной или D-(-)-винной кислоты, соответственно, с уксусным ангидридом, катализируемой серной кислотой (Shriner, R.L. et al., Organic Synthesis, Collective Volume 4, 242-243). Применение этих соединений в качестве реагентов для разделения изомеров описано в способе, не имеющем отношения к данному изобретению (Varkonyi-Schlovicsko, E. et al., RO 100033 B1 and J. Heterocycl. Chem., 34(3), 1065-1066 (1997). Реакции на стадиях (1) и (6) предпочтительно проводят путем перемешивания рацемического спирта с небольшим избытком ангидрида соответствующей винной кислоты (1,1-1,2 молярных эквивалента) в присутствии органического основания, например, пиридина или триэтиламина, в по существу инертном растворителе, предпочтительно в хлорированном углеводородном растворителе, например дихлорметане. Реакцию проводят преимущественно при комнатной температуре, а когда реакция завершается (приблизительно через 1 час), к реакционной смеси добавляют воду. Смесь можно затем перемешивать при комнатной температуре в течение 12-18 ч, в это время происходит выпадение осадка менее растворимого диастереоизомерного сложного моноэфира диацетилвинной кислоты (стадия (2)). Осадок отфильтровывают и предпочтительно промывают водой (см. дальнейшее описание ниже), сушат и получают чистый диастереоизомерный сложный моноэфир диацетилвинной кислоты с высоким химическим выходом. Гидролиз этого чистого диастереоизомерного моноэфира диацетилвинной кислоты (стадия (3)) можно проводить путем перемешивания в спиртовом растворителе, например в метаноле, и добавления избытка неорганического основания, например гидроксида натрия или калия, предпочтительно в виде разбавленного (2-3н.) водного раствора (стадии (5) и (8) осуществляют аналогично). Реакцию проводят предпочтительно при комнатной температуре, после окончания реакции выпавший в осадок битартрат натрия легко удаляют фильтрованием, и он может быть повторно использован, если потребуется. К остатку предпочтительно добавляют воду и смесь выдерживают в течение 16-24 ч, в течение этого периода времени происходит кристаллизация оптически чистого спирта из смеси. Продукт отфильтровывают и промывают избытком воды. После сушки получают либо оптически чистый (S)-(+)-10,11-дигидро-10-гидрокси-5Н-дибенз[b,f]азепин-5-карбоксамид, либо его (R)-(-)-антипод, в зависимости от того, какой оптический изомер винной кислоты используют. Далее небольшие дополнительные количества почти оптически чистого спирта могут быть выделены из фильтрата экстракцией органическим(и) растворителем(ями), например, дихлорметаном или смесью дихлорметана и изопропанола, в которых этот спирт растворим. Если необходимо, объединенные порции полученного спирта можно перекристаллизовать из теплого спиртового растворителя, например, этанола, изопропанола, или из этилацетата, или спирт можно перекристаллизовать из смесей одного из этих растворителей с хлорированным растворителем, например дихлорметаном. После выдерживания в течение 16-24 ч оптически чистый спирт отфильтровывают, и после высушивания его химический выход составляет 80-90%. Оптическую чистоту продукта можно оценить поляриметрически или с помощью ВЭЖХ, используя хиральную колонку для анализа. Спирты, полученные этим способом, имеют оптическую чистоту от 92 до 98%, или 99%. В данном описании выражение “оптически чистый” означает соединения, оптическая чистота которых составляет 92-98%, а предпочтительно 92-99%. На стадии, описанной выше, где осадок отфильтровывают и предпочтительно промывают водой, органическую фазу фильтрата можно отделить, а водную фазу – экстрагировать органическим растворителем, например дихлорметаном. Затем экстракт можно высушить над безводным сульфатом натрия, растворитель – отогнать, предпочтительно при пониженном давлении, и получить остаток, который состоит главным образом из противоположного диастереоизомерного сложного моноэфира диацетилвинной