Патент на изобретение №2318808
|
||||||||||||||||||||||||||||||||||||||||||||||||||||||||||||||||||||||||||||||||||||||||||||||||||||||||||||||||||||||||||||||||||||||||||||||||||||||||||||||||||||||||||||||||||||||||||||||||||||||||||||||||||||||||||||||||||||||||||
(54) НОВОЕ СОЕДИНЕНИЕ ИНДОЛИНА И ЕГО ПРИМЕНЕНИЕ В МЕДИЦИНЕ
(57) Реферат:
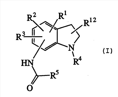
Изобретение относится к новым соединениям индолина формулы (I)
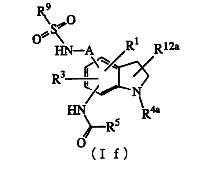
где R1 и R3 являются одинаковыми или различными и каждый означает Н, низшую алкильную группу или низшую алкоксигруппу; R2 означает -NO2, -NHSO2R6[R6 является С1-20алкильной группой, арильной группой или -NHR7 (R7 означает Н, -COR13 (R13 означает Н, низшую алкильную группу) или низшую алкоксикарбонильную группу)], -NHCONH2 или низшую алкильную группу, замещенную -NHSO2R6 [R6 является С1-20алкильной группой, арильной группой или -NHR7 (R7 означает Н, -COR13 (R13 означает Н, низшую алкильную группу) или низшую алкоксикарбонильную группу)]; R4 означает Н, С1-20алкильную группу, необязательно замещенную гидроксигруппой, -COR13 (R13 означает Н, низшую алкильную группу), низшую алкенильную группу, низший алкокси-низшую алкильную группу, низший алкилтио-низшую алкильную группу, С3-8циклоалкильную группу или С3-8циклоалкил С1-3алкильную группу; R5 означает С1-20алкильную группу, С3-8циклоалкильную группу или арильную группу; R12 означает Н, низшую алкильную группу, низший алкокси-низшую алкильную группу или низший алкилтио-низшую алкильную группу, причем арил представляет собой фенил или нафтил, или его фармацевтически приемлемая соль. Соединение обладает превосходным ингибирующим эффектом в отношении ацил-кофермента А: холестиринацилтрансферазы и превосходным ингибирующим эффектом в отношении липопероксидации, что позволяет использовать их в фармацевтических композициях. 4 н. и 27 з.п. ф-лы, 5 табл.
Область техники Настоящее изобретение относится к новому соединению индолина и его фармацевтическому применению. Конкретно, настоящее изобретение относится к новому соединению индолина, обладающему ингибирующей активностью в отношении ацил-CoA: холестеринацилтрансферазы (далее называемой ACAT) и ингибирующей активностью в отношении липопероксидации, или к его фармацевтическому применению. Уровень техники Хорошо известно, что артериосклероз является чрезвычайно существенным фактором, вызывающим различные болезни органов кровообращения, и были предприняты интенсивные исследования в данной области с целью добиться подавления развития артериосклероза или его регрессии. В последние годы стало понятно, что холестерин, содержащийся в крови, аккумулируется на стенках артерий в виде сложного эфира холестерина, что приводит к развитию артериосклероза. Следовательно, уменьшение уровня холестерина в крови вызывает уменьшение накопления сложного эфира холестерина на стенках артерий и эффективно подавляет развитие артериосклероза или приводит к его регрессии. В качестве фармацевтических средств, которые уменьшают количество холестерина в крови, используют ингибитор синтеза холестерина, ингибитор всасывания желчной кислоты и им подобные препараты, эффективность которых признана. Однако идеальное фармацевтическое средство, которое дает явный лечебный эффект и не обладает побочным действием, до сих пор не создано. Холестерин пищи этерифицируется в слизистой оболочке тонкого кишечника и поступает в кровь в виде хиломикрон. Известно, что ACAT играет важную роль в образовании сложного эфира холестерина в слизистой оболочке тонкого кишечника. Кроме того, ACAT этерифицирует холестерин, синтезированный в печени, который поступает в кровь в виде липопротеина очень низкой плотности (VLDL). Соответственно, полагают, что подавление этерификации холестерина за счет ингибирования ACAT в слизистой оболочке тонкого кишечника и в печени снижает уровень холестерина в крови. Существует потребность в фармацевтическом агенте, ингибирующем аккумуляцию холестерина непосредственно на стенках артерий, в качестве фармацевтического средства, которое более эффективно лечит или предотвращает артериосклероз, и исследования в этой области интенсивно развиваются. Идеальное фармацевтическое средство до сих пор не разработано. ACAT этерифицирует холестерин в макрофагах или гладкомышечных клетках стенок артерий и вызывает аккумуляцию сложного эфира холестерина. Следовательно, предполагается, что ингибирование ACAT на стенках артерий эффективно подавляет аккумуляцию сложного эфира холестерина. Из предшествующей информации сделан вывод, что на основе ингибитора ACAT, который приводит к подавлению поглощения холестерина в тонком кишечнике, подавлению секреции холестерина из печени и аккумуляции накопления холестерина на стенках артерий, можно изготовить эффективное фармацевтическое средство для лечения гиперлипемии и артериосклероза. Обычно имеются сообщения о таких, например, ингибиторах АСАТ, как производные амидов и мочевины [J. Med. Chem., 29:1131 (1986), публикации не прошедших экспертизу патентов Японии No 117651/1990, 7259/1991, 234839/1992, 327564/1992 и 32666/1993]. Однако создание и фармакологические свойства таких соединений исследованы далеко не достаточно. Прежде всего для указанных соединений не ясно, является ли достаточно эффективной в клинических условиях их способность снижать уровень холестерина в крови и подавлять аккумуляцию холестерина на стенках артерий, обусловленная ингибирующей активностью в отношении АСАТ, для подавления развития артериосклероза и его регрессии. Так как большинство обычных ингибиторов АСАТ обладают чрезвычайно высокой растворимостью в жирах, пероральное всасывание часто бывает низким, и в случае хорошего перорального всасывания существуют опасения, что в надпочечниках, печени и т.п. индуцируется органопатия. Кроме того, ингибитор АСАТ, обладающий высокой растворимостью в жирах и низкой всасываемостью может вызывать диарею. Между тем гипероксигенация липопротеина низкой плотности (LDL) также в большой степени ответственна за внутриклеточное включение холестерина, аккумулированного в виде сложного эфира холестерина на стенках артерий. Кроме того, известно, что гипероксигенация липидов в живом организме тесно связана с возникновением артериосклероза и цереброваскулярных и сердечно-сосудистых ишемических заболеваний. Соответственно, соединение, обладающее как ингибирующей активностью в отношении ACAT, так и ингибирующей активностью в отношении липопероксидации, весьма полезно в качестве фармацевтического средства, так как оно эффективно и определенно уменьшает аккумуляцию сложного эфира холестерина на стенках артерий и ингибирует липопероксидацию в живых организмах, осуществляя, таким образом, профилактику и лечение различных сосудистых заболеваний, вызванных указанными причинами. Следовательно, предметом данного изобретения является соединение, обладающее ингибирующей активностью в отношении ACAT и ингибирующей активностью в отношении липопероксидации, а также его фармацевтическое применение, конкретно в качестве ингибитора ACAT и ингибитора липопероксидации. Описание изобретения Авторы данного изобретения проводили тщательные исследования для достижения приведенных выше целей и обнаружили, что новое соединение индолина по данному изобретению не только обладает сильным ингибирующим действием в отношении ACAT, а также является ингибитором липопероксидации, обладает превосходной всасываемостью при пероральном введении и сильным антигиперлипидемическим и антиартериосклеротическим действием, которые в результате составляют данное изобретение. Соответственно, данное изобретение относится к 1) новому соединению индолина, представленному формулой (I) в которой R1 и R3 являются одинаковыми или различными и каждый представляет собой атом водорода, низшую алкильную группу или низшую алкоксигруппу, R2 представляет собой -NO2, -NHSO2R6 [R6 является алкильной группой, арильной группой или -NHR7 (R7 представляет собой атом водорода, -COR13 (R13 представляет собой атом водорода или низшую алкильную группу) или низшую алкоксикарбонильную группу)], -NHCONH2 или низшую алкильную группу, замещенную -NHSO2R6 [R6 является алкильной группой, арильной группой или -NHR7 (R7 представляет собой атом водорода, -COR13 (R13 представляет собой атом водорода или низшую алкильную группу) или низшую алкоксикарбонильную группу)], R4 представляет собой атом водорода, алкильную группу, необязательно замещенную гидроксигруппой, -COR13 (R13 представляет собой атом водорода или низшую алкильную группу), низшую алкенильную группу, низший алкокси-низшую алкильную группу, низший алкилтио-низшую алкильную группу, циклоалкильную группу или циклоалкилалкильную группу, R5 представляет собой алкильную группу, циклоалкильную группу или арильную группу, R12 представляет собой атом водорода, низшую алкильную группу, низший алкокси-низшую алкильную группу или низший алкилтио-низшую алкильную группу, или к его фармацевтически приемлемой соли; 2) новому соединению индолина, указанному выше в 1), где в формуле (I) R1 и R3 являются одинаковыми или различными и каждый представляет собой атом водорода, низшую алкильную группу или низшую алкоксигруппу, R2 представляет собой -NO2, -NHSO2R6 [R6 является алкильной группой, арильной группой или -NHR7 (R7 представляет собой атом водорода, -COR13 (R13 представляет собой атом водорода или низшую алкильную группу) или низшую алкоксикарбонильную группу)], -NHCONH2 или низшую алкильную группу, замещенную -NHSO2R6 [R6 является алкильной группой, арильной группой или -NHR7 (R7 представляет собой атом водорода, -COR13 (R13 представляет собой атом водорода или низшую алкильную группу) или низшую алкоксикарбонильную группу)], R4 представляет собой атом водорода, алкильную группу, циклоалкильную группу или циклоалкилалкильную группу, R5 представляет собой алкильную группу, циклоалкильную группу или арильную группу и R12 представляет собой атом водорода, или к его фармацевтически приемлемой соли; 3) новому соединению индолина, указанному выше в 1), где в формуле (I) R2 представляет собой -NHSO2R6 [R6 является алкильной группой или -NHR7 (R7 представляет собой атом водорода)], R4 представляет собой алкильную группу, необязательно замещенную гидроксигруппой, -COR13 (R13 представляет собой атом водорода или низшую алкильную группу), низшую алкенильную группу, низший алкокси-низшую алкильную группу или низший алкилтио-низшую алкильную группу, R5 представляет собой алкильную группу, R12 представляет собой атом водорода, низшую алкильную группу, низший алкокси-низшую алкильную группу или низший алкилтио-низшую алкильную группу, или к его фармацевтически приемлемой соли; 4) новому соединению индолина, указанному выше в 2), где в формуле (I) R2 представляет собой -NHSO2R6 [R6 является алкильной группой или -NHR7 (R7 представляет собой атом водорода)], или -NHCONH2, или к его фармацевтически приемлемой соли; 5) новому соединению индолина, указанному выше в 2), где в формуле (I) одна из групп R2 или -NHCOR5 находится в положении 5 индолина, а другая находится в положении 7 индолина, или к его фармацевтически приемлемой соли; 6) новому соединению индолина, указанному выше в 3), где в формуле (I) R2 находится в положении 5 индолина и NHCOR5 находится в положении 7 индолина, или к его фармацевтически приемлемой соли; 7) новому соединению индолина, указанному выше в 4), где в формуле (I) R2 находится в положении 5 индолина и -NHCOR5 находится в положении 7 индолина, или к его фармацевтически приемлемой соли; 8) новому соединению индолина, указанному выше в 6), где в формуле (I) R4 представляет собой низший алкокси-низшую алкильную группу или низший алкилтио-низшую алкильную группу и R12 представляет собой атом водорода или низшую алкильную группу, или к его фармацевтически приемлемой соли; 9) новому соединению индолина, указанному выше в 8), где в формуле (I) R1 и R3 представляют собой низшие алкильные группы, или к его фармацевтически приемлемой соли; 10) новому соединению индолина, указанному выше в 6), где в формуле (I) R12 находится в положении 2 индолина, или к его фармацевтически приемлемой соли; 11) новому соединению индолина, указанному выше в 10), где в формуле (I) R4 представляет собой алкильную группу, R12 представляет собой низший алкокси-низшую алкильную группу или низший алкилтио-низшую алкильную группу, или к его фармацевтически приемлемой соли; 12) новому соединению индолина, указанному выше в 11), где в формуле (I) R1 и R3 представляют собой низшие алкильные группы, или к его фармацевтически приемлемой соли; 13) новому соединению индолина, указанному выше в 7), где в формуле (I) R1 и R3 представляют собой низшие алкильные группы и R5 представляет собой алкильную группу, или к его фармацевтически приемлемой соли; 14) новому соединению индолина, указанному выше в 13), где в формуле (I) R2 представляет собой -NHSO2R6 (R6 представляет собой алкильную группу), или к его фармацевтически приемлемой соли; 15) новому соединению индолина, указанному выше в 13), где в формуле (I) R2 представляет собой -NHSO2R6 [R6 представляет собой -NHR7 (R7 представляет собой атом водорода)], или к его фармацевтически приемлемой соли; 16) новому соединению индолина указанному выше в 13), где в формуле (I) R2 представляет собой -NHCONH2, или к его фармацевтически приемлемой соли; 17) новому соединению индолина, указанному выше в 2), где соединение формулы (I) представляет собой любое из указанных ниже соединений (1)-(5) или его фармацевтически приемлемую соль: (1) N-(5-метансульфониламино-4,6-диметил-1-пропилиндолин-7-ил)-2,2-диметилпропанамид, (2) N-[5-метансульфониламино-4,6-диметил-1-(2-метилпропил)индолин-7-ил]-2,2-диметилпропанамид, (3) N-(1-бутил-5-метансульфониламино-4,6-диметилиндолин-7-ил)-2,2-диметилпропанамид, (4) N-5-метансульфониламино-4,6-диметил-1-(3-метилбутил)индолин-7-ил]-2,2-диметилпропанамид, (5) N-(5-метансульфониламино-4,6-диметил-1-пентилиндолин-7-ил)-2,2-диметилпропанамид; 18) новому соединению индолина, указанному выше в 2), где соединение формулы (I) представляет собой указанное ниже соединение (1) или (2) или его фармацевтически приемлемую соль: (1) N-(5-метансульфониламино-4,6-диметил-1-октилиндолин-7-ил)-2,2-диметилпропанамид, (2) N-(1-гексил-5-метансульфониламино-4,6-диметилиндолин-7-ил)-2,2-диметилпропанамид; 19) новому соединению индолина, указанному выше в 2), где соединение формулы (I) представляет собой указанное ниже соединение (1) или (2) или его фармацевтически приемлемую соль: (1) N-(1-этил-5-метансульфониламино-4,6-диметилиндолин-7-ил)-2,2-диметилпропанамид, (2) N-(5-метансульфониламино-1,4,6-триметилиндолин-7-ил)-2,2-диметилпропанамид; 20) новому соединению индолина, указанному выше в 2), где соединение формулы (I) представляет собой любое из указанных ниже соединений (1)-(6) или его фармацевтически приемлемую соль: (1) N-(4,6-диметил-1-октил-5-сульфамоиламиноиндолин-7-ил)-2,2-диметилпропанамид, (2) N-(4,6-диметил-1-пропил-5-сульфамоиламиноиндолин-7-ил)-2,2-диметилпропанамид, (3) N-(4,6-диметил-1-пентил-5-сульфамоиламиноиндолин-7-ил)-2,2-диметилпропанамид, (4) N-[4,6-диметил-1-(2-метилпропил)-5-сульфамоиламиноиндолин-7-ил]-2,2-диметилпропанамид, (5) N-(1-бутил-4,6-диметил-5-сульфамоиламиноиндолин-7-ил)-2,2-диметилпропанамид, (6) N-[4,6-диметил-1-(3-метилбутил)-5-сульфамоиламиноиндолин-7-ил]-2,2-диметилпропанамид; 21) новому соединению индолина, указанному выше в 2), где соединение формулы (I) представляет собой любое из указанных ниже соединений (1)-(7) или его фармацевтически приемлемую соль: (1) N-(7-метансульфониламино-1,4,6-триметилиндолин-5-ил)-2,2-диметилундеканамид, (2) N-(7-метансульфониламино-4,6-диметилиндолин-5-ил)-2,2-диметилундеканамид, (3) N-[7-(2-пропансульфониламино)-4,6-диметилиндолин-5-ил]-2,2-диметилундеканамид, (4) (N-[7-(2-пропансульфониламино)-4,6-диметилиндолин-5-ил]-2,2-диметилоктанамид, (5) N-[4,6-диметил-7-(п-толуол)сульфониламиноиндолин-5-ил]-2,2-диметилундеканамид, (6) N-(4,6-диметил-7-сульфамоиламиноиндолин-5-ил)-2,2-диметилундеканамид, (7) N-(4,6-диметил-7-уреидоиндолин-5-ил)-2,2-диметилундеканамид; 22) новому соединению индолина, указанному выше в 2), где соединение формулы (I) представляет собой любое из указанных ниже соединений (1)-(5) или его фармацевтически приемлемую соль: (1) N-(4,6-диметил-5-нитро-1-октилиндолин-7-ил)-2,2-диметилпропанамид, (2) N-(5-метансульфониламинометил-4,6-диметил-1-октилиндолин-7-ил)-2,2-диметилпропанамид, (3) N-(4,6-диметил-1-октил-5-уреидоиндолин-7-ил)-2,2-диметилпропанамид, (4) N-[5-(N-ацетилсульфамоиламино)-4,6-диметил-1-октилиндолин-7-ил]-2,2-диметилпропанамид, (5) N-[5-(N-метоксикарбонилсульфамоиламино)-4,6-диметил-1-октилиндолин-7-ил]-2,2-диметилпропанамид; 23) новому соединению индолина, указанному выше в 9) или 12), где в формуле (I) R2 представляет собой -NHSO2R6 (R6 означает алкильную группу), или к его фармацевтически приемлемой соли; 24) новому соединению индолина, указанному выше в 9) или 12), где в формуле (I) R2 представляет собой -NHSO2R6 [R6 означает -NHR7 (R7 представляет собой атом водорода)], или к его фармацевтически приемлемой соли; 25) новому соединению индолина, указанному выше в 2), где соединение формулы (I) представляет собой любое из указанных ниже соединений (1)-(6) или его фармацевтически приемлемую соль: (1) N-(1-изопропил-5-метансульфониламино-4,6-диметилиндолин-7-ил)-2,2-диметилпропанамид, (2) N-[1-(2,2-диметилпропил)-5-метансульфониламино-4,6-диметилиндолин-7-ил]-2,2-диметилпропанамид, (3) N-(1-циклобутилметил-5-метансульфониламино-4,6-диметилиндолин-7-ил)-2,2-диметилпропанамид, (4) N-(1-циклопентил-5-метансульфониламино-4,6-диметилиндолин-7-ил)-2,2-диметилпропанамид, (5) N-(1-циклопентил-4,6-диметил-5-сульфамоиламиноиндолин-7-ил)-2,2-диметилпропанамид, (6) N-(1-циклопропилметил-5-метансульфониламино-4,6-диметилиндолин-7-ил)-2,2-диметилпропанамид; 26) новому соединению индолина, указанному выше в 3), где соединение формулы (I) представляет собой N-[5-метансульфониламино-4,6-диметил-1-(3-метил-2-бутенил)индолин-7-ил]-2,2-диметилпропанамид или его фармацевтически приемлемую соль; 27) новому соединению индолина, указанному выше в 3), где соединение формулы (I) представляет собой любое из указанных ниже соединений (1)-(6) или его фармацевтически приемлемую соль: (1) N-[1-(2-этоксиэтил)-4,6-диметил-5-сульфамоиламиноиндолин-7-ил]-2,2-диметилпропанамид, (2) N-[1-(2-этоксиэтил)-2,4,6-триметил-5-сульфамоиламиноиндолин-7-ил]-2,2-диметилпропанамид, (3) N-[1-(2-метоксиэтил)-4,6-диметил-5-сульфамоиламиноиндолин-7-ил]-2,2-диметилпропанамид, (4) N-[1-(2-метоксиэтил)-2,4,6-триметил-5- сульфамоиламиноиндолин-7-ил]-2,2-диметилпропанамид, (5) гидрохлорид N-[1-(2-этилтиоэтил)-4,6-диметил-5- сульфамоиламиноиндолин-7-ил]-2,2-диметилпропанамида, (6) гидрохлорид N-[4,6-диметил-1-(2-метилтиоэтил)-5- сульфамоиламиноиндолин-7-ил]-2,2-диметилпропанамида; 28) новому соединению индолина, указанному выше в 3), где соединение формулы (I) представляет собой любое из указанных ниже соединений (1)-(4) или его фармацевтически приемлемую соль: (1) N-(2-метоксиметил-4,6-диметил-1-пропил-5-сульфамоиламиноиндолин-7-ил)-2,2-диметилпропанамид, (2) N-(2-этоксиметил-4,6-диметил-1-пропил-5-сульфамоиламиноиндолин-7-ил)-2,2-диметилпропанамид, (3) N-(2-метилтиометил-4,6-диметил-1-пропил-5-сульфамоиламиноиндолин-7-ил)-2,2-диметилпропанамид, (4) N-(2-этилтиометил-4,6-диметил-1-пропил-5-сульфамоиламиноиндолин-7-ил)-2,2-диметилпропанамид; 29) новому соединению индолина, указанному выше в 3), где соединение формулы (I) представляет собой указанное ниже соединение (1) или (2) или его фармацевтически приемлемую соль: (1) N-[1-(2-этоксиэтил)-5-метансульфониламино-4,6-диметилиндолин-7-ил]-2,2-диметилпропанамид, (2) N-[1-(2-метоксиэтил)-5-метансульфониламино-4,6-диметилиндолин-7-ил]-2,2-диметилпропанамид; 30) фармацевтической композиции, содержащей любое новое соединение индолина из указанных в 1)-29) или его фармацевтически приемлемую соль; 31) ингибитору ацил-кофермента А: холестеринацилтрансферазы, содержащему любое новое соединение индолина из указанных в 1)-29) или его фармацевтически приемлемую соль; 32) ингибитору липопероксидирования, содержащему любое новое соединение индолина из указанных в 1)-29) или его фармацевтически приемлемую соль. Варианты осуществления данного изобретения Ниже разъясняются все обозначения, которые использованы в данном описании. Низшая алкильная группа для R1, R3 или R13 предпочтительно содержит 1-6 атомов углерода и может быть линейной или разветвленной. Можно указать, например, метил, этил, пропил, изопропил, бутил, изобутил, втор-бутил, трет-бутил, пентил, изопентил, неопентил, гексил и т.п. Низшая алкоксигруппа для R1 или R3 предпочтительно содержит 1-6 атомов углерода и может быть линейной или разветвленной. Можно указать, например, метокси, этокси, пропокси, изопропокси, бутокси, изобутокси, втор-бутокси, трет-бутокси, пентокси, изопентокси, неопентилокси, гексилокси и им подобные. Низшая алкильная группа низшей алкильной группы, замещенной -NHSO2R6, для R2 предпочтительно содержит 1-6 атомов углерода и может быть линейной или разветвленной. Можно указать, например, метил, этил, пропил, бутил, пентил, гексил, 1-метилэтил, 1,1-диметилэтил, 2,2-диметилпропил и им подобные. Низшая алкильная группа замещена одной группой -NHSO2R6 в каком-либо замещаемом положении. Алкильная группа алкильной группы, необязательно замещенной гидроксигруппой, для R4 предпочтительно содержит 1-20 атомов углерода и может быть линейной или разветвленной. Можно указать, например, метил, этил, пропил, изопропил, бутил, изобутил, втор-бутил, трет-бутил, пентил, изопентил, неопентилгексил, гептил, октил, нонил, децил, ундецил, додецил, тридецил, тетрадецил, пентадецил, гексадецил, гептадецил, нонадецил, икозил, 1,1-диметилпропил, 1,1-диметилбутил, 1,1-диметилгексил, 1,1-диметилгептил, 3,3-диметилбутил, 4,4-диметилпентил и им подобные. Низшая алкильная группа замещена одной или двумя гидроксигруппами в замещаемых положениях. Низшая алкенильная группа для R4 предпочтительно содержит 3-6 атомов углерода и может быть линейной или разветвленной. Можно, например, указать 2-пропенил, 2-бутенил, 3-бутенил, 2-пентенил, 3-пентенил, 4-пентенил, 2-гексенил, 3-гексенил, 3-метил-2-бутенил и им подобные. Что касается низший алкокси-низшей алкильной группы для R4 или R12, ее низший алкоксиостаток предпочтительно содержит 1-6 атомов углерода и может быть линейным или разветвленным. Что касается низшего алкильного остатка, можно указать низшую алкильную группу, описанную выше. Например, можно указать метоксиметил, метоксиэтил, метоксипропил, метоксибутил, метоксипентил, метоксигексил, этоксиметил, этоксиэтил, этоксипропил, этоксибутил, пропоксиметил, пропоксиэтил, изопропоксиметил, изопропоксиэтил, бутоксиметилметил, бутоксиэтил и им подобные. Что касается низший алкилтио-низшей алкильной группы для R4 или R12, ее низший алкильный остаток низшего алкилтиоостатка предпочтительно содержит 1-6 атомов углерода и может быть линейным или разветвленным. Что касается низшего алкильного остатка, можно указать низшую алкильную группу, описанную выше. Например, можно указать метилтиометил, метилтиоэтил, метилтиопропил, метилтиобутил, этилтиоэтил, этилтиопропил, пропилтиометил, пропилтиоэтил, изопропилтиометил, изопропилтиоэтил, бутилтиометил, бутилтиоэтил, трет-бутилтиометил, трет-бутилтиоэтил, пентилтиометил, пентилтиоэтил, гексилтиометил и им подобные. Циклоалкильная группа для R4 или R5 предпочтительно содержит 3-8 атомов углерода. Например, можно указать циклопропил, циклобутил, циклопентил, циклогексил, циклогептил, циклооктил и им подобные. Что касается циклоалкилалкильной группы для R4, ее циклоалкильный остаток предпочтительно содержит 3-8 атомов углерода и алкильный остаток предпочтительно содержит 1-3 атома углерода. Можно, например, указать циклопропилметил, циклобутилметил, циклопентилметил, циклогексилметил, циклопропилэтил, циклопропилпропил, циклогептилметил, циклооктилметил и им подобные. Алкильная группа для R5 или R6 предпочтительно содержит 1-20 атомов углерода и может быть линейной или разветвленной. Можно указать, например, метил, этил, пропил, изопропил, бутил, изобутил, втор-бутил, трет-бутил, пентил, изопентил, неопентилгексил, гептил, октил, нонил, децил, ундецил, додецил, тридецил, тетрадецил, пентадецил, гексадецил, гептадецил, нонадецил, икозил, 1,1-диметилпропил, 1,1-диметилбутил, 1,1-диметилгексил, 1,1-диметилгептил, 3,3-диметилбутил, 4,4-диметилпентил и им подобные. Что касается арильной группы для R5 или R6, можно указать, например, фенильную, нафтильную группы и им подобные. Что касается низшей алкоксикарбонильной группы для R7, можно указать, например, метоксикарбонильную, этоксикарбонильную, пропоксикарбонильную, изопропоксикарбонильную, бутоксикарбонильную, изобутоксикарбонильную, втор-бутоксикарбонильную, трет-бутоксикарбонильную группы и им подобные. Конкретные примеры предпочтительного нового соединения индолина формулы (I) включают N-(5-метансульфониламино-4,6-диметил-1-пропилиндолин-7-ил)-2,2-диметилпропанамид, N-[5-метансульфониламино-4,6-диметил-1-(2-метилпропил)индолин-7-ил]-2,2-диметилпропанамид, N-(1-бутил-5-метансульфониламино-4,6-диметилиндолин-7-ил)-2,2-диметилпропанамид, N-[5-метансульфониламино-4,6-диметил-1-(3-метилбутил)индолин-7-ил]-2,2-диметилпропанамид, N-(5-метансульфониламино-4,6-диметил-1-пентилиндолин-7-ил)-2,2-диметилпропанамид, N-(5-метансульфониламино-4,6-диметил-1-октилиндолин-7-ил)-2,2-диметилпропанамид, N-(1-гексил-5-метансульфониламино-4,6-диметилиндолин-7-ил)-2,2-диметилпропанамид, N-(1-этил-5-метансульфониламино-4,6-диметилиндолин-7-ил)-2,2-диметилпропанамид, N-(5-метансульфониламино-1,4,6-триметилиндолин-7-ил)-2,2-диметилпропанамид, N-(4,6-диметил-1-октил-5-сульфамоиламиноиндолин-7-ил)-2,2-диметилпропанамид, N-(4,6-диметил-1-пропил-5-сульфамоиламиноиндолин-7-ил)-2,2-диметилпропанамид, N-(4,6-диметил-1-пентил-5-сульфамоиламиноиндолин-7-ил)-2,2-диметилпропанамид, N-[4,6-диметил-1-(2-метилпропил)-5-сульфамоиламиноиндолин-7-ил]-2,2-диметилпропанамид, N-(1-бутил-4,6-диметил-5-сульфамоиламиноиндолин-7-ил)-2,2-диметилпропанамид, N-[4,6-диметил-1-(3-метилбутил)-5-сульфамоиламиноиндолин-7-ил]-2,2-диметилпропанамид, N-(7-метансульфониламино-1,4,6-триметилиндолин-5-ил)-2,2-диметилундеканамид, N-(7-метансульфониламино-4,6-диметилиндолин-5-ил)-2,2-диметилундеканамид, N-[7-(2-пропансульфониламино)-4,6-диметилиндолин-5-ил]-2,2-диметилундеканамид, N-[7-(2-пропансульфониламино)-4,6-диметилиндолин-5-ил]-2,2-диметилоктанамид, N-[4,6-диметил-7-(п-толуол)сульфониламиноиндолин-5-ил]-2,2-диметилундеканамид, N-(4,6-диметил-7-сульфамоиламиноиндолин-5-ил)-2,2-диметилундеканамид, N-(4,6-диметил-7-уреидоиндолин-5-ил)-2,2-диметилундеканамид, N-(4,6-диметил-5-нитро-1-октилиндолин-7-ил)-2,2-диметилпропанамид, N-(5-метансульфониламинометил-4,6-диметил-1-октилиндолин-7-ил)-2,2-диметилпропанамид, N-(4,6-диметил-1-октил-5-уреидоиндолин-7-ил)-2,2-диметилпропанамид, N-[5-(N-ацетилсульфамоиламино)-4,6-диметил-1-октилиндолин-7-ил]-2,2-диметилпропанамид, N-[5-(N-метоксикарбонилсульфамоиламино)-4,6-диметил-1-октилиндолин-7-ил]-2,2-диметилпропанамид, N-(1-изопропил-5-метансульфониламино-4,6-диметилиндолин-7-ил)-2,2-диметилпропанамид, N-[1-(2,2-диметилпропил)-5-метансульфониламино-4,6-диметилиндолин-7-ил]-2,2–диметилпропанамид, N-(1-циклобутилметил-5-метансульфониламино-4,6-диметилиндолин-7-ил)-2,2-диметилпропанамид, N-(1-циклопентил-5-метансульфониламино-4,6-диметилиндолин-7-ил)-2,2-диметилпропанамид, N-[5-метансульфониламино-4,6-диметил-1-(3-метил-2-бутенил)индолин-7-ил]-2,2-диметилпропанамид, N-(1-циклопентил-4,6-диметил-5-сульфамоиламиноиндолин-7-ил)-2,2-диметилпропанамид, N-(1-циклопропилметил-5-метансульфониламино-4,6-диметилиндолин-7-ил)-2,2-диметилпропанамид, N-[1-(2-этоксиэтил)-4,6-диметил-5-сульфамоиламиноиндолин-7-ил]-2,2-диметилпропанамид, N-[1-(2-этоксиэтил)-2,4,6-триметил-5-сульфамоиламиноиндолин-7-ил]-2,2-диметилпропанамид, N-[1-(2-метоксиэтил)-4,6-диметил-5-сульфамоиламиноиндолин-7-ил]-2,2-диметилпропанамид, N-[1-(2-метоксиэтил)-2,4,6-триметил-5-сульфамоиламиноиндолин-7-ил]-2,2-диметилпропанамид, гидрохлорид N-[1-(2-этилтиоэтил)-4,6-диметил-5-сульфамоиламиноиндолин-7-ил]-2,2-диметилпропанамида, гидрохлорид N-[4,6-диметил-1-(2-метилтиоэтил)-5-сульфамоиламиноиндолин-7-ил]-2,2-диметилпропанамида, N-(2-метоксиметил-4,6-диметил-1-пропил-5-сульфамоиламиноиндолин-7-ил)-2,2-диметилпропанамид, N-(2-этоксиметил-4,6-диметил-1-пропил-5-сульфамоиламиноиндолин-7-ил)-2,2-диметилпропанамид, N-(2-метилтиометил-4,6-диметил-1-пропил-5-сульфамоиламиноиндолин-7-ил)-2,2-диметилпропанамид, N-(2-этилтиометил-4,6-диметил-1-пропил-5-сульфамоиламиноиндолин-7-ил)-2,2-диметилпропанамид, N-[1-(2-этоксиэтил)-5-метансульфониламино-4,6-диметилиндолин-7-ил]-2,2-диметилпропанамид, N-[1-(2-метоксиэтил)-5-метансульфониламино-4,6-диметилиндолин-7-ил]-2,2-диметилпропанамид и им подобные или его фармацевтически приемлемую соль. Соединение (I) может образовывать фармацевтически приемлемую соль. Когда соединение (I) содержит основную группу, могут образовываться кислотно-аддитивные соли, причем выбор кислоты, образующей кислотно-аддитивную соль, не имеет конкретных ограничений при условии, что кислота может образовывать соль с основной группой соединения (I) и является фармакологически приемлемой. В качестве таких кислот можно назвать неорганические кислоты, такие как хлористоводородная кислота, серная кислота, фосфорная кислота, азотная кислота и им подобные, и органические кислоты, такие как щавелевая кислота, фумаровая кислота, малеиновая кислота, лимонная кислота, винная кислота, метансульфокислота, толуолсульфокислота и им подобные. Новое соединение индолина формулы (I) и его фармацевтически приемлемую соль по данному изобретению можно получать любым из указанных ниже способов получения. Способ получения 1 где R1, R3 и R5 такие, как определено выше, R4a представляет собой алкильную группу, циклоалкильную группу, циклоалкилалкильную группу или низший алкокси-низшую алкильную группу, R8 представляет собой аминозащитную группу, R9 представляет собой алкильную группу или арильную группу, R12а является атомом водорода, низшей алкильной группой или низший алкокси-низшей алкильной группой и Х означает уходящую группу, такую как атом галогена (атом хлора, атом брома или атом иода), алкансульфонилокси (например, метансульфонилокси, этансульфонилокси, пропансульфонилокси или трифторметансульфонилокси и т.п.) или арилсульфонилокси (например, фенилсульфонилокси или толилсульфонилокси и т.п.) и им подобные. Способом получения 1 получают новые соединения индолина (Ia) и (Ib), в которых R2 представляет собой -NO2 или -NHSO2R9 (R9 является алкильной группой или арильной группой). В качестве аминозащитной группы R8 можно, например, указать формил, ацетил, монохлорацетил, дихлорацетил, трихлорацетилацетил, трифторацетил, метоксикарбонил, этоксикарбонил, бензилоксикарбонил, п-нитробензилоксикарбонил, дифенилметилоксикарбонил, метоксиметилкарбонил, метоксиметилоксикарбонил, 2,2,2-трихлорэтоксикарбонил, 2-метилсульфонилэтилоксикарбонил, трет-бутоксикарбонил (далее в данной заявке, означаемый Boc), бензил, триметилсилил, тритил и им подобные. Соединение (III), в котором R12a представляет собой атом водорода, может быть получено восстановлением соединения (II), в котором R12a представляет собой атом водорода [J. Eric Nordlander et al., J. Org. Chem., 46, 778-782 (1981), Robin D. Clark et al., Heterocycle, 22, 195-221 (1984), Vernon H. Brown et al., J. Heterocycle. Chem., 6(4), 539-543 (1969)] для превращения в индолиновую структуру и последующей защиты аминогруппы. Соединение (III), в котором R12a представляет собой низшую алкильную группу, может быть получено из соединения (II), в котором R12a представляет собой низшую алкильную группу [Beil 20, 311], аналогичным путем, как указано выше. Соединение (III), в котором R12a представляет собой низший алкокси-низшую алкильную группу, может быть получено способом, как показано в способе 1-a. Способ получения 1-a где R1, R3 и R8, такие, как определено выше, R12a представляет собой низший алкокси-низшую алкильную группу и А представляет собой низшую алкиленовую группу. Соединение (III), в котором R12a представляет собой низший алкокси-низшую алкильную группу, может быть получено восстановлением соединения (IIa) [Christopher A. Demerson et al., J. Med. Chem., 19, 391-395 (1976), Gilbverto Spadoni et al., J. Med. Chem., 41, 3624-3634 (1998)] в соответствующее соединение индолина, защитой аминогруппы, что приводит к соединению (IIb), и последующим алкилированием гидроксигруппы способом, известным как таковой. Соединение (IV) способа получения 1 может быть получено введением нитрогруппы в бензольное кольцо соединения (III) способом, известным как таковой, и восстановлением нитрогруппы с использованием катализатора, такого как палладий на угле или ему подобного. Соединение (VI) может быть получено взаимодействием соединения (IV) с соединением (V) или его реакционноспособным производным по карбоксильной группе. Эту реакцию обычно проводят в инертном растворителе. В качестве инертного растворителя конкретно можно указать ацетон, диоксан, ацетонитрил, хлороформ, бензол, метиленхлорид, этиленхлорид, тетрагидрофуран, этилацетат, N,N-диметилформамид, пиридин, воду и им подобные, их смесь и им подобных. Кроме того, можно использовать основания, такие как триэтиламин, пиридин, 4-диметиламинопиридин, карбонат калия и им подобные. Температура реакции обычно составляет интервал от -10 до 160°C, предпочтительно 0-60°C, и время реакции обычно составляет от 30 мин до 10 час. Для данной реакции соединение (V) обычно используют в виде свободной карбоновой кислоты или в виде ее реакционноспособного производного, и оба варианта осуществляются в данной реакции. Конкретно, соединение (V) вводят в указанную реакцию в виде свободной кислоты или ее соли с основанием, такой как натриевая, калиевая, кальциевая, соли с триэтиламином, пиридином и им подобными, или в виде реакционноспособного производного, такого как галогенангидрид кислоты (хлорангидрид, бромангидрид и т.п.), ангидрид кислоты, смешанный ангидрид кислоты [смешанный ангидрид кислоты с замещенной фосфорной кислотой (диалкилфосфорной кислотой и т.п.), алкилкарбонатом (моноэтилкарбонатом и т.п.) и им подобными], активный амид (амид с имдазолом и ему подобные), сложный эфир (цианометиловый сложный эфир, 4-нитрофениловый сложный эфир и т.