кислоты (стадия 4), который затем можно гидролизовать (стадия 5), а потом обработать в той последовательности, какая описана в указанном выше способе, использующем соответствующий ангидрид оптически чистой винной кислоты в качестве агента для разделения изомеров (стадии 6-8), что приводит в конце концов к соответствующему оптически чистому спирту-антиподу. Согласно еще одному аспекту данного изобретения представляется способ получения соединения формулы III: где R1 является водородом, алкилом, галогеналкилом, аралкилом, циклоалкилом, циклоалкилалкилом, алкоксилом, арилом или пиридилом; где термин “алкил” означает линейную или разветвленную углеводородную цепь, содержащую от 1 до 18 атомов углерода; термин “галоген” означает фтор, хлор, бром или иод; термин “циклоалкил” означает алициклическую насыщенную группу, содержащую от 3 до 6 атомов углерода; и термин “арил” означает незамещенную фенильную группу или фенил, замещенный алкокси, галогеном или нитрогруппой; причем указанный способ включает образование (S)-(+)-10,11-дигидро-10-гидрокси-5Н-дибенз[b,f]азепин-5-карбоксамида способом, описанным выше; затем обработку (S)-(+)-10,11-дигидро-10-гидрокси-5Н-дибенз[b,f]азепин-5-карбоксамида для получения соединения формулы III. Соединение формулы I предпочтительно получают ацилированием (S)-(+)-10,11-дигидро-10-гидрокси-5Н-дибенз[b,f]азепин-5-карбоксамида. Согласно еще одному аспекту данного изобретения предлагается способ получения соединения формулы IV: где R1 является водородом, алкилом, галогеналкилом, аралкилом, циклоалкилом, циклоалкилалкилом, алкоксилом, арилом или пиридилом, где термин “алкил” означает линейную или разветвленную углеводородную цепь, содержащую от 1 до 18 атомов углерода; термин “галоген” означает фтор, хлор, бром или иод; термин “циклоалкил” означает алициклическую насыщенную группу, содержащую от 3 до 6 атомов углерода; и термин “арил” означает незамещенную фенильную группу или фенил, замещенный алкокси, галогеном или нитрогруппой, причем указанный способ включает образование (R)-(-)-10,11-дигидро-10-гидрокси-5Н-дибенз[b,f]азепин-5-карбоксамида способом, описанным выше; затем обработку (R)-(-)-10,11-дигидро-10-гидрокси-5Н-дибенз[b,f]азепин-5-карбоксамида для получения соединения формулы IV. Соединение формулы II предпочтительно получают ацилированием (R)-(-)-10,11-дигидро-10-гидрокси-5Н-дибенз[b,f]азепин-5-карбоксамида. Соединения формул III и IV описаны более подробно в патенте США авторов данной заявки (патент США № 5753646), содержание которого включено в данную заявку посредством ссылки. Способ можно использовать для получения оптически чистых стереоизомеров любого из соединений, описанных в патенте США № 5753646. Например, чтобы получить (S)-(+)-10-ацетокси-10,11-дигидро-5Н-дибенз[b,f]азепин-5-карбоксамид, можно добавить ацетилхлорид в дихлорметане к суспензии (S)-(+)-10,11-дигидро-10-гидрокси-5Н-дибенз[b,f]азепин-5-карбоксамида и пиридина в дихлорметане, как описано в примере 4 патента США № 5753646. (S)-(+)- и (R)-(-)-стереоизомеры соединений, описанных в примерах 4-17 патента США № 5753646, могут быть получены ацилированием соответствующим ацилгалогенидом. Соединения, описанные в примерах 18-23, могут быть получены при использовании соответствующих карбоновых кислот. Следовательно, применение данного изобретения делает возможным получение (S)-(+)- и (R)-(-)-стереоизомеров следующих соединений: (1) 10-ацетокси-10,11-дигидро-5Н-дибенз[b,f]азепин-5-карбоксамида; (2) 10-бензоилокси-10,11-дигидро-5Н-дибенз[b,f]азепин-5-карбоксамида; (3) 10-(4-метоксибензоилокси)-10,11-дигидро-5Н-дибенз[b,f]азепин-5-карбоксамида; (4) 10-(3-метоксибензоилокси)-10,11-дигидро-5Н-дибенз[b,f]азепин-5-карбоксамида; (5) 10-(2-метоксибензоилокси)-10,11-дигидро-5Н-дибенз[b,f]азепин-5-карбоксамида; (6) 10-(4-нитробензоилокси)-10,11-дигидро-5Н-дибенз[b,f]азепин-5-карбоксамида; (7) 