п.) и им подобные. Когда соединение (V) используют в данной реакции в виде свободной кислоты или соли, реакцию предпочтительно проводят в присутствии конденсирующего агента. В качестве конденсирующего агента используют дегидратирующие агенты, такие как N,N’-дизамещенные карбодиимиды (например, N,N’-дициклогексилкарбодиимид и т.п.); соединения карбодиимида (например, 1-этил-3-(3-диметиламинопропил)карбодиимид, N-циклогексил-N’-морфолиноэтилкарбодиимид, N-циклогексил-N’-(4-диэтиламиноциклогексил)карбодиимид и т.п.); соединения азолида (например, N,N’-карбонилдиимидазол, N,N’-тионилдиимидазол и т.п.) и им подобные. Когда используют указанные конденсирующие агенты, считается, что реакция идет через реакционноспособное производное карбоновой кислоты. Соединение (VIII) может быть получено нитрованием соединения (VI) способом, известным как таковой, которое дает соединение (VII), и последующим удалением аминозащитной группы R8 из полученного соединения (VII). Аминозащитную группу можно удалять способом, известным как таковой, и в качестве способа удаления, который зависит от типа защитной группы, можно указать, например, способ, включающий обработку кислотой (хлористоводородной кислотой, трифторуксусной кислотой и т.п.), для случаев, когда защитная группа представляет собой, например, формил, трет-бутоксикарбонил, тритил и им подобную, способ, включающий обработку основанием (гидроксид натрия, гидроксид калия, карбонат натрия, бикарбонат натрия и т.п.), для случаев, когда защитная группа представляет собой, например, ацетил, дихлорацетил, трифторацетил и им подобную, способ, включающий каталитическое восстановление с помощью палладия на угле и ему подобного в качестве катализатора, когда защитная группа представляет собой, например, бензил, бензилоксикарбонил и им подобную. Соединение (Ia) может быть получено взаимодействием соединения (VIII) с соединением (IX). Указанную реакцию проводят в растворителе, который не подавляет реакции, таком как ацетон, диоксан, ацетонитрил, тетрагидрофуран, хлороформ, метиленхлорид, этиленхлорид, бензол, толуол, ксилол, этилацетат, N,N-диметилформамид, N,N-диметилацетамид, диметилсульфоксид, пиридин, вода и им подобные и их смесь, в присутствии основания. Молярное соотношение соединения (VIII) и соединения (IX), которое следует использовать, конкретно не ограничивается и составляет 1-5 моль, предпочтительно 1-3 моль соединения (IX) на 1 моль соединения (VIII). Основание, которое используют для данной реакции, конкретно не ограничивается, и можно указать неорганические основания, такие как карбонаты щелочных металлов (например, карбонат натрия, гидрокарбонат натрия, карбонат калия, гидрокарбонат калия и им подобные), гидроксиды щелочных металлов (например, гидроксид натрия, гидроксид калия и им подобные) и им подобные и органические основания, такие как алкоксиды щелочных металлов (например, метоксид натрия, этоксид натрия, трет-бутоксид калия и им подобные), гидриды металлов (например, гидрид натрия, гидрид калия, гидрид кальция и им подобные), триэтиламин, диизопропилэтиламин и им подобные. Температура реакции обычно составляет интервал от -10 до 100°С, предпочтительно 0-60°C, и время реакции обычно составляет от 30 мин до 10 час. Соединение (Ib) может быть получено восстановлением нитрогруппы соединения (Ia) способом, известным как таковой, который дает соединение (X), и взаимодействием полученного соединения (X) с соединением (XI). Реакцию соединения (X) с соединением (XI) проводят в растворителе, который не подавляет реакцию, таком как ацетон, диоксан, ацетонитрил, тетрагидрофуран, хлороформ, метиленхлорид, этиленхлорид, бензол, толуол, ксилол, этилацетат, N,N-диметилформамид, N,N-диметилацетамид, диметилсульфоксид, пиридин, вода и им подобные и их смесь, в присутствии основания. Молярное соотношение соединения (X) и соединения (XI), которое следует использовать, конкретно не ограничено и составляет 1-5 моль, предпочтительно 1-3 моль соединения (XI) на 1 моль соединения (X). Основание, которое используют для данной реакции, конкретно не ограничено, и можно указать неорганические основания, такие как карбонаты щелочных металлов (например, карбонат натрия, гидрокарбонат натрия, карбонат калия, гидрокарбонат калия и им подобные), гидроксиды щелочных металлов (например, гидроксид натрия, гидроксид калия и им подобные) и им подобные, и органические основания, такие как алкоксиды щелочных металлов (например, метоксид натрия, этоксид натрия, трет-бутоксид калия и им подобные), гидриды металлов (например, гидрид натрия, гидрид калия, гидрид кальция и им подобные), триэтиламин, диизопропилэтиламин и им подобные. Мольное соотношение соединения (X) и основания, которое следует использовать, конкретно не ограничивается и составляет 1-5 моль, предпочтительно 1-3 моль, основания на 1 моль соединения (X). Хотя условия реакции, такие как температура реакции, время реакции, растворитель и им подобные, варьируют в зависимости от реагентов, растворителя для реакции и т.п., обычно реакцию проводят при температуре (-30)-(150°C), и время реакции составляет от 30 мин до нескольких десятков часов. Способ получения 2 где R1, R3, R4a, R5 и R12a являются такими, как определено выше, и R10 представляет собой низшую алкильную группу или низшую алкоксигруппу. Способом получения 2 получают новые индолиновые соединения (Ic) и (Id), в которых R2 представляет собой -NHSO2NHCOR10 (R10 представляет собой низшую алкильную группу или низшую алкоксигруппу) или -NHSO2NH2. Соединение (Ic) может быть получено взаимодействием соединения (X) и соединения (XII). Данную реакцию проводят в растворителе, который не подавляет реакцию, таком как ацетон, диоксан, ацетонитрил, тетрагидрофуран, хлороформ, метиленхлорид, этиленхлорид, бензол, толуол, ксилол, этилацетат, N,N-диметилформамид, N,N-диметилацетамид, диметилсульфоксид, пиридин, вода и им подобные, и их смесь в присутствии основания. Мольное отношение соединения (X) и соединения (XII), которое следует использовать, конкретно не ограничено и составляет 1-5 моль, предпочтительно 1-3 моль соединения (XII) на 1 моль соединения (X). Основание, которое используют для данной реакции, конкретно не ограничено, и можно указать неорганические основания, такие как карбонаты щелочных металлов (например, карбонат натрия, гидрокарбонат натрия, карбонат калия, гидрокарбонат калия и им подобные), гидроксиды щелочных металлов (например, гидроксид натрия, гидроксид калия и им подобные) и им подобные, и органические основания, такие как алкоксиды щелочных металлов (например, метоксид натрия, этоксид натрия, трет-бутоксид калия и им подобные), гидриды металлов (например, гидрид натрия, гидрид калия, гидрид кальция и им подобные), триэтиламин, диизопропилэтиламин и им подобные. Температура реакции обычно составляет интервал от -10 до 100°С, предпочтительно 0-60°C, и время реакции обычно составляет от 30 мин до 10 час. Соединение (Id) может быть получено гидролизом группы -COR10 соединения (Ic) способом, известным как таковой, в кислых или щелочных условиях. Способ получения 3 где R1, R3, R4a, R5 и R12a такие, как определено выше. Способом получения 3 получают новое индолиновое соединение (Ie), где R2 представляет собой -NHCONH2. Соединение (Id) может быть получено из соединения (X) в соответствии с общими способами синтеза мочевин, такими как реакция присоединения изоцианатов, таких как циановая кислота, хлорсульфонилизоцианат и им подобных, реакция конденсации с мочевиной и им подобные [S.R. Sandier, W. Karo, “Organic Functional Group Preparation”, Vol.2, Academic Press (1971), Chapt. 6]. Способ получения 4 где R1, R3, R4a, R5, R8, R9, R12a и X являются такими, как определено выше, R11 представляет собой аминозащитную группу и A представляет собой низшую алкиленовую группу. Способом получения 4 получают новое соединение индолина (If), в котором R2 представляет собой низшую алкильную группу, замещенную -NHSO2R9 (R9 представляет собой алкильную группу или арильную группу). Соединение (XIII), содержащее галоидметильную группу, может быть получено галоидметилированием соединения (VI) [R.C. Fuson et al., Org. React., 1,63 (1969), G.A. Olah et al., “Friedel Crafts and Related Reaction”. Vol.2, 659 (1964)], и соединение (XIII), содержащее галоидэтильную группу, может быть получено превращением атома галогена введенной галоидметильной группы в цианогруппу способом, известным как таковой, и гидролизом цианогруппы для ее превращения в карбоксильную группу или алкоксикарбонильную группу, восстановлением полученной карбоксильной группы или алкоксикарбонильной группы способом, известным как таковым, с образованием спиртовой формы и галогенированием гидроксигруппы данной спиртовой формы. Повторением указанной стадии можно соответственно получать соединения (XIII), содержащие галоидпропильную группу, галоидбутильную группу и им подобные. Соединение (XIV) может быть получено введением аминогруппы в соединение (XIII) реакцией замещения, известной как таковой, и защитой указанной аминогруппы. На данной стадии получают соединение (XIV), в котором R8 и R11 представляют собой аминозащитные группы. В качестве R8 и R11 используют, например, формильную, ацетильную, монохлорацетильную, дихлорацетильную, трихлорацетильную, трифторацетильную, метоксикарбонильную, этоксикарбонильную, бензилоксикарбонильную, п-нитробензилоксикарбонильную, дифенилметилоксикарбонильную, метоксиметилкарбонильную, метоксиметилоксикарбонильную, 2,2,2-трихлорэтоксикарбонильную, 2-метилсульфонилэтилоксикарбонильную, Boc, бензильную, триметилсилильную, тритильную группы и им подобные. Существенно, что R8 и R11 представляют собой отличающиеся друг от друга аминозащитные группы, которые могут быть селективно элиминированы. Соединение (XVI) может быть получено из соединения (XIV), аналогично способу получения соединения (Ia) из соединения (VII) через соединение (VIII) в способе получения 1. Соединение (XVII) может быть получено элиминированием аминозащитной группы R11 соединения (XVI) способом, известным как таковой. Соединение (If) может быть получено из соединения (XVII) аналогично способу получения соединения (Ib) взаимодействием соединения (X) с соединением (XI) в способе получения 1. Способ получения 5 где R1, R3, R4a, R5, R10, R12a и A являются такими, как определено выше. Способом получения 5 получают новые соединения индолина (Ig) и (Ih), в которых R2 представляет собой -NHSO2NHCOR10 (R10 означает низшую алкильную группу или низшую алкоксигруппу) или низшую алкильную группу, замещенную -NHSO2NH2. Соединения (Ig) и (Ih) могут быть получены из соединения (XVII) способом, аналогичным способу получения 2. Способ получения 6 где R1, R3, R4a, R5, R12a и A такие, как определено выше. Способом получения 6 получают новое соединение индолина (Ii), где R2 представляет собой низшую алкильную группу, замещенную -NHCONH2. Соединения (Ii) могут быть получены из соединения (XVII) способом, аналогичным способу получения 3. Способ получения 7 где R1, R3, R5, R8, R9 и R12a являются такими, как определено выше. По способу получения 7 получают новое соединение индолина (Ij), в котором R2 представляет собой -NHSO2R9 (R9 является алкильной или арильной группой) и R4 представляет собой атом водорода. Соединение (XIX) может быть получено из соединения (VII), аналогично способу получения соединения (Ib) из соединения (Ia) через соединение (X) в способе получения 1. Соединение (Ij) может быть получено элиминированием аминозащитной группы R8 соединения (XIX) способом, известным как таковой. Способ получения 8 где R1, R3, R5, R8, R10 и R12a являются такими, как определено выше. По способу получения 8 получают новые соединения индолина (Ik) и (Il), в которых R2 представляет собой -NHSO2NHCOR10 (R10 является алкильной или арильной группой) или -NHSO2NH2 и R4 представляет собой атом водорода. Соединение (XX) может быть получено из соединения (XVIII) аналогично способу получения соединения (Ic) из соединения (X) в способе получения 2. Соединение (Ik) может быть получено элиминированием аминозащитной группы R8 соединения (XX) способом, известным как таковой. Соединение (Il) может быть получено гидролизом -COR10 группы соединения (Ik) в кислых или щелочных условиях способом, известным как таковой. Способ получения 9 где R1, R3, R5, R9 и R12a являются такими, как определено выше, и R4b представляет собой алкильную группу, циклоалкильную группу, низшую алкенильную группу или низший алкокси-низшую алкильную группу. Способом получения 9 получают новое соединение индолина (Ib’) из соединения (Ij). Соединение (Ib’) может быть получено аналогично способу получения соединения (Ia) взаимодействием соединения (VIII) c соединением (IX) в способе получения 1. Способ получения 10 где R1, R3, R4b, R5, R10 и R12a являются такими, как определено выше. Способом получения 10 из соединения (Ik) получают новые соединения индолина (Ic’) и (Id’). Соединение (Ic’ Соединение (Id’) может быть получено гидролизом -COR10 группы соединения (Ic’) в кислых или щелочных условиях способом, известным как таковой. Способ получения 11 где R1, R3, R5, R9 и R12a являются такими, как определено выше, и R13 представляет собой атом водорода или низшую алкильную группу. Способом получения 11 получают новое соединение индолина (Im), в котором R2 представляет собой -NHSO2R9 (R9 является алкильной или арильной группой) и R4 представляет собой -COR13 (R13 представляет собой атом водорода или низшую алкильную группу). Соединение (XXII) может быть получено из соединения (VIII) и соединения (XXI) аналогично способу получения соединения (VI) из соединения (IV) в способе получения 1. Соединение (Im) может быть получено из соединения (XXII) аналогично способу получения соединения (Ib) из соединения (Ia) через соединение (X) в способе получения 1. Способ получения 12 где R1, R3, R5, R8, R10, R12a и R13 являются такими, как определено выше. Способом получения 12 получают новые соединения индолина (In) и (Io), где в формуле (I) R2 представляет собой -NHSO2NHCOR10 (R10 является низшей алкильной или низшей алкоксигруппой) или -NHSO2NH2 и R4 является группой -COR13 (R13 представляет собой атом водорода или низшую алкильную группу). Соединение (In) может быть получено из соединения (Ik) и соединения (XXI) аналогично способу получения соединения (VI) из соединения (IV) в способе получения 1, по аналогичной методике способа получения 11. Соединение (Io) может быть получено гидролизом группы -COR10 соединения (In) в кислых или щелочных условиях способом, известным как таковой. Способ получения 13 где R1, R3, R4а, R5 и A являются такими, как определено выше, R14 представляет собой гидроксизащитную группу, R15 является низшей алкильной группой и В представляет собой атом кислорода или атом серы. Способом получения 13 получают соединение (XXVI), которое представляет собой промежуточное соединение для получения нового соединения индолина (I), в котором R12 представляет собой низший алкокси-низшую алкильную группу или низший алкилтио-низшую алкильную группу. В качестве гидроксизащитной группы R14 можно указать, например, группу, способную образовывать простые эфиры и ацетали, такую как метил, изопропил, трет-бутил, бензил, аллил, метоксиметил, тетрагидропиранил, п-бромфенацил, триметилсилил и им подобные; группу, способную образовывать сложные эфиры, такую как формил, ацетил, монохлорацетил, дихлорацетил, трифторацетил, метоксикарбонил, этоксикарбонил, бензилоксикарбонил, п-нитробензилоксикарбонил, 2,2,2-трихлорэтоксикарбонил, бензоил, метансульфонил, бензолсульфонил, п-толуолсульфонил и им подобные. Соединение (IVa) может быть получено защитой гидроксигруппы соединения (IIb) способом, известным как таковой, что приводит к образованию соединения (IIIa), и способом, аналогичным способу получения соединения (IV) из соединения (III) в способе получения 1. Соединение (XXIV) может быть получено из соединения (IVa) аналогично способу получения соединения (Ia) из соединения (IV) в способе получения 1. Соединение (XXV) может быть получено элиминированием гидроксизащитной группы R14 соединения (XXIV). Хотя способ элиминирования гидроксизащитной группы варьируется в зависимости от типа защитной группы, обычно для элиминирования защитной группы можно использовать способ, известный как таковой в данной области в качестве методики. Соединение (XXVI), в котором -A-B-R15 представляет собой низший алкокси-низшую алкильную группу или низший алкилтио-низшую алкильную группу, можно получать способом, известным как таковой, который включает превращение гидроксигруппы соединения (XXV) в уходящую группу, такую, например, как атом галогена (атом хлора, атом брома или атом иода), алкансульфонилокси (например, метансульфонилокси, этансульфонилокси, пропансульфонилокси, трифторметансульфонилокси и т.п.), арилсульфонилокси (например, фенилсульфонилокси, толилсульфонилокси и т.