10-(3-нитробензоилокси)-10,11-дигидро-5Н-дибенз[b,f]азепин-5-карбоксамида; (8) 10-(2-нитробензоилокси)-10,11-дигидро-5Н-дибенз[b,f]азепин-5-карбоксамида; (9) 10-(4-хлорбензоилокси)-10,11-дигидро-5Н-дибенз[b,f]азепин-5-карбоксамида; (10) 10-(3-хлорбензоилокси)-10,11-дигидро-5Н-дибенз[b,f]азепин-5-карбоксамида; (11) 10-(2-ацетоксибензоилокси)-10,11-дигидро-5Н-дибенз[b,f]азепин-5-карбоксамида; (12) 10-пропионилокси-10,11-дигидро-5Н-дибенз[b,f]азепин-5-карбоксамида; (13) 10-бутирилокси-10,11-дигидро-5Н-дибенз[b,f]азепин-5-карбоксамида; (14) 10-пивалоилокси-10,11-дигидро-5Н-дибенз[b,f]азепин-5-карбоксамида; (15) 10-[(2-пропил)пентаноилокси]-10,11-дигидро-5Н-дибенз[b,f]азепин-5-карбоксамида; (16) 10-[(2-этил)гексаноилокси]-10,11-дигидро-5Н-дибенз[b,f]азепин-5-карбоксамида; (17) 10-стеароилокси-10,11-дигидро-5Н-дибенз[b,f]азепин-5-карбоксамида; (18) 10-циклопентаноилокси-10,11-дигидро-5Н-дибенз[b,f]азепин-5-карбоксамида; (19) 10-циклогексаноилокси-10,11-дигидро-5Н-дибенз[b,f]азепин-5-карбоксамида; (20) 10-фенилацетокси-10,11-дигидро-5Н-дибенз[b,f]азепин-5-карбоксамида; (21) 10-(4-метоксифенил)ацетокси-10,11-дигидро-5Н-дибенз[b,f]азепин-5-карбоксамида; (22) 10-(3-метоксифенил)ацетокси-10,11-дигидро-5Н-дибенз[b,f]азепин-5-карбоксамида; (23) 10-(4-нитрофенил)ацетокси-10,11-дигидро-5Н-дибенз[b,f]азепин-5-карбоксамида; (24) 10-(3-нитрофенил)ацетокси-10,11-дигидро-5Н-дибенз[b,f]азепин-5-карбоксамида; (25) 10-никотиноилокси-10,11-дигидро-5Н-дибенз[b,f]азепин-5-карбоксамида; (26) 10-изоникотиноилокси-10,11-дигидро-5Н-дибенз[b,f]азепин-5-карбоксамида; (27) 10-хлорацетокси-10,11-дигидро-5Н-дибенз[b,f]азепин-5-карбоксамида; (28) 10-бромацетокси-10,11-дигидро-5Н-дибенз[b,f]азепин-5-карбоксамида; (29) 10-формилокси-10,11-дигидро-5Н-дибенз[b,f]азепин-5-карбоксамида; (30) 10-этоксикарбонилокси-10,11-дигидро-5Н-дибенз[b,f]азепин-5-карбоксамида; (31) 10-(2-хлорпропионилокси)-10,11-дигидро-5Н-дибенз[b,f]азепин-5-карбоксамида. Эти соединения или их фармацевтически приемлемые производные (например, соли) могут быть использованы для получения фармацевтических композиций, включающих само соединение или его производное в комбинации с фармацевтически приемлемым носителем. Такие композиции обладают противосудорожным действием, и их можно применять для лечения некоторых заболеваний центральной и периферической нервной системы, например эпилепсии. Согласно еще одному аспекту данного изобретения предлагается соединение формулы V: где оба заместителя R одинаковы и представляют собой либо С1-С6 алкил (наиболее предпочтительно – метил), либо фенил.Согласно еще одному аспекту данного изобретения предлагается соединение формулы VI: где оба заместителя R одинаковы и представляют собой либо С1-С6 алкил (наиболее предпочтительно – метил), либо фенил. Изобретение, раскрываемое в данной заявке поясняется следующими примерами получения. Понятно, что изобретение не может быть ограничено точными подробностями операций, поскольку очевидные модификации и эквиваленты будут понятны для специалистов, компетентных в данной области техники. Пример 1. Рацемический (±)-10,11-дигидро-10-гидрокси-5Н-дибенз[b,f]азепин-5-карбоксамид К перемешиваемой суспензии окскарбазепина (10,11-дигидро-10-оксо-5Н-дибенз[b,f]азепин-5-карбоксамида) (172,0 г, 0,682 моль) в смеси, состоящей из 96% этанола (700 мл) и воды (400 мл), при комнатной температуре добавляют порциями натрийборгидрид (20,0 г, 0,529 моль) в течение более 10 мин, что вызывает вспенивание реакционной смеси. После перемешивания при 45°С в течение 1 ч осторожно добавляют ацетон (150 мл). Реакционную смесь затем упаривают (40°С, в условиях давления, создаваемого водоструйным насосом) до объема приблизительно 500 мл. К полутвердому остатку при перемешивании добавляют воду (2000 мл) и реакционную смесь выдерживают при 5°С в течение 16 ч. Кристаллический продукт отфильтровывают, промывают водой (1000 мл), сушат до постоянной массы и получают рацемический (±)-10,11-дигидро-10-гидрокси-5Н-дибенз[b,f]азепин-5-карбоксамид (157,8 г, 91%) с т.пл. 185-188°С. Пример 2. S-(+)-10,11-дигидро-10-гидрокси-5Н-дибенз[b,f]азепин-5-карбоксамид К перемешиваемой при комнатной температуре смеси L-(+)-винной кислоты (36,0 г, 0,24 моль) и уксусного ангидрида (95,3 г, 0,933 моль) добавляют две капли 96% серной кислоты. Через две минуты начинается экзотермическая реакция, и температура поднимается до 80°С. Затем реакционную смесь нагревают и кипятят с обратным холодильником в течение 10 мин, при этом летучие компоненты удаляются отгонкой при 70°С в условиях давления, создаваемого водоструйным насосом. К получившейся полукристаллической массе добавляют толуол (50 мл) и повторяют удаление летучих веществ в тех же условиях. К остатку добавляют дополнительную порцию толуола (50 мл) и повторяют удаление в тех же условиях. К полученному полукристаллическому остатку, представляющему собой ангидрид (2R,3R)-ди-O,О’-замещенной винной кислоты (приблизительно 52,0 г), добавляют дихлорметан (500 мл), затем рацемический (±)-10,11-дигидро-10-гидрокси-5Н-дибенз[b,f]азепин-5-карбоксамид (50,8 г, 0,2 моль), пиридин (17,5 г, 0,221 моль) и 4-диметиламинопиридин (1,0 г, 0,008). Реакционную смесь перемешивают при комнатной температуре в течение 40 мин, затем добавляют воду (350 мл) и получившийся светло-коричневый раствор перемешивают в течение 12 ч при 18°С. Выпавшее в осадок твердое вещество отфильтровывают, промывают водой (5×50 мл), сушат до постоянной массы и получают промежуточный кристаллический диастереоизомерный сложный моноэфир диацетилвинной кислоты (I) (46,03 г, 98% в расчете на один диастереоизомер) с т.пл. 228-229°С. ([ К перемешиваемой суспензии этого моноэфира диацетилвинной кислоты (46,0 г, 0,098 моль) в метаноле (270 мл) при комнатной температуре добавляют водный раствор гидроксида натрия (3н., 133 мл, 0,4 моль) и полученную смесь перемешивают в течение 30 мин, при этом отфильтровывают выпавший в осадок битартрат натрия и промывают метанолом (40 мл). Метанол удаляют из объединенного фильтрата путем отгонки в условиях давления, создаваемого водоструйным насосом при 45°С. К остатку добавляют воду (400 мл) и выдерживают при 18°С в течение 16 ч. Затем кристаллический продукт отфильтровывают, промывают водой (2×50 мл), сушат до постоянной массы и получают белое твердое вещество (21,73 г, 87,4%). Объединенные фильтраты экстрагируют 10% раствором изопропанола в дихлорметане; органические экстракты промывают насыщенным солевым раствором (100 мл), сушат над безводным сульфатом натрия и фильтруют. Удаление растворителей (40°С, в условиях давления, создаваемого водоструйным насосом) дает дополнительную порцию того же продукта (2,14 г, 8,6%). Полученные порции продукта объединяют, растворяют в горячем этаноле (115 мл) и выдерживают при 5°С в течение 16 ч. Кристаллический продукт отфильтровывают, промывают холодным этанолом (25 мл), сушат до постоянной массы и получают (S)-(+)-10,11-дигидро-10-гидрокси-5Н-дибенз[b,f]азепин-5-карбоксамид (20,90 г, 84%) с т.пл. 187-189°С. ([ Пример 3. R-(-)-10,11-дигидро-10-гидрокси-5Н-дибенз[b,f]азепин-5-карбоксамид Фильтрат из примера 2 отделяют и его фазы разделяют. Водную фазу экстрагируют 10% раствором изопропанола в дихлорметане, объединенные органические фазы промывают насыщенным солевым раствором (100 мл), сушат над безводным сульфатом натрия и фильтруют. Удаление растворителя (40°С, под давлением, создаваемым водоструйным насосом) дает остаток, состоящий главным образом из другого – противоположного изомера диастереоизомерного моноэфира диацетилвинной кислоты (приблизительно 48,0 г), который не является оптически чистым. К перемешиваемой суспензии этого оптически неочищенного диастереоизомерного моноэфира диацетилвинной кислоты (48,0 г, 0,102 моль) в метаноле (280 мл) при комнатной температуре добавляют