п.) и им подобные, и взаимодействие полученного соединения с низшим спиртом или низшим алкилтиолом в присутствии основания. Кроме того, соединение (XXVI), в котором -A-B-R15 представляет собой низший алкокси-низшую алкильную группу, можно также получать способом, известным как таковой, включающим взаимодействие соединения (XXV) с R15-X (соединение (XXVII)), в котором R15 и X являются такими, как определено выше. Кроме того, соединение (XXVI), в котором -A-B-R15 представляет собой низший алкилтио-низшую алкильную группу, может быть также получено превращением гидроксигруппы соединения (XXV) в тиольную группу способом, известным как таковой, и взаимодействием полученного соединения с соединением (XXVII). Соединение (XXVI), полученное способом получения 13, используется в качестве промежуточного соединения в способах получения 1-3 или способах получения 7-12 и может давать соответствующее новое индолиновое соединение (I). Способ получения 14 где R1, R3, R5, R12a, R15, X, A и В являются такими, как определено выше, и R16 представляет собой атом водорода или гидроксизащитную группу. Способом получения 14 получают соединение (XXXI), которое является промежуточным соединением для получения нового соединения индолина (I), в котором R4 представляет собой низший алкокси-низшую алкильную группу или низший алкилтио-низшую алкильную группу. Соединение (XXIX) может быть получено из соединения (VIII) и соединения (XXVIII) аналогично способу получения соединения (Ia) из соединения (VIII) и соединения (IX) в способе получения 1. Когда R16 представляет собой гидроксизащитную группу, соединение (XXX) может быть получено элиминированием гидроксизащитной группы R16 соединения (XXIX) способом, известным как таковой. Кроме того, соединение (XXX) можно также получить из соединения (VIII) и соединения (XXVIII), в котором R16 представляет собой атом водорода. Соединение (XXXI) может быть получено из соединения (XXX) аналогично способу получения (XXVI) из соединения (XXV) в способе получения 13. Соединение (XXXI), полученное способом получения 14, используют в качестве промежуточного соединения в способах получения 1-3 или в способах получения 7-12, и оно дает соответствующее соединение индолина (I). Способ получения 15 где R10 является таким, как определено выше. Способом получения 15 получают соединение (XII) для использования в способах получения 2, 5 и 8. Соединение (XII) может быть получено из хлорсульфонилизоцианата способом, известным как таковой, или взаимодействием с низшей карбоновой кислотой, которой дает соединение (XII), где R10 представляет собой низшую алкильную группу, и взаимодействием с низшим спиртом, которой дает соединение (XII), где R10 представляет собой низшую алкоксигруппу. Когда R12, который является заместителем при 5-членном кольце индолинового скелета соединения (I), представляет собой низшую алкильную группу, низшую алкоксигруппу, низший алкокси-низшую алкильную группу или низший алкилтио-низшую алкильную группу, атом углерода, замещенный R12, становится асимметрическим. В данном случае из-за асимметрического атома углерода соединение (I) содержит стереоизомеры, которые также включены в данное изобретение. Соединение по данному изобретению (I), полученное, как указано выше, может быть очищено обычными известными методами (например, хроматографией, перекристаллизацией и т.п.). Кроме того, соединение (I) может быть превращено в его фармацевтически приемлемую соль способом, известным как таковой. Хотя доза соединения (I) и его фармацевтически приемлемой соли варьируется в зависимости от субъекта, которому вводят соединение, состояния больного и других факторов, при пероральном введении, например, взрослым пациентам с гиперхолестеринемией можно вводить однократную дозу от 0,1 до 50 мг/кг массы тела примерно 1-3 раза в день. Примеры Данное изобретение подробно поясняется следующими ссылками на примеры, которые не следует рассматривать как ограничивающие. Пример 1 N-(4,6-Диметил-5-нитро-1-октилиндолин-7-ил)-2,2-диметилпропанамид (1) 4,6-Диметилиндол (160 г) растворяют в уксусной кислоте (800 мл) и порциями добавляют цианоборогидрид натрия (138 г) в течение 1 час при охлаждении льдом. Смесь перемешивают при той же температуре в течение 2 час. Реакционный раствор выливают в ледяную воду (3 л) и добавляют этилацетат (2 л). Смесь нейтрализуют водном раствором гидроксида натрия при температуре не выше 20°C и водный слой насыщают хлоридом натрия. Этилацетатный слой отделяют и сушат над сульфатом натрия, этилацетат упаривают при пониженном давлении. Полученный остаток растворяют в бензоле (600 мл) и добавляют уксусный ангидрид (135 г). Смесь перемешивают при комнатной температуре в течение 1 час и выпавшие кристаллы отфильтровывают. Растворитель из фильтрата упаривают при пониженном давлении и остаток растворяют в хлороформе, промывают последовательно насыщенным водным раствором гидрокарбоната натрия и насыщенным раствором соли и сушат над сульфатом натрия. Хлороформ упаривают при пониженном давлении, остаток объединяют с кристаллами, полученными ранее, и получают 1-ацетил-4,6-диметилиндолин в виде кристаллов (208 г). ИК (Nujol) 1Н ЯМР (CDCl3) (2) Соединение (200 г), полученное на стадии (1), растворяют в уксусной кислоте (4 л) и по каплям добавляют бром (85 мл) при охлаждении льдом. Смесь перемешивают при комнатной температуре в течение 30 мин. Реакционный раствор выливают в воду со льдом (20 л), добавляют гидросульфат натрия (5 г) и смесь перемешивают в течение 30 мин. Выпавшие в осадок кристаллы отфильтровывают, растворяют в хлороформе (2 л), промывают последовательно водой и насыщенным раствором соли и сушат над сульфатом натрия. Хлороформ упаривают при пониженном давлении, полученный кристаллический остаток перекристаллизовывают из метанола, получая 1-ацетил-5-бром-4,6-диметилиндолин в виде белых кристаллов (185 г). ИК (Nujol) 1Н ЯМР (CDCl3) (3) К смеси дымящей азотной кислоты (44 мл), уксусной кислоты (500 мл) и концентрированной серной кислоты (500 мл) добавляют порциями соединение (185 г), полученное на стадии (2), при температуре от -5 до 0°C в течение 1 час и смесь перемешивают при охлаждении льдом в течение 3 час. Реакционный раствор выливают в воду со льдом (6 л) и выпавшие в осадок кристаллы отфильтровывают. Полученные кристаллы растворяют в хлороформе (2 л), промывают последовательно водой и насыщенным раствором соли и сушат над сульфатом натрия. Хлороформ упаривают при пониженном давлении и получают 1-ацетил-5-бром-4,6-диметил-7-нитроиндолин в виде кристаллов (209 г). ИК (Nujol) 1Н ЯМР (CDCl3) (4) Соединение (75 г), полученное на стадии (3), растворяют в 1 л смеси хлороформ-метанол (1:1). Добавляют 5% палладий на угле (10 г) и смесь гидрируют с катализатором при 40°C в течение 2 дней при обычном давлении. Частично выпавший в осадок 1-ацетил-7-амино-4,6-диметилиндолинбромат отфильтровывают вместе с палладием на угле и полученное твердое вещество нейтрализуют насыщенным водным раствором гидрокарбоната натрия и экстрагируют хлороформом (0,5 л). Растворитель фильтрата упаривают при пониженном давлении и остаток аналогичным образом нейтрализуют насыщенным водным раствором гидрокарбоната натрия и экстрагируют хлороформом (1 л). Экстракт объединяют с хлороформным слоем, упомянутым выше, промывают насыщенным раствором соли, сушат над сульфатом натрия и упаривают хлороформ при пониженном давлении. Полученный остаток растворяют в хлороформе (300 мл). Добавляют пивалоилхлорид (27,7 г), по каплям добавляют триэтиламин (29,1 г) при температуре не выше 20°C и смесь перемешивают при комнатной температуре в течение 1 час. Добавляют хлороформ (1 л) и смесь последовательно промывают 5% водным раствором лимонной кислоты и насыщенным раствором соли (500 мл каждого) и сушат над сульфатом натрия. Хлороформ упаривают при пониженном давлении и к полученному кристаллическому остатку добавляют н-гексан (200 мл). Кристаллы промывают перемешиванием смеси, отфильтровывают и получают N-(1-ацетил-4,6-диметилиндолин-7-ил)-2,2-диметилпропанамид в виде кристаллов (49 г). ИК (Nujol) 1Н ЯМР (CDCl3) (5) Соединение (1,99 г), полученное на стадии (4), растворяют в уксусной кислоте (20 мл) и добавляют по каплям дымящую азотную кислоту (0,41 мл) при охлаждении льдом. Реакционную смесь перемешивают при 50°C в течение 4 час и выливают в воду со льдом. Выпавшие в осадок кристаллы отфильтровывают и полученные кристаллы растворяют в хлороформе (300 мл). Раствор промывают последовательно насыщенным водным раствором гидрокарбоната натрия и насыщенным раствором соли и сушат над сульфатом натрия. Хлороформ упаривают при пониженном давлении, полученный остаток очищают хроматографией на колонке с силикагелем, получая N-(1-ацетил-4,6-диметил-5-нитроиндолин-7-ил)-2,2-диметилпропанамид (2,2 г). ИК (Nujol) 1Н ЯМР (CDCl3) (6) Соединение (0,8 г), полученное на стадии (5), растворяют в метаноле (8 мл) и добавляют 4 M водный раствор гидроксида натрия (3 мл). Смесь перемешивают при 80°C в течение 15 мин. Растворитель упаривают при пониженном давлении и полученный остаток растворяют в хлороформе (50 мл). Затем раствор промывают последовательно водой и насыщенным раствором соли и сушат над сульфатом натрия. Хлороформ упаривают при пониженном давлении и полученный остаток очищают хроматографией на колонке с силикагелем, получая N-(4,6-диметил-5-нитроиндолин-7-ил)-2,2-диметилпропанамид (0,68 г). ИК (Nujol) 1Н ЯМР (CDCl3) (7) Соединение (3,5 г), полученное на стадии (6), растворяют в N,N-диметилформамиде (40 мл) и добавляют порциями гидрид натрия (60% суспензия в масле) (576 мг) в атмосфере азота при охлаждении льдом. После перемешивания при комнатной температуре в течение 10 мин добавляют октилиодид (2,6 мл) и смесь перемешивают при той же температуре в течение 17 час. Добавляют воду (100 мл) и смесь затем экстрагируют диэтиловым эфиром (300 мл). Слой диэтилового эфира промывают последовательно водой и насыщенным раствором соли и сушат над сульфатом натрия. Диэтиловый эфир упаривают при пониженном давлении и полученный остаток очищают хроматографией на колонке с силикагелем, получая указанное в заголовке соединение в виде кристаллов (3,2 г). ИК (Nujol) 1Н ЯМР (CDCl3) Пример 2 N-(5-Метансульфониламино-4,6-диметил-1-октилиндолин-7-ил)-2,2-диметилпропанамид Соединение (3,2 г), полученное в примере 1, растворяют в 120 мл смеси метанол-толуол (3:1) и добавляют 5% палладий на угле (0,48 г). Смесь подвергают каталитическому гидрированию при комнатной температуре и давлении 2 кгс/см2 в течение 17 час. Палладий на угле отфильтровывают и растворитель упаривают при пониженном давлении. Полученный остаток растворяют в хлороформе (300 мл), промывают насыщенным раствором соли и сушат над сульфатом натрия. Хлороформ упаривают при пониженном давлении и полученный остаток растворяют в хлороформе (30 мл). Добавляют триэтиламин (3,32 мл), добавляют по каплям метансульфонилхлорид (1,23 мл) при охлаждении льдом и смесь перемешивают при комнатной температуре 3 часа. Добавляют хлороформ (100 мл), промывают последовательно 5% водным раствором лимонной кислоты и насыщенным раствором соли и сушат над сульфатом натрия. Хлороформ упаривают при пониженном давлении и полученный остаток очищают хроматографией на колонке с силикагелем, получая указанное в заголовке соединение в виде кристаллов (3,0 г). ИК (Nujol) 1H ЯМР (CDCl3) Пример 3 N-[5-(N-Ацетилсульфамоиламино)-4,6-диметил-1-октилиндолин-7-ил]-2,2-диметилпропанамид (1) Хлорсульфонилизоцианат (3,04 мл) добавляют по каплям к уксусной кислоте (2,0 мл) при охлаждении льдом и добавляют н-гексан. Осажденные кристаллы отфильтровывают и получают ацетилсульфамоилхлорид в виде кристаллов (5,31 г). (2) Соединение (3,0 г), полученное в примере 1, растворяют в 110 мл смеси метанол-толуол (3:1) и добавляют 5% палладий на угле (0,45 г). Смесь подвергают каталитическому гидрированию при комнатной температуре и 2 кгс/см2 в течение 17 час. Палладий на угле отфильтровывают и растворитель упаривают при пониженном давлении. Полученный остаток растворяют в хлороформе (300 мл). Раствор промывают насыщенным раствором соли и сушат над сульфатом натрия. Хлороформ упаривают при пониженном давлении. Полученный остаток (N-(5-амино-4,6-диметил-1-октилиндолин-7-ил)-2,2-диметилпропанамид) (2,67 г) растворяют в хлороформе (27 мл) и добавляют триэтиламин (1,2 мл) и соединение (2,25 г), полученное на стадии (1), при -10°C. Смесь перемешивают при комнатной температуре в течение 30 мин. К реакционной смеси добавляют 10% водный раствор лимонной кислоты и смесь экстрагируют хлороформом (100 мл). Хлороформный слой промывают последовательно насыщенным водным раствором гидрокарбоната натрия и насыщенным раствором соли и сушат над сульфатом натрия. Хлороформ упаривают при пониженном давлении и полученный остаток очищают хроматографией на колонке с силикагелем. Полученные кристаллы перекристаллизовывают из толуола (50 мл), получая указанное в заголовке соединение в виде кристаллов (1,84 г). ИК (Nujol) 1Н ЯМР (CDCl3) Пример 4 N-[5-(N-Метоксикарбонилсульфамоиламино)-4,6-диметил-1-октилиндолин-7-ил]-2,2-диметилпропанамид Метанол (0,13 мл) добавляют к метиленхлориду (2,6 мл) и при -20°C добавляют хлорсульфонилизоцианат (0,29 мл). Смесь перемешивают при температуре (-20)-(10°С) в течение 20 мин. N-(5-Амино-4,6-диметил-1-октилиндолин-7-ил)-2,2-диметилпропанамид (612 мг) и триэтиламин (0,46 мл) добавляют к реакционной смеси и смесь дополнительно перемешивают при -9°C в течение 30 мин. Метиленхлорид добавляют к реакционной смеси и смесь последовательно промывают 10% водным раствором лимонной кислоты, насыщенным водным раствором гидрокарбоната натрия и насыщенным раствором соли и сушат над сульфатом натрия. Метиленхлорид упаривают при пониженном давлении. Полученный остаток очищают хроматографией на колонке с силикагелем и получают указанное в заголовке соединение в виде кристаллов (601 мг). ИК (Nujol) 1H ЯМР (CDCl3) Пример 5 N-[5-(N-трет-Бутоксикарбонилсульфамоиламино)-4,6-диметил-1-октилиндолин-7-ил]-2,2-диметилпропанамид трет-Бутанол (0,85 мл) растворяют в метиленхлориде (17 мл) и при -18°С добавляют хлорсульфонилизоцианат (0,77 мл). Смесь перемешивают при той же температуре в течение 30 мин и добавляют N-(5-амино-4,6-диметил-1-октилиндолин-7-ил)-2,2-диметилпропанамид (1,66 г) и триэтиламин (1,24 мл). Смесь дополнительно перемешивают при -5°C в течение 30 мин. Добавляют метиленхлорид (50 мл) и смесь промывают последовательно 10% водным раствором лимонной кислоты, насыщенным водным раствором гидрокарбоната натрия и насыщенным раствором соли (50 мл) и сушат над сульфатом натрия. Затем метиленхлорид упаривают при пониженном давлении. Полученный остаток очищают хроматографией на колонке с силикагелем, получая указанное в заголовке соединение в виде кристаллов (1,9 г). ИК (Nujol) 1Н ЯМР (ДМСО-d6) Пример 6 Гидрохлорид N-(4,6-диметил-1-октил-5-сульфамоиламиноиндолин-7-ил)-2,2-диметилпропанамида Соединение (1,86 г), полученное в примере 5, растворяют в муравьиной кислоте (7,5 мл) и добавляют 8,51 M раствор хлористого водорода в 2-пропаноле (1,98 мл) при охлаждении льдом. Смесь перемешивают при той же температуре в течение 20 мин. Добавляют диэтиловый эфир (50 мл) и выпавшие в осадок кристаллы отфильтровывают, получая указанное в заголовке соединение в виде кристаллов (1,34 г). ИК (Nujol) 1Н ЯМР (ДМСО-d6) Пример 7 Гидрохлорид N-(4,6-диметил-1-октил-5-уреидоиндолин-7-ил)-2,2-диметилпропанамида N-(5-Амино-4,6-диметил-1-октилиндолин-7-ил)-2,2-диметилпропанамид (500 мг) растворяют в метиленхлориде (5,0 мл) и добавляют по каплям хлорсульфонилизоцианат (0,14 мл) при -60°C. Смесь перемешивают при той же температуре в течение 3 час и добавляют 6 M раствор хлористоводородной кислоты (0,45 мл). Смесь перемешивают при комнатной температуре в течение 30 мин. К реакционному раствору добавляют воду (50 мл) и смесь экстрагируют хлороформом (100 мл). Хлороформный слой промывают насыщенным раствором соли и сушат над сульфатом натрия. Хлороформ упаривают при пониженном давлении и полученный кристаллический остаток перекристаллизовывают из смеси хлороформ-диизопропиловый эфир, получая указанное в заголовке соединение в виде кристаллов (407 мг). ИК (Nujol) 1H ЯМР (CDCl3) Пример 8 N-(7-Метансульфониламино-4,6-диметилиндолин-5-ил)-2,2-диметилундеканамид (1) Соединение (11,0 г), полученное в примере 1, растворяют в уксусной кислоте (55 мл) и добавляют дымящую азотную кислоту (3,7 мл) при своевременном охлаждении смеси таким образом, чтобы температура реакции не превышала 50°C. После перемешивания при той же температуре в течение 30 мин добавляют диэтиловый эфир (200 мл) и смесь дополнительно перемешивают при охлаждении льдом в течение 20 мин. Выпавшие в осадок кристаллы отфильтровывают, получая 1-ацетил-4,6-диметил-5-нитроиндолин в виде кристаллов (10,7 г). ИК (Nujol) 1Н ЯМР (CDCl3) (2) В метаноле (300 мл) суспендируют 10% палладий на угле (1,4 г) и добавляют соединение (10,3 г), полученное на стадии 1. Смесь подвергают каталитическому гидрированию при 40°C и 4 кгс/см2 в течение 4 час. Выпавшие в осадок кристаллы растворяют в хлороформе и отфильтровывают палладий на угле. Фильтрат концентрируют при пониженном давлении. Хлороформ (50 мл) добавляют к полученному остатку, смесь промывают последовательно насыщенным водным раствором гидрокарбоната натрия (125 мл) и насыщенным раствором соли (100 мл) и сушат над сульфатом натрия. Хлороформ упаривают при пониженном давлении, получая 1-ацетил-5-амино-4,6-диметилиндолин в виде кристаллов (8,74 г). ИК (Nujol) 1H ЯМР (CDCl3) (3) Соединение (5,0 г), полученное на стадии (2), суспендируют в хлороформе (50 мл) и к полученной суспензии добавляют триэтиламин (4,4 мл) и 2,2-диметилундеканоилхлорид (6,4 г) при охлаждении льдом. Смесь перемешивают при комнатной температуре в течение 30 мин. К реакционной смеси