водный раствор гидроксида натрия (3н., 139 мл, 0,42 моль) и полученную смесь перемешивают в течение 30 мин, при этом отфильтровывают выпавший в осадок битартрат натрия и промывают метанолом (40 мл). Метанол удаляют из объединенного фильтрата выпариванием (45°С, давление, создаваемое водоструйным насосом), к остатку добавляют воду (350 мл) и выдерживают при 18°С в течение 16 ч. Затем кристаллический продукт отфильтровывают, промывают водой (2×50 мл), сушат до постоянной массы и получают белое твердое вещество (21,9 г, 84%). Объединенные фильтраты экстрагируют 10% раствором изопропанола в дихлорметане; органические экстракты промывают насыщенным солевым раствором (100 мл), сушат над безводным сульфатом натрия и фильтруют. Удаление растворителей в условиях давления, создаваемого водоструйным насосом (40°С) дает дополнительную порцию того же продукта (2,98 г, 11,5%). Полученные две порции продукта объединяют и получают обогащенный (R)-(-)-изомером 10,11-дигидро-10-гидрокси-5Н-дибенз[b,f]азепин-5-карбоксамид (24,88 г, 96%). К перемешиваемой при комнатной температуре смеси D-(-)-винной кислоты (17,57 г, 0,117 моль) и уксусного ангидрида (46,5 г.0,455 моль) добавляют две капли 96% серной кислоты. Через две минуты начинается экзотермическая реакция, и температура поднимается до 80°С. Затем реакционную смесь нагревают и кипятят с обратным холодильником в течение 10 мин, потом удаляют летучие компоненты отгонкой при 70°С в условиях давления, создаваемого водоструйным насосом. К получившейся полукристаллической массе добавляют толуол (50 мл) и повторяют удаление летучих веществ в тех же условиях. К остатку добавляют дополнительную порцию толуола (50 мл) и повторяют удаление в тех же условиях. К полученному полукристаллическому остатку (приблизительно 26 г) добавляют дихлорметан (250 мл), затем 10,11-дигидро-10-гидрокси-5Н-дибенз[b,f]азепин-5-карбоксамид, обогащенный R-(-)-изомером (24,8 г, 0,098 моль), пиридин (8,54 г, 0,108 моль) и 4-диметиламинопиридин (0,5 г, 0,004 моль). Реакционную смесь перемешивают при комнатной температуре в течение 40 мин, затем добавляют воду (180 мл) и получившийся светло-коричневый раствор перемешивают в течение 12 ч при 18°С. Выпавшее в осадок твердое вещество отфильтровывают, промывают водой (5×30 мл), сушат до постоянной массы и получают промежуточный кристаллический диастереоизомерный моноэфир диацетилвинной кислоты (II) (37,21 г, 81%) c т.пл. 228-229°С. ([ К перемешиваемой суспензии этого моноэфира диацетилвинной кислоты (37,0 г, 0,079 моль) в метаноле (220 мл) при комнатной температуре добавляют водный раствор гидроксида натрия (3н., 107 мл, 0,323 моль) и полученную смесь перемешивают в течение 30 мин, затем выпавший в осадок битартрат натрия отфильтровывают и промывают метанолом (30 мл). Метанол удаляют из объединенного фильтрата в условиях давления, создаваемого водоструйным насосом (при 45°С), к остатку добавляют воду (270 мл) и выдерживают при 18°С в течение 16 ч. Затем кристаллический продукт отфильтровывают, промывают водой (2×30 мл), сушат до постоянной массы и получают белое твердое вещество (17,79 г, 89%). Объединенные фильтраты экстрагируют 10% раствором изопропанола в дихлорметане; органические экстракты промывают насыщенным солевым раствором (100 мл), сушат над безводным сульфатом натрия и фильтруют. Удаление растворителя выпариванием (40°С, в условиях давления, создаваемого водоструйным насосом) дает дополнительную порцию того же продукта (0,72 г, 3,6%). Полученные порции продукта объединяют, растворяют в горячем этаноле (70 мл) и выдерживают в течение 16 ч при 5°С. Кристаллический продукт отфильтровывают, промывают холодным этанолом (10 мл), сушат до постоянной массы и получают (R)-(-)-10,11-дигидро-10-гидрокси-5Н-дибенз[b,f]азепин-5-карбоксамид (17,84 г, 89%) с т.пл. 187-189°С. ([ Понятно, что изобретение, описанное выше, может быть модифицировано.