добавляют хлороформ (50 мл), смесь промывают последовательно 5% водным раствором лимонной кислоты (100 мл) и насыщенным раствором соли (50 мл) и сушат над сульфатом натрия. Хлороформ упаривают при пониженном давлении и получают N-(1-ацетил-4,6-диметилиндолин-5-ил)-2,2-диметилундеканамид в виде масла (10,7 г). Полученное масло (10,7 г) растворяют в уксусной кислоте (50 мл) и добавляют дымящую азотную кислоту при охлаждении льдом. Смесь перемешивают при комнатной температуре в течение 1 час. После завершения реакции добавляют воду (250 мл) и смесь перемешивают в течение 30 мин. Выпавшие в осадок кристаллы отфильтровывают и растворяют в хлороформе (100 мл). Раствор промывают насыщенным водным раствором гидрокарбоната натрия (100 мл) и насыщенным раствором соли и сушат над сульфатом натрия. Хлороформ упаривают при пониженном давлении. Диизопропиловый эфир (50 мл) добавляют к полученному кристаллическому остатку и кристаллы отфильтровывают, получая N-(1-ацетил-4,6-диметил-7-нитроиндолин-5-ил)-2,2-диметилундеканамид в виде кристаллов (8,73 г). ИК (Nujol) 1H ЯМР (CDCl3) (4) 10% палладий на угле (1,2 г) суспендируют в метаноле (250 мл) и добавляют соединение (8,73 г), полученное на стадии (3). Смесь подвергают каталитическому гидрированию при 40°С, 4 кгс/см2 в течение 24 час. Палладий на угле отфильтровывают и метанол упаривают при пониженном давлении. Хлороформ (50 мл) добавляют к полученному остатку, промывают насыщенным водным раствором гидрокарбоната натрия (50 мл) и насыщенным раствором соли и сушат над сульфатом натрия. Хлороформ упаривают при пониженном давлении. Диизопропиловый эфир (40 мл) добавляют к полученному кристаллическому остатку и кристаллы отфильтровывают, получая N-(1-ацетил-7-амино-4,6-диметилиндолин-5-ил)-2,2-диметилундеканамид в виде кристаллов (7,49 г). ИК (Nujol) 1H ЯМР (CDCl3) (5) Соединение (1,0 г), полученное на стадии (4), растворяют в метиленхлориде (10 мл) и добавляют триэтиламин и метансульфонилхлорид (0,2 мл) при охлаждении льдом. Смесь перемешивают при комнатной температуре в течение 1 час. К реакционной смеси добавляют хлороформ (20 мл), смесь промывают последовательно 5% водным раствором лимонной кислоты (20 мл) и насыщенным раствором соли (20 мл) и сушат над сульфатом натрия. Растворитель упаривают при пониженном давлении, получая N-(1-ацетил-7-метансульфониламино-4,6-диметилиндолин-5-ил)-2,2-диметилундеканамид в виде порошка (1,16 г). ИК (Nujol) 1Н-ЯМР (CDCl3) (6) Соединение (1,04 г), полученное на стадии (5), суспендируют в метаноле (10 мл) и добавляют раствор гидроксида натрия (0,42 г) в воде (2,5 мл) при комнатной температуре. Смесь кипятят в атмосфере азота в течение 18 час. Смеси дают охладиться, затем упаривают метанол. Добавляют этилацетат (50 мл), смесь промывают последовательно 5% водным раствором лимонной кислоты, насыщенным водным раствором гидрокарбоната натрия (50 мл) и насыщенным раствором соли (50 мл) и сушат над сульфатом натрия. Этилацетат упаривают при пониженном давлении. Полученный остаток растворяют в этилацетате (10 мл) при нагревании и добавляют н-гексан (10 мл). Смесь ставят в холодильник на 1 час для кристаллизации и выпавшие кристаллы отфильтровывают, получая указанное в заголовке соединение в виде кристаллов (767 мг). ИК (Nujol) 1Н ЯМР (CDCl3) Пример 9 N-(7-Метансульфониламино-1,4,6-триметилиндолин-5-ил)-2,2-диметилундеканамид (1) N-(1-Ацетил-7-амино-4,6-диметилиндолин-5-ил)-2,2-диметилундеканамид (5,0 г) растворяют в хлороформе (50 мл) и добавляют ди-трет-бутилдикарбонат (5,3 г) при комнатной температуре. Смесь перемешивают при той же температуре в течение 17 час. Хлороформ упаривают при пониженном давлении и полученный остаток очищают колоночной хроматографией, получая N-(1-ацетил-7-трет-бутоксикарбониламино-4,6-диметилиндолин-5-ил)-2,2-диметилундеканамид в виде порошка (6,22 г). 1H ЯМР (CDCl3) (2) Соединение (6,22 г), полученное на стадии (1), растворяют в метаноле (60 мл) и добавляют раствор гидроксида натрия (2,4 г) в воде (15 мл) при комнатной температуре. Смесь кипятят с обратным холодильником в атмосфере азота в течение 1,5 час, дают охладиться и затем упаривают метанол. К полученному остатку добавляют хлороформ (100 мл), смесь последовательно промывают 5% водным раствором лимонной кислоты, насыщенным водным раствором гидрокарбоната натрия (30 мл) и насыщенным раствором соли (30 мл) и сушат над сульфатом натрия. Хлороформ упаривают при пониженном давлении. К полученному кристаллическому остатку добавляют н-гексан (30 мл) и кристаллы отфильтровывают, получая N-(7-трет-бутоксикарбониламино-4,6-диметилиндолин-5-ил)-2,2-диметилундеканамид в виде кристаллов (4,81 г). ИК (Nujol) 1H ЯМР (CDCl3) (3) Соединение (2,03 г), полученное на стадии (2), растворяют в ацетоне (20 мл) и в атмосфере азота при комнатной температуре добавляют карбонат калия (1,18 г) и метилиодид (0,4 мл). Смесь перемешивают при той же температуре в течение 1 час. Добавляют 5% водный раствор лимонной кислоты и ацетон упаривают при пониженном давлении. К полученному остатку добавляют этилацетат (50 мл), смесь промывают последовательно 5% водным раствором лимонной кислоты (20 мл) и насыщенным раствором соли (20 мл) и сушат над сульфатом натрия. Этилацетат упаривают при пониженном давлении и полученный остаток очищают колоночной хроматографией, получая N-(7-трет-бутоксикарбониламино-1,4,6-триметилиндолин-5-ил)-2,2-диметилундеканамид в виде кристаллов (1,25 г). ИК (Nujol) 1H ЯМР (CDCl3) (4) Соединение (1,23 г), полученное на стадии (3), растворяют в муравьиной кислоте (6 мл) и в атмосфере азота добавляют 8,51 M раствор хлористого водорода в 2-пропаноле (1,5 мл) при охлаждении льдом. Смесь перемешивают при той же температуре в течение 15 мин, нейтрализуют насыщенным водным раствором гидрокарбоната натрия, экстрагируют хлороформом (50 мл), промывают насыщенным раствором соли (20 мл) и сушат над сульфатом натрия. Хлороформ упаривают при пониженном давлении и полученный остаток очищают колоночной хроматографией. К полученному кристаллическому остатку добавляют н-гексан и кристаллы отфильтровывают, получая N-(7-амино-1,4,6-триметилиндолин-5-ил)-2,2-диметилундеканамид в виде кристаллов (713 мг). ИК (Nujol) 1H ЯМР (CDCl3) Соединение (703 мг), полученное на стадии (4), растворяют в метиленхлориде (7 мл) и в атмосфере азота добавляют метансульфонилхлорид (0,18 мл) и триэтиламин (1,0 мл) при охлаждении льдом. Смесь перемешивают при той же температуре в течение 10 мин. К реакционной смеси добавляют хлороформ (30 мл), смесь последовательно промывают 5% водным раствором лимонной кислоты дважды (30 мл) и насыщенным раствором соли (20 мл) и сушат над сульфатом натрия. Растворитель упаривают при пониженном давлении и полученный остаток очищают колоночной хроматографией, получая указанное в заголовке соединение в виде кристаллов (510 мг). ИК (Nujol) 1H ЯМР (CDCl3) Пример 10 Гидрохлорид N-(5-метансульфониламинометил-4,6-диметил-1-октилиндолин-7-ил)-2,2-диметилпропанамида (1) Соединение (10,0 г), полученное в примере 1(4), растворяют в концентрированной хлористоводородной кислоте (50 мл) и добавляют 35% формалин (4,2 г) и хлорид цинка (900 мг). При перемешивании вводят газообразный хлористый водород при 50°С в течение 2 час. Реакционный раствор выливают в воду со льдом (200 мл) и смесь дважды экстрагируют хлороформом (150 мл). Хлороформные слои объединяют, промывают насыщенным раствором соли (150 мл) и сушат над сульфатом натрия. Хлороформ упаривают при пониженном давлении и суспендируют полученный N-(1-ацетил-5-хлорметил-4,6-диметилиндолин-7-ил)-2,2-диметилпропанамид (10,0 г) в N,N-диметилформамиде (50 мл). Добавляют фталимид калия (6,7 г) и смесь перемешивают при комнатной температуре в течение 20 час. Добавляют этилацетат (700 мл) и смесь промывают водой (500 мл) и насыщенным раствором соли (300 мл), сушат над сульфатом натрия и концентрируют при пониженном давлении. Выпавшие в осадок кристаллы отфильтровывают, получая N-(1-ацетил-4,6-диметил-5-фталимидометилиндолин-7-ил)-2,2-диметилпропанамид (12,4 г). ИК (Nujol) 1H ЯМР (CDCl3) (2) Соединение (12,0 г), полученное на стадии (1), растворяют в смеси метанола (100 мл) и хлороформа (50 мл) и добавляют моногидрат гидразина (2,1 г). Смесь кипятят с обратным холодильником в течение 3 час. Растворитель упаривают при пониженном давлении и полученный остаток растворяют в хлороформе (200 мл). Смесь последовательно промывают насыщенным водным раствором гидрокарбоната натрия (100 мл) и насыщенным раствором соли (100 мл) и сушат над сульфатом натрия. Хлороформ упаривают при пониженном давлении и полученный N-(1-ацетил-5-аминометил-4,6-диметилиндолин-7-ил)-2,2-диметилпропанамид растворяют в хлороформе (100 мл). Добавляют ди-трет-бутилдикарбонат (6,0 г) и смесь перемешивают при комнатной температуре в течение 1 часа, промывают насыщенным раствором соли (100 мл) и сушат над сульфатом натрия. Хлороформ упаривают при пониженном давлении и образовавшийся остаток очищают колоночной хроматографией, получая N-(1-ацетил-5-трет-бутоксикарбониламинометил-4,6-диметилиндолин-7-ил)-2,2-диметилпропанамид в виде кристаллов (11,5 г). ИК (Nujol) 1H ЯМР (CDCl3) (3) Соединение (11,5 г), полученное на стадии (2), растворяют в метаноле (200 мл) и добавляют 2,42 M водный раствор гидроксида натрия (60 мл). Смесь перемешивают при 50°C в течение 15 час. Метанол упаривают при пониженном давлении и остаток растворяют в хлороформе (200 мл). Смесь промывают последовательно водой (100 мл) и насыщенным раствором соли (100 мл) и сушат над сульфатом натрия. Хлороформ упаривают при пониженном давлении и полученный N-(5-трет-бутоксикарбониламинометил-4,6-диметилиндолин-7-ил)-2,2-диметилпропанамид растворяют в N,N-диметилформамиде (50 мл). Добавляют октилиодид (11,4 г) и карбонат калия (6,6 г) и смесь перемешивают при 40°C в течение 15 час. Добавляют этилацетат (300 мл) и смесь промывают последовательно водой (100 мл) и насыщенным раствором соли (100 мл) и сушат над сульфатом натрия. Этилацетат упаривают при пониженном давлении и полученный остаток очищают колоночной хроматографией, получая N-(5-трет-бутоксикарбониламинометил-4,6-диметил-1-октилиндолин-7-ил)-2,2-диметилпропанамид в виде кристаллов (7,9 г). ИК (Nujol) 1H ЯМР (CDCl3) (4) Соединение (4,0 г), полученное на стадии (3), растворяют в хлороформе (100 мл) и добавляют 8 M раствор хлористого водорода в 2-пропаноле (11 мл) при охлаждении льдом. Смесь перемешивают при комнатной температуре в течение 1 час, промывают последовательно насыщенным водным раствором гидрокарбоната натрия (70 мл) и насыщенным раствором соли (70 мл) и сушат над сульфатом натрия. К полученному раствору добавляют метансульфонилхлорид (939 мг) и триэтиламин (830 мг) при охлаждении льдом и смесь перемешивают при той же температуре в течение 30 мин, промывают последовательно 5% водным раствором лимонной кислоты (70 мл) и насыщенным раствором соли (70 мл) и сушат над сульфатом натрия. Хлороформ упаривают при пониженном давлении. Полученный остаток очищают колоночной хроматографией и полученное масло (1,5 г) растворяют в хлороформе (30 мл). Добавляют 8 M раствор хлористого водорода в 2-пропаноле (0,48 мл) при охлаждении льдом. Хлороформ упаривают при пониженном давлении, получая указанное в заголовке соединение в виде порошка (1,2 г). ИК (Nujol) 1H ЯМР (CDCl3) Соединения примеров 11-45 синтезируют в соответствии с методиками примеров 1-10. Пример 11 N-(5-Метансульфониламино-4,6-диметил-1-пентилиндолин-7-ил)-2,2-диметилпропанамид ИК (Nujol) 1H ЯМР (CDCl3) Пример 12 N-(1-Бутил-5-метансульфониламино-4,6-диметилиндолин-7-ил)-2,2-диметилпропанамид ИК (Nujol) 1H ЯМР (CDCl3) Пример 13 N-[5-Метансульфониламино-4,6-диметил-1-(3-метилбутил)индолин-7-ил]-2,2-диметилпропанамид ИК (Nujol) 1H ЯМР (CDCl3) Пример 14 N-(5-Метансульфониламино-4,6-диметил-1-пропилиндолин-7-ил)-2,2-диметилпропанамид ИК (Nujol) 1H ЯМР (CDCl3) Пример 15 N-[5-Метансульфониламино-4,6-диметил-1-(2- метилпропил)индолин-7-ил]-2,2-диметилпропанамид ИК (Nujol) 1H ЯМР (CDCl3) Пример 16 N-(1-Этил-5-метансульфониламино-4,6-диметилиндолин-7-ил)-2,2-диметилпропанамид ИК (Nujol) 1H ЯМР (CDCl3) Пример 17 Гидрохлорид N-(4,6-диметил-1-пропил-5-сульфамоиламиноиндолин-7-ил)-2,2-диметилпропанамида ИК (Nujol) 1Н ЯМР (ДМСО-d6) Пример 18 Гидрохлорид N-(4,6-диметил-1-пентил-5-сульфамоиламиноиндолин-7-ил)-2,2-диметилпропанамида ИК (Nujol) 1Н ЯМР (ДМСО-d6) Пример 19 Гидрохлорид N-(1-бутил-4,6-диметил-5-сульфамоиламиноиндолин-7-ил)-2,2-диметилпропанамида ИК (Nujol) 1Н ЯМР (ДМСО-d6) Пример 20 Гидрохлорид N-[1-(3-метилбутил)-4,6-диметил-5-сульфамоиламиноиндолин-7-ил]-2,2-диметилпропанамида ИК (Nujol) 1Н ЯМР (ДМСО-d6) Пример 21 Гидрохлорид N-[1-(2-метилпропил)-4,6-диметил-5-сульфамоиламиноиндолин-7-ил]-2,2-диметилпропанамида ИК (Nujol) 1Н ЯМР (ДМСО-d6) Пример 22 N-(1-Гексил-5-метансульфониламино-4,6-диметилиндолин-7-ил) -2,2-диметилпропанамид ИК (Nujol) 1H ЯМР (CDCl3) Пример 23 Гидрохлорид N-[4,6-диметил-7-(2-пропансульфониламино)индолин-5-ил]-2,2-диметилундеканамида ИК (Nujol) 1Н ЯМР (ДМСО-d6) Пример 24 N-[4,6-Диметил-7-(2-пропансульфониламино)индолин-5-ил]-2,2-диметилоктанамид ИК (Nujol) 1H ЯМР (CDCl3) Пример 25 N-[4,6-Диметил-7-(п-толуол)сульфониламиноиндолин-5-ил]-2,2-диметилундеканамид ИК (Nujol) 1H ЯМР (CDCl3) Пример 26 Гидрохлорид N-(4,6-диметил-7-сульфамоиламиноиндолин-5-ил)-2,2-диметилундеканамида ИК (Nujol) 1Н ЯМР (ДМСО-d6) Пример 27 N-(4,6-Диметил-7-уреидоиндолин-5-ил)-2,2-диметилундеканамид ИК (Nujol) 1H ЯМР (CDCl3) Пример 28 N-[4,6-Диметил-7-(2-пропансульфониламино)индолин-5-ил]циклогексанкарбоксамид ИК (Nujol) 1H ЯМР (CDCl3) Пример 29 N-[4,6-Диметил-7-(1-октансульфониламино)индолин-5-ил]-2,2-диметилпропанамид ИК (Nujol) 1H ЯМР (CDCl3) Пример 30 N-[4,6-Диметил-7-(2-пропансульфониламино)индолин-5-ил]бензамид ИК (Nujol) 1Н ЯМР (ДМСО-d6) Пример 31 N-(5-Метансульфониламино-1,4,6-триметилиндолин-7-ил)-2,2-диметилпропанамид ИК (Nujol) 1Н ЯМР (ДМСО-d6) Пример 32 Гидрохлорид N-(1-бутил-5-метансульфониламино-4,6-диметилиндолин-7-ил)-2,2-диметилпропанамида ИК (Nujol) 1H ЯМР (CDCl3) Пример 33 Гидрохлорид N-[5-метансульфониламино-4,6-диметил-1-(2-метилпропил)индолин-7-ил]-2,2-диметилпропанамида ИК (Nujol) 1H ЯМР (CDCl3) Пример 34 Гидрохлорид N-(5-метансульфониламино-4,6-диметил-1-пентилиндолин-7-ил)-2,2-диметилпропанамида ИК (Nujol) 1H ЯМР (CDCl3) Пример 35 Гидрохлорид N-[5-метансульфониламино-4,6-диметил-1-(3-метилбутил)индолин-7-ил]-2,2-диметилпропанамида ИК (Nujol) 1H ЯМР (CDCl3) Пример 36 N-(1-Бутил-5-метансульфониламино-4,6-диметилиндолин-7-ил)-2,2-диметилбутанамид ИК (Nujol) 1H ЯМР (CDCl3) Пример 37 N-(1-Бутил-5-метансульфониламино-4,6-диметилиндолин-7-ил)-2-метилпропанамид ИК (Nujol) 1Н ЯМР (ДМСО-d6) Пример 38 N-(1-Изопропил-5-метансульфониламино-4,6-диметилиндолин-7-ил)-2,2-диметилпропанамид ИК (Nujol) 1H ЯМР (CDCl3) Пример 39 Гидрохлорид N-[1-(2,2-диметилпропил)-5-метансульфониламино-4,6-диметилиндолин-7-ил]-2,2-диметилпропанамида ИК (Nujol) 1H ЯМР (CDCl3) Пример 40 N-(1-Циклобутилметил-5-метансульфониламино-4,6-диметилиндолин-7-ил)-2,2-диметилпропанамид ИК (Nujol) 1Н ЯМР (ДМСО-d6) Пример 41 N-(1-Циклопентил-5-метансульфониламино-4,6-диметилиндолин-7-ил)-2,2-диметилпропанамид ИК (Nujol) 1Н ЯМР (ДМСО-d6) Пример 42 N-(1-Циклопропилметил-5-метансульфониламино-4,6-диметилиндолин-7-ил)-2,2-диметилпропанамид ИК (Nujol) 1Н ЯМР (ДМСО-d6) Пример 43 Гидрохлорид N-(1-циклопентил-4,6-диметил-5-сульфамоиламиноиндолин-7-ил)-2,2-диметилпропанамида ИК (Nujol) 1Н ЯМР (ДМСО-d6) Пример 44 N-[5-(N-Ацетилсульфамоиламино)-4,6-диметил-1-пропилиндолин-7-ил]-2,2-диметилпропанамид ИК (Nujol) 1Н ЯМР (ДМСО-d6) Пример 45 N-[5-Метансульфониламино-4,6-диметил-1-(3-метил-2-бутенил)индолин-7-ил]-2,2-диметилпропанамид ИК (Nujol) 1Н ЯМР (ДМСО-d6) Пример 46 Гидрохлорид N-[1-(2-этоксиэтил)-4,6-диметил-5-сульфамоиламиноиндолин-7-ил]-2,2-диметилпропанамида (1) N-(4,6-Диметил-5-нитроиндолин-7-ил)-2,2-диметилпропанамид (800 мг) растворяют в N,N-диметилформамиде (8,0 мл) и в атмосфере азота добавляют диизопропилэтиламин (0,93 мл) и простой бромметилэтиловый эфир (0,62 мл). Смесь перемешивают при 100°C в течение 16 час. К реакционной смеси добавляют этилацетат (100 мл), смесь промывают последовательно 5% водным раствором лимонной кислоты, водой и насыщенным раствором соли (по 50 мл каждого) и сушат над сульфатом натрия. Полученный остаток очищают хроматографией на колонке с силикагелем, получая N-[1-(2-этоксиэтил)-4,6-диметил-5-нитроиндолин-7-ил]-2,2-диметилпропанамид в виде кристаллов (820 мг). ИК (Nujol) 1Н ЯМР (CDCl3) (2) Соединение (800 мг), полученное на стадии (1), растворяют в метаноле (16 мл) и добавляют 5% палладий на угле (200 мг). Смесь подвергают каталитическому гидрированию при 35°С, 3 кгс/см2 в течение 11 час. Палладий на угле отфильтровывают и растворитель упаривают при пониженном давлении. К полученному кристаллическому остатку добавляют диэтиловый эфир (20 мл), кристаллы промывают перемешиванием смеси и отфильтровывают, получая N-[5-амино-1-(2-этоксиэтил)-4,6-диметилиндолин-7-ил]-2,2-диметилпропанамид в виде кристаллов (570 мг). ИК (Nujol) 1Н ЯМР (CDCl3) (3) трет-Бутанол (0,23 мл) растворяют в метиленхлориде (4 мл) и по каплям добавляют хлорсульфонилизоцианат (0,21 мл) при -10°C. Смесь перемешивают при той же температуре в течение 20 мин. Добавляют соединение (400 мг), полученное на