Формула изобретения
1. Способ получения оптически чистого (S)-(+)-10,11-дигидро-10-гидрокси-5Н-дибенз[b,f]азепин-5-карбоксамида, содержащий стадии (1) взаимодействия рацемического (±)-10,11-дигидро-10-гидрокси-5Н-дибенз[b,f]азепин-5-карбоксамида с ангидридом (2R,3R)-ди-O,O’-замещенной винной кислоты общей формулы
где оба заместителя R одинаковы и представляют собой C1-С6алкил или фенил, с получением разделяемой смеси диастереоизомерных сложных моноэфиров 10-O-ди-O,O’-замещенной винной кислоты и (±)-10,11-дигидро-10-гидрокси-5Н-дибенз[b,f]азепин-5-карбоксамида; (2) осаждения менее растворимого диастереоизомерного сложного моноэфира 10-O-ди-O,O’-замещенной винной кислоты, образованного на стадии (1), путем добавления воды и отделения его фильтрованием; и (3) катализируемого основаниями гидролиза менее растворимого диастереоизомерного сложного моноэфира 10-O-ди-O,O’-замещенной винной кислоты, полученного на стадии (2), что дает оптически чистый (S)-(+)-10,11-дигидро-10-гидрокси-5Н-дибенз[b,f]азепин-5-карбоксамид. 2. Способ получения оптически чистого (R)-(-)-10,11-дигидро-10-гидрокси-5Н-дибенз[b,f]азепин-5-карбоксамида, содержащий стадии: (1) взаимодействия рацемического (±)-(-)-10,11-дигидро-10-гидрокси-5Н-дибенз[b,f]азепин-5-карбоксамида с ангидридом (2S,3S)-ди-O,O’-замещенной винной кислоты общей формулы:
где оба заместителя R одинаковы и представляют собой C1-С6алкил или фенил, с получением разделяемой смеси диастереоизомерных сложных моноэфиров 10-O-ди-O,O’-замещенной винной кислоты; (2) осаждения менее растворимого диастереоизомерного сложного моноэфира 10-O-ди-O,O’-замещенной винной кислоты, полученного на стадии (1) путем добавления воды и отделения его фильтрованием; и (3) катализируемого основаниями гидролиза менее растворимого сложного моноэфира 10-O-ди-O,O’-замещенной винной кислоты, полученного на стадии (2), что дает оптически чистый (R)-(-)-10,11-дигидро-10-гидрокси-5Н-дибенз[b,f]азепин-5-карбоксамид. 3. Способ получения оптически чистых (S)-(+)-10,11-дигидро-10-гидрокси-5Н-дибенз[b,f]азепин-5-карбоксамида и (R)-(-)-10,11-дигидро-10-гидрокси-5Н-дибенз[b,f]азепин-5-карбоксамида, состоящий из стадий: (1) взаимодействия рацемического (±)-10,11-дигидро-10-гидрокси-5Н-дибенз[b,f]азепин-5-карбоксамида с ангидридом (2R,3R)-ди-O,O’-замещенной винной кислоты, общей формулы
где оба заместителя R одинаковы и представляют собой C1-С6алкил или фенил, с получением разделяемой смеси диастереоизомерных сложных моноэфиров 10-O-ди-O,O’-замещенной винной кислоты и (±) 10,11-дигидро-10-гидрокси-5Н-дибенз[b,f]азепин-5-карбоксамида; (2) осаждения менее растворимого диастереоизомерного сложного моноэфира 10-O-ди-O,O’-замещенной винной кислоты, образованного на стадии (1), путем добавления воды и последующего фильтрования с отделением осадка сложного моноэфира 10-O-ди-O,O’-замещенной винной кислоты от фильтрата, содержащего как органическую, так и водную фазу; (3) катализируемого основаниями гидролиза менее растворимого диастереоизомерного сложного моноэфира 10-O-ди-O,O’-замещенной винной кислоты, полученного на стадии (2), что дает оптически чистый (S)-(+)-10,11-дигидро-10-гидрокси-5Н-дибенз[b,f]азепин-5-карбоксамид; (4) извлечения более растворимого диастереоизомерного сложного моноэфира 10-O-ди-O,O’-замещенной винной кислоты из фильтрата, полученного на стадии (2); (5) катализируемого основаниями гидролиза извлеченного более растворимого диастереоизомерного сложного моноэфира 10-O-ди-O,O’-замещенной винной кислоты, полученного на стадии (4), с получением 10,11-дигидро-10-гидрокси-5Н-дибенз[b,f]азепин-5-карбоксамида, обогащенного (R)-(-)-изомером; (6) реакции 10,11-дигидро-10-гидрокси-5Н-дибенз[b,f]азепин-5-карбоксамида, обогащенного (R)-(-)-изомером, полученного на стадии (5), с ангидридом (2S,3S)-ди-O,O’-замещенной винной кислоты, общей формулы
где оба заместителя R одинаковы и представляют собой C1-С6алкил или фенил, с получением разделяемой смеси диастереоизомерных сложных моноэфиров 10-O-ди-O,O’-замещенной винной кислоты; (7) осаждения менее растворимого диастереоизомерного сложного моноэфира 10-O-ди-O,O’-замещенной винной кислоты, образованного на стадии (6), путем добавления воды и отделения его фильтрованием; и (8) катализируемого основаниями гидролиза менее растворимого сложного моноэфира 10-O-ди-O,O’-замещенной винной кислоты, полученного на стадии (7), с получением оптически чистого (R)-(-)-10,11-дигидро-10-гидрокси-5Н-дибенз[b,f]азепин-5-карбоксамида. 4. Способ получения оптически чистых (S)-(+)-10,11-дигидро-10-гидрокси-5Н-дибенз[b,f]азепин-5-карбоксамида и (R)-(-)-10,11-дигидро-10-гидрокси-5Н-дибенз[b,f]азепин-5-карбоксамида, содержащий стадии (1) взаимодействия рацемического (±)-10,11-дигидро-10-гидрокси-5Н-дибенз[b,f]азепин-5-карбоксамида с ангидридом (2S,3S)-ди-O,O’-замещенной винной кислоты, общей формулы
где оба заместителя R одинаковы и представляют собой C1-С6алкил или фенил, с получением разделяемой смеси диастереоизомерных сложных моноэфиров 10-O-ди-O,O’-замещенной винной кислоты и (±)-10,11-дигидро-10-гидрокси-5Н-дибенз[b,f]азепин-5-карбоксамида; (2) осаждения менее растворимого диастереоизомерного сложного моноэфира 10-O-ди-O,O’-замещенной винной кислоты, образованного на стадии (1), путем добавления воды и последующего фильтрования с отделением осадка сложного моноэфира 10-O-ди-O,O’-замещенной винной кислоты от фильтрата, содержащего как органическую, так и водную фазу; (3) катализируемого основаниями гидролиза менее растворимого диастереоизомерного сложного моноэфира 10-O-ди-O,O’-замещенной винной кислоты, полученного на стадии (2), с получением оптически чистого (R)-(-)-10,11-дигидро-10-гидрокси-5Н-дибенз[b,f] азепин-5-карбоксамида; (4) извлечения более растворимого диастереоизомерного сложного моноэфира 10-O-ди-O,O’-замещенной винной кислоты из фильтрата, полученного на стадии (2); (5) катализируемого основаниями гидролиза извлеченного более растворимого диастереоизомерного сложного моноэфира 10-O-ди-O,O’-замещенной винной кислоты, полученного на стадии (4), с получением 10,11-дигидро-10-гидрокси-5Н-дибенз[b,f]азепин-5-карбоксамида, обогащенного (S)-(+)-изомером; (6) взаимодействия 10,11-дигидро-10-гидрокси-5Н-дибенз[b,f|азепин-5-карбоксамида, обогащенного (S)-(+)-изомером, полученного на стадии (5), с ангидридом (2R,3R-)-ди-O,O’-замещенной винной кислоты, общей формулы
где оба заместителя R одинаковы и представляют собой C1-С6алкил или фенил, с получением разделяемой смеси диастереоизомерных сложных моноэфиров 10-O-ди-O,O’-замещенной винной кислоты; (7) осаждения менее растворимого диастереоизомерного сложного моноэфира 10-O-ди-O,O’-замещенной винной кислоты, полученного на стадии (6), путем добавления воды и отделения его фильтрованием; и (8) катализируемого основаниями гидролиза менее растворимого сложного моноэфира 10-O-ди-O,O’-замещенной винной кислоты, полученного на стадии (7), с получением оптически чистого (S)-(+)-10,11-дигидро-10-гидрокси-5Н-дибенз[b,f]азепин-5-карбоксамида. 