стадии (2), и триэтиламин (0,33 мл) и смесь перемешивают при той же температуре в течение 15 мин. К реакционной смеси добавляют этилацетат (50 мл), смесь промывают последовательно 5% водным раствором лимонной кислоты, 5% водным раствором гидрокарбоната натрия и насыщенным раствором соли (по 50 мл каждого) и сушат над сульфатом натрия. Растворитель упаривают при пониженном давлении и полученный остаток очищают хроматографией на колонке с силикагелем, получая N-[5-(N-трет-бутоксикарбонил)сульфамоиламино-1-(2-этоксиэтил)-4,6-диметилиндолин-7-ил]-2,2-диметилпропанамид (440 мг). ИК (Nujol) 1H ЯМР (CDCl3) (4) Указанное в заголовке соединение получают в виде кристаллов (235 мг) обработкой по аналогичной методике примера 6, используя соединение (420 мг), полученное на стадии (3). ИК (Nujol) 1Н ЯМР (ДМСО-d6) Пример 47 Гидрохлорид N-[1-(2-метоксиэтил)-4,6-диметил-5-сульфамоиламиноиндолин-7-ил]-2,2-диметилпропанамида ИК (Nujol) 1H ЯМР (ДМСО-d6) Пример 48 N-[1-(2-Этоксиэтил)-5-метансульфониламино-4,6-диметилиндолин-7-ил]-2,2-диметилпропанамид ИК (Nujol) 1H ЯМР (CDCl3) Пример 49 N-[1-(2-Метоксиэтил)-5-метансульфониламино-4,6-диметилиндолин-7-ил]-2,2-диметилпропанамид ИК (Nujol) 1H ЯМР (CDCl3) Пример 50 Гидрохлорид N-(2-метоксиметил-4,6-диметил-1-пропил-5-сульфамоиламиноиндолин-7-ил)-2,2-диметилпропанамида (1) 2-Гидроксиметил-4,6-диметилиндол (14,5 г) растворяют в уксусной кислоте (145 мл) и добавляют порциями цианоборогидрид натрия (11,6 г) при 10°C. Смесь перемешивают при той же температуре в течение 1 час. Добавляют по каплям раствор гидрохлорида натрия (101 г) в воде (400 мл), смесь экстрагируют этилацетатом (1 л), промывают последовательно водой (500 мл) и насыщенным раствором соли (500 мл) и сушат над сульфатом натрия. Этилацетат упаривают при пониженном давлении, получая 2-гидроксиметил-4,6-диметилиндолин в виде масла (13,8 г). Полученное масло растворяют в хлороформе (138 мл) и добавляют уксусный ангидрид (22 мл) и триэтиламин (32,6 мл) при охлаждении льдом. Смесь перемешивают при комнатной температуре в течение 2 дней. Реакционную смесь промывают последовательно 5% водным раствором лимонной кислоты, водой и насыщенным раствором соли (по 200 мл каждого) и сушат над сульфатом натрия. Хлороформ упаривают при пониженном давлении и получают 2-ацетоксиметил-1-ацетил-4,6-диметилиндолин в виде масла (18,3 г). Полученное масло растворяют в метаноле (200 мл) и добавляют 1 M водный раствор гидроксида лития (93 мл) при охлаждении льдом. Смесь перемешивают при той же температуре в течение 30 мин. Доводят рН реакционной смеси до 4 с помощью 2 М хлористоводородной кислоты и упаривают метанол при пониженном давлении. К полученному остатку добавляют диэтиловый эфир (100 мл), перемешивают при охлаждении льдом в течение 30 мин и затем выпавшие кристаллы отфильтровывают, получая 1-ацетил-2-гидроксиметил-4,6-диметилиндолин (12,18 г). ИК (Nujol) 1H ЯМР (CDCl3) (2) Соединение (8,34 г), полученное на стадии (1), растворяют в N,N-диметилформамиде (83 мл) и в атмосфере азота добавляют порциями гидрид натрия (60% суспензия в масле) (1,39 г) при охлаждении льдом. Смесь перемешивают при комнатной температуре в течение 10 мин и добавляют метилиодид (11,8 мл). Смесь перемешивают при 80°C в течение 2 час. Добавляют этилацетат (500 мл), смесь промывают последовательно 5% водным раствором лимонной кислоты, водой и насыщенным раствором соли (по 500 мл каждого) и сушат над сульфатом натрия. Этилацетат упаривают при пониженном давлении и полученный остаток очищают хроматографией на колонке с силикагелем, получая 1-ацетил-2-метоксиметил-4,6-диметилиндолин в виде кристаллов (3,95 г). ИК (Nujol) 1H ЯМР (CDCl3) (3) Соединение (4,17 г), полученное на стадии (2), растворяют в хлороформе (60 мл) и по каплям добавляют бром (1,0 мл) при охлаждении льдом. Смесь перемешивают при той же температуре в течение 20 мин. Реакционный раствор промывают последовательно 5% водным раствором гидросульфита натрия, 5% водным раствором гидрокарбоната натрия и насыщенным раствором соли (по 50 мл каждого). Хлороформ упаривают при пониженном давлении и получают 1-ацетил-5-бром-2-метоксиметил-4,6-диметилиндолин (5,21 г). ИК (Nujol) 1H ЯМР (CDCl3) (4) Соединение (5,21 г), полученное на стадии (3), растворяют в уксусной кислоте (52 мл) и добавляют концентрированную серную кислоту (1,78 мл) и дымящую азотную кислоту (1,12 мл) при 15°С. Смесь перемешивают при той же температуре в течение 20 мин. Реакционный раствор выливают в воду со льдом (300 мл) и выпавшие в осадок кристаллы отфильтровывают. Полученные кристаллы растворяют в хлороформе (100 мл), раствор промывают последовательно 5% водным раствором гидрокарбоната натрия и насыщенным раствором соли и сушат над сульфатом натрия. Хлороформ упаривают при пониженном давлении и получают 1-ацетил-5-бром-2-метоксиметил-4,6-диметил-7-нитроиндолин в виде кристаллов (5,9 г). ИК (Nujol) 1H ЯМР (CDCls) (5) Соединение (5,9 г), полученное на стадии (4), растворяют в метаноле (185 мл) и добавляют 5% палладий на угле (1,78 г). Смесь подвергают каталитическому гидрированию при 35°С, 3 кгс/см2 в течение 16 час. Палладий на угле отфильтровывают и растворитель упаривают при пониженном давлении. К полученному кристаллическому остатку добавляют этилацетат (50 мл), кристаллы промывают перемешиванием смеси и отфильтровывают, получая гидробромид 1-ацетил-7-амино-2-метоксиметил-4,6-диметилиндолина в виде кристаллов (4,95 г). Полученные кристаллы растворяют в метиленхлориде (50 мл) и добавляют по каплям пивалоилхлорид (1,94 мл) и триэтиламин (4,4 мл) при охлаждении льдом. Смесь перемешивают при той же температуре в течение 1 час, реакционную смесь промывают последовательно 5% водным раствором лимонной кислоты, водой и насыщенным раствором соли (по 50 мл каждого) и сушат над сульфатом натрия. Метиленхлорид упаривают при пониженном давлении и полученный остаток очищают хроматографией на колонке с силикагелем, получая N-(1-ацетил-2-метоксиметил-4,6-диметилиндолин-7-ил)-2,2-диметилпропанамид (4,87 г). ИК (Nujol) 1H ЯМР (CDCl3) (6) Соединение (1,5 г), полученное на стадии (5), растворяют в уксусной кислоте (7,5 мл) и добавляют концентрированную серную кислоту (0,48 мл) и дымящую азотную кислоту (0,28 мл) при 15°C. Смесь перемешивают при той же температуре в течение 20 мин. Реакционный раствор выливают в воду со льдом (150 мл) и отфильтровывают выпавшие в осадок кристаллы. Полученные кристаллы растворяют в хлороформе (50 мл), промывают последовательно 5% водным раствором гидрокарбоната натрия и насыщенным раствором соли (по 50 мл каждого) и сушат над сульфатом натрия. Хлороформ упаривают при пониженном давлении, получая N-(1-ацетил-2-метоксиметил-4,6-диметил-5-нитроиндолин-7-ил)-2,2-диметилпропанамид в виде кристаллов (1,44 г). ИК (Nujol) 1H ЯМР (CDCl3) (7) Соединение (1,44 г), полученное на стадии (6), растворяют в этаноле (14,4 мл) и добавляют 2 M водный раствор гидроксида натрия (4,77 мл). Смесь перемешивают при 60°C в течение 1 час. Растворитель упаривают при пониженном давлении и полученный остаток растворяют в этилацетате (50 мл), промывают последовательно насыщенным водным раствором гидрокарбоната натрия и насыщенным раствором соли (по 50 мл каждого) и сушат над сульфатом натрия. Этилацетат упаривают при пониженном давлении и к полученному кристаллическому остатку добавляют диизопропиловый эфир (20 мл). Кристаллы промывают перемешиванием смеси и отфильтровывают, получая N-(2-метоксиметил-4,6-диметил-5-нитроиндолин-7-ил)-2,2-диметилпропанамид в виде кристаллов (1,26 г). ИК (Nujol) 1H ЯМР (CDCl3) (8) Соединение (1,25 г), полученное на стадии (7), растворяют в N,N-диметилформамиде (6,25 мл) и в атмосфере азота добавляют диизопропилэтиламин (0,95 мл) и пропилиодид (0,73 мл). Смесь перемешивают при 90°C в течение 14 час. К реакционной смеси добавляют этилацетат (50 мл), смесь промывают последовательно 5% водным раствором лимонной кислоты, водой и насыщенным раствором соли (по 50 мл каждого) и сушат над сульфатом натрия. Полученный остаток очищают хроматографией на колонке с силикагелем, получая N-(2-метоксиметил-4,6-диметил-5-нитро-1-пропилиндолин-7-ил)-2,2-диметилпропанамид в виде кристаллов (840 мг). ИК (Nujol) 1H ЯМР (CDCl3) (9) Соединение (830 мг), полученное на стадии (8), растворяют в метаноле (16,6 мл) и добавляют 5% палладий на угле (170 мг). Смесь подвергают каталитическому гидрированию при 30°C и давлении 3 кгс/см2 в течение 11 час. Палладий на угле отфильтровывают и растворитель упаривают при пониженном давлении. К полученному кристаллическому остатку добавляют диизопропиловый эфир (20 мл), кристаллы промывают перемешиванием смеси и отфильтровывают, получая N-(5-амино-2-метоксиметил-4,6-диметил-1-пропилиндолин-7-ил)-2,2-диметилпропанамид в виде кристаллов (590 мг). ИК (Nujol) 1H ЯМР (CDCl3) (10) трет-Бутанол (0,295 мл) растворяют в метиленхлориде (7,2 мл) и добавляют по каплям хлорсульфонилизоцианат (0,27 мл) при -10°C. Смесь перемешивают при той же температуре в течение 20 мин. Добавляют раствор соединения (540 мг), полученного на стадии (9), в метиленхлориде (7,2 мл) и триэтиламин (0,43 мл) и смесь перемешивают при той же температуре в течение 15 мин. Этилацетат (50 мл) добавляют к реакционной смеси и смесь промывают последовательно 5% водным раствором лимонной кислоты, насыщенным раствором гидрокарбоната натрия и насыщенным раствором соли (по 50 мл каждого) и сушат над сульфатом натрия. Растворитель упаривают при пониженном давлении и полученный остаток очищают хроматографией на колонке с силикагелем, получая N-[5-(N-трет-бутоксикарбонил)сульфамоиламино-2-метоксиметил-4,6-диметил-1-пропилиндолин-7-ил]-2,2-диметилпропанамид (560 мг). ИК (Nujol) 1H ЯМР (CDCl3) (11) Соединение (550 мг), полученное на стадии (10), растворяют в муравьиной кислоте (2,2 мл) и добавляют 8,7 M раствор хлористого водорода в 2-пропаноле (0,38 мл) при охлаждении льдом. Смесь перемешивают при той же температуре в течение 20 мин. Добавляют диэтиловый эфир (50 мл) и кристаллы, выпавшие в осадок, отфильтровывают, получая указанное в заголовке соединение в виде кристаллов (330 мг). ИК (Nujol) 1Н ЯМР (ДМСО-d6) В соответствии с методикой примера 50 синтезируют соединение примера 51. Пример 51 Гидрохлорид N-(2-этоксиметил-4,6-диметил-1-пропил-5-сульфамоиламиноиндолин-7-ил)-2,2-диметилпропанамида ИК (Nujol) 1Н ЯМР (ДМСО-d6) Пример 52 N-(1-Бутирил-4,6-диметил-5-сульфамоиламиноиндолин-7-ил)-2,2-диметилпропанамид (1) N-(4,6-Диметил-5-нитроиндолин-7-ил)-2,2-диметилпропанамид (1,0 г) растворяют в хлороформе (10 мл) и добавляют триэтиламин (0,69 мл) и бутирилхлорид (0,52 мл) при охлаждении льдом. Смесь перемешивают при той же температуре в течение 15 мин. К реакционной смеси добавляют этилацетат (100 мл) и смесь промывают последовательно 5% водным раствором лимонной кислоты, водой и насыщенным раствором соли (по 100 мл каждого) и сушат над сульфатом натрия. Этилацетат упаривают при пониженном давлении и полученный остаток очищают хроматографией на колонке с силикагелем, получая N-(1-бутирил-4,6-диметил-5-нитроиндолин-7-ил)-2,2-диметилпропанамид в виде кристаллов (0,94 г). ИК (Nujol) 1H ЯМР (CDCl3) (2) Соединение (0,9 г), полученное на стадии (1), растворяют в метаноле (20 мл) и добавляют 5% палладий на угле (200 мг). Смесь подвергают каталитическому гидрированию при 35°C, 3 кгс/см2 в течение 11 час. Палладий на угле отфильтровывают и растворитель упаривают при пониженном давлении. К полученному кристаллическому остатку добавляют диэтиловый эфир (20 мл), кристаллы промывают перемешиванием смеси и отфильтровывают, получая N-(5-амино-1-бутирил-4,6-диметилиндолин-7-ил)-2,2-диметилпропанамид в виде кристаллов (0,79 г). ИК (Nujol) 1H ЯМР (CDCl3) (3) N-[5-(N-трет-Бутоксикарбонил)сульфамоиламино-1-бутирил-4,6-диметилиндолин-7-ил]-2,2-диметилпропанамид получают в виде кристаллов (548 мг) обработкой по аналогичной методике примера 50 (10), используя соединение (400 мг), полученное на стадии (2). ИК (Nujol) 1H ЯМР (CDCl3) (4) Указанное в заголовке соединение получают в виде кристаллов (618 мг) обработкой по аналогичной методике примера 6, используя соединение (1,36 г), полученное на стадии (3). ИК (Nujol) 1H ЯМР (CDCl3) Пример 53 Гидрохлорид N-(2,4,6-триметил-1-пропил-5-сульфамоиламиноиндолин–7-ил)-2,2-диметилпропанамида (1) 1-Ацетил-2,4,6-триметилиндолин получают в виде кристаллов (520 мг) обработкой по аналогичной методике примера 1(1), используя 2,4,6-триметилиндол (480 мг). ИК (Nujol) 1H ЯМР (CDCl3) (2) 1-Ацетил-5-бром-2,4,6-триметилиндолин (10,85 г) получают обработкой по аналогичной методике примера 50(3), используя соединение (8,3 г), полученное на стадии (1). ИК (Nujol) 1H ЯМР (CDCl3) (3) 1-Ацетил-5-бром-2,4,6-триметил-7-нитроиндолин получают в виде кристаллов (440 мг) обработкой по аналогичной методике примера 50 (4), используя соединение (540 мг), полученное на стадии (2). ИК (Nujol) 1H ЯМР (CDCl3) (4) N-(1-Ацетил-2,4,6-триметилиндолин-7-ил)-2,2-диметилпропанамид (951 мг) получают обработкой по аналогичной методике примера 50(5), используя соединение (1,0 г), полученное на стадии (3). ИК (Nujol) 1H ЯМР (CDCl3) (5) N-(1-Ацетил-2,4,6-триметил-5-нитроиндолин-7-ил)-2,2-диметилпропанамид получают в виде кристаллов (6,68 г) обработкой по аналогичной методике примера 50(6), используя соединение (6,94 г), полученное на стадии (4). (6) N-(2,4,6-Триметил-5-нитроиндолин-7-ил)-2,2-диметилпропанамид (2,56 г) получают обработкой по аналогичной методике примера 50(7), используя соединение (3,0 г), полученное на стадии (5). ИК (Nujol) 1H ЯМР (CDCl3) (7) N-(2,4,6-Триметил-5-нитро-1-пропилиндолин-7-ил)-2,2-диметилпропанамид (710 мг) в виде кристаллов получают обработкой по аналогичной методике примера 50(8), используя соединение (700 мг), полученное на стадии (6). ИК (Nujol) 1H ЯМР (CDCl3) (8) Соединение (686 мг), полученное на стадии (7), растворяют в метаноле (15 мл) и добавляют 5% палладий на угле (170 мг). Смесь подвергают каталитическому гидрированию при 30°С, 3 кгс/см2 в течение 11 час. Палладий на угле отфильтровывают и растворитель упаривают при пониженном давлении. К полученному кристаллическому остатку добавляют диизопропиловый эфир (20 мл), кристаллы промывают перемешиванием смеси и отфильтровывают, получая N-(5-амино-2,4,6-триметил-1-пропилиндолин-7-ил)-2,2-диметилпропанамид в виде кристаллов (513 мг). трет-Бутанол (0,18 мл) растворяют в метиленхлориде (1,8 мл) и по каплям добавляют хлорсульфонилизоцианат (0,16 мл) при -10°C. Смесь перемешивают при той же температуре в течение 20 мин. Добавляют кристаллы (500 мг), полученные ранее, и триэтиламин (0,26 мл) и смесь перемешивают при той же температуре в течение 1 час. К реакционной смеси добавляют этилацетат (50 мл) и смесь промывают последовательно 5% раствором лимонной кислоты, 5% водным раствором гидрокарбоната натрия и насыщенным раствором соли (по 50 мл каждого) и сушат над сульфатом натрия. Растворитель упаривают при пониженном давлении и полученный остаток очищают хроматографией на колонке с силикагелем, получая N-[5-(N-трет-бутоксикарбонил)сульфамоиламино-2,4,6-триметил-1-пропилиндолин-7-ил]-2,2-диметилпропанамид (680 мг). ИК (Nujol) 1Н ЯМР (ДМСО-d6) (9) Указанное в заголовке соединение получают в виде кристаллов (384 мг) обработкой по аналогичной методике примера 6, используя соединение (660 мг), полученное на стадии (8). ИК (Nujol) 1Н ЯМР (ДМСО-d6) В соответствии с методиками примера 50 синтезируют соединения примеров 54 и 55. Пример 54 Гидрохлорид N-[1-(2-этоксиэтил)-2,4,6-триметил-5-сульфамоиламиноиндолин-7-ил]-2,2-диметилпропанамида ИК (Nujol) 1Н ЯМР (ДМСО-d6) Пример 55 Гидрохлорид N-[1-(2-метоксиэтил)-2,4,6-триметил-5-сульфамоиламиноиндолин-7-ил]-2,2-диметилпропанамида ИК (Nujol) 1Н ЯМР (ДМСО-d6) Пример 56 Гидрохлорид N-[3-(2-метоксиэтил)-4,6-диметил-1-пропил-5-сульфамоиламиноиндолин-7-ил]-2,2-диметилпропанамида (1) 4,6-Диметилтриптофол (16,53 г) растворяют в уксусной кислоте (83 мл) и порциями добавляют цианоборогидрид натрия (10,7 г) при 10°C. Смесь перемешивают при той же температуре в течение 1 час. Добавляют по каплям раствор гидроксида натрия (60 г) в воде (200 мл) и смесь экстрагируют этилацетатом (1 л), промывают последовательно водой и насыщенным раствором соли (по 500 мл каждого) и сушат над сульфатом натрия. Этилацетат упаривают при пониженном давлении, получая 3-(2-гидроксиэтил)-4,6-диметилиндолин в виде кристаллов (16,34 г). Полученные кристаллы (16,34 г) растворяют в тетрагидрофуране (160 мл) и добавляют ди-трет-бутилдикарбонат (22,39 г). Смесь перемешивают при комнатной температуре в течение 2 час. Тетрагидрофуран упаривают при пониженном давлении и полученный остаток очищают хроматографией на колонке с силикагелем, получая 1-трет-бутоксикарбонил-3-(2-гидроксиэтил)-4,6-диметилиндолин (22,14 г). ИК (Nujol) 1H ЯМР (CDCl3) (2) Соединение (22,1 г), полученное на стадии (1), и метилиодид (9,47 мл) растворяют в N,N-диметилформамиде (110 мл) и порциями добавляют гидрид натрия (60% суспензия в масле) (3,92 г) при охлаждении льдом. Смесь перемешивают при той же температуре в течение 30 мин и добавляют этилацетат (500 мл). Смесь промывают последовательно 5% раствором лимонной кислоты, водой и насыщенным раствором соли (по 500 мл каждый) и сушат над сульфатом натрия. Этилацетат упаривают при пониженном давлении, получая 1-трет-бутоксикарбонил-3-(2-метоксиэтил)-4,6-диметилиндолин (22,8 г). ИК (Nujol) 1H ЯМР (CDCl3) (3) Соединение (22,7 г), полученное на стадии (2), растворяют в муравьиной кислоте (72 мл) и добавляют 8,7 M раствор хлористого водорода в 2-пропаноле (29 мл) при охлаждении льдом. Смесь перемешивают при той же температуре в течение 15 мин. Добавляют смесь (500 мл) н-гексан-диизопропиловый эфир (5-1) и отделяют масло. Полученное масло растворяют в воде (500 мл) и смесь нейтрализуют гидрокарбонатом натрия. Смесь экстрагируют этилацетатом (500 мл), промывают последовательно водой и насыщенным раствором соли (по 500 мл) и сушат над сульфатом натрия. Этилацетат упаривают при пониженном давлении, получая 3-(2-метоксиэтил)-4,6-диметилиндолин в виде масла (14,0 г). Полученное масло растворяют в хлороформе (155 мл) и добавляют уксусный ангидрид (10,7 мл) и триэтиламин (15,8 мл) при охлаждении льдом. Смесь перемешивают при комнатной температуре в течение 1 час. Реакционную смесь промывают последовательно 5% раствором лимонной кислоты, 5% раствором гидрокарбоната натрия и насыщенным раствором соли (по 200 мл каждого) и сушат над сульфатом натрия. Хлороформ упаривают при пониженном давлении и полученный остаток очищают хроматографией на колонке с силикагелем, получая 1-ацетил-3-(2-метоксиэтил)-4,6-диметилиндолин в виде масла (19,7 г). ИК (Nujol) 1H ЯМР (CDCl3) (4) 1-Ацетил-5-бром-3-(2-метоксиэтил)-4,6-диметилиндолин (26,7 г) получают обработкой по аналогичной методике примера 50 (3), используя соединение (19,6 г), полученное на стадии (3). ИК (Nujol) 1H ЯМР (CDCl3) (5) 1-Ацетил-5-бром-3-(2-метоксиэтил)-4,6-диметил-7-нитроиндолин получают в виде кристаллов (19,4 г) обработкой по аналогичной методике примера 50(4), используя соединение (26,6 г), полученное на стадии (4). ИК (Nujol) 1H ЯМР (CDCl3) (6) N-[1-Ацетил-3-(2-метоксиэтил)-4,6-диметилиндолин-7-ил]-2,2-диметилпропанамид (9,09 г) получают обработкой по аналогичной методике примера 50(5), используя соединение (10 г), полученное на стадии (5). ИК (Nujol) 1H ЯМР (CDCl3) (7) N-[1-Ацетил-3-(2-метоксиэтил)-4,6-диметил-5-нитроиндолин-7-ил]-2,2-диметилпропанамид в виде кристаллов (10,96 г) получают обработкой по аналогичной методике примера 50(6), используя соединение (9,0 г), полученное на стадии (6). ИК (Nujol) 1H ЯМР (CDCl3) (8) N-[3-(2-Метоксиэтил)-4,6-диметил-5-нитроиндолин-7-ил]-2,2-диметилпропанамид получают в виде кристаллов (6,08 г) обработкой по аналогичной методике примера 50(7), используя соединение (9,3 г), полученное на стадии (7). ИК (Nujol) 1H ЯМР (CDCl3) (9) N-[3-(2-Метоксиэтил)-4,6-диметил-5-нитро-1-пропилиндолин-7-ил-2,2-диметилпропанамид получают в виде кристаллов (1,44 г) обработкой по аналогичной методике примера 50(8), используя соединение (1,5 г), полученное на стадии (8). ИК (Nujol) 1H ЯМР (CDCl3) (10) N-[5-Амино-3-(2-метоксиэтил)-4,6-диметил-1-пропилиндолин-7-ил]-2,2-диметилпропанамид получают в виде кристаллов (1,3 г) обработкой по аналогичной методике примера 50(9), используя соединение (1,4 г), полученное на стадии (9). 1H ЯМР (CDCl3) (11) N-[5-(N-трет-Бутоксикарбонил)сульфамоиламино-3-(2-метоксиэтил)-4,6-диметил-1-пропилиндолин-7-ил]-2,2-диметилпропанамид (1,77 г) получают обработкой по аналогичной методике примера 50(10), используя соединение (1,25 г), полученное на стадии (10). ИК (Nujol) 1H ЯМР (CDCl3) (12) Указанное в заголовке соединение получают в виде кристаллов (1,08 г) обработкой по аналогичной методике примера 6, используя соединение (1,7 г), полученное на стадии (11). ИК (Nujol) 1Н ЯМР (ДМСО-d6) Пример 57 Гидрохлорид N-(4,6-диметил-2-метилтиометил-1-пропил-5-сульфамоиламиноиндолин-7-ил)-2,2-диметилпропанамида (1) 4,6-Диметил-2-гидроксиметилиндол (14,5 г) растворяют в уксусной кислоте (145 мл) и порциями добавляют цианоборогидрид натрия (11,6 г) при 10°С. Смесь перемешивают при той же температуре в течение 1 час. Добавляют по каплям раствор гидроксида натрия (101 г) в воде (400 мл) и смесь экстрагируют этилацетатом (1 л). Экстракт промывают последовательно водой и насыщенным раствором соли (по 500 мл каждого) и сушат над сульфатом натрия. Этилацетат упаривают при пониженном давлении и получают 2-гидроксиметил-4,6-диметилиндолин в виде масла (13,8 г). Полученное масло растворяют в хлороформе (138 мл) и добавляют уксусный ангидрид (22 мл) и триэтиламин (32,6 мл) при охлаждении льдом. Смесь перемешивают при комнатной температуре в течение 2 дней. Реакционную смесь промывают последовательно 5% раствором лимонной кислоты, водой и насыщенным раствором соли (по 200 мл каждого) и сушат над сульфатом натрия. Хлороформ упаривают при пониженном давлении, получая 2-ацетоксиметилметил-1-ацетил-4,6-диметилиндолин в виде масла (18,3 г). 1H ЯМР (CDCl3) (2) 2-Ацетоксиметил-1-ацетил-5-бром-4,6-диметилиндолин (9,46 г) получают обработкой по аналогичной методике примера 50(3), используя соединение (7,43 г), полученное на стадии (1). ИК (Nujol) 1H ЯМР (CDCl3) (3) 2-Ацетоксиметил-1-ацетил-5-бром-4,6-диметил-7-нитроиндолин получают в виде кристаллов (10,04 г) обработкой по аналогичной методике примера 50(4), используя соединение (9,34 г), полученное на стадии (2). ИК (Nujol) 1H ЯМР (CDCl3) (4) N-(2-Ацетоксиметил-1-ацетил-4,6-диметилиндолин-7-ил)-2,2-диметилпропанамид (7,7 г) получают обработкой по аналогичной методике примера 50(5), используя соединение (10,0 г), полученное на стадии (3). ИК (Nujol) 1H ЯМР (CDCl3) (5) N-(2-Ацетоксиметил-1-ацетил-4,6-диметил-5-нитроиндолин-7-ил)-2,2-диметилпропанамид получают в виде кристаллов (7,92 г) обработкой по аналогичной методике примера 50(6), используя соединение (7,7 г), полученное на стадии (4). ИК (Nujol) 1H ЯМР (CDCl3) (6) Соединение (7,87 г), полученное на стадии (5), растворяют в метаноле (79 мл) и добавляют 1 M водный раствор гидроксида лития (29,1 мл) при охлаждении льдом. Смесь перемешивают при той же температуре в течение 30 мин. К реакционной смеси добавляют хлороформ (300 мл) и смесь промывают последовательно 10% раствором лимонной кислоты, насыщенным водным раствором гидрокарбоната натрия и насыщенным раствором соли (по 300 мл каждого) и сушат над сульфатом натрия. Хлороформ упаривают при пониженном давлении и получают N-(2-гидроксиметил-4,6-диметил-5-нитроиндолин-7-ил)-2,2-диметилпропанамид в виде кристаллов (5,7 г). ИК (Nujol) 1H ЯМР (CDCl3) (7) Соединение (5,34 г), полученное на стадии (6), растворяют в N,N-диметилформамиде (26 мл) и добавляют диизопропилэтиламин (8,48 мл) и пропилиодид (6,48 мл) в атмосфере азота. Смесь перемешивают при 110°C в течение 13 час. К реакционной смеси добавляют этилацетат (200 мл) и смесь промывают последовательно 5% раствором лимонной кислоты, водой и насыщенным раствором соли (по 200 мл каждого) и сушат над сульфатом натрия. Этилацетат упаривают при пониженном давлении и полученный остаток очищают хроматографией на колонке с силикагелем, получая N-(2-гидроксиметил-4,6-диметил-5-нитро-1-пропилиндолин-7-ил)-2,2-диметилпропанамид (3,72 г). ИК (Nujol) 1H ЯМР (CDCl3) (8) Соединение (3,7 г), полученное на стадии (7), растворяют в хлороформе (37 мл) и добавляют метансульфонилхлорид (1,57 мл) и триэтиламин (2,84 мл) при охлаждении льдом. Смесь перемешивают при той же температуре в течение 30 мин. Реакционную смесь промывают последовательно 10% раствором лимонной кислоты, насыщенным водным раствором гидрокарбоната натрия и насыщенным раствором соли (по 50 мл каждого) сушат над сульфатом натрия. Хлороформ упаривают при пониженном давлении и полученный остаток очищают хроматографией на колонке с силикагелем, получая N-(2-метансульфонилоксиметил-4,6-диметил-5-нитро-1-пропилиндолин-7-ил)-2,2-диметилпропанамид в виде масла (1,82 г). Полученное масло растворяют в N,N-диметилформамиде (36 мл) и добавляют тиоацетат калия (942 мг). Смесь перемешивают при 70°С в течение 1 час. К реакционной смеси добавляют этилацетат (200 мл) и смесь промывают последовательно водой и насыщенным раствором соли (по 200 мл каждого) и сушат над сульфатом натрия. Этилацетат упаривают при пониженном давлении, получая N-(2-ацетилтиометил-4,6-диметил-5-нитро-1-пропилиндолин-7-ил)-2,2-диметилпропанамид (1,39 г). ИК (Nujol) 1H ЯМР (CDCl3) (9) Соединение (690 мг), полученное на стадии (8), растворяют в метаноле (20,7 мл) и добавляют 1 M водный раствор гидроксида натрия (1,96 мл) при охлаждении льдом. Смесь перемешивают при той же температуре в течение 1 час. К реакционной смеси добавляют этилацетат (100 мл) и смесь промывают последовательно водой и насыщенным раствором соли (по 100 мл каждого) и сушат над сульфатом натрия. Этилацетат упаривают при пониженном давлении, получая N-(2-меркаптометил-4,6-диметил-5-нитро-1-пропилиндолин-7-ил)-2,2-диметилпропанамид (570 мг). ИК (Nujol) 1H ЯМР (CDCl3) (10) Соединение (550 мг), полученное на стадии (9), растворяют в N,N-диметилформамиде (5,5 мл) и добавляют диизопропилэтиламин (0,32 мл) и метилиодид (0,12 мл) в атмосфере азота. Смесь перемешивают при комнатной температуре в течение 30 мин. К реакционной смеси добавляют этилацетат (50 мл) и смесь промывают последовательно водой и насыщенным раствором соли (по 50 мл каждого) и сушат над сульфатом натрия. Этилацетат упаривают при пониженном давлении, получая N-(4,6-диметил-2-метилтиометил-5-нитро-1-пропилиндолин-7-ил)-2,2-диметилпропанамид (530 мг). ИК (Nujol) 1H ЯМР (CDCl3) (11) N-[5-(N-трет-Бутоксикарбонил)сульфамоиламино-4,6-диметил-2-метилтиометил-1-пропилиндолин-7-ил]-2,2-диметилпропанамид получают обработкой по аналогичной методике примера 53(8), используя соединение (520 мг), полученное на стадии (10). ИК (Nujol) 1Н ЯМР (ДМСО-d6) (12) Указанное в заголовке соединение получают в виде кристаллов (327 мг) обработкой по аналогичной методике примера, используя соединение (410 мг), полученное на стадии (11), таким же образом, как описано в примере 6. ИК (Nujol) 1Н ЯМР (ДМСО-d6) Пример 58 Гидрохлорид N-[1-(6-гидроксигексил)-4,6-диметил-5-сульфамоиламиноиндолин-7-ил]-2,2-диметилпропанамида (1) N-(4,6-Диметил-5-нитроиндолин-7-ил)-2,2-диметилпропанамид (3,15 г) растворяют в N,N-диметилформамиде (30 мл) и в атмосфере азота добавляют диизопропилэтиламин (2,2 мл) и 6-бром-1-гексанол (1,7 мл). Смесь перемешивают при 100°C в течение 14 час. К реакционной смеси добавляют этилацетат (200 мл), смесь промывают последовательно 5% раствором лимонной кислоты, водой и насыщенным раствором соли (по 100 мл каждого) и сушат над сульфатом натрия. Этилацетат упаривают при пониженном давлении и полученный остаток очищают хроматографией на колонке с силикагелем, получая N-[1-(6-гидроксигексил)-4,6-диметил-5-нитроиндолин-7-ил]-2,2-диметилпропанамид в виде кристаллов (1,6 г). 1H ЯМР (CDCl3) (2) Соединение (1,57 г), полученное на стадии (1), растворяют в N,N-диметилформамиде (8 мл) и добавляют имидазол (600 мг) и трет-бутилдиметилсилилхлорид (664 мг). Смесь перемешивают при комнатной температуре в течение 0,5 час. К реакционной смеси добавляют этилацетат (200 мл) и смесь промывают последовательно водой и насыщенным раствором соли (по 100 мл) и сушат над сульфатом натрия. Этилацетат упаривают при пониженном давлении и полученный остаток очищают хроматографией на колонке с силикагелем, получая N-[1-(6-трет-бутилдиметилсилилоксигексил)-4,6-диметил-5-нитроиндолин-7-ил]-2,2-диметилпропанамид (1,89 г). ИК (Nujol) 1H ЯМР (CDCl3) (3) Соединение (1,85 г), полученное на стадии (2), растворяют в метаноле (40 мл) и добавляют 5% палладий на угле (370 мг). Смесь подвергают каталитическому гидрированию при 35°C, 3 кгс/см2 в течение 11 час. Палладий на угле отфильтровывают и упаривают растворитель при пониженном давлении. К полученному кристаллическому остатку добавляют диэтиловый эфир (20 мл), кристаллы промывают перемешиванием смеси и отфильтровывают, получая N-(5-амино-1-(6-трет-бутилдиметилсилилоксигексил)-4,6-диметилиндолин-7-ил)-2,2-диметилпропанамид в виде кристаллов (1,60 г). ИК (Nujol) 1H ЯМР (CDCl3) (4) N-[5-(N-трет-Бутоксикарбонил)сульфамоиламино-1-(6-трет-бутилдиметилсилилоксигексил)-4,6-диметилиндолин-7-ил]-2,2-диметилпропанамид (440 мг) получают обработкой по аналогичной методике примера 5, используя соединение (400 мг), полученное на стадии (3). ИК (Nujol) 1H ЯМР (CDCl3) (5) Указанное в заголовке соединение получают в виде кристаллов (650 мг) обработкой по аналогичной методике примера 6, используя соединение (1,35 г), полученное на стадии (4). ИК (Nujol) 1Н ЯМР (ДМСО-d6) Соединение примера 59 синтезируют по методике примера 57. Пример 59 Гидрохлорид N-(2-этилтиометил-4,6-диметил-1-пропил-5-сульфамоиламиноиндолин-7-ил)-2,2-диметилпропанамида ИК (Nujol) 1Н ЯМР (ДМСО-d6) Пример 60 Гидрохлорид N-[1-(2-этилтиоэтил)-4,6-диметил-5-сульфамоиламиноиндолин-7-ил]-2,2-диметилпропанамида (1) N-[1-(2-Гидроксиэтил)-4,6-диметил-5-нитроиндолин-7-ил]-2,2-диметилпропанамид получают в виде кристаллов (6,21 г) обработкой по аналогичной методике примера 50(8), используя соединение (8,0 г), полученное в примере 1(6), и 2-бромэтанол (5,8 мл). ИК (Nujol) 1H ЯМР (CDCl3) (2) N-[1-(2-Ацетилтиоэтил)-4,6-диметил-5-нитроиндолин-7-ил]-2,2-диметилпропанамид получают в виде кристаллов (6,53 г) обработкой по аналогичной методике примера 57(8), используя соединение (6,21 г), полученное на стадии (1). ИК (Nujol) 1H ЯМР (CDCl3) (3) N-[1-(2-Меркаптоэтил)-4,6-диметил-5-нитроиндолин-7-ил]-2,2-диметилпропанамид получают в виде кристаллов (5,54 г) обработкой по аналогичной методике примера 57(9), используя соединение (6,5 г), полученное на стадии (2). ИК (Nujol) 1H ЯМР (CDCl3) (4) N-[1-(2-Этилтиоэтил)-4,6-диметил-5-нитроиндолин-7-ил]-2,2-диметилпропанамид получают в виде кристаллов (1,4 г) обработкой по аналогичной методике примера 57(10), используя соединение (1,5 г), полученное на стадии (3), и этилиодид (0,65 мл). ИК (Nujol) 1H ЯМР (CDCl3) (5) N-[5-(N-трет-Бутоксикарбонил)сульфамоиламино-1-(2-этилтиоэтил)-4,6-диметил-7-ил]-2,2-диметилпропанамид получают в виде кристаллов (940 мг) обработкой по аналогичной методике примера 53(8), используя соединение (780 мг), полученное на стадии (4). ИК (Nujol) 1H ЯМР (CDCl3) (6) Указанное в заголовке соединение получают в виде кристаллов (680 мг) обработкой по аналогичной методике примера 6, используя соединение (920 мг), полученное на стадии (5). ИК (Nujol) 1Н ЯМР (ДМСО-d6) Пример 61 Гидрохлорид N-[4,6-диметил-1-(2-метилтиоэтил)-5-сульфамоиламиноиндолин-7-ил]-2,2-диметилпропанамида (1) N-[4,6-Диметил-1-(2-метилтиоэтил)-5-нитроиндолин-7-ил]-2,2-диметилпропанамид получают в виде кристаллов (1,42 г) обработкой по аналогичной методике примера 57(10), используя соединение (1,5 г), полученное в примере 60(3), и метилиодид (0,53 мл). ИК (Nujol) 1H ЯМР (CDCl3) (2) N-[5-(N-трет-Бутоксикарбонил)сульфамоиламино-4,6-диметил-1-(2-метилтиоэтил)индолин-7-ил]-2,2-диметилпропанамид получают в виде кристаллов (1,25 г) обработкой по аналогичной методике примера 53(8), используя соединение (1,0 г), полученное на стадии (1). ИК (Nujol) 1H ЯМР (CDCl3) (3) Указанное в заголовке соединение получают в виде кристаллов (915 мг) обработкой по аналогичной методике примера 6, используя соединение (1,22 г), полученное на стадии (2). ИК (Nujol) 1Н ЯМР (ДМСО-d6) Соединения примеров 62 и 63 синтезируют в соответствии с методикой примера 53. Пример 62 Гидрохлорид N-(2-бутил-1,4,6-триметил-5-сульфамоиламиноиндолин-7-ил)-2,2-диметилпропанамида ИК (Nujol) 1H ЯМР (CDCl3) Пример 63 N-(2-Бутил-4,6-диметил-5-сульфамоиламиноиндолин-7-ил)-2,2-диметилпропанамид ИК (Nujol) 1H ЯМР (CDCl3) Затем, чтобы пояснить исключительную активность соединения по данному изобретению, определяют его ингибирующее действие в отношении ACAT печени, образования пенистых клеток макрофагов из THP-1 клеток, секреции липидов печени мышей и in vitro LDL пероксидации и измеряют концентрацию указанного соединения в плазме после его перорального введения, как изложено ниже. Пример эксперимента 1: ингибирующая активность в отношении ACAT печени Корм с высоким содержанием холестерина [пища с добавкой холестерина (1%), Clea Japan, Inc.] дают самцам японских белых кроликов с массой тела 2-2,5 кг по 100 г в день и кроликов содержат в течение 4 недель. Кроликов умерщвляют кровопусканием при обезболивании и удаляют печень. Печень гомогенизируют и гомогенат центрифугируют при 4°С и 10000 об/мин в течение 15 мин. Полученный супернатант дополнительно центрифугируют при 4°C и 41000 об/мин в течение 60 мин и получают микросомальные фракции. Микросомальную суспензию в виде образца фермента, диметилсульфоксид (ДМСО, 5 мкл) или испытуемое соединение, растворенное в ДМСО (раствор испытуемого соединения 3 мкл), и субстрат реакции [1-14C]-олеоил CoA добавляют к 0,15 М фосфатному буферу до общего количества 300 мкл. После инкубирования при 37°С в течение 20 мин добавляют смесь хлороформ-метанол для того, чтобы остановить реакцию. Добавляют воду, перемешивают и отделяют хлороформный слой. Растворитель упаривают досуха и остаток растворяют в н-гексане. Смесь анализируют тонкослойной хроматографией на пластинках с силикагелем. Соскребают пятна холестерилолеата с пластинок с силикагелем и количественно оценивают c помощью жидкостного сцинтилляционного счетчика. Ингибирующую активность испытуемого соединения в отношении ACAT печени выражают как отношение (%) ингибирования холестерилолеата, а именно отношение ингибирования продуцирования холестерилолеата по сравнению с контролем; результаты приведены в таблице 1.