5. Способ по пп.1, 3 или 4, в котором ангидрид (2R,3R)-ди-O,O’-замещенной винной кислоты является ангидридом (2R,3R)-ди-O,O’-ацетилвинной кислоты или ангидридом (2R,3R)-ди-O,O’-бензоилвинной кислоты. 6. Способ по пп.2, 3 или 4, в котором ангидрид (2S,3S)-ди-O,O’-замещенной винной кислоты является ангидридом (2S,3S)-ди-O,O’-ацетилвинной кислоты или ангидридом (2S,3S)-ди-O,O’-бензоилвинной кислоты. 7. Способ по любому из предшествующих пунктов, в котором стадии ацилирования (1) и/или (6) проводят в дихлорметане в присутствии пиридина. 8. Способ по любому из предшествующих пунктов, в котором основанием, используемым для стадий гидролиза (3), (5) и (8), является водный гидроксид натрия. 9. Способ получения соединения формулы III
где R1 является водородом, алкилом, галогеналкилом, аралкилом, циклоалкилом, циклоалкилалкилом, алкоксилом, арилом или пиридилом, где термин “алкил” означает линейную или разветвленную углеводородную цепь, содержащую от 1 до 18 атомов углерода; термин “галоген” означает фтор, хлор, бром или иод; термин “циклоалкил” означает алициклическую насыщенную группу, содержащую от 3 до 6 атомов углерода; и термин “арил” означает незамещенную фенильную группу или фенил, замещенный алкокси, галогеном или нитрогруппой, заключающийся в том, что получают (S)-(+)-10,11-дигидро-10-гидрокси-5Н-дибенз[b,f]азепин-5-карбоксамид способом по пп.1, 3 или 4, с последующим его ацилированием. 10. Способ получения (S)-(+)-10-ацетокси-10,11-дигидро-5Н-дибенз[b,f] азепин-5-карбоксамида, заключающийся в том, что получают (S)-(+)-10,11-дигидро-10-гидрокси-5Н-дибенз[b,f]азепин-5-карбоксамид способом по пп.1, 3 или 4 с последующим его ацилированием ацетилхлоридом. 11. Способ получения соединения формулы IV
где R1 является водородом, алкилом, галогеналкилом, аралкилом, циклоалкилом, циклоалкилалкилом, алкоксилом, арилом или пиридилом, где термин “алкил” означает линейную или разветвленную углеводородную цепь, содержащую от 1 до 18 атомов углерода; термин “галоген” означает фтор, хлор, бром или иод; термин “циклоалкил” означает алициклическую насыщенную группу, содержащую от 3 до 6 атомов углерода; и термин “арил” означает незамещенную фенильную группу или фенил, замещенный алкокси, галогеном или нитрогруппой, заключающийся в том, что получают (R)-(-)-10,11-дигидро-10-гидрокси-5Н-дибенз[b,f]азепин-5-карбоксамид способом по пп.2, 3 или 4 с последующим его ацилированием. 12. Способ получения (R)-(-)-10-ацетокси-10,11-дигидро-5Н-дибенз[b,f]азепин-5-карбоксамида, заключающийся в том, что получают (R)-(-)-10,11-дигидро-10-гидрокси-5Н-дибенз[b,f]азепин-5-карбоксамид способом по пп.2, 3 или 4 с последующим его ацилированием ацетилхлоридом. 13. Соединение формулы V где оба заместителя R представляют собой C1-С6алкил. 14. Соединение по п.13, в котором оба R являются метильной группой. 15. Соединение формулы VI: где оба заместителя R представляют собой C1-С6алкил. 16. Соединение по п.15, в котором оба R являются метильной группой.
PD4A – Изменение наименования обладателя патента СССР или патента Российской Федерации на изобретение
(73) Новое наименование патентообладателя:
Адрес для переписки:
Извещение опубликовано: 10.10.2009 БИ: 28/2009
|
||||||||||||||||||||||||||









]D 20=-37° (с=1, пиридин)). Фильтрат затем используют для получения (R)-(-)-MHD (Пример 3).