Пример эксперимента 2: эффект подавления образования пенистых клеток макрофагов из THP-1 клеток (эффект, ингибирования аккумуляции сложных эфиров холестерина) THP-1 клетки (Dainippon Pharmaceutical Co., Ltd.) культивируют с пассажем в среде RPMI-1640 с добавлением 10% фетальной бычьей сыворотки (FBS) и используют клетки пассажей 6-13 после приобретения. Клетки суспендируют в среде RPMI-1640, содержащей FBS, и получают суспензию с концентрацией 4×105 клеток/мл. Суспензию клеток инокулируют в 12-луночный микропланшет по 1 мл и обрабатывают форбол-12-миристат-13-ацетатом (FMA, 200 нМ) в качестве агента, вызывающего дифференциацию в макрофаге. Затем добавляют ацетил-LDL 400 мкг/мл, приготовленный отдельно из LDL плазмы генетически гиперлипидемичного кролика (KHC кролик, Japan Laboratory Animals, Inc.). Дополнительно добавляют испытуемое соединение, растворенное в DMSO и разведенное средой RPMI-1640, содержащей FBS, или контрольный растворитель. После культивирования в СО2 инкубаторе в течение 3 дней клетки промывают забуференным фосфатом физиологическим раствором (pH 7,0) и липид экстрагируют смесью н-гексан/изопропанол (3:2). Клетки растворяют в 1 M NaOH и измеряют количество белка. Свободный холестерин и сложный эфир холестерина в образце липида, выделенного экстракцией, определяют методом Kunitomo et al. (1983). Сравнивают содержание сложного эфира холестерина в контрольной клетке и клетках, обработанных испытуемым соединением, и рассчитывают скорость ингибирования аккумуляции сложных эфиров холестерина испытуемым соединением. Результаты показаны в таблице 2.
Пример эксперимента 3: ингибирующее действие на секрецию липидов печени мыши (метод с использованием Triton WR-1339) Мышам-самцам Slc:ICR возрастом около 5 недель (Japan SLC) дают пищу только в дневное время (9:00-18:00) и предварительно содержат их в течение 1 недели. В течение данного периода разрешают также свободный доступ к водопроводной воде в ночное время. Мышей разделяют на контрольную группу и исследуемую группу по 6 мышей в каждой, так что среднее и стандартное отклонения массы тела становятся почти одинаковыми. Стеклянным капилляром берут кровь (около 80 мкл) из глазничного венозного сплетения при анестезии и через 30 мин после отбора крови перорально вводят испытуемое соединение в дозе 10 мг/кг, заранее суспендированное в 5% растворе гуммиарабика. Через 30 мин после введения в хвостовую вену вводят раствор Triton WR-1339 (60 мг/мл) в физиологическом растворе, приготовленный заранее, в дозе 5 мл/кг. Через 3 час после введения Triton WR-1339 опять берут кровь из глазничного венозного сплетения. От взятой крови отделяют плазму и ТС плазмы измеряют с помощью коммерчески доступного набора для измерений (Wako Pure Chemical Industries, Ltd.). Рассчитывают изменения концентрации в крови через 3 часа после введения Triton WR-1339 и принимают как скорость выделения холестерина из печени. Сравнивают скорость выделения в контрольной группе и в группе мышей, которым вводят испытуемое соединение, и рассчитывают скорость ингибирования секреции холестерина тестируемым соединением. Результаты показаны в таблице 3.
Пример эксперимента 4: ингибирующее действие на in vitro пероксидацию LDL Кровь отбирают из ушной артерии KHC кроликов массой около 3 кг и отделяют LDL обычным способом. Добавляют раствор (5 мкл) тестируемого соединения в ДМСО или ДМСО (конечная концентрация 10-5М) к суспензии LDL (0,5 мг белка/мл, 0,5 мл), добавляют водный раствор сульфата меди (5 мкл, конечная концентрация 5 мкМ) и смесь инкубируют при 37°C в течение 1 час. После завершения инкубирования добавляют раствор EDTA.2Na (5 мкл, конечная концентрация 1 мМ) и измеряют концентрацию липопероксида в образце способом Yagi. Для точности липопероксид в образце проявляют окрашиванием тиобарбитуровой кислотой, измеряют как малоновый диальдегид и активность тестируемого соединения показывают как отношение ингибирования продуцирования малонового диальдегида (%) [до какого уровня ингибируется продуцирование малонового диальдегида по сравнению с контролем]. Результаты показаны в таблице 4.
Пример эксперимента 5: пероральное введение Испытуемое соединение (10 мг/кг), суспендированное в 5% растворе гуммиарабика, вводят принудительно SD крысам-самцам массой 200-250 г перорально. Через 0,5, 1, 3, 5 и 8 часов после введения без анестезии берут кровь и обычным способом отделяют гепаринизированную плазму. Методом ВЭЖХ определяют концентрацию испытуемого соединения в плазме, результаты представлены в таблице 5.
Промышленная применимость Соединение по данному изобретению (I) и его фармацевтически приемлемая соль демонстрируют превосходное ингибирующее действие в отношении ACAT и в отношении липопероксидации у млекопитающих (человека, жвачных животных, лошади, собаки, кошки, кролика, крысы, мыши, хомяка и т.п.) и полезны в качестве ингибитора АСАТ и ингибитора липопероксидации. Другими словами, они полезны для профилактики или лечения артериосклероза, гиперлипидемии, артериосклеротических поражений при диабете, ишемических заболеваний мозга и сердца и им подобных. Указанное применение основано на патентной заявке Японии № 2002-208878, которая подана в Японии и содержание которой включено в данную заявку в качестве ссылки.
Формула изобретения
1. Соединение индолина, представленное формулой (I)
в которой R1 и R3 являются одинаковыми или различными и каждый представляет собой атом водорода, низшую алкильную группу или низшую алкоксигруппу; R2 представляет собой -NO2, -NHSO2R6 [R6 является С1-20алкильной группой, арильной группой или -NHR7 (R7 представляет собой атом водорода, -COR13 (R13 представляет собой атом водорода или низшую алкильную группу) или низшую алкоксикарбонильную группу)], -NHCONH2 или низшую алкильную группу, замещенную -NHSO2R6 [R6 является С1-20алкильной группой, арильной группой или -NHR7 (R7 представляет собой атом водорода, -COR13 (R13 представляет собой атом водорода или низшую алкильную группу) или низшую алкоксикарбонильную группу)]; R4 представляет собой атом водорода,С1-20алкильную группу, необязательно замещенную гидроксигруппой, -COR13 (R13 представляет собой атом водорода или низшую алкильную группу), низшую алкенильную группу, низший алкокси-низшую алкильную группу, низший алкилтио-низшую алкильную группу, С3-8циклоалкильную группу или С3-8циклоалкил С1-3алкильную группу; R5 представляет собой C1-20алкильную группу, С3-8циклоалкильную группу или арильную группу; R12 представляет собой атом водорода, низшую алкильную группу, низший алкокси-низшую алкильную группу или низший алкилтио-низшую алкильную группу; причем арил представляет собой фенил или нафтил; или его фармацевтически приемлемая соль. 2. Соединение индолина по п.1, где в формуле (I) R1 и R3 являются одинаковыми или различными, и каждый представляет собой атом водорода, низшую алкильную группу или низшую алкоксигруппу, R2 представляет собой -NO2, -NHSO2R6 [R6 является С1-20алкильной группой, арильной группой или -NHR7 (R7 представляет собой атом водорода, -COR13 (R13 представляет собой атом водорода или низшую алкильную группу) или низшую алкоксикарбонильную группу)], -NHCONH2 или низшую алкильную группу, замещенную -NHSO2R6 [R6 является С1-20алкильной группой, арильной группой или -NHR7 (R7 представляет собой атом водорода, -COR13 (R13 представляет собой атом водорода или низшую алкильную группу) или низшую алкоксикарбонильную группу)], R4 представляет собой атом водорода, С1-20алкильную группу, С3-8циклоалкильную группу или С3-8циклоалкилС1-3алкильную группу, R5 представляет собой С1-20алкильную группу, С3-8циклоалкильную группу или арильную группу, и R12 представляет собой атом водорода; причем арил представляет собой фенил или нафтил; или его фармацевтически приемлемая соль. 3. Соединение индолина по п.1, где в формуле (I) R2 представляет собой -NHSO2R6 [R6 является С1-20алкильной группой или -NHR7 (R7 представляет собой атом водорода)], R4 представляет собой С1-20алкильную группу, необязательно замещенную гидроксигруппой, -COR13 (R13 представляет собой атом водорода или низшую алкильную группу), низшую алкенильную группу, низший алкокси-низшую алкильную группу или низший алкилтио-низшую алкильную группу, R5 представляет собой С1-20алкильную группу, R12 представляет собой атом водорода, низшую алкильную группу, низший алкокси-низшую алкильную группу или низший алкилтио-низшую алкильную группу; или его фармацевтически приемлемая соль. 4. Соединение индолина по п.2, где в формуле (I) R2 представляет собой -NHSO2R6 [R6 представляет собой С1-20алкильную группу или -NHR7 (R7 представляет собой атом водорода)] или -NHCONH2; или его фармацевтически приемлемая соль. 5. Соединение индолина по п.2, где в формуле (I) одна из групп R2 или -NHCOR5 находится в положении 5 индолина, а другая находится в положении 7 индолина; или его фармацевтически приемлемая соль. 6. Соединение индолина по п.3, где в формуле (I) R2 находится в положении 5 индолина, и NHCOR5 находится в положении 7; или его фармацевтически приемлемая соль. 7. Соединение индолина по п.4, где в формуле (I) R2 находится в положении 5 индолина, и NHCOR5 находится в положении 7 индолина; или его фармацевтически приемлемая соль. 8. Соединение индолина по п.6, где в формуле (I) R4 представляет собой низший алкокси-низшую алкильную группу или низший алкилтио-низшую алкильную группу, и R12 представляет собой атом водорода или низшую алкильную группу; или его фармацевтически приемлемая соль. 9. Соединение индолина по п.8, где в формуле (I) R1 и R3 представляют собой низшие алкильные группы; или его фармацевтически приемлемая соль. 10. Соединение индолина по п.6, где в формуле (I) R12 находится в положении 2 индолина; или его фармацевтически приемлемая соль. 11. Соединение индолина по п.10, где в формуле (I) R4 представляет собой С1-20алкильную группу, R12 представляет собой низший алкокси-низшую алкильную группу или низший алкилтио-низшую алкильную группу; или его фармацевтически приемлемая соль. 12. Соединение индолина по п.11, где в формуле (I) R1 и R3 представляют собой низшие алкильные группы; или его фармацевтически приемлемая соль. 13. Соединение индолина по п.7, где в формуле (I) R1 и R3 представляют собой низшие алкильные группы, и R5 представляет собой С1-20алкильную группу; или его фармацевтически приемлемая соль. 14. Соединение индолина по п.13, где в формуле (I) R2 представляет собой -NHSO2R6 (R6 представляет собой С1-20алкильную группу); или его фармацевтически приемлемая соль. 15. Соединение индолина по п.13, где в формуле (I) R2 представляет собой -NHSO2R6 [R6 представляет собой NHR7 (R7 представляет собой атом водорода)]; или его фармацевтически приемлемая соль. 16. Соединение индолина по п.13, где в формуле (I) R2 представляет собой -NHCONH2; или его фармацевтически приемлемая соль. 17. Соединение индолина по п.2, где соединение формулы (I) представляет собой любое из указанных ниже соединений (1)-(5) или его фармацевтически приемлемую соль: (1) N-(5-метансульфониламино-4,6-диметил-1-пропилиндолин-7-ил)-2,2-диметилпропанамид, (2) N-[5-метансульфониламино-4,6-диметил-1-(2-метилпропил)индолин-7-ил]-2,2-диметилпропанамид, (3) N-(1-бутил-5-метансульфониламино-4,6-диметилиндолин-7-ил)-2,2-диметилпропанамид, (4) N-[5-метансульфониламино-4,6-диметил-1-(3-метилбутил) индолин-7-ил]-2,2-диметилпропанамид, (5) N-(5-метансульфониламино-4,6-диметил-1-пентилиндолин-7-ил)-2,2-диметилпропанамид. 18. Соединение индолина по п.2, где соединение формулы (I) представляет собой указанное ниже соединение (1) или (2) или его фармацевтически приемлемую соль: (1) N-(5-метансульфониламино-4,6-диметил-1-октилиндолин-7-ил)-2,2-диметилпропанамид, (2) N-(1-гексил-5-метансульфониламино-4,6-диметилиндолин-7-ил)-2,2-диметилпропанамид. 19. Соединение индолина по п.2, где соединение формулы (I) представляет собой указанное ниже соединение (1) или (2) или его фармацевтически приемлемую соль: (1) N-(1-этил-5-метансульфониламино-4,6-диметилиндолин-7-ил)-2,2-диметилпропанамид, (2) N-(5-метансульфониламино-1,4,6-триметилиндолин-7-ил)-2,2-диметилпропанамид. 20. Соединение индолина по п.2, где соединение формулы (I) представляет собой любое из указанных ниже соединений (1)-(6) или его фармацевтически приемлемую соль: (1) N-(4,6-диметил-1-октил-5-сульфамоиламиноиндолин-7-ил)-2,2-диметилпропанамид, (2) N-(4,6-диметил-1-пропил-5-сульфамоиламиноиндолин-7-ил)-2,2-диметилпропанамид, (3) N-(4,6-диметил-1-пентил-5-сульфамоиламиноиндолин-7-ил)-2,2-диметилпропанамид, (4) N-[4,6-диметил-1-(2-метилпропил)-5-сульфамоиламиноиндолин-7-ил]-2,2-диметилпропанамид, (5) N-(1-бутил-4,6-диметил-5-сульфамоиламиноиндолин-7-ил)-2,2-диметилпропанамид, (6) N-[4,6-диметил-1-(3-метилбутил)-5-сульфамоиламиноиндолин-7-ил]-2,2-диметилпропанамид. 21. Соединение индолина по п.2, где соединение формулы (I) представляет собой любое из указанных ниже соединений (1)-(7) или его фармацевтически приемлемую соль: (1) N-(7-метансульфониламино-1,4,6-триметилиндолин-5-ил)-2,2-диметилундеканамид, (2) N-(7-метансульфониламино-4,6-диметилиндолин-5-ил)-2,2-диметилундеканамид, (3) N-[7-(2-пропансульфониламино)-4,6-диметилиндолин-5-ил]-2,2-диметилундеканамид, (4) N-[7-(2-пропансульфониламино)-4,6-диметилиндолин-5-ил]-2,2-диметилоктанамид, (5) N-[4,6-диметил-7-(п-толуол)сульфониламиноиндолин-5-ил]-2,2-диметилундеканамид, (6) N-(4,6-диметил-7-сульфамоиламиноиндолин-5-ил)-2,2-диметилундеканамид, (7) N-(4,6-диметил-7-уреидоиндолин-5-ил)-2,2-диметилундеканамид. 22. Соединение индолина по п.2, где соединение формулы (I) представляет собой любое из указанных ниже соединений (1)-(5) или его фармацевтически приемлемую соль (1) N-(4,6-диметил-5-нитро-1-октилиндолин-7-ил)-2,2-диметилпропанамид, (2) N-(5-метансульфониламинометил-4,6-диметил-1 -октилиндолин-7-ил)-2,2-диметилпропанамид, (3) N-(4,6-диметил-1-октил-5-уреидоиндолин-7-ил)-2,2-диметилпропанамид, (4) N-[5-(N-ацетилсульфамоиламино)-4,6-диметил-1-октилиндолин-7-ил]-2,2-диметилпропанамид, (5) N-[5-(N-метоксикарбонилсульфамоиламино)-4,6-диметил-1-октилиндолин-7-ил]-2,2-диметилпропанамид. 23. Соединение индолина по пп.9-12, где в формуле (I) R2 представляет собой NHSO2R6 [R6 является С1-20алкильной группой)], или его фармацевтически приемлемая соль. 24. Соединение индолина по пп.9-12, где в формуле (I) R2 представляет собой -NHSO2R6 [R6 представляет собой группу-NHR7 (R7 является атомом водорода)]; или его фармацевтически приемлемая соль. 25. Соединение индолина по п.2, где соединение формулы (I) представляет собой любое из указанных ниже соединений (1)-(6) или его фармацевтически приемлемую соль (1) N-(1-изопропил-5-метансульфониламино-4,6-диметилиндолин-7-ил)-2,2-диметилпропанамид, (2) N-[1-(2,2-диметилпропил)-5-метансульфониламино-4,6-диметилиндолин-7-ил]-2,2-диметилпропанамид, (3) N-(1-циклобутилметил-5-метансульфониламино-4,6-диметилиндолин-7-ил)-2,2-диметилпропанамид, (4) N-(1-циклопентил-5-метансульфониламино-4,6-диметилиндолин-7-ил)-2,2-диметилпропанамид, (5) N-(1-циклопентил-4,6-диметил-5-сульфамоиламиноиндолин-7-ил)-2,2-диметилпропанамид, (6) N-(1-циклопропилметил-5-метансульфониламино-4,6-диметилиндолин-7-ил)-2,2-диметилпропанамид. 26. Соединение индолина по п.3, где соединение формулы (I) представляет собой N-[5-метансульфониламино-4,6-диметил-1-(3-метил-2-бутенил)индолин-7-ил]-2,2-диметилпропанамид или его фармацевтически приемлемую соль. 27. Соединение индолина по п.3, где соединение формулы (I) представляет собой любое из указанных ниже соединений (1)-(6) или его фармацевтически приемлемую соль: (1) N[1-(2-этоксиэтил)-4,6-диметил-5-сульфамоиламиноиндолин-7-ил]-2,2-диметилпропанамид, (2) N-[1-(2-этоксиэтил)-2,4,6-триметил-5-сульфамоиламиноиндолин-7-ил]-2,2-диметилпропанамид, (3) N-[1-(2-метоксиэтил)-4,6-диметил-5-сульфамоиламиноиндолин-7-ил]-2,2-диметилпропанамид, (4) N-[1-(2-метоксиэтил)-2,4,6-триметил-5-сульфамоиламиноиндолин-7-ил]-2,2-диметилпропанамид, (5) гидрохлорид N-[1-(2-этилтиоэтил)-4,6-диметил-5-сульфамоиламиноиндолин-7-ил]-2,2-диметилпропанамида, (6) гидрохлорид N-[4,6-диметил-1-(2-метилтиоэтил)-5-сульфамоиламиноиндолин-7-ил]-2,2-диметилпропанамида. 28. Соединение индолина по п.3, где соединение формулы (I) представляет собой любое из указанных ниже соединений (1)-(4) или его фармацевтически приемлемую соль (1) N-(2-метоксиметил-4,6-диметил-1-пропил-5-сульфамоиламиноиндолин-7-ил)-2,2-диметилпропанамид, (2) N-(2-этоксиметил-4,6-диметил-1-пропил-5-сульфамоиламиноиндолин-7-ил)-2,2-диметилпропанамид, (3) N-(2-метилтиометил-4,6-диметил-1-пропил-5-сульфамоиламиноиндолин-7-ил)-2,2-диметилпропанамид, (4) N-(2-этилтиометил-4,6-диметил-1-пропил-5-сульфамоиламиноиндолин-7-ил)-2,2-диметилпропанамид. 29. Соединение индолина по п.3, где соединение формулы (I) представляет собой любое из указанных ниже соединений (1) или (2) или его фармацевтически приемлемую соль: (1) N-[1-(2-этоксиэтил)-5-метансульфониламино-4,6-диметилиндолин-7-ил]-2,2-диметилпропанамид, (2) N-[1-(2-метоксиэтил)-5-метансульфониламино-4,6-диметилиндолин-7-ил]-2,2-диметилпропанамид. 30. Фармацевтическая композиция, обладающая ингибирующей активностью в отношении ацил-кофермента А: холестиринацилтрансферазы, содержащая соединение индолина по любому из пп.1-29 или его фармацевтически приемлемую соль. 31. Фармацевтическая композиция, обладающая ингибирующей активностью в отношении липопероксидации, содержащий соединение индолина по любому из пп.1-29 или его фармацевтически приемлемую соль.
|
||||||||||||||||||||||||||||||||||||||||||||||||||||||||||||||||||||||||||||||||||||||||||||||||||||||||||||||||||||||||||||||||||||||||||||||||||||||||||||||||||||||||||||||||||||||||||||||||||||||||||||||||||||||||||||||||||||||||||


























) может быть получено аналогично способу получения соединения (Ia) взаимодействием соединения (VIII) с соединением (IX) в способе получения 1 по аналогичной методике способа получения 9.






(см-1): 1655, 1595.
(м.д.): 2,18 (6H, с), 2,30 (3H, с), 3,00 (2H, т, J=8,5 Гц), 4,03 (2H, т, J=8,5 Гц), 6,66 (1H, с), 7,89